点击下载附件:第二周晚自习考勤总表.xlsx
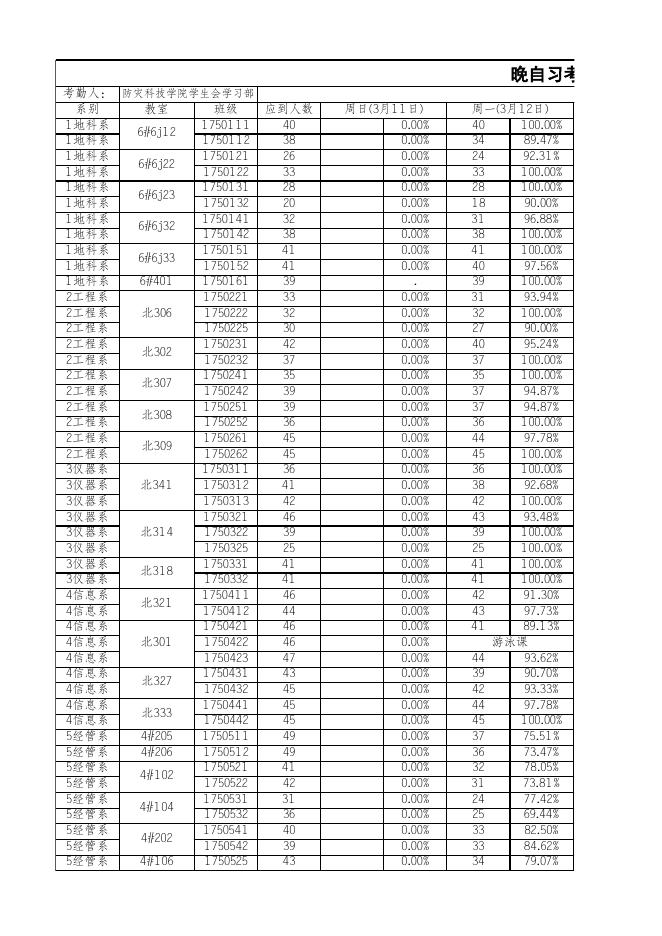
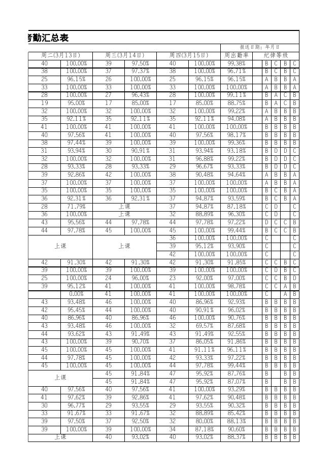
晚自习考勤汇总表 考勤人: 防灾科技学院学生会学习部 系别 教室 班级 应到人数 1地科系 1750111 40 6#6j12 1地科系 1750112 38 1地科系 1750121 26 6#6j22 1地科系 1750122 33 1地科系 1750131 28 6#6j23 1地科系 1750132 20 1地科系 1750141 32 6#6j32 1地科系 1750142 38 1地科系 1750151 41 6#6j33 1地科系 1750152 41 1地科系 6#401 1750161 39 2工程系 1750221 33 2工程系 北306 1750222 32 2工程系 1750225 30 2工程系 1750231 42 北302 2工程系 1750232 37 2工程系 1750241 35 北307 2工程系 1750242 39 2工程系 1750251 39 北308 2工程系 1750252 36 2工程系 1750261 45 北309 2工程系 1750262 45 3仪器系 1750311 36 3仪器系 北341 1750312 41 3仪器系 1750313 42 3仪器系 1750321 46 3仪器系 北314 1750322 39 3仪器系 1750325 25 3仪器系 1750331 41 北318 3仪器系 1750332 41 4信息系 1750411 46 北321 4信息系 1750412 44 4信息系 1750421 46 4信息系 北301 1750422 46 4信息系 1750423 47 4信息系 1750431 43 北327 4信息系 1750432 45 4信息系 1750441 45 北333 4信息系 1750442 45 5经管系 4#205 1750511 49 5经管系 4#206 1750512 49 5经管系 1750521 41 4#102 5经管系 1750522 42 5经管系 1750531 31 4#104 5经管系 1750532 36 5经管系 1750541 40 4#202 5经管系 1750542 39 5经管系 4#106 1750525 43 周日(3月11日) 0.00% 0.00% 0.00% 0.00% 0.00% 0.00% 0.00% 0.00% 0.00% 0.00% . 0.00% 0.00% 0.00% 0.00% 0.00% 0.00% 0.00% 0.00% 0.00% 0.00% 0.00% 0.00% 0.00% 0.00% 0.00% 0.00% 0.00% 0.00% 0.00% 0.00% 0.00% 0.00% 0.00% 0.00% 0.00% 0.00% 0.00% 0.00% 0.00% 0.00% 0.00% 0.00% 0.00% 0.00% 0.00% 0.00% 0.00% 周一(3月12日) 40 100.00% 34 89.47% 24 92.31% 33 100.00% 28 100.00% 18 90.00% 31 96.88% 38 100.00% 41 100.00% 40 97.56% 39 100.00% 31 93.94% 32 100.00% 27 90.00% 40 95.24% 37 100.00% 35 100.00% 37 94.87% 37 94.87% 36 100.00% 44 97.78% 45 100.00% 36 100.00% 38 92.68% 42 100.00% 43 93.48% 39 100.00% 25 100.00% 41 100.00% 41 100.00% 42 91.30% 43 97.73% 41 89.13% 游泳课 44 93.62% 39 90.70% 42 93.33% 44 97.78% 45 100.00% 37 75.51% 36 73.47% 32 78.05% 31 73.81% 24 77.42% 25 69.44% 33 82.50% 33 84.62% 34 79.07% 6人文系 6人文系 6人文系 6人文系 6人文系 7外语系 7外语系 5#5n24 5#5n25 5#5n21 5#5n22 5#5n26 5#5s26 5#5s25 1750611 1750612 1750621 1750622 1750631 1750711 1750712 40 47 47 46 43 41 41 0.00% 0.00% 0.00% 0.00% 0.00% 40 46 42 100.00% 97.87% 89.36% 上课 39 90.70% 41 100.00% 上课 晚自习考勤汇总表 报送日期:年月日 周二(3月13日) 40 100.00% 38 100.00% 25 96.15% 33 100.00% 28 100.00% 19 95.00% 32 100.00% 35 92.11% 41 100.00% 40 97.56% 38 97.44% 31 93.94% 32 100.00% 28 93.33% 39 92.86% 37 100.00% 35 100.00% 36 92.31% 28 71.79% 36 100.00% 43 95.56% 44 97.78% 周三(3月14日) 39 97.50% 37 97.37% 26 100.00% 33 100.00% 27 96.43% 17 85.00% 32 100.00% 35 92.11% 41 100.00% 41 100.00% 39 100.00% 30 90.91% 32 100.00% 28 93.33% 42 100.00% 37 100.00% 35 100.00% 36 92.31% 上课 上课 44 97.78% 45 100.00% 上课 上课 42 39 25 39 43 42 40 43 44 43 45 44 45 91.30% 100.00% 100.00% 95.12% 0.00% 93.48% 95.45% 86.96% 93.48% 93.62% 100.00% 100.00% 97.78% 100.00% 上课 40 41 30 33 39 39 97.56% 97.62% 96.77% 91.67% 97.50% 100.00% 上课 42 39 24 41 41 46 44 40 46 43 39 45 45 45 45 45 40 39 29 33 37 39 40 91.30% 100.00% 96.00% 100.00% 100.00% 100.00% 100.00% 86.96% 100.00% 91.49% 90.70% 100.00% 100.00% 100.00% 91.84% 91.84% 97.56% 92.86% 93.55% 91.67% 92.50% 100.00% 93.02% 周四(3月15日) 40 100.00% 38 100.00% 25 96.15% 33 100.00% 28 100.00% 17 85.00% 32 100.00% 35 92.11% 41 100.00% 40 97.56% 39 100.00% 31 93.94% 31 96.88% 29 96.67% 38 90.48% 37 100.00% 35 100.00% 37 94.87% 37 94.87% 32 88.89% 44 97.78% 45 100.00% 36 100.00% 39 95.12% 42 100.00% 42 91.30% 39 100.00% 23 92.00% 41 100.00% 41 100.00% 40 86.96% 40 90.91% 46 100.00% 32 69.57% 43 91.49% 37 86.05% 41 91.11% 42 93.33% 44 97.78% 47 95.92% 47 95.92% 41 100.00% 41 97.62% 29 93.55% 32 88.89% 32 80.00% 34 87.18% 40 93.02% 周出勤率 99.38% 96.71% 96.15% 100.00% 99.11% 88.75% 99.22% 94.08% 100.00% 98.17% 99.36% 93.18% 99.22% 93.33% 94.64% 100.00% 100.00% 93.59% 87.18% 96.30% 97.22% 99.44% 100.00% 93.90% 100.00% 91.85% 100.00% 97.00% 98.78% 100.00% 92.93% 96.02% 90.76% 87.68% 92.55% 91.86% 96.11% 97.22% 99.44% 87.76% 87.07% 93.29% 90.48% 90.32% 85.42% 88.13% 90.60% 88.37% 纪律等级 B C B B C B A B B A B B B A C B A C A B B A B B B B B B B B B B B B D D B D D B D D A B B A B B B C B B C B C D C D D C C B C C C C C C C B C D B C C B C C A C A B B B B B B B B B B B B B B B B B B B B B B B B B B B B B B B B B B B B B B B B B B B B B B B B B B B B C C A A B B B B B B B C C C A A A A C C B B C C C C C D B B B B B B B B B B B B B B B B B B B B 38 95.00% 上课 上课 46 100.00% 40 93.02% 31 75.61% 30 73.17% 38 95.00% 46 40 36 39 上课 上课 100.00% 93.02% 87.80% 95.12% 38 46 47 46 40 40 36 95.00% 97.87% 100.00% 100.00% 93.02% 97.56% 87.80% 96.25% 97.87% 94.68% 100.00% 92.44% 90.24% 85.37% B A A B C A C A A A A A A A A A B A A A A A

点击下载附件:第二周晚自习考勤总表.xlsx


