秦岭文库(kunmingchi.com)你想要的内容这里独有!

安居型商品房选房结果公示(12月20日下午).xls

※ Tiredness (疲惫)9 页 54 KB下载文档
安居型商品房选房结果公示(12月20日下午).xls安居型商品房选房结果公示(12月20日下午).xls安居型商品房选房结果公示(12月20日下午).xls安居型商品房选房结果公示(12月20日下午).xls安居型商品房选房结果公示(12月20日下午).xls安居型商品房选房结果公示(12月20日下午).xls
当前文档共9页 下载后继续阅读

安居型商品房选房结果公示(12月20日下午).xls

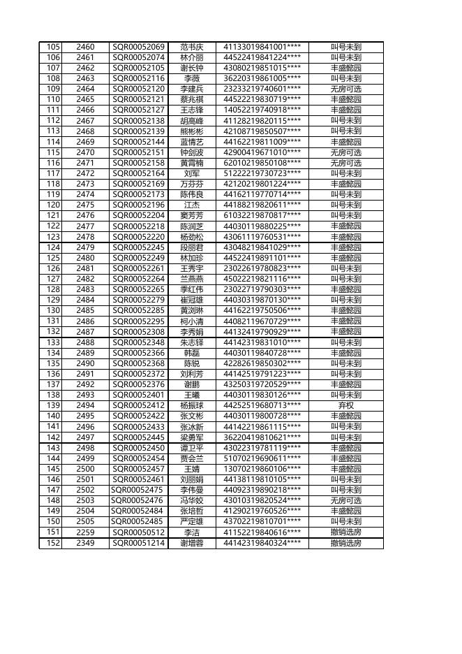
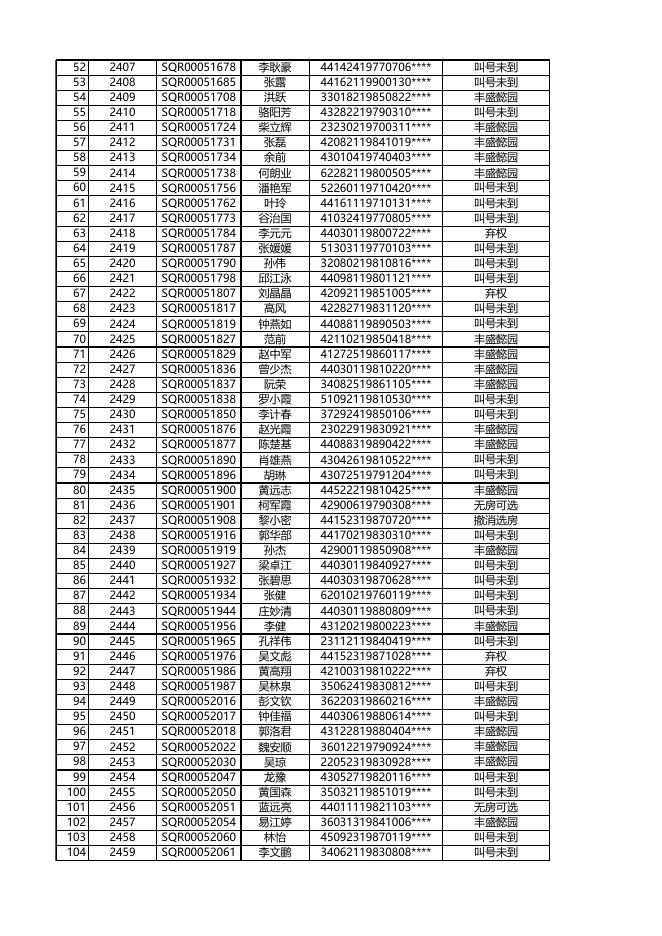
安居型商品房选房结果公示(12月18日下午) 序号 选房排位号 1 2356 2 2357 3 2358 4 2359 5 2360 6 2361 7 2362 8 2363 9 2364 10 2365 11 2366 12 2367 13 2368 14 2369 15 2370 16 2371 17 2372 18 2373 19 2374 20 2375 21 2376 22 2377 23 2378 24 2379 25 2380 26 2381 27 2382 28 2383 29 2384 30 2385 31 2386 32 2387 33 2388 34 2389 35 2390 36 2391 37 2392 38 2393 39 2394 40 2395 41 2396 42 2397 43 2398 44 2399 45 2400 46 2401 47 2402 48 2403 49 2404 50 2405 51 2406 备案回执号 SQR00051263 SQR00051264 SQR00051268 SQR00051269 SQR00051271 SQR00051288 SQR00051295 SQR00051298 SQR00051300 SQR00051333 SQR00051343 SQR00051344 SQR00051358 SQR00051361 SQR00051375 SQR00051376 SQR00051378 SQR00051382 SQR00051383 SQR00051385 SQR00051387 SQR00051408 SQR00051411 SQR00051416 SQR00051421 SQR00051440 SQR00051453 SQR00051456 SQR00051457 SQR00051467 SQR00051468 SQR00051485 SQR00051488 SQR00051490 SQR00051512 SQR00051522 SQR00051530 SQR00051541 SQR00051552 SQR00051555 SQR00051585 SQR00051587 SQR00051590 SQR00051592 SQR00051599 SQR00051645 SQR00051651 SQR00051654 SQR00051663 SQR00051665 SQR00051667 申请人姓名 徐文章 文宜科 陈燕辉 谢建博 陈雪玲 杨运梅 曹学锋 李伟莲 阳承碧 王智 李广 李文娇 任亮亮 运庆军 孔德魁 张松毅 梁艳青 戚杰 许俊 万点芳 杨波 吴绍辉 傅曙光 江龙 夏美荣 王静雯 张志辉 吕海兰 冯叶文 赖军红 王云 陈美玉 段绍华 黄春燕 程帆 冯军 汪向学 练士滔 刘柳青 戴辉 曾伟波 陆炜 徐勇 陈靖雯 伍锦 李泓奋 方嘉澄 赵毅敏 郑炜泉 兰东升 华玉秀 身份证号码 62012119790606**** 42011119761221**** 43068219831109**** 37112219880429**** 44252819701018**** 44132319810605**** 13252219760222**** 44023219730228**** 52262319851025**** 41272719651117**** 43110319850707**** 44140219711213**** 62242419831019**** 41092319721225**** 41142319780916**** 41132719811230**** 46002219680905**** 42011119680715**** 36240119850716**** 52212119780907**** 44030119881230**** 43038119831020**** 43062419720114**** 44148119870328**** 41282719670101**** 41272119801120**** 44030719710919**** 44092419800928**** 44200019820819**** 44252919620701**** 14232519851101**** 43290219700917**** 36232919710910**** 44142519760326**** 42090219840610**** 22021119780404**** 62050219821127**** 44162119790606**** 43042119821010**** 43072419860710**** 44030119850106**** 45212219891024**** 42092219821108**** 44030119850417**** 43092319861103**** 44178119810621**** 44522419901009**** 42242819780704**** 36232319900521**** 13010219810210**** 34082119771027**** 选定项目 丰盛懿园 叫号未到 丰盛懿园 丰盛懿园 撤消选房 无房可选 丰盛懿园 丰盛懿园 丰盛懿园 丰盛懿园 无房可选 叫号未到 弃权 弃权 叫号未到 叫号未到 丰盛懿园 弃权 叫号未到 丰盛懿园 撤消选房 丰盛懿园 丰盛懿园 无房可选 叫号未到 撤消选房 叫号未到 丰盛懿园 丰盛懿园 丰盛懿园 叫号未到 丰盛懿园 丰盛懿园 丰盛懿园 叫号未到 丰盛懿园 叫号未到 叫号未到 丰盛懿园 叫号未到 丰盛懿园 丰盛懿园 丰盛懿园 叫号未到 丰盛懿园 叫号未到 丰盛懿园 叫号未到 叫号未到 叫号未到 丰盛懿园 52 53 54 55 56 57 58 59 60 61 62 63 64 65 66 67 68 69 70 71 72 73 74 75 76 77 78 79 80 81 82 83 84 85 86 87 88 89 90 91 92 93 94 95 96 97 98 99 100 101 102 103 104 2407 2408 2409 2410 2411 2412 2413 2414 2415 2416 2417 2418 2419 2420 2421 2422 2423 2424 2425 2426 2427 2428 2429 2430 2431 2432 2433 2434 2435 2436 2437 2438 2439 2440 2441 2442 2443 2444 2445 2446 2447 2448 2449 2450 2451 2452 2453 2454 2455 2456 2457 2458 2459 SQR00051678 SQR00051685 SQR00051708 SQR00051718 SQR00051724 SQR00051731 SQR00051734 SQR00051738 SQR00051756 SQR00051762 SQR00051773 SQR00051784 SQR00051787 SQR00051790 SQR00051798 SQR00051807 SQR00051817 SQR00051819 SQR00051827 SQR00051829 SQR00051836 SQR00051837 SQR00051838 SQR00051850 SQR00051876 SQR00051877 SQR00051890 SQR00051896 SQR00051900 SQR00051901 SQR00051908 SQR00051916 SQR00051919 SQR00051927 SQR00051932 SQR00051934 SQR00051944 SQR00051956 SQR00051965 SQR00051976 SQR00051986 SQR00051987 SQR00052016 SQR00052017 SQR00052018 SQR00052022 SQR00052030 SQR00052047 SQR00052050 SQR00052051 SQR00052054 SQR00052060 SQR00052061 李耿豪 张露 洪跃 骆阳芳 柴立辉 张磊 余前 何朗业 潘艳军 叶玲 谷治国 李元元 张媛媛 孙伟 邱江泳 刘晶晶 高风 钟燕如 范前 赵中军 曾少杰 阮荣 罗小霞 李计春 赵光霞 陈楚基 肖雄燕 胡琳 黄远志 柯军霞 黎小密 郭华部 孙杰 梁卓江 张碧思 张健 庄妙清 李健 孔祥伟 吴文彪 黄高翔 吴林泉 彭文钦 钟佳福 郭洛君 魏安顺 吴琼 龙豫 黄国森 蓝远亮 易江婷 林怡 李文鹏 44142419770706**** 44162119900130**** 33018219850822**** 43282219790310**** 23230219700311**** 42082119841019**** 43010419740403**** 62282119800505**** 52260119710420**** 44161119710131**** 41032419770805**** 44030119800722**** 51303119770103**** 32080219810816**** 44098119801121**** 42092119851005**** 42282719831120**** 44088119890503**** 42110219850418**** 41272519860117**** 44030119810220**** 34082519861105**** 51092119810530**** 37292419850106**** 23022919830921**** 44088319890422**** 43042619810522**** 43072519791204**** 44522219810425**** 42900619790308**** 44152319870720**** 44170219830310**** 42900119850908**** 44030119840927**** 44030319870628**** 62010219760119**** 44030119880809**** 43120219800223**** 23112119840419**** 44152319871028**** 42100319810222**** 35062419830812**** 36220319860216**** 44030619880614**** 43122819880404**** 36012219790924**** 22052319830928**** 43052719820116**** 35032119851019**** 44011119821103**** 36031319841006**** 45092319870119**** 34062119830808**** 叫号未到 叫号未到 丰盛懿园 叫号未到 丰盛懿园 丰盛懿园 丰盛懿园 丰盛懿园 叫号未到 叫号未到 叫号未到 弃权 叫号未到 叫号未到 叫号未到 弃权 叫号未到 叫号未到 丰盛懿园 丰盛懿园 丰盛懿园 丰盛懿园 叫号未到 叫号未到 丰盛懿园 丰盛懿园 叫号未到 叫号未到 丰盛懿园 无房可选 撤消选房 叫号未到 丰盛懿园 叫号未到 叫号未到 叫号未到 叫号未到 丰盛懿园 叫号未到 弃权 弃权 叫号未到 丰盛懿园 叫号未到 丰盛懿园 丰盛懿园 丰盛懿园 叫号未到 叫号未到 无房可选 丰盛懿园 叫号未到 叫号未到 105 106 107 108 109 110 111 112 113 114 115 116 117 118 119 120 121 122 123 124 125 126 127 128 129 130 131 132 133 134 135 136 137 138 139 140 141 142 143 144 145 146 147 148 149 150 151 152 2460 2461 2462 2463 2464 2465 2466 2467 2468 2469 2470 2471 2472 2473 2474 2475 2476 2477 2478 2479 2480 2481 2482 2483 2484 2485 2486 2487 2488 2489 2490 2491 2492 2493 2494 2495 2496 2497 2498 2499 2500 2501 2502 2503 2504 2505 2259 2349 SQR00052069 SQR00052074 SQR00052105 SQR00052116 SQR00052120 SQR00052121 SQR00052127 SQR00052138 SQR00052139 SQR00052144 SQR00052151 SQR00052158 SQR00052164 SQR00052169 SQR00052173 SQR00052196 SQR00052204 SQR00052218 SQR00052220 SQR00052245 SQR00052249 SQR00052261 SQR00052264 SQR00052265 SQR00052279 SQR00052285 SQR00052295 SQR00052308 SQR00052348 SQR00052366 SQR00052368 SQR00052372 SQR00052376 SQR00052401 SQR00052412 SQR00052422 SQR00052433 SQR00052445 SQR00052450 SQR00052454 SQR00052457 SQR00052461 SQR00052475 SQR00052476 SQR00052484 SQR00052485 SQR00050512 SQR00051214 范书庆 林介丽 谢长钟 李薇 李建兵 蔡兆祺 王志锋 胡高峰 熊彬彬 蓝情艺 钟剑波 黄霄楠 刘军 万芬芬 陈伟良 江杰 窦芳芳 陈润芝 杨劲松 段丽君 林加珍 王秀宇 兰燕燕 季红伟 崔冠雄 黄浏琳 柯小清 李秀娟 朱志铎 韩磊 陈锐 刘利芳 谢鹏 王曦 杨振球 张文彬 张冰新 梁勇军 谭卫平 贾会兰 王婧 刘丽娟 李伟曼 冯华姣 张培哲 严定雄 李洁 谢增蓉 41133019841001**** 44522419841224**** 43080219851015**** 36220319861005**** 23233219740601**** 44522219830719**** 14052219740918**** 41128219820115**** 42108719850507**** 44162219811009**** 42900419671010**** 62010219850108**** 51222219730723**** 42120219801224**** 44162119770714**** 44188219820611**** 61032219870817**** 44030119880225**** 43061119760531**** 43048219841029**** 44522419891101**** 23022619780823**** 45022219821116**** 23022719790303**** 44030319870130**** 44162219750506**** 44082119670729**** 44132419790929**** 44142319831010**** 44030119840728**** 42282619850302**** 44142519791223**** 43250319720529**** 44030119830126**** 44252519680713**** 44030119800728**** 44142219861115**** 36220419810621**** 43022319781119**** 51070219690611**** 13070219860106**** 44138119810105**** 44092319890218**** 43010319820524**** 41290219760526**** 43702219810701**** 41152219840616**** 44142319840324**** 叫号未到 叫号未到 丰盛懿园 叫号未到 无房可选 丰盛懿园 丰盛懿园 叫号未到 叫号未到 丰盛懿园 无房可选 无房可选 叫号未到 丰盛懿园 叫号未到 叫号未到 叫号未到 丰盛懿园 丰盛懿园 丰盛懿园 丰盛懿园 叫号未到 叫号未到 丰盛懿园 叫号未到 丰盛懿园 丰盛懿园 丰盛懿园 叫号未到 丰盛懿园 叫号未到 叫号未到 丰盛懿园 叫号未到 弃权 丰盛懿园 叫号未到 叫号未到 丰盛懿园 丰盛懿园 丰盛懿园 叫号未到 叫号未到 无房可选 丰盛懿园 叫号未到 撤销选房 撤销选房 月18日下午) 选定房号 1栋G座0901 叫号未到 1栋G座0701 1栋G座0801 撤消选房 无房可选 1栋F座3101 1栋A座1209 1栋A座2503 1栋F座0402 无房可选 叫号未到 弃权 弃权 叫号未到 叫号未到 1栋C座3105 弃权 叫号未到 1栋C座3102 撤消选房 1栋C座2705 1栋C座1205 无房可选 叫号未到 撤消选房 叫号未到 1栋A座0509 1栋A座3105 1栋A座1308 叫号未到 1栋A座2109 1栋C座2905 1栋G座0608 叫号未到 1栋G座0601 叫号未到 叫号未到 1栋C座2205 叫号未到 1栋C座0708 1栋G座3208 1栋A座0809 叫号未到 1栋G座3201 叫号未到 1栋C座2906 叫号未到 叫号未到 叫号未到 1栋C座0509 面积 备注 67.05 叫号未到 67.05 67.05 撤消选房 选房人已选定住房但未在当天选房结束前签订认购协议书,视为放弃本次选房,其所选住房 无房可选 67.03 65.9 65.99 67.78 无房可选 叫号未到 弃权 弃权 叫号未到 叫号未到 65.9 弃权 叫号未到 65.9 撤消选房 选房人已选定住房但未在当天选房结束前签订认购协议书,视为放弃本次选房,其所选住房 65.9 65.9 无房可选 叫号未到 撤消选房 选房人已选定住房但未在当天选房结束前签订认购协议书,视为放弃本次选房,其所选住房 叫号未到 65.79 65.9 65.99 叫号未到 65.9 65.9 67.05 叫号未到 67.05 叫号未到 叫号未到 65.9 叫号未到 65.98 67.05 65.9 叫号未到 67.05 叫号未到 65.9 叫号未到 叫号未到 叫号未到 65.78 叫号未到 叫号未到 1栋C座1305 叫号未到 1栋A座1002 1栋G座0604 1栋C座1105 1栋A座2108 叫号未到 叫号未到 叫号未到 弃权 叫号未到 叫号未到 叫号未到 弃权 叫号未到 叫号未到 1栋G座0508 1栋C座3005 1栋A座2603 1栋F座0401 叫号未到 叫号未到 1栋A座1009 1栋C座0905 叫号未到 叫号未到 1栋A座2809 无房可选 撤消选房 叫号未到 1栋C座2508 叫号未到 叫号未到 叫号未到 叫号未到 1栋A座0605 叫号未到 弃权 弃权 叫号未到 1栋A座1202 叫号未到 1栋A座2802 1栋C座2509 1栋C座0806 叫号未到 叫号未到 无房可选 1栋G座0408 叫号未到 叫号未到 叫号未到 叫号未到 65.9 叫号未到 65.9 68.3 65.9 65.99 叫号未到 叫号未到 叫号未到 弃权 叫号未到 叫号未到 叫号未到 弃权 叫号未到 叫号未到 66.88 65.9 65.99 66.86 叫号未到 叫号未到 65.9 65.9 叫号未到 叫号未到 65.9 无房可选 撤消选房 选房人已选定住房但未在当天选房结束前签订认购协议书,视为放弃本次选房,其所选住房 叫号未到 65.98 叫号未到 叫号未到 叫号未到 叫号未到 65.9 叫号未到 弃权 弃权 叫号未到 65.9 叫号未到 65.9 65.9 65.9 叫号未到 叫号未到 无房可选 66.88 叫号未到 叫号未到 叫号未到 叫号未到 1栋C座2608 叫号未到 无房可选 1栋C座0805 1栋A座1102 叫号未到 叫号未到 1栋A座2408 无房可选 无房可选 叫号未到 1栋C座1209 叫号未到 叫号未到 叫号未到 1栋C座0706 1栋G座0401 1栋A座2002 1栋A座0508 叫号未到 叫号未到 1栋C座3206 叫号未到 1栋A座1809 1栋C座1609 1栋A座1708 叫号未到 1栋C座0705 叫号未到 叫号未到 1栋C座0605 叫号未到 弃权 1栋A座2009 叫号未到 叫号未到 1栋C座2008 1栋C座1908 1栋C座1308 叫号未到 叫号未到 无房可选 1栋G座0404 叫号未到 撤销选房 撤销选房 叫号未到 叫号未到 65.98 叫号未到 无房可选 65.9 65.9 叫号未到 叫号未到 65.99 无房可选 无房可选 叫号未到 65.9 叫号未到 叫号未到 叫号未到 65.9 66.88 65.9 65.99 叫号未到 叫号未到 65.9 叫号未到 65.9 65.9 65.99 叫号未到 65.9 叫号未到 叫号未到 65.9 叫号未到 弃权 65.9 叫号未到 叫号未到 65.98 65.98 65.98 叫号未到 叫号未到 无房可选 68.16 叫号未到 撤销选房 选房人已选定住房但未在当天选房结束前签订认购协议书,视为放弃本次选房,其所选住房 撤销选房 选房人已选定住房但未在当天选房结束前签订认购协议书,视为放弃本次选房,其所选住房 ,视为放弃本次选房,其所选住房纳入次日待选房源 ,视为放弃本次选房,其所选住房纳入次日待选房源 ,视为放弃本次选房,其所选住房纳入次日待选房源 ,视为放弃本次选房,其所选住房纳入次日待选房源 ,视为放弃本次选房,其所选住房纳入次日待选房源 ,视为放弃本次选房,其所选住房纳入次日待选房源

相关文章