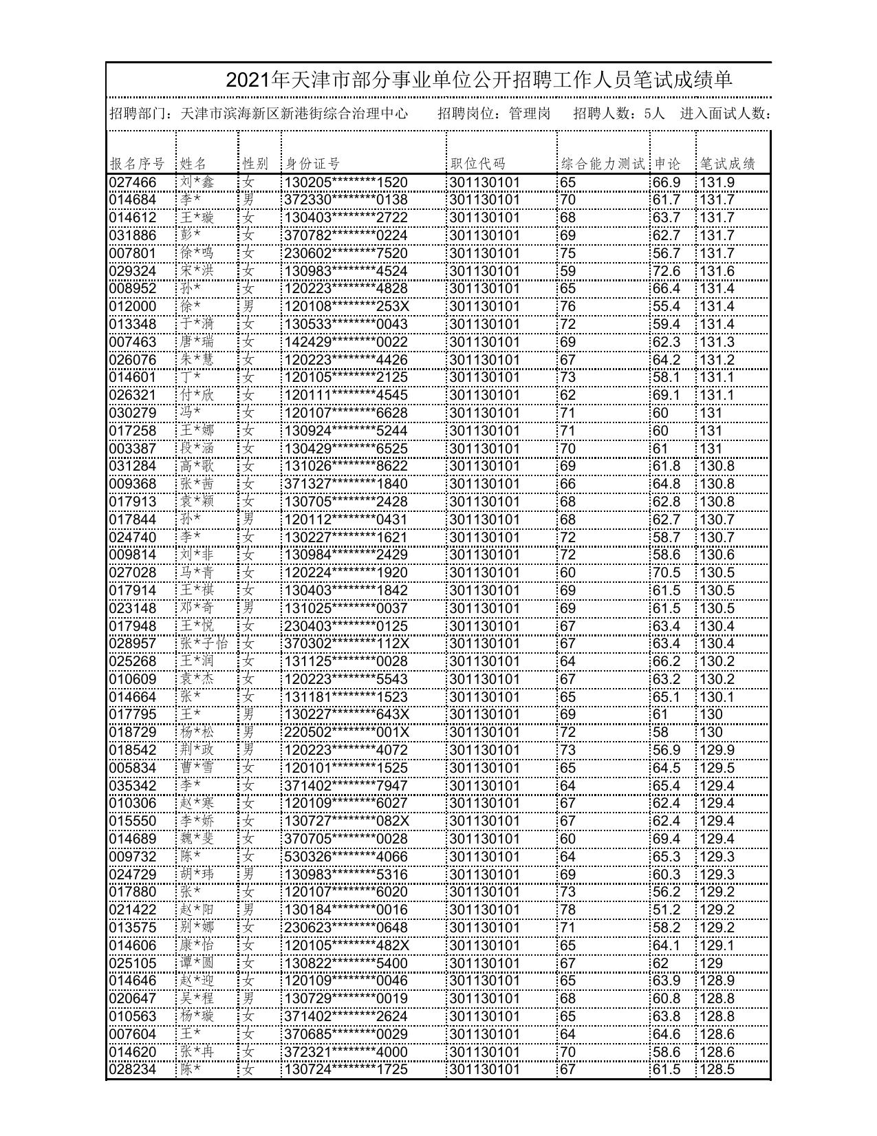
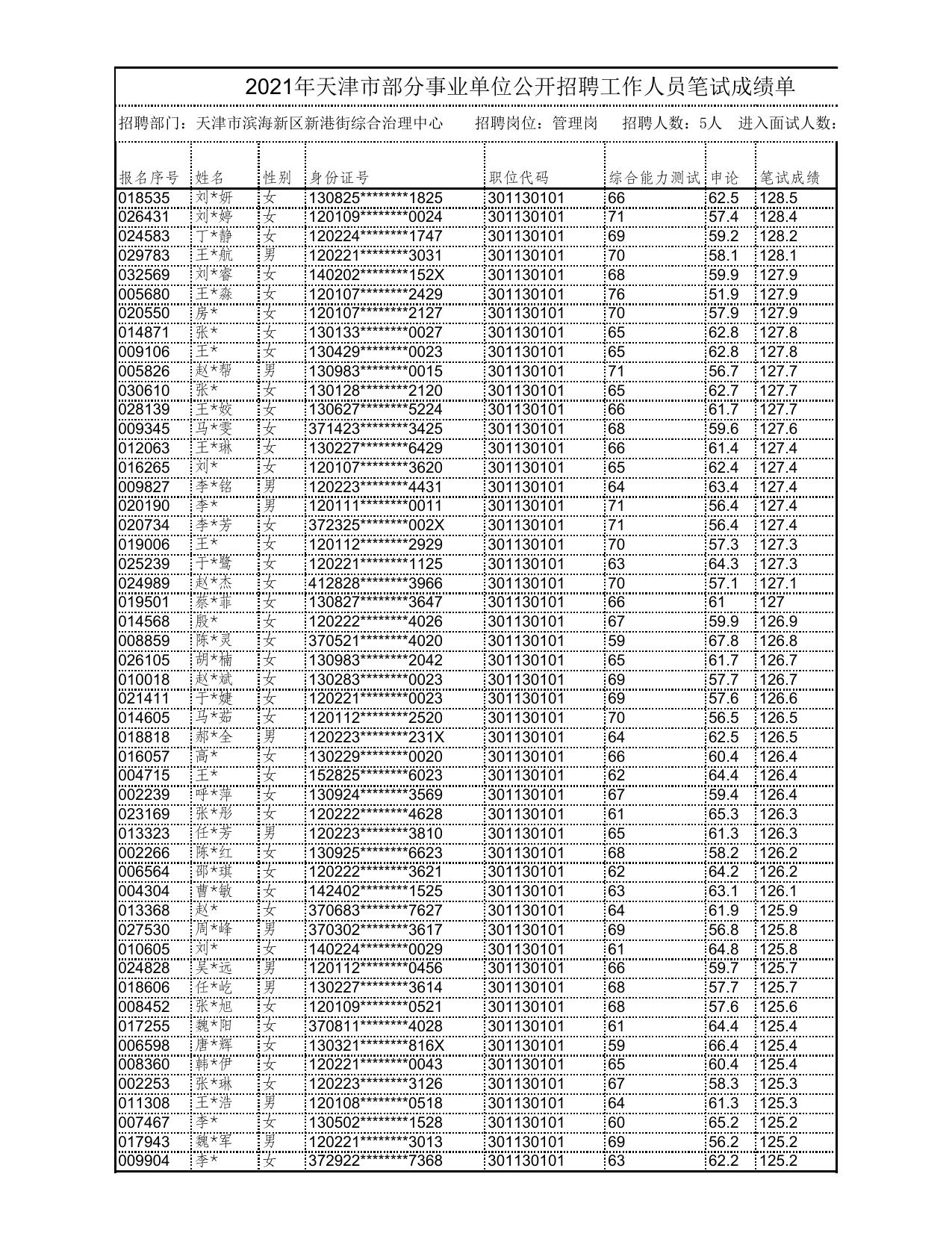
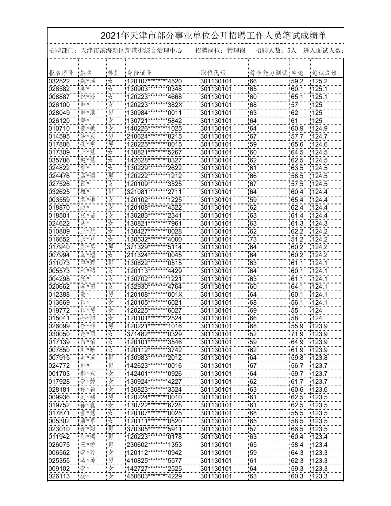
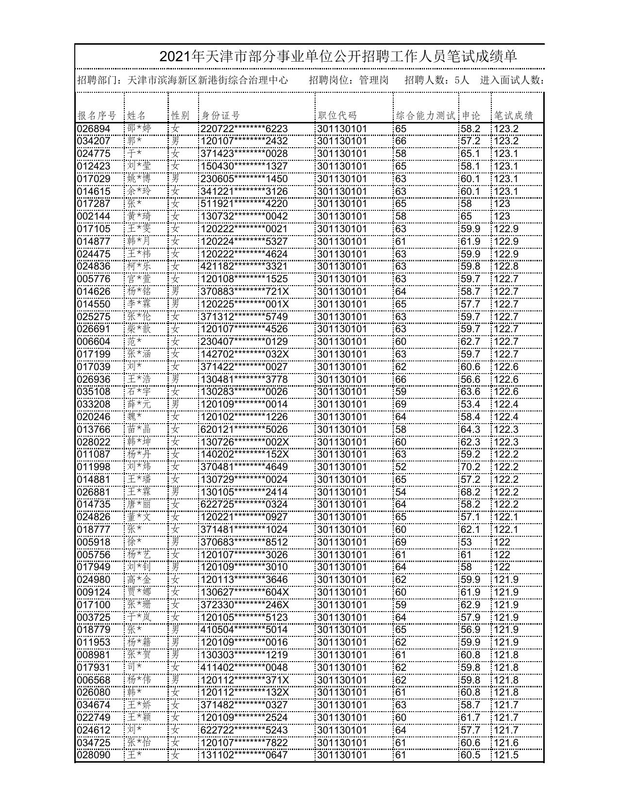
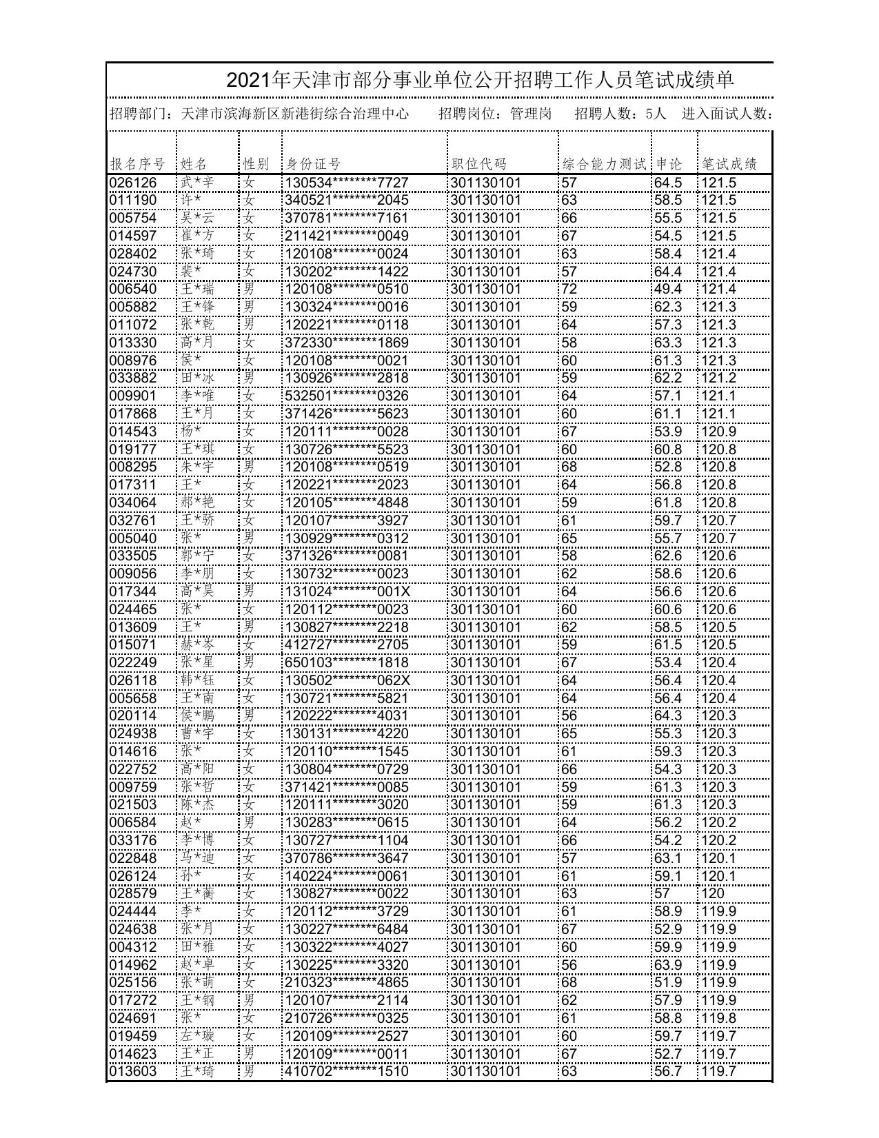
笔试成绩 (公示).xls
2021年天津市部分事业单位公开招聘工作人员笔试成绩单 招聘部门:天津市滨海新区新港街综合治理中心 报名序号 033436 010723 027025 017877 007805 019200 014867 010634 022165 017196 006589 025264 009953 019870 024504 002236 014934 010270 023163 006556 022918 033885 006576 017897 019708 007728 017131 010360 027433 005798 014567 007786 010321 010244 018550 009697 012059 010126 027103 017146 018854 017865 024555 013754 009921 035083 014708 017313 002197 005780 007514 姓名 王* 甘*茜 范*萱 李*雨 任*溪 李*赫 刘* 王*熹 张*晴 明*佳 黄*萱 李*瑛 张*月 曾* 万*茹 霍*毅 贯*君 吴*文 孟*森 杨*怡 卢*萌 路*祺 周* 李*娴 王* 蔡*萌 马*雯 余* 刘* 董*宁 高*雅 付*杰 郭*轩 冀*奇 孙* 张*如 王* 李*旭 王*萱 张*伟 杨* 王*璇 王* 杨*宇 田* 张*名 苏*云 张*敏 陈*璇 郑*明 蒋*倩 性别 女 女 女 女 女 男 女 女 女 女 女 女 女 女 女 男 女 男 男 女 女 男 女 女 女 女 女 女 男 女 女 男 男 男 女 女 女 女 女 男 男 女 男 男 男 女 女 女 男 男 女 身份证号 120104********2542 130302********1620 130983********0028 120223********232X 120109********3523 120111********0512 120223********0162 142431********0642 120221********0228 130984********4244 220105********1022 622102********3421 120225********0027 130224********0042 410521********2027 130923********0037 120110********3326 370921********2730 131121********021X 120223********5368 120222********5223 130406********0356 230184********6822 130922********0024 120223********3828 120105********0923 371426********0062 120222********7067 120221********0016 130983********0520 371421********676X 120107********271X 131181********0776 370982********1611 370306********0544 372324********444X 341322********4425 130221********0222 120224********342X 132627********0012 130828********5219 372325********5264 120113********0858 120223********0172 130406********0335 210283********1547 411528********5822 142226********1724 130283********0017 120108********0510 370687********0025 招聘岗位:管理岗 招聘人数:5人 进入面试人数:15人 职位代码 301130101 301130101 301130101 301130101 301130101 301130101 301130101 301130101 301130101 301130101 301130101 301130101 301130101 301130101 301130101 301130101 301130101 301130101 301130101 301130101 301130101 301130101 301130101 301130101 301130101 301130101 301130101 301130101 301130101 301130101 301130101 301130101 301130101 301130101 301130101 301130101 301130101 301130101 301130101 301130101 301130101 301130101 301130101 301130101 301130101 301130101 301130101 301130101 301130101 301130101 301130101 综合能力测试 申论 83 67 73 70.3 79 63.8 74 68.7 74 68.6 72 69.7 79 62.3 78 63.1 76 65 74 66.6 82 58.6 67 73.3 76 63.6 73 66.4 70 69.1 71 67.9 71 67.1 73 64.5 75 62.3 72 64.9 75 61.8 70 66.6 75 61.4 68 68.2 66 69.8 73 62.7 71 64.6 74 61.4 69 66.3 73 62.3 69 66.1 68 67 74 60.9 73 61.8 71 63.4 66 68.2 72 62.1 72 62 70 63.8 71 62.6 68 65.1 68 65.1 75 58 73 59.9 72 60.9 71 61.8 65 67.7 66 66.7 72 60.6 74 58.3 67 64.9 笔试成绩 150 143.3 142.8 142.7 142.6 141.7 141.3 141.1 141 140.6 140.6 140.3 139.6 139.4 139.1 138.9 138.1 137.5 137.3 136.9 136.8 136.6 136.4 136.2 135.8 135.7 135.6 135.4 135.3 135.3 135.1 135 134.9 134.8 134.4 134.2 134.1 134 133.8 133.6 133.1 133.1 133 132.9 132.9 132.8 132.7 132.7 132.6 132.3 131.9 2021年天津市部分事业单位公开招聘工作人员笔试成绩单 招聘部门:天津市滨海新区新港街综合治理中心 报名序号 027466 014684 014612 031886 007801 029324 008952 012000 013348 007463 026076 014601 026321 030279 017258 003387 031284 009368 017913 017844 024740 009814 027028 017914 023148 017948 028957 025268 010609 014664 017795 018729 018542 005834 035342 010306 015550 014689 009732 024729 017880 021422 013575 014606 025105 014646 020647 010563 007604 014620 028234 姓名 刘*鑫 李* 王*璇 彭* 徐*鸣 宋*洪 孙* 徐* 于*漪 唐*瑞 朱*慧 丁* 付*欣 冯* 王*娜 段*涵 高*歌 张*茜 袁*颖 孙* 李* 刘*非 马*青 王*祺 邓*奇 王*悦 张*子怡 王*润 袁*杰 张* 王* 杨*松 荆*政 曹*雪 李* 赵*寒 李*娇 魏*斐 陈* 胡*玮 张* 赵*阳 别*娜 康*怡 谭*圆 赵*迎 吴*程 杨*璇 王* 张*冉 陈* 性别 女 男 女 女 女 女 女 男 女 女 女 女 女 女 女 女 女 女 女 男 女 女 女 女 男 女 女 女 女 女 男 男 男 女 女 女 女 女 女 男 女 男 女 女 女 女 男 女 女 女 女 身份证号 130205********1520 372330********0138 130403********2722 370782********0224 230602********7520 130983********4524 120223********4828 120108********253X 130533********0043 142429********0022 120223********4426 120105********2125 120111********4545 120107********6628 130924********5244 130429********6525 131026********8622 371327********1840 130705********2428 120112********0431 130227********1621 130984********2429 120224********1920 130403********1842 131025********0037 230403********0125 370302********112X 131125********0028 120223********5543 131181********1523 130227********643X 220502********001X 120223********4072 120101********1525 371402********7947 120109********6027 130727********082X 370705********0028 530326********4066 130983********5316 120107********6020 130184********0016 230623********0648 120105********482X 130822********5400 120109********0046 130729********0019 371402********2624 370685********0029 372321********4000 130724********1725 招聘岗位:管理岗 招聘人数:5人 进入面试人数:15人 职位代码 301130101 301130101 301130101 301130101 301130101 301130101 301130101 301130101 301130101 301130101 301130101 301130101 301130101 301130101 301130101 301130101 301130101 301130101 301130101 301130101 301130101 301130101 301130101 301130101 301130101 301130101 301130101 301130101 301130101 301130101 301130101 301130101 301130101 301130101 301130101 301130101 301130101 301130101 301130101 301130101 301130101 301130101 301130101 301130101 301130101 301130101 301130101 301130101 301130101 301130101 301130101 综合能力测试 申论 65 66.9 70 61.7 68 63.7 69 62.7 75 56.7 59 72.6 65 66.4 76 55.4 72 59.4 69 62.3 67 64.2 73 58.1 62 69.1 71 60 71 60 70 61 69 61.8 66 64.8 68 62.8 68 62.7 72 58.7 72 58.6 60 70.5 69 61.5 69 61.5 67 63.4 67 63.4 64 66.2 67 63.2 65 65.1 69 61 72 58 73 56.9 65 64.5 64 65.4 67 62.4 67 62.4 60 69.4 64 65.3 69 60.3 73 56.2 78 51.2 71 58.2 65 64.1 67 62 65 63.9 68 60.8 65 63.8 64 64.6 70 58.6 67 61.5 笔试成绩 131.9 131.7 131.7 131.7 131.7 131.6 131.4 131.4 131.4 131.3 131.2 131.1 131.1 131 131 131 130.8 130.8 130.8 130.7 130.7 130.6 130.5 130.5 130.5 130.4 130.4 130.2 130.2 130.1 130 130 129.9 129.5 129.4 129.4 129.4 129.4 129.3 129.3 129.2 129.2 129.2 129.1 129 128.9 128.8 128.8 128.6 128.6 128.5 2021年天津市部分事业单位公开招聘工作人员笔试成绩单 招聘部门:天津市滨海新区新港街综合治理中心 报名序号 018535 026431 024583 029783 032569 005680 020550 014871 009106 005826 030610 028139 009345 012063 016265 009827 020190 020734 019006 025239 024989 019501 014568 008859 026105 010018 021411 014605 018818 016057 004715 002239 023169 013323 002266 006564 004304 013368 027530 010605 024828 018606 008452 017255 006598 008360 002253 011308 007467 017943 009904 姓名 刘*妍 刘*婷 丁*静 王*航 刘*睿 王*淼 房* 张* 王* 赵*帮 张* 王*姣 马*雯 王*琳 刘* 李*铭 李* 李*芳 王* 于*鹭 赵*杰 蔡*菲 殷* 陈*灵 胡*楠 赵*斌 于*婕 马*茹 郝*全 高* 王* 呼*萍 张*彤 任*芳 陈*红 邵*琪 曹*敏 赵* 周*峰 刘* 吴*远 任*屹 张*旭 魏*阳 唐*辉 韩*伊 张*琳 王*浩 李* 魏*军 李* 性别 女 女 女 男 女 女 女 女 女 男 女 女 女 女 女 男 男 女 女 女 女 女 女 女 女 女 女 女 男 女 女 女 女 男 女 女 女 女 男 女 男 男 女 女 女 女 女 男 女 男 女 身份证号 130825********1825 120109********0024 120224********1747 120221********3031 140202********152X 120107********2429 120107********2127 130133********0027 130429********0023 130983********0015 130128********2120 130627********5224 371423********3425 130227********6429 120107********3620 120223********4431 120111********0011 372325********002X 120112********2929 120221********1125 412828********3966 130827********3647 120222********4026 370521********4020 130983********2042 130283********0023 120221********0023 120112********2520 120223********231X 130229********0020 152825********6023 130924********3569 120222********4628 120223********3810 130925********6623 120222********3621 142402********1525 370683********7627 370302********3617 140224********0029 120112********0456 130227********3614 120109********0521 370811********4028 130321********816X 120221********0043 120223********3126 120108********0518 130502********1528 120221********3013 372922********7368 招聘岗位:管理岗 招聘人数:5人 进入面试人数:15人 职位代码 301130101 301130101 301130101 301130101 301130101 301130101 301130101 301130101 301130101 301130101 301130101 301130101 301130101 301130101 301130101 301130101 301130101 301130101 301130101 301130101 301130101 301130101 301130101 301130101 301130101 301130101 301130101 301130101 301130101 301130101 301130101 301130101 301130101 301130101 301130101 301130101 301130101 301130101 301130101 301130101 301130101 301130101 301130101 301130101 301130101 301130101 301130101 301130101 301130101 301130101 301130101 综合能力测试 申论 66 62.5 71 57.4 69 59.2 70 58.1 68 59.9 76 51.9 70 57.9 65 62.8 65 62.8 71 56.7 65 62.7 66 61.7 68 59.6 66 61.4 65 62.4 64 63.4 71 56.4 71 56.4 70 57.3 63 64.3 70 57.1 66 61 67 59.9 59 67.8 65 61.7 69 57.7 69 57.6 70 56.5 64 62.5 66 60.4 62 64.4 67 59.4 61 65.3 65 61.3 68 58.2 62 64.2 63 63.1 64 61.9 69 56.8 61 64.8 66 59.7 68 57.7 68 57.6 61 64.4 59 66.4 65 60.4 67 58.3 64 61.3 60 65.2 69 56.2 63 62.2 笔试成绩 128.5 128.4 128.2 128.1 127.9 127.9 127.9 127.8 127.8 127.7 127.7 127.7 127.6 127.4 127.4 127.4 127.4 127.4 127.3 127.3 127.1 127 126.9 126.8 126.7 126.7 126.6 126.5 126.5 126.4 126.4 126.4 126.3 126.3 126.2 126.2 126.1 125.9 125.8 125.8 125.7 125.7 125.6 125.4 125.4 125.4 125.3 125.3 125.2 125.2 125.2 2021年天津市部分事业单位公开招聘工作人员笔试成绩单 招聘部门:天津市滨海新区新港街综合治理中心 报名序号 032522 028582 008887 026100 028049 026120 010710 014595 017806 017309 035786 024822 024476 027526 032625 003559 018870 018501 024622 010809 016652 017940 007994 011073 005573 004298 020662 012388 013669 019772 015041 026099 030050 017139 007850 007915 024772 001703 017928 028181 009936 019752 017871 005302 023010 011942 026075 006562 025355 009102 026113 姓名 魏*涵 吴* 纪*珍 韩* 韩*港 鲁* 董*敏 沙*成 孔*宇 王*慧 赵*慧 郭* 孟*熠 田* 程* 袁*琳 赵* 张*苗 胡* 王*航 张*豆 郑*昊 乌*瑶 单*野 米*然 张* 李*田 董* 田* 田*男 孙*阳 李*洋 范*丽 雷*怡 刘*晗 吴*庆 韩* 郝*戎 李*静 许*颖 刘*祎 徐*鑫 董*慧 潘*卓 谢*阳 孙*瑞 王*桥 李*玲 马*坤 李* 杨* 性别 女 女 女 女 男 女 女 男 男 女 女 女 男 女 男 女 女 女 女 女 女 男 女 男 女 女 女 男 女 女 女 男 女 女 女 男 男 女 女 女 男 女 女 女 男 男 男 女 男 女 女 身份证号 120107********4520 130903********0348 120223********4668 120223********382X 130984********0011 130721********5842 140226********1025 210624********8215 120225********0015 130821********5267 142628********0327 130229********2622 120222********1212 120109********3525 321081********2711 120102********1225 120108********4522 130283********2341 130821********7961 130427********0028 130532********4000 371329********5114 211324********0045 130822********0515 120113********4429 130702********1221 132930********4764 120108********001X 120105********6021 120225********6027 120101********2524 120221********1016 371482********0329 120101********3546 120112********3742 130983********2012 142623********0016 142401********0926 130924********4227 130823********3524 120224********0010 130722********6728 120107********0025 120111********0520 370305********5911 120223********0178 230602********1353 120112********0942 410825********5577 142727********2525 450603********4229 招聘岗位:管理岗 招聘人数:5人 进入面试人数:15人 职位代码 301130101 301130101 301130101 301130101 301130101 301130101 301130101 301130101 301130101 301130101 301130101 301130101 301130101 301130101 301130101 301130101 301130101 301130101 301130101 301130101 301130101 301130101 301130101 301130101 301130101 301130101 301130101 301130101 301130101 301130101 301130101 301130101 301130101 301130101 301130101 301130101 301130101 301130101 301130101 301130101 301130101 301130101 301130101 301130101 301130101 301130101 301130101 301130101 301130101 301130101 301130101 综合能力测试 申论 66 59.2 65 60.1 60 65.1 68 57 63 62 64 61 64 60.9 67 57.7 59 65.6 60 64.5 62 62.5 61 63.5 66 58.5 67 57.5 64 60.4 59 65.4 62 62.4 63 61.4 63 61.3 62 62.2 73 51.2 64 60.2 64 60.2 63 61.1 64 60.1 63 61.1 60 64.1 64 60.1 68 56.1 69 55 66 58 68 55.9 52 71.9 59 64.9 62 61.9 64 59.8 67 56.7 64 59.7 62 61.7 63 60.6 61 62.5 61 62.5 68 55.5 65 58.5 57 66.5 63 60.4 65 58.4 59 64.3 61 62.3 64 59.3 63 60.3 笔试成绩 125.2 125.1 125.1 125 125 125 124.9 124.7 124.6 124.5 124.5 124.5 124.5 124.5 124.4 124.4 124.4 124.4 124.3 124.2 124.2 124.2 124.2 124.1 124.1 124.1 124.1 124.1 124.1 124 124 123.9 123.9 123.9 123.9 123.8 123.7 123.7 123.7 123.6 123.5 123.5 123.5 123.5 123.5 123.4 123.4 123.3 123.3 123.3 123.3 2021年天津市部分事业单位公开招聘工作人员笔试成绩单 招聘部门:天津市滨海新区新港街综合治理中心 报名序号 026894 034207 024775 012423 017029 014615 017287 002144 017105 014877 024475 024836 005776 014626 014550 025275 026691 006604 017199 017039 026936 035108 033208 020246 013766 028022 011087 011998 014881 026881 014735 024826 018777 005918 005756 017949 024980 009124 017100 003725 018779 011953 008981 017931 006568 026080 034674 022749 024612 034725 028090 姓名 邵*婷 郭* 于* 刘*莹 姚*博 余*玲 张* 黄*琦 王*雯 韩*月 王*祎 柯*乐 宫*萱 杨*铭 李*霖 张*伦 柴*歆 范* 张*涵 刘* 王*浩 石*宇 薛*元 魏* 苗*晶 韩*坤 杨*丹 刘*炜 王*璠 王*霖 唐*丽 董*文 张* 徐* 杨*艺 刘*钊 高*金 贾*娜 张*珊 于*岚 张* 杨*籍 张*贺 司* 杨*伟 韩* 王*娇 王*颖 刘* 张*怡 王* 性别 女 男 女 女 男 女 女 女 女 女 女 女 女 男 男 女 女 女 女 女 男 女 男 女 女 女 女 女 女 男 女 女 女 男 女 男 女 女 女 女 男 男 男 女 男 女 女 女 女 女 女 身份证号 220722********6223 120107********2432 371423********0028 150430********1327 230605********1450 341221********3126 511921********4220 130732********0042 120222********0021 120224********5327 120222********4624 421182********3321 120108********1525 370883********721X 120225********001X 371312********5749 120107********4526 230407********0129 142702********032X 371422********0027 130481********3778 130283********0026 120109********0014 120102********1226 620121********5026 130726********002X 140202********152X 370481********4649 130729********0024 130105********2414 622725********0324 120221********0927 371481********1024 370683********8512 120107********3026 120109********3010 120113********3646 130627********604X 372330********246X 120105********5123 410504********5014 120109********0016 130303********1219 411402********0048 120112********371X 120112********132X 371482********0327 120109********2524 622722********5243 120107********7822 131102********0647 招聘岗位:管理岗 招聘人数:5人 进入面试人数:15人 职位代码 301130101 301130101 301130101 301130101 301130101 301130101 301130101 301130101 301130101 301130101 301130101 301130101 301130101 301130101 301130101 301130101 301130101 301130101 301130101 301130101 301130101 301130101 301130101 301130101 301130101 301130101 301130101 301130101 301130101 301130101 301130101 301130101 301130101 301130101 301130101 301130101 301130101 301130101 301130101 301130101 301130101 301130101 301130101 301130101 301130101 301130101 301130101 301130101 301130101 301130101 301130101 综合能力测试 申论 65 58.2 66 57.2 58 65.1 65 58.1 63 60.1 63 60.1 65 58 58 65 63 59.9 61 61.9 63 59.9 63 59.8 63 59.7 64 58.7 65 57.7 63 59.7 63 59.7 60 62.7 63 59.7 62 60.6 66 56.6 59 63.6 69 53.4 64 58.4 58 64.3 60 62.3 63 59.2 52 70.2 65 57.2 54 68.2 64 58.2 65 57.1 60 62.1 69 53 61 61 64 58 62 59.9 60 61.9 59 62.9 64 57.9 65 56.9 62 59.9 61 60.8 62 59.8 62 59.8 61 60.8 63 58.7 60 61.7 64 57.7 61 60.6 61 60.5 笔试成绩 123.2 123.2 123.1 123.1 123.1 123.1 123 123 122.9 122.9 122.9 122.8 122.7 122.7 122.7 122.7 122.7 122.7 122.7 122.6 122.6 122.6 122.4 122.4 122.3 122.3 122.2 122.2 122.2 122.2 122.2 122.1 122.1 122 122 122 121.9 121.9 121.9 121.9 121.9 121.9 121.8 121.8 121.8 121.8 121.7 121.7 121.7 121.6 121.5 2021年天津市部分事业单位公开招聘工作人员笔试成绩单 招聘部门:天津市滨海新区新港街综合治理中心 报名序号 026126 011190 005754 014597 028402 024730 006540 005882 011072 013330 008976 033882 009901 017868 014543 019177 008295 017311 034064 032761 005040 033505 009056 017344 024465 013609 015071 022249 026118 005658 020114 024938 014616 022752 009759 021503 006584 033176 022848 026124 028579 024444 024638 004312 014962 025156 017272 024691 019459 014623 013603 姓名 武*辛 许* 吴*云 崔*方 张*琦 裴* 王*瑞 王*锋 张*乾 高*月 侯* 田*冰 李*唯 王*月 杨* 王*琪 朱*宇 王* 郝*艳 王*骄 张* 郭*宁 李*朋 高*昊 张* 王* 赫*岑 张*星 韩*钰 王*南 侯*鹏 曹*宇 张* 高*阳 张*哲 陈*杰 赵* 李*博 马*迪 孙* 王*蘅 李* 张*月 田*雅 赵*卓 张*萌 王*钢 张* 左*璇 王*正 王*琦 性别 女 女 女 女 女 女 男 男 男 女 女 男 女 女 女 女 男 女 女 女 男 女 女 男 女 男 女 男 女 女 男 女 女 女 女 女 男 女 女 女 女 女 女 女 女 女 男 女 女 男 男 身份证号 130534********7727 340521********2045 370781********7161 211421********0049 120108********0024 130202********1422 120108********0510 130324********0016 120221********0118 372330********1869 120108********0021 130926********2818 532501********0326 371426********5623 120111********0028 130726********5523 120108********0519 120221********2023 120105********4848 120107********3927 130929********0312 371326********0081 130732********0023 131024********001X 120112********0023 130827********2218 412727********2705 650103********1818 130502********062X 130721********5821 120222********4031 130131********4220 120110********1545 130804********0729 371421********0085 120111********3020 130283********0615 130727********1104 370786********3647 140224********0061 130827********0022 120112********3729 130227********6484 130322********4027 130225********3320 210323********4865 120107********2114 210726********0325 120109********2527 120109********0011 410702********1510 招聘岗位:管理岗 招聘人数:5人 进入面试人数:15人 职位代码 301130101 301130101 301130101 301130101 301130101 301130101 301130101 301130101 301130101 301130101 301130101 301130101 301130101 301130101 301130101 301130101 301130101 301130101 301130101 301130101 301130101 301130101 301130101 301130101 301130101 301130101 301130101 301130101 301130101 301130101 301130101 301130101 301130101 301130101 301130101 301130101 301130101 301130101 301130101 301130101 301130101 301130101 301130101 301130101 301130101 301130101 301130101 301130101 301130101 301130101 301130101 综合能力测试 申论 57 64.5 63 58.5 66 55.5 67 54.5 63 58.4 57 64.4 72 49.4 59 62.3 64 57.3 58 63.3 60 61.3 59 62.2 64 57.1 60 61.1 67 53.9 60 60.8 68 52.8 64 56.8 59 61.8 61 59.7 65 55.7 58 62.6 62 58.6 64 56.6 60 60.6 62 58.5 59 61.5 67 53.4 64 56.4 64 56.4 56 64.3 65 55.3 61 59.3 66 54.3 59 61.3 59 61.3 64 56.2 66 54.2 57 63.1 61 59.1 63 57 61 58.9 67 52.9 60 59.9 56 63.9 68 51.9 62 57.9 61 58.8 60 59.7 67 52.7 63 56.7 笔试成绩 121.5 121.5 121.5 121.5 121.4 121.4 121.4 121.3 121.3 121.3 121.3 121.2 121.1 121.1 120.9 120.8 120.8 120.8 120.8 120.7 120.7 120.6 120.6 120.6 120.6 120.5 120.5 120.4 120.4 120.4 120.3 120.3 120.3 120.3 120.3 120.3 120.2 120.2 120.1 120.1 120 119.9 119.9 119.9 119.9 119.9 119.9 119.8 119.7 119.7 119.7 2021年天津市部分事业单位公开招聘工作人员笔试成绩单 招聘部门:天津市滨海新区新港街综合治理中心 报名序号 013484 007458 009742 025382 022922 004263 015057 025347 034774 017225 018186 019504 014670 023166 020667 005742 010215 004753 027058 006634 019610 014848 027490 018508 001731 009731 022875 026766 014937 034679 017104 017759 009736 017334 014825 007813 013726 009816 032678 028256 006631 024490 026084 014933 024362 028156 017888 014617 014741 024394 014696 姓名 荆* 聂* 石*晶 王* 吴*绣 霍*羽 张*坤 李* 王*悦 张*杰 刘*含 李*佳 宁*浩 刘*达 张*丹 运* 孟*月 李*岭 卢*清 郑*轩 冯* 刘*媛 王*坤 史*远 王*尘 刘* 米*泽 张*梓 崔* 安* 马*彤 孙* 张*南 支*西 霍*燃 李* 沈*超 贾* 陈*妤 刘* 李*芳 张*怡 刘*聪 唐* 昝*雨 张*欣 魏*欣 李*栋 张* 单*慧 刘*杉 性别 女 女 女 男 女 女 男 男 女 女 女 女 女 男 女 女 女 女 女 男 女 女 男 男 男 女 男 女 男 女 男 女 女 男 女 女 男 女 女 女 女 女 男 女 女 女 女 男 男 女 女 身份证号 220582********0521 120225********0022 420325********6720 120223********4813 130227********1624 120107********782X 130223********6652 120223********0171 120113********0424 371202********4527 120110********0346 130729********0028 130283********0026 120113********401X 120224********3823 120221********0046 120109********4026 120224********4821 120114********0021 130733********0018 120107********2422 341282********1221 130823********0073 131082********2018 120221********1017 130903********1528 131102********1012 142303********3128 120107********4518 120113********0021 410521********4075 130322********002X 120107********6620 412723********2956 120113********4026 130730********1825 130922********4413 130283********0647 650102********002X 232330********4222 130703********2122 120112********0028 132930********3519 120111********3028 130434********7528 120223********5165 120108********2026 130503********001X 120224********5016 132930********4320 120223********5028 招聘岗位:管理岗 招聘人数:5人 进入面试人数:15人 职位代码 301130101 301130101 301130101 301130101 301130101 301130101 301130101 301130101 301130101 301130101 301130101 301130101 301130101 301130101 301130101 301130101 301130101 301130101 301130101 301130101 301130101 301130101 301130101 301130101 301130101 301130101 301130101 301130101 301130101 301130101 301130101 301130101 301130101 301130101 301130101 301130101 301130101 301130101 301130101 301130101 301130101 301130101 301130101 301130101 301130101 301130101 301130101 301130101 301130101 301130101 301130101 综合能力测试 申论 60 59.7 57 62.6 68 51.6 63 56.6 59 60.6 65 54.5 59 60.5 66 53.5 67 52.4 62 57.3 62 57.3 61 58.3 65 54.3 59 60.3 60 59.2 57 62.1 57 62.1 56 63.1 57 62.1 65 54.1 59 60.1 63 56 56 63 61 57.9 61 57.9 61 57.8 58 60.8 53 65.8 61 57.8 58 60.8 60 58.7 54 64.7 58 60.7 58 60.7 59 59.6 67 51.6 61 57.6 62 56.6 64 54.6 71 47.5 58 60.5 68 50.5 57 61.4 62 56.4 59 59.4 65 53.4 60 58.2 59 59.2 62 56.2 55 63.1 61 57.1 笔试成绩 119.7 119.6 119.6 119.6 119.6 119.5 119.5 119.5 119.4 119.3 119.3 119.3 119.3 119.3 119.2 119.1 119.1 119.1 119.1 119.1 119.1 119 119 118.9 118.9 118.8 118.8 118.8 118.8 118.8 118.7 118.7 118.7 118.7 118.6 118.6 118.6 118.6 118.6 118.5 118.5 118.5 118.4 118.4 118.4 118.4 118.2 118.2 118.2 118.1 118.1 2021年天津市部分事业单位公开招聘工作人员笔试成绩单 招聘部门:天津市滨海新区新港街综合治理中心 报名序号 026940 014596 035610 024378 003306 002259 034294 001697 005944 009915 005851 027462 009850 014955 014852 021808 013749 024451 026890 027056 009916 009713 018319 005458 025242 010612 019881 026056 033109 026802 002247 014978 030497 013410 014562 022409 018537 018623 024744 007462 009990 007782 010798 007978 010615 005787 007447 005700 026898 014916 013758 姓名 洪*媛 王*平 刘* 钱* 冯* 郭* 李*欣 申* 叶*铭 刘*晴 王* 张* 王*航 马*佳 李*曦 田* 刘* 王*岐 侯*钰 樊*姝 郝*慧 杜* 亓*豪 孙*琪 王*剑 刘*朦 纪*铎 付*展 石*丹 徐*楠 刘* 杨*男 徐* 张* 张*漪 李*欣 李*博 刘*易 刘*飞 张* 张*丽 王*予 刘*曦 姚* 徐*杰 郭*盈 于*功 袁* 张*平 李* 姚* 性别 女 女 女 女 女 女 女 女 男 女 女 男 男 女 女 女 男 女 女 女 女 男 男 女 男 女 女 女 女 女 女 女 女 女 女 女 男 男 男 女 女 女 女 女 男 女 男 女 女 女 女 身份证号 130281********5329 130927********016X 131127********1603 120109********454X 120109********6522 142427********6320 130681********0626 130533********0024 120225********6012 120108********0526 371424********0063 131025********2417 231123********0014 130683********1323 370832********3140 130223********932X 120222********0612 120225********0048 130181********4521 211421********2428 130221********0040 120223********0198 131025********1519 130821********7964 142429********0017 130925********5049 120222********0528 130925********742X 130984********3644 410526********0286 120107********3027 130426********5222 120108********4020 131181********1529 130426********5246 130822********104X 120109********4014 120225********6316 130224********0819 120224********6427 620422********5721 120109********1029 130983********2225 130229********0041 120221********001X 130929********0065 371523********1250 130705********1526 130726********0467 130202********0326 120225********1341 招聘岗位:管理岗 招聘人数:5人 进入面试人数:15人 职位代码 301130101 301130101 301130101 301130101 301130101 301130101 301130101 301130101 301130101 301130101 301130101 301130101 301130101 301130101 301130101 301130101 301130101 301130101 301130101 301130101 301130101 301130101 301130101 301130101 301130101 301130101 301130101 301130101 301130101 301130101 301130101 301130101 301130101 301130101 301130101 301130101 301130101 301130101 301130101 301130101 301130101 301130101 301130101 301130101 301130101 301130101 301130101 301130101 301130101 301130101 301130101 综合能力测试 申论 58 60.1 63 55.1 54 64 61 57 57 60.9 56 61.9 62 55.9 53 64.8 61 56.8 47 70.8 60 57.7 64 53.6 57 60.6 58 59.6 65 52.5 61 56.5 60 57.5 63 54.5 67 50.4 60 57.4 63 54.4 54 63.4 56 61.4 58 59.3 60 57.3 57 60.2 59 58.2 60 57.2 67 50.1 53 64.1 63 54 57 60 60 57 61 56 59 58 59 58 68 48.9 66 50.9 63 53.8 61 55.8 60 56.7 57 59.7 52 64.7 59 57.6 60 56.6 62 54.6 68 48.6 56 60.5 63 53.5 63 53.5 59 57.5 笔试成绩 118.1 118.1 118 118 117.9 117.9 117.9 117.8 117.8 117.8 117.7 117.6 117.6 117.6 117.5 117.5 117.5 117.5 117.4 117.4 117.4 117.4 117.4 117.3 117.3 117.2 117.2 117.2 117.1 117.1 117 117 117 117 117 117 116.9 116.9 116.8 116.8 116.7 116.7 116.7 116.6 116.6 116.6 116.6 116.5 116.5 116.5 116.5 2021年天津市部分事业单位公开招聘工作人员笔试成绩单 招聘部门:天津市滨海新区新港街综合治理中心 报名序号 026127 024842 033561 034571 014632 022169 032113 010649 009342 014603 014639 024560 021494 014835 031797 017873 022916 026129 029750 024859 017048 035954 010751 026086 017758 010288 026121 024921 018862 027123 010196 009911 029754 022208 017811 026081 017165 005991 025243 021482 014625 014604 005931 010151 020230 007764 004582 032659 017859 034357 012071 姓名 刘*宇 曹*欣 聂* 卢* 董*涛 李* 王*赛 景*翠 郭*琨 冯*南 吕* 张*悦 周*力 姚* 张*玉 杨* 高* 杨*雨 刘* 张*洋 王* 何*怡 续*明 张*文 殷*媛 薛*欣 徐*庚 刘*萱 王*萱 任*源 赵* 李* 杨* 杨*刚 于*存 宋*津 崔*涵 李*晨 张*锦 豆*昌 肖*宇 郭*彤 陈*柳 陆* 贾*宽 赵* 杜*宁 汪*叶 张*睿 李*玉 侯*炜 性别 女 女 女 男 女 女 女 女 男 女 女 女 女 女 女 男 女 女 女 女 女 女 女 女 女 女 女 女 女 女 女 女 女 男 女 男 女 女 女 男 女 女 女 男 男 女 女 女 男 女 女 身份证号 130828********0020 120113********0021 210602********3524 120222********2918 130283********0020 120225********002X 130434********7568 140524********5227 130224********0817 120221********0025 130902********1226 120222********3624 120113********0023 372922********5723 120110********304X 120221********0059 120223********5026 130981********0021 130826********862X 120112********3748 120222********002X 130927********2425 140729********0125 120101********3523 120222********6223 370284********6429 130221********4128 130227********6482 220524********0022 230826********0222 370685********5020 130828********0623 120112********0922 130823********001X 130638********8029 120109********7038 370522********002X 130921********2023 130922********0022 411481********5413 120222********7849 130621********7527 520221********3764 130822********001X 120223********3516 130283********0021 130202********7029 342531********0228 120104********4715 130925********7222 140202********5529 招聘岗位:管理岗 招聘人数:5人 进入面试人数:15人 职位代码 301130101 301130101 301130101 301130101 301130101 301130101 301130101 301130101 301130101 301130101 301130101 301130101 301130101 301130101 301130101 301130101 301130101 301130101 301130101 301130101 301130101 301130101 301130101 301130101 301130101 301130101 301130101 301130101 301130101 301130101 301130101 301130101 301130101 301130101 301130101 301130101 301130101 301130101 301130101 301130101 301130101 301130101 301130101 301130101 301130101 301130101 301130101 301130101 301130101 301130101 301130101 综合能力测试 申论 62 54.4 55 61.4 57 59.3 61 55.3 63 53.3 60 56.2 61 55.2 56 60.2 57 59.1 56 59.9 60 55.9 64 51.8 53 62.8 66 49.8 58 57.7 59 56.7 59 56.7 64 51.7 59 56.7 61 54.7 60 55.7 60 55.6 55 60.6 58 57.6 56 59.5 62 53.5 66 49.3 60 55.3 58 57.3 64 51.2 57 58.2 53 62.2 57 58.2 63 52.2 56 59.1 59 56.1 68 47.1 66 49.1 54 61 61 54 62 53 53 62 56 59 55 59.9 59 55.9 59 55.9 58 56.9 64 50.8 55 59.8 56 58.7 57 57.6 笔试成绩 116.4 116.4 116.3 116.3 116.3 116.2 116.2 116.2 116.1 115.9 115.9 115.8 115.8 115.8 115.7 115.7 115.7 115.7 115.7 115.7 115.7 115.6 115.6 115.6 115.5 115.5 115.3 115.3 115.3 115.2 115.2 115.2 115.2 115.2 115.1 115.1 115.1 115.1 115 115 115 115 115 114.9 114.9 114.9 114.9 114.8 114.8 114.7 114.6 2021年天津市部分事业单位公开招聘工作人员笔试成绩单 招聘部门:天津市滨海新区新港街综合治理中心 报名序号 021401 013344 017328 025109 027446 021470 035965 005619 001741 014541 029624 012416 005900 014544 031803 023176 027944 016187 026097 024552 017192 032576 029487 017895 005137 015068 010183 014879 017902 018608 032603 003352 032494 004041 008752 019808 007937 014903 014883 029537 025290 026965 015053 028590 027507 014622 034494 007588 014552 017909 019155 姓名 王* 闫*玲 王*超 刘*鑫 程*奕 孟*怡 乔*真 胡*琛 王* 王*瑶 路*欣 林*杰 张* 陈*路 李*山 李*川 刘*乐 杨*新 杜*怡 许* 牛*杰 王*华 郑*琦 艾* 秦*池 贾*杰 王*珏 谢* 李* 扶*玢 李*楠 杨* 安* 刘*洋 马*维 赵*洁 甘* 井* 姚*桥 郝*琳 胡*鹤 张*霞 张*雯 翟*之 王* 李*雨 曹*宏 王*浩 张* 秦*艳 朱*强 性别 女 女 男 男 男 女 女 女 女 女 男 男 女 女 男 男 女 女 女 女 女 女 女 女 女 男 女 男 女 女 女 女 男 男 女 女 女 女 男 女 女 女 女 男 女 女 女 男 女 女 男 身份证号 131102********0640 130983********004X 120107********7817 120112********0438 132930********3531 210904********3021 130523********002X 120222********2023 120223********2027 120102********2045 140602********9017 152502********0916 130825********0024 120222********7521 120101********4511 130283********0010 131127********5502 130922********364X 130106********1226 120114********3827 130821********7528 110223********0068 120224********3028 120104********4324 130184********0025 130425********753X 120103********4223 130223********0659 370181********5623 130705********0346 120221********0525 130323********562X 140623********0015 130283********2313 120221********0027 130928********0027 120223********5163 130626********3542 120222********0432 130201********0021 411628********4649 371402********674X 120107********4525 120223********2015 130635********0829 120112********372X 120107********2420 130283********0035 120222********5421 341221********3822 342623********3414 招聘岗位:管理岗 招聘人数:5人 进入面试人数:15人 职位代码 301130101 301130101 301130101 301130101 301130101 301130101 301130101 301130101 301130101 301130101 301130101 301130101 301130101 301130101 301130101 301130101 301130101 301130101 301130101 301130101 301130101 301130101 301130101 301130101 301130101 301130101 301130101 301130101 301130101 301130101 301130101 301130101 301130101 301130101 301130101 301130101 301130101 301130101 301130101 301130101 301130101 301130101 301130101 301130101 301130101 301130101 301130101 301130101 301130101 301130101 301130101 综合能力测试 申论 54 60.6 61 53.6 53 61.6 61 53.6 56 58.5 61 53.5 63 51.4 56 58.4 59 55.4 56 58.3 60 54.3 59 55.3 58 56.3 51 63.2 62 52.2 57 57.2 64 50.2 57 57.2 54 60.2 54 60.2 52 62.1 58 56.1 56 58 56 58 62 52 54 59.9 62 51.9 62 51.9 58 55.9 57 56.9 59 54.8 57 56.8 56 57.8 62 51.8 60 53.8 53 60.7 62 51.7 56 57.7 56 57.6 59 54.6 53 60.6 53 60.6 62 51.5 58 55.4 58 55.4 57 56.4 54 59.4 58 55.4 59 54.4 48 65.3 60 53.2 笔试成绩 114.6 114.6 114.6 114.6 114.5 114.5 114.4 114.4 114.4 114.3 114.3 114.3 114.3 114.2 114.2 114.2 114.2 114.2 114.2 114.2 114.1 114.1 114 114 114 113.9 113.9 113.9 113.9 113.9 113.8 113.8 113.8 113.8 113.8 113.7 113.7 113.7 113.6 113.6 113.6 113.6 113.5 113.4 113.4 113.4 113.4 113.4 113.4 113.3 113.2 2021年天津市部分事业单位公开招聘工作人员笔试成绩单 招聘部门:天津市滨海新区新港街综合治理中心 报名序号 003612 009347 011995 001732 007509 024951 005970 007799 022930 009366 005933 019137 027043 013695 014860 014607 031824 013385 007608 006595 009748 017882 033061 014704 013644 005065 008488 024932 027053 025354 010001 014892 017826 024575 032742 005007 035102 024880 014627 010503 004367 004305 009834 022891 014676 003879 022925 009922 028953 009761 003611 姓名 任*华 林*琨 卢* 杨* 王* 张*倩 王*玉 郭*玮 王* 崔* 苑*雯 马*怡 彭*之 李*旸 刘*晨 刘* 徐* 翟*淇 杨*远 杨*菁 杨*华 王* 赵*源 王*端 王*东 杨*娜 崔*伊 韩* 宁*凡 付*月 邱*康 李*吉 孙*文 刘*丹 刘*瑾 李* 郭*玲 付*阳 卜*丽 敖*然 王* 李*耘 周* 董*雨 路*雯 王* 丁*楠 杨*源 屈*成 刘* 董*雅 性别 女 男 女 男 女 女 女 男 女 男 女 女 男 女 女 女 男 女 男 女 女 女 女 男 男 女 女 女 女 女 男 男 男 女 女 男 女 女 女 女 女 女 女 女 女 男 男 女 男 女 女 身份证号 410782********474X 120109********4517 120107********4521 362324********3917 120112********3324 130726********0727 130323********2660 370502********6452 130633********0024 120225********6171 371482********292X 130803********0029 520102********2416 130229********0022 120107********9029 120225********1865 120221********0014 120111********1528 120222********6731 371481********006X 371423********3427 130731********0023 120112********2522 120112********3713 130983********4510 130224********856X 120108********1021 120221********0824 130283********0666 130981********4822 120222********4213 370523********0318 120110********0014 130104********2428 120222********1424 130424********0014 131127********1589 372324********6420 412326********5729 120107********1827 130983********5024 120111********2049 522501********3622 130182********1943 120112********0448 120225********0814 130804********0032 120223********0164 120221********0030 612731********2826 120105********4524 招聘岗位:管理岗 招聘人数:5人 进入面试人数:15人 职位代码 301130101 301130101 301130101 301130101 301130101 301130101 301130101 301130101 301130101 301130101 301130101 301130101 301130101 301130101 301130101 301130101 301130101 301130101 301130101 301130101 301130101 301130101 301130101 301130101 301130101 301130101 301130101 301130101 301130101 301130101 301130101 301130101 301130101 301130101 301130101 301130101 301130101 301130101 301130101 301130101 301130101 301130101 301130101 301130101 301130101 301130101 301130101 301130101 301130101 301130101 301130101 综合能力测试 申论 51 62.2 58 55.2 54 59.2 56 57.1 58 55.1 60 53.1 63 50.1 55 58.1 59 54.1 55 58 51 62 50 62.9 61 51.8 54 58.8 59 53.8 59 53.7 56 56.7 56 56.6 53 59.6 61 51.6 57 55.6 52 60.6 62 50.6 57 55.6 55 57.5 52 60.5 47 65.5 55 57.4 53 59.4 51 61.4 57 55.4 55 57.3 60 52.2 55 57.2 65 47.2 56 56.1 53 59.1 60 52.1 51 60.9 51 60.9 53 58.9 62 49.9 63 48.7 56 55.7 58 53.7 55 56.7 57 54.7 53 58.6 57 54.6 61 50.6 56 55.6 笔试成绩 113.2 113.2 113.2 113.1 113.1 113.1 113.1 113.1 113.1 113 113 112.9 112.8 112.8 112.8 112.7 112.7 112.6 112.6 112.6 112.6 112.6 112.6 112.6 112.5 112.5 112.5 112.4 112.4 112.4 112.4 112.3 112.2 112.2 112.2 112.1 112.1 112.1 111.9 111.9 111.9 111.9 111.7 111.7 111.7 111.7 111.7 111.6 111.6 111.6 111.6 2021年天津市部分事业单位公开招聘工作人员笔试成绩单 招聘部门:天津市滨海新区新港街综合治理中心 报名序号 025389 009111 018514 004446 013427 004391 004277 005796 032748 026361 014635 034360 019538 017238 026094 026978 024883 006559 002526 033226 025254 002943 006638 025371 018810 029352 019889 009924 010777 017158 007574 005797 017830 024847 010761 025358 019166 033728 020120 019515 036608 017934 016807 028133 006588 022417 010893 022202 034631 009744 033071 姓名 刘*琦 张*妮 张*妍 刘* 邱*琪 边*洁 孟*婉 李*彧 李* 巩* 林* 钱*凯 崔*洁 徐* 田*女 冯*森 王*玉 田*蕊 周*琪 安*良 田*晴 陈*怡 张* 魏*昕 韩* 张*禹 金* 李* 杨* 张*迪 王*艳 潘* 柳*雯 张* 黄* 肖* 徐*妍 顾*晶 卢*春 贺*然 魏*佳 董*琦 杨*捷 刘*溥 岳* 刘* 毕*晶 刘*雯 徐*琳 汪* 王* 性别 女 女 女 女 女 女 女 女 男 女 男 男 女 女 女 女 男 女 女 男 女 女 女 女 女 男 女 女 女 女 女 男 女 女 女 女 女 女 男 女 女 男 男 女 女 女 女 女 女 女 女 身份证号 130522********2220 131022********2627 130923********0020 120112********252X 120108********0020 370911********3649 370923********152X 120108********1020 120110********091X 130525********1121 120111********0532 130125********0037 132930********4723 370124********0020 130281********3141 371326********8526 120112********0918 130202********1426 650102********4522 131081********0019 120223********0629 450521********004X 120223********1229 321324********1309 120112********2524 120225********001X 120107********5121 130202********8327 120107********242X 620422********6221 622301********8122 412722********1012 120109********702X 120224********1126 130922********5622 120225********6329 130324********4246 120109********3023 120223********3518 120223********1225 130922********1246 120111********051X 120103********7012 130983********3528 370303********1026 152123********6701 130282********2826 130903********0326 130427********0027 120224********7523 130705********1521 招聘岗位:管理岗 招聘人数:5人 进入面试人数:15人 职位代码 301130101 301130101 301130101 301130101 301130101 301130101 301130101 301130101 301130101 301130101 301130101 301130101 301130101 301130101 301130101 301130101 301130101 301130101 301130101 301130101 301130101 301130101 301130101 301130101 301130101 301130101 301130101 301130101 301130101 301130101 301130101 301130101 301130101 301130101 301130101 301130101 301130101 301130101 301130101 301130101 301130101 301130101 301130101 301130101 301130101 301130101 301130101 301130101 301130101 301130101 301130101 综合能力测试 申论 53 58.5 56 55.5 58 53.3 52 59.3 59 52.3 49 62.2 55 56.2 52 59.2 60 51.2 56 55.1 59 52.1 55 56.1 62 49.1 58 53.1 58 53.1 56 55 52 59 54 57 59 51.9 55 55.9 54 56.9 54 56.9 58 52.9 58 52.8 55 55.8 53 57.8 56 54.7 54 56.6 56 54.5 53 57.5 51 59.4 59 51.4 54 56.4 49 61.3 52 58.3 58 52.3 62 48.3 55 55.2 54 56.2 53 57.2 55 55.1 54 56.1 55 55 46 64 57 53 68 42 50 59.9 59 50.9 54 55.9 62 47.8 60 49.8 笔试成绩 111.5 111.5 111.3 111.3 111.3 111.2 111.2 111.2 111.2 111.1 111.1 111.1 111.1 111.1 111.1 111 111 111 110.9 110.9 110.9 110.9 110.9 110.8 110.8 110.8 110.7 110.6 110.5 110.5 110.4 110.4 110.4 110.3 110.3 110.3 110.3 110.2 110.2 110.2 110.1 110.1 110 110 110 110 109.9 109.9 109.9 109.8 109.8 2021年天津市部分事业单位公开招聘工作人员笔试成绩单 招聘部门:天津市滨海新区新港街综合治理中心 报名序号 029328 010639 024741 024899 014559 008941 010474 014613 014629 005894 015732 029344 018497 009876 020843 017188 017335 009873 024886 011952 024400 009944 022764 035419 014829 036095 034715 025149 010697 018189 022381 002222 014701 004437 019742 004607 019094 002101 007781 014951 004443 008956 024948 005735 007543 010864 014571 002188 008780 013307 009750 姓名 张* 王*琪 张*瑶 商*鹏 刘* 谢*钰 赵* 王* 任*珊 王*蕴 李* 刘*正 李*玉 郑*豪 戴*婷 范*莹 柴*楠 张*一 李*秋 刘*夏 刘* 魏*晨 韩*洋 李*萱 王*丽 韦*铭 周*君 王*帆 李*一 李*伶 唐*泽 窦*阳 郄*乙 韩*博 靳* 蒲*花 刘* 魏* 赵* 王* 周*利 刘*文 何*痕 张* 齐*玮 于*瑶 胡*玉 王*琪 刘*婷 顾* 戴*泽 性别 女 女 女 男 女 女 女 女 女 女 男 男 女 男 女 女 女 女 女 女 女 男 男 男 女 女 男 女 女 女 男 男 女 男 女 女 女 女 女 女 男 女 男 女 女 女 女 男 女 女 男 身份证号 412702********7822 120113********5227 130521********4022 130223********0612 130402********2488 130727********1069 130626********6244 131023********1226 130903********0329 370602********0226 130202********8215 120110********0018 120112********0922 130922********6834 132825********0063 130928********3722 140428********0429 130302********2522 120112********0420 120223********1049 120223********586X 120107********4515 120224********0314 130202********7212 130824********2528 370305********0749 332523********1118 130982********9826 130203********0023 120225********4166 120113********4810 120109********5052 130481********3326 120109********3018 120221********006X 622821********3129 120112********2121 210113********0561 120110********1224 120221********0044 120107********3612 130205********002X 120222********7516 130230********1826 120110********1547 120224********3626 120223********0621 120224********1911 372901********5726 120103********2921 131081********103X 招聘岗位:管理岗 招聘人数:5人 进入面试人数:15人 职位代码 301130101 301130101 301130101 301130101 301130101 301130101 301130101 301130101 301130101 301130101 301130101 301130101 301130101 301130101 301130101 301130101 301130101 301130101 301130101 301130101 301130101 301130101 301130101 301130101 301130101 301130101 301130101 301130101 301130101 301130101 301130101 301130101 301130101 301130101 301130101 301130101 301130101 301130101 301130101 301130101 301130101 301130101 301130101 301130101 301130101 301130101 301130101 301130101 301130101 301130101 301130101 综合能力测试 申论 49 60.8 51 58.8 54 55.8 60 49.8 56 53.8 52 57.7 59 50.7 50 59.7 54 55.7 68 41.6 60 49.6 57 52.6 56 53.6 55 54.5 54 55.5 55 54.5 55 54.5 53 56.5 54 55.4 46 63.4 55 54.3 51 58.3 51 58.2 54 55.1 48 61 63 45.9 58 50.9 52 56.8 62 46.8 53 55.8 58 50.8 50 58.7 55 53.7 59 49.7 55 53.7 56 52.6 55 53.5 47 61.5 50 58.5 52 56.5 54 54.4 51 57.4 54 54.3 52 56.3 52 56.3 50 58.2 55 53.2 54 54.1 54 54.1 47 61.1 52 56 笔试成绩 109.8 109.8 109.8 109.8 109.8 109.7 109.7 109.7 109.7 109.6 109.6 109.6 109.6 109.5 109.5 109.5 109.5 109.5 109.4 109.4 109.3 109.3 109.2 109.1 109 108.9 108.9 108.8 108.8 108.8 108.8 108.7 108.7 108.7 108.7 108.6 108.5 108.5 108.5 108.5 108.4 108.4 108.3 108.3 108.3 108.2 108.2 108.1 108.1 108.1 108 2021年天津市部分事业单位公开招聘工作人员笔试成绩单 招聘部门:天津市滨海新区新港街综合治理中心 报名序号 035427 014787 014631 018621 019163 028942 014651 030000 010807 013592 024755 009753 026886 007441 014558 009793 032947 017905 024967 017222 009355 007810 025252 025364 017189 024753 006590 017321 006554 032563 010701 030601 032588 030045 017405 017763 004727 013468 022890 017776 009939 010555 009906 020698 012441 028877 017173 005691 029452 017936 015062 姓名 刘*翔 王* 张*惠 王*君 高*强 陈*瑶 李*静 刘*斌 何* 刘*勇 辛*迪 徐*丽 商* 杨*琪 马*轩 顾* 姚* 刘*甫 胡*学 李*菲 陈* 吕*鑫 宛*辉 那*怡 张*旺 秦*娜 陈* 王*跃 李*宁 董* 白* 赵*怡 李*琦 樊* 杨*泽 佟*辉 郑*悦 李*国 吴*菲 陈*泽 张*涛 李* 沈*钗 刘*卫 高* 翟*凡 王*璐 路* 贾* 李* 张*一 性别 男 女 女 女 男 女 女 男 男 男 女 女 女 女 女 男 男 男 男 女 女 女 男 女 男 女 女 女 女 女 女 女 女 女 男 女 女 男 女 男 男 男 女 女 女 女 女 男 女 女 女 身份证号 412725********3856 230184********0625 130983********3321 130827********362X 130925********6216 130602********0926 130924********5222 120107********6616 130826********2818 450330********0717 120224********7527 372926********3880 120223********0160 142202********0125 622424********002X 120221********0036 120106********7013 120222********0011 130823********3515 131002********3425 370923********1940 131082********0266 130984********0030 130821********7969 120221********1612 410611********7523 130822********0023 120224********5027 220581********2125 230606********4825 120223********1025 120106********402X 120111********3544 131002********2248 130983********531X 230281********3720 120109********452X 120221********0511 130603********0646 120109********4017 120223********5171 140203********2915 130181********3328 131128********1220 120107********2426 120110********0328 120107********212X 130729********2114 622425********0627 150402********1121 152223********0268 招聘岗位:管理岗 招聘人数:5人 进入面试人数:15人 职位代码 301130101 301130101 301130101 301130101 301130101 301130101 301130101 301130101 301130101 301130101 301130101 301130101 301130101 301130101 301130101 301130101 301130101 301130101 301130101 301130101 301130101 301130101 301130101 301130101 301130101 301130101 301130101 301130101 301130101 301130101 301130101 301130101 301130101 301130101 301130101 301130101 301130101 301130101 301130101 301130101 301130101 301130101 301130101 301130101 301130101 301130101 301130101 301130101 301130101 301130101 301130101 综合能力测试 申论 60 48 56 51.9 50 57.9 45 62.8 54 53.8 52 55.8 54 53.7 61 46.7 62 45.6 60 47.6 52 55.6 47 60.6 42 65.6 58 49.5 54 53.4 58 49.4 55 52.4 57 50.3 55 52.3 54 53.2 53 54.2 60 47.1 52 55.1 58 49 50 56.9 51 55.8 50 56.8 46 60.7 56 50.7 58 48.7 56 50.7 60 46.7 58 48.7 55 51.6 60 46.6 53 53.5 52 54.5 56 50.5 57 49.5 52 54.4 56 50.3 46 60.3 52 54.3 49 57.2 52 54.1 47 59.1 52 54.1 50 56 53 52.9 54 51.9 50 55.8 笔试成绩 108 107.9 107.9 107.8 107.8 107.8 107.7 107.7 107.6 107.6 107.6 107.6 107.6 107.5 107.4 107.4 107.4 107.3 107.3 107.2 107.2 107.1 107.1 107 106.9 106.8 106.8 106.7 106.7 106.7 106.7 106.7 106.7 106.6 106.6 106.5 106.5 106.5 106.5 106.4 106.3 106.3 106.3 106.2 106.1 106.1 106.1 106 105.9 105.9 105.8 2021年天津市部分事业单位公开招聘工作人员笔试成绩单 招聘部门:天津市滨海新区新港街综合治理中心 报名序号 011882 005947 026069 019599 030210 005910 035921 011286 017163 006577 005294 017129 031773 011082 007481 010303 030444 026725 033824 026115 007887 021529 026243 025288 010737 008033 007976 026687 037590 019532 008686 002248 014600 005920 009997 013618 011975 005743 014820 022898 025131 011076 026092 003722 032594 024499 010465 024927 018634 024721 024969 姓名 刘* 成*微 范*蒙 朱*轩 荆*乔 翟*宁 刘* 王*妍 王*竹 王*晴 韩*冉 翟*文 范*钰 张*岩 张*圆 高*秀 刘*炜 张* 王* 张*尧 吴*香 范*珂 孙*辉 曹*琪 刘* 郑*富 武* 张*萍 成* 王* 张* 李*莹 赵* 冀* 王*睿 赵* 胡*瑜 周* 田*延 周*玉 荣*君 赵*玮 郭* 王*鹏 曹* 李*晔 陈*豪 朱* 唐*盛 刘* 梁*花 性别 女 女 女 男 女 女 女 女 女 女 女 女 女 女 女 女 男 女 女 女 女 女 男 男 女 男 女 女 女 男 女 女 男 女 女 女 男 男 男 女 女 男 女 男 女 女 女 女 男 女 女 身份证号 120107********2720 130984********1865 130527********0868 120112********3318 120107********4523 132930********472X 130424********0025 120225********0042 120109********4520 120105********1249 130730********1847 132930********4807 120225********6327 120109********0027 120102********3823 120110********1521 120223********4811 120223********0023 131026********7424 120109********5525 620421********2523 130428********1726 120223********2718 130225********2738 120221********0046 120107********5716 130733********072X 130705********0020 372922********7866 220181********3138 120225********616X 120110********0925 210703********2231 130724********222X 120104********2528 130730********0821 130922********005X 140602********9013 120223********407X 130434********1669 120107********5165 120223********2671 372922********572X 131127********0034 131002********1828 120105********2120 140602********8549 130324********0026 120221********0512 220604********0027 142223********674X 招聘岗位:管理岗 招聘人数:5人 进入面试人数:15人 职位代码 301130101 301130101 301130101 301130101 301130101 301130101 301130101 301130101 301130101 301130101 301130101 301130101 301130101 301130101 301130101 301130101 301130101 301130101 301130101 301130101 301130101 301130101 301130101 301130101 301130101 301130101 301130101 301130101 301130101 301130101 301130101 301130101 301130101 301130101 301130101 301130101 301130101 301130101 301130101 301130101 301130101 301130101 301130101 301130101 301130101 301130101 301130101 301130101 301130101 301130101 301130101 综合能力测试 申论 51 54.8 57 48.8 48 57.7 52 53.7 60 45.6 47 58.5 47 58.4 46 59.4 51 54.4 50 55.2 55 50.2 50 55.2 53 52.2 56 49.1 46 59.1 46 59 52 53 51 54 50 55 51 53.9 49 55.9 52 52.8 52 52.7 57 47.7 48 56.7 54 50.7 54 50.7 59 45.6 52 52.5 53 51.5 51 53.4 51 53.4 58 46.4 52 52.4 47 57.4 52 52.4 49 55.3 55 49.2 51 53.2 48 56.2 49 55.1 58 46.1 59 45.1 58 46 47 56.9 59 44.8 51 52.8 50 53.8 51 52.7 50 53.7 52 51.7 笔试成绩 105.8 105.8 105.7 105.7 105.6 105.5 105.4 105.4 105.4 105.2 105.2 105.2 105.2 105.1 105.1 105 105 105 105 104.9 104.9 104.8 104.7 104.7 104.7 104.7 104.7 104.6 104.5 104.5 104.4 104.4 104.4 104.4 104.4 104.4 104.3 104.2 104.2 104.2 104.1 104.1 104.1 104 103.9 103.8 103.8 103.8 103.7 103.7 103.7 2021年天津市部分事业单位公开招聘工作人员笔试成绩单 招聘部门:天津市滨海新区新港街综合治理中心 报名序号 020206 006570 005121 014817 025349 006607 032639 001730 031793 001401 034671 005123 025147 014556 017741 035035 032683 014657 031045 008852 020841 033902 011979 014944 007778 010193 009117 002268 018628 002220 011904 033051 010657 009889 017141 025374 008767 033220 014610 005821 033460 009878 030457 017292 009987 023161 013714 005803 034708 036525 014841 姓名 曹*坤 刘*航 李*云 张* 常*菲 苏*锴 刘*坤 薛*文 任*圆 王*曈 刘*宇 鄢* 李*琼 于*义 于*泳 胡*哲 金*平 陈* 王*琦 周*财 黄*婷 郭*萌 郑*轩 张*华 戴*曾 王*贤 段*艳 张* 任*杰 兰*婧 贾* 李*葶 刘*凡 赵*烨 田*慈 杨*雨 张*莹 刘*培 陈* 商* 洪* 杨*薇 曹*志 杨*辉 刘* 鲁*辰 张*明 郑* 赵*磊 唐* 张* 性别 女 男 女 女 女 男 男 女 女 女 女 男 女 男 男 男 女 女 女 男 女 女 女 女 女 男 女 女 女 女 女 女 男 女 女 男 女 女 女 女 女 女 男 男 女 男 女 男 男 女 男 身份证号 130903********2129 410523********7517 130321********7324 120224********3825 130223********0623 152127********0113 130227********6519 120109********6524 342601********2745 120107********4522 130282********2623 120109********7012 411521********4640 130826********7917 120109********3013 130624********0218 120225********6065 120223********3321 120223********2868 130230********0913 330283********0023 410503********5061 130227********6420 131026********0049 120110********1222 130229********0090 372901********6886 120112********3768 130727********1900 140203********0863 130224********6522 120223********0423 130406********0337 140602********9065 130921********4023 130582********0216 120111********4023 371481********3024 120221********0523 370832********6720 342425********0040 130821********7965 120223********0017 120224********1714 120223********4068 120107********3919 120225********3563 120222********3137 131081********1614 370831********0744 130421********4217 招聘岗位:管理岗 招聘人数:5人 进入面试人数:15人 职位代码 301130101 301130101 301130101 301130101 301130101 301130101 301130101 301130101 301130101 301130101 301130101 301130101 301130101 301130101 301130101 301130101 301130101 301130101 301130101 301130101 301130101 301130101 301130101 301130101 301130101 301130101 301130101 301130101 301130101 301130101 301130101 301130101 301130101 301130101 301130101 301130101 301130101 301130101 301130101 301130101 301130101 301130101 301130101 301130101 301130101 301130101 301130101 301130101 301130101 301130101 301130101 综合能力测试 申论 45 58.6 48 55.6 53 50.4 49 54.4 51 52.4 54 49.4 51 52.3 56 47.3 47 56.3 54 49.2 49 54.2 54 49.1 53 50 48 55 50 53 52 51 57 45.9 45 57.9 51 51.8 47 55.8 55 47.8 54 48.8 46 56.7 56 46.7 50 52.6 49 53.6 44 58.5 50 52.5 47 55.4 53 49.3 54 48.2 52 50.2 48 54.1 51 51.1 46 56 48 54 55 46.9 56 45.9 47 54.8 55 46.7 50 51.6 48 53.6 50 51.5 54 47.5 55 46.5 57 44.4 51 50.2 51 50.2 45 56 55 46 44 57 笔试成绩 103.6 103.6 103.4 103.4 103.4 103.4 103.3 103.3 103.3 103.2 103.2 103.1 103 103 103 103 102.9 102.9 102.8 102.8 102.8 102.8 102.7 102.7 102.6 102.6 102.5 102.5 102.4 102.3 102.2 102.2 102.1 102.1 102 102 101.9 101.9 101.8 101.7 101.6 101.6 101.5 101.5 101.5 101.4 101.2 101.2 101 101 101 2021年天津市部分事业单位公开招聘工作人员笔试成绩单 招聘部门:天津市滨海新区新港街综合治理中心 报名序号 004631 014968 002219 030012 013308 024534 008862 005805 016655 027039 009375 022924 024391 004256 009813 030580 009751 017214 029771 035675 007601 004759 030073 008039 021304 010570 014896 028029 011925 033139 006617 032599 033386 024924 024904 030595 012106 007852 018322 033130 013377 033162 007585 031753 029590 002506 009925 005577 017169 005830 007760 姓名 尚*铭 张* 蒲*宇 潘*悦 田*雨 马*欣 哈*叶 侯*宇 严*惠 王*贤 赵*芳 杨*欣 于*柔 李* 李*颖 孙* 于*航 郭*圆 阎* 李* 刘*敏 韩*铭 龚*宇 李* 田*儒 高*格 李*峰 姜* 温*秀 高* 江* 路*萱 芦*茁 刘*雨 白*楠 杨*娇 齐*顺 王* 庞*靖 朱*沅 沈* 任* 刘* 聂*琦 李*轩 侯* 陈* 张* 谷*爽 李*莲 庞*月 性别 女 男 女 女 女 女 女 女 女 男 女 女 女 女 女 男 女 女 女 女 女 女 男 男 男 女 男 女 女 女 女 女 女 女 女 女 男 女 女 男 女 女 女 女 男 男 男 男 女 女 女 身份证号 120111********052X 130727********1057 120224********7520 120105********002X 131081********1029 152625********4524 130324********0042 130730********1860 420321********7623 120224********6214 140602********152X 120108********0041 130922********4423 120109********6526 120221********0027 140221********0010 130503********0629 120222********7824 120221********0028 120224********0043 620121********0522 142601********1323 120221********081X 120225********0016 640322********4317 232103********0226 120221********1119 130826********2825 130721********104X 120107********6322 130229********0021 120222********4623 120101********3527 130282********452X 130983********5022 120224********1129 130981********3818 130681********3845 130921********1220 130283********0737 120103********0783 142301********1829 120113********4428 370781********0762 130224********8518 130821********7972 130822********0012 120225********0011 411328********7169 120222********4424 130229********0040 招聘岗位:管理岗 招聘人数:5人 进入面试人数:15人 职位代码 301130101 301130101 301130101 301130101 301130101 301130101 301130101 301130101 301130101 301130101 301130101 301130101 301130101 301130101 301130101 301130101 301130101 301130101 301130101 301130101 301130101 301130101 301130101 301130101 301130101 301130101 301130101 301130101 301130101 301130101 301130101 301130101 301130101 301130101 301130101 301130101 301130101 301130101 301130101 301130101 301130101 301130101 301130101 301130101 301130101 301130101 301130101 301130101 301130101 301130101 301130101 综合能力测试 申论 51 49.8 49 51.8 42 58.7 46 54.5 49 51.4 51 49.4 49 51.3 47 53.3 43 57.1 59 41.1 59 40.9 47 52.9 56 43.9 47 52.8 52 47.7 55 44.6 49 50.4 46 53.4 50 49.3 44 55.3 49 50.3 44 55.2 53 46.1 46 53 42 56.9 45 53.8 54 44.5 45 53.5 41 57.5 50 48.4 42 56.4 47 51.3 37 61.2 45 53.1 52 46.1 52 46 45 52.9 40 57.9 46 51.8 40 57.6 46 51.5 47 50.4 42 55.3 39 58.2 55 42.2 46 51.1 50 47 49 48 40 56.9 42 54.9 48 48.8 笔试成绩 100.8 100.8 100.7 100.5 100.4 100.4 100.3 100.3 100.1 100.1 99.9 99.9 99.9 99.8 99.7 99.6 99.4 99.4 99.3 99.3 99.3 99.2 99.1 99 98.9 98.8 98.5 98.5 98.5 98.4 98.4 98.3 98.2 98.1 98.1 98 97.9 97.9 97.8 97.6 97.5 97.4 97.3 97.2 97.2 97.1 97 97 96.9 96.9 96.8 2021年天津市部分事业单位公开招聘工作人员笔试成绩单 招聘部门:天津市滨海新区新港街综合治理中心 报名序号 025394 014624 004381 024469 007988 010883 019530 017813 014964 014895 005886 035372 006594 004399 010294 029494 009825 024888 014553 018765 008261 013718 030737 030271 013335 002243 035654 011840 029482 024981 024540 010912 014569 003417 031248 002255 020873 032349 017719 036520 017750 004722 005615 030018 025276 033922 033895 010007 022283 025271 028087 姓名 刘*男 窦*军 王*然 杨* 袁*寒 赵*娟 黄*莹 刘*泽 安* 马*婷 马*清 董*鑫 李*芸 孙* 侯*婷 刘*雨 程*江 申*玮 岳*涛 胡* 毛*双 熊* 杨*逊 王* 程*丽 朱*颖 卢*蕾 李* 尹*春 张*玉 吴*莹 王*钺 王*涵 刘*宏 王*宇 郭*莹 韩*怡 陈* 曲*雅 张*杰 秦*杨 席*洋 王*聪 李*婷 刘*妤 陈*悦 林*捷 高*利 孟*弘 王*琳 李* 性别 男 男 女 女 女 女 女 男 女 女 女 男 女 女 女 女 男 男 男 女 女 女 男 女 女 女 女 女 男 女 女 男 女 男 女 女 女 女 女 女 男 女 男 女 女 女 女 男 男 女 男 身份证号 120107********3917 120224********1714 120107********5123 130726********3523 120222********004X 140521********362X 120112********0420 120109********3015 120111********0549 140181********3229 150424********0023 130282********1818 120109********5023 371481********1827 120113********4423 120109********3527 120223********4276 140108********1916 130630********2119 120223********044X 120112********2923 130202********362X 131002********3814 120112********2143 130824********5527 142603********1027 130281********0727 140602********9045 120111********051X 120113********5224 131082********2029 120110********3619 120104********7627 120109********301X 130324********4265 211382********0426 120109********3521 120222********7029 142222********0628 130281********2325 120109********6017 120221********0027 120105********1233 120225********0022 120109********502X 120222********6425 120223********1221 120107********9015 210521********001X 120102********2027 130983********5318 招聘岗位:管理岗 招聘人数:5人 进入面试人数:15人 职位代码 301130101 301130101 301130101 301130101 301130101 301130101 301130101 301130101 301130101 301130101 301130101 301130101 301130101 301130101 301130101 301130101 301130101 301130101 301130101 301130101 301130101 301130101 301130101 301130101 301130101 301130101 301130101 301130101 301130101 301130101 301130101 301130101 301130101 301130101 301130101 301130101 301130101 301130101 301130101 301130101 301130101 301130101 301130101 301130101 301130101 301130101 301130101 301130101 301130101 301130101 301130101 综合能力测试 申论 40 56.5 47 49.4 51 45.4 50 46.4 51 45.3 42 54.2 50 46.2 50 46.1 39 57 42 53.7 49 46.5 44 51.5 44 51.4 45 50.2 45 50.1 45 49.9 46 48.9 46 48.9 43 51.8 44 50.7 41 53.6 44 50.5 48 46.5 43 51.3 37 57.2 52 42 41 52.6 37 56.5 48 45.5 48 45.5 47 46.4 46 47.2 50 43.1 45 47.9 39 53.8 37 55.7 42 50.5 40 52.4 46 46.3 45 47.2 42 50.2 41 51.2 48 44.2 38 53.9 43 48.8 45 46.3 41 50.3 54 37.2 42 49 49 42 44 46.5 笔试成绩 96.5 96.4 96.4 96.4 96.3 96.2 96.2 96.1 96 95.7 95.5 95.5 95.4 95.2 95.1 94.9 94.9 94.9 94.8 94.7 94.6 94.5 94.5 94.3 94.2 94 93.6 93.5 93.5 93.5 93.4 93.2 93.1 92.9 92.8 92.7 92.5 92.4 92.3 92.2 92.2 92.2 92.2 91.9 91.8 91.3 91.3 91.2 91 91 90.5 2021年天津市部分事业单位公开招聘工作人员笔试成绩单 招聘部门:天津市滨海新区新港街综合治理中心 报名序号 020659 024514 035380 007824 032634 017891 014690 029560 012052 017284 018525 005782 001711 012339 021598 013450 020878 024806 005200 024719 025401 017279 012222 003881 024382 008427 033201 019854 005725 006608 013482 008364 024446 004735 024495 024488 005905 009752 017326 026079 017121 017162 033198 005053 004239 017183 003883 004451 018879 017176 017160 姓名 温*杰 陈* 崔* 梁* 冯* 李*妍 王*炜 岳*喆 罗* 刘*茹 马*华 张*琦 赵*菁 闫*燊 刘*钰 姜*炜 孙*晨 杨* 张*昊 宋* 吴*园 毛*阅 陈*静 崔*怡 李* 顾*如 郭*彤 赵*亮 王*雪 杨*睿 刘*莲 骆*成 孟*琳 郑*晴 崔*朋 吴*仪 沈*齐 王* 黄*辰 魏*丽 王*末 徐*婷 李*岚 梁*林 李*己 吕*发 高* 王* 王* 林*雨 王* 性别 女 女 女 男 女 女 男 女 女 女 男 女 女 男 女 女 女 男 女 女 女 女 女 女 女 女 女 男 女 男 女 男 女 女 男 女 男 女 男 女 女 女 女 男 男 男 男 女 男 女 女 身份证号 130503********2725 340222********6625 230826********1623 120222********3416 120223********2028 130727********3100 130221********0036 120221********0046 130828********5921 411381********5320 120221********3016 120222********7529 120107********1525 140181********4718 120107********6323 120109********3021 120107********7868 120107********2710 120108********1529 130229********2623 412822********1549 150403********1026 513922********7566 120108********052X 120223********1485 120110********0321 210311********1228 230231********3512 120222********4229 120109********6539 120221********1029 120109********4510 130721********2622 120107********6927 120222********241X 330411********1228 120107********211X 370402********6527 142230********6336 120109********352X 130224********6220 130202********1226 131024********0026 510703********2212 130984********3617 120110********331X 130227********3618 642224********1025 130321********9015 130283********152X 130983********502X 招聘岗位:管理岗 招聘人数:5人 进入面试人数:15人 职位代码 301130101 301130101 301130101 301130101 301130101 301130101 301130101 301130101 301130101 301130101 301130101 301130101 301130101 301130101 301130101 301130101 301130101 301130101 301130101 301130101 301130101 301130101 301130101 301130101 301130101 301130101 301130101 301130101 301130101 301130101 301130101 301130101 301130101 301130101 301130101 301130101 301130101 301130101 301130101 301130101 301130101 301130101 301130101 301130101 301130101 301130101 301130101 301130101 301130101 301130101 301130101 综合能力测试 申论 45 45.1 43 46.9 39 50.9 46 43.9 41 48.7 37 52.7 49 40.7 58 30.7 35 53.5 41 47.2 42 46.1 47 40.7 37 50.4 49 38.3 45 42.1 38 49 41 45.7 36 49.4 37 48.3 39 46.2 44 41 39 45.9 41 43.9 39 45.5 41 42.3 45 38.3 63 20.2 35 47.5 48 33.8 46 35.7 38 42.1 35 40.1 31 42.8 30 40.9 缺考 57 缺考 54 36 17.2 缺考 49 缺考 48 缺考 41 缺考 缺考 缺考 缺考 缺考 缺考 缺考 缺考 缺考 缺考 缺考 缺考 缺考 缺考 缺考 缺考 缺考 缺考 缺考 缺考 缺考 缺考 笔试成绩 90.1 89.9 89.9 89.9 89.7 89.7 89.7 88.7 88.5 88.2 88.1 87.7 87.4 87.3 87.1 87 86.7 85.4 85.3 85.2 85 84.9 84.9 84.5 83.3 83.3 83.2 82.5 81.8 81.7 80.1 75.1 73.8 70.9 57 54 53.2 49 48 41 0 0 0 0 0 0 0 0 0 0 0 2021年天津市部分事业单位公开招聘工作人员笔试成绩单 招聘部门:天津市滨海新区新港街综合治理中心 报名序号 019187 018528 019524 010734 013443 007560 009767 005765 029346 005745 018759 024911 019090 019130 019886 018599 018783 018530 018615 017856 018404 019534 011289 005717 011237 008292 005795 007444 005807 018547 020049 020137 020104 020602 020445 022331 005664 014570 013382 005790 007459 007806 020697 024930 021435 022843 024764 022127 014546 021590 013343 姓名 李* 宫*妮 于*源 李*昊 马*晨 韩*蕾 何*宽 曹*远 郎*春 郭*然 张*淳 付*鹏 秦*聪 李*远 范*麟 王*杰 王*宇 刘*含 张*强 李*全 刘*桦 李* 刘*滢 张*琪 耿*敏 喻*灏 卫*洲 贾*砚 王*萌 段*辉 胡* 陈*儿 田*莲 林*涵 王*伊 刘*菲 杨*珍 马*坤 张* 赵*双 王*冬 樊* 魏*琳 刘*莉 秦*煜 高*婷 刘*瑞 王* 王*添 付*虹 刘*媚 性别 女 女 男 男 男 女 男 男 男 女 女 男 女 男 男 女 女 女 男 男 女 女 女 女 女 男 男 女 女 女 女 女 女 男 男 女 女 男 女 女 男 男 女 女 女 女 女 女 女 女 女 身份证号 130705********0929 232324********4522 130202********8318 120221********0012 120224********1733 120221********0021 130431********0016 120222********5415 130283********0437 120105********3624 130283********0027 120222********2632 130184********0643 370883********1717 370785********0372 130826********7941 130721********518X 130224********002X 130822********0014 130902********1239 371327********6222 120223********484X 120223********0163 650204********1525 372325********2429 130282********5118 342425********3717 142429********5923 230229********5721 120225********144X 130828********0027 120108********2020 120223********5847 331081********003X 130229********3011 130403********0922 130429********0388 130227********3811 320324********1561 370181********3421 130921********5013 130302********5114 320211********6026 120221********1020 130127********0029 130125********3022 130302********1626 211302********042X 120223********0620 130105********2420 130725********2183 招聘岗位:管理岗 招聘人数:5人 进入面试人数:15人 职位代码 301130101 301130101 301130101 301130101 301130101 301130101 301130101 301130101 301130101 301130101 301130101 301130101 301130101 301130101 301130101 301130101 301130101 301130101 301130101 301130101 301130101 301130101 301130101 301130101 301130101 301130101 301130101 301130101 301130101 301130101 301130101 301130101 301130101 301130101 301130101 301130101 301130101 301130101 301130101 301130101 301130101 301130101 301130101 301130101 301130101 301130101 301130101 301130101 301130101 301130101 301130101 综合能力测试 申论 缺考 缺考 缺考 缺考 缺考 缺考 缺考 缺考 缺考 缺考 缺考 缺考 缺考 缺考 缺考 缺考 缺考 缺考 缺考 缺考 缺考 缺考 缺考 缺考 缺考 缺考 缺考 缺考 缺考 缺考 缺考 缺考 缺考 缺考 缺考 缺考 缺考 缺考 缺考 缺考 缺考 缺考 缺考 缺考 缺考 缺考 缺考 缺考 缺考 缺考 缺考 缺考 缺考 缺考 缺考 缺考 缺考 缺考 缺考 缺考 缺考 缺考 缺考 缺考 缺考 缺考 缺考 缺考 缺考 缺考 缺考 缺考 缺考 缺考 缺考 缺考 缺考 缺考 缺考 缺考 缺考 缺考 缺考 缺考 缺考 缺考 缺考 缺考 缺考 缺考 缺考 缺考 缺考 缺考 缺考 缺考 缺考 缺考 缺考 缺考 缺考 缺考 笔试成绩 0 0 0 0 0 0 0 0 0 0 0 0 0 0 0 0 0 0 0 0 0 0 0 0 0 0 0 0 0 0 0 0 0 0 0 0 0 0 0 0 0 0 0 0 0 0 0 0 0 0 0 2021年天津市部分事业单位公开招聘工作人员笔试成绩单 招聘部门:天津市滨海新区新港街综合治理中心 报名序号 018403 010510 010813 012099 014906 011797 011196 011915 013693 012363 014914 013747 014545 017793 002225 032581 017938 014548 014609 017128 014618 013578 013744 013596 001734 022869 002238 027132 003284 014602 005853 008414 003357 003462 014905 036364 014890 017120 014899 015065 003549 009954 006547 005936 002519 017291 004697 013666 004410 006602 004471 姓名 霍*晗 郑*淼 李*鲲 李* 于*源 司*崇 崔*莹 李*慧 沈*羽 苗*宁 张* 苏* 许*川 袁* 何* 王*智 崔*哲 于*妍 王*琦 杜*意 高* 赵*凡 于* 曲*静 元* 郭*辰 杨*翔 王*煊 李*媛 何* 李*杰 余*燕 鲍*琦 田*钰 李* 张*虹 郝*嘉 孙* 张*一 周* 李*予 李* 赵*宇 赵*阳 聂*宋 王*玮 刘*茁 张*敏 耿*硕 程*畅 姜*卿 性别 女 男 男 男 男 女 女 女 男 女 女 女 男 男 男 男 女 女 女 男 女 男 女 女 女 女 男 女 女 男 女 女 女 女 男 女 女 女 女 男 女 男 男 女 女 男 女 女 女 女 男 身份证号 231102********3229 120107********4515 360321********0039 120224********5712 120104********4314 371424********6326 130224********6526 130983********2221 120225********6319 130206********1828 120221********2427 120225********3180 120224********1512 371102********053X 330327********0215 130983********393X 372301********1021 120225********6161 120107********4522 370502********1213 130202********0624 130224********7691 371082********7426 130923********0023 120109********0024 130283********0029 210702********0239 131024********0743 120113********4826 130225********0030 220323********6325 130702********064X 120107********3629 130983********0025 120108********3517 370502********1668 130903********006X 230223********2422 130227********6426 130927********3010 130182********0022 130282********0056 130403********1214 231005********5247 342225********0027 130827********0017 120108********3026 120225********5124 372330********2461 131026********102X 371102********1055 招聘岗位:管理岗 招聘人数:5人 进入面试人数:15人 职位代码 301130101 301130101 301130101 301130101 301130101 301130101 301130101 301130101 301130101 301130101 301130101 301130101 301130101 301130101 301130101 301130101 301130101 301130101 301130101 301130101 301130101 301130101 301130101 301130101 301130101 301130101 301130101 301130101 301130101 301130101 301130101 301130101 301130101 301130101 301130101 301130101 301130101 301130101 301130101 301130101 301130101 301130101 301130101 301130101 301130101 301130101 301130101 301130101 301130101 301130101 301130101 综合能力测试 申论 缺考 缺考 缺考 缺考 缺考 缺考 缺考 缺考 缺考 缺考 缺考 缺考 缺考 缺考 缺考 缺考 缺考 缺考 缺考 缺考 缺考 缺考 缺考 缺考 缺考 缺考 缺考 缺考 缺考 缺考 缺考 缺考 缺考 缺考 缺考 缺考 缺考 缺考 缺考 缺考 缺考 缺考 缺考 缺考 缺考 缺考 缺考 缺考 缺考 缺考 缺考 缺考 缺考 缺考 缺考 缺考 缺考 缺考 缺考 缺考 缺考 缺考 缺考 缺考 缺考 缺考 缺考 缺考 缺考 缺考 缺考 缺考 缺考 缺考 缺考 缺考 缺考 缺考 缺考 缺考 缺考 缺考 缺考 缺考 缺考 缺考 缺考 缺考 缺考 缺考 缺考 缺考 缺考 缺考 缺考 缺考 缺考 缺考 缺考 缺考 缺考 缺考 笔试成绩 0 0 0 0 0 0 0 0 0 0 0 0 0 0 0 0 0 0 0 0 0 0 0 0 0 0 0 0 0 0 0 0 0 0 0 0 0 0 0 0 0 0 0 0 0 0 0 0 0 0 0 2021年天津市部分事业单位公开招聘工作人员笔试成绩单 招聘部门:天津市滨海新区新港街综合治理中心 报名序号 017132 019510 017252 020761 017193 018602 020867 018860 014695 005810 014539 005013 005563 005673 007880 005620 005492 005847 007772 010538 008458 022380 022339 022902 023138 026091 024876 013690 008514 010720 031746 007535 022758 009843 027477 022934 007964 013663 008255 028932 025103 024548 030338 025151 024663 024956 024628 025145 025100 007790 017236 姓名 唐*渊 吴*梦 焦*瑞 吴*聪 徐*洋 王*祥 李* 林*杰 杨*志 王*然 许* 杨*月 李*锈 李*玮 刘* 毛* 张*霖 任*鑫 张*建 刘* 张*姝 周*炜 张*璇 齐*宇 刘*琪 王* 王*坚 张*梦 许*双 王*迪 王*玥 付*璇 焦* 李*曦 陈*杰 赵*博 张*林 徐* 孙*洁 李*萍 李* 张*山 何*霏 马*婷 朱*睿 赵*松 王*美 程*梅 鲍* 付*荣 李* 性别 女 女 男 女 女 男 男 男 男 男 女 女 女 女 男 女 男 男 男 女 女 女 女 男 女 女 男 女 女 女 女 女 女 男 男 男 女 女 女 女 女 男 女 女 男 男 女 女 女 女 女 身份证号 130224********002X 130481********2125 120224********1519 130682********0046 130227********6481 130728********001X 410504********5014 352201********0013 120225********371X 120109********3012 220702********0428 130224********8527 130922********6423 120221********0026 120223********5010 120224********7528 130983********5318 130202********3616 120225********4212 120109********3520 120221********0044 131024********0024 370882********0023 130903********0612 120112********0029 130223********0629 210283********0018 130632********2023 131128********602X 120103********4525 152502********0921 130123********1821 140431********1227 120107********4510 450981********6012 120224********0017 130732********2361 372324********0024 411325********5029 371323********052X 532128********4146 120225********4313 130923********0026 120222********2428 120109********5516 372328********0915 130822********0325 152128********0927 130822********6628 130903********152X 130225********0023 招聘岗位:管理岗 招聘人数:5人 进入面试人数:15人 职位代码 301130101 301130101 301130101 301130101 301130101 301130101 301130101 301130101 301130101 301130101 301130101 301130101 301130101 301130101 301130101 301130101 301130101 301130101 301130101 301130101 301130101 301130101 301130101 301130101 301130101 301130101 301130101 301130101 301130101 301130101 301130101 301130101 301130101 301130101 301130101 301130101 301130101 301130101 301130101 301130101 301130101 301130101 301130101 301130101 301130101 301130101 301130101 301130101 301130101 301130101 301130101 综合能力测试 申论 缺考 缺考 缺考 缺考 缺考 缺考 缺考 缺考 缺考 缺考 缺考 缺考 缺考 缺考 缺考 缺考 缺考 缺考 缺考 缺考 缺考 缺考 缺考 缺考 缺考 缺考 缺考 缺考 缺考 缺考 缺考 缺考 缺考 缺考 缺考 缺考 缺考 缺考 缺考 缺考 缺考 缺考 缺考 缺考 缺考 缺考 缺考 缺考 缺考 缺考 缺考 缺考 缺考 缺考 缺考 缺考 缺考 缺考 缺考 缺考 缺考 缺考 缺考 缺考 缺考 缺考 缺考 缺考 缺考 缺考 缺考 缺考 缺考 缺考 缺考 缺考 缺考 缺考 缺考 缺考 缺考 缺考 缺考 缺考 缺考 缺考 缺考 缺考 缺考 缺考 缺考 缺考 缺考 缺考 缺考 缺考 缺考 缺考 缺考 缺考 缺考 缺考 笔试成绩 0 0 0 0 0 0 0 0 0 0 0 0 0 0 0 0 0 0 0 0 0 0 0 0 0 0 0 0 0 0 0 0 0 0 0 0 0 0 0 0 0 0 0 0 0 0 0 0 0 0 0 2021年天津市部分事业单位公开招聘工作人员笔试成绩单 招聘部门:天津市滨海新区新港街综合治理中心 报名序号 007969 010557 017022 009810 009788 025130 026077 025249 024972 026102 024991 024811 024936 031800 009052 009721 008986 002249 028249 021515 014773 014765 014737 014762 015474 014834 032008 032766 033217 033231 032608 033246 033193 033427 032675 033463 035112 005767 004300 011875 002257 024759 002260 003876 002258 005058 004453 014714 020591 014856 014837 姓名 王*杰 葛*茹 何*亚 张*彤 王* 谭* 郑*堃 李* 王*健 李*凡 兴*鑫 孟*祥 杨*浩 李*铭 张*卉 郝*菲 李* 张* 祁*旭 李*楠 楚* 赵* 马*斐 陈*锦 李*頔 曾*欣 李*特 袁*宇 于*悦 韩*娆 孙*清 李* 尹*娜 李*坤 白*菲 朱*臣 吴* 郑*宁 董* 马*欣 张*颖 刘*琳 孙*君 王*昊 王*鸿 杨*兴 韩*媛 穆*蕊 马*然 李*胜 于* 性别 女 女 女 女 女 女 女 女 女 男 男 男 男 女 女 女 女 女 男 女 男 男 女 女 男 女 男 女 女 女 女 女 女 男 女 男 女 女 男 女 女 女 男 男 男 男 女 女 女 男 女 身份证号 120225********2368 140302********1620 141002********0101 131102********0424 140224********9345 230604********3020 371202********2946 130921********2223 120225********6165 120102********5019 130535********0016 120223********3817 371525********5314 120223********0163 130225********1961 130705********1842 130923********002X 131102********0247 120223********1214 411221********3023 131082********0270 130922********0036 410422********0041 130802********002X 120223********0417 652301********5243 130528********3618 120222********4021 371421********0024 120107********2120 500228********374X 130927********0020 130730********1843 370522********0419 142630********1025 120109********7016 130930********0348 120224********3829 130229********781X 120108********0525 130825********2066 131002********2243 120111********1515 371481********0018 130983********5332 130225********0030 120108********0049 130983********0048 341225********5129 120109********4533 232302********0425 招聘岗位:管理岗 招聘人数:5人 进入面试人数:15人 职位代码 301130101 301130101 301130101 301130101 301130101 301130101 301130101 301130101 301130101 301130101 301130101 301130101 301130101 301130101 301130101 301130101 301130101 301130101 301130101 301130101 301130101 301130101 301130101 301130101 301130101 301130101 301130101 301130101 301130101 301130101 301130101 301130101 301130101 301130101 301130101 301130101 301130101 301130101 301130101 301130101 301130101 301130101 301130101 301130101 301130101 301130101 301130101 301130101 301130101 301130101 301130101 综合能力测试 申论 缺考 缺考 缺考 缺考 缺考 缺考 缺考 缺考 缺考 缺考 缺考 缺考 缺考 缺考 缺考 缺考 缺考 缺考 缺考 缺考 缺考 缺考 缺考 缺考 缺考 缺考 缺考 缺考 缺考 缺考 缺考 缺考 缺考 缺考 缺考 缺考 缺考 缺考 缺考 缺考 缺考 缺考 缺考 缺考 缺考 缺考 缺考 缺考 缺考 缺考 缺考 缺考 缺考 缺考 缺考 缺考 缺考 缺考 缺考 缺考 缺考 缺考 缺考 缺考 缺考 缺考 缺考 缺考 缺考 缺考 缺考 缺考 缺考 缺考 缺考 缺考 缺考 缺考 缺考 缺考 缺考 缺考 缺考 缺考 缺考 缺考 缺考 缺考 缺考 缺考 缺考 缺考 缺考 缺考 缺考 缺考 缺考 缺考 缺考 缺考 缺考 缺考 笔试成绩 0 0 0 0 0 0 0 0 0 0 0 0 0 0 0 0 0 0 0 0 0 0 0 0 0 0 0 0 0 0 0 0 0 0 0 0 0 0 0 0 0 0 0 0 0 0 0 0 0 0 0 2021年天津市部分事业单位公开招聘工作人员笔试成绩单 招聘部门:天津市滨海新区新港街综合治理中心 报名序号 015738 014797 017137 034727 035961 036090 034778 035376 035220 035071 035121 035015 035030 035180 005895 005761 009113 004270 019792 004611 017754 017116 017907 018286 012088 012142 014619 013418 026903 026131 026247 029765 029491 034370 034707 034527 034566 034836 035649 036012 036450 035387 035879 036084 035391 014538 013476 014565 029473 029713 028170 姓名 魏* 郭*雯 张*皓 王*哲 崔* 任*宁 佟*雨 刘* 苗*跃 雷* 张*阳 孙*雯 岳*禾 张*伦 赵*朋 秦*君 林*琦 池*菲 赵*琳 王*慧 杨*佳 李*岐 夏* 解*新 田*腾 刘* 宋*潼 史*晗 杜*悦 张* 刘* 何* 王*鹏 蓝*梅 任*杰 章*根 刘*敬 侯*飞 封*言 张*宇 冯*芊 顾* 齐* 崔* 唐*浅 梁*茜 尹*硕 唐* 李*欣 魏*婕 姚*妍 性别 女 女 男 男 女 女 女 男 女 男 女 女 女 男 男 女 女 女 女 女 女 男 男 女 女 女 女 女 女 女 女 女 男 女 女 男 女 女 女 女 女 男 女 女 女 女 男 女 女 女 女 身份证号 120107********2429 120113********4825 130802********1018 370882********4256 131081********2127 120112********2121 130283********7621 320922********0331 130429********0025 120106********2011 130682********3163 120113********0427 370522********1327 371481********0013 370481********1831 370923********0622 230822********0020 130723********0028 210105********4323 130282********3327 130638********8520 130424********0314 130684********7010 130223********0621 120222********4426 411023********6025 120111********152X 120221********004X 370811********1826 120225********4529 370522********0024 130221********0083 130225********0014 451227********1569 130434********6028 130502********1273 120224********7527 130627********0040 370681********1824 130230********2724 130229********5821 120224********5014 120225********6348 120224********7529 450324********102X 130323********2643 130223********6611 120108********0527 130225********5922 130726********1043 120108********0526 招聘岗位:管理岗 招聘人数:5人 进入面试人数:15人 职位代码 301130101 301130101 301130101 301130101 301130101 301130101 301130101 301130101 301130101 301130101 301130101 301130101 301130101 301130101 301130101 301130101 301130101 301130101 301130101 301130101 301130101 301130101 301130101 301130101 301130101 301130101 301130101 301130101 301130101 301130101 301130101 301130101 301130101 301130101 301130101 301130101 301130101 301130101 301130101 301130101 301130101 301130101 301130101 301130101 301130101 301130101 301130101 301130101 301130101 301130101 301130101 综合能力测试 申论 缺考 缺考 缺考 缺考 缺考 缺考 缺考 缺考 缺考 缺考 缺考 缺考 缺考 缺考 缺考 缺考 缺考 缺考 缺考 缺考 缺考 缺考 缺考 缺考 缺考 缺考 缺考 缺考 缺考 缺考 缺考 缺考 缺考 缺考 缺考 缺考 缺考 缺考 缺考 缺考 缺考 缺考 缺考 缺考 缺考 缺考 缺考 缺考 缺考 缺考 缺考 缺考 缺考 缺考 缺考 缺考 缺考 缺考 缺考 缺考 缺考 缺考 缺考 缺考 缺考 缺考 缺考 缺考 缺考 缺考 缺考 缺考 缺考 缺考 缺考 缺考 缺考 缺考 缺考 缺考 缺考 缺考 缺考 缺考 缺考 缺考 缺考 缺考 缺考 缺考 缺考 缺考 缺考 缺考 缺考 缺考 缺考 缺考 缺考 缺考 缺考 缺考 笔试成绩 0 0 0 0 0 0 0 0 0 0 0 0 0 0 0 0 0 0 0 0 0 0 0 0 0 0 0 0 0 0 0 0 0 0 0 0 0 0 0 0 0 0 0 0 0 0 0 0 0 0 0 2021年天津市部分事业单位公开招聘工作人员笔试成绩单 招聘部门:天津市滨海新区新港街综合治理中心 报名序号 028906 030910 028937 030817 031744 031766 031811 001736 002947 026109 002179 002223 005762 014628 017889 014885 033213 030649 031786 031790 031761 031167 032715 033910 032952 031966 008749 002241 024688 003271 003880 012308 034355 024988 025138 025365 025256 024645 025286 025259 027636 026689 030088 029792 030038 030899 030288 029573 033169 010562 011845 姓名 刘*云 侯* 李* 周* 李*辰 巩*洁 李*宁 许*婧 吴*蓉 王* 陈* 陈*如 王*宇 齐*瑶 陈*雨 曲*星 张*玮 陆*静 刘*荣 李*凤 李*霄 徐*菲 赵*栋 李*香 李*雨 胡*昕 李* 李* 王*阳 张*萱 陈*栋 张* 宋*杰 霍*杰 闫* 武*鹏 高* 刘*胜 卢*宗 裴*晗 詹*婷 鲁*芮 张*倩 胡*文 马*跃 仇*捷 李*翔 雷* 李*钰 商*煦 徐*壮 性别 女 女 女 女 男 女 女 女 女 女 男 女 女 女 男 女 女 女 女 女 男 女 女 女 女 女 女 女 女 女 男 男 女 男 女 男 女 男 男 男 女 女 女 女 男 女 男 女 男 女 男 身份证号 370786********4228 411402********8520 130283********0621 130102********0024 131182********121X 130581********4321 130230********0021 230506********022X 421023********3423 130682********6923 370284********3910 370702********2623 410825********754X 120102********2926 120222********2637 130703********0329 120107********3021 120110********0329 120109********6569 450322********0523 130925********5011 130622********8043 370883********0422 130224********6527 130230********3323 120109********5526 120222********7061 120224********2642 130205********1523 120107********3043 320902********7010 152101********031X 130924********0024 130202********1210 130281********3528 130121********001X 130283********0625 120223********2016 140430********0036 130283********7358 120113********0025 130425********204X 120107********272X 120107********4529 120221********0517 130125********0066 130821********7373 130283********0049 130223********0619 120223********0165 371522********6518 招聘岗位:管理岗 招聘人数:5人 进入面试人数:15人 职位代码 301130101 301130101 301130101 301130101 301130101 301130101 301130101 301130101 301130101 301130101 301130101 301130101 301130101 301130101 301130101 301130101 301130101 301130101 301130101 301130101 301130101 301130101 301130101 301130101 301130101 301130101 301130101 301130101 301130101 301130101 301130101 301130101 301130101 301130101 301130101 301130101 301130101 301130101 301130101 301130101 301130101 301130101 301130101 301130101 301130101 301130101 301130101 301130101 301130101 301130101 301130101 综合能力测试 申论 缺考 缺考 缺考 缺考 缺考 缺考 缺考 缺考 缺考 缺考 缺考 缺考 缺考 缺考 缺考 缺考 缺考 缺考 缺考 缺考 缺考 缺考 缺考 缺考 缺考 缺考 缺考 缺考 缺考 缺考 缺考 缺考 缺考 缺考 缺考 缺考 缺考 缺考 缺考 缺考 缺考 缺考 缺考 缺考 缺考 缺考 缺考 缺考 缺考 缺考 缺考 缺考 缺考 缺考 缺考 缺考 缺考 缺考 缺考 缺考 缺考 缺考 缺考 缺考 缺考 缺考 缺考 缺考 缺考 缺考 缺考 缺考 缺考 缺考 缺考 缺考 缺考 缺考 缺考 缺考 缺考 缺考 缺考 缺考 缺考 缺考 缺考 缺考 缺考 缺考 缺考 缺考 缺考 缺考 缺考 缺考 缺考 缺考 缺考 缺考 缺考 缺考 笔试成绩 0 0 0 0 0 0 0 0 0 0 0 0 0 0 0 0 0 0 0 0 0 0 0 0 0 0 0 0 0 0 0 0 0 0 0 0 0 0 0 0 0 0 0 0 0 0 0 0 0 0 0 2021年天津市部分事业单位公开招聘工作人员笔试成绩单 招聘部门:天津市滨海新区新港街综合治理中心 报名序号 010297 010448 009994 024674 027536 024596 026057 026072 025246 025366 026107 032651 031872 031859 032645 032107 032618 024946 015075 011870 017330 013394 011982 025257 025279 025359 028037 027542 028046 026427 029931 032942 033058 034562 034427 035087 034333 034114 034329 034346 026123 025368 025396 025363 026063 026729 026764 027540 026800 007858 008457 姓名 刘* 任*堃 鹿*利 肖*萍 唐* 秦* 朱*鑫 张* 寇*璐 张*雨 孟*灵 李* 魏*杰 钱*晴 帅*洁 李*鹤 裴*嫄 曹* 尹*钰 赵*蓉 李*北 刘*雪 冯*岺 刘*雷 李*硕 康*文 戴*霞 陈*坤 伊* 张* 许*梦 李*慧 王*媛 吴*玮 张*君 李*晶 李*秀 李*凡 张*水 佟* 周*琪 张*彬 尹*梦 冯*文 杨*婷 杨*燕 周*彦 刘* 房*达 周* 张* 性别 男 男 女 女 女 女 男 女 女 女 女 女 女 女 女 男 女 女 女 女 男 女 男 男 男 女 女 男 女 男 女 女 女 女 女 女 女 男 男 女 女 男 女 男 女 女 女 女 男 女 女 身份证号 120111********051X 120225********0692 370827********182X 420921********4645 120222********4041 150428********4947 120225********4718 130225********5926 130602********3621 230127********0045 140224********0049 140425********8040 120115********6226 120102********0624 130902********3620 130929********5734 131025********0069 130203********2444 130922********0023 141121********0089 130227********6430 120225********632X 120221********2017 130225********0018 131025********1537 362330********6548 130922********2426 120224********6014 371328********552X 130983********331X 411423********2027 150422********3042 371424********0922 420321********002X 120222********292X 321324********0823 140427********8063 372323********1214 211324********1350 220323********7528 130221********004X 120222********0658 120113********4821 120105********6013 140223********0524 130723********3221 130204********2428 130283********0048 370323********0059 120223********0184 372928********0220 招聘岗位:管理岗 招聘人数:5人 进入面试人数:15人 职位代码 301130101 301130101 301130101 301130101 301130101 301130101 301130101 301130101 301130101 301130101 301130101 301130101 301130101 301130101 301130101 301130101 301130101 301130101 301130101 301130101 301130101 301130101 301130101 301130101 301130101 301130101 301130101 301130101 301130101 301130101 301130101 301130101 301130101 301130101 301130101 301130101 301130101 301130101 301130101 301130101 301130101 301130101 301130101 301130101 301130101 301130101 301130101 301130101 301130101 301130101 301130101 综合能力测试 申论 缺考 缺考 缺考 缺考 缺考 缺考 缺考 缺考 缺考 缺考 缺考 缺考 缺考 缺考 缺考 缺考 缺考 缺考 缺考 缺考 缺考 缺考 缺考 缺考 缺考 缺考 缺考 缺考 缺考 缺考 缺考 缺考 缺考 缺考 缺考 缺考 缺考 缺考 缺考 缺考 缺考 缺考 缺考 缺考 缺考 缺考 缺考 缺考 缺考 缺考 缺考 缺考 缺考 缺考 缺考 缺考 缺考 缺考 缺考 缺考 缺考 缺考 缺考 缺考 缺考 缺考 缺考 缺考 缺考 缺考 缺考 缺考 缺考 缺考 缺考 缺考 缺考 缺考 缺考 缺考 缺考 缺考 缺考 缺考 缺考 缺考 缺考 缺考 缺考 缺考 缺考 缺考 缺考 缺考 缺考 缺考 缺考 缺考 缺考 缺考 缺考 缺考 笔试成绩 0 0 0 0 0 0 0 0 0 0 0 0 0 0 0 0 0 0 0 0 0 0 0 0 0 0 0 0 0 0 0 0 0 0 0 0 0 0 0 0 0 0 0 0 0 0 0 0 0 0 0 2021年天津市部分事业单位公开招聘工作人员笔试成绩单 招聘部门:天津市滨海新区新港街综合治理中心 报名序号 008475 008736 021446 021450 020486 024419 023186 024389 024415 026958 026807 028435 027127 027482 026727 026945 026655 027547 008454 014853 008970 022871 026096 008990 015055 009808 010706 010192 024787 026111 022895 031956 024496 024983 024850 026763 027532 028955 029371 031819 029610 029367 029616 029468 029671 030009 030061 009853 024482 010713 010869 姓名 张* 王* 杨* 史*浩 陈*歌 李*阳 张*德 赵*轩 李* 张*欣 张*星 耿*泽 孙*双 王* 张*桐 王*楠 邢* 张* 于*晨 陈*屹 于*菲 魏*博 刘*梅 马*宜 李*燃 郝*慧 黄*滢 何* 李* 李* 杨*广 魏*旋 焦*丽 梁*博 兰*宁 王*章 夏* 韦*瑞 崔*萱 甘*旭 张*瑶 高*雅 陈* 左*琳 陈*琦 姚*天 沈* 陈*明 董* 李* 张*轩 性别 女 女 女 男 女 女 男 男 女 女 男 女 女 女 女 女 男 男 男 男 女 男 女 女 男 女 女 女 女 女 男 女 女 男 女 女 女 女 女 男 女 女 女 女 女 男 男 女 女 女 男 身份证号 130983********3723 372321********0264 230921********1522 130634********1313 220122********0727 130982********0924 131124********0012 130203********1519 210727********692X 120108********1525 120224********4414 130283********0645 120109********3520 220582********0527 131026********8625 120111********0523 130223********4319 371581********0896 130926********2819 130223********0611 130902********0161 130202********0334 120109********4521 130230********0020 120224********0310 372901********2221 410603********0024 520102********3029 230121********3629 130527********0027 231005********2018 370503********0925 412825********5743 130104********1874 220625********1585 130123********5429 230221********026X 341221********322X 130223********0626 120223********0614 130426********0365 120222********0621 120108********0525 130638********7028 370702********5147 371328********0058 321323********3638 130203********1827 130282********0026 130321********292X 622102********8614 招聘岗位:管理岗 招聘人数:5人 进入面试人数:15人 职位代码 301130101 301130101 301130101 301130101 301130101 301130101 301130101 301130101 301130101 301130101 301130101 301130101 301130101 301130101 301130101 301130101 301130101 301130101 301130101 301130101 301130101 301130101 301130101 301130101 301130101 301130101 301130101 301130101 301130101 301130101 301130101 301130101 301130101 301130101 301130101 301130101 301130101 301130101 301130101 301130101 301130101 301130101 301130101 301130101 301130101 301130101 301130101 301130101 301130101 301130101 301130101 综合能力测试 申论 缺考 缺考 缺考 缺考 缺考 缺考 缺考 缺考 缺考 缺考 缺考 缺考 缺考 缺考 缺考 缺考 缺考 缺考 缺考 缺考 缺考 缺考 缺考 缺考 缺考 缺考 缺考 缺考 缺考 缺考 缺考 缺考 缺考 缺考 缺考 缺考 缺考 缺考 缺考 缺考 缺考 缺考 缺考 缺考 缺考 缺考 缺考 缺考 缺考 缺考 缺考 缺考 缺考 缺考 缺考 缺考 缺考 缺考 缺考 缺考 缺考 缺考 缺考 缺考 缺考 缺考 缺考 缺考 缺考 缺考 缺考 缺考 缺考 缺考 缺考 缺考 缺考 缺考 缺考 缺考 缺考 缺考 缺考 缺考 缺考 缺考 缺考 缺考 缺考 缺考 缺考 缺考 缺考 缺考 缺考 缺考 缺考 缺考 缺考 缺考 缺考 缺考 笔试成绩 0 0 0 0 0 0 0 0 0 0 0 0 0 0 0 0 0 0 0 0 0 0 0 0 0 0 0 0 0 0 0 0 0 0 0 0 0 0 0 0 0 0 0 0 0 0 0 0 0 0 0 2021年天津市部分事业单位公开招聘工作人员笔试成绩单 招聘部门:天津市滨海新区新港街综合治理中心 报名序号 019704 005694 022242 011800 017861 017730 017879 017841 022289 017883 010908 006597 006557 006628 012366 020036 018793 019934 024456 018746 026083 006621 012431 014549 018435 019790 034107 020044 021594 025250 024817 024794 024942 024666 026082 026059 026101 025383 007774 009955 007780 020675 029542 026319 014845 031881 025346 007934 024651 020653 020848 姓名 杨* 李* 李*云 李*凝 郑*静 张*绮 闫*烨 徐*芸 万* 刘*远 刘* 田*杰 郝*宇 高*成 梁*杰 赵*悦 菅*然 李*迎 左*欣 刘* 刘*莹 张*宇 李* 徐*遥 吴*炜 边*宇 李*瑾 吴* 丁*飞 杨*程 王*卓 杨*诗 杨* 王*楠 杨*源 杨*嘉 杨*宇 于*津 许*婷 赵*柠 陈*波 刘*伟 刘*茹 陈*杰 杜* 王*嘉 朱*诺 师*颖 孙* 王*怡 韩*萌 性别 女 女 女 女 女 女 女 女 男 男 女 女 男 男 男 女 女 女 女 女 女 女 女 女 女 女 女 女 男 男 女 女 女 男 男 女 男 男 女 女 女 女 女 女 女 女 女 女 女 女 女 身份证号 130924********5221 120222********6746 130682********4548 130206********0023 130202********0026 150402********0621 370123********5748 130224********7326 360121********5235 372325********0010 130423********472X 130281********0040 120223********0173 120224********2414 120224********2216 370921********1827 152822********1225 130621********5420 120107********6326 120112********0420 413026********4543 130733********0023 130982********0920 362322********752X 132930********4785 130903********1847 500101********0446 130105********2444 120225********1178 371302********061X 410504********1522 130632********1523 140524********0028 120106********1013 131128********0619 120224********3621 131025********1510 120221********1416 130223********2329 230302********4028 120221********0043 120223********2865 372929********0021 130224********0020 120224********3024 130281********1526 220523********0189 130581********722X 130721********4022 120225********0661 120222********6727 招聘岗位:管理岗 招聘人数:5人 进入面试人数:15人 职位代码 301130101 301130101 301130101 301130101 301130101 301130101 301130101 301130101 301130101 301130101 301130101 301130101 301130101 301130101 301130101 301130101 301130101 301130101 301130101 301130101 301130101 301130101 301130101 301130101 301130101 301130101 301130101 301130101 301130101 301130101 301130101 301130101 301130101 301130101 301130101 301130101 301130101 301130101 301130101 301130101 301130101 301130101 301130101 301130101 301130101 301130101 301130101 301130101 301130101 301130101 301130101 综合能力测试 申论 缺考 缺考 缺考 缺考 缺考 缺考 缺考 缺考 缺考 缺考 缺考 缺考 缺考 缺考 缺考 缺考 缺考 缺考 缺考 缺考 缺考 缺考 缺考 缺考 缺考 缺考 缺考 缺考 缺考 缺考 缺考 缺考 缺考 缺考 缺考 缺考 缺考 缺考 缺考 缺考 缺考 缺考 缺考 缺考 缺考 缺考 缺考 缺考 缺考 缺考 缺考 缺考 缺考 缺考 缺考 缺考 缺考 缺考 缺考 缺考 缺考 缺考 缺考 缺考 缺考 缺考 缺考 缺考 缺考 缺考 缺考 缺考 缺考 缺考 缺考 缺考 缺考 缺考 缺考 缺考 缺考 缺考 缺考 缺考 缺考 缺考 缺考 缺考 缺考 缺考 缺考 缺考 缺考 缺考 缺考 缺考 缺考 缺考 缺考 缺考 缺考 缺考 笔试成绩 0 0 0 0 0 0 0 0 0 0 0 0 0 0 0 0 0 0 0 0 0 0 0 0 0 0 0 0 0 0 0 0 0 0 0 0 0 0 0 0 0 0 0 0 0 0 0 0 0 0 0 2021年天津市部分事业单位公开招聘工作人员笔试成绩单 招聘部门:天津市滨海新区新港街综合治理中心 报名序号 021429 021424 019939 020242 025122 025392 姓名 张*晨 闻*淇 姜* 苏* 李*杰 王*焱 性别 女 男 男 女 男 女 身份证号 141081********0024 120225********0812 130227********6477 320721********5226 120224********751X 130203********0920 招聘岗位:管理岗 招聘人数:5人 进入面试人数:15人 职位代码 301130101 301130101 301130101 301130101 301130101 301130101 综合能力测试 申论 缺考 缺考 缺考 缺考 缺考 缺考 缺考 缺考 缺考 缺考 缺考 缺考 笔试成绩 0 0 0 0 0 0 分事业单位公开招聘工作人员笔试成绩单 理中心 招聘岗位:管理岗 招聘人数:5人 进入面试人数:15人 是否进入面 试 进入面试 进入面试 进入面试 进入面试 进入面试 进入面试 进入面试 进入面试 进入面试 进入面试 进入面试 进入面试 进入面试 进入面试 进入面试 未进面试 未进面试 未进面试 未进面试 未进面试 未进面试 未进面试 未进面试 未进面试 未进面试 未进面试 未进面试 未进面试 未进面试 未进面试 未进面试 未进面试 未进面试 未进面试 未进面试 未进面试 未进面试 未进面试 未进面试 未进面试 未进面试 未进面试 未进面试 未进面试 未进面试 未进面试 未进面试 未进面试 未进面试 未进面试 未进面试 是否进入面 试 未进面试 未进面试 未进面试 未进面试 未进面试 未进面试 未进面试 未进面试 未进面试 未进面试 未进面试 未进面试 未进面试 未进面试 未进面试 未进面试 未进面试 未进面试 未进面试 未进面试 未进面试 未进面试 未进面试 未进面试 未进面试 未进面试 未进面试 未进面试 未进面试 未进面试 未进面试 未进面试 未进面试 未进面试 未进面试 未进面试 未进面试 未进面试 未进面试 未进面试 未进面试 未进面试 未进面试 未进面试 未进面试 未进面试 未进面试 未进面试 未进面试 未进面试 未进面试 是否进入面 试 未进面试 未进面试 未进面试 未进面试 未进面试 未进面试 未进面试 未进面试 未进面试 未进面试 未进面试 未进面试 未进面试 未进面试 未进面试 未进面试 未进面试 未进面试 未进面试 未进面试 未进面试 未进面试 未进面试 未进面试 未进面试 未进面试 未进面试 未进面试 未进面试 未进面试 未进面试 未进面试 未进面试 未进面试 未进面试 未进面试 未进面试 未进面试 未进面试 未进面试 未进面试 未进面试 未进面试 未进面试 未进面试 未进面试 未进面试 未进面试 未进面试 未进面试 未进面试 是否进入面 试 未进面试 未进面试 未进面试 未进面试 未进面试 未进面试 未进面试 未进面试 未进面试 未进面试 未进面试 未进面试 未进面试 未进面试 未进面试 未进面试 未进面试 未进面试 未进面试 未进面试 未进面试 未进面试 未进面试 未进面试 未进面试 未进面试 未进面试 未进面试 未进面试 未进面试 未进面试 未进面试 未进面试 未进面试 未进面试 未进面试 未进面试 未进面试 未进面试 未进面试 未进面试 未进面试 未进面试 未进面试 未进面试 未进面试 未进面试 未进面试 未进面试 未进面试 未进面试 是否进入面 试 未进面试 未进面试 未进面试 未进面试 未进面试 未进面试 未进面试 未进面试 未进面试 未进面试 未进面试 未进面试 未进面试 未进面试 未进面试 未进面试 未进面试 未进面试 未进面试 未进面试 未进面试 未进面试 未进面试 未进面试 未进面试 未进面试 未进面试 未进面试 未进面试 未进面试 未进面试 未进面试 未进面试 未进面试 未进面试 未进面试 未进面试 未进面试 未进面试 未进面试 未进面试 未进面试 未进面试 未进面试 未进面试 未进面试 未进面试 未进面试 未进面试 未进面试 未进面试 是否进入面 试 未进面试 未进面试 未进面试 未进面试 未进面试 未进面试 未进面试 未进面试 未进面试 未进面试 未进面试 未进面试 未进面试 未进面试 未进面试 未进面试 未进面试 未进面试 未进面试 未进面试 未进面试 未进面试 未进面试 未进面试 未进面试 未进面试 未进面试 未进面试 未进面试 未进面试 未进面试 未进面试 未进面试 未进面试 未进面试 未进面试 未进面试 未进面试 未进面试 未进面试 未进面试 未进面试 未进面试 未进面试 未进面试 未进面试 未进面试 未进面试 未进面试 未进面试 未进面试 是否进入面 试 未进面试 未进面试 未进面试 未进面试 未进面试 未进面试 未进面试 未进面试 未进面试 未进面试 未进面试 未进面试 未进面试 未进面试 未进面试 未进面试 未进面试 未进面试 未进面试 未进面试 未进面试 未进面试 未进面试 未进面试 未进面试 未进面试 未进面试 未进面试 未进面试 未进面试 未进面试 未进面试 未进面试 未进面试 未进面试 未进面试 未进面试 未进面试 未进面试 未进面试 未进面试 未进面试 未进面试 未进面试 未进面试 未进面试 未进面试 未进面试 未进面试 未进面试 未进面试 是否进入面 试 未进面试 未进面试 未进面试 未进面试 未进面试 未进面试 未进面试 未进面试 未进面试 未进面试 未进面试 未进面试 未进面试 未进面试 未进面试 未进面试 未进面试 未进面试 未进面试 未进面试 未进面试 未进面试 未进面试 未进面试 未进面试 未进面试 未进面试 未进面试 未进面试 未进面试 未进面试 未进面试 未进面试 未进面试 未进面试 未进面试 未进面试 未进面试 未进面试 未进面试 未进面试 未进面试 未进面试 未进面试 未进面试 未进面试 未进面试 未进面试 未进面试 未进面试 未进面试 是否进入面 试 未进面试 未进面试 未进面试 未进面试 未进面试 未进面试 未进面试 未进面试 未进面试 未进面试 未进面试 未进面试 未进面试 未进面试 未进面试 未进面试 未进面试 未进面试 未进面试 未进面试 未进面试 未进面试 未进面试 未进面试 未进面试 未进面试 未进面试 未进面试 未进面试 未进面试 未进面试 未进面试 未进面试 未进面试 未进面试 未进面试 未进面试 未进面试 未进面试 未进面试 未进面试 未进面试 未进面试 未进面试 未进面试 未进面试 未进面试 未进面试 未进面试 未进面试 未进面试 是否进入面 试 未进面试 未进面试 未进面试 未进面试 未进面试 未进面试 未进面试 未进面试 未进面试 未进面试 未进面试 未进面试 未进面试 未进面试 未进面试 未进面试 未进面试 未进面试 未进面试 未进面试 未进面试 未进面试 未进面试 未进面试 未进面试 未进面试 未进面试 未进面试 未进面试 未进面试 未进面试 未进面试 未进面试 未进面试 未进面试 未进面试 未进面试 未进面试 未进面试 未进面试 未进面试 未进面试 未进面试 未进面试 未进面试 未进面试 未进面试 未进面试 未进面试 未进面试 未进面试 是否进入面 试 未进面试 未进面试 未进面试 未进面试 未进面试 未进面试 未进面试 未进面试 未进面试 未进面试 未进面试 未进面试 未进面试 未进面试 未进面试 未进面试 未进面试 未进面试 未进面试 未进面试 未进面试 未进面试 未进面试 未进面试 未进面试 未进面试 未进面试 未进面试 未进面试 未进面试 未进面试 未进面试 未进面试 未进面试 未进面试 未进面试 未进面试 未进面试 未进面试 未进面试 未进面试 未进面试 未进面试 未进面试 未进面试 未进面试 未进面试 未进面试 未进面试 未进面试 未进面试 是否进入面 试 未进面试 未进面试 未进面试 未进面试 未进面试 未进面试 未进面试 未进面试 未进面试 未进面试 未进面试 未进面试 未进面试 未进面试 未进面试 未进面试 未进面试 未进面试 未进面试 未进面试 未进面试 未进面试 未进面试 未进面试 未进面试 未进面试 未进面试 未进面试 未进面试 未进面试 未进面试 未进面试 未进面试 未进面试 未进面试 未进面试 未进面试 未进面试 未进面试 未进面试 未进面试 未进面试 未进面试 未进面试 未进面试 未进面试 未进面试 未进面试 未进面试 未进面试 未进面试 是否进入面 试 未进面试 未进面试 未进面试 未进面试 未进面试 未进面试 未进面试 未进面试 未进面试 未进面试 未进面试 未进面试 未进面试 未进面试 未进面试 未进面试 未进面试 未进面试 未进面试 未进面试 未进面试 未进面试 未进面试 未进面试 未进面试 未进面试 未进面试 未进面试 未进面试 未进面试 未进面试 未进面试 未进面试 未进面试 未进面试 未进面试 未进面试 未进面试 未进面试 未进面试 未进面试 未进面试 未进面试 未进面试 未进面试 未进面试 未进面试 未进面试 未进面试 未进面试 未进面试 是否进入面 试 未进面试 未进面试 未进面试 未进面试 未进面试 未进面试 未进面试 未进面试 未进面试 未进面试 未进面试 未进面试 未进面试 未进面试 未进面试 未进面试 未进面试 未进面试 未进面试 未进面试 未进面试 未进面试 未进面试 未进面试 未进面试 未进面试 未进面试 未进面试 未进面试 未进面试 未进面试 未进面试 未进面试 未进面试 未进面试 未进面试 未进面试 未进面试 未进面试 未进面试 未进面试 未进面试 未进面试 未进面试 未进面试 未进面试 未进面试 未进面试 未进面试 未进面试 未进面试 是否进入面 试 未进面试 未进面试 未进面试 未进面试 未进面试 未进面试 未进面试 未进面试 未进面试 未进面试 未进面试 未进面试 未进面试 未进面试 未进面试 未进面试 未进面试 未进面试 未进面试 未进面试 未进面试 未进面试 未进面试 未进面试 未进面试 未进面试 未进面试 未进面试 未进面试 未进面试 未进面试 未进面试 未进面试 未进面试 未进面试 未进面试 未进面试 未进面试 未进面试 未进面试 未进面试 未进面试 未进面试 未进面试 未进面试 未进面试 未进面试 未进面试 未进面试 未进面试 未进面试 是否进入面 试 未进面试 未进面试 未进面试 未进面试 未进面试 未进面试 未进面试 未进面试 未进面试 未进面试 未进面试 未进面试 未进面试 未进面试 未进面试 未进面试 未进面试 未进面试 未进面试 未进面试 未进面试 未进面试 未进面试 未进面试 未进面试 未进面试 未进面试 未进面试 未进面试 未进面试 未进面试 未进面试 未进面试 未进面试 未进面试 未进面试 未进面试 未进面试 未进面试 未进面试 未进面试 未进面试 未进面试 未进面试 未进面试 未进面试 未进面试 未进面试 未进面试 未进面试 未进面试 是否进入面 试 未进面试 未进面试 未进面试 未进面试 未进面试 未进面试 未进面试 未进面试 未进面试 未进面试 未进面试 未进面试 未进面试 未进面试 未进面试 未进面试 未进面试 未进面试 未进面试 未进面试 未进面试 未进面试 未进面试 未进面试 未进面试 未进面试 未进面试 未进面试 未进面试 未进面试 未进面试 未进面试 未进面试 未进面试 未进面试 未进面试 未进面试 未进面试 未进面试 未进面试 未进面试 未进面试 未进面试 未进面试 未进面试 未进面试 未进面试 未进面试 未进面试 未进面试 未进面试 是否进入面 试 未进面试 未进面试 未进面试 未进面试 未进面试 未进面试 未进面试 未进面试 未进面试 未进面试 未进面试 未进面试 未进面试 未进面试 未进面试 未进面试 未进面试 未进面试 未进面试 未进面试 未进面试 未进面试 未进面试 未进面试 未进面试 未进面试 未进面试 未进面试 未进面试 未进面试 未进面试 未进面试 未进面试 未进面试 未进面试 未进面试 未进面试 未进面试 未进面试 未进面试 未进面试 未进面试 未进面试 未进面试 未进面试 未进面试 未进面试 未进面试 未进面试 未进面试 未进面试 是否进入面 试 未进面试 未进面试 未进面试 未进面试 未进面试 未进面试 未进面试 未进面试 未进面试 未进面试 未进面试 未进面试 未进面试 未进面试 未进面试 未进面试 未进面试 未进面试 未进面试 未进面试 未进面试 未进面试 未进面试 未进面试 未进面试 未进面试 未进面试 未进面试 未进面试 未进面试 未进面试 未进面试 未进面试 未进面试 未进面试 未进面试 未进面试 未进面试 未进面试 未进面试 未进面试 未进面试 未进面试 未进面试 未进面试 未进面试 未进面试 未进面试 未进面试 未进面试 未进面试 是否进入面 试 未进面试 未进面试 未进面试 未进面试 未进面试 未进面试 未进面试 未进面试 未进面试 未进面试 未进面试 未进面试 未进面试 未进面试 未进面试 未进面试 未进面试 未进面试 未进面试 未进面试 未进面试 未进面试 未进面试 未进面试 未进面试 未进面试 未进面试 未进面试 未进面试 未进面试 未进面试 未进面试 未进面试 未进面试 未进面试 未进面试 未进面试 未进面试 未进面试 未进面试 未进面试 未进面试 未进面试 未进面试 未进面试 未进面试 未进面试 未进面试 未进面试 未进面试 未进面试 是否进入面 试 未进面试 未进面试 未进面试 未进面试 未进面试 未进面试 未进面试 未进面试 未进面试 未进面试 未进面试 未进面试 未进面试 未进面试 未进面试 未进面试 未进面试 未进面试 未进面试 未进面试 未进面试 未进面试 未进面试 未进面试 未进面试 未进面试 未进面试 未进面试 未进面试 未进面试 未进面试 未进面试 未进面试 未进面试 未进面试 未进面试 未进面试 未进面试 未进面试 未进面试 未进面试 未进面试 未进面试 未进面试 未进面试 未进面试 未进面试 未进面试 未进面试 未进面试 未进面试 是否进入面 试 未进面试 未进面试 未进面试 未进面试 未进面试 未进面试 未进面试 未进面试 未进面试 未进面试 未进面试 未进面试 未进面试 未进面试 未进面试 未进面试 未进面试 未进面试 未进面试 未进面试 未进面试 未进面试 未进面试 未进面试 未进面试 未进面试 未进面试 未进面试 未进面试 未进面试 未进面试 未进面试 未进面试 未进面试 未进面试 未进面试 未进面试 未进面试 未进面试 未进面试 未进面试 未进面试 未进面试 未进面试 未进面试 未进面试 未进面试 未进面试 未进面试 未进面试 未进面试 是否进入面 试 未进面试 未进面试 未进面试 未进面试 未进面试 未进面试 未进面试 未进面试 未进面试 未进面试 未进面试 未进面试 未进面试 未进面试 未进面试 未进面试 未进面试 未进面试 未进面试 未进面试 未进面试 未进面试 未进面试 未进面试 未进面试 未进面试 未进面试 未进面试 未进面试 未进面试 未进面试 未进面试 未进面试 未进面试 未进面试 未进面试 未进面试 未进面试 未进面试 未进面试 未进面试 未进面试 未进面试 未进面试 未进面试 未进面试 未进面试 未进面试 未进面试 未进面试 未进面试 是否进入面 试 未进面试 未进面试 未进面试 未进面试 未进面试 未进面试 未进面试 未进面试 未进面试 未进面试 未进面试 未进面试 未进面试 未进面试 未进面试 未进面试 未进面试 未进面试 未进面试 未进面试 未进面试 未进面试 未进面试 未进面试 未进面试 未进面试 未进面试 未进面试 未进面试 未进面试 未进面试 未进面试 未进面试 未进面试 未进面试 未进面试 未进面试 未进面试 未进面试 未进面试 未进面试 未进面试 未进面试 未进面试 未进面试 未进面试 未进面试 未进面试 未进面试 未进面试 未进面试 是否进入面 试 未进面试 未进面试 未进面试 未进面试 未进面试 未进面试 未进面试 未进面试 未进面试 未进面试 未进面试 未进面试 未进面试 未进面试 未进面试 未进面试 未进面试 未进面试 未进面试 未进面试 未进面试 未进面试 未进面试 未进面试 未进面试 未进面试 未进面试 未进面试 未进面试 未进面试 未进面试 未进面试 未进面试 未进面试 未进面试 未进面试 未进面试 未进面试 未进面试 未进面试 未进面试 未进面试 未进面试 未进面试 未进面试 未进面试 未进面试 未进面试 未进面试 未进面试 未进面试 是否进入面 试 未进面试 未进面试 未进面试 未进面试 未进面试 未进面试 未进面试 未进面试 未进面试 未进面试 未进面试 未进面试 未进面试 未进面试 未进面试 未进面试 未进面试 未进面试 未进面试 未进面试 未进面试 未进面试 未进面试 未进面试 未进面试 未进面试 未进面试 未进面试 未进面试 未进面试 未进面试 未进面试 未进面试 未进面试 未进面试 未进面试 未进面试 未进面试 未进面试 未进面试 未进面试 未进面试 未进面试 未进面试 未进面试 未进面试 未进面试 未进面试 未进面试 未进面试 未进面试 是否进入面 试 未进面试 未进面试 未进面试 未进面试 未进面试 未进面试 未进面试 未进面试 未进面试 未进面试 未进面试 未进面试 未进面试 未进面试 未进面试 未进面试 未进面试 未进面试 未进面试 未进面试 未进面试 未进面试 未进面试 未进面试 未进面试 未进面试 未进面试 未进面试 未进面试 未进面试 未进面试 未进面试 未进面试 未进面试 未进面试 未进面试 未进面试 未进面试 未进面试 未进面试 未进面试 未进面试 未进面试 未进面试 未进面试 未进面试 未进面试 未进面试 未进面试 未进面试 未进面试 是否进入面 试 未进面试 未进面试 未进面试 未进面试 未进面试 未进面试 未进面试 未进面试 未进面试 未进面试 未进面试 未进面试 未进面试 未进面试 未进面试 未进面试 未进面试 未进面试 未进面试 未进面试 未进面试 未进面试 未进面试 未进面试 未进面试 未进面试 未进面试 未进面试 未进面试 未进面试 未进面试 未进面试 未进面试 未进面试 未进面试 未进面试 未进面试 未进面试 未进面试 未进面试 未进面试 未进面试 未进面试 未进面试 未进面试 未进面试 未进面试 未进面试 未进面试 未进面试 未进面试 是否进入面 试 未进面试 未进面试 未进面试 未进面试 未进面试 未进面试 2021年天津市部分事业单位公开招聘工作人员笔试成绩单 招聘部门:天津市滨海新区新港街综合治理中心 报名序号 008612 015429 015302 008783 005687 015025 028982 025008 032549 016892 005646 025297 030548 018771 007979 005047 027121 015113 031926 015588 014749 009022 015283 025229 020634 004749 015393 022566 003728 025228 025298 020988 014681 015437 015077 008026 014991 011478 013777 016193 015005 015019 005088 014938 016904 017015 015076 029387 035122 030332 033025 014738 016936 姓名 邢*洲 樊*峰 张*冉 潘* 王* 王*童 李*非 张*翼 姬*洁 王*璇 李*聪 刘*建 胡*佳 刘*嘉 卢* 韦*千 刘*璐 刘*哲 宋*雨 刘* 靳*羽 刘*玉 许*卿 孙*敏 祖*莹 刘*敏 李*桥 关*雯 张*朋 翟*鸣 任*琦 王*雅 崔*轩 梁*琼 王*歌 赵*伟 张*俊 杨*娜 高* 周*婷 石*宇 刘*江 王* 梁*蓉 熊*南 崔*馨 徐*钦 刘* 张* 苏*玉 韩* 马*文 王*齐 性别 女 男 女 男 女 女 女 男 女 女 女 男 男 女 女 女 女 女 男 女 女 女 女 女 女 女 女 女 男 女 女 女 女 女 女 女 女 女 男 女 男 男 女 女 女 女 女 女 女 女 女 女 女 身份证号 230202********1046 372929********093X 130503********0021 120225********3314 230121********4023 120108********1522 372328********0021 370502********6416 140321********0046 130903********1223 130926********2882 130425********7599 130221********6853 130403********0623 130929********0321 370830********0021 130924********5223 371321********4548 130921********125X 131102********4426 130224********0049 370902********3627 370782********2420 371326********7623 120109********1022 130225********6321 120104********2528 130983********0068 120225********4191 370881********0324 371502********1125 370522********0025 120102********0327 141182********0040 370705********2025 371526********4826 120225********0029 130902********1220 142325********0512 130725********084X 370523********3038 130426********0079 410521********254X 120109********3024 362229********0042 130281********0024 370612********4529 230105********1621 120223********3828 230503********1327 120109********5027 130181********5723 321322********3427 招聘岗位:专技岗 职位代码 301130102 301130102 301130102 301130102 301130102 301130102 301130102 301130102 301130102 301130102 301130102 301130102 301130102 301130102 301130102 301130102 301130102 301130102 301130102 301130102 301130102 301130102 301130102 301130102 301130102 301130102 301130102 301130102 301130102 301130102 301130102 301130102 301130102 301130102 301130102 301130102 301130102 301130102 301130102 301130102 301130102 301130102 301130102 301130102 301130102 301130102 301130102 301130102 301130102 301130102 301130102 301130102 301130102 招聘人数:2人 综合能力测试 84 74 68 78 77 77 67 78 65 67 67 67 73 72 77 69 74 71 62 72 64 69 70 70 70 70 67 75 68 65 64 69 71 60 67 63 65 69 65 66 66 62 53 69 68 65 60 71 67 70 65 64 65 申论 60.3 68.3 70.5 60.2 60.3 58.6 68 56.8 69.8 67.7 67.5 67.5 61.2 62 57 64.9 59.8 62.4 71.3 60.6 68.5 63.4 62.3 62.2 62.1 61.8 64.8 56.6 63.4 65.5 66.3 61 59 69.8 62.4 66.1 63.9 59.8 63.6 62.3 62.1 65.7 74.6 58.6 59.5 62.5 67.5 56.4 60.3 57.2 62.1 63 61.9 进入面试人数:6人 笔试成绩 144.3 142.3 138.5 138.2 137.3 135.6 135 134.8 134.8 134.7 134.5 134.5 134.2 134 134 133.9 133.8 133.4 133.3 132.6 132.5 132.4 132.3 132.2 132.1 131.8 131.8 131.6 131.4 130.5 130.3 130 130 129.8 129.4 129.1 128.9 128.8 128.6 128.3 128.1 127.7 127.6 127.6 127.5 127.5 127.5 127.4 127.3 127.2 127.1 127 126.9 2021年天津市部分事业单位公开招聘工作人员笔试成绩单 招聘部门:天津市滨海新区新港街综合治理中心 报名序号 005016 025078 008520 034767 014705 014703 004750 015142 013810 008731 017018 008851 016176 014747 016238 005702 005726 015004 010081 033015 026875 018767 015135 031031 019697 018018 008962 025158 015096 015109 017518 005090 020637 025375 017014 004810 030465 025041 015143 019688 025181 025211 014989 026871 014662 023120 018780 025236 013827 004776 005701 019682 015082 姓名 杜*佳 刘*迪 刘* 王* 马* 屈*宇 高* 杨* 张*萌 唐*蕊 刘*楠 侯*磊 刘*薇 高* 赵* 窦* 刘* 程*娇 杨* 只*辉 郭*华 张*玫 王* 孙*琪 王* 武* 张* 杨* 刘*月 吴*雅 宋*盈 刘*然 潘*姣 陈*希 李*倩 张*祯 王*慧 许*军 李*廷 刘*玲 郭* 周*娅 李*雄 杨*卓 马*姣 李*伟 焦*寒 刘* 刘* 刘* 朱*彤 苗*芝 陈*花 性别 女 女 女 女 女 男 女 女 女 女 女 男 女 女 女 女 女 女 女 男 女 女 男 女 女 女 女 女 女 女 女 女 女 女 女 女 女 男 女 女 女 女 男 女 女 男 女 女 男 女 女 女 女 身份证号 120107********3929 130802********1024 372325********0023 120112********3727 120105********2128 120222********0018 130922********0029 120110********0945 130822********0020 120225********6327 120221********1021 130821********7996 232102********4020 130983********5521 142727********0024 130481********2569 120103********5444 130224********6540 120108********302X 120109********0034 140621********0024 130683********8020 120108********001X 120109********6521 120110********1528 130705********0328 120112********0042 130802********0622 120224********754X 131102********4429 210781********0025 150105********7346 211382********3928 130502********0329 130925********6420 130204********2128 130903********0348 130633********471X 372321********2687 120112********0441 130429********0040 371502********0322 120221********2037 130731********0282 130823********0041 130481********2718 130928********0029 120221********0024 130529********5637 120107********4521 120113********2423 130582********3021 372324********2422 招聘岗位:专技岗 职位代码 301130102 301130102 301130102 301130102 301130102 301130102 301130102 301130102 301130102 301130102 301130102 301130102 301130102 301130102 301130102 301130102 301130102 301130102 301130102 301130102 301130102 301130102 301130102 301130102 301130102 301130102 301130102 301130102 301130102 301130102 301130102 301130102 301130102 301130102 301130102 301130102 301130102 301130102 301130102 301130102 301130102 301130102 301130102 301130102 301130102 301130102 301130102 301130102 301130102 301130102 301130102 301130102 301130102 招聘人数:2人 综合能力测试 65 65 66 66 66 65 66 71 64 65 58 60 67 58 62 64 68 66 59 71 68 67 72 61 65 67 64 65 64 67 65 66 69 55 60 62 57 73 66 62 62 61 61 61 63 68 65 62 63 60 62 63 65 申论 61.6 61.6 60.5 60.5 60.4 61.3 60.1 55 61.8 60.7 67.7 65.2 58.2 67.2 63.1 61 56.9 58.7 65.5 53.5 56.4 57.3 52.3 63.1 59.1 57 59.9 58.9 59.9 56.9 58.9 57.9 54.9 68.7 63.6 61.4 66.4 50.1 57.1 60.9 60.7 61.5 61.3 61.3 59.3 54.2 57.2 60.1 59 62 59.9 58.9 56.7 进入面试人数:6人 笔试成绩 126.6 126.6 126.5 126.5 126.4 126.3 126.1 126 125.8 125.7 125.7 125.2 125.2 125.2 125.1 125 124.9 124.7 124.5 124.5 124.4 124.3 124.3 124.1 124.1 124 123.9 123.9 123.9 123.9 123.9 123.9 123.9 123.7 123.6 123.4 123.4 123.1 123.1 122.9 122.7 122.5 122.3 122.3 122.3 122.2 122.2 122.1 122 122 121.9 121.9 121.7 2021年天津市部分事业单位公开招聘工作人员笔试成绩单 招聘部门:天津市滨海新区新港街综合治理中心 报名序号 027422 014943 014974 005715 028251 025208 020629 030130 017591 035134 025234 028272 008931 008943 019726 025168 008283 010040 019705 008787 029415 005582 017955 032995 018681 016940 005100 014993 018950 017596 015151 004808 025178 025339 030541 026917 005353 031199 003623 005602 015547 010122 035421 005703 004813 026912 025026 016919 023131 017447 013796 004905 015426 姓名 张*恺 欧* 杨*双 岳* 杜*伟 张*远 胡*铭 张*琪 郄*田 赵*维 阙*豪 梁*钖 张*炎 封* 尤* 刘*渤 马*越 冯* 董* 刘* 刘*娟 刘*铭 郭*星 赵* 赵*艳 张*晶 易* 杨* 兰*卿 尹*佳 任* 李*春 李*萍 王*玲 李*凡 郭*利 么*爽 李* 东*佳 郭*娟 刘* 刘*晨 巩* 齐* 付*久 卢*蕊 缠*钊 程* 方* 王*慧 袁* 宋*莹 刘*炜 性别 男 女 女 女 女 女 女 女 女 女 男 女 女 女 女 男 男 女 女 女 女 男 女 男 女 女 女 女 男 女 男 男 女 女 女 男 女 女 女 女 女 女 女 男 女 女 男 女 女 女 女 女 男 身份证号 142302********0572 450305********2526 120222********7027 130824********0066 130202********1427 152531********0348 130125********0023 120107********3927 230902********1245 120221********002X 120103********6110 120112********0429 120222********7826 220723********3220 211381********0047 132626********0037 120101********4019 130181********4225 130229********0069 120224********1145 410224********9886 120107********4519 130733********1721 372922********001X 130921********1627 120104********0822 362522********1025 120107********0021 130922********0015 120222********5427 412828********6355 130925********5611 130203********0625 370126********5628 372328********0048 120223********0813 130282********1041 411402********0520 130604********002X 370126********312X 231182********7529 120111********0524 130821********1969 120222********5418 130224********0029 130732********0041 140621********0032 420881********0043 342623********3846 120221********0025 130604********1222 130481********4526 120112********331X 招聘岗位:专技岗 职位代码 301130102 301130102 301130102 301130102 301130102 301130102 301130102 301130102 301130102 301130102 301130102 301130102 301130102 301130102 301130102 301130102 301130102 301130102 301130102 301130102 301130102 301130102 301130102 301130102 301130102 301130102 301130102 301130102 301130102 301130102 301130102 301130102 301130102 301130102 301130102 301130102 301130102 301130102 301130102 301130102 301130102 301130102 301130102 301130102 301130102 301130102 301130102 301130102 301130102 301130102 301130102 301130102 301130102 招聘人数:2人 综合能力测试 65 59 59 63 61 61 70 64 60 63 62 65 67 62 59 64 62 65 60 59 57 65 60 60 58 59 58 59 58 61 62 60 61 62 61 60 55 61 59 56 62 60 57 59 60 53 63 62 65 69 63 59 60 申论 56.7 62.6 62.5 58.5 60.5 60.5 51.2 57.2 61.2 58.1 59.1 56.1 54.1 58.7 61.6 56.6 58.5 55.5 60.4 61.3 63.2 55.1 60 60 61.9 60.9 61.9 60.8 61.3 58.3 57.2 59.2 58.1 57 57.9 58.9 63.7 57.5 59.3 62.2 56.2 58 61 58.9 57.9 64.8 54.7 55.5 52.5 48.4 54.3 58.3 57.2 进入面试人数:6人 笔试成绩 121.7 121.6 121.5 121.5 121.5 121.5 121.2 121.2 121.2 121.1 121.1 121.1 121.1 120.7 120.6 120.6 120.5 120.5 120.4 120.3 120.2 120.1 120 120 119.9 119.9 119.9 119.8 119.3 119.3 119.2 119.2 119.1 119 118.9 118.9 118.7 118.5 118.3 118.2 118.2 118 118 117.9 117.9 117.8 117.7 117.5 117.5 117.4 117.3 117.3 117.2 2021年天津市部分事业单位公开招聘工作人员笔试成绩单 招聘部门:天津市滨海新区新港街综合治理中心 报名序号 017964 027148 009087 009047 015879 004832 025053 009001 015170 025163 005575 008510 015995 014694 025035 017021 014725 023103 009100 004770 014665 026932 015046 008699 005696 010034 008275 017586 009004 030291 015049 011321 015344 014972 005569 008803 026960 029423 020605 015133 014709 008847 023084 016186 005042 015333 025057 015147 027460 009013 014669 015103 019716 姓名 李*琳 苏*薇 仝* 左*妍 刘* 江* 李* 班*宇 李* 齐*怡 张*宁 徐*静 王* 崔*怡 孙*雨 高*智 薄*予 高* 范*钰 于*波 任* 余* 徐*驰 张*畅 王*燕 于*秋 袁*涵 吕*源 宋*芳 汤*宁 刘*帅 张* 马*楠 杨* 康*宁 王*菡 唐* 宗*慧 陈*彤 李* 王*秀 邢*鑫 韩*莲 只*萱 张* 白*琛 赵*珺 郝*雯 景*源 王*鹏 许* 孟* 靳*彤 性别 女 女 女 女 女 女 女 男 女 女 男 女 男 女 女 男 女 男 女 男 女 女 男 女 女 男 女 男 女 男 男 女 女 女 女 女 男 女 女 女 女 男 女 女 女 女 女 女 男 男 女 女 女 身份证号 120104********0825 120108********1026 130202********7223 120111********0047 141024********0026 342901********6649 120225********0042 371329********3638 120106********0027 120105********1825 372325********2419 342623********4025 120107********421X 120221********002X 370883********6221 120107********6918 120221********3227 120222********201X 120112********0429 130823********6075 120225********1463 120109********5521 230522********2276 120107********392X 120109********6045 130221********0011 230302********5827 120224********3212 130321********3125 132930********351X 130922********4417 120223********266X 371321********852X 130181********6726 120224********0021 211481********0623 130702********061X 131082********0547 120108********0521 130725********002X 370104********4126 130302********9753 239005********4022 120223********3327 370125********0021 120109********3526 120101********3526 120113********0029 120224********6217 120107********4557 130982********9327 120221********0028 131181********3527 招聘岗位:专技岗 职位代码 301130102 301130102 301130102 301130102 301130102 301130102 301130102 301130102 301130102 301130102 301130102 301130102 301130102 301130102 301130102 301130102 301130102 301130102 301130102 301130102 301130102 301130102 301130102 301130102 301130102 301130102 301130102 301130102 301130102 301130102 301130102 301130102 301130102 301130102 301130102 301130102 301130102 301130102 301130102 301130102 301130102 301130102 301130102 301130102 301130102 301130102 301130102 301130102 301130102 301130102 301130102 301130102 301130102 招聘人数:2人 综合能力测试 64 65 59 62 61 59 64 52 52 59 62 61 58 56 54 67 61 63 56 55 61 54 59 51 56 59 56 58 58 57 53 57 56 66 57 57 59 58 55 56 62 63 60 56 62 55 54 58 52 54 56 55 63 申论 53 51.9 57.9 54.8 55.7 57.6 52.6 64.6 64.2 57.2 54.1 55.1 58.1 60.1 62.1 49 55 52.9 59.8 60.7 54.6 61.2 56.1 64.1 58.9 55.8 58.6 56.3 56.3 57.3 61.3 57.1 58.1 48 56.9 56.6 54.6 55.5 58.4 57.4 51.4 50.3 53.3 57.2 51.1 58.1 59.1 54.9 60.8 58.7 56.6 57.6 49.5 进入面试人数:6人 笔试成绩 117 116.9 116.9 116.8 116.7 116.6 116.6 116.6 116.2 116.2 116.1 116.1 116.1 116.1 116.1 116 116 115.9 115.8 115.7 115.6 115.2 115.1 115.1 114.9 114.8 114.6 114.3 114.3 114.3 114.3 114.1 114.1 114 113.9 113.6 113.6 113.5 113.4 113.4 113.4 113.3 113.3 113.2 113.1 113.1 113.1 112.9 112.8 112.7 112.6 112.6 112.5 2021年天津市部分事业单位公开招聘工作人员笔试成绩单 招聘部门:天津市滨海新区新港街综合治理中心 报名序号 020595 004812 025019 005087 007923 018576 016978 022584 008565 016243 025200 020257 026850 025329 008483 015622 014753 004819 015100 033929 029408 020626 025047 005094 005147 017598 005641 025326 015111 023117 004773 004817 008526 023129 010032 025316 008422 004821 015261 026877 007996 034999 008815 015149 016277 014963 017043 028263 008675 025380 019713 025023 015553 姓名 宫* 李*雅 李* 蔺*迪 戚*慧 黄* 冯* 乔* 张*琦 王* 杨* 李*波 任*燕 刘*睿 翟*彤 郭*停 宋*洁 牛*茹 王* 周*瑾 刘* 闫*媛 张*璇 辛*健 王* 王* 余*月 吕*阳 崔*萌 李* 孙* 张*东 张* 乔*媛 王*庆 张*璇 李*瑶 杨*梅 李*盼 方*霞 王*媛 齐*楠 徐*婷 郑* 张* 于*萌 毕*灿 郑*媛 李* 李* 李*华 曹*春 丛*文 性别 女 女 女 女 女 女 女 女 女 女 女 女 女 男 女 女 女 女 女 女 男 女 女 男 女 女 女 女 女 女 女 男 女 女 女 女 女 女 女 女 女 女 女 女 女 女 女 女 女 女 女 女 女 身份证号 120223********0162 120221********0629 131181********0024 120221********1129 342224********1226 150404********0307 120107********4525 120223********0166 120107********2121 142727********054X 120223********5529 120107********4564 130705********1228 120221********2416 120104********4724 370322********3129 130983********474X 130531********2621 120221********0047 411521********6420 120224********7512 142201********0063 120108********0021 120107********7817 230281********0226 120225********3163 232126********0181 120107********242X 120107********7826 120107********7829 120110********1820 130224********7653 130728********3526 120107********7526 130434********5228 120109********0028 120110********1266 371481********4847 120224********1920 362330********0726 120104********7642 120224********2428 120223********0427 120107********0626 120107********2121 231084********404X 130282********2640 130204********2720 120108********202X 140202********0020 120221********2820 130923********3421 120221********2841 招聘岗位:专技岗 职位代码 301130102 301130102 301130102 301130102 301130102 301130102 301130102 301130102 301130102 301130102 301130102 301130102 301130102 301130102 301130102 301130102 301130102 301130102 301130102 301130102 301130102 301130102 301130102 301130102 301130102 301130102 301130102 301130102 301130102 301130102 301130102 301130102 301130102 301130102 301130102 301130102 301130102 301130102 301130102 301130102 301130102 301130102 301130102 301130102 301130102 301130102 301130102 301130102 301130102 301130102 301130102 301130102 301130102 招聘人数:2人 综合能力测试 55 56 57 62 59 63 58 58 60 56 56 50 53 55 57 56 57 48 52 60 53 54 50 57 61 54 56 51 56 55 60 60 54 54 57 51 54 59 46 55 57 49 54 59 52 53 51 45 54 54 45 51 58 申论 57.5 56.1 54.7 49.5 52.4 48.2 53.2 53.1 51 54.7 54.7 60.6 57.6 55.6 53.5 54.5 53.4 62 57.8 49.7 56.6 55.5 59.5 52.4 48.2 55.1 53 57.8 52.7 53.6 48.5 48.5 54.2 54.2 51.1 57 54 48.9 61.5 52.5 50.2 58 52.8 47.7 54.5 53.4 55.4 61.2 52.2 52.2 61.2 55 48 进入面试人数:6人 笔试成绩 112.5 112.1 111.7 111.5 111.4 111.2 111.2 111.1 111 110.7 110.7 110.6 110.6 110.6 110.5 110.5 110.4 110 109.8 109.7 109.6 109.5 109.5 109.4 109.2 109.1 109 108.8 108.7 108.6 108.5 108.5 108.2 108.2 108.1 108 108 107.9 107.5 107.5 107.2 107 106.8 106.7 106.5 106.4 106.4 106.2 106.2 106.2 106.2 106 106 2021年天津市部分事业单位公开招聘工作人员笔试成绩单 招聘部门:天津市滨海新区新港街综合治理中心 报名序号 007930 019690 032979 004814 004838 019711 026994 008881 025390 030141 014760 014950 014970 023016 026947 020628 015297 009057 005112 023095 026856 017569 033962 008938 015423 016962 009091 018763 008950 015337 025017 014976 008754 005527 008202 005722 008645 030533 005066 008917 015356 015120 005019 019646 034402 033965 025206 005699 005317 025216 031266 008795 016250 姓名 滕* 王*莹 刘*晶 武*宁 黄*雅 王*磊 白*文 崔*欣 张* 张*晴 李*萍 崔*毓 张*歌 李*欣 贾*茹 王* 姜* 韦*雪 魏*雯 经*茗 吴*倩 黄* 安*琦 李* 陶*伶 朱*璟 江*珍 张*敏 韩* 王*洁 郑*思 李*文 李* 王*筠 康* 刘*欣 郝* 兰*为 刘*晴 胡*杰 邢*儿 翟*苗 符*娅 张*然 尹*晓 谢*昆 孙*凡 于*鹤 傅*蓉 孙*宇 楚*翠 陈*竹 张*鑫 性别 女 女 女 女 女 男 男 女 女 女 女 女 女 女 女 女 女 女 女 女 女 女 女 女 女 女 女 女 女 女 女 女 女 女 女 女 女 男 女 女 女 女 女 女 女 男 女 女 女 男 女 女 女 身份证号 120112********3340 230231********492X 130824********6045 130705********0947 230303********4024 120222********0418 140522********0017 412326********3023 152127********0060 120224********7523 130202********8320 120112********1326 130582********2425 130133********3341 411402********7020 372930********4100 131126********6328 130929********0323 130202********1426 120225********6323 120221********0028 120102********0348 130726********0020 120222********1423 500228********5064 120112********002X 371421********6561 120223********4425 411481********8465 120107********782X 120107********0028 120221********1829 130921********0821 120110********1263 230231********202X 230402********0324 130726********0425 120221********0218 120107********7829 130983********2027 130302********3921 131081********2522 500241********6127 120112********0448 371427********3748 142725********0430 130732********1068 132201********7029 152327********002X 130902********0171 130528********786X 130927********662X 130521********5522 招聘岗位:专技岗 职位代码 301130102 301130102 301130102 301130102 301130102 301130102 301130102 301130102 301130102 301130102 301130102 301130102 301130102 301130102 301130102 301130102 301130102 301130102 301130102 301130102 301130102 301130102 301130102 301130102 301130102 301130102 301130102 301130102 301130102 301130102 301130102 301130102 301130102 301130102 301130102 301130102 301130102 301130102 301130102 301130102 301130102 301130102 301130102 301130102 301130102 301130102 301130102 301130102 301130102 301130102 301130102 301130102 301130102 招聘人数:2人 综合能力测试 58 54 49 55 51 52 46 58 53 53 53 51 55 50 54 59 45 54 55 63 57 47 50 53 47 53 44 53 47 49 47 55 47 48 46 50 49 45 49 43 45 56 48 47 45 49 46 51 46 54 50 48 46 申论 47.8 51.7 56.5 50.5 54.3 53.3 59.2 47.2 52.2 52 51.8 53.6 49.6 54.4 50.4 45.3 59.2 49.9 48.7 40.4 46.2 56.2 53 50 56 49.7 58.6 49.6 55.6 53.5 55.5 47.4 55.2 54.1 56 51.9 52.9 56.8 52.8 58.7 56.5 45.4 53.1 54 55.9 51.9 54.8 49.2 54.2 45.8 49.7 51.7 53.4 进入面试人数:6人 笔试成绩 105.8 105.7 105.5 105.5 105.3 105.3 105.2 105.2 105.2 105 104.8 104.6 104.6 104.4 104.4 104.3 104.2 103.9 103.7 103.4 103.2 103.2 103 103 103 102.7 102.6 102.6 102.6 102.5 102.5 102.4 102.2 102.1 102 101.9 101.9 101.8 101.8 101.7 101.5 101.4 101.1 101 100.9 100.9 100.8 100.2 100.2 99.8 99.7 99.7 99.4 2021年天津市部分事业单位公开招聘工作人员笔试成绩单 招聘部门:天津市滨海新区新港街综合治理中心 报名序号 004778 005576 015265 008250 026882 034759 029314 019673 016103 011030 017575 005662 015841 005079 023068 030197 011617 036560 008032 027469 005642 023075 008433 023054 004842 009043 018668 005636 004836 019668 014830 008474 008652 011035 027464 028288 018756 014990 015360 032961 033018 033073 032993 033926 036595 020613 025029 019832 025011 025222 025219 025300 025066 姓名 胡*铭 李*乐 李* 郑*明 薛* 朱*真 张* 邸*麟 王*洁 张*想 白*晖 许*钰 吴*真 韩* 王*洋 李*晅 刘*玲 邵* 牛*慈 李*鹤 王* 于*乐 宋*宇 王* 朱*仪 朱*慧 陈*迪 甄* 周*彤 武* 侯*亮 李*杰 刘*恬 王*婷 孙*彬 薛*雪 崔*英 尚*韫 李*怡 杨* 李*杰 李* 吴*权 赵*媛 刘*琪 周* 李*叶 王*凤 邱*珊 刘*智 侯*平 何*男 尹* 性别 女 女 女 男 女 女 女 男 女 男 男 女 女 女 男 女 女 女 女 女 女 男 女 男 女 女 女 女 女 女 男 男 女 女 男 女 女 女 女 女 男 女 男 女 女 女 女 女 女 男 女 女 女 身份证号 420528********0045 120112********0461 120110********0326 131026********0615 410504********1021 411104********0084 120223********0423 230321********0011 130633********6025 120107********6016 622723********3410 120109********4044 131128********0029 120110********1520 130824********0019 120109********6524 130684********7024 152327********0022 130827********002X 130822********002X 120107********6627 120111********0013 120107********4522 120107********3013 120107********3626 120112********3342 371427********4321 120107********7827 120222********7821 142325********692X 120107********6658 120107********4533 120107********2125 610526********6146 120107********4511 150422********4229 130426********006X 120111********2520 120108********0020 130633********0026 370502********6015 142322********0024 130927********3015 130223********4026 130822********002X 230921********0224 130929********0321 130224********7685 130981********1342 120112********3358 130924********4222 230422********1944 130205********0020 招聘岗位:专技岗 职位代码 301130102 301130102 301130102 301130102 301130102 301130102 301130102 301130102 301130102 301130102 301130102 301130102 301130102 301130102 301130102 301130102 301130102 301130102 301130102 301130102 301130102 301130102 301130102 301130102 301130102 301130102 301130102 301130102 301130102 301130102 301130102 301130102 301130102 301130102 301130102 301130102 301130102 301130102 301130102 301130102 301130102 301130102 301130102 301130102 301130102 301130102 301130102 301130102 301130102 301130102 301130102 301130102 301130102 招聘人数:2人 综合能力测试 50 50 48 52 48 47 46 41 48 43 43 46 43 54 43 51 43 38 40 42 45 44 41 42 43 35 44 35 33 33 36 48 54 28 59 59 43 39 22 缺考 缺考 缺考 缺考 缺考 缺考 缺考 缺考 缺考 缺考 缺考 缺考 缺考 缺考 申论 49.4 48.9 50.6 46.5 50.2 50.5 51.5 56.4 49.3 54.2 52.6 49.2 51.3 39.9 50.4 42.3 48.5 53.3 51.3 49 45.8 46.7 48.6 47 45.9 52.8 40.7 48.1 49.6 47.2 43.8 31.7 21.3 41.6 缺考 缺考 缺考 缺考 缺考 缺考 缺考 缺考 缺考 缺考 缺考 缺考 缺考 缺考 缺考 缺考 缺考 缺考 缺考 进入面试人数:6人 笔试成绩 99.4 98.9 98.6 98.5 98.2 97.5 97.5 97.4 97.3 97.2 95.6 95.2 94.3 93.9 93.4 93.3 91.5 91.3 91.3 91 90.8 90.7 89.6 89 88.9 87.8 84.7 83.1 82.6 80.2 79.8 79.7 75.3 69.6 59 59 43 39 22 0 0 0 0 0 0 0 0 0 0 0 0 0 0 2021年天津市部分事业单位公开招聘工作人员笔试成绩单 招聘部门:天津市滨海新区新港街综合治理中心 报名序号 025172 025167 025061 029345 025318 026857 025342 025344 025315 027563 026908 026926 026929 026956 029391 029395 028986 029381 031192 030519 030636 031041 030557 015138 015124 015351 015391 015367 015305 015310 015335 017004 016001 016235 016058 016910 017960 017986 017607 017958 017990 017602 017603 025189 023108 019076 022571 025195 033060 026876 014732 003733 011037 姓名 司*宁 刘* 卜* 冯*欣 高*珂 刘*月 杨*琪 孟*彤 吴* 刘* 李*英 许* 郑*悦 李*颖 张*迪 潘* 康*绚 陈*媛 宁*颖 樊*韬 吴* 苏*宇 徐* 熊* 王* 周* 陈*明 张* 李*霖 刘*佳 蒋*光 兰*庆 徐* 薛* 李*童 张* 刘*伊 齐*梅 刘* 陈*丽 张*惠 张* 黄*琳 刘*闻 刘*缨 路* 李*昌 王*帆 孙*彤 梁*怡 郭*彤 任*妍 葛*卉 性别 女 女 女 女 男 女 女 女 女 女 女 女 女 女 女 女 男 女 女 女 女 女 女 女 男 女 男 女 男 女 男 女 女 女 女 女 女 女 女 女 女 女 女 男 女 女 男 女 女 女 女 女 女 身份证号 131025********0046 120109********5525 130322********0025 130224********0522 130181********3630 140602********8525 130283********5682 130730********1840 120108********2520 120111********4023 231085********2122 152128********1222 120223********4064 411224********9565 320922********632X 130281********0060 130726********0036 120107********0623 132627********0048 231081********002X 140222********0023 130802********2020 130922********0081 120104********7640 120107********3911 130206********1824 130822********4018 130282********1428 120107********3019 120224********2220 320302********0010 120221********1328 120110********0921 230703********0041 130283********0425 370829********0024 131002********4225 130924********0520 130181********7646 371081********3026 370686********7445 130322********4228 410523********1026 120225********0076 130534********7523 120107********6329 130283********0015 341222********4706 371325********002X 130224********0045 130229********0025 120224********5028 130582********0447 招聘岗位:专技岗 职位代码 301130102 301130102 301130102 301130102 301130102 301130102 301130102 301130102 301130102 301130102 301130102 301130102 301130102 301130102 301130102 301130102 301130102 301130102 301130102 301130102 301130102 301130102 301130102 301130102 301130102 301130102 301130102 301130102 301130102 301130102 301130102 301130102 301130102 301130102 301130102 301130102 301130102 301130102 301130102 301130102 301130102 301130102 301130102 301130102 301130102 301130102 301130102 301130102 301130102 301130102 301130102 301130102 301130102 招聘人数:2人 综合能力测试 缺考 缺考 缺考 缺考 缺考 缺考 缺考 缺考 缺考 缺考 缺考 缺考 缺考 缺考 缺考 缺考 缺考 缺考 缺考 缺考 缺考 缺考 缺考 缺考 缺考 缺考 缺考 缺考 缺考 缺考 缺考 缺考 缺考 缺考 缺考 缺考 缺考 缺考 缺考 缺考 缺考 缺考 缺考 缺考 缺考 缺考 缺考 缺考 缺考 缺考 缺考 缺考 缺考 申论 缺考 缺考 缺考 缺考 缺考 缺考 缺考 缺考 缺考 缺考 缺考 缺考 缺考 缺考 缺考 缺考 缺考 缺考 缺考 缺考 缺考 缺考 缺考 缺考 缺考 缺考 缺考 缺考 缺考 缺考 缺考 缺考 缺考 缺考 缺考 缺考 缺考 缺考 缺考 缺考 缺考 缺考 缺考 缺考 缺考 缺考 缺考 缺考 缺考 缺考 缺考 缺考 缺考 进入面试人数:6人 笔试成绩 0 0 0 0 0 0 0 0 0 0 0 0 0 0 0 0 0 0 0 0 0 0 0 0 0 0 0 0 0 0 0 0 0 0 0 0 0 0 0 0 0 0 0 0 0 0 0 0 0 0 0 0 0 2021年天津市部分事业单位公开招聘工作人员笔试成绩单 招聘部门:天津市滨海新区新港街综合治理中心 报名序号 008561 004805 009108 020635 017999 008702 008556 014675 015434 008515 005622 007932 028786 005595 014723 010027 008999 015168 015011 014987 015063 015070 015182 033005 033901 032986 034018 034404 034763 034182 034076 036547 036535 036427 005634 004747 026982 004927 005609 003731 020640 014719 020812 005031 005529 022498 008253 005360 020607 008695 026952 023173 023182 姓名 刘*玥 杨* 刘*琦 李*谦 张*园 刘* 郭* 艾* 吴* 杜*诺 安*坤 王*钰 薛* 张*悦 王*哲 张*葱 何*璇 钱* 黄*子 熊*洋洋 李*珍 武*洋 杜* 苑*晗 李*月 张*纯 田*蒙 王*琳 李*倩 孙*佳 赵*轩 王*丹 应*阳 顾*晴 王*琪 靳*霖 吕*虹 张* 李* 秦* 李*男 于*国 李*莲 高*寒 聂*明 王* 司*雪 高* 张*琳 薛*磊 张* 苏*国 尹*真 性别 女 男 女 女 女 男 女 女 男 女 女 女 男 女 女 女 女 女 女 女 女 男 女 女 女 女 女 女 女 女 男 女 女 女 女 男 女 女 女 男 女 男 女 女 女 男 女 女 女 女 男 男 女 身份证号 210302********1222 230604********5130 120112********1620 130925********6046 130421********452X 120108********4011 142202********370X 130823********0022 120221********0016 130202********702X 120222********6428 120224********0028 130927********4216 120221********0028 210403********1529 411423********6585 120113********5624 230105********3724 130903********0324 362202********1548 130729********162X 130282********1851 370983********6129 130726********002X 130282********5121 120104********0420 211421********4025 340303********0624 120108********3527 130682********7823 130622********7817 370682********4740 130802********0421 211403********0060 120224********0049 371323********8414 120104********3844 120107********3669 130802********002X 120109********5013 130726********0082 371402********3019 142327********2643 371581********0023 130434********4429 130302********1812 120106********2026 120222********0022 131102********4623 130127********0924 130282********3312 120221********1312 370634********0027 招聘岗位:专技岗 职位代码 301130102 301130102 301130102 301130102 301130102 301130102 301130102 301130102 301130102 301130102 301130102 301130102 301130102 301130102 301130102 301130102 301130102 301130102 301130102 301130102 301130102 301130102 301130102 301130102 301130102 301130102 301130102 301130102 301130102 301130102 301130102 301130102 301130102 301130102 301130102 301130102 301130102 301130102 301130102 301130102 301130102 301130102 301130102 301130102 301130102 301130102 301130102 301130102 301130102 301130102 301130102 301130102 301130102 招聘人数:2人 综合能力测试 缺考 缺考 缺考 缺考 缺考 缺考 缺考 缺考 缺考 缺考 缺考 缺考 缺考 缺考 缺考 缺考 缺考 缺考 缺考 缺考 缺考 缺考 缺考 缺考 缺考 缺考 缺考 缺考 缺考 缺考 缺考 缺考 缺考 缺考 缺考 缺考 缺考 缺考 缺考 缺考 缺考 缺考 缺考 缺考 缺考 缺考 缺考 缺考 缺考 缺考 缺考 缺考 缺考 申论 缺考 缺考 缺考 缺考 缺考 缺考 缺考 缺考 缺考 缺考 缺考 缺考 缺考 缺考 缺考 缺考 缺考 缺考 缺考 缺考 缺考 缺考 缺考 缺考 缺考 缺考 缺考 缺考 缺考 缺考 缺考 缺考 缺考 缺考 缺考 缺考 缺考 缺考 缺考 缺考 缺考 缺考 缺考 缺考 缺考 缺考 缺考 缺考 缺考 缺考 缺考 缺考 缺考 进入面试人数:6人 笔试成绩 0 0 0 0 0 0 0 0 0 0 0 0 0 0 0 0 0 0 0 0 0 0 0 0 0 0 0 0 0 0 0 0 0 0 0 0 0 0 0 0 0 0 0 0 0 0 0 0 0 0 0 0 0 2021年天津市部分事业单位公开招聘工作人员笔试成绩单 招聘部门:天津市滨海新区新港街综合治理中心 报名序号 023113 023090 025192 025304 029351 025184 025225 025310 025175 026855 026874 025378 026896 027432 026885 028248 029404 026900 029418 034030 029412 030116 033004 015281 022591 015736 015413 016108 016253 016931 015411 017994 016908 017972 017594 020985 016928 022746 017030 018572 025309 019662 019086 018778 018753 019660 018579 019701 020603 020617 031205 021765 019813 姓名 李* 李* 马* 闫* 孟*尧 毕*丹 梁* 杨*倩 周*琳 彭*怡 贾*文 苗*杰 佟* 李*菲 彭*峰 宫* 王* 张*鹏 陈* 张*赂 朱*航 贾*辉 邵*桐 谢* 王*洁 孔*丹 郭* 杨*文 程* 孙*鑫 史*顺 翟*佳 马*冉 杨*涛 高*程 李*燕 谢*尚 张*晴 于* 蔡*秋 孟*辰 李* 魏*宸 王* 郭* 黄*源 王*涵 王*慧 李*桐 田* 谢* 张*翔 张*浩 性别 女 女 男 女 男 女 女 女 女 女 女 女 女 女 男 女 女 男 女 女 男 女 女 女 女 女 女 女 女 女 男 女 女 男 男 女 男 女 男 女 女 女 女 男 女 女 女 女 女 女 女 男 男 身份证号 130821********8008 130638********8548 130903********1538 370828********0027 130828********2234 370725********1221 130133********002X 150222********0024 371402********2629 120107********4542 130531********3228 120221********1128 120107********452X 370322********1341 140621********2814 120107********4224 120223********5163 120225********0036 130602********0943 120112********0424 130321********9017 410521********0021 130221********0106 132628********3921 120107********2126 370881********2041 130223********0621 130729********2960 210603********2022 210921********0021 130223********7519 130681********0629 370911********6848 120112********3714 120109********1035 120112********0425 130283********8033 130323********2622 130303********0313 370322********6727 320322********8628 130225********7148 120103********1744 130928********0056 130224********7662 120222********2225 120222********0646 130224********306X 230602********4441 130204********182X 370882********4248 130423********0016 370481********7439 招聘岗位:专技岗 职位代码 301130102 301130102 301130102 301130102 301130102 301130102 301130102 301130102 301130102 301130102 301130102 301130102 301130102 301130102 301130102 301130102 301130102 301130102 301130102 301130102 301130102 301130102 301130102 301130102 301130102 301130102 301130102 301130102 301130102 301130102 301130102 301130102 301130102 301130102 301130102 301130102 301130102 301130102 301130102 301130102 301130102 301130102 301130102 301130102 301130102 301130102 301130102 301130102 301130102 301130102 301130102 301130102 301130102 招聘人数:2人 综合能力测试 缺考 缺考 缺考 缺考 缺考 缺考 缺考 缺考 缺考 缺考 缺考 缺考 缺考 缺考 缺考 缺考 缺考 缺考 缺考 缺考 缺考 缺考 缺考 缺考 缺考 缺考 缺考 缺考 缺考 缺考 缺考 缺考 缺考 缺考 缺考 缺考 缺考 缺考 缺考 缺考 缺考 缺考 缺考 缺考 缺考 缺考 缺考 缺考 缺考 缺考 缺考 缺考 缺考 申论 缺考 缺考 缺考 缺考 缺考 缺考 缺考 缺考 缺考 缺考 缺考 缺考 缺考 缺考 缺考 缺考 缺考 缺考 缺考 缺考 缺考 缺考 缺考 缺考 缺考 缺考 缺考 缺考 缺考 缺考 缺考 缺考 缺考 缺考 缺考 缺考 缺考 缺考 缺考 缺考 缺考 缺考 缺考 缺考 缺考 缺考 缺考 缺考 缺考 缺考 缺考 缺考 缺考 进入面试人数:6人 笔试成绩 0 0 0 0 0 0 0 0 0 0 0 0 0 0 0 0 0 0 0 0 0 0 0 0 0 0 0 0 0 0 0 0 0 0 0 0 0 0 0 0 0 0 0 0 0 0 0 0 0 0 0 0 0 2021年天津市部分事业单位公开招聘工作人员笔试成绩单 招聘部门:天津市滨海新区新港街综合治理中心 报名序号 013872 008927 008866 008737 009029 016271 014658 009114 011314 015695 016948 014671 014698 019722 014940 014925 029396 015079 015012 015209 025003 014939 008288 025162 008499 008959 015052 013854 011374 011043 008489 010073 015015 011067 010038 014730 033066 020622 014928 015409 005586 015658 005303 005357 025083 005163 015398 014996 005711 005679 036482 005624 025314 姓名 李* 刘* 张* 修*怡 张*月 关*旭 王*柔 庞*舒 靳*婷 司*韵 李* 袁*晨 庞*淘 任*平 徐*贤 刘*伟 许*雨 姚* 沈*晴 李*娜 李*弘 霍* 李*萱 刘* 张*雨 冯*艳 毛* 付* 张* 张*艺 范*琳 张*妍 王* 赵* 韩*菲 张* 赖*羽 李* 赵*毓 蔡*洁 郝*盼 王* 陈*华 唐*洁 何* 刘*超 王* 何* 罗*金 刘* 李*琪 郭*焰 李*瀚 性别 女 男 女 女 女 女 女 女 女 女 女 女 女 女 女 男 女 女 女 女 女 女 女 女 女 女 女 女 女 男 女 女 女 女 女 女 女 女 女 女 女 男 女 女 男 女 女 女 女 女 女 女 男 身份证号 130221********6864 120109********5010 370403********2720 120222********2623 130227********4823 130303********1225 220881********0723 230903********1445 120221********0048 341182********6028 130202********8025 132928********6320 130425********2025 120107********1520 120110********3029 142325********3515 130826********0029 130981********6626 120222********1849 230421********0028 220202********0921 142625********4322 371402********1622 130183********0029 120105********3320 131128********002X 130684********5528 130903********0347 232127********0221 370284********0011 130229********7443 371428********0589 130184********3526 120109********0021 120224********7521 120224********3425 120107********4563 120221********0029 220323********2426 130283********606X 130925********7248 120107********4814 130535********0220 120107********9028 130531********001X 371325********302X 120109********1029 372923********0122 430523********8627 130224********8526 130732********0063 120103********7329 130123********7516 招聘岗位:专技岗 职位代码 301130102 301130102 301130102 301130102 301130102 301130102 301130102 301130102 301130102 301130102 301130102 301130102 301130102 301130102 301130102 301130102 301130102 301130102 301130102 301130102 301130102 301130102 301130102 301130102 301130102 301130102 301130102 301130102 301130102 301130102 301130102 301130102 301130102 301130102 301130102 301130102 301130102 301130102 301130102 301130102 301130102 301130102 301130102 301130102 301130102 301130102 301130102 301130102 301130102 301130102 301130102 301130102 301130102 招聘人数:2人 综合能力测试 缺考 缺考 缺考 缺考 缺考 缺考 缺考 缺考 缺考 缺考 缺考 缺考 缺考 缺考 缺考 缺考 缺考 缺考 缺考 缺考 缺考 缺考 缺考 缺考 缺考 缺考 缺考 缺考 缺考 缺考 缺考 缺考 缺考 缺考 缺考 缺考 缺考 缺考 缺考 缺考 缺考 缺考 缺考 缺考 缺考 缺考 缺考 缺考 缺考 缺考 缺考 缺考 缺考 申论 缺考 缺考 缺考 缺考 缺考 缺考 缺考 缺考 缺考 缺考 缺考 缺考 缺考 缺考 缺考 缺考 缺考 缺考 缺考 缺考 缺考 缺考 缺考 缺考 缺考 缺考 缺考 缺考 缺考 缺考 缺考 缺考 缺考 缺考 缺考 缺考 缺考 缺考 缺考 缺考 缺考 缺考 缺考 缺考 缺考 缺考 缺考 缺考 缺考 缺考 缺考 缺考 缺考 进入面试人数:6人 笔试成绩 0 0 0 0 0 0 0 0 0 0 0 0 0 0 0 0 0 0 0 0 0 0 0 0 0 0 0 0 0 0 0 0 0 0 0 0 0 0 0 0 0 0 0 0 0 0 0 0 0 0 0 0 0 2021年天津市部分事业单位公开招聘工作人员笔试成绩单 招聘部门:天津市滨海新区新港街综合治理中心 报名序号 008595 005494 008940 008797 005614 014988 姓名 邱* 崔*语 马*宏 韩* 钱*鸾 范*洋 性别 女 女 女 女 女 男 身份证号 612321********5522 120108********1021 130283********006X 230602********2121 120221********2429 130202********7019 招聘岗位:专技岗 职位代码 301130102 301130102 301130102 301130102 301130102 301130102 招聘人数:2人 综合能力测试 缺考 缺考 缺考 缺考 缺考 缺考 申论 缺考 缺考 缺考 缺考 缺考 缺考 进入面试人数:6人 笔试成绩 0 0 0 0 0 0 部分事业单位公开招聘工作人员笔试成绩单 理中心 招聘岗位:专技岗 招聘人数:2人 进入面试人数:6人 是否进入面试 进入面试 进入面试 进入面试 进入面试 进入面试 进入面试 未进面试 未进面试 未进面试 未进面试 未进面试 未进面试 未进面试 未进面试 未进面试 未进面试 未进面试 未进面试 未进面试 未进面试 未进面试 未进面试 未进面试 未进面试 未进面试 未进面试 未进面试 未进面试 未进面试 未进面试 未进面试 未进面试 未进面试 未进面试 未进面试 未进面试 未进面试 未进面试 未进面试 未进面试 未进面试 未进面试 未进面试 未进面试 未进面试 未进面试 未进面试 未进面试 未进面试 未进面试 未进面试 未进面试 未进面试 是否进入面试 未进面试 未进面试 未进面试 未进面试 未进面试 未进面试 未进面试 未进面试 未进面试 未进面试 未进面试 未进面试 未进面试 未进面试 未进面试 未进面试 未进面试 未进面试 未进面试 未进面试 未进面试 未进面试 未进面试 未进面试 未进面试 未进面试 未进面试 未进面试 未进面试 未进面试 未进面试 未进面试 未进面试 未进面试 未进面试 未进面试 未进面试 未进面试 未进面试 未进面试 未进面试 未进面试 未进面试 未进面试 未进面试 未进面试 未进面试 未进面试 未进面试 未进面试 未进面试 未进面试 未进面试 是否进入面试 未进面试 未进面试 未进面试 未进面试 未进面试 未进面试 未进面试 未进面试 未进面试 未进面试 未进面试 未进面试 未进面试 未进面试 未进面试 未进面试 未进面试 未进面试 未进面试 未进面试 未进面试 未进面试 未进面试 未进面试 未进面试 未进面试 未进面试 未进面试 未进面试 未进面试 未进面试 未进面试 未进面试 未进面试 未进面试 未进面试 未进面试 未进面试 未进面试 未进面试 未进面试 未进面试 未进面试 未进面试 未进面试 未进面试 未进面试 未进面试 未进面试 未进面试 未进面试 未进面试 未进面试 是否进入面试 未进面试 未进面试 未进面试 未进面试 未进面试 未进面试 未进面试 未进面试 未进面试 未进面试 未进面试 未进面试 未进面试 未进面试 未进面试 未进面试 未进面试 未进面试 未进面试 未进面试 未进面试 未进面试 未进面试 未进面试 未进面试 未进面试 未进面试 未进面试 未进面试 未进面试 未进面试 未进面试 未进面试 未进面试 未进面试 未进面试 未进面试 未进面试 未进面试 未进面试 未进面试 未进面试 未进面试 未进面试 未进面试 未进面试 未进面试 未进面试 未进面试 未进面试 未进面试 未进面试 未进面试 是否进入面试 未进面试 未进面试 未进面试 未进面试 未进面试 未进面试 未进面试 未进面试 未进面试 未进面试 未进面试 未进面试 未进面试 未进面试 未进面试 未进面试 未进面试 未进面试 未进面试 未进面试 未进面试 未进面试 未进面试 未进面试 未进面试 未进面试 未进面试 未进面试 未进面试 未进面试 未进面试 未进面试 未进面试 未进面试 未进面试 未进面试 未进面试 未进面试 未进面试 未进面试 未进面试 未进面试 未进面试 未进面试 未进面试 未进面试 未进面试 未进面试 未进面试 未进面试 未进面试 未进面试 未进面试 是否进入面试 未进面试 未进面试 未进面试 未进面试 未进面试 未进面试 未进面试 未进面试 未进面试 未进面试 未进面试 未进面试 未进面试 未进面试 未进面试 未进面试 未进面试 未进面试 未进面试 未进面试 未进面试 未进面试 未进面试 未进面试 未进面试 未进面试 未进面试 未进面试 未进面试 未进面试 未进面试 未进面试 未进面试 未进面试 未进面试 未进面试 未进面试 未进面试 未进面试 未进面试 未进面试 未进面试 未进面试 未进面试 未进面试 未进面试 未进面试 未进面试 未进面试 未进面试 未进面试 未进面试 未进面试 是否进入面试 未进面试 未进面试 未进面试 未进面试 未进面试 未进面试 未进面试 未进面试 未进面试 未进面试 未进面试 未进面试 未进面试 未进面试 未进面试 未进面试 未进面试 未进面试 未进面试 未进面试 未进面试 未进面试 未进面试 未进面试 未进面试 未进面试 未进面试 未进面试 未进面试 未进面试 未进面试 未进面试 未进面试 未进面试 未进面试 未进面试 未进面试 未进面试 未进面试 未进面试 未进面试 未进面试 未进面试 未进面试 未进面试 未进面试 未进面试 未进面试 未进面试 未进面试 未进面试 未进面试 未进面试 是否进入面试 未进面试 未进面试 未进面试 未进面试 未进面试 未进面试 未进面试 未进面试 未进面试 未进面试 未进面试 未进面试 未进面试 未进面试 未进面试 未进面试 未进面试 未进面试 未进面试 未进面试 未进面试 未进面试 未进面试 未进面试 未进面试 未进面试 未进面试 未进面试 未进面试 未进面试 未进面试 未进面试 未进面试 未进面试 未进面试 未进面试 未进面试 未进面试 未进面试 未进面试 未进面试 未进面试 未进面试 未进面试 未进面试 未进面试 未进面试 未进面试 未进面试 未进面试 未进面试 未进面试 未进面试 是否进入面试 未进面试 未进面试 未进面试 未进面试 未进面试 未进面试 未进面试 未进面试 未进面试 未进面试 未进面试 未进面试 未进面试 未进面试 未进面试 未进面试 未进面试 未进面试 未进面试 未进面试 未进面试 未进面试 未进面试 未进面试 未进面试 未进面试 未进面试 未进面试 未进面试 未进面试 未进面试 未进面试 未进面试 未进面试 未进面试 未进面试 未进面试 未进面试 未进面试 未进面试 未进面试 未进面试 未进面试 未进面试 未进面试 未进面试 未进面试 未进面试 未进面试 未进面试 未进面试 未进面试 未进面试 是否进入面试 未进面试 未进面试 未进面试 未进面试 未进面试 未进面试 未进面试 未进面试 未进面试 未进面试 未进面试 未进面试 未进面试 未进面试 未进面试 未进面试 未进面试 未进面试 未进面试 未进面试 未进面试 未进面试 未进面试 未进面试 未进面试 未进面试 未进面试 未进面试 未进面试 未进面试 未进面试 未进面试 未进面试 未进面试 未进面试 未进面试 未进面试 未进面试 未进面试 未进面试 未进面试 未进面试 未进面试 未进面试 未进面试 未进面试 未进面试 未进面试 未进面试 未进面试 未进面试 未进面试 未进面试 是否进入面试 未进面试 未进面试 未进面试 未进面试 未进面试 未进面试 未进面试 未进面试 未进面试 未进面试 未进面试 未进面试 未进面试 未进面试 未进面试 未进面试 未进面试 未进面试 未进面试 未进面试 未进面试 未进面试 未进面试 未进面试 未进面试 未进面试 未进面试 未进面试 未进面试 未进面试 未进面试 未进面试 未进面试 未进面试 未进面试 未进面试 未进面试 未进面试 未进面试 未进面试 未进面试 未进面试 未进面试 未进面试 未进面试 未进面试 未进面试 未进面试 未进面试 未进面试 未进面试 未进面试 未进面试 是否进入面试 未进面试 未进面试 未进面试 未进面试 未进面试 未进面试

笔试成绩 (公示).xls 




