秦岭文库(kunmingchi.com)你想要的内容这里独有!
登录
注册
首页
最新文档
热门文章
关于我
免责声明
都安县2021年秋季学期初中一年级学生录取名单.xlsx
10154次阅读
共55页
上传时间:2023-12-12 13:20:16
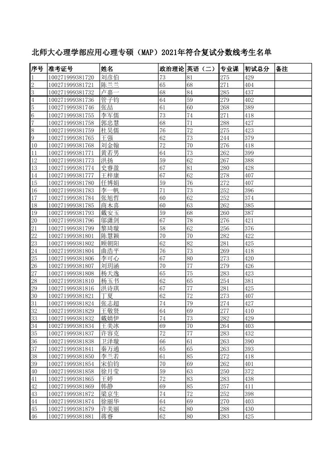
附件3-北师大心理学部应用心理专硕(MAP)2021年符合复试分数线考生名单.pdf
10154次阅读
共11页
上传时间:2023-07-29 05:15:05
黔南州中级人民法院2021年一般公共预算财政拨款“三公”经费支出决算表(与预算对比) - 副本.xls
10154次阅读
共1页
上传时间:2023-05-29 14:06:09
政府办预算公开表.xlsx
10154次阅读
共21页
上传时间:2023-05-23 06:10:14
2.“中国创翼”2023年喀什地区创业创新大赛暨山东援疆“鲁喀杯”大学生创新创业大赛承诺书.docx
10154次阅读
共3页
上传时间:2023-05-14 09:01:16
饮用水项目响应书和报价单模板.docx
10154次阅读
共2页
上传时间:2023-05-12 09:06:22
2021年11月望城水厂城镇公共供水厂月度水质报表.xls
10154次阅读
共3页
上传时间:2023-05-02 17:05:40
附件:连云港市劳动保障监察案件法律适用及行政处罚自由裁量基准一览表(1).xlsx
10154次阅读
共27页
上传时间:2023-04-27 17:07:22
2022年宁夏回族自治区自然资源统一确权登记项目采购意向0125.pdf
10154次阅读
共2页
上传时间:2023-04-13 07:02:33
北海市2021年部门预算报表(公开表).xlsx
10154次阅读
共19页
上传时间:2023-04-13 01:06:29
首页
234
235
236
237
238
末页
×
信息