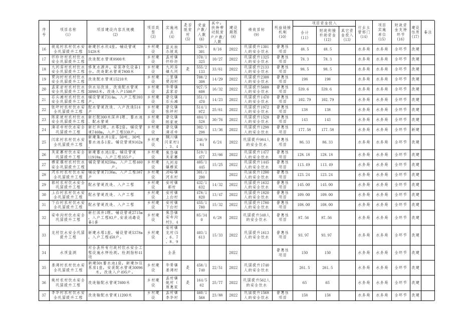
蓝田县2022年巩固拓展脱贫攻坚成果和乡村振兴项目库明细表.xlsx
蓝田县2022年巩固拓展脱贫攻坚成果和乡村振兴项目库明细表 单位:万元 序 号 项目名称 (1) 项目建设内容及规模 (2) 项目类 型 (3) 实施地 点 (4) 是否 脱贫 村 (5) 合计 其中: 受益 扶持带 户数/ 动脱贫 人数 户户数/ (6) 人数 (7) 项目资金投入 建设 期限 (8) 绩效目标 (9) 利益链接 机制 (10) 合计 (11) 财政衔接 补助资金 (12) 行业主 其它资 管部门 金投入 (14) (13) 项目 实施 单位 (15) 财政资 建设 金支持 性质 备注 环节 (17) (16) 人社局 全环节 新建 前卫镇 全环节 新建 49394.945 人社局 1 公益岗位 设置扶贫项目资产管护员岗位 337个,设置移民社区公共服 务岗位12个 其它 349/3 349/349 49 全县 2022 解决349人就业 普惠性 项目 191.95 191.95 人社局 文旅局 1.改造占地2700平方米的原凫 峪学校为VR体验馆、游客中心 前卫镇将军村乡村 和农耕文化展览馆;2.改造原 有涝池开发草船借箭体验项目 旅游项目 ;3.打造占地7400平方米的林 间步道观光区 444/1 98/331 717 打造旅游型新 农村,促进消 费,带动村民 就业 产业发 展 前卫镇 将军村 羊茂山村农村饮水 新建大口井1座,新建50吨蓄 安全巩固提升工程 水池1座,改造输配水管道 13478米,改造入户234户。 樊家村农村饮水安 维修供水站1座,新建50吨蓄 全巩固提升工程 水池1座,改造输配水管道 6790米,改造入户490户。 吴庄村农村饮水安 新建水塔3座,铺设管道 全巩固提升工程 10280m。 新街村饮水安全巩 新建蓄水池1座,铺设管道 固提升工程 1211m 胡家村饮水安全巩 新建水塔1座,铺设管道1740m 固提升工程 ,入户33户 联丰村农村饮水安 铺设管道2870m,入户工程10 全巩固提升工程 户,消毒设备4套。 乡村建 设 华胥镇 羊茂山 村 是 278/9 65 14/27 2022 巩固提升965人 的安全饮水 普惠性 项目 116 116 水务局 水务局 全环节 改建 乡村建 设 三里镇 樊家村 是 420/1 520 31/80 2022 巩固提升1520 人的安全饮水 普惠性 项目 90.34 90.34 水务局 水务局 全环节 改建 乡村建 设 乡村建 设 乡村建 设 乡村建 设 22/63 2022 162.16 水务局 水务局 全环节 改建 2022 22.91 22.91 水务局 水务局 全环节 改建 4/13 2022 25 25 水务局 水务局 全环节 改建 10/27 2022 普惠性 项目 普惠性 项目 普惠性 项目 普惠性 项目 162.16 18/42 巩固提升1102 人的安全饮水 巩固提升2625 人的安全饮水 巩固提升130人 的安全饮水 巩固提升1380 人的安全饮水 44.54 44.54 水务局 水务局 全环节 改建 9 边庄村饮水安全巩 蓄水池1座、水塔1座、铺设管 固提升工程 道8840m,入户工程336户。 乡村建 设 402/1 395 11/40 2022 巩固提升1395 人的安全饮水 普惠性 项目 87.05 87.05 水务局 水务局 全环节 改建 10 新建水塔1座,铺设管道 李家村饮水安全巩 8040m,入户工程402户,安装 固提升工程 消毒设备4台。 乡村建 设 352/1 318 15/34 2022 巩固提升1318 人的安全饮水 普惠性 项目 89.16 89.16 水务局 水务局 全环节 改建 11 鹿走沟村饮水安全 改造配水管道8500米 巩固提升工程 乡村建 设 430/1 720 12/33 2022 巩固提升1527 人的安全饮水 普惠性 项目 92.5 92.5 水务局 水务局 全环节 改建 12 韩门寨村饮水安全 水源、蓄水池、配水管道 巩固提升工程 乡村建 设 149/5 98 8/23 2022 巩固提升598人 的安全饮水 普惠性 项目 60.6 60.6 水务局 水务局 全环节 改建 张斜村农村饮水安 水源、蓄水池、配水管道 全巩固提升工程 樊家坡村农村饮水 新打配深井1眼,铺设管道 安全巩固提升工程 525m。 乡村建 设 乡村建 设 5/8 2022 62.2 水务局 水务局 全环节 改建 2022 普惠性 项目 普惠性 项目 62.2 15/37 巩固提升2325 人的安全饮水 巩固提升1486 人的安全饮水 59.64 59.64 水务局 水务局 全环节 改建 支尚村农村饮水安 改造配水管道5500米 全巩固提升工程 乡村建 设 安村镇 吴庄村 华胥镇 新街村 孟村镇 胡家村1 组 汤峪镇 联丰村 厚镇边 庄村1-3 、6-8组 孟村镇 李家村 1~4组 前卫镇 鹿走沟 村(原 鹿走沟 村) 普化镇 韩门寨 村5、6 组 华胥镇 张斜村 焦岱镇 樊家坡 村 安村镇 支尚村 (原偏 白村) 9/32 2022 巩固提升843人 的安全饮水 普惠性 项目 45.3 45.3 水务局 水务局 全环节 改建 2 2022 发展集体 经济 390 390 县文旅 体育局 水务局 3 4 5 6 7 8 13 14 15 463/1 102 745/2 625 33/13 0 371/1 380 625/2 325 625/1 486 210/8 43 序 号 16 17 18 19 20 21 22 23 24 25 26 27 28 29 30 31 32 33 34 35 项目名称 (1) 坡底村农村饮水安 全巩固提升工程 怀珍坊村农村饮水 安全巩固提升工程 九间房村农村饮水 安全巩固提升工程 贾沟村村农村饮水 安全巩固提升工程 孟家岩村农村饮水 安全巩固提升工程 石头滩村农村饮水 安全巩固提升工程 张坪村农村饮水安 全巩固提升工程 陈家坡村农村饮水 安全巩固提升工程 清凉寺村饮水安全 巩固提升工程 闫家村农村饮水安 全巩固提升工程 项目建设内容及规模 (2) 新建拦水坎4座,铺设管道 5428米 改造配水管道8900米 修复水源井,安装净化设备1 台,改造配水管道7800米 改造配水管道15210米 供水站改造、改造配水管道 30985米,改造入户1500户 铺设管道7314m,入户工程393 户。 配水管道改造、入户改造514 户 新打配300米深井1眼、蓄水池 、配水管道 新打井2眼,水塔2座,铺设管 道7460m,入户工程330户。 新建集水井1座,50吨、30吨 蓄水池各1座,铺设管道9162m 。 新建蓄水池1座,铺设管道 11918m,入户工程355户。 铺设管道8258m,入户工程460 户。 铺设管道7136m,入户工程387 户 项目类 型 (3) 实施地 点 (4) 乡村建 设 乡村建 设 乡村建 设 乡村建 设 乡村建 设 乡村建 设 乡村建 设 乡村建 设 乡村建 设 蓝关街 办坡底 村 孟村镇 怀珍坊 村 九间房 镇九间 房村 三里镇 贾沟村 华胥镇 孟家岩 村 普化镇 石头滩 村 普化镇 张坪村 普化镇 陈家坡 村 普化镇 清凉寺 村 辋川镇 闫家村1 、3、4 组 焦岱镇 吴家寨 村 九间房 镇穆家 堰村 汤峪镇 河东村 安村镇 郭村 安村镇 上白村 安村镇 下白村 焦岱镇 安寺沟 村3、4 组 安村镇 龙村(5 、6、7 、8、9 、11组) 全县 乡村建 设 吴家寨村饮水安全 巩固提升工程 穆家堰村农村饮水 安全巩固提升工程 河东村农村饮水安 全巩固提升工程 郭村农村饮水安全 配水管道改造、入户工程 巩固提升工程 上白村农村饮水安 配水管道改造、入户工程 全巩固提升工程 下白村农村饮水安 配水管道改造、入户工程 全巩固提升工程 新打深井1眼,铺设管道2715m 安寺沟村饮水安全 ,入户工程83户,安装消毒设 巩固提升工程 备1套 乡村建 设 乡村建 设 乡村建 设 乡村建 设 乡村建 设 乡村建 设 龙村饮水安全巩固 新建水塔1座,铺设管道5378m 提升工程 ,入户工程458户。 乡村建 设 乡村建 设 对全县所有行政村饮水安全工 程设施水样检测,检测指标41 项 新建50t蓄水池1座,新建加压 姜湾村农村饮水安 乡村建 泵房1座,安装配水管道30096 全巩固提升工程 设 米,改造入户495户。 水质监测 36 姚村农村饮水安全 改造输配水管道7600米 巩固提升工程 乡村建 设 37 李华村农村饮水安 改造输配水管道11200米 全巩固提升工程 乡村建 设 华胥镇 姜湾村 孟村镇 姚村( 原惠家 环村) 孟村镇 李华村 是否 脱贫 村 (5) 是 其中: 受益 扶持带 户数/ 动脱贫 人数 户户数/ (6) 人数 (7) 329/1 8/16 301 370/1 10/27 325 555/2 33/61 133 708/2 14/29 308 927/5 16/32 608 351/1 14/23 470 514/1 25/61 972 404/1 30/76 528 302/1 13/36 298 246/9 84 519/1 477 405/1 445 301/1 200 432/1 632 478/1 820 455/1 780 项目资金投入 建设 期限 (8) 2022 2022 2022 2022 2022 2022 2022 2022 2022 6/24 2022 33/66 2022 15/25 2022 2022 绩效目标 (9) 利益链接 机制 (10) 巩固提升1301 人的安全饮水 巩固提升1325 人的安全饮水 巩固提升2133 人的安全饮水 巩固提升2308 人的安全饮水 巩固提升5608 人的安全饮水 巩固提升1470 人的安全饮水 巩固提升1972 人的安全饮水 巩固提升1528 人的安全饮水 巩固提升1298 人的安全饮水 普惠性 项目 普惠性 项目 普惠性 项目 普惠性 项目 普惠性 项目 普惠性 项目 普惠性 项目 普惠性 项目 普惠性 项目 巩固提升984人 的安全饮水 普惠性 项目 巩固提升1477 人的安全饮水 巩固提升1445 人的安全饮水 巩固提升1200 人的安全饮水 巩固提升1632 人的安全饮水 巩固提升1820 人的安全饮水 巩固提升1780 人的安全饮水 普惠性 项目 普惠性 项目 普惠性 项目 普惠性 项目 普惠性 项目 普惠性 项目 行业主 其它资 管部门 金投入 (14) (13) 项目 实施 单位 (15) 财政资 建设 金支持 性质 备注 环节 (17) (16) 合计 (11) 财政衔接 补助资金 (12) 48.5 48.5 水务局 水务局 全环节 改建 78.3 78.3 水务局 水务局 全环节 改建 98.5 98.5 水务局 水务局 全环节 改建 198 198 水务局 水务局 全环节 改建 539.6 539.6 水务局 水务局 全环节 改建 102.79 102.79 水务局 水务局 全环节 改建 138 138 水务局 水务局 全环节 改建 143 143 水务局 水务局 全环节 改建 177.58 177.58 水务局 水务局 全环节 新建 86.33 86.33 水务局 水务局 全环节 改建 128.18 128.18 水务局 水务局 全环节 改建 113.49 113.49 水务局 水务局 全环节 改建 123.24 123.24 水务局 水务局 全环节 改建 145.00 145.00 水务局 水务局 全环节 改建 109.00 109.00 水务局 水务局 全环节 改建 108.00 108.00 水务局 水务局 全环节 改建 14/32 2022 13/47 2022 15/32 2022 85/34 0 6/28 2022 巩固提升340人 的安全饮水 普惠性 项目 87.56 87.56 水务局 水务局 全环节 改建 403/1 613 15/33 2022 巩固提升1613 人的安全饮水 普惠性 项目 93.97 93.97 水务局 水务局 全环节 改建 普惠性 项目 150 150 水务局 水务局 全环节 改建 2022 是 458/1 740 22/51 2022 巩固提升1740 人的安全饮水 261.5 261.5 水务局 水务局 全环节 改建 是 164/5 62 25/77 2022 巩固提升562人 的安全饮水 65 65 水务局 水务局 全环节 改建 460/1 568 23/88 2022 巩固提升1568 人的安全饮水 158 158 水务局 水务局 全环节 改建 普惠性 项目 序 号 38 39 40 41 42 43 44 45 46 47 48 49 50 项目名称 (1) 项目建设内容及规模 (2) 东坡村农村饮水安 改造输配水管道3600米 全巩固提升工程 实施地 点 (4) 是否 脱贫 村 (5) 全县1126户搬迁群众,按照 蓝田县易地搬迁安 200户以上每户500元,100户 置点搬迁群众物业 —200户每户700元,100户以 费补贴项目 下每户900元。及其他补贴 蓝田县易地搬迁安 按照100户以上增设公益岗6个 置点搬迁安置点公 ,100户以下增设公益岗3个, 益性岗位经费补贴 按照每人每月550元标准。 项目 乡村建 设 其中: 受益 扶持带 户数/ 动脱贫 人数 户户数/ (6) 人数 (7) 260/5 57/176 50 孟村镇 东坡村 孟村镇 贺家堡村农村饮水 乡村建 151/5 改造输配水管道7800米 是 20/73 贺家堡 安全巩固提升工程 设 50 村6-8组 安村镇 巨东村农村饮水安 乡村建 114/4 巨东村2 改造输配水管道9700米 8/35 全巩固提升工程 设 50 、4、5 、7组 三官庙 新房村农村饮水安 乡村建 159/6 镇新房 新建水塔1座 是 12/35 全巩固提升工程 设 53 村5、6 组 前李坪村农村饮水 乡村建 泄湖镇 448/1 改造输配水管道11700米 5/14 安全巩固提升工程 设 740 前李坪 村 将军村农村饮水安 乡村建 前卫镇 444/1 改造输配水管道13500米 25/59 全巩固提升工程 设 将军村 717 田坡村农村饮水安 乡村建 安村镇 176/4 改造输配水管道4500米 13/59 全巩固提升工程 设 60 田坡村3 组 玉山镇 车贺村农村饮水安 乡村建 车贺村2 新建水塔1座 否 185/758 24/85 全巩固提升工程 设 、3、10 组 府庄村农村饮水安 乡村建 新建水塔2座 安村镇府庄村1、3组 否 150/580 33/126 全巩固提升工程 设 乡村建 普化镇 284/1 西李家沟村农村饮 新打配深井1眼铺设管道 否 21/51 设 090 水安全巩固提升工 13825m,改造户表311户。 西李家 程 沟村 改造配水管道2310米,安装户 乡村建 王坡村农村饮水安 三里镇王坡村5组否 145/438 8/23 表148户 设 全巩固提升工程项 目 新建300平米粉条分包装扶贫 车间、新建50平米淀粉制品分 包装扶贫车间、新建100平米 杂粮山货分装车间,新建50平 玉山镇易地搬迁安 米神仙凉粉扶贫创业工坊车间 51 置点扶贫车间扩建 、新建50平米蓝田炒粉扶贫创 项目 业工坊车间、新建50平米乡村 振兴直播间线上销售扶贫产品 直播间、新建200平米钢结构 原料库、成品库、包材库等 52 项目类 型 (3) 搬迁后 扶 全县12 个安置 点 是 搬迁后 扶 全县12 个安置 点 是 搬迁后 扶 玉山镇 移民社 区 是 汤峪镇易地扶贫搬 占地0.28亩,建设180㎡一站 搬迁后 迁安置点综合服务 式综合便民服务中心(包含: 扶 设施建设项目 主体结构、水电安装及装修) 汤峪镇 高堡村 是 1126 户 3643 人 1126 户 3643 人 144户 489人 项目资金投入 建设 期限 (8) 绩效目标 (9) 利益链接 机制 (10) 2022 巩固提升550人 的安全饮水 2022 行业主 其它资 管部门 金投入 (14) (13) 项目 实施 单位 (15) 财政资 建设 金支持 性质 备注 环节 (17) (16) 合计 (11) 财政衔接 补助资金 (12) 普惠性 项目 48 48 水务局 水务局 全环节 改建 巩固提升550人 的安全饮水 普惠性 项目 98 98 水务局 水务局 全环节 改建 2022 巩固提升1491 人的安全饮水 普惠性 项目 113 113 水务局 水务局 全环节 改建 2022 巩固提升653人 的安全饮水 普惠性 项目 18 18 水务局 水务局 全环节 改建 巩固提升1740 人的安全饮水 巩固提升1717 人的安全饮水 巩固提升1717 人的安全饮水 普惠性 项目 普惠性 项目 普惠性 项目 136 136 水务局 水务局 全环节 改建 142 142 水务局 水务局 全环节 改建 45 45 水务局 水务局 全环节 改建 巩固提升758人 的安全饮水 普惠性 项目 18 18 水务局 水务局 全环节 改建 巩固提升580人 的安全饮水 巩固提升1090 人的安全饮水 巩固提升580人 的安全饮水 普惠性 项目 36 36 水务局 水务局 全环节 改建 145.17 145.17 水务局 水务局 全环节 改建 19.8 19.8 水务局 水务局 全环节 改建 2022 2022 2022 2022 2022 2022 2022 发改委 1126户 3644人 2022 带动搬迁群众 增收 普惠性项 目 110 110 发改委 11个相关 全环节 扩建 镇 1126户 3644人 2022 带动搬迁群众 就业增收 普惠性项 目 29.7 29.7 发改委 12个安置 全环节 补贴 点 144户 490人 2022 年 产业类项 目 48 14.4 33.6 发改委 玉山镇人 全环节 新建 民政府 普惠性项 目 39.6 39.6 0 51户 51户173 173人 人 2022 年 提升汤峪镇易 地扶贫搬迁点 管理服务办公 条件,给群众 提供一个舒适 、温暖的服务 场所 蓝田县 汤峪镇人 发展和 民政府 全环节 新建 改革委 员会 序 号 项目名称 (1) 项目建设内容及规模 (2) 项目类 型 (3) 实施地 点 (4) 建设中药产业园占地150亩, 该项目分为3期,一期(2022 年10月前完成):种植黄精、 焦 岱 镇 易 地 搬 迁 安 五 味 子 、 魔 芋 50 亩 , 二 期 ( 搬迁后 焦岱镇 53 置 中 药 材 种 植 加 工 2023年9月前完成):种植黄 扶 安置点 精、五味子、魔芋35亩,三期 产业园项目 (2024年10月前完成):建设 魔芋深加工车间500平方米, 配备相关设备。 54 55 56 57 58 59 60 建设社区综合服务设施,包括 152平方米钢构车棚一座、装 洩湖镇易地搬迁安 修一站式综合便民服务中心, 置社区综合服务设 建279平方米红白理事便民中 施建设项目 心1座、新建安置点35平米安 保服务中心 扩建240㎡一站式综合便民服 灞源镇易地搬迁安 务中心(包含:主体结构建设 置点公共服务设施 ,水电安装及装修),新建 建设项目 300平方米红白理事便民中心1 座 建设300平方米一站式综合便 三官庙镇易地搬迁 民服务中心1座(含装修)、 安置点社区综合服 200平方米钢构红白理事便民 务设施建设项目 中心1座。 建设100平方米一站式综合便 玉山镇易地搬迁安 民服务中心(水电安装及装修 置社区综合服务设 )、建600平方米红白理事便 施建设项目 民中心1座 普化镇易地搬迁安 建设300平方米红白理事便民 置社区综合服务设 中心1座,新建安置点安保服 施建设 务用房30平方米包含大门。 装修100平方米社区一站式综 焦岱镇易地搬迁安 合便民服务中心;建设90平米 置点综合服务设施 红白理事便民中心1座;建设 建设项目 20平米车棚2座;购置路灯15 个。 建设200㎡一站式综合便民服 务中心(包含:主体结构、水 厚镇易地搬迁安置 电安装及装修),建200平方 点社区综合性服务 米红白理事便民中心1座,150 设施建设项目 平米车棚1座,购置太阳能路 灯40盏,新建安置点安保服务 中心30平米含大门。 是否 脱贫 村 (5) 是 其中: 受益 扶持带 户数/ 动脱贫 人数 户户数/ (6) 人数 (7) 项目资金投入 建设 期限 (8) 绩效目标 (9) 2022 46户 46户150 年 10 150人 人 月前 利益链接 机制 (10) 行业主 其它资 管部门 金投入 (14) (13) 项目 实施 单位 (15) 财政资 建设 金支持 性质 备注 环节 (17) (16) 合计 (11) 财政衔接 补助资金 (12) 产业类项 目 100 100 发改委 焦岱镇人 民政府 洩湖镇人 全环节 新建 民政府 全环节 新建 搬迁后 扶 洩湖镇 安置点 是 78户 74户243 259人 人 2022 完善搬迁社区 功能条件 普惠性项 目 65 65 发改委 搬迁后 扶 灞源镇 移民安 置点 是 276户 994人 脱贫户 276户 994人 2022 年 增加服务项目 普惠性项 目 95 95 发改委 搬迁后 扶 三官庙 镇安置 点 是 220户 599人 220户 599人 2022 完善搬迁社区 功能条件 普惠性项 目 85 85 发改委 三官庙镇 全环节 新建 人民政府 搬迁后 扶 玉山镇 移民社 区 是 144户 490人 144户 491人 2022 完善搬迁社区 功能条件 普惠性项 目 50 50 发改委 玉山镇人 全环节 扩建 民政府 搬迁后 扶 普化镇 安置点 是 73户 73户212 212人 人 2022 完善搬迁社区 功能条件 普惠性项 目 35 35 发改委 普化镇人 全环节 新建 民政府 蓝田县 发展和 焦岱镇人 改革委 民政府 员会 搬迁后 焦岱镇 扶 安置点 搬迁后 扶 厚镇安 置点 61 蓝桥镇易地搬迁安 建设224㎡一站式综合便民服 置点综合服务设施 务中心(包含:主体结构、水 建设项目 电安装及装修) 搬迁后 蓝桥镇 扶 安置点 62 装修80平方米一站式综合便民 葛牌镇易地搬迁安 服务中心,购置太阳能路灯30 置社区综合服务设 个,建设两座200平米红白理 施建设 事便民中心。 搬迁后 扶 小额信贷贴息资金 预计全年贴息400户以上 金融帮 扶 葛牌镇 安置点 是 是 是 是 2022 46户 46户149 年5月 149人 人 -2022 年8月 56户 56户186 186人 人 2022 完善搬迁社区 功能条件 普惠性项 目 36 36 普惠性项 目 120 120 54 54 65 65 2022 72户 72户254 年 5 月 普惠性项 -2024 254人 人 目 年 10 月 67户 67户202 完善搬迁社区 普惠性项 2022 202人 人 功能条件 目 0 发改委 0 汤峪镇人 民政府 全环节 扩建 厚镇人民 全环节 新建 政府 蓝田县 发展和 蓝桥镇人 改革委 民政府 员会 发改委 全环节 新建 全环节 新建 葛牌镇人 全环节 配建 民政府 金融办 63 全县 4000 12/13 2022 实现全年贷款 贴息率达到 100% 自主发展 项目 100 100 金融办 县金融办 全环节 续建 序 号 项目名称 (1) 项目建设内容及规模 (2) 项目类 型 (3) 实施地 点 (4) 是否 脱贫 村 (5) 其中: 受益 扶持带 户数/ 动脱贫 人数 户户数/ (6) 人数 (7) 项目资金投入 建设 期限 (8) 绩效目标 (9) 利益链接 机制 (10) 合计 (11) 财政衔接 补助资金 (12) 行业主 其它资 管部门 金投入 (14) (13) 吴庄村有机蔬菜 流转土地25亩建设高标准15栋 ,种植有机蔬菜, 产业发 展 吴庄村 否 446/1 50/169 738 2022 预计收入15万 发展集体 经济 69 69 0 65 上白村有机蔬菜种 流转土地50亩,建设高标准大 植 棚30座,种植有机蔬菜, 产业发 展 上白村 否 495/ 36/136 2022 项目预计收益 25万 发展集体 经济 150 150 0 66 流转油菜种植面积70亩地,建 设7亩油菜榨油厂厂区,与西 安”乡荔乡情”陕西特产合作 ,菜油成品占店比80% 产业发 展 代桥村 否 351户 64户211 1410 人 人 2022 预计年收入 15—20万元 发展集体 经济 130 130 0 67 岱峪村集体经济食 购买香菇菌棒6万袋 用菌菌棒购置 产业发 展 岱峪村 是 68 关庙村中药材(五 种植五味子60亩,配套水泥桩 味子)种植 10000个,拉杆架钢丝50000米 产业发 展 关庙村 否 69 厚镇张岭村中药材 种植连翘20亩、苍术30亩共50 种植 亩 种植 厚镇张 岭村 是 70 种植天麻12亩,工棚及培菌室 核桃沟村股份经济 等基础设施 合作社产业提升 产业发 展 核桃沟 村五组 71 渗金庙村林下黄精 林下种植黄精1000亩 种植 产业发 展 72 辋川镇七安子村中 苍术15亩 药材种植 73 74 75 76 508户 1882 人 525户 2097 人 632户 2425 人 101户 333人 2022 预计年收入8万 发展集体 元 经济 30 30 0 139户 517人 2022 预计收入20万 元 发展集体 经济 58 58 0 115户 453人 2022 3年内实现产值 发展集体 100万元,带动 经济 村民增收 50 50 0 是 155户 81户226 625人 人 2022 为村剩余劳动 力提供就业岗 位增产增收 发展集体 经济 100 100 0 渗金庙 村8、9 、10、 11组 是 1831 4/15 2022 20万元 发展集体 经济 180 180 0 产业发 展 辋川镇 七安子 村 是 378户 /1237 人 20人 2022 年收益5万元 发展集体 经济 35 35 0 西河村生姜种植项 种植生姜15亩 目 产业发 展 西河村 四组 是 2022 两年后可达到 20万收入 发展集体 经济 20 10 10 灞源镇沟口村食用 发展大球盖菇产业,占地13.5 菌产业 亩,jian18dong小棚(6x12) 产业发 展 沟口村 一、二 组 是 2022 年收益5万元 发展集体 经济 50 50 产业发 展 玉山镇 刘寨村 是 2022 年收益15万元 发展集体 经济 41.5 41.5 0 产业发 展 孟村郗 家街村 否 2022 年收益30万元 合作社带 动 110 30 80 刘寨村50亩花椒种植园林下养 玉山镇刘寨村花椒 鸡2.5万羽,建围栏,配套食 树下养鸡项目 槽饮水等设施。 提升改造标准化大棚一座,包 括鸡舍屋顶更换约1200㎡,更 金泰牧肉鸡养殖场 新自动喂料系统4条,鸡舍供 热系统改造,购置鸡苗2万只 改造提升 ,鸡场污水处理系统、鸡场堆 肥厂操作间及饲料棚等。 338户 80户216 1137 人 人 286户 63户174 1006 人 人 375户 88户324 1467 人 人 15/20 15/20 财政资 建设 金支持 性质 备注 环节 (17) (16) 农业农 村局 64 代桥村榨油厂 项目 实施 单位 (15) 熊绪 吴庄村集 农业农 体经济合 全环节 新建 科 村局 15609 作联合社 26438 韩余 上白村股 0 仓 农业农 份集体经 全环节 新建 13402 村局 济合作联 98912 合社 1 代刚 18681 农业农 小寨镇代 全环节 新建 村局 桥村 81819 5 杨宏 岱峪村股 农业农 份经济合 全环节 在建 昌 村局 17392 作联合社 26455 焦健 关庙村股 农业农 8 份经济合 全环节 新建 18706 村局 78899 作联合社 9 王宇 张岭村集 县农业 体经济组 全环节 新建 峰 农村局 13891 织合作社 85390 赵满 核桃沟村 3 红 农业农 股份经济 产业提 新建 15129 村局 合作联合 升 20315 社 6 李小 渗金庙村 平 农业农 村股份经 全环节 新建 15339 村局 济合作联 06489 合社 61 李小 七安子村 战 农业农 股份经济 全环节 新建 13379 村局 合作联合 22213 社 1 李小 西河村股 农业农 份经济合 半环节 新建 平 村局 15339 作联合社 06489 秦可 沟口村股 农业农 61 锋 份经济合 全环节 村局 15229 作联合社 03862 钱高 蓝田县 刘寨村股 1 农业农 份经济合 全环节 新建 宁 13909 村局 作联合社 22989 刘海 1 燕 蓝田县 蓝田县金 农业农 泰牧肉鸡 购笼架 奖补 18629 42345 村局 养殖场 9 序 号 项目名称 (1) 项目建设内容及规模 (2) 项目类 型 (3) 实施地 点 (4) 是否 脱贫 村 (5) 其中: 受益 扶持带 户数/ 动脱贫 人数 户户数/ (6) 人数 (7) 976/4 124/489 358 项目资金投入 建设 期限 (8) 绩效目标 (9) 利益链接 机制 (10) 2022 年收益30万元 行业主 其它资 管部门 金投入 (14) (13) 合计 (11) 财政衔接 补助资金 (12) 发展集体 经济 136.5 136.5 0 合作社带 动 90 70 20 发展集体 经济 70 70 0 项目 实施 单位 (15) 财政资 建设 金支持 性质 备注 环节 (17) (16) 玉山镇峒 蓝田县 峪村股份 全环节 农业农 经济合作 村局 联合社 蓝田县蓝 农业农 关街道徐 全环节 村局 家山村专 业合作社 乔村股份 农业农 经济合作 全环节 村局 联合社 府庄村集 农业农 体经济合 全环节 村局 作联合社 韩寺村集 农业农 体经济股 全环节 村局 份合作联 合社 李华 18092 08088 2 程群 刚 改建 13484 53818 4 景春 新建 强 13572 15108 查旭 6 新建 升 13488 15556 韩强 4 涛 新建 15934 85122 2 张新 民 新建 13363 95899 2 岳满 新建 龙 13572 45707 段立 3 新建 宁 13991 17278 韩霜 1 新建 17791 23298 1 薛鹏 涛 新建 13519 13953 9 刘金 鹏 新建 13720 60563 9 77 种植中药材苍术100亩,建烘 峒峪村中药材(苍 干房1座30平米,加工车间200 术)种植项目 平米 产业发 展 玉山镇 峒峪村 是 78 占地60亩,栽植经济林及中药 蓝关街道徐家山村 材,柿子树150棵,香椿1000 经济林与中药材种 棵,金银花15000棵,五味子 植项目 3000棵。 产业发 展 徐家山 村 否 267户 46户136 1076 人 人 2022 79 三里镇乔村集体经 种植莲菜50亩,修整土地、购 济莲菜种植项目 种子化肥等 产业发 展 乔村 否 557户 2135 人 124户 484人 2022 80 府庄村集体经济有 项目流转土地20亩,建设高标 机蔬菜种植 准大棚12栋。 产业发 展 府庄村 否 340/1 40/125 309 2022 项目预计收益 18万元 发展村集 体经济 60 60 0 81 韩寺村有机蔬菜 流转土地23亩,建设高标准大 棚10栋,配套设施及农资等。 产业发 展 韩寺村 否 465/1 41/127 860 2022 年收入30万元 发展集体 经济 50 50 0 82 建豆制加工厂,占地2.5亩, 牛心峪村豆制加工 建生产车间480平方米,购置 厂 三连磨豆腐机及配套设施。 产业发 展 牛心峪 村 否 342户 77户431 1520 人 人 118 118 0 83 厚镇韩坪村压油厂 新建厂房500㎡,购置压油机 加工项目 械2组,加工菜籽油 产业加 工 厚镇韩 坪村 是 100 100 0 84 厚镇村柿子醋加工 新建加工厂房1000平方米,储 厂项目 存罐、发酵设备8组 产业加 工 厚镇村 是 200 200 0 85 厚镇宋寨村农副产 新建榨油厂、挂面厂,购置榨 品加工 油机5台,挂面机3台。 产业加 工 厚镇宋 寨村 是 发展集体 经济 180 180 0 产业发 展 闫河村 八组 否 623 8/19 2022 发展集体 经济 140 140 0 蓝田县 闫河村股 农业农 份经济合 全环节 村局 作联合社 孟村镇 大王村 是 680户 84户 /2729 /286人 人 2022 发展集体 经济 100 100 0 大王村济 农业农 股份合作 全环节 村局 联合社 否 42户 42户160 160人 人 0 张建 峰 街子村济 农业农 股份合作 全环节 新建 13700 村局 29420 联合社 4 86 1、在高王村建设80亩蔬菜种 植基地。 辋川镇闫河村乡村 2、引进种植莲菜30亩,打造 振兴配套产业 景观荷莲菜地。 87 孟村镇大王村大棚 占地47亩,建设钢构大棚30栋 蔬菜种植项目 ,种植绿叶蔬菜。 产业发 展 88 本项目用地30亩,土地流转费 6万元,种植艾蒿300000株, 每株1元,计30万元,复合肥 街子村艾草种植项 ,4500元,人工费24000元, 目 栽植,24000元,平整土地 5400元,打药,6000元,运费 ,20000元,配套设备18万元 ,共计,623900元。 产业发 展 街子村 576户 139户 2314 495人 人 843户 108户 3329 390人 人 425户 71户286 1682 人 人 2022 2022 2022 2022 2022 年收益15万元 ,改善人居环 境,壮大集体 经济,巩固脱 贫成果。 项目预计收益 25万元 实现年收入 73.9万元,豆 发展集体 渣可发展养殖 经济 ,带动养殖业 发展。 年实现产值50 发展集体 万元,增加收 经济 入3.6万元 实现产值100万 发展集体 元,年收益35 经济 万元。 年收入12.3万 元 年收益30万元 ,壮大集体经 济,带动贫困 户就业,带动 全村致富。 年收益20万元 ,通过务工、 技术帮扶、订 单收购、土地 流转等方式带 动增收。 实现亩均收入 发展集体 1.2万元,巩固 经济 脱贫成果。 60 60 牛心峪村 农业农 济股份合 全环节 村局 作联合社 韩坪村集 县农业 体经济组 全环节 农村局 织合作社 厚镇村集 县农业 体经济组 全环节 农村局 织合作社 宋寨村集 县农业 体经济组 全环节 农村局 织合作社 新建 序 号 项目名称 (1) 项目建设内容及规模 (2) 项目类 型 (3) 89 1.建设规模20亩,共投入资金 447600元;2土地租金:约4万 漫道村艾草种植项 ;购买苗子及施肥:203000( 元);3.人工费、旋耕等费用 目 :约54600元;4.机械:约15 万元。 合计投资447600元。 产业发 展 90 本项目用地40亩,土地流转费 8万元,种植艾蒿400000株, 每株1元,计40万元,复合肥 大寨村艾草种植项 ,6000元,人工费32000元, 栽植,32000元,平整土地 目 8000元,打药,8000元,运费 ,30000元,配套设备18万元 ,共计,776000元。 产业发 展 91 尖角村中药材及蔬 种植面积40亩,新建大棚25栋 菜种植 ,种植中药材及蔬菜。 92 实施地 点 (4) 是否 脱贫 村 (5) 其中: 受益 扶持带 户数/ 动脱贫 人数 户户数/ (6) 人数 (7) 合计 (11) 财政衔接 补助资金 (12) 行业主 其它资 管部门 金投入 (14) (13) 项目 实施 单位 (15) 财政资 建设 金支持 性质 备注 环节 (17) (16) 77 0 姜亚 辉 大寨村济 农业农 股份合作 全环节 新建 15929 村局 89844 联合社 4 80 80 0 发展集体 经济 100 100 0 年收益13万 发展集体 经济 113 113 0 2022 年收益10万元 发展集体 经济 55 55 0 27户 85人 2022 年收益15万元 发展集体 经济 200 197.5 2.5 否 444/1 98/331 719 2022 年收益8万元 发展集体 经济 90 90 0 否 641/1 58/174 675 2022 年收益10万元 发展集体 经济 130 130 0 布村二 否 组 480/1 420 26/75 2022 年收益10万元 发展集体 经济 60 60 0 0 大寨村 产业发 展 东光村集体经济合 改造校舍40间、土地租赁20亩 作社改造提升项目 、大棚修建5栋,种植蔬菜。 产业发 展 93 洋峪村中药材种植 林下种植药材五味子300亩 项目 产业发 展 94 张家村集体经济设 种植有机蔬菜50亩,建蔬菜大 施农业项目 棚30栋。 95 甜玉米种植210亩 陈家沟村集体经济 大棚蔬菜种植20亩,建钢构大 设施农业项目 棚18栋,购置农资等。 产业发 展 96 前卫镇将军村蔬菜 占地35亩,新建钢构大棚20栋 瓜果大棚项目 ,种植蔬菜瓜果。 98 利益链接 机制 (10) 0 45户 45户166 166人 人 占地60亩,有机蔬菜钢架大棚 前卫镇西巩村设施 30栋,配套农用机械及水电设 果蔬项目 施等 设施农业大棚7个 前卫镇布村设施葡 土壤改良15亩,配套 萄项目 水电配套设施、农资等 绩效目标 (9) 邵峰 超 漫道村济 农业农 股份合作 全环节 新建 15929 村局 96938 联合社 7 否 97 项目资金投入 建设 期限 (8) 2022 实现亩均收入1 发展集体 万元, 经济 否 101户 168人 101户 168人 2022 实现亩均收入 发展集体 1.2万元,巩固 经济 脱贫成果。 77 尖角村 否 540户 36户119 2600 人 人 2022 年收益20万 发展集体 经济 东光村 村委会 否 388/1 32/102 412 2022 年收益20万 是 220/7 78/228 80 2022 否 78户 9户26人 305人 焦岱镇 陈家沟 村 否 525户 1750 人 产业发 展 将军村 产业发 展 西巩村 产业发 展 漫道村 3组5组 王角沟 ,半角 沟 产业发 张家村1展 6组 44 44 99 前卫镇滕寨村有机 占地10亩,有机蔬菜钢架大棚 蔬菜大棚项目 5栋、配套农资及库房等 产业发 展 滕寨村 否 516/1 89/330 750 2022 年收益3万元 发展集体 经济 30 30 100 寇坡村药材种植( 流转土地50亩,种植中药材( 产业发 黄芪) 黄芪) 展 寇坡村 否 532/1 81/248 950 2022 预计收入20万 发展集体 经济 50 50 101 流转土地40亩,建设标准食用 安村镇马沟村羊肚 产业发 菌大棚20座,同时完成灌溉、 菌种植 展 看护房、仓库等基础设施建设 安村镇 马沟一 组 否 598/2 36/102 287 2022 壮大村集体经 济 发展集体 经济 200 200 0 流转土地40亩,建设标准蔬菜 安村镇巨东村蔬菜 产业发 102 大棚35座,同时完成灌溉、看 大棚项目 展 护房、仓库等基础设施建设 安村镇 巨东村 三、四 组 否 370/1 491 2022 可提高370户, 1491人(29户 发展集体 已脱贫户)经 经济 济收入,壮大 村集体经济。 150 150 0 29/98 钱青 尖角村济 农业农 股份合作 全环节 新建 峰 村局 18391 联合社 45420 赵杰 农业农 焦岱镇人 7 全环节 新建 13689 村局 民政府 19550 2 杨建 农业农 焦岱镇人 全环节 新建 利 村局 民政府 13991 17213 张振 农业农 焦岱镇人 6 全环节 新建 军 村局 民政府 13474 03036 刘利 焦岱镇人 农业农 3 全环节 新建 峰 民 村局 15191 政府 84588 康军 将军村股 农业农 1 份经济合 全环节 新建 安 村局 15829 作联合社 78692 张浩 西巩村股 农业农 8 份经济合 全环节 新建 18629 村局 40878 作联合社 1 乔世 西巩村股 农业农 份经济合 全环节 新建 强 村局 13891 作联合社 95111 耿兴 滕寨村股 农业农 4 份经济合 全环节 新建 军 村局 13991 作联合社 34388 寇坡村集 农业农 7 体经济合 全环节 新建 村局 作联合社 马沟村股 农业农 份经济合 全环节 新建 村局 作联合社 巨东村股 农业农 份经济合 全环节 新建 村局 作联合社 序 号 项目名称 (1) 项目建设内容及规模 (2) 项目类 型 (3) 实施地 点 (4) 是否 脱贫 村 (5) 103 下白村有机蔬菜设 施建设 发展设施蔬菜50栋80亩 产业发 展 下白村 否 其中: 受益 扶持带 户数/ 动脱贫 人数 户户数/ (6) 人数 (7) 495/ 44/137 1780 项目资金投入 建设 期限 (8) 2022 104 流转土地23亩地用于建设设施 郭村村设施蔬菜种 产业发 蔬菜大棚15座,同时建设相应 植项目 展 配套设施 郭村 否 432/1 632 13/36 2022 105 新华村村设施蔬菜 流转土地25亩地用于建设设施 产业发 种植项目 蔬菜大棚15座, 展 新华村 否 905/3 46/143 031 2022 106 安村镇安村村菌类 流转土地10亩,建设食用菌大 产业发 种植园 棚8座 展 安村 否 1578 2022 否 408户 41户140 1605 人 人 107 安村镇杨孔寺村大 发展大棚蔬菜12座,流转土地 产业发 棚蔬菜 20亩 展 108 安村镇龙村设施蔬 流转土地30亩,新建钢架保温 产业发 菜基地建设 大棚18栋,配套灌溉设施 展 109 项目总占地面积20亩,预计建 产业发 蔬菜大棚12个。 展 安村镇巨西村 杨孔寺 村 安村镇 龙村 巨西村 147 否 903/3 21户52 335 人 是 310户 29户86 1150 人 人 2022 绩效目标 (9) 利益链接 机制 (10) 50栋大棚预计 村集体经 年收益192万元 济 每亩产蔬菜 5000余斤,一 年销售纯利润 可达20万元, 发展集体 经济 集体经济收益8 万元,集体成 员收益11万元 。 每亩产蔬菜 5000余斤,纯 利润可达20万 元,集体经济 村集体经 济 收益8万元,集 体成员收益12 万元,人均40 元。 预计获得收益 发展集体 20万 经济 预计为村集体 经济年增收10 万元;同时可 解决村内贫困 劳动力就业等 方面问题。 发展集体 经济 2022 年产蔬菜172.8 吨,年收益69 万元,可提供 发展集体 劳动力就业岗 经济 位100人,可受 益贫困户21户 52人, 2022 预计为村集体 经济年增收10 万元;同时可 解决村内贫困 劳动力就业等 方面问题 发展集体 经济 行业主 其它资 管部门 金投入 (14) (13) 项目 实施 单位 (15) 财政资 建设 金支持 性质 备注 环节 (17) (16) 合计 (11) 财政衔接 补助资金 (12) 200 200 82.7 82.7 92.2 92.2 0 新村股份 农业农 经济合作 全环节 新建 村局 联合社 100 100 0 安村股份 农业农 经济合作 全环节 新建 村局 联合社 50 50 0 杨孔寺股 农业农 份经济合 全环节 新建 村局 作联合社 100 50 0 下白村股 农业农 份集体经 全环节 新建 村局 济合作联 合社 郭村股份 农业农 经济合作 全环节 扩建 村局 联合社 100 蓝田县龙 蓝田县 村股份经 农业农 济合作联 村局 合社 50 安村镇巨 农业农 西村村集 村局 体经济联 合合作社 0 新建钢 架保温 大棚18 栋,补 助54万 元;土 地流转 费补助 新建 10.8万 元;机 械设备 购置补 助11万 元;灌 溉设施 补助9万 元;土 壤改造 及生产 全环节 新建 性投资 补助 15.2万 元。 序 号 项目名称 (1) 项目建设内容及规模 (2) 新建椭圆管保温大棚20栋,补 助120万元;棚内配备灌溉设 施,架设电力线路400米及新 修生产路300米等水电路设施 安村镇支尚村设施 补助22万元;机械设备购置补 110 助6万元;土壤改造及生产性 蔬菜基地建设 投资补助13万元;流转土地40 亩补助14.4万元;聘请专家、 技术员及人工费补助12万元; 新建仓储管理房150㎡补助3.5 万元。 项目类 型 (3) 产业 发展 连栋温室草莓育苗大棚占地10 前卫镇安岱村连栋 产业发 111 亩,共计6000平方。计划建连 温室大棚项目建设 展 栋温室七栋。 实施地 点 (4) 安村镇 支尚村 是否 脱贫 村 (5) 否 其中: 受益 扶持带 户数/ 动脱贫 人数 户户数/ (6) 人数 (7) 40人 19户52 人 项目资金投入 建设 期限 (8) 2022 前卫镇 安岱村 是 其他 5—12组 是 新建双层子母香菇棚2栋1145 灞源镇西河寨村食 ㎡计51.525万元,厂房建设及 产业发 113 用菌产业配套设施 展 地面硬化8.475万元,菌棒加 建设项目 工所需材料及设备20万元 灞源镇 西河寨 村 是 698户 2406 人 169户 631人 2022 年 占地面积60亩,新建文洛式智 能联栋温室2000平方米,椭圆 三官庙镇里峪湾村 产业发 管钢架保温大棚10栋,晚夏番 114 设施蔬菜基地建设 展 茄20亩,新打300米机井1眼配 套水电路等设施 三官庙 镇里峪 湾村 否 402/1 49/180 598 2022 年 112 辋川镇甘家坪村项 目 大棚蔬菜种植20亩 606/1 84/271 903 2022 年 368户 368户 1369 1369人 人 2022 年 蔬菜大棚冷棚12栋,樱桃大棚 洩湖镇冯家村集体 产业发 115 冷棚6栋,日光温室2座(占地 经济设施农业项目 展 2亩) 冯家村 否 880户 3615 人 陕西得康生态农业 科技有限公司15万 新建存栏5万羽的蛋鸡鸡舍3栋 产业发 。 展 羽蛋鸡现代化规模 养殖示范项目 三里镇 乔村 否 400人 新建7联栋大棚3座9856㎡,补 助296万元;智能棚1600㎡补 助112万元;连栋棚4栋14336 ㎡,补助430万元;日光温室 52栋补助1248万元;配套水电 设施,新打机井3眼,补助180 楸树庙农业产业园 万元;水肥一体化设备4套, 产业发 117 发展项目 展 补助520万元;土地平整210亩 ,补助42万元;一期60栋温室 水肥一体化设备、蓄水池、田 间管网及周边环境提升补助 400万元;分拣包装用房及 500m³冷库补助124万元;产业 路50000㎡补助400万元。 普化镇 楸树庙 否 200人 116 126户 496人 2022 2022 年 100户 2022 年 绩效目标 (9) 利益链接 机制 (10) 项目建成后, 年生产口感番 茄150吨,绿叶 菜144吨,收益 发展集体 128万元。可提 经济 供劳动力就业 岗位50人,可 受益贫困户19 户52人。 集体经济年产 发展集体 业总产值不低 经济+合 于100万元;草 作社带动 莓苗产业产值 +自主发 不低于40万元 展 。 大棚蔬菜种植 发展集体 20亩 经济 发展集体 经济、合 作社带动 年收益30万 、普惠性 项目、自 主发展 年收益30万元 发展集体 经济 壮大村集体经 济,带动群众 发展集体 产业发展,受 经济 益户880户3615 人 龙头企业 750万元 带动 150万元 发展集体 经济 行业主 其它资 管部门 金投入 (14) (13) 项目 实施 单位 (15) 财政资 建设 金支持 性质 备注 环节 (17) (16) 合计 (11) 财政衔接 补助资金 (12) 190.9 190.9 农业农 蓝田县支 全环节 新建 村局 尚村 110 95 蓝田县前 农业农 卫镇安岱 全环节 新建 村局 村集体经 济合作社 30 30 农业农 财政资 甘家坪村 扩建 村局 助 80 80 西河寨村 农业农 股份经济 全环节 扩建 村局 合作社 447 447 农业农 里峪湾村 全环节 新建 村局 153.52 153.52 1450 200 1250 3152 3152 0 15 农业农 村局 洩湖镇 全环节 新建 陕西得康 农业农 生态农业 村局 科技有限 公司 奖补 农业农 村局 全环节 新建 普化镇 新建 序 号 118 其中: 受益 扶持带 户数/ 动脱贫 人数 户户数/ (6) 人数 (7) 项目类 型 (3) 实施地 点 (4) 是否 脱贫 村 (5) 在汤峪镇新建5个百亩方粮食 高产示范基地,配套移动喷管 设施,田间灌溉管网,应用水 肥一体化设备,配备无人机等 汤峪镇500亩粮食 植保药械,收割机、犁旋播种 产业发 基地建设 展 机械及种子农药化肥等,建立 病虫害田间自动测报系统及田 间小气候监测系统。以5个百 亩方核心示范基地带动周边千 亩粮田不断提高单产及效益。 汤峪镇 否 600人 500户 项目名称 (1) 项目建设内容及规模 (2) 新建蔬菜大棚23栋,单栋面积 孟村镇樊家村有机 640㎡,采用三杆四槽棚型, 119 蔬菜大棚 主拱架采用Ø32热镀锌钢管, 项目 厚度1.8mm.棚面覆10丝米三防 无滴膜。 新建蔬菜大棚15栋,单栋面积 640㎡,采用三杆四槽棚型, 孟村镇李家村蔬菜 120 主拱架采用Ø32热镀锌钢管, 大棚项目 厚度1.8mm.棚面覆10丝米三防 无滴膜。 新建蔬菜大棚30栋,单栋面积 640㎡,采用三杆四槽棚型, 孟村镇双水村蔬菜 121 主拱架采用Ø32热镀锌钢管, 大棚项目 厚度1.8mm.棚面覆10丝米三防 无滴膜。 新建蔬菜大棚10栋,单栋面积 640㎡,采用三杆四槽棚型, 孟村镇郗家街村蔬 122 主拱架采用Ø32热镀锌钢管, 菜大棚扩建 厚度1.8mm.棚面覆10丝米三防 无滴膜。 新建蔬菜大棚12栋,单栋面积 640㎡,采用三杆四槽棚型, 孟村镇李华村蔬菜 123 主拱架采用Ø32热镀锌钢管, 大棚项目 厚度1.8mm.棚面覆10丝米三防 无滴膜。 项目资金投入 行业主 其它资 管部门 金投入 (14) (13) 项目 实施 单位 (15) 财政资 建设 金支持 性质 备注 环节 (17) (16) 0 农业农 村局 汤峪镇 全环节 新建 80.5 0 孟村镇樊 蓝田县 家村股份 全环节 新建 农业农 经济合作 村局 社 52.5 52.5 0 蓝田县 孟村镇李 农业农 全环节 新建 家村 村局 预期经济效益 集体经济收益8 发展集体 万元,集体成 经济 员收益18万元 。 105 105 0 蓝田县 孟村镇双 全环节 新建 农业农 水村 村局 发展集体 经济 35 35 0 蓝田县 郗家街村 农业农 股份经济 全环节 新建 村局 合作社 建设 期限 (8) 绩效目标 (9) 利益链接 机制 (10) 2022 年 粮食增产2030%以上。 普惠性项 目 5户/15 人 2022 集体经济年产 业总产值不低 于100万元; 发展集体 经济 80.5 2022 完成年度投资 计划投入使用 发展集体 经济 产业发 展 孟村镇 樊家村 是 2136 人 产业发 展 孟村镇 李家村 否 362/1 77/275 250 合计 (11) 财政衔接 补助资金 (12) 400 400 产业发 展 孟村镇 双水村 否 520/1 64/198 912 2022 产业发 展 郗家街 村 否 546户 83户266 1913 人 人 2022 产业发 展 李华村 否 462户 23户87 1568 人 人 2022 年产值30万元 发展集体 ,预计年纯利5 经济 万元 42 42 0 蓝田县 孟村镇李 农业农 全环节 新建 华村 村局 2022 年产蔬菜192吨 ,年收益56万 元,可提供就 发展集体 业岗位60人, 经济 可收益低收入 人群21户52人 。 70 70 0 农业农 孟村镇代 全环节 新建 村局 寨村 1年 带动群众 就业,增 年收益100万元 加集体经 济收入 505 505 0 农业农 村局 新建钢架保温大棚20栋,单栋 面积640㎡,采用三杆四槽棚 孟村镇代寨村设施 124 型,主拱架采用Ø32热镀锌钢 蔬菜基地建设 管,厚度1.8mm.棚面覆10丝米 三防无滴膜。配套灌溉设施。 产业发 展 孟村镇 代寨村 种植区新建灌溉井一口深350 米,配套灌溉主管道1600米, 安装灌溉管网100亩,新建大 棚蔬菜20亩,种植露地蔬菜 三官庙镇曹湾村现 180亩,分拣车间500平方,新 125 代农业产业园项目 建冷库800平方,购置烘干机 10台,50吨蓄水池两座; 托养区:新建养殖秦川牛1000 头棚舍2800平方,养殖羊500 只的棚舍1000平方。 产业发 展 曹湾村 六组 否 60人 是 325/1 292 21户/52 人 17/ 增收20万元 曹湾村 全环节 新建 项目类 型 (3) 实施地 点 (4) 是否 脱贫 村 (5) 购买500KG料箱;驱动主机装 置(含固定支架等);料管(含 抱箍、接头、观察管等);输 三官庙镇杨顶村规 送链盘(含接头等);手动下料 126 模化养猪设施提升 阀等;电箱(含电器原件等); 项目 电线电缆;料位传感器;600 头仔猪购买;配套锅炉及地暖 设备;购买食料。 产业发 展 杨顶村 四组 是 引进6FTFS-36A型磨粉机械设 备,磨粉机8组,洗粮机1组, 清粉机1组,打麦机1台,粮食 提升机3组,除尘刹克龙1套, 风机2台,螺旋输送机1套,钢 结构操作台1套,地磅一台, 称重包缝机1台,及其他辅助 127 鹿走沟面粉加工厂 设备计105万元;机械运输及 安装调试费5万元,面粉检验 室3万元;运输车辆7万元,厂 房建设37万元;高压机电设备 43万元;人工费15万元,包装 袋及耗材3万元;技术培训费2 万元,设备保养维修等5万元 ,运用周转金15万元。 产业发 展 原陈庄 村委会 新建大棚10栋,单栋面积640 ㎡,采用三杆四槽棚型,主拱 厚镇水洼村设施农 128 架采用Ø32热镀锌钢管,厚度 业项目 1.8mm.棚面覆10丝米三防无滴 膜。 产业发 展 水洼村 序 号 项目名称 (1) 项目建设内容及规模 (2) 项目资金投入 建设 期限 (8) 绩效目标 (9) 利益链接 机制 (10) 446/1 89/307 712 2022 年 年收益20万元 否 664户 109户 /2429 /347人 人 2022 是 305户 42户 1226 /146人 人 行业主 其它资 管部门 金投入 (14) (13) 项目 实施 单位 (15) 财政资 建设 金支持 性质 备注 环节 (17) (16) 杨顶村 全环节 扩建 合计 (11) 财政衔接 补助资金 (12) 发展集体 经济 50 50 0 农业农 村局 年收益35万元 发展集体 经济 240 240 0 农业农 鹿走沟村 全环节 新建 村局 委会 2022 年收入10万元 发展集体 经济 35 35 0 水洼村集 农业农 体经济合 全环节 新建 村局 作社 普惠性 项目 20 20 0 农业农 蓝田县农 全环节 新建 村局 业农村局 是 800 9/26 2022 培育产业致富 带头人148名, 覆盖48个脱贫 退出村,到 2022年底力争 为每个脱贫退 出村培养3-5名 脱贫户发展产 业 魏家沟 村 否 439户 1726 人 43户 161人 2022 年 项目预计收益 10万元 发展集 体经济 92 92 0 魏家沟村 农业农 股份经济 全环节 新建 村局 合作联合 社 产业发 展 王坡村 否 502户 2002 人 44户 148人 2022 年 项目预计收益 30万元 发展集 体经济 200 200 0 王坡村股 农业农 份经济合 全环节 新建 村局 作联合社 产业发 展 杨村 否 540户 2024 人 21户 25人 2022 年 项目预计收益 60万元 发展集 体经济 93 93 0 杨村股份 农业农 经济合作 全环节 新建 村局 联合社 培育创业致富带头人148名, 覆盖48个脱贫退出村,到2022 蓝田县2022年创业 年底力争为每个脱贫退出村培 129 致富带头人培训工 养3-5名致富带头人,每名致 程项目 富带头人带动3-5户脱贫户发 展产业 其他 蓝田县 购置虾苗2600斤,种虾900斤 ,鱼苗200斤,草苗莲种6亩, 饲料11.25吨,增氧机2台,粉 三里镇魏家沟集体 碎机1台,虾笼10个,管理用 130 经济特色种养(小 船2艘,打井1眼,架设电力线 龙虾)项目 路600米,监控设备4套,小型 拦水坝1座及扩塘等其它配套 设施建设。 产业发 展 收购彤丰养殖场1座,改建肉牛 大棚、饲草饲料库400㎡,购 三里镇王坡村集体 131 买肉牛70头;新建防疫消毒室 经济肉牛养殖项目 15㎡,新建改建办公场所120 ㎡;新建改建运动场300㎡。 三里镇杨村设施蔬 新建钢架保温大棚20栋,其他 菜建设项目 建设等配套设施 132 其中: 受益 扶持带 户数/ 动脱贫 人数 户户数/ (6) 人数 (7) 序 号 项目名称 (1) 项目建设内容及规模 (2) 新建667平方米智能温室联栋 大棚,配置环流风机、内保温 焦岱镇吴家寨村设 133 、补光灯、加温系统、移动苗 施农业项目 床等,引进蝴蝶兰3万株共35 个品种,采用基质栽培。 柳家湾村集体经济 板蓝根种植150亩,六、七、 134 设施农业 八、九、十组各30亩。 新建1万平方米20米跨度日光 张家村农业园区项 温室大棚,发展育种蔬菜,新 135 目 增种植水果玉米100亩。 水泉村集体经济设 草莓种植5亩,新建大棚3300 136 施农业项目 ㎡。 焦岱镇荣家沟集体 137 草莓大棚10栋,蔬菜大棚20栋 经济设施农业项目 流转土地30亩,新建日光温室 焦岱镇樊家坡集体 10栋,长度80米,跨度13米, 138 经济设施农业项目 肩高3米,顶高5米,单栋1040 ㎡。 项目类 型 (3) 实施地 点 (4) 是否 脱贫 村 (5) 产业发 展 吴家寨 村 否 产业发 展 柳家湾 村 否 产业发 展 张家村 否 水泉村 否 荣家沟 否 产业发 展 樊家坡 否 产业发 展 产业发 展 其中: 受益 扶持带 户数/ 动脱贫 人数 户户数/ (6) 人数 (7) 519户 脱贫户 1907 108户 人 346人 项目资金投入 建设 期限 (8) 绩效目标 (9) 利益链接 机制 (10) 80天 预计年收益5万 元 658/2 136/523 549 60天 460/1 36/131 790 行业主 其它资 管部门 金投入 (14) (13) 项目 实施 单位 (15) 财政资 建设 金支持 性质 备注 环节 (17) (16) 合计 (11) 财政衔接 补助资金 (12) 发展集 体经济 93.335 93.335 0 农业农 焦岱镇政 全环节 新建 村局 府 预计年收益16 万元 发展集 体经济 75.3 75.3 0 农业农 焦岱镇政 全环节 新建 村局 府 120天 预计年收益60 万元 发展集 体经济 240 230 10 农业农 焦岱镇政 全环节 新建 村局 府 100天 预计年收益6万 元 29 29 0 2个月 按期保质完成 发展集 体经济 发展集 体经济 124.2 124.2 0 376/1 73/293 486 按期 完成 按期保质完成 发展集 体经济 200 200 0 农业农 焦岱镇政 全环节 新建 村局 府 315/1 40/135 216 450/1 31/109 777 农业农 焦岱镇政 全环节 新建 村局 府 农业农 焦岱镇政 全环节 新建 村局 府 139 焦岱镇陈家沟集体 流转土地41亩,建设有机蔬菜 经济设施农业项目 大棚35栋 产业发 展 陈家沟 是 525/1 750 27/85 2022 人均增收200元 ,带动务工400 人次。 发展集 体经济 96 96 0 农业农 焦岱镇政 全环节 新建 村局 府 140 焦岱镇东光村集体 新建有机蔬菜大棚40亩26400 经济设施农业项目 ㎡。 产业发 展 东光村 是 388/1 32/102 412 2022 人均增收400元 发展集 体经济 92 92 0 农业农 焦岱镇政 全环节 新建 村局 府 有机蔬菜大棚占地18亩10栋, 新建蓄水池(4*8*2.5)2个, 地埋线三相280米、地埋线二 相42米,给水地埋管道200米 孟村镇姚村有机蔬 ,水泵2台及配电箱2套,围网 141 菜大棚建设 100米、网门一合,砂石路长 316米、宽4米、厚15公分,计 1264平方米;监控2套灌溉系 统18亩,打药机1套。 产业发 展 孟村镇 姚村 是 783户 68户 /2576 /193人 人 2022 年 集体经济年产 业总产值不低 于55万元; 发展集体 经济+合 作社带动 +自主发 展 75.6 75.6 0 蓝田县孟 蓝田县 村镇姚村 农业农 全环节 新建 股份经济 村局 合作社 前卫镇大亮村赤松 建设200立方储存冷库及烘干 142 茸冷藏、加工 设备一套 产业发 展 否 658户 61户 /2275 /190人 人 90天 增收50万元 发展集 体经济 50 50 0 大亮村集 蓝田县 体股份经 全环节 新建 农业农 济合作联 村局 合社 2022 每年增加村集 体经济收入36 万元,可提供 村贫困富余劳 动力就业机会 ,增加就业, 扩大对农业的 需求, 促进贫 困农户的收入 增长。 壮大集 体经济 100 80 20 汤峪河村 农业农 设施大 集体经济 新建 村局 棚建设 合作社 143 建设食用菌双拱大棚10栋,共 汤峪河村大棚香菇 计4000平方米,采购菌袋12万 种植项目 袋。 产业发 展 大亮村 汤峪河 村 否 540/1 231/772 928人 序 号 项目名称 (1) 项目建设内容及规模 (2) 项目类 型 (3) 实施地 点 (4) 是否 脱贫 村 (5) 其中: 受益 扶持带 户数/ 动脱贫 人数 户户数/ (6) 人数 (7) 项目资金投入 建设 期限 (8) 流转土地44亩,建设种植大棚 汤峪镇高堡村新建 20栋,配套水电设施及小型农 144 蔬菜瓜果种植项目 用机械。建设仓储管理用房 250㎡。 产业发 展 高堡村 否 721/3 76/264 340 2022 汤峪镇河东村早玉 建设内容:种植早玉米1000亩 米种植项目 产业发 展 河东村 否 603/2 100/396 521 2020 新建钢架大棚60个,单栋面积 640㎡,采用三杆四槽棚型, 蓝关街办宣堡村设 146 主拱架采用Ø32热镀锌钢管, 施农业大棚项目 厚度1.8mm.棚面覆10丝米三防 无滴膜。占地面积80亩. 产业发 展 蓝关街 办宣堡 村 否 701/2 95/331 501 2022 唐付村花椒园套种 总占地面积30亩,利用花椒树 中药材项目 间隙地,套种中药材苍术 产业发 展 唐付村 是 329/1 130/459 194 2022 145 147 绩效目标 (9) 每年增加村集 体经济收入20 万元,可提供 村贫困富余劳 动力就业机会 ,增加就业, 扩大对农业的 需求, 促进贫 困农户的收入 增长。 每年增加村集 体经济收入25 万元,可提供 村贫困富余劳 动力就业机会 ,增加就业, 扩大对农业的 需求, 促进贫 困农户的收入 增长。 每年增加村集 体经济收入10 万元,可提供 村贫困富余劳 动力就业机会 ,增加就业, 扩大对农业的 需求, 促进贫 困农户的收入 增长。 壮大村集体经 济,带动群众 增收,方便群 众生产生活, 受益户329户 1195人 利益链接 机制 (10) 行业主 其它资 管部门 金投入 (14) (13) 项目 实施 单位 (15) 财政资 建设 金支持 性质 备注 环节 (17) (16) 合计 (11) 财政衔接 补助资金 (12) 壮大集 体经济 80 80 0 高堡村集 农业农 设施大 体经济合 新建 村局 棚建设 作社 壮大集 体经济 64 64 0 河东村村 农业农 集体经济 全环节 新建 村局 合作社 壮大集 体经济 176 156 20 蓝田县 宣堡村集 农业农 体经济合 全环节 新建 村局 作社 发展集 体经济 35 35 0 农业农 村局 洩湖镇 全环节 新建 序 号 项目名称 (1) 项目建设内容及规模 (2) 1.三官庙镇北苍湾村晚夏西红 柿种植项目:种植晚夏西红柿 148亩:1.在村集体经济大棚 进行晚夏西红柿育苗444000株 ,需种子4440克;2.西红柿用 竹竿444000根;3.化肥296袋 ;4.有机肥50方。 2.三官庙镇惜惶岭村大葱基地 建设项目:100亩大葱种植基 地,灌溉机井一眼,井深300 米。蓄水池一个30吨,看护房 100平方米,电力设施一套、 低压线路300米。排灌水管62 毫米1000米。 3.三官庙镇马湾村西甜瓜种植 项目:平整60亩土地种植西甜 瓜(需购买种子、化肥、地膜 三官庙镇瓜果蔬菜 148 、农药),新建20平方米彩钢 种植项目 瓦看护房2座,铺设浇灌管网 1000米,线路改造1000米。 4. 三官庙镇龙曲村蔬菜产业 种植提升项目:电杆8根、电 线1000米、管网3000米、新建 50平方米彩钢瓦看护房一座、 104亩2年土地租金、种植大葱 用开沟机2台、培土机2台。 5. 三官庙镇冯岭村大葱产业 园扩建项目:平整土地50亩, 铺设浇灌管网600米,建成45 平方米的看护房一座,低压线 路整改210米。 6.三官庙镇南湾岭村大葱育苗 地基扩建项目:扩建大葱育苗 基地:新建30吨蓄水池一座, 购买大葱种子,化肥,农药等 1、380亩荞麦种子、化肥购置 普化镇民李村新品 费20万; 149 种荞麦种植试验基 2、一年两季荞麦播种、收割 地项目 、浇地、除草等人工维护费16 万。 项目类 型 (3) 实施地 点 (4) 是否 脱贫 村 (5) 产业发 展 北苍湾 村、惜 惶岭村 、马湾 村、龙 曲村、 冯岭村 是 产业发 展 民李村 否 其中: 受益 扶持带 户数/ 动脱贫 人数 户户数/ (6) 人数 (7) 2870/ 524/185 11207 2 1402 11/2 项目资金投入 建设 期限 (8) 绩效目标 (9) 利益链接 机制 (10) 90天 增加村集体经 济收入,带动 群众再就业 2022 以设施农业为 平台按照“基 础产业、基础 设施、产业富 村、基础强村 ”的建设思路 ,协调发展产 业结构,增强 村集体经济发 展,增加农民 收入,改善群 众生产生活条 件,为振兴乡 村创造条件。 行业主 其它资 管部门 金投入 (14) (13) 项目 实施 单位 (15) 财政资 建设 金支持 性质 备注 环节 (17) (16) 合计 (11) 财政衔接 补助资金 (12) 壮大集 体经济 342 342 0 新建 三官庙 三官庙镇 全环节 (集 镇 体) 发展集 体经济 36 36 0 普化镇民 何磊 18992 农业农 李村股份 全环节 新建 88577 村局 经济合作 联合社 7 序 号 项目名称 (1) 项目建设内容及规模 (2) 花椒烘干设备1套申请补助20 万元;晾晒场1300㎡申请补助 蓝关街办张寨村樱 19.5万元,樱桃产业园新建围 150 桃花椒产业园提升 栏3600米,申请54万元;樱桃 工程 园节灌设备及管道32万元,冷 库400立方米(房屋及设备) 申请补助30.4万元。 发展壮大8个村集体经济,购 扶持壮大村集体经 置拖拉机7台,旋耕机7台,手 151 扶拖拉机1台,大型四驱拖拉 济项目 机1台 街子村陈佐宏种植苍术1亩, 补助1000元,冯家湾村王树娃 九间房镇到户产业 养羊10只补助6000元;冯家湾 152 项目 村文恩彦养羊15只补助9000元 ;漫道村王斌斌养羊20只补助 12000元。 厚镇村南卫锋养殖中蜂15箱补 153 厚镇到户产业项目 助15000元 154 雨露计划 补助中高职、技校生700人 155 项目管理费 项目管理费 156 米岱河村水毁修复 项目 157 白家村水毁修复项 目 158 梨园村路水毁修复 项目 159 蓝桥街村十组龙头 沟水毁修复项目 其中: 受益 扶持带 户数/ 动脱贫 人数 户户数/ (6) 人数 (7) 项目类 型 (3) 实施地 点 (4) 是否 脱贫 村 (5) 产业发 展 蓝关街 办张寨 村 否 375户 1321 人 是 4572 户 16599 人 产业发 展 产业发 展 产业发 展 安村镇 龙村、 安村、 支尚村 、村, 孟村镇 胡家村 、双水 村、郗 家街村 ,九间 房镇峪 街子村 口村 冯家湾 村 漫道村 厚镇村 700/7 700/700 00 其它 项目管 理费 挖土方49m³,混凝土边沟138 米,挡土墙872.3m³,清理滑 带土956m³,基层换填天然砂 乡村建 砾203m³,破除路面29.8m³, 设 18㎝石灰稳定土基层165㎡, 20㎝混凝土面层149㎡,C级波 形梁护栏200米 混凝土边沟180米,挡土墙 乡村建 506.4m³,清理滑带土565m³, 设 C级波形梁护栏130米 挖土方29m³,混凝土边沟20米 ,挡土墙945.9m³,清理滑带 土1072m³,基层换填天然砂砾 乡村建 203m³,破除路面14.4m³,18 设 ㎝石灰稳定土基层88㎡,20㎝ 混凝土面层72㎡,C级波形梁 护栏248米 混凝土路肩5.2m³,挡土墙 乡村建 147.2m³,16㎝石灰土基层152 设 ㎡,18㎝混凝土路面140㎡ 40户 124人 项目资金投入 建设 期限 (8) 绩效目标 (9) 利益链接 机制 (10) 2022 集体经济增收 20万元 发展集体 经济 2022 行业主 其它资 管部门 金投入 (14) (13) 项目 实施 单位 (15) 财政资 建设 金支持 性质 备注 环节 (17) (16) 合计 (11) 财政衔接 补助资金 (12) 155.9 155.9 0 蓝田县张 农业农 寨村股份 全环节 续建 村局 经济合作 联合社 发展壮大8个村 发展集体 集体经济 经济 45 45 0 蓝田县农 农业农 购置农 村经营管 新建 村局 机设备 理站 2022 增加经济收入 ,防止返贫 2.8 2.8 0 农业农 九间房镇 全环节 新建 村局 2022 增加经济收入 ,防止返贫 1.5 1.5 0 2022 扶持低收入建 档立卡及防返 贫监测户 210 210 乡村振 乡村振兴 全环节 新建 兴局 局 2022 完成年度任务 150 150 乡村振 乡村振兴 全环节 新建 兴局 局 提高劳动 能力 农业农 村局 乡村振 兴局 厚镇 全环节 新建 米岱河 村 是 2022 灾后恢复重建 ,方便群众生 活 普惠性 项目 78.1207 78.1207 乡村振 乡村振兴 葛牌 全环节 新建 兴局 局 镇 白家村 是 2022 灾后恢复重建 ,方便群众生 活 普惠性 项目 38.7906 38.7906 乡村振 乡村振兴 葛牌 全环节 新建 兴局 局 镇 梨园村 是 2022 灾后恢复重建 ,方便群众生 活 普惠性 项目 82.661 82.661 乡村振 乡村振兴 葛牌 全环节 新建 兴局 局 镇 2022 灾后恢复重建 ,方便群众生 活 普惠性 项目 13.6777 13.6777 乡村振 乡村振兴 蓝桥 全环节 新建 兴局 局 镇 蓝桥街 村 序 号 项目名称 (1) 项目建设内容及规模 (2) 项目类 型 (3) 混凝土路肩1.3m³,挡土墙 圪塔庙村四组水毁 848m³,16㎝石灰土基层38㎡ 乡村建 ,18㎝混凝土路面35㎡,凿除 设 修复项目 就路面35㎡ 混凝土路肩2.86m³,挡土墙 狮峰村一组(北沟 651.35m³,16㎝石灰土基层 乡村建 161 40.7㎡,18㎝混凝土路面38.5 设 )水毁修复项目 ㎡,凿除旧路面38.5㎡ 狮峰村二组(椿树 乡村建 162 挡土墙257.6m³, 沟)水毁修复项目 设 混凝土路肩24.7m³,挡土墙 狮峰村二组(水道 349m³,16㎝石灰土基层351.5 乡村建 163 沟)水毁修复项目 ㎡,18㎝混凝土路面322.5㎡ 设 ,凿除旧路面322.5㎡ 160 混凝土路肩1.56m³,挡土墙 狮峰村三组(橡栗 517.92m³,16㎝石灰土基层 乡村建 164 沟)水毁修复项目 22.2㎡,18㎝混凝土路面21㎡ 设 ,新建钢筋混凝土盖板涵一道 狮峰村四组(椴树 乡村建 挡土墙392.4m³ 沟)水毁修复项目 设 狮峰村四组(鹰咀 乡村建 166 挡土墙48.54m³ 石)水毁修复项目 设 混凝土路肩6.5m³,挡土墙 野竹坪村一组水毁 乡村建 184.84m³,16㎝石灰土基层 167 修复项目 设 190㎡,18㎝混凝土路面175㎡ 混凝土路肩20.8m³,挡土墙 野竹坪村二组水毁 438.4m³,16㎝石灰土基层608 乡村建 168 ㎡,18㎝混凝土路面560㎡凿 设 修复项目 除旧路面560㎡ 混凝土路肩4.55m³,挡土墙 王顺山公园-北沟 乡村建 128.8m³,16㎝石灰土基层133 169 水毁修复项目 设 ㎡,18㎝混凝土路面122.5㎡ 混凝土路肩9.75m³,挡土墙 蓝桥街村斜峪沟水 276m³,16㎝石灰土基层285㎡ 乡村建 170 ,18㎝混凝土路面262.5㎡, 设 毁修复项目 凿除旧路面262.5㎡ 混凝土路肩5.2m³,挡土墙 蓝桥街村梨园岔水 18.4m³,16㎝石灰土基层152 乡村建 171 ㎡,18㎝混凝土路面140㎡, 设 毁修复项目 凿除旧路面140㎡ 混凝土路肩7.8m³,挡土墙 柳坪村二组水毁修 220.8m³,16㎝石灰土基层228 乡村建 172 ㎡,18㎝混凝土路面210㎡, 设 复项目 新建钢筋混凝土盖板涵一道 混凝土路肩6.11m³,挡土墙 柳坪村四组水毁修 928.88m³,16㎝石灰土基层 乡村建 173 171.55㎡,18㎝混凝土路面 复项目 设 164.5㎡,凿除旧路面164.5㎡ 柳坪村三组(柳林 挡土墙52.8m³,新建钢筋混凝 乡村建 174 沟)水毁修复项目 土盖板涵一道 设 165 实施地 点 (4) 是否 脱贫 村 (5) 其中: 受益 扶持带 户数/ 动脱贫 人数 户户数/ (6) 人数 (7) 项目资金投入 建设 期限 (8) 绩效目标 (9) 利益链接 机制 (10) 疙瘩庙 村 2022 灾后恢复重建 ,方便群众生 活 狮峰村 2022 灾后恢复重建 ,方便群众生 活 狮峰村 2022 狮峰村 2022 狮峰村 2022 狮峰村 2022 狮峰村 2022 灾后恢复重建 ,方便群众生 活 灾后恢复重建 ,方便群众生 活 灾后恢复重建 ,方便群众生 活 灾后恢复重建 ,方便群众生 活 灾后恢复重建 ,方便群众生 活 灾后恢复重建 ,方便群众生 活 行业主 其它资 管部门 金投入 (14) (13) 项目 实施 单位 (15) 财政资 建设 金支持 性质 备注 环节 (17) (16) 合计 (11) 财政衔接 补助资金 (12) 普惠性 项目 68.5193 68.5193 乡村振 乡村振兴 蓝桥 全环节 新建 兴局 局 镇 普惠性 项目 56.7736 56.7736 乡村振 乡村振兴 蓝桥 全环节 新建 兴局 局 镇 普惠性项 目 26.9739 26.9739 乡村振 乡村振兴 蓝桥 全环节 新建 兴局 局 镇 普惠性 项目 32.9547 32.9547 乡村振 乡村振兴 蓝桥 全环节 新建 兴局 局 镇 普惠性 项目 64.0320 64.0320 乡村振 乡村振兴 蓝桥 全环节 新建 兴局 局 镇 39.4592 39.4592 5.0594 5.0594 普惠性 项目 16.6633 16.6633 乡村振 乡村振兴 蓝桥 全环节 新建 兴局 局 镇 普惠性 项目 普惠性 项目 乡村振 乡村振兴 蓝桥 全环节 新建 兴局 局 镇 乡村振 乡村振兴 蓝桥 全环节 新建 兴局 局 镇 野竹坪 村 是 2022 野竹坪 村 是 2022 灾后恢复重建 ,方便群众生 活 普惠性 项目 44.0247 44.0247 乡村振 乡村振兴 蓝桥 全环节 新建 兴局 局 镇 北沟村 2022 灾后恢复重建 ,方便群众生 活 普惠性 项目 12.4184 12.4184 乡村振 乡村振兴 蓝桥 全环节 新建 兴局 局 镇 斜峪沟 村 2022 灾后恢复重建 ,方便群众生 活 普惠性 项目 26.5670 26.5670 乡村振 乡村振兴 蓝桥 全环节 新建 兴局 局 镇 2022 灾后恢复重建 ,方便群众生 活 普惠性 项目 4.489 4.489 乡村振 乡村振兴 蓝桥 全环节 新建 兴局 局 镇 柳坪村 2022 灾后恢复重建 ,方便群众生 活 普惠性 项目 30.5470 30.5470 乡村振 乡村振兴 蓝桥 全环节 新建 兴局 局 镇 柳坪村 2022 灾后恢复重建 ,方便群众生 活 普惠性 项目 86.3538 86.3538 乡村振 乡村振兴 蓝桥 全环节 新建 兴局 局 镇 柳坪村 2022 普惠性 项目 14.2009 14.2009 乡村振 乡村振兴 蓝桥 全环节 新建 兴局 局 镇 梨园岔 村 是 灾后恢复重建 ,方便群众生 活 项目类 型 (3) 实施地 点 (4) 圪塔庙村干沟水毁 乡村建 挡土墙184m³ 修复项目 设 混凝土路肩2.6m³,挡土墙 圪塔庙村螺子道水 54.8m³,16㎝石灰土基层76㎡ 乡村建 176 ,18㎝混凝土路面70㎡,凿除 设 毁修复项目 旧路面70㎡ 混凝土路肩3.9m³,挡土墙 圪塔庙村蜂房沟水 835.8m³,16㎝石灰土基层114 乡村建 177 ㎡,18㎝混凝土路面105㎡, 设 毁修复项目 凿除旧路面105㎡ 圪塔庙 村、干 沟村 圪塔庙 村 序 号 项目名称 (1) 项目建设内容及规模 (2) 175 挖土方116m³,挡土墙175.4, 清理滑带土180m³,基层换填 天然砂砾487m³,破除水泥路 磨岔沟路水毁修复 乡村建 178 面63m³,路基掏空填补33m³, 项目 设 18㎝石灰稳定土基层350㎡, 新建20㎝水泥混凝土路面315 ㎡,C级波形护栏236米 挡土墙41m³,清理滑带土41m³ 对岔沟-东川路水 乡村建 179 ,路基掏空填补5m³,C级波形 毁修复项目 设 护栏61米 混凝土边沟10米,挡土墙 大沙沟-东川路水 49.5m³,清理滑带土55m³,路 乡村建 180 基掏空填补16m³,C级波形护 设 毁修复项目 栏60米 181 秦谷-何家川水毁 修复项目 182 牛圈沟-秦谷水毁 修复项目 183 景家沟水毁修复项 目 184 柳泉沟水毁修复项 目 185 白杨岔水毁修复项 目 186 铁桐沟路水毁修复 项目 187 雷家院-九灞路水 毁修复项目 188 南张路-老庄沟水 毁修复项目 挖土方501m³,混凝土边沟15 米,挡土墙149.7m³,清理滑 带土162m³,基层换填天然砂 乡村建 砾2141m³,破除水泥路面135m 设 ³,18㎝白灰稳定土基层750㎡ ,20㎝混凝土面层675㎡,C级 波形护栏280米 挡土墙27.3m³,清理滑带土 乡村建 27m³,路基掏空填补3m³,C级 设 波形护栏30米 挡土墙142.1m³,清理滑带土 乡村建 148m³,路基掏空填补16m³,C 设 级波形护栏60米 挡土墙86.5m³,清理滑带土 乡村建 88m³,路基掏空填补12m³,C 设 级波形护栏120米 挡土墙167.1m³,清理滑带土 乡村建 174m³,路基掏空填补25m³,C 设 级波形护栏150米 挡土墙202.3m³,清理滑带土 乡村建 207m³,路基掏空填补56m³,C 设 级波形护栏210米 挡土墙49.7m³,清理滑带土 乡村建 51m³,路基掏空填补7m³,C级 设 波形护栏60米 挡土墙95.6m³,清理滑带土 乡村建 96m³,路基掏空填补13m³,C 设 级波形护栏120米 是否 脱贫 村 (5) 其中: 受益 扶持带 户数/ 动脱贫 人数 户户数/ (6) 人数 (7) 项目资金投入 建设 期限 (8) 2022 2022 圪塔庙 村 绩效目标 (9) 灾后恢复重建 ,方便群众生 活 灾后恢复重建 ,方便群众生 活 利益链接 机制 (10) 行业主 其它资 管部门 金投入 (14) (13) 项目 实施 单位 (15) 财政资 建设 金支持 性质 备注 环节 (17) (16) 合计 (11) 财政衔接 补助资金 (12) 普惠性 项目 13.2838 13.2838 乡村振 乡村振兴 蓝桥 全环节 新建 兴局 局 镇 普惠性 项目 5.5439 5.5439 乡村振 乡村振兴 蓝桥 全环节 新建 兴局 局 镇 2022 灾后恢复重建 ,方便群众生 活 普惠性 项目 65.2015 65.2015 乡村振 乡村振兴 蓝桥 全环节 新建 兴局 局 镇 磨岔沟 村 是 2022 灾后恢复重建 ,方便群众生 活 普惠性 项目 39.8274 39.8274 乡村振 乡村振兴 灞源 全环节 新建 兴局 局 镇 对岔沟 村 是 2022 灾后恢复重建 ,方便群众生 活 普惠性 项目 5.6731 5.6731 乡村振 乡村振兴 灞源 全环节 新建 兴局 局 镇 大沟村 是 2022 灾后恢复重建 ,方便群众生 活 普惠性 项目 6.1710 6.1710 乡村振 乡村振兴 灞源 全环节 新建 兴局 局 镇 秦谷村 是 2022 灾后恢复重建 ,方便群众生 活 普惠性 项目 77.5460 77.5460 乡村振 乡村振兴 灞源 全环节 新建 兴局 局 镇 秦谷村 是 2022 普惠性 项目 3.4060 3.4060 乡村振 乡村振兴 灞源 全环节 新建 兴局 局 镇 景家沟 村 是 2022 普惠性 项目 14.0172 14.0172 乡村振 乡村振兴 灞源 全环节 新建 兴局 局 镇 柳泉沟 村 是 2022 普惠性 项目 11.7395 11.7395 乡村振 乡村振兴 灞源 全环节 新建 兴局 局 镇 白杨岔 村 是 2022 普惠性 项目 19.6608 19.6608 乡村振 乡村振兴 灞源 全环节 新建 兴局 局 镇 铁桐沟 村 是 2022 普惠性 项目 26.4681 26.4681 乡村振 乡村振兴 灞源 全环节 新建 兴局 局 镇 雷家院 村 是 2022 普惠性 项目 6.4417 6.4417 乡村振 乡村振兴 灞源 全环节 新建 兴局 局 镇 老庄沟 村 是 2022 普惠性 项目 11.9987 11.9987 乡村振 乡村振兴 灞源 全环节 新建 兴局 局 镇 灾后恢复重建 ,方便群众生 活 灾后恢复重建 ,方便群众生 活 灾后恢复重建 ,方便群众生 活 灾后恢复重建 ,方便群众生 活 灾后恢复重建 ,方便群众生 活 灾后恢复重建 ,方便群众生 活 灾后恢复重建 ,方便群众生 活 序 号 项目名称 (1) 189 胡家沟-灞九路水 毁修复项目 190 李家硷路水毁修复 项目 庙娅村路水毁修复 项目 西寨路水毁修复项 192 目 191 刘家沟(双龙1个组 193 )-西杆庙水毁修复 项目 194 195 196 197 198 199 200 201 202 渗金庙-三合村水 毁修复项目 项目建设内容及规模 (2) 项目类 型 (3) 混凝土边沟120米,挡土墙 336.6m³,清理滑带土199m³, 乡村建 路基掏空填补16m³,C级波形 设 护栏90米 挡土墙163.8m³,清理滑带土 乡村建 165m³,路基掏空填补14m³,C 设 级波形护栏60米 挡土墙101m³,清理滑带土 乡村建 102m³,C级波形护栏88米 设 挡土墙12.8m³,清理滑带土 乡村建 15m³ 设 挖土方55m³,混凝土边沟16米 ,挡土墙151.3m³,清理滑带 土164m³,基层换填天然砂砾 乡村建 264m³,破除路面16m³,18㎝ 设 石灰稳定土基层89㎡,20㎝混 凝土面层80㎡,C级波形梁护 栏120米 挖土方184m³,混凝土边沟50 米,挡土墙556.48m³,清理滑 带土666m³,基层换填天然砂 乡村建 砾190m³,破除路面12m³,18 设 ㎝石灰稳定土基层66㎡,20㎝ 混凝土面层60㎡,涵洞一座, C级波形梁护栏180米 破除水泥路面36m³,清理滑带 西杆庙路水毁修复 土70m³,18㎝石灰稳定土基层 乡村建 200㎡,沥青路面180㎡,路肩 设 项目 2.4m³ 混凝土边沟10米,挡土墙 东杆沟路水毁修复 乡村建 317.1m³,清理滑带土347m³, 项目 设 C级波形梁护栏240米 挡土墙62.85m³,清理滑带土 熊咀子-河大沟水 乡村建 66m³,混凝土边沟15米,C级 毁修复项目 设 波形护栏30米 东杆三组路水毁修 浆砌片石挡土墙8m³,清理滑 乡村建 复项目 带土10m³ 设 挖土方45m³,挡土墙62.85m³ ,清理滑带土66m³,基层换填 清水沟路水毁修复 天然砂砾247m³,破除水泥路 乡村建 项目 面13.6㎡,18㎝石灰稳定土基 设 层75㎡,20㎝混凝土面层68㎡ ,C级波形梁护栏30米 混凝土边沟90米,挡土墙 两河桥村二组水毁 乡村建 171.3m³,清理滑带土1687m³ 修复项目 设 ,C级波形梁护栏60米 褚马河-渗金庙水 挡土墙289.6m³,清理滑带土 乡村建 毁修复项目 306m³,C级波形梁护栏120米 设 渗金庙六组水毁修 挡土墙299.92m³,清理滑带土 乡村建 复项目 320m³,C级波形护栏240米 设 实施地 点 (4) 是否 脱贫 村 (5) 胡家沟 村 其中: 受益 扶持带 户数/ 动脱贫 人数 户户数/ (6) 人数 (7) 项目资金投入 建设 期限 (8) 绩效目标 (9) 利益链接 机制 (10) 是 2022 灾后恢复重建 ,方便群众生 活 李家硷 村 是 2022 庙娅村 是 2022 西寨 是 2022 灾后恢复重建 ,方便群众生 活 灾后恢复重建 ,方便群众生 活 灾后恢复重建 ,方便群众生 活 行业主 其它资 管部门 金投入 (14) (13) 项目 实施 单位 (15) 财政资 建设 金支持 性质 备注 环节 (17) (16) 合计 (11) 财政衔接 补助资金 (12) 普惠性 项目 28.2124 28.2124 乡村振 乡村振兴 灞源 全环节 新建 兴局 局 镇 普惠性 项目 15.8683 15.8683 乡村振 乡村振兴 灞源 全环节 新建 兴局 局 镇 10.5691 10.5691 0.8756 0.8756 普惠性 项目 普惠性 项目 乡村振 乡村振兴 灞源 全环节 新建 兴局 局 镇 乡村振 乡村振兴 灞源 全环节 新建 兴局 局 镇 刘家沟 村 2022 灾后恢复重建 ,方便群众生 活 普惠性 项目 22.4585 22.4585 乡村振 乡村振兴 辋川 全环节 新建 兴局 局 镇 渗金庙 村 2022 灾后恢复重建 ,方便群众生 活 普惠性 项目 55.5645 55.5645 乡村振 乡村振兴 辋川 全环节 新建 兴局 局 镇 西杆庙 村 2022 灾后恢复重建 ,方便群众生 活 普惠性 项目 2.2032 2.2032 乡村振 乡村振兴 辋川 全环节 新建 兴局 局 镇 东杆沟 村 2022 普惠性 项目 32.0748 32.0748 乡村振 乡村振兴 辋川 全环节 新建 兴局 局 镇 双龙村 2022 普惠性 项目 5.2111 5.2111 乡村振 乡村振兴 辋川 全环节 新建 兴局 局 镇 东杆村 2022 普惠性 项目 0.5471 0.5471 乡村振 乡村振兴 辋川 全环节 新建 兴局 局 镇 清水沟 村 2022 普惠性 项目 12.1619 12.1619 乡村振 乡村振兴 辋川 全环节 新建 兴局 局 镇 两河桥 村 2022 普惠性 项目 14.3794 14.3794 乡村振 乡村振兴 辋川 全环节 新建 兴局 局 镇 26.2332 26.2332 31.256 31.256 渗金庙 村 渗金庙 村 2022 2022 灾后恢复重建 ,方便群众生 活 灾后恢复重建 ,方便群众生 活 灾后恢复重建 ,方便群众生 活 灾后恢复重建 ,方便群众生 活 灾后恢复重建 ,方便群众生 活 灾后恢复重建 ,方便群众生 活 灾后恢复重建 ,方便群众生 活 普惠性 项目 普惠性 项目 乡村振 乡村振兴 辋川 全环节 新建 兴局 局 镇 乡村振 乡村振兴 辋川 全环节 新建 兴局 局 镇 项目类 型 (3) 实施地 点 (4) 挖土方53m³,清理滑带土50m³ ,基层换填天然砂砾218m³, 寺院沟水毁修复项 乡村建 203 破除路面29.8m³,18㎝石灰稳 目 设 定土基层182㎡,20㎝混凝土 面层149㎡ 序 号 项目名称 (1) 204 褚马路-十回场水 毁修复项目 205 印沟路水毁修复项 目 206 冷水沟水毁修复项 目 207 斜子沟-红太路水 毁修复项目 208 狮子沟水毁修复项 目 209 正沟水毁修复项目 210 板厂沈家沟水毁修 复项目 211 甘坪三组水毁修复 项目 212 褚家河路水毁修复 项目 213 甘坪六组水毁修复 项目 214 小姚沟水毁修复项 目 215 河南-大苜蓿沟路 水毁修复项目 216 桂家沟水毁修复项 目 项目建设内容及规模 (2) 挖土方85m³,挡土墙225.84m³ ,清理滑带土242m³,基层换 填天然砂砾373m³,破除路面 乡村建 23.4m³,18㎝石灰稳定土基层 设 143㎡,20㎝混凝土面层117㎡ ,C级波形梁护栏120米 片石混凝土挡土墙419m³,清 乡村建 理滑带土443m³,C级波形梁护 设 栏180米 挖土方87m³,混凝土边沟45米 ,挡土墙825.7m³,清理滑带 土907m³,基层换填天然砂砾 乡村建 367m³,破除水泥路面27m³, 设 18㎝石灰稳定土基层165㎡, 20㎝混凝土面层135㎡,C级波 形梁护栏390米 挡土墙81.9m³,清理滑带土 乡村建 82m³,C级波形梁护栏120米 设 片石混凝土挡土墙730.36m³, 乡村建 清理滑带土756m³,C级波形梁 设 护栏544米 片石混凝土挡土墙356m³,清 乡村建 理滑带土372m³,C级波形梁护 设 栏294米 片石混凝土挡土墙32.76m³, 乡村建 清理滑带土33m³,C级波形梁 设 护栏30米 挖土方73m³,挡土墙152.88m³ ,清理滑带土154m³,基层换 填天然砂砾309m³,破除水泥 乡村建 路面26.6m³,18㎝石灰稳定土 设 基层261㎡,20㎝混凝土面层 133㎡,C级波形梁护栏150米 混凝土边沟6m³,片石混凝土 乡村建 挡土墙299.4m³,清理滑带土 设 376m³,C级波形护栏90米 挡土墙273m³,清理滑带土 乡村建 325m³,C级波形护栏360米 设 片石混凝土挡土墙119.99m³, 乡村建 清理滑带土124m³,C级波形护 设 栏116米 片石混凝土挡土墙13.65m³, 乡村建 清理滑带土14m³,C级波形护 设 栏30米 混凝土边沟10m³,片石混凝土 乡村建 挡土墙224.69m³,清理滑带土 设 456m³,C级波形护栏102米 是否 脱贫 村 (5) 其中: 受益 扶持带 户数/ 动脱贫 人数 户户数/ (6) 人数 (7) 项目资金投入 建设 期限 (8) 绩效目标 (9) 利益链接 机制 (10) 寺院沟 村 2022 灾后恢复重建 ,方便群众生 活 渗金庙 村 2022 印沟村 行业主 其它资 管部门 金投入 (14) (13) 项目 实施 单位 (15) 财政资 建设 金支持 性质 备注 环节 (17) (16) 合计 (11) 财政衔接 补助资金 (12) 普惠性 项目 7.5581 7.5581 乡村振 乡村振兴 辋川 全环节 新建 兴局 局 镇 灾后恢复重建 ,方便群众生 活 普惠性 项目 31.0664 31.0664 乡村振 乡村振兴 辋川 全环节 新建 兴局 局 镇 2022 灾后恢复重建 ,方便群众生 活 普惠性 项目 36.9926 36.9926 乡村振 乡村振兴 辋川 全环节 新建 兴局 局 镇 冷水沟 村 2022 灾后恢复重建 ,方便群众生 活 普惠性 项目 85.6655 85.6655 乡村振 乡村振兴 辋川 全环节 新建 兴局 局 镇 斜子沟 村 2022 普惠性 项目 10.2023 10.2023 乡村振 乡村振兴 辋川 全环节 新建 兴局 局 镇 狮子沟 村 2022 普惠性 项目 74.0820 74.0820 乡村振 乡村振兴 辋川 全环节 新建 兴局 局 镇 正沟村 2022 普惠性 项目 37.3950 37.3950 乡村振 乡村振兴 辋川 全环节 新建 兴局 局 镇 普惠性 项目 3.6729 3.6729 乡村振 乡村振兴 辋川 全环节 新建 兴局 局 镇 普惠性 项目 26.4349 26.4349 乡村振 乡村振兴 辋川 全环节 新建 兴局 局 镇 普惠性 项目 25.6759 25.6759 乡村振 乡村振兴 辋川 全环节 新建 兴局 局 镇 普惠性 项目 34.6563 34.6563 乡村振 乡村振兴 辋川 全环节 新建 兴局 局 镇 普惠性 项目 12.9702 12.9702 乡村振 乡村振兴 辋川 全环节 新建 兴局 局 镇 普惠性 项目 2.1672 2.1672 乡村振 乡村振兴 辋川 全环节 新建 兴局 局 镇 普惠性 项目 20.6653 20.6653 乡村振 乡村振兴 辋川 全环节 新建 兴局 局 镇 瓦屋厂 是 2022 甘坪村 是 2022 褚家河 村 2022 甘坪村 是 2022 姚沟村 是 2022 大苜蓿 沟村 是 2022 姚沟村 是 2022 灾后恢复重建 ,方便群众生 活 灾后恢复重建 ,方便群众生 活 灾后恢复重建 ,方便群众生 活 灾后恢复重建 ,方便群众生 活 灾后恢复重建 ,方便群众生 活 灾后恢复重建 ,方便群众生 活 灾后恢复重建 ,方便群众生 活 灾后恢复重建 ,方便群众生 活 灾后恢复重建 ,方便群众生 活 灾后恢复重建 ,方便群众生 活 序 号 220 221 222 223 224 225 226 227 228 229 230 231 232 233 234 项目资金投入 实施地 点 (4) 是否 脱贫 村 (5) 挡土墙138.21m³,清理滑带土 乡村建 188m³,C级波形护栏150米 设 挡土墙115.8m³,清理滑带土 乡村建 119m³,C级波形护栏120米 设 挡土墙93.77m³,清理滑带土 乡村建 96m³,C级波形护栏150米 设 挡土墙27.3m³,清理滑带土 乡村建 薛沟水毁修复项目 27m³,C级波形护栏60米 设 玉川四狮子沟路- 挡土墙114.66m³,清理滑带土 乡村建 风沟(狮子沟3组) 115m³,C级波形护栏180米 设 组水毁修复项目 红太路——滴水岩 挡土墙113.83m³,清理滑带土 乡村建 水毁修复项目 119m³,C级波形护栏120米 设 挡土墙539.7m³,清理滑带土 瓦屋庄路水毁修复 乡村建 602m³,混凝土边沟125米,C 项目 设 级波形护栏120米 挡土墙117.8m³,清理滑带土 乡村建 南沟水毁修复项目 129m³,C级波形护栏30米 设 支家沟水毁修复项 挡土墙544.7m³,清理滑带土 乡村建 目 576m³,C级波形护栏160米 设 片石混凝土挡土墙460.9m³, 商葛路-王家沟水 乡村建 清理滑带土487m³,C级波形护 毁修复项目 设 栏170米 黄沙岭路-王相沟 挡土墙62.85m³,清理滑带土 乡村建 水毁修复项目 66m³,C级波形护栏30米 设 大梨园-金坪水毁 乡村建 挡土墙8m³,清理滑带土10m³ 修复项目 设 大梨园-小桐树沟 挡土墙13.7m³,清理滑带土 乡村建 水毁修复项目 16m³ 设 瓦屋庄一组路水毁 浆砌片石挡土墙8m³,清理滑 乡村建 修复项目 带土10m³ 设 小梨园四、五组路 挡土墙13.7m³,清理滑带土 乡村建 水毁修复项目 16m³ 设 挖土方162m³,挡土墙690.8m³ ,清理滑带土751m³,基层换 米铁路-大桐树沟 填天然砂砾682m³,破除水泥 乡村建 (夏家村4组)水毁 路面81m³,18㎝石灰稳定土基 设 修复项目 层494㎡,20㎝混凝土面层405 ㎡,C级波形护栏210米 寺沟村路水毁修复 混凝土边沟225米,浆砌片石 乡村建 项目 设 挡土墙360m³,清理滑带土 910m³ 挖土方219m³,挡土墙109.2m³ ,清理滑带土110m³,基层换 吴家沟水毁修复项 填天然砂砾1060m³,破除水泥 乡村建 路面56.2m³,18㎝石灰稳定土 设 目 基层313㎡,20㎝混凝土面层 281㎡,C级波形护栏90米 老虎沟 村 是 北沟村 是 2022 是 2022 是 2022 狮子沟 村 是 2022 滴水岩 村 是 2022 瓦屋厂 村 是 2022 南沟村 是 2022 支家沟 村 是 2022 王家沟 村 是 2022 王湘沟 村 是 2022 梨园村 是 2022 梨园村 是 2022 瓦屋庄 村 是 2022 梨园村 是 2022 桐树沟 村 是 2022 寺沟村 是 2022 吴家沟 村 是 2022 老虎沟水毁修复项 目 沈家沟水毁修复项 218 目 三羊沟水毁修复项 219 目 217 其中: 受益 扶持带 户数/ 动脱贫 人数 户户数/ (6) 人数 (7) 项目类 型 (3) 项目名称 (1) 项目建设内容及规模 (2) 瓦屋厂 村 瓦屋厂 村 建设 期限 (8) 2022 绩效目标 (9) 灾后恢复重建 ,方便群众生 活 灾后恢复重建 ,方便群众生 活 灾后恢复重建 ,方便群众生 活 灾后恢复重建 ,方便群众生 活 灾后恢复重建 ,方便群众生 活 灾后恢复重建 ,方便群众生 活 灾后恢复重建 ,方便群众生 活 灾后恢复重建 ,方便群众生 活 灾后恢复重建 ,方便群众生 活 灾后恢复重建 ,方便群众生 活 灾后恢复重建 ,方便群众生 活 灾后恢复重建 ,方便群众生 活 灾后恢复重建 ,方便群众生 活 灾后恢复重建 ,方便群众生 活 灾后恢复重建 ,方便群众生 活 灾后恢复重建 ,方便群众生 活 灾后恢复重建 ,方便群众生 活 灾后恢复重建 ,方便群众生 活 利益链接 机制 (10) 行业主 其它资 管部门 金投入 (14) (13) 项目 实施 单位 (15) 财政资 建设 金支持 性质 备注 环节 (17) (16) 合计 (11) 财政衔接 补助资金 (12) 15.5487 15.5487 13.3271 13.3271 12.7150 12.7150 4.3355 4.3355 普惠性 项目 15.5808 15.5808 乡村振 乡村振兴 辋川 全环节 新建 兴局 局 镇 普惠性 项目 13.0703 13.0703 乡村振 乡村振兴 辋川 全环节 新建 兴局 局 镇 普惠性 项目 42.2119 42.2119 乡村振 乡村振兴 葛牌 全环节 新建 兴局 局 镇 9.7387 9.7387 46.1333 46.1333 40.5811 40.5811 4.8042 4.8042 0.4724 0.4724 0.7533 0.7533 0.4724 0.4724 0.7533 0.7533 普惠性 项目 81.0767 81.0767 乡村振 乡村振兴 葛牌 全环节 新建 兴局 局 镇 普惠性 项目 25.4538 25.4538 乡村振 乡村振兴 葛牌 全环节 新建 兴局 局 镇 普惠性 项目 38.1140 38.1140 乡村振 乡村振兴 葛牌 全环节 新建 兴局 局 镇 普惠性 项目 普惠性 项目 普惠性 项目 普惠性 项目 普惠性 项目 普惠性 项目 普惠性 项目 普惠性 项目 普惠性 项目 普惠性 项目 普惠性 项目 普惠性 项目 乡村振 兴局 乡村振 兴局 乡村振 兴局 乡村振 兴局 乡村振兴 局 乡村振兴 局 乡村振兴 局 乡村振兴 局 辋川 镇 辋川 全环节 新建 镇 辋川 全环节 新建 镇 辋川 全环节 新建 镇 全环节 新建 乡村振 乡村振兴 葛牌 全环节 新建 兴局 局 镇 乡村振 乡村振兴 葛牌 全环节 新建 兴局 局 镇 乡村振 乡村振兴 葛牌 全环节 新建 兴局 局 镇 乡村振 兴局 乡村振 兴局 乡村振 兴局 乡村振 兴局 乡村振 兴局 乡村振兴 局 乡村振兴 局 乡村振兴 局 乡村振兴 局 乡村振兴 局 全环节 新建 全环节 新建 全环节 新建 全环节 新建 全环节 新建 葛牌 镇 葛牌 镇 葛牌 镇 葛牌 镇 葛牌 镇 序 号 235 项目名称 (1) 小桐树沟水毁修复 项目 葛牌沟路-南沟水 毁修复项目 瓦屋庄路-寺院沟 237 水毁修复项目 236 238 榨柴沟水毁修复项 目 黄沙沟路水毁修复 项目 阳坡村水毁修复项 240 目 239 241 安沟至陈家坡路水 毁修复项目 242 楸贺路水毁修复项 目 项目建设内容及规模 (2) 项目类 型 (3) 挖土方150m³,挡土墙727.3m³ ,清理滑带土789m³,基层换 填天然砂砾615m³,破除水泥 乡村建 路面94.8m³,18㎝石灰稳定土 设 基层580㎡,20㎝混凝土路面 474㎡,C级波形护栏190米 挡土墙117.8m³,清理滑带土 乡村建 129m³,C级波形护栏30米 设 挡土墙169.52m³,清理滑带土 乡村建 188m³,C级波形护栏60米 设 挖土方58m³,挡土墙404.5m³ ,清理滑带土446m³,基层换 填天然砂砾251m³,破除水泥 乡村建 路面22m³,18㎝石灰稳定土基 设 层135㎡,20㎝混凝土面层110 ㎡,C级波形护栏150米 混凝土边沟30米,挡土墙48m³ 乡村建 ,清理滑带土58m³ 设 片石混凝土挡土墙1114.1m³, 乡村建 清理滑带土1207m³ 设 混凝土边沟443米,挡土墙 乡村建 227.2m³,清理滑带土580m³, 设 6m/1座盖板明涵 挖土方37m³,混凝土边沟10m³ ,挡土墙134.6m³,清理滑带 土655m³,基层换填天然砂砾 乡村建 151m³,破除水泥路面18m³, 设 18㎝石灰稳定土基层100㎡, 20㎝混凝土面层90㎡,C级波 形护栏80米 浆砌片石挡土墙54.6m³,清理 滑带土55m³,基层换填天然砂 砾154m³,破除水泥路面92.2m 陈安路水毁修复项 乡村建 ³,挖除旧路基37m³,18㎝石 243 目 设 灰稳定土基层512㎡,20㎝混 凝土面层461㎡,C级波形护栏 30米 浆砌片石护肩260m³,新建护 唐付路水毁修复项 栏100米,挖除旧路(含回填 乡村建 目 砾石土)453m³,修复路面( 设 20㎝水泥路面)105㎡ 挖除旧路面(含回填土)90m³ 岭西路水毁修复项 乡村建 245 ,新建厚20㎝水泥混凝土路面 目 设 450㎡ 挖除旧路面(含回填土)436m 牛草湾路(旦村1 乡村建 246 ³,新建厚20㎝水泥混凝土路 组) 设 面280㎡ 挖除旧路面(含回填土)217m 刘家前头路(姜湾 乡村建 247 ³,新建厚20㎝水泥混凝土路 8组) 设 面245㎡ 244 实施地 点 (4) 是否 脱贫 村 (5) 桐树沟 村 其中: 受益 扶持带 户数/ 动脱贫 人数 户户数/ (6) 人数 (7) 项目资金投入 建设 期限 (8) 绩效目标 (9) 利益链接 机制 (10) 是 2022 灾后恢复重建 ,方便群众生 活 普惠性 项目 是 2022 是 2022 榨柴沟 村 是 2022 黄沙沟 村 是 2022 阳坡村 是 2022 葛牌沟 村 寺院沟 村 灾后恢复重建 ,方便群众生 活 灾后恢复重建 ,方便群众生 活 灾后恢复重建 ,方便群众生 活 灾后恢复重建 ,方便群众生 活 灾后恢复重建 ,方便群众生 活 灾后恢复重建 ,方便群众生 活 行业主 其它资 管部门 金投入 (14) (13) 项目 实施 单位 (15) 财政资 建设 金支持 性质 备注 环节 (17) (16) 合计 (11) 财政衔接 补助资金 (12) 82.3526 82.3526 9.7387 9.7387 14.4247 14.4247 42.1460 42.1460 3.3252 3.3252 82.3077 82.3077 普惠性 项目 36.4149 36.4149 乡村振 乡村振兴 普化 全环节 新建 兴局 局 镇 普惠性 项目 普惠性 项目 普惠性 项目 普惠性 项目 普惠性 项目 乡村振 乡村振兴 葛牌 全环节 新建 兴局 局 镇 乡村振 乡村振兴 葛牌 全环节 新建 兴局 局 镇 乡村振 乡村振兴 葛牌 全环节 新建 兴局 局 镇 乡村振 乡村振兴 葛牌 全环节 新建 兴局 局 镇 乡村振 乡村振兴 葛牌 全环节 新建 兴局 局 镇 乡村振 乡村振兴 葛牌 全环节 新建 兴局 局 镇 安沟村 2022 楸树庙 村 2022 灾后恢复重建 ,方便群众生 活 普惠性 项目 17.86 17.86 乡村振 乡村振兴 普化 全环节 新建 兴局 局 镇 陈家沟 村 2022 灾后恢复重建 ,方便群众生 活 普惠性 项目 17.4893 17.4893 乡村振 乡村振兴 普化 全环节 新建 兴局 局 镇 2022 灾后恢复重建 ,方便群众生 活 普惠性 项目 22.7898 22.7898 乡村振 乡村振兴 洩湖 全环节 新建 兴局 局 镇 普惠性 项目 9.1942 9.1942 乡村振 乡村振兴 华胥 全环节 新建 兴局 局 镇 普惠性 项目 8.0831 8.0831 乡村振 乡村振兴 华胥 全环节 新建 兴局 局 镇 普惠性 项目 6.0144 6.0144 乡村振 乡村振兴 华胥 全环节 新建 兴局 局 镇 唐付村 是 东邓村 2022 旦村 2022 姜湾村 是 2022 灾后恢复重建 ,方便群众生 活 灾后恢复重建 ,方便群众生 活 灾后恢复重建 ,方便群众生 活 序 号 248 249 250 251 252 253 254 255 256 257 258 259 260 261 262 项目名称 (1) 项目建设内容及规模 (2) 项目类 型 (3) 挖除旧路面(含回填土)31m³ 下张村路(旦村3 乡村建 ,新建厚20㎝水泥混凝土路面 组)水毁修复项目 设 30㎡ 挖除旧路面54m³、清除塌方 50m³、路基填筑(砾石土) 环山路-黄东路水 2160m³,挡土墙246m³,修复 乡村建 路面(20㎝水泥路面)294㎡ 设 毁修复项目 ,新建护栏60米,拆除钢板护 栏60米 挖除旧路面16m³、挡土墙360m 东山村-陈家山水 乡村建 ³,新建护栏80米,拆除钢板 毁修复项目 设 护栏80米 东山村-林寨北侧 挖除旧路面24m³,修复路面( 乡村建 水毁修复项目 20㎝水泥路面)120㎡ 设 挖除旧路面90m³、清除塌方 车家河(东山村4组 120m³、路基填筑(砾石土) 乡村建 )-东山村水毁修 7920m³,修复路面(20㎝水泥 设 复项目 路面)450㎡,23米长暗板涵 一个 挖除旧路面14m³、路基填筑( 康山路水毁修复项 乡村建 砾石土)100m³,修复路面( 目 设 20㎝水泥路面)70㎡ 混凝土挡土墙(含新建护栏) 934.5m³,路基填筑(砾石土 东沟路水毁修复项 乡村建 )1181.3m³,修复路面(20㎝ 目 设 水泥路面)374.5㎡,新建护 栏70米,拆除钢板护栏70米 混凝土边沟15米,挡土墙 王坡村三组村道水 乡村建 200.7m³,清理滑带土55m³,C 毁修复项目 设 级波形护栏30米 北小寨村进村村道 挡土墙559.7m³,清理滑带土 乡村建 水毁修复项目 563m³,C级波形护栏230米 设 挖土方91m³,基层换填天然砂 秦家寨八、九组出 砾370m³,破除水泥路面45m³ 乡村建 村路水毁修复项目 ,18㎝石灰土稳定基层250㎡ 设 ,20㎝混凝土面层225㎡ 破除水泥路面135m³,18㎝石 秦家寨移民新村出 乡村建 灰土稳定基层750㎡,20㎝混 村路水毁修复项目 设 凝土面层675㎡ 陈侯路水毁修复项 挡土墙58.9m³,清理滑带土 乡村建 目 64m³,C级波形梁护栏30米 设 路基回填天然砂砾47m³,18㎝ 水泥混凝土面层889.5㎡,16 小寨镇张沟村水毁 乡村建 ㎝石灰土基层889.5㎡,浆砌 修复项目 设 片石354m³,波形梁护栏36米 ,管涵一道 东香村路水毁修复 混凝土边沟110米,浆砌片石 乡村建 项目 设 挡土墙176m³,清理滑带土 211m³ 洩湖镇簸箕掌村( 挡土墙54.3m³,砂砾回填132m 乡村建 通三、四、五组) ³ 设 实施地 点 (4) 是否 脱贫 村 (5) 其中: 受益 扶持带 户数/ 动脱贫 人数 户户数/ (6) 人数 (7) 项目资金投入 建设 期限 (8) 绩效目标 (9) 利益链接 机制 (10) 旦村 2022 灾后恢复重建 ,方便群众生 活 黄岩村 2022 灾后恢复重建 ,方便群众生 活 陈家山 村 2022 灾后恢复重建 ,方便群众生 活 灾后恢复重建 ,方便群众生 活 灾后恢复重建 ,方便群众生 活 行业主 其它资 管部门 金投入 (14) (13) 项目 实施 单位 (15) 财政资 建设 金支持 性质 备注 环节 (17) (16) 合计 (11) 财政衔接 补助资金 (12) 普惠性 项目 0.7871 0.7871 乡村振 乡村振兴 华胥 全环节 新建 兴局 局 镇 普惠性 项目 38.4273 38.4273 乡村振 乡村振兴 汤峪 全环节 新建 兴局 局 镇 普惠性 项目 27.8783 27.8783 乡村振 乡村振兴 汤峪 全环节 新建 兴局 局 镇 普惠性 项目 2.3004 2.3004 乡村振 乡村振兴 汤峪 全环节 新建 兴局 局 镇 普惠性 项目 83.2434 83.2434 乡村振 乡村振兴 汤峪 全环节 新建 兴局 局 镇 东山村 是 2022 东山村 是 2022 东山村 是 2022 灾后恢复重建 ,方便群众生 活 普惠性 项目 2.0318 2.0318 乡村振 乡村振兴 汤峪 全环节 新建 兴局 局 镇 汤峪河 村 2022 灾后恢复重建 ,方便群众生 活 普惠性 项目 96.3769 96.3769 乡村振 乡村振兴 汤峪 全环节 新建 兴局 局 镇 王坡村 2022 普惠性 项目 12.3733 12.3733 乡村振 乡村振兴 三里 全环节 新建 兴局 局 镇 普惠性 项目 40.2168 40.2168 乡村振 乡村振兴 三里 全环节 新建 兴局 局 镇 普惠性 项目 12.1 12.1 乡村振 乡村振兴 三里 全环节 新建 兴局 局 镇 普惠性 项目 14.4969 14.4969 乡村振 乡村振兴 三里 全环节 新建 兴局 局 镇 普惠性 项目 5.4139 5.4139 乡村振 乡村振兴 焦岱 全环节 新建 兴局 局 镇 普惠性 项目 42.73 42.73 乡村振 乡村振兴 小寨 全环节 新建 兴局 局 镇 普惠性 项目 12.1819 12.1819 乡村振 乡村振兴 孟村 全环节 新建 兴局 局 镇 普惠性项 目 5.79 5.79 北小寨 村 是 2022 秦家寨 村 是 2022 秦家寨 村 是 2022 侯家揙 村 2022 张沟村 2022 东香村 是 2022 簸箕掌 村 否 2022 灾后恢复重建 ,方便群众生 活 灾后恢复重建 ,方便群众生 活 灾后恢复重建 ,方便群众生 活 灾后恢复重建 ,方便群众生 活 灾后恢复重建 ,方便群众生 活 灾后恢复重建 ,方便群众生 活 灾后恢复重建 ,方便群众生 活 修复道路,便 于村民出行、 有利于生产生 活。 乡村振 乡村振兴 全环节 改建 兴局 局 序 号 项目名称 (1) 项目建设内容及规模 (2) 凿除基层174㎡,16㎝灰土基 洩湖镇簸箕掌村( 层174㎡,凿除旧路面174㎡, 二组) 新建18㎝混凝土路面174㎡ 凿除基层279㎡,16㎝灰土基 洩湖镇簸箕掌村( 264 层279㎡,凿除旧路面279㎡, 一组) 新建18㎝混凝土路面279㎡ 混凝土边沟29.75m³,挡土墙 211.6m³,砂砾回填20m³,凿 洩湖镇马王村(二 除基层、旧路面495㎡,新建 265 组) 16㎝灰土基层495㎡,新建18 ㎝混凝土路面495㎡ 凿除基层、旧路面10㎡,新建 洩湖镇马王村(四 266 16㎝灰土基层10㎡,新建18㎝ 组) 混凝土路面10㎡ 263 其中: 受益 扶持带 户数/ 动脱贫 人数 户户数/ (6) 人数 (7) 项目资金投入 项目类 型 (3) 实施地 点 (4) 是否 脱贫 村 (5) 乡村建 设 簸箕掌 村 否 2022 乡村建 设 簸箕掌 村 否 2022 乡村建 设 马王村 否 2022 乡村建 设 马王村 否 2022 建设 期限 (8) 267 洩湖镇马王村(四 凿除旧路面110㎡,新建18㎝ 组支线) 混凝土路面110㎡ 乡村建 设 马王村 否 2022 268 凿除基层、旧路面450㎡,新 洩湖镇马王村(一 建16㎝灰土基层450㎡,新建 组) 18㎝混凝土路面450㎡ 乡村建 设 马王村 否 2022 269 洩湖镇马王村(一 挖土方、土方回填260m³,18 组支线) ㎝混凝土路面200㎡ 乡村建 设 马王村 否 2022 270 洩湖镇马王村(通 乡村建 挡土墙41.3m³,砂砾回填30m³ 五组路) 设 马王村 否 2022 271 洩湖镇马王村(六 新建16㎝灰土基层792㎡,18 组便道) ㎝混凝土基层792㎡ 乡村建 设 马王村 否 2022 挡土墙531.4m³,砂砾回填30m ³,挖土方961.2m³、土方回填 华胥镇姜湾村(通 2652.25m³,凿除基层、旧路 乡村建 272 面1201.5㎡,新建16㎝灰土基 一组二组路) 设 层1201.5㎡,18㎝混凝土路面 1201.5㎡ 姜湾村 否 2022 挡土墙35.4m³,砂砾回填30m³ 华胥镇姜湾村(通 ,挖土方140m³,土方回填 乡村建 273 一组二组路支线一 262.5m³,凿除基层、旧路面 设 ) 175㎡,新建16㎝灰土基层175 ㎡,18㎝混凝土路面175㎡ 挖土方108m³,土方回填 华胥镇姜湾村(通 202.5m³,凿除基层、旧路面 乡村建 274 一组二组路支线二 设 135㎡,新建16㎝灰土基层135 ) ㎡,18㎝混凝土路面135㎡ 挖土方348m³,土方回填 华胥镇姜湾村通3 652.5m³,凿除基层、旧路面 乡村建 275 、9组路 设 435㎡,新建16㎝灰土基层435 ㎡,18㎝混凝土路面435㎡ 姜湾村 否 2022 姜湾村 否 2022 姜湾村 否 2022 绩效目标 (9) 修复道路,便 于村民出行、 有利于生产生 活。 修复道路,便 于村民出行、 有利于生产生 活。 修复道路,便 于村民出行、 有利于生产生 活。 修复道路,便 于村民出行、 有利于生产生 活。 修复道路,便 于村民出行、 有利于生产生 活。 修复道路,便 于村民出行、 有利于生产生 活。 修复道路,便 于村民出行、 有利于生产生 活。 修复道路,便 于村民出行、 有利于生产生 活。 修复道路,便 于村民出行、 有利于生产生 活。 修复道路,便 于村民出行、 有利于生产生 活。 修复道路,便 于村民出行、 有利于生产生 活。 修复道路,便 于村民出行、 有利于生产生 活。 修复道路,便 于村民出行、 有利于生产生 活。 利益链接 机制 (10) 行业主 其它资 管部门 金投入 (14) (13) 项目 实施 单位 (15) 财政资 建设 金支持 性质 备注 环节 (17) (16) 合计 (11) 财政衔接 补助资金 (12) 普惠性项 目 3.82 3.82 乡村振 乡村振兴 全环节 改建 兴局 局 普惠性项 目 6.14 6.14 乡村振 乡村振兴 全环节 改建 兴局 局 普惠性项 目 24.19 24.19 乡村振 乡村振兴 全环节 改建 兴局 局 普惠性项 目 0.22 0.22 乡村振 乡村振兴 全环节 改建 兴局 局 普惠性项 目 1.88 1.88 乡村振 乡村振兴 全环节 改建 兴局 局 普惠性项 目 9.9 9.9 乡村振 乡村振兴 全环节 改建 兴局 局 普惠性项 目 4.04 4.04 乡村振 乡村振兴 全环节 改建 兴局 局 普惠性项 目 2.87 2.87 乡村振 乡村振兴 全环节 改建 兴局 局 普惠性项 目 13.43 13.43 乡村振 乡村振兴 全环节 改建 兴局 局 普惠性项 目 66.91 66.91 乡村振 乡村振兴 全环节 改建 兴局 局 普惠性项 目 7.59 7.59 乡村振 乡村振兴 全环节 改建 兴局 局 普惠性项 目 3.81 3.81 乡村振 乡村振兴 全环节 改建 兴局 局 普惠性项 目 12.3 12.3 乡村振 乡村振兴 全环节 改建 兴局 局 序 号 项目名称 (1) 项目建设内容及规模 (2) 项目类 型 (3) 挡土墙972.48m³,砂砾回填 127m³,挖土方115.2m³,土方 华胥镇姜湾村通四 乡村建 回填2016m³,凿除基层、旧路 276 组路 设 面144㎡,新建16㎝灰土基层 144㎡,18㎝混凝土路面144㎡ 挡土墙174m³,挖土方72m³, 华胥镇姜湾村通五 土方回填135m³,凿除路基、 乡村建 277 组路 设 旧路面90㎡,新建16㎝灰土基 层90㎡,18㎝混凝土路面90㎡ 挡土墙364.2m³,砂砾回填48m ³,挖土方200m³,土方回填 华胥镇姜湾村通六 乡村建 745m³,凿除基层、旧路面250 278 八组路 设 ㎡,新建16㎝灰土基层250㎡ ,18㎝混凝土路面250㎡ 实施地 点 (4) 姜湾村 是否 脱贫 村 (5) 否 其中: 受益 扶持带 户数/ 动脱贫 人数 户户数/ (6) 人数 (7) 项目资金投入 建设 期限 (8) 绩效目标 (9) 利益链接 机制 (10) 2022 修复道路,便 于村民出行、 有利于生产生 活。 姜湾村 否 2022 修复道路,便 于村民出行、 有利于生产生 活。 姜湾村 否 2022 修复道路,便 于村民出行、 有利于生产生 活。 279 华胥镇姜湾村通七 挡土墙99.9m³,砂砾回填160m 乡村建 组路 ³护栏更换、维修10米 设 姜湾村 否 2022 280 华胥镇支家沟村通 二组路 砂砾回填8.25m³ 乡村建 设 支家沟 村 否 2022 281 华胥镇支家沟村通 六组路 挡土墙407.2m³,砂砾回填 450m³ 乡村建 设 支家沟 村 否 2022 282 汤峪镇史家寨村小 学门口 挡土墙87.3m³, 乡村建 设 史家寨 村 否 2022 283 汤峪镇史家寨村通 一二组路 挡土墙162.9m³ 乡村建 设 史家寨 村 否 2022 284 汤峪镇高堡村至寺 峪村道路 挡土墙462.29m³ 乡村建 设 高堡村 否 2022 285 汤峪镇龚家村3组 乡村建 挡土墙49.6m³,砂砾回填63m³ 通村路 设 龚家村 否 2022 乡村建 设 龚家村 否 2022 乡村建 设 侯家村 否 2022 乡村建 设 侯家村 否 2022 乡村建 设 侯家村 否 2022 挡土墙22.1m³,新建16㎝灰土 汤峪镇龚家村6组 基层24㎡,18㎝混凝土路面24 通村路 ㎡,土方回填54m³,钢筋混凝 土盖板涵一道 挖土方400m³,土方回填400m³ 汤峪镇侯家村通1- ,凿除基层、旧路面500㎡, 287 9组路 新建16㎝灰土基层500㎡,18 ㎝混凝土路面500㎡ 挖土方80m³,土方回填80m³, 汤峪镇侯家村通3- 凿除路基、旧路面100㎡,新 288 4组路 建16㎝灰土基层100㎡,18㎝ 混凝土路面100㎡ 挖土方64m³,土方回填64m³, 汤峪镇侯家村通4- 凿除基层、旧路面40㎡,新建 289 5组路 16㎝灰土基层80㎡,18㎝混凝 土路面80㎡ 286 修复道路,便 于村民出行、 有利于生产生 活。 修复道路,便 于村民出行、 有利于生产生 活。 修复道路,便 于村民出行、 有利于生产生 活。 修复道路,便 于村民出行、 有利于生产生 活。 修复道路,便 于村民出行、 有利于生产生 活。 修复道路,便 于村民出行、 有利于生产生 活。 修复道路,便 于村民出行、 有利于生产生 活。 修复道路,便 于村民出行、 有利于生产生 活。 修复道路,便 于村民出行、 有利于生产生 活。 修复道路,便 于村民出行、 有利于生产生 活。 修复道路,便 于村民出行、 有利于生产生 活。 行业主 其它资 管部门 金投入 (14) (13) 项目 实施 单位 (15) 财政资 建设 金支持 性质 备注 环节 (17) (16) 合计 (11) 财政衔接 补助资金 (12) 普惠性项 目 56.33 56.33 乡村振 乡村振兴 全环节 改建 兴局 局 普惠性项 目 12.24 12.24 乡村振 乡村振兴 全环节 改建 兴局 局 普惠性项 目 29.16 29.16 乡村振 乡村振兴 全环节 改建 兴局 局 普惠性项 目 9.11 9.11 乡村振 乡村振兴 全环节 改建 兴局 局 普惠性项 目 0.18 0.18 乡村振 乡村振兴 全环节 改建 兴局 局 普惠性项 目 32.45 32.45 乡村振 乡村振兴 全环节 改建 兴局 局 普惠性项 目 4.9 4.9 乡村振 乡村振兴 全环节 改建 兴局 局 普惠性项 目 9.15 9.15 乡村振 乡村振兴 全环节 改建 兴局 局 普惠性项 目 25.57 25.57 乡村振 乡村振兴 全环节 改建 兴局 局 普惠性项 目 4.16 4.16 乡村振 乡村振兴 全环节 改建 兴局 局 普惠性项 目 13.63 13.63 乡村振 乡村振兴 全环节 改建 兴局 局 普惠性项 目 13.09 13.09 乡村振 乡村振兴 全环节 改建 兴局 局 普惠性项 目 2.61 2.61 乡村振 乡村振兴 全环节 改建 兴局 局 普惠性项 目 1.89 1.89 乡村振 乡村振兴 全环节 改建 兴局 局 其中: 受益 扶持带 户数/ 动脱贫 人数 户户数/ (6) 人数 (7) 项目资金投入 序 号 项目名称 (1) 项目建设内容及规模 (2) 项目类 型 (3) 实施地 点 (4) 是否 脱贫 村 (5) 290 辋川镇红门寺村六 组 挡土墙311.96m³,砂砾回填 83.3m³ 乡村建 设 红门寺 村 否 2022 291 挡土墙751.78m³,砂砾回填 辋川镇七安子村红 乡村建 347.75m³,钢筋混凝土圆管涵 高路 设 (旧管涵接长) 七安子 村 否 2022 292 辋川镇七安子村生 产路 挡土墙466.75m³,砂砾回填 448.75m³ 乡村建 设 七安子 村 否 2022 293 辋川镇山底村五组 一路(通组路) 挡土墙18.9m³ 乡村建 设 山底村 否 2022 294 辋川镇山底村五组 二路(通组路) 挡土墙87m³ 乡村建 设 山底村 否 2022 山底村 否 2022 挡土墙290.8m³,砂砾回填 辋川镇山底村四组 560m³,凿除基层,旧路面310 乡村建 (通组路) 设 ㎡,新建16㎝灰土基层310㎡ ,18㎝混凝土路面310㎡ 挡土墙932.46m³,砂砾回填 1216.5m³,挖土方199.2m³, 辋川镇西河村大沟 土方回填373.5m³,凿除基层 乡村建 296 、旧路面249㎡,新建16㎝灰 路一组 设 土基层249㎡,18㎝混凝土路 面136.5㎡ 295 建设 期限 (8) 西河村 否 2022 乡村建 设 西河村 否 2022 挡土墙211.86m³,砂砾回填 60.2m³,挖土方48m³,土方回 乡村建 298 辋川镇西河村三组 填90m³,凿除路基、旧路面60 设 ㎡,新建16㎝灰土基层60㎡, 18㎝混凝土路面60㎡ 西河村 否 2022 锡水洞 村 否 2022 闫家村 否 2022 闫家村 否 2022 西坡村 否 2022 297 辋川镇西河村二组 299 辋川镇锡水洞村东 木杆沟(通村路) 挡土墙520.06m³,砂砾回填 231.75m³ 挡土墙235.87m³,砂砾回填 384m³, 乡村建 设 挡土墙304.6m³,新建16㎝灰 乡村建 300 辋川镇闫家村一组 土基层72㎡,18㎝混凝土路面 设 72㎡,土方回填468m³ 挡土墙116m³,砂砾回填20m³ ,挖土方84m³,土方回填84m³ 辋川镇闫家村闫郭 ,凿除基层、路面245㎡,新 乡村建 301 建16㎝灰土基层245㎡,18㎝ 路 设 混凝土路面245㎡,土方回填 30m³,钢筋混凝土圆管涵一道 302 小寨镇西坡村六组 路 挡土墙174.1m³ 乡村建 设 绩效目标 (9) 修复道路,便 于村民出行、 有利于生产生 活。 修复道路,便 于村民出行、 有利于生产生 活。 修复道路,便 于村民出行、 有利于生产生 活。 修复道路,便 于村民出行、 有利于生产生 活。 修复道路,便 于村民出行、 有利于生产生 活。 修复道路,便 于村民出行、 有利于生产生 活。 修复道路,便 于村民出行、 有利于生产生 活。 修复道路,便 于村民出行、 有利于生产生 活。 修复道路,便 于村民出行、 有利于生产生 活。 修复道路,便 于村民出行、 有利于生产生 活。 修复道路,便 于村民出行、 有利于生产生 活。 修复道路,便 于村民出行、 有利于生产生 活。 修复道路,便 于村民出行、 有利于生产生 活。 利益链接 机制 (10) 行业主 其它资 管部门 金投入 (14) (13) 项目 实施 单位 (15) 财政资 建设 金支持 性质 备注 环节 (17) (16) 合计 (11) 财政衔接 补助资金 (12) 普惠性项 目 19.23 19.23 乡村振 乡村振兴 全环节 改建 兴局 局 普惠性项 目 50.71 50.71 乡村振 乡村振兴 全环节 改建 兴局 局 普惠性项 目 36.09 36.09 乡村振 乡村振兴 全环节 改建 兴局 局 普惠性项 目 1 1 乡村振 乡村振兴 全环节 改建 兴局 局 普惠性项 目 4.82 4.82 乡村振 乡村振兴 全环节 改建 兴局 局 普惠性项 目 34.71 34.71 乡村振 乡村振兴 全环节 改建 兴局 局 普惠性项 目 84.38 84.38 乡村振 乡村振兴 全环节 改建 兴局 局 普惠性项 目 34.56 34.56 乡村振 乡村振兴 全环节 改建 兴局 局 普惠性项 目 14.97 14.97 乡村振 乡村振兴 全环节 改建 兴局 局 普惠性项 目 21.42 21.42 乡村振 乡村振兴 全环节 改建 兴局 局 普惠性项 目 19.29 19.29 乡村振 乡村振兴 全环节 改建 兴局 局 普惠性项 目 24.5 24.5 乡村振 乡村振兴 全环节 改建 兴局 局 普惠性项 目 9.48 9.48 乡村振 乡村振兴 全环节 改建 兴局 局 序 号 项目名称 (1) 项目建设内容及规模 (2) 项目类 型 (3) 挡土墙147.4m³,凿除基层、 旧路面52.5㎡,新建16㎝灰土 小寨镇西坡村八组 乡村建 基层136.5㎡,18㎝混凝土路 303 路 设 面136.5㎡,钢筋混凝土圆管 涵一道 凿除基层、旧路面76㎡,新建 汤峪镇小寺村三组 乡村建 304 16㎝灰土基层、18㎝混凝土路 通组路 设 面76㎡ 305 汤峪镇小寺村一组 新建16㎝灰土基层105㎡,18 通组路 ㎝混凝土路面105㎡ 乡村建 设 洩湖镇骞家湾村通 右侧新建高3.5m仰斜式路肩墙 乡村建 2,4,5组路 设 103.04m³,恢复护栏C20混凝 土0.625m³。 采用砂砾回填掏空路基部位 25.5m³,凿除原有18cm水泥混 洩湖镇陈家沟村通 凝土面层+16cm基层1045㎡, 乡村建 307 新建采用18cm水泥混凝土 4组路 设 +16cm2:8灰土基层1685㎡, 浆砌片石110.5m³ 306 回填掏空路基223.5m³,挖除 原有水泥混凝土路面594.5m³ 华胥镇王坪村道路 ,新建路面采用16cm2:8灰土 乡村建 308 基层+18cm水泥混凝土面层铺 修复项目 设 筑1224.5m³,新建仰斜式路肩 墙437.4m³ 路基回填天然砂砾241.5m³, 新建18㎝水泥混凝土路面 厚镇江流沟村道路 乡村建 1218.5㎡,新建16㎝石灰土基 309 修复项目 设 层1404㎡,凿除旧路面682.5 ㎡,浆砌片石722m³ 挖除旧路面182㎡,新建路面 厚镇张岭村道路修 乡村建 310 182㎡采用16cm2:8灰土基层 复项目 设 +18cm水泥混凝土面层铺筑 挖除原有水泥混凝土路面,新 建路面采用16cm2:8灰土基层 乡村建 311 厚镇韩坪村通村路 +18cm水泥混凝土面层铺筑, 设 左侧处新建路肩墙,高度2.5 米,回填掏空路基,恢复护栏 ; 乡村建 312 厚镇清峪村通村路 挖土方1260m³ 设 313 岱峪村水毁路段灾 浆砌毛石挡墙320m³;水泥混凝 乡村建 后重建项目 土5600㎡;填方8400m³; 设 18㎝水泥混凝土路面1104㎡, 焦岱镇柳家湾村道 乡村建 16㎝石灰土基层946.5㎡,浆 路修复项目 设 砌片石978.76m³ 路基回填天然砂砾788m³,18 ㎝水泥混凝土面层4437㎡,16 焦岱镇吴家寨村道 乡村建 ㎝石灰土基层3442.5㎡,浆砌 315 路修复项目 设 片石569.44m³,护栏44米,排 水400米,管涵一道 314 实施地 点 (4) 是否 脱贫 村 (5) 其中: 受益 扶持带 户数/ 动脱贫 人数 户户数/ (6) 人数 (7) 项目资金投入 建设 期限 (8) 绩效目标 (9) 利益链接 机制 (10) 修复道路,便 于村民出行、 有利于生产生 活。 西坡村 否 2022 小寺村 否 2022 小寺村 否 2022 骞湾村 否 2022 陈家沟 否 2022 修复道路,便 于村民出行、 有利于生产生 活。 修复道路,便 于村民出行、 有利于生产生 活。 修复道路,便 于村民出行、 有利于生产生 活。 修复道路,便 于村民出行、 有利于生产生 活。 王坪村 否 2022 修复道路,便 于村民出行、 有利于生产生 活。 江流沟 村 否 2022 修复道路,便 于村民出行、 有利于生产生 活。 张岭村 是 2022 韩坪村 是 2022 清峪村 否 2022 岱峪村 四、五 、七、 八组 柳家湾 村 吴家寨 村 是 508户 1882 人 525户 1920 人 修复道路,便 于村民出行、 有利于生产生 活。 修复道路,便 于村民出行、 有利于生产生 活。 修复道路,便 于村民出行、 有利于生产生 活。 解决群众出行 行业主 其它资 管部门 金投入 (14) (13) 项目 实施 单位 (15) 财政资 建设 金支持 性质 备注 环节 (17) (16) 合计 (11) 财政衔接 补助资金 (12) 普惠性项 目 16.56 16.56 乡村振 乡村振兴 全环节 改建 兴局 局 普惠性项 目 1.67 1.67 乡村振 乡村振兴 全环节 改建 兴局 局 普惠性项 目 1.78 1.78 乡村振 乡村振兴 全环节 改建 兴局 局 普惠性项 目 5.69 5.69 乡村振 乡村振兴 全环节 改建 兴局 局 普惠性项 目 43.14 43.14 乡村振 乡村振兴 全环节 改建 兴局 局 普惠性项 目 59.41 59.41 乡村振 乡村振兴 全环节 改建 兴局 局 普惠性项 目 80.23 80.23 乡村振 乡村振兴 全环节 改建 兴局 局 普惠性项 目 4.59 4.59 乡村振 乡村振兴 全环节 改建 兴局 局 普惠性项 目 18.93 18.93 乡村振 乡村振兴 全环节 改建 兴局 局 普惠性项 目 2.81 2.81 乡村振 乡村振兴 全环节 改建 兴局 局 普惠性项 目 167.94 167.94 乡村振 乡村振兴 小寨 全环节 改建 兴局 局 镇 101户 333人 2022 109户 451人 2022 方便群众生活 ,改善人居环 境 普惠性 项目 95 95 乡村振 乡村振兴 焦岱 全环节 改建 兴局 局 镇 380户 380户 1230 1230人 人 2022 方便群众生活 ,改善人居环 境 普惠性 项目 194.79 194.79 乡村振 乡村振兴 焦岱 全环节 改建 兴局 局 镇 序 号 项目名称 (1) 项目建设内容及规模 (2) 焦岱镇水泉村道路 路基回填天然砂砾296m³,浆 修复项目 砌片石152.81m³ 佘家湾道路修复项 路基回填天然砂砾240m³,排 317 目 水40米,涵洞一道 路基回填天然砂砾44m³,18㎝ 焦岱镇梁家扁村道 水泥混凝土面层180㎡,16㎝ 318 路修复项目 石灰土基层180㎡,浆砌片石 726.44m³ 焦岱镇陈家沟村道 路基回填天然砂砾200m³,浆 319 路修复项目 砌片石147.2m³ 路基回填天然砂砾368m³,18 焦岱镇老虎沟村道 ㎝水泥混凝土面层360㎡,16 320 路修复项 ㎝石灰土基层360㎡,浆砌片 石959.28 路基回填天然砂砾100m³,18 焦岱镇荣家沟村道 ㎝水泥混凝土面层616.5㎡, 321 路修复项 16㎝石灰土基层616.5㎡,浆 砌片石380.6m³ 路基回填天然砂砾54m³,18㎝ 焦岱镇洋峪村道路 水泥混凝土面层121.5㎡,16 322 修复项目 ㎝石灰土基层121.5㎡,浆砌 片石142.3m³ 18㎝水泥混凝土路路面135㎡ 焦岱镇候家扁村道 323 ,凿除旧路面135㎡,浆砌片 路修复项 石1712m³ 三里镇北小寨村灾 18㎝水泥混凝土面层367.5㎡ 324 后重建道路修复项 ,16㎝石灰土基层367.5㎡, 目 浆砌片石14.16m³ 三里镇毛坪村灾后 18㎝水泥混凝土面层112.5㎡ 325 重建道路修复项目 ,16㎝石灰土基层112.5㎡, 路基回填天然砂砾9.6m³,18 南王村灾后重建道 ㎝水泥混凝土面层3240㎡,16 326 路修复项目 ㎝石灰土基层3240㎡,浆砌片 石14.16m³ 路基回填天然砂砾89.3m³,18 三里镇苟家村灾后 ㎝水泥混凝土面层456㎡,16 327 重建道路修复项目 ㎝石灰土基层456㎡,浆砌片 石93m³ 路基回填天然砂砾162m³,18 三里镇乔村灾后重 ㎝水泥混凝土面层306㎡,16 328 建道路修复项目 ㎝石灰土基层306㎡,浆砌片 石684.31m³ 316 项目类 型 (3) 乡村建 设 乡村建 设 实施地 点 (4) 是否 脱贫 村 (5) 水泉村 佘家湾 村 其中: 受益 扶持带 户数/ 动脱贫 人数 户户数/ (6) 人数 (7) 318户 318户 1230 1230人 人 507/1 69/222 903 423户 24户96 1836 人 人 项目资金投入 建设 期限 (8) 2022 2022 绩效目标 (9) 利益链接 机制 (10) 合计 (11) 财政衔接 补助资金 (12) 15 15 22.79 22.79 行业主 其它资 管部门 金投入 (14) (13) 项目 实施 单位 (15) 财政资 建设 金支持 性质 备注 环节 (17) (16) 方便群众生活 ,改善人居环 境 方便群众生活 ,改善人居环 境 方便群众生活 ,改善人居环 境 普惠性 项目 普惠性 项目 乡村振 乡村振兴 焦岱 全环节 改建 兴局 局 镇 乡村振 乡村振兴 焦岱 全环节 改建 兴局 局 镇 普惠性 项目 45.09 45.09 乡村振 乡村振兴 焦岱 全环节 改建 兴局 局 镇 方便群众生活 ,改善人居环 境 方便群众生活 ,改善人居环 境 普惠性 项目 12.53 12.53 乡村振 乡村振兴 焦岱 全环节 改建 兴局 局 镇 普惠性 项目 71.44 71.44 乡村振 乡村振兴 焦岱 全环节 改建 兴局 局 镇 乡村建 设 梁家扁 村 乡村建 设 陈家沟 村 乡村建 设 老虎沟 村 乡村建 设 荣家沟 村 450户 31户110 1790 人 人 2022 方便群众生活 ,改善人居环 境 普惠性 项目 38.65 38.65 乡村振 乡村振兴 焦岱 全环节 改建 兴局 局 镇 乡村建 设 洋峪村 220/7 78/228 80 2022 方便群众生活 ,改善人居环 境 普惠性 项目 11.15 11.15 乡村振 乡村振兴 焦岱 全环节 改建 兴局 局 镇 乡村建 设 候家扁 村 573户 2190 人 90户 312人 2022 普惠性 项目 104 104 乡村振 乡村振兴 焦岱 全环节 改建 兴局 局 镇 乡村建 设 北小寨 村 387/1 169/651 406 2022 方便村民 出行 11.69 11.69 乡村振 乡村振兴 全环节 新建 兴局 局 乡村建 设 毛坪村 262/1 123/451 030 2022 方便村民 出行 3.98 3.98 乡村振 乡村振兴 全环节 新建 兴局 局 乡村建 设 南王村 732/2 273/105 622 4 2022 方便村民 出行 88.29 88.29 乡村振 乡村振兴 全环节 新建 兴局 局 乡村建 设 苟家村 496/1 41/134 830 2022 完善村级交通 ,方便群众出 行 方便村民 出行 19.74 19.74 乡村振 乡村振兴 全环节 新建 兴局 局 乡村建 设 乔村 586/2 123/473 154 2022 完善村级交通 ,方便群众出 行 方便村民 出行 49.38 49.38 乡村振 乡村振兴 全环节 新建 兴局 局 18㎝水泥混凝土路面1707.5㎡ 磨李村灾后重建道 ,16㎝石灰土基层1707.5㎡, 乡村建 路修复项目 设 凿除旧路面1357.7㎡,凿除基 层757.50,浆砌片石1116.5m³ 磨李村 436/1 257/946 663 2022 完善村级交通 ,方便群众出 行 方便村民 出行 106.05 106.05 乡村振 乡村振兴 全环节 新建 兴局 局 路基回填天然砂砾88.2m³,18 ㎝水泥混凝土面层2023.7㎡, 三里镇王坡村灾后 乡村建 路面钢筋11209kq,凿除旧路面 330 重建道路修复项目 设 636㎡,B级波形护栏104米, 浆砌片石86.73m³ 王坡村 505/2 43/138 036 2022 完善村级交通 ,方便群众出 行 方便村民 出行 50.42 50.42 乡村振 乡村振兴 全环节 新建 兴局 局 329 525户 27户 85人 1750 人 302户 26户94 1212 人 人 是 是 2022 2022 2022 方便群众生活 ,改善人居环 境 完善村级交通 ,方便群众出 行 完善村级交通 ,方便群众出 行 完善村级交通 ,方便群众出 行 序 号 331 332 333 334 335 336 337 338 339 项目名称 (1) 项目建设内容及规模 (2) 三里镇杨村灾后重 路基回填天然砂砾14.4m³,浆 建道路修复项目 砌片石22m³ 18㎝水泥混凝土面层2835㎡, 三里镇秦家寨灾后 16㎝石灰土基层2835㎡,浆砌 重建道路修复项目 片石1143.58m³,排水30米, 涵洞一道 18㎝水泥混凝土路面737㎡, 汤峪镇骆驼岭村水 16㎝石灰土基层737㎡,浆砌 毁道路修复项目 片石566.3m³ 18㎝水泥混凝土路面585㎡, 三官庙镇过风岭村 凿除旧路面585㎡,片石浆砌 水灾后重建项目 593m³ 九间房镇九间房村 18㎝水泥混凝土路面177㎡, 灾后重建道路修复 16㎝石灰土基层177㎡,凿除 项目 旧路面177㎡,涵洞一道 波形梁护栏120米,新建5cmAC九间房镇桐花沟村 13细粒式沥青混凝土面层1164 灾后重建道路修复 ㎡,C20混凝土路肩116.4㎡, 项目 排水沟194米,浆砌片石 964.8m³ 九间房镇漫道村灾 18㎝水泥混凝土路面30㎡,16 后重建道路修复项 ㎝石灰土基层30㎡,浆砌片石 目 180.2m³ 九间房镇大寨村灾 18㎝水泥混凝土面层1035㎡, 后重建道路修复项 16㎝石灰土基层1035㎡ 目 九间房镇公王村灾 波形梁护栏50米,浆砌片石 后重建道路修复项 348m³,警示桩0.4m³ 目 是否 脱贫 村 (5) 其中: 受益 扶持带 户数/ 动脱贫 人数 户户数/ (6) 人数 (7) 540/2 69/232 024 项目类 型 (3) 实施地 点 (4) 乡村建 设 杨村 乡村建 设 秦家寨 村 乡村建 设 骆驼岭 村 乡村建 设 过风岭 村 乡村建 设 九间房 村 是 乡村建 设 桐花沟 村 是 587户 2345 人 乡村建 设 漫道村 乡村建 设 大寨村 是 乡村建 设 公王村 是 296户 44户159 1103 人 人 560户 101户 2100 352户 人 308户 65户197 1132 人 户 是 项目资金投入 建设 期限 (8) 2022 616/2 210/787 042 2022 313/1 178 19/60 2022 90户 312人 2022 127户 423人 2022 149户 606人 2022 573户 2190 人 574户 2145 人 2022 2022 2022 绩效目标 (9) 完善村级交通 ,方便群众出 行 完善村级交通 ,方便群众出 行 方便群众生活 ,改善人居环 境 方便群众生活 ,改善人居环 境 修复道路,便 于村民出行、 有利于生产生 活。 修复道路,便 于村民出行、 有利于生产生 活。 修复道路,便 于村民出行、 有利于生产生 活。 修复道路,便 于村民出行、 有利于生产生 活。 修复道路,便 于村民出行、 有利于生产生 活。 利益链接 机制 (10) 行业主 其它资 管部门 金投入 (14) (13) 项目 实施 单位 (15) 财政资 建设 金支持 性质 备注 环节 (17) (16) 合计 (11) 财政衔接 补助资金 (12) 方便村民 出行 1.55 1.55 乡村振 乡村振兴 全环节 新建 兴局 局 方便村民 出行 148.52 148.52 乡村振 乡村振兴 全环节 新建 兴局 局 普惠性项 目 58.6 58.6 乡村振 乡村振兴 汤峪 全环节 改建 兴局 局 镇 普惠性项 目 47.15 47.15 乡村振 乡村振兴 三官 全环节 改建 兴局 局 庙镇 普惠性项 目 6.82 6.82 乡村振 乡村振兴 九间 全环节 改建 兴局 局 房镇 普惠性项 目 101.77 101.77 乡村振 乡村振兴 九间 全环节 改建 兴局 局 房镇 普惠性项 目 11.66 11.66 乡村振 乡村振兴 九间 全环节 改建 兴局 局 房镇 普惠性项 目 24.05 24.05 乡村振 乡村振兴 九间 全环节 改建 兴局 局 房镇 普惠性项 目 20.3 20.3 乡村振 乡村振兴 九间 全环节 改建 兴局 局 房镇 前卫镇 340 将军村道路硬化黑 道路黑化2170米×4.5米,共 化 计9765平方米。 乡村建 设 将军村 444/1 98/331 719 2022 341 断头路硬化共5300平方米,厚 度18厘米。长度:2×1000米 ,共2000平方米;2×500米, 共1000平方米;4×300米,共 1200平方米;4×200米,共 800平米;3×100米,共300平 方米。 村主干道黑化 路,方便村民 出行,方便运 输农副产品, 提高村民收入 。 乡村建 设 徐塬村 635/2 74/249 230 2022 方便村民出行 普惠性项 目 90.1 90.1 乡村振 兴局 前卫镇 全环节 新建 硬化道路总计5070平方米,厚 度18厘米。其中长度4×1000 大亮村硬化道路建 米,3×190米,共4570平方米 342 设 ;拓宽1×500米,共500平方 米。 乡村建 设 村域内 703/2 61/190 400 2022 方便村民出行 普惠性项 目 88 88 乡村振 兴局 前卫镇 全环节 徐塬道路硬化 普惠性项 目 117.18 117.18 乡村振 兴局 前卫镇 全环节 改建 新建 扩建 项目名称 (1) 项目建设内容及规模 (2) 项目类 型 (3) 实施地 点 (4) 343 王庄道路硬化 修复:800米×4米,共3200平 方米; 硬化:200米×3.5米,共700 平方米。 拓宽:400米×1.5米,共600 平方米。 乡村建 设 王庄村 344 谢湾村产业路 2200米,宽4米,8800平方米 乡村建 设 谢湾村 吴村庙村水泥路改 水泥路改造柏油沥青路:1200 造柏油沥青路 米×3.5米,共4200平方米。 乡村建 设 吴村庙 一组 序 号 345 是否 脱贫 村 (5) 其中: 受益 扶持带 户数/ 动脱贫 人数 户户数/ (6) 人数 (7) 763/2 116/401 700 234/7 54 吴村 庙 86/35 0 康庄 100/5 00 23/68 项目资金投入 建设 期限 (8) 绩效目标 (9) 利益链接 机制 (10) 2022 方便村民出行 。 2022 2022 行业主 其它资 管部门 金投入 (14) (13) 项目 实施 单位 (15) 财政资 建设 金支持 性质 备注 环节 (17) (16) 合计 (11) 财政衔接 补助资金 (12) 普惠性项 目 85 85 乡村振 兴局 前卫镇 全环节 新建 方便群众农耕 及出行 普惠性项 目 132 132 乡村振 兴局 前卫镇 全环节 新建 方便群众农耕 及出行 普惠性项 目 55 55 乡村振 兴局 前卫镇 全环节 改建 小寨镇 346 关庙村道路硬化项 道路硬化长1.5公里,宽3.5米 目 ,厚度18公分。 乡村建 设 关庙村 212户 650人 80户 320人 2022 方便群众白皮 松出售 347 关庙村村内排水渠 治理村内排水渠及加盖板长 治理项目 2800米。 乡村建 设 关庙村 285户 820人 50户 150人 2022 村内环境卫生 提升 348 关庙村太阳能路灯 全村内安装太阳能路灯150个 项目 。 乡村建 设 关庙村 525户 2097 人 139户 517人 2022 群众出行方便 349 关庙村村内道路黑 村内道路油化12000平方米, 化项目 厚0.5 乡村建 设 关庙村 325户 860人 60户 183人 2022 群众出行方便 350 关庙村村内河堤治 河提长2000米,高2.5米。 理项目 乡村建 设 关庙村 265户 780人 45户 220人 2022 村内环境提升 西坡村道路硬化项 产业路道路硬化长3000米,宽 351 目 3.5米,厚0.18米。 乡村建 设 西坡村 480户 1880 人 97户 346人 2022 352 西坡村村内排水渠 治理村内排水渠(加盖板) 治理项目 3000米。 乡村建 设 西坡村 480户 1880 人 97户 346人 2022 353 西坡村安装太阳能 安装太阳能路灯150盏。 路灯项目 乡村建 设 西坡村 480户 1880 人 97户 346人 2022 354 西坡村河堤治理项 整治河堤1500米。 目 乡村建 设 西坡村 480户 1880 人 97户 346人 2022 改善生产条件 ,方便农产品 生产及销售, 为群众增收奠 定良好基础。 可改善村内的 环境卫生,减 少矛盾纠纷, 改善村民的生 活条件,提升 村容村貌。 改善村民生活 条件,扮靓村 容村貌。 保护群众的生 命财产安全, 保护沿岸耕地 28亩。 乡村设施 建设,推 进乡村振 兴 乡村设施 建设,推 进乡村振 兴 乡村设施 建设,推 进乡村振 兴 乡村设施 建设,推 进乡村振 兴 乡村设施 建设,推 进乡村振 兴 85 85 乡村振 兴局 小寨镇 全环节 新建 60 60 乡村振 兴局 小寨镇 全环节 新建 55 55 乡村振 兴局 小寨镇 全环节 新建 100 100 乡村振 兴局 小寨镇 全环节 新建 160 160 乡村振 兴局 小寨镇 全环节 新建 乡村设施 建设,推 进乡村振 兴 168 168 乡村振 兴局 小寨镇 全环节 新建 乡村设施 建设,推 进乡村振 兴 120 120 乡村振 兴局 小寨镇 全环节 新建 60 60 乡村振 兴局 小寨镇 全环节 新建 300 300 乡村振 兴局 小寨镇 全环节 新建 乡村设施 建设,推 进乡村振 兴 乡村设施 建设,推 进乡村振 兴 序 号 项目名称 (1) 项目建设内容及规模 (2) 项目类 型 (3) 实施地 点 (4) 是否 脱贫 村 (5) 其中: 受益 扶持带 户数/ 动脱贫 人数 户户数/ (6) 人数 (7) 480户 97户 1880 346人 人 项目资金投入 建设 期限 (8) 绩效目标 (9) 2022 方便群众出行 ,提升村容村 貌 355 西坡村建设河堤路 建设长400米、宽6米的河堤路 项目 。 乡村建 设 西坡村 356 油化一组至五组道路4974平方 南寨村道路沥青覆 米;油化六组至七组4200平方 盖项目 米;共计油化道路9174平方米 。 乡村建 设 南寨村 是 390户 1602 人 49户 175人 2022 方便村民出行 357 南寨村水渠硬化项 硬化一组到五组水渠2030米。 目 乡村建 设 南寨村 是 310户 1300 人 11户 44人 2022 提升环境卫生 有利于群众身 体健康 硬化一组到五组村东稻地生产 路长1000米,宽4米;硬化一 南寨村生产路硬化 组到六组小岔沟长1200米,宽 358 项目 3.5米;共计硬化生产路8200 平方米。 乡村建 设 南寨村 是 360户 1500 人 49户 175人 2022 方便产品运输 359 十回场村亮化项目 安装路灯200盏。 乡村建 设 十回场 村 453户 1953 人 107户 443人 2022 亮化、美化村 容村貌 360 十回场村小河治理 治理小河300米,绿化300米。 及绿化项目 乡村建 设 十回场 村 132户 550人 51户 208人 2022 保障群众生命 财产安全,美 化村容。 361 十回场村三组道路 村内道路硬化500米。 项目 乡村建 设 十回场 村 41户 171人 8户 34人 2022 方便群众出行 362 十回场村主干道项 主干道硬化4200米。 目 乡村建 设 十回场 村 453户 1953 人 107户 443人 2022 方便群众出行 363 十回场村产业路项 产业路水泥硬化长3200米,宽 目 3.5米。 乡村建 设 十回场 村 453户 1953 人 107户 443人 2022 方便产品运输 364 牛心峪村村内绿化 村内外绿化 项目 乡村建 设 牛心峪 村 342户 76户331 1520 人 人 2022 美化环境 365 牛心峪村硬化道路 生产路硬化五个组共计436O米 项目 ,宽3.5米 乡村建 设 牛心峪 村 342户 76户331 1520 人 人 2022 方便村民生产 366 牛心峪村排水渠工 一组主干道旁排水渠4000米 程 乡村建 设 牛心峪 村 45户 12户 47 260人 人 2022 保护路基,利 于污水排放 利益链接 机制 (10) 合计 (11) 财政衔接 补助资金 (12) 行业主 其它资 管部门 金投入 (14) (13) 项目 实施 单位 (15) 财政资 建设 金支持 性质 备注 环节 (17) (16) 乡村设施 建设,推 进乡村振 兴 乡村设施 建设,推 进乡村振 兴 乡村设施 建设,推 进乡村振 兴 40 40 乡村振 兴局 小寨镇 全环节 新建 96.33 96.33 乡村振 兴局 小寨镇 全环节 新建 51.77 51.77 乡村振 兴局 小寨镇 全环节 新建 乡村设施 建设,推 进乡村振 兴 121.36 121.36 乡村振 兴局 小寨镇 全环节 新建 60 60 乡村振 兴局 小寨镇 全环节 新建 62.66 62.66 乡村振 兴局 小寨镇 全环节 新建 22.5 22.5 乡村振 兴局 小寨镇 全环节 新建 252 252 乡村振 兴局 小寨镇 全环节 新建 168 168 乡村振 兴局 小寨镇 全环节 新建 25 25 乡村振 兴局 小寨镇 全环节 新建 210.0223 210.0223 乡村振 兴局 小寨镇 全环节 新建 49.5 49.5 乡村振 兴局 小寨镇 全环节 新建 乡村设施 建设,推 进乡村振 兴 乡村设施 建设,推 进乡村振 兴 乡村设施 建设,推 进乡村振 兴 乡村设施 建设,推 进乡村振 兴 乡村设施 建设,推 进乡村振 兴 乡村设施 建设,推 进乡村振 兴 乡村设施 建设,推 进乡村振 兴 乡村设施 建设,推 进乡村振 兴 序 号 项目名称 (1) 项目建设内容及规模 (2) 项目类 型 (3) 实施地 点 (4) 是否 脱贫 村 (5) 其中: 受益 扶持带 户数/ 动脱贫 人数 户户数/ (6) 人数 (7) 项目资金投入 建设 期限 (8) 367 小寨村村内入户路 硬化1-10组长680米,宽3.5米 道路硬化 ,厚度为0.18米的入户路。 乡村建 设 小寨村 505户 1952 人 43户 168人 2022 368 小寨村村内排水渠 治理村内排水渠(加盖板) 治理 1000米 乡村建 设 小寨村 178户 644人 22户 61人 2022 76户 245人 2022 小寨村产业路硬化 369 1-11组产业路6650米 项目 乡村建 设 小寨村 807户 3118 人 370 小寨村治理河堤项 整治河堤1140米 目 乡村建 设 小寨村 214户 850人 16户 63人 2022 371 小寨村道路两边绿 在七、九、十组建设长900米 化项目 主干路边绿化。 乡村建 设 小寨村 110户 408人 18户 47人 2022 372 路基处理3800米,两侧拓宽, 代桥村后沟生产路 崖边处理;路面硬化 3800米 建设项目 ,宽4米,厚度0.18厘米。 乡村建 设 代桥村 351户 1410 人 64户 203人 2022 产业路硬化长1700米,宽4米 373 湖滩村产业路项目 ,厚0.18米,共计6800平方米 。产业路路基处理20万元。 乡村建 设 湖滩村 是 91户 363人 22户 65人 2022 湖滩村河堤治理项 砌石1740立方米,长580米, 目 均宽1.0米,宽3.0米 乡村建 设 湖滩村 是 114户 462人 48户 192人 2022 374 绩效目标 (9) 可有效改善505 户1952人的生 活.生产条件, 方便农产品的 生产及销售, 为群众增收奠 定良好的基础 可改善村内的 环境卫生,减 少矛盾纠纷, 改善村民的生 活条件,提升 村容村貌。 改善807户3118 人的生活条件 ,扮靓村容村 貌 保护214户850 人的生命财产 安全,保护沿 岸耕地30亩 改善260户980 人的出行方便 ,提升村容村 貌。 推进村乡村振 兴 盘活村可用 耕地 提升村集 体经济收益 可提升360亩经 济林效,可作 为防火应急通 道,保护3万余 亩生态林。 利益链接 机制 (10) 行业主 其它资 管部门 金投入 (14) (13) 项目 实施 单位 (15) 财政资 建设 金支持 性质 备注 环节 (17) (16) 合计 (11) 财政衔接 补助资金 (12) 乡村设施 建设,推 进乡村振 兴 51 51 乡村振 兴局 小寨镇 全环节 新建 乡村设施 建设,推 进乡村振 兴 36 36 乡村振 兴局 小寨镇 全环节 新建 398 398 乡村振 兴局 小寨镇 全环节 新建 125.3 125.3 乡村振 兴局 小寨镇 全环节 新建 11.3 11.3 乡村振 兴局 小寨镇 全环节 新建 212.8 212.8 乡村振 兴局 小寨镇 全环节 新建 128.8 128.8 乡村振 兴局 小寨镇 全环节 新建 96 96 乡村振 兴局 小寨镇 全环节 新建 乡村设施 建设,推 进乡村振 兴 乡村设施 建设,推 进乡村振 兴 乡村设施 建设,推 进乡村振 兴 乡村设施 建设,推 进乡村振 兴 乡村设施 建设,推 进乡村振 兴 乡村设施 消除13户52人 建设,推 水灾隐患,保 进乡村振 护耕地120亩。 兴 三官庙镇 1.水泥路硬化长2400米、宽4 三官庙镇曹湾村现 米、厚18公分;2.浇灌井一口 375 代化农业产业示范 350米;3.浇灌管网4000米、 园基础设施项目 滴灌;4.100吨蓄水池3座 产业发 展 曹湾村 六组 376 三官庙镇韩岭村产 硬化产业路1.5公里,宽3.5米 业路道路硬化项目 、厚0.18米。 产业发 展 韩岭村 六组 377 三官庙镇马湾村产 硬化产业路2公里,宽3.5米、 业路道路硬化项目 厚0.2米。 产业发 展 马湾村 六组 是 是 325/1 292 16/46 2022 23/60 8/18 2022 274/1 52/177 134 2022 带动群众 就业,增 年收益100万元 加经济收 入 带动群众 就业,增 5万元 加经济收 入 带动群众 就业,增 7万元 加经济收 入 345 345 乡村振 三官庙镇 全环节 新建 兴局 75 75 乡村振 三官庙镇 全环节 新建 兴局 50 50 乡村振 三官庙镇 全环节 新建 兴局 序 号 项目名称 (1) 项目建设内容及规模 (2) 项目类 型 (3) 实施地 点 (4) 是否 脱贫 村 (5) 其中: 受益 扶持带 户数/ 动脱贫 人数 户户数/ (6) 人数 (7) 393/ 83/220 1500 项目资金投入 建设 期限 (8) 绩效目标 (9) 2022 7万元 利益链接 机制 (10) 带动群众 就业,增 加经济收 入 带动群众 就业,增 加经济收 入 带动群众 就业,增 加经济收 入 提升基础 设施,促 进产业园 生长 带动群众 就业,增 加经济收 入 行业主 其它资 管部门 金投入 (14) (13) 项目 实施 单位 (15) 财政资 建设 金支持 性质 备注 环节 (17) (16) 合计 (11) 财政衔接 补助资金 (12) 78 78 乡村振 三官庙镇 全环节 新建 兴局 75 75 乡村振 三官庙镇 全环节 新建 兴局 45 45 乡村振 三官庙镇 全环节 新建 兴局 31.2 31.2 乡村振 三官庙镇 全环节 新建 兴局 105 105 乡村振 三官庙镇 全环节 新建 兴局 378 三官庙镇龙门村产 硬化产业路1.5公里,宽3.5米 业路道路硬化项目 、厚0.18米。 产业发 展 龙门九 组 是 379 三官庙镇北苍湾村 硬化产业路1.5公里,宽3.5米 产业路道路硬化 、厚0.18米。 产业发 展 北苍湾 村五组 是 1 08/42 3 25/77 2022 年收益15万元 380 三官庙镇冯岭村产 硬化产业路1公里,宽4米、厚 业路道路硬化项目 0.18米。 产业发 展 冯岭三 组 是 323/ 1140 68/254 2022 带动群众创收 三官庙镇杨顶村花 新修0.65公里产业路:长650 381 椒产业园产业路硬 米、宽3米、厚0.18米 化 产业发 展 杨顶村 二组 446/ 1712 89/298 2022 提升村产业基 础设施 1.东坡至宋家坡组1000米2.下 三官庙镇宋家坡村 院组至宋家坡组1000米,宽为 产业路硬化项目 3.5米、厚0.18米 产业发 展 宋家坡 村1.2.4 组 260/ 600 30/120 2022 带动群众创收 乡村建 设 龙曲村 1.4组 是 310/1 60/261 100 2022 带动群众创收 恢复群众 生产生活 12 12 乡村振 三官庙镇 全环节 改建 兴局 乡村建 设 宋家坡 村3组 是 48/18 0 10/45 2022 带动群众创收 恢复群众 生产生活 5 5 乡村振 三官庙镇 全环节 改建 兴局 乡村建 设 面岭村 2.5.7组 是 90/35 27/110 0 2022 带动群众创收 恢复群众 生产生活 62 62 乡村振 三官庙镇 全环节 改建 兴局 乡村建 设 南湾岭 村5.11 组 是 122/4 12 2022 带动群众创收 恢复群众 生产生活 175 175 乡村振 三官庙镇 全环节 改建 兴局 乡村建 设 乡村建 设 乡村建 设 乡村建 设 胡家窑 村11组 里峪湾 村3组 马湾村7 组 龙门村5 组 是 26/85 105/347 2022 带动群众创收 10 10 13/38 2022 带动群众创收 10 10 15/43 2022 带动群众创收 20 20 11/38 2022 带动群众创收 40 40 乡村建 设 过风岭 村1.3.8 组 490/1 38/165 525 2022 带动群众创收 109 109 382 1.龙曲村1组通组道路受损范 三官庙镇龙曲村灾 围:长120米,宽3.5米;2.龙 383 情水毁道路维修项 曲村4组通组道路受损范围: 目 长20米,宽3.5米。 三官庙镇宋家坡村 宋家坡村3组通组道路受损范 384 灾情水毁道路维修 围:长18米、宽3.58米。 项目 1.面岭村2组通组道路受损范 围:长30米、宽4.5米;2.面 三官庙镇面岭村灾 岭村5组通组道路受损范围: 385 情水毁道路维修项 长10米、宽4.5米;3.棉铃村7 目 组通组道路受损范围:长500 米、宽3米 1.南湾岭村5组通组道路受损 三官庙镇南湾岭村 范围:长10米、宽3.5,米;2. 386 灾情水毁道路维修 南湾岭村11组通组道路受损范 项目 围:长20米、宽3.5米 三官庙镇胡家窑村 胡家窑村11组通组道路受损范 387 灾情水毁道路维修 围:长20米、宽3.5米 项目 里峪湾村3组通组道路受损范 三官庙镇里峪湾村 388 灾情水毁道路维修 围:长10米、宽3.5米 项目 马湾村7组通组道路受损范围 三官庙镇马湾村灾 389 情水毁道路维修项 :长30米、宽3.5米 目 龙门村5组通组道路受损范围 三官庙镇龙门村灾 390 情水毁道路维修项 :长50米、宽4米 目 1.过风岭村1组通组道路受损 范围:长80米、宽3.5米;2. 三官庙镇过风岭村 过风岭村3组通组道路受损范 391 灾情水毁道路维修 围:长110米、宽4.5米;3.过 项目 风岭村8组通组道路受损范围 :长135米、宽6米 是 是 是 是 110/8 45 112/3 40 72/36 7 3/5 恢复群众 生产生活 恢复群众 生产生活 恢复群众 生产生活 恢复群众 生产生活 恢复群众 生产生活 乡村振 兴局 乡村振 兴局 乡村振 兴局 乡村振 兴局 三官庙镇 全环节 改建 三官庙镇 全环节 改建 三官庙镇 全环节 改建 三官庙镇 全环节 改建 乡村振 三官庙镇 全环节 改建 兴局 序 号 项目名称 (1) 项目建设内容及规模 (2) 1.金山村2组通组道路受损范 三官庙镇金山村灾 围:长18米、宽3.5米;2.金 392 情水毁道路维修项 山村1组道路受损范围:长10 目 米、宽2米 三官庙镇杨顶村灾 杨顶村1组通组道受损范围: 393 情水毁道路维修项 长80米、宽4.5米 目 新房村1.2.4组水毁道路共计 三官庙镇新房村灾 394 情水毁道路维修项 2300平方米 目 1恓惶岭村10组通组道路受损 三官庙镇恓惶岭村 范围:长20米、宽3米;2.恓 395 灾情水毁道路维修 惶岭1组通组道路受损范围长 20米、宽4.5米;3.恓惶岭村6 项目 组通组道路受损范围长100米 、宽3米 三官庙镇北苍湾村 北苍湾村8组通组道路受损范 396 灾情水毁道路维修 围:长200米、宽3米;长8米 项目 宽3.5米桥损毁。 项目类 型 (3) 实施地 点 (4) 是否 脱贫 村 (5) 乡村建 设 金山村 1.2组 是 乡村建 设 乡村建 设 杨顶村1 组 新房村 1.2.4组 乡村建 设 乡村建 设 其中: 受益 扶持带 户数/ 动脱贫 人数 户户数/ (6) 人数 (7) 401/1 83/287 505 项目资金投入 建设 期限 (8) 绩效目标 (9) 利益链接 机制 (10) 2022 带动群众创收 恢复群众 生产生活 恢复群众 生产生活 恢复群众 生产生活 合计 (11) 财政衔接 补助资金 (12) 20 20 10 10 10 10 行业主 其它资 管部门 金投入 (14) (13) 项目 实施 单位 (15) 财政资 建设 金支持 性质 备注 环节 (17) (16) 乡村振 三官庙镇 全环节 改建 兴局 乡村振 三官庙镇 全环节 改建 兴局 乡村振 三官庙镇 全环节 改建 兴局 是 13/42 90/311 2022 带动群众创收 是 220/8 98/348 12 2022 带动群众创收 恓惶岭 村 1.6.11 组 是 526/2 115/411 027 2022 带动群众创收 恢复群众 生产生活 30 30 乡村振 三官庙镇 全环节 改建 兴局 北苍湾 村8组 是 28/97 2022 带动群众创收 恢复群众 生产生活 50 50 乡村振 三官庙镇 全环节 改建 兴局 7/12 辋川镇 辋川镇安家山村一 397 安沟桥修建 组 辋川镇安家山村一 398 瓦窑桥修建 组 辋川镇安家山村三 399 水毁道路修建 组 河提水毁65处共计长度1198米 辋川镇核桃沟村道 400 *高2米*深度1.5米,总计砌石 路河提加固 3594m³ 辋川镇核桃沟村三 水毁便民桥修复,长8米*宽4 401 组水毁便民桥 米*2.5米 辋川镇红门寺村七 加高洞口大坝80米、高2米、 402 组产业配套设施河 宽2.5米,混凝土加高河提200 提加固项目 米、高1.5米、宽1米 辋川镇河口村水源 403 道路1500米×4.5米 井道路 辋川镇河口村薛家 404 道路1200米×4.5米 路 辋川镇河口村六组 405 道路1800米×4.5米 至蓝关古道1800米 乡村建 设 乡村建 设 乡村建 设 乡村建 设 乡村建 设 一组 一组 三组 核桃沟 村1-10 组 核桃沟 村三组 乡村建 设 七组 乡村建 设 乡村建 设 乡村建 设 辋川镇 河口村 辋川镇 河口村 辋川镇 河口村 是 是 是 101户 441人 101户 441人 72户 276人 304户 130户 1129 482人 人 31户 18户63 104 人 2022 2022 2022 2022 2022 236户 79户251 902人 人 2022 18户 1户5人 2022 26户 4户13人 2022 16户 2022 2户2人 解决群众出行 及合作社产品 运输 解决群众出行 及合作社产品 运输 解决群众出行 及合作社产品 运输 解决群众出行 及农副产品出 售问题 解决群众出行 及合作社产品 运输 10万元 解决村民通行 问题 解决村民通行 问题 解决村民通行 问题 惠民工程 8.5 8.5 惠民工程 8.5 8.5 普惠性项 目 80 80 普惠性项 目 122.19 122.19 普惠性项 目 6.4 恢复发展 集体经济 普惠性项 目 普惠性项 目 普惠性项 目 乡村振 兴局 乡村振 兴局 乡村振 兴局 辋川镇 全环节 改建 辋川镇 全环节 改建 辋川镇 全环节 改建 乡村振 兴局 辋川镇 全环节 改建 6.4 乡村振 兴局 辋川镇 全环节 新建 23 23 乡村振 兴局 辋川镇 全环节 新建 114.75 114.75 辋川镇 全环节 新建 91.8 91.8 辋川镇 全环节 新建 137.7 137.7 辋川镇 全环节 新建 乡村振 兴局 乡村振 兴局 乡村振 兴局 孟村镇 姚村四组——西村三组长1300 米、宽4米、厚0.18米,姚村 孟村镇姚村村内生 一组——坡楞长1000米、宽4 406 产路硬化项目 米、厚0.18米。姚村二组—— 园林长8000米、宽4米、厚 0.18米 孟村镇段家村基础 长1200米、宽3.5米、厚0.15 407 道路硬化建设项目 米C30道路硬化。 408 孟村镇郗家街村村 长700米,宽3.5米,厚0.18米 内道路硬化项目 C30路面硬化。 乡村建 设 孟村镇 姚村 乡村建 设 孟村镇 段家村 乡村建 设 孟村镇 郗家街 村 是 447户 40户 /1334 /119人 人 2022 120户 31户 /460 /105人 人 546户 83户 /1912 /270人 人 方便村民出行 2022 ,提升村容村 貌,提高群众 满意度 完善基础设施 2022 ,方便群众出 行 解决村内生产 路硬化问题。 普惠性项 目 275.6 275.6 乡村振 兴局 孟村镇 全环节 新建 普惠性项 目 50 50 乡村振 兴局 孟村镇 全环节 新建 普惠性项 目 37.1 37.1 乡村振 兴局 孟村镇 全环节 新建 序 号 项目名称 (1) 项目建设内容及规模 (2) 项目类 型 (3) 实施地 点 (4) 是否 脱贫 村 (5) 其中: 受益 扶持带 户数/ 动脱贫 人数 户户数/ (6) 人数 (7) 362户 77户 /1250 /275人 人 项目资金投入 建设 期限 (8) 绩效目标 (9) 完善基础设施 ,提升村容村 貌,方便群众 出行,振兴乡 村发展。 完善基础设施 2022 ,方便村民出 行,加快经济 发展。 促进村集体和 群众的经济发 2022 展,提升村容 村貌,振兴乡 村发展。 完善基础设施 ,方便群众出 2022 行,提升村容 村貌,振兴乡 村发展。 409 村内道路硬化长2064米,宽 孟村镇李家村村内 3.5米,厚0.18米C30道路硬化 道路硬化项目 。 乡村建 设 孟村镇 李家村 410 孟村镇怀珍坊村村 长2000米,宽3.5米,厚0.18 内道路硬化项目 米C30路面硬化。 乡村建 设 孟村镇 怀珍坊 村 361户 73户 /1331 /239人 人 411 孟村镇李华村生产 生产路长2100米,宽3.5米, 路硬化项目 厚0.18米C30道路硬化。 乡村建 设 孟村镇 李华村 460户 23户/88 /1568 人 人 412 孟村镇李华村道路 长920米道路硬化,宽3.5米, 硬化项目 厚0.18米C30道路硬化。 乡村建 设 孟村镇 李华村 460户 23户/88 /1568 人 人 黑化道路总长765米,其中主 干路线长580米,宽11米,厚6 孟村镇李华村村内 ㎝,支路一场50米,宽三米, 413 厚6㎝,支路二长60米,宽3.5 道路黑化项目 米,厚6㎝,支路三长75米, 宽3.5米,厚6㎝。 乡村建 设 孟村镇 李华村 460户 23户/88 /1568 人 人 解决群众出行 2022 难问题,提高 群众满意度。 孟村镇东坡村村内 长2200米,宽3.5米,厚0.18 道路硬化项目 米C30道路硬化项目。 乡村建 设 孟村镇 东坡村 孟村镇东坡村主干 主干道两条路扩宽至全长8000 415 路两条道路扩宽项 米,宽4.5米,厚0.18米C30道 目 路硬化。 乡村建 设 孟村镇 东坡村 416 孟村镇胡家村村内 长2000米,宽3.5米,厚0.18 道路硬化项目 米C30路面硬化。 乡村建 设 孟村镇 胡家村 417 孟村镇大王村道路 长3400米,宽3.5米,厚0.18 硬化项目 米C30路面硬化。 乡村建 设 孟村镇 大王村 282户 /700 人 535户 /1776 人 716户 /2327 人 680户 /2729 人 418 孟村镇代寨村进村 进村黑化路总长3000米,宽4 路黑化项目 米,厚0.18米。 乡村建 设 孟村镇 代寨村 解决群众出行 2022 难问题,提高 群众满意度。 解决群众出行 2022 难问题,提高 群众满意度。 完善基础设施 2022 ,方便群众出 行,加快经济 发展。 完善基础设施 2022 ,方便村民出 行,加快经济 发展。 完善基础设施 ,方便村民出 2022 行,交通便利 有利发展。 414 是 50户 /130人 57户 /176人 81户 /258人 84户 /286人 612户 85户 /2287 /255人 人 2022 合计 (11) 财政衔接 补助资金 (12) 行业主 其它资 管部门 金投入 (14) (13) 项目 实施 单位 (15) 财政资 建设 金支持 性质 备注 环节 (17) (16) 普惠性项 目 120.44 120.44 乡村振 兴局 孟村镇 全环节 新建 普惠性项 目 120 120 乡村振 兴局 孟村镇 全环节 新建 普惠性项 目 81.9 81.9 乡村振 兴局 孟村镇 全环节 新建 普惠性项 目 60 60 乡村振 兴局 孟村镇 全环节 新建 普惠性项 目 131.43 131.43 乡村振 兴局 孟村镇 全环节 新建 普惠性项 目 154 154 乡村振 兴局 孟村镇 全环节 新建 普惠性项 目 720 720 乡村振 兴局 孟村镇 全环节 扩建 普惠性项 目 112 112 乡村振 兴局 孟村镇 全环节 新建 普惠性项 目 164 164 乡村振 兴局 孟村镇 全环节 新建 普惠性项 目 160 160 乡村振 兴局 孟村镇 全环节 改建 利益链接 机制 (10) 洩湖镇 419 沙河村环境提升项 排污管道700米,村内道路硬 目 化2000平方米 乡村建 设 沙河村 625户 77户264 2400 人 人 2022 420 麻坡村环境提升项 污水管网3000米 目 乡村建 设 麻坡村 361户 44户155 1327 人 人 2022 421 太阳能路灯100盏,道路硬化 洩湖村美丽乡村建 2000米,修建公园1座,重打 设项目 洩马路2000米 乡村建 设 洩湖村 824户 55户172 3104 人 人 2022 促进村内污水 处理,改善群 普惠性项 目 众生活,受益 户625户2400人 促进村内污水 处理,改善群 普惠性项 目 众生活,受益 户361户1327人 亮化312国道洩 湖村段环境, 普惠性项 改善群众生活 目 出行,直接受 益户 40 40 乡村振 兴局 洩湖镇 全环节 新建 240 240 乡村振 兴局 洩湖镇 全环节 新建 518 518 乡村振 兴局 洩湖镇 全环节 新建 序 号 422 项目名称 (1) 项目建设内容及规模 (2) 漫道村环境提升项 设立垃圾中转站1座,2辆垃圾 目 压缩车,6个保洁员岗位 项目类 型 (3) 乡村建 设 实施地 点 (4) 是否 脱贫 村 (5) 其中: 受益 扶持带 户数/ 动脱贫 人数 户户数/ (6) 人数 (7) 440户 47户174 1745 人 人 漫道村 项目资金投入 建设 期限 (8) 2022 绩效目标 (9) 利益链接 机制 (10) 改善村内垃圾 处理,提高村 民满意度,提 普惠性项 升村内人居环 目 境,直接受益 户440户1745人 合计 (11) 财政衔接 补助资金 (12) 80 80 行业主 其它资 管部门 金投入 (14) (13) 项目 实施 单位 (15) 财政资 建设 金支持 性质 备注 环节 (17) (16) 乡村振 兴局 洩湖镇 全环节 新建 华胥镇 423 华胥镇宋家村太阳 为华胥镇宋家村一组至四组安 能路灯安装项目 装太阳能路灯共计280盏 乡村建 设 华胥镇 宋家村 乡村建 设 华胥镇 杨庄村 乡村建 设 华胥镇 杨庄村 乡村建 设 华胥镇 姜湾村 是 姜湾村三组瞿知明户至四组村 路口总长1000米,宽3.5米, 厚0.18米道路硬化 乡村建 设 华胥镇 姜湾村 是 道路水毁,3.5M×156M 乡村建 设 华胥镇 张家斜 村 乡村建 设 华胥镇 姜湾村 杨庄村二组1500米;杨庄村三 华胥镇杨庄村生产 组650米,共计2150米道路硬 路硬化项目 化,宽3.5米,厚0.18米 硬化杨庄村村内入户路共计 188米,宽3米厚0.18米其中: 一组,王丁海至杨双民家70米 华胥镇杨庄村入户 ;二组,杨付民至杨赋性家60 425 路硬化项目 米;三组,杨峰伟至杨俊昭28 米; 四组,杨红泼至杨建厂30米 424 426 华胥镇姜湾村路灯 为华胥镇姜湾村一组至九组安 安装项目 装路灯180盏 华胥镇姜湾村三组 427 至四组同组路道路 硬化项目 华胥镇张家斜村二 428 组通村道路修复项 目 429 修复本村1、2、5、7组组内水 华胥镇姜湾村排水 泥排水渠,总长600米,高0.5 渠修复项目 米,宽0.3米 430 吴家寨村人居环境 提升 431 鲍旗寨村人居环境 提升项目 432 张家村人居环境提 升项目 433 焦岱街村道路硬化 434 372户 42户154 1372 人 人 390户 31户100 1379 人 人 人居环境提升,硬化道路共 3280平米。排水渠改造总长度 :5030米。 村庄环境治理,三组污水处理 , 污水渠2030米,检查井61个。 道沿2800米。路灯80盏。 道路硬化1840平方米、休闲广 场两处 五组道路硬化9米*140米; 八组道路硬化5.5米*160米 镇焦岱街村亮化工 设置路灯200盏 程 乡村建 设 吴家寨 村 乡村建 设 一、二 组 乡村建 张家村1设 6组 乡村建 设 乡村建 设 焦岱镇 焦岱街 村 焦岱镇 焦岱街 村 390户 31户100 1379 人 人 是 474户 63户197 1720 人 人 474户 63户197 1720 人 人 839户 60户217 2745 人 人 474户 63户197 1720 人 人 380户 脱贫户 1230 108户 人 346人 313/1 19/60 178 462户 36户132 1790 人 人 32户 32户 /107 /107人 人 813户 66户 /3205 /182人 人 2022 2022 2022 2022 2022 2022 2022 2022 2022 2022 2022 2022 建成280盏太阳 普惠性项 能路灯,方便 目 群众夜间出行 建成后方便群 普惠性项 众出行及农产 目 品运输 建成后方便群 众出行及农产 品运输 建成180盏路灯 ,方便群众夜 间出行 建成后方便群 众出行及农产 品运输 建成后方便群 众出行及农产 品运输 建成后保障群 众住房安全, 方便群众排水 ,有利于污水 收集 方便群众生活 ,改善人居环 境 方便群众生活 ,改善人居环 境 方便群众生活 ,改善人居环 境 方便群众生活 ,改善人居环 境 方便群众生活 ,改善人居环 境 45 45 乡村振 兴局 华胥镇 全环节 新建 125 125 乡村振 兴局 华胥镇 全环节 新建 普惠性项 目 125 125 乡村振 兴局 华胥镇 全环节 新建 普惠性项 目 54 54 乡村振 兴局 华胥镇 全环节 新建 普惠性项 目 70 70 乡村振 兴局 华胥镇 全环节 新建 普惠性项 目 10 10 乡村振 兴局 华胥镇 全环节 修复 普惠性项 目 12 12 乡村振 兴局 华胥镇 全环节 新建 焦岱镇 普惠性 项目 153.08 153.08 乡村振 兴局 焦岱镇 全环节 改建 普惠性 项目 269.8 269.8 乡村振 兴局 焦岱镇 财政拨 新建 款 普惠性 项目 203.16 203.16 乡村振 兴局 焦岱镇 财政拨 新建 款 普惠性 项目 31.03 31.03 乡村振 兴局 焦岱镇 全环节 改建 普惠性 项目 66 66 乡村振 兴局 焦岱镇 全环节 新建 项目类 型 (3) 实施地 点 (4) 在全村范围内设垃圾箱40个, 安放完成后可方便村民倾倒垃 焦岱街垃圾清运项 圾,减少街面垃圾堆放;购买 435 目 2辆垃圾车,用于清运垃圾箱 内垃圾 乡村建 设 焦岱镇 焦岱街 村 中心街道长2.2千米,平均宽 度7.5米,修建柏油路 乡村建 设 序 号 项目名称 (1) 436 焦岱街柏油路铺设 437 438 439 440 441 442 443 444 445 446 447 448 449 450 451 452 453 454 项目建设内容及规模 (2) 更换中心街道路两旁的污水盖 焦岱街污水盖板更 板,总长1千米,共2000个污 换 水盖板需要更换 柳家湾村人居环境 1,2,3,5,6,8,9、10组道路硬 提升项目道路硬化 化9396平方米 项目 柳家湾村人居环境 柳家湾村十个组180盏太阳能 亮化项目 路灯 柳家湾村道路黑化 1,2,3,4组道路黑化11492平方 项目 米 柳家湾村道路绿化 1,2,3,4组道路黑化5232平方 景观提升项目 米 一组、二组、三组、四组村组 水泉村人居环境提 路6米*1400米,四个小组需安 升项目 装路灯130盏。 老虎沟人居环境提 (1)道路硬化,21700平方米 升项目 (2)道路绿化,8857平方米 樊家坡村柏油路铺 柏油路铺设3500平方米 设项目 樊家坡村污水盖板 污水渠2000米铺设盖板 更换项目 三组270米*4米;四组300米*4 荣家沟村人居环境 米;八组480米*4米,六组广 提升项目 场2000平米;九组广场1000平 佘家湾村人居环境 米 人居环境提升项目,排水渠 提升 4000米,路灯200盏 侯家扁村人居环境 其中道路黑化1.5千米、排水 提升项目 渠1.5千米、绿化及配套1.5千 梁扁村人居环境提 米 道路硬化700米太阳能灯150盏 升项目 片区建设 陈家沟村亮 1,2,3,4,5组及进村路 化工程项目 陈家沟村 后坡路、4组河坡路,二组街 道路硬化工程项目 道 陈家沟村 1组2座,4组2座,2组1座 灌溉工程项目 陈家沟村 1组,4组 绿化工程项目 垃圾箱60个、垃圾清运车2辆 焦岱镇垃圾收集清 、垃圾转运场地租赁5亩、电 运项目 瓶车20辆。 乡村建 设 乡村建 设 乡村建 设 乡村建 设 乡村建 设 乡村建 设 产业发 展 乡村建 设 乡村建 设 产业发 展 乡村建 设 乡村建 设 乡村建 设 乡村建 设 乡村建 设 乡村建 设 乡村建 设 乡村建 设 是否 脱贫 村 (5) 焦岱镇 焦岱街 村 焦岱镇 焦岱街 村 焦岱镇 柳家湾 村 焦岱镇 柳家湾 村 焦岱镇 柳家湾 村 焦岱镇 柳家湾 村 焦岱镇 水泉村 其中: 受益 扶持带 户数/ 动脱贫 人数 户户数/ (6) 人数 (7) 813户 66户 /3205 /182人 人 813户 /3205 人 813户 /3205 人 525户 1920 人 686户 2888 人 456户 1653 人 456户 1660 人 318户 1230 人 302户 1212 人 376/1 486 376/1 486 450户 1790 人 507/1 903 573户 2190 人 423户 1836 人 525户 1750 人 525户 1750 人 420户 1320 人 525户 1750 人 6622/ 21703 老虎沟 村 樊家坡 村 樊家坡 村 焦岱镇 荣家沟 村 佘家湾 村 侯家扁 村 1至6组 焦岱镇 陈家沟 村 焦岱镇 陈家沟 村 焦岱镇 陈家沟 村 焦岱镇 陈家沟 村 焦岱镇 项目资金投入 建设 期限 (8) 绩效目标 (9) 利益链接 机制 (10) 2022 方便群众生活 ,改善人居环 境 66户 /182人 2022 66户 /182人 2022 109户 451人 136户 552人 53户199 人 53户199 人 2022 2022 2022 2022 40户135 人 2022 26户94 人 2022 73/295 2022 73/295 2022 31户110 人 2022 69/222 2022 90户 312人 24户96 人 27户 85人 27户 85人 27户 85人 27户 85人 876/301 2 2022 2022 2022 2022 2022 2022 2022 方便群众生活 ,改善人居环 境 方便群众生活 ,改善人居环 境 方便群众生活 ,改善人居环 境 方便群众生活 ,改善人居环 境 方便群众生活 ,改善人居环 境 方便群众生活 ,改善人居环 境 方便群众生活 ,改善人居环 境 方便群众生活 ,改善人居环 境 方便群众生活 ,改善人居环 境 方便群众生活 ,改善人居环 境 方便群众生活 ,改善人居环 境 方便群众生活 ,改善人居环 境 方便群众生活 ,改善人居环 境 方便群众生活 ,改善人居环 境 方便群众生活 ,改善人居环 境 方便群众生活 ,改善人居环 境 方便群众生活 ,改善人居环 境 方便群众生活 ,改善人居环 境 方便群众生活 ,改善人居环 境 行业主 其它资 管部门 金投入 (14) (13) 项目 实施 单位 (15) 财政资 建设 金支持 性质 备注 环节 (17) (16) 合计 (11) 财政衔接 补助资金 (12) 普惠性 项目 36 36 乡村振 兴局 焦岱镇 全环节 新建 普惠性 项目 618.75 618.75 乡村振 兴局 焦岱镇 全环节 改建 普惠性 项目 20 20 乡村振 兴局 焦岱镇 全环节 改建 89.6385 89.6385 焦岱镇 全环节 新建 59.4 59.4 焦岱镇 全环节 新建 430.95 430.95 焦岱镇 全环节 新建 80 80 焦岱镇 全环节 新建 183.1 183.1 焦岱镇 全环节 新建 332.4 332.4 焦岱镇 财政拨 新建 款 230 230 焦岱镇 全环节 新建 45 45 焦岱镇 全环节 新建 142.2 142.2 焦岱镇 全环节 新建 200 200 焦岱镇 全环节 新建 143.5 143.5 焦岱镇 全环节 新建 87 87 焦岱镇 全环节 新建 53.1 49.5 焦岱镇 全环节 新建 110 107.1 焦岱镇 全环节 新建 26 25 焦岱镇 全环节 新建 27 24 焦岱镇 全环节 新建 54.6 54.6 乡村振 兴局 焦岱镇 全环节 新建 104 乡村振 兴局 普惠性 项目 普惠性 项目 普惠性 项目 普惠性 项目 普惠性 项目 普惠性 项目 普惠性 项目 普惠性 项目 普惠性 项目 普惠性 项目 普惠性 项目 普惠性 项目 普惠性 项目 普惠性 项目 普惠性 项目 普惠性 项目 普惠性 项目 乡村振 兴局 乡村振 兴局 乡村振 兴局 乡村振 兴局 乡村振 兴局 乡村振 兴局 乡村振 兴局 乡村振 兴局 乡村振 兴局 乡村振 兴局 乡村振 兴局 乡村振 兴局 乡村振 兴局 乡村振 兴局 乡村振 兴局 乡村振 兴局 厚镇 张岭村亮化工程项 安装路灯400盏,杆高6米, 455 目 20WLED路灯 乡村建 设 张岭村 是 632户 2425 人 115户 458人 2022 方便群众生活 ,改善人居环 境 普惠性项 目 104 厚镇 全环节 新建 序 号 456 457 458 459 460 461 462 463 464 465 466 467 468 项目名称 (1) 项目建设内容及规模 (2) 张岭村道路硬化项 目 张岭村入户路硬化 项目 宋寨村入户路硬化 项目 宋寨村村内路灯亮 化项目 宋寨村广场及水库 亮化提升项目 厚镇村产业路硬化 项目 厚镇村通组路硬化 项目 厚镇村道路亮化项 目 厚镇移民社区亮化 项目 厚镇移民社区排水 渠项目 水洼村道路亮化项 目 清峪村入户路硬化 项目 王咀头村产业路硬 化项目 长1950米,宽3.5米,厚0.18 米 长7780米,宽2.5米,厚0.18 米 长4400米,宽3.5米,厚0.18 米 469 王咀头村亮化项目 王咀头村入户路硬 化项目 边庄村路灯亮化项 471 目 边庄村入户硬化项 472 目 边庄村内道路硬化 473 项目 470 安装路灯140盏 安装路灯100盏 长7800米,宽3.5米,厚0.18 米 长3600米,宽3.5米,厚0.18 米 安装路灯427盏,杆高6米, 20WLED路灯 安装66盏,间隔18米,20WLED 路灯 长155米,宽0.6米,高0.8米 安装100盏,杆高6米,20WLED 路灯 长2190米。宽3米,厚0.18米 长6300米,宽3.5米,厚0.18 安装220盏,杆高6米,20WLED 路灯 长900米,宽3米,厚0.18米 安装350盏,杆高6米,20WLED 路灯 长4200米,宽3.5米,厚0.18 米 长2900米,宽3.5米,厚0.18 米 项目类 型 (3) 乡村建 设 乡村建 设 乡村建 设 乡村建 设 乡村建 设 乡村建 设 乡村建 设 乡村建 设 乡村建 设 乡村建 设 乡村建 设 乡村建 设 乡村建 设 乡村建 设 乡村建 设 乡村建 设 乡村建 设 乡村建 设 实施地 点 (4) 是否 脱贫 村 (5) 张岭村 是 张岭村 是 宋寨村 宋寨村 宋寨村 厚镇村 是 厚镇村 是 厚镇村 是 厚镇移 民社区 厚镇移 民社区 水洼村 清峪村 是 王咀头 村 王咀头 村 王咀头 村 边庄村 边庄村 边庄村 邵寨村 一、二 组 罗圈村 一二三 四五组 474 邵寨村一、二组道 修建硬化道路长600米,宽3.5 路硬化项目 米,厚0.18米 乡村建 设 475 罗圈村道路硬化项 修建道路长2400米,宽3.5米 目 ,厚0.18米 乡村建 设 476 通村路硬化长1900米4.5米厚 清凉寺村通村路及 0.18米;砂石生产路长7150米 生产路硬化项目 ,宽3.5米,厚0.16米 乡村建 设 清凉寺 村 477 徐军寨村产业路硬 修建硬化长5000米,宽3.5米 化项目 ,厚0.18米 乡村建 设 徐军寨 村 478 石头滩村新建便民 建便民桥一座 桥项目 乡村建 设 石头滩 村 是 其中: 受益 扶持带 户数/ 动脱贫 人数 户户数/ (6) 人数 (7) 632户 115户 2425 458人 人 132户 36户60 242人 人 330户 60户210 人 1300 人 71户286 425户 人 1682 人 71户286 425户 人 1682 人 843户 107户 3316 390人 843户 107户 3316 390人 843户 107户 3316 390人 56户 56户188 188人 人 56户 56户188 188人 人 305户 42户148 人 1226 人 42户130 552户 2040 人 320户 32户108 人 1331 人 32户108 320户 人 1331 人 32户108 320户 人 1331 人 44户181 420户 人 1600 人 22户961 160户 420人 人 420户 44户181 人 1600 人 103户 42户 /545 /183人 人 480户 44户131 1860 人 人 325户 42户139 1300 人 人 284户 101户 1115 386人 人 378户 101户 /1471 379人 人 项目资金投入 建设 期限 (8) 2022 2022 2022 2022 2022 2022 2022 2022 2022 2022 2022 2022 2022 2022 2022 2022 2022 2022 绩效目标 (9) 方便群众生活 ,改善人居环 境 方便群众生活 ,改善人居环 境 方便群众生活 ,改善人居环 境 方便群众生活 ,改善人居环 境 方便群众生活 ,改善人居环 境 方便群众生活 ,改善人居环 境 方便群众生活 ,改善人居环 境 方便群众生活 ,改善人居环 境 方便群众生活 ,改善人居环 境 方便群众生活 ,改善人居环 境 方便群众生活 ,改善人居环 境 方便群众生活 ,改善人居环 境 方便群众生活 ,改善人居环 境 方便群众生活 ,改善人居环 境 方便群众生活 ,改善人居环 境 方便群众生活 ,改善人居环 境 方便群众生活 ,改善人居环 境 方便群众生活 ,改善人居环 境 利益链接 机制 (10) 普惠性项 目 普惠性项 目 普惠性项 目 普惠性项 目 普惠性项 目 普惠性项 目 普惠性项 目 普惠性项 目 普惠性项 目 普惠性项 目 普惠性项 目 普惠性项 目 普惠性项 目 普惠性项 目 普惠性项 目 普惠性项 目 普惠性项 目 普惠性项 目 合计 (11) 财政衔接 补助资金 (12) 136.5 136.5 389 389 231 231 42 42 60 60 438.155 438.155 215.51 215.51 110.885 110.885 17.13 17.13 8.746 8.746 30 30 197.4 197.4 310.196 310.196 141 141 95.591 95.591 151 151 265.8395 265.8395 192 192 行业主 其它资 管部门 金投入 (14) (13) 乡村振 兴局 乡村振 兴局 乡村振 兴局 乡村振 兴局 乡村振 兴局 乡村振 兴局 乡村振 兴局 乡村振 兴局 乡村振 兴局 乡村振 兴局 乡村振 兴局 乡村振 兴局 乡村振 兴局 乡村振 兴局 乡村振 兴局 乡村振 兴局 乡村振 兴局 乡村振 兴局 项目 实施 单位 (15) 财政资 建设 金支持 性质 备注 环节 (17) (16) 厚镇 全环节 新建 厚镇 全环节 新建 厚镇 全环节 新建 厚镇 全环境 新建 厚镇 全环境 新建 厚镇 全环境 新建 厚镇 全环境 新建 厚镇 全环境 新建 厚镇 全环境 新建 厚镇 全环境 新建 厚镇 全环境 新建 厚镇 全环境 新建 厚镇 全环境 新建 厚镇 全环境 新建 厚镇 全环境 新建 厚镇 全环境 新建 厚镇 全环境 新建 厚镇 全环境 新建 普化镇 2022 方便群众生产 普惠性项 生活需求,群 目 众满意度达98% 33.6 33.6 乡村振 兴局 普化镇 全环节 新建 2022 群众满意度达 99% 普惠性项 目 130 130 乡村振 兴局 普化镇 全环节 新建 2022 方便生产生活 普惠性项 目 345.55 345.55 乡村振 兴局 普化镇 全环节 新建 2022 方便群众生产 普惠性项 生活需求,群 目 众满意度达99% 244.91 244.91 乡村振 兴局 普化镇 全环节 新建 2022 方便群众出行 普惠性项 目 31.031 31.031 乡村振 兴局 普化镇 全环节 新建 序 号 479 480 481 482 483 484 485 486 487 488 489 项目名称 (1) 项目建设内容及规模 (2) 韩门寨村河灞路硬 化项目 韩门寨村平梁路硬 化项目 民李村乡村振兴宜 居环境产业路硬化 项目 民李村焦庄路硬化 项目 穆家坡村亮化工程 项目 全岭村一组生产路 硬化项目 全岭村二组生产路 硬化项目 全岭村三组生产路 硬化项目 胭粉台村内道路硬 化 胭粉台村污水渠水 泥硬化 楸树庙村产业路砂 化项目 新建硬化路长500米宽4米厚 0.18米 新建2组平梁路长1000米宽4米 厚0.18米 修建二组新场到羊角沟吴家到 田家长度1200米,宽4米,厚 0.18米 长1000米,宽3.5米,厚0.18 米 安装太阳能路灯150盏 长400米,宽3.5米,厚0.18米 长2400米,宽3.5米,厚0.18 米 长1500米,宽3.5米,厚0.18 米 长度2000米,宽4米,厚0.18 米 3000米水渠硬化 长2176米宽3.5米砂化路 项目类 型 (3) 实施地 点 (4) 乡村建 设 乡村建 设 韩门寨 村一组 韩门寨 村二组 乡村建 设 民李村 二组 乡村建 设 乡村建 设 乡村建 设 乡村建 设 乡村建 设 乡村建 设 乡村建 设 乡村建 设 民李村 三组 穆家坡 村 全岭村 一组 全岭村 二组 全岭村 三组 胭粉台 村 胭粉台 村 楸树庙 村 是否 脱贫 村 (5) 是 是 是 其中: 受益 扶持带 户数/ 动脱贫 人数 户户数/ (6) 人数 (7) 129户 23户71 482人 人 228户 39户112 812人 人 148户 45户187 535人 人 92户 353人 405户 1532 人 129户 482人 60户 453人 80户 485人 392户 1720 人 392户 1721 人 649户 2900 人 36户127 人 113户 411人 13户51 人 6户31人 10户42 人 78户293 人 78户294 人 140户 525人 项目资金投入 建设 期限 (8) 绩效目标 (9) 2022 方便群众出行 2022 方便群众出行 2022 群众满意度达 90% 普惠性项 目 群众满意度达 90% 方便群众生产 生活 群众满意度达 98% 群众满意度达 98% 群众满意度达 98% 群众满意度达 98% 解决村内流水 问题 为产业发展提 供便利 普惠性项 目 普惠性项 目 普惠性项 目 普惠性项 目 普惠性项 目 普惠性项 目 普惠性项 目 发展集体 经济 2022 2022 2022 2022 2022 2022 2022 2022 乡村建 设 安村镇 府庄村 160 2/9 2022 491 安村镇巨西村道路 长3.5公里、宽3.5米、厚15公 硬化工程 分 乡村建 设 安村镇 巨西村 310 1/29 2022 492 安村镇上白村基础 长3.5公里、宽3.5米、厚15公 实施道路硬化 分 乡村建 设 安村镇 上白村 495 2/5 2022 493 安村镇安村村道路 长3.18公里、宽3.5米、厚 硬化项目 0.18米 乡村建 设 安村镇 安村村 86 1/15 2022 494 安村镇寇坡村道路 寇坡二组、四组长0.9公里、 硬化项目 宽4米、厚0.18米 乡村建 设 安村镇 寇坡村 170 2/9 2022 乡村建 设 安村镇 杨刘坡 村 163 1/15 2022 乡村建 设 安村镇 腰道村 549 2/22 2022 乡村建 设 乡村建 设 安村镇 巨西村 安村镇 宋咀村 310/1 29/86 200 516/1 70/252 986 一组、三组村内道路硬化共计 安村镇杨刘坡村道 1.1公里,宽3.5米,厚0.18米 路硬化项目 。 三组至六祖同组路1.4公里、 安村镇腰道村道路 五组至王高头通村路1.4公里 496 、五组村内李平顺至李丁虎门 硬化项目 前,闫春堂至卫立田门前1公 里。 对全村8500米道路进行亮化, 497 巨西村亮化工程 每30米安装太阳能路灯一盏 宋咀村太阳能路灯 498 安装太阳能路灯260盏 安装工程 普惠性项 目 普惠性项 目 合计 (11) 财政衔接 补助资金 (12) 25.61 25.61 50.77 50.77 67.2 67.2 56 56 45 45 25.2 25.2 151.2 151.2 94.5 94.5 82 82 20 20 48 48 行业主 其它资 管部门 金投入 (14) (13) 乡村振 兴局 乡村振 兴局 乡村振 兴局 乡村振 兴局 乡村振 兴局 乡村振 兴局 乡村振 兴局 乡村振 兴局 乡村振 兴局 乡村振 兴局 乡村振 兴局 项目 实施 单位 (15) 财政资 建设 金支持 性质 备注 环节 (17) (16) 普化镇 全环节 新建 普化镇 全环节 新建 普化镇 全环节 新建 普化镇 全环节 新建 普化镇 全环节 新建 普化镇 全环节 新建 普化镇 全环节 新建 普化镇 全环节 新建 普化镇 全环节 新建 普化镇 全环节 新建 普化镇 全环节 新建 安村镇 建设水渠深度60公分、宽60公 安村镇府庄村水渠 分,底部硬化10公分,长3.5 490 硬化 公里 495 利益链接 机制 (10) 经济收益五万 元每年,收益 群众达到160余 户。 村及周边4个集 体经济组织收 益,提高群众 满意度。 受益群众多达 200余户,提高 群众满意度。 受益群众达86 余户,提升群 众满意度。 受益群众达170 户,提升群众 满意度。 受益群众达163 户,提高群众 满意度。 32 32 乡村振 兴局 安村镇 全环节 新建 209 209 乡村振 兴局 安村镇 全环节 新建 187 187 乡村振 兴局 安村镇 全环节 新建 152.64 152.64 乡村振 兴局 安村镇 全环节 新建 55.8 55.8 乡村振 兴局 安村镇 全环节 新建 66 66 乡村振 兴局 安村镇 全环节 新建 受益群众达280 户,提高群众 满意度 180 180 乡村振 兴局 安村镇 全环节 新建 2022 方便群众出行 96 96 安村镇 全环节 新建 2022 方便群众出行 91 91 安村镇 全环节 新建 乡村振 兴局 乡村振 兴局 三里镇 序 号 项目名称 (1) 项目建设内容及规模 (2) 项目类 型 (3) 499 北小寨村产业路项 长2000米,宽4米,厚0.18米 目 C30产业路面硬化 乡村建 设 500 李后村村道路硬化 长950米,宽4米,厚0.18米 项目 C30村路面硬化 乡村建 设 501 陶沟村路面硬化项 长500米,宽4米,厚0.18米 目 C30村路面硬化 乡村建 设 502 杨村村组路硬化项 长2600米,宽3米,厚0.18米 目 C30村路面硬化 乡村建 设 503 杨村产业路硬化项 长5700米,宽4米,厚0.18米 目 C30产业路面硬化 乡村建 设 504 五里头村道路硬化 长1800米,宽3米,厚0.18米 项目 C30村路面硬化 乡村建 设 505 南王村产业路硬化 长5400米,宽4米,厚0.18米 项目 C30产业路面硬化 乡村建 设 杨坡头村村路硬化 项目 贾沟村硬化村组路 507 项目 506 长1800米,宽3米,厚0.18米 C30产业路面硬化 长11000米,宽3米,厚0.18米 C30产业路面硬化 乡村建 设 乡村建 设 508 马河村硬化村组路 长470米,宽4米,厚0.18米 项目 C30产业路面硬化 乡村建 设 509 三里头村硬化村组 长1000米,宽4米,厚0.18米 路项目 C30村路面硬化 乡村建 设 魏家沟硬化生产路 项目 秦家寨村组路硬化 项目 秦家寨村产业路硬 化项目 桂张村硬化产业路 项目 桂张村硬化村组路 项目 乡村建 设 乡村建 设 乡村建 设 乡村建 设 乡村建 设 510 511 512 513 514 515 白羊寨村硬化村内 路项目 白羊寨村硬化村内 路项目 席家河村硬化村内 517 路项目 马河村村组道路硬 518 化项目 516 长1900米,宽4米,厚0.18米 C30村路面硬化 长5000米,宽3.5米,厚0.18 米C30路面 长6300米,宽4米,厚0.18米 C30村路面硬化 长1300米,宽4.5米,厚0.18 米C30路面 长1500米,宽3.5米,厚0.18 米C30路面 主干路通片区办公场所道路 1000米,宽4米,厚0.18米C30 硬化 四组受损路500米,宽3.5米, 厚0.18米C30硬化 四个组硬化村内道路5000米, 宽4米,厚0.18米C30硬化 长150米,宽4米,厚0.18米 C30硬化 实施地 点 (4) 三里镇 北小寨 村一、 二、三 组 三里镇 李后村 一、二 、三、 五、七 三里镇 组 陶沟村 二组 三里镇 杨村一 至六组 三里镇 杨村 三里镇 五里头 村一至 三组 三里镇 南王村 一至十 四组 三里镇 杨坡头 村 三里镇 贾沟村 三里镇 马河村 一、三 、四、 五组 三里头 村五、 六、七 、八、 九组 三里镇 魏家沟 村 秦家寨 村 秦家寨 村 是否 脱贫 村 (5) 是 是 是 桂张村 白羊寨 村 基础设 施 基础设 施 基础设 施 白羊寨 村 席家河 村 马河村 否 否 否 否 项目资金投入 建设 期限 (8) 绩效目标 (9) 利益链接 机制 (10) 2022 完善村级交通 ,方便群众出 行 完善村级交通 ,方便群众出 行 80/32 4 15/51 2022 92/35 8 21/73 2022 245/9 57/221 23 2022 245/9 57/221 23 2022 400/1 77/322 050 2022 732/2 273/105 622 4 2022 392/1 34/103 360 708/2 100/333 350 桂张村 基础设 施 其中: 受益 扶持带 户数/ 动脱贫 人数 户户数/ (6) 人数 (7) 204/7 121/533 20 2022 2022 372/1 382 22/88 2022 276/1 100 23/86 2022 474/1 34/103 803 616/2 210/787 042 616/2 210/788 043 365/1 31/92 365 365/1 31/92 365 441/1 402 441/1 402 501/1 818 372/1 382 2022 2022 2022 2022 2022 20/58 90天 20/58 90天 28/93 90天 22/88 90天 行业主 其它资 管部门 金投入 (14) (13) 项目 实施 单位 (15) 财政资 建设 金支持 性质 备注 环节 (17) (16) 合计 (11) 财政衔接 补助资金 (12) 方便群众 生产 160 160 乡村振 兴局 三里镇 全环节 新建 方便80户 村民出行 60 60 乡村振 兴局 三里镇 全环节 新建 30 30 乡村振 兴局 三里镇 全环节 新建 100 100 乡村振 兴局 三里镇 全环节 新建 300 300 乡村振 兴局 三里镇 全环节 新建 358 358 乡村振 兴局 三里镇 全环节 新建 250 250 乡村振 兴局 三里镇 全环节 新建 35 35 三里镇 全环节 新建 350 350 三里镇 全环节 新建 36 36 乡村振 兴局 三里镇 全环节 新建 66 66 乡村振 兴局 三里镇 全环节 新建 106 106 三里镇 全环节 新建 294 294 三里镇 全环节 新建 470 470 三里镇 全环节 新建 60 60 三里镇 全环节 新建 50 50 三里镇 全环节 新建 70 70 三里镇 全环节 新建 30 30 三里镇 全环节 新建 250 250 三里镇 全环节 新建 5 5 三里镇 全环节 新建 完善村级交通 ,方便群众出 行 完善村级交通 ,方便群众出 行 完善村级交通 ,方便群众出 行 完善村级交通 ,方便群众出 行 完善村级交通 ,方便群众出 行 完善村级交通 ,方便群众出 行 完善村级交通 ,方便群众出 行 完善村级交通 ,方便群众出 行 方便92户 村民出行 方便245 户村民出 行 方便群众 生产 方便400 户村民出 行 完善村级交通 ,方便群众出 行 方便276 户村民出 行 完善村级交通 ,方便群众出 行 完善村级交通 ,方便群众出 行 完善村级交通 ,方便群众出 行 完善村级交通 ,方便群众出 行 完善村级交通 ,方便群众出 行 完善村级交通 ,方便群众出 行 完善村级交通 ,方便群众出 行 完善村级交通 ,方便群众出 行 完善村级交通 ,方便群众出 行 方便群众 生产 方便村民 出行 方便群众 生产 方便村民 出行 方便村民 出行 方便群众 生产 方便392 户村民出 行 方便708 户村民出 行 方便372 户村民出 行 方便村民 出行 方便村民 出行 方便村民 出行 方便村民 出行 乡村振 兴局 乡村振 兴局 乡村振 兴局 乡村振 兴局 乡村振 兴局 乡村振 兴局 乡村振 兴局 乡村振 兴局 乡村振 兴局 乡村振 兴局 乡村振 兴局 序 号 项目名称 (1) 项目建设内容及规模 (2) 二组长300米,宽3米,厚0.18 米C30硬化 长2000米,宽3.5米,厚0.18 520 米C30硬化 长1800米,宽3.5米,厚0.18 521 米C30硬化 长3900米,宽3.5米,厚0.18 522 米C30硬化 八组产业路4000米,宽3.5米 523 ,厚0.18米C30硬化 二组、三组、六组、十二组村 贾沟村村组道路硬 内路1000米,宽3.5米,厚 524 化项目 0.18米C30硬化 519 新庄村村组道路硬 化项目 魏家沟村产业路硬 化项目 陶沟村产业路硬化 项目 樊家村产业路硬化 项目 乔村产业路硬化项 目 项目类 型 (3) 基础设 施 基础设 施 基础设 施 基础设 施 基础设 施 基础设 施 其中: 受益 扶持带 户数/ 动脱贫 人数 户户数/ (6) 人数 (7) 443/1 32/106 561 439/1 43/161 726 人 92/35 21/73 8 420/1 258/992 520 586/2 123/473 154 实施地 点 (4) 是否 脱贫 村 (5) 新庄村 否 魏家沟 村 否 陶沟村 否 樊家村 是 乔村 否 贾沟村 否 708/2 100/333 350 玉山镇 许庙村 玉山镇 车贺村 玉山镇 杨寨村 玉山镇 峒峪村 玉山镇 峒峪村 是 890/3 715 670/2 700 379/1 537 976/4 358 976/4 358 玉山镇 上陈村 是 玉山镇 刘寨村 是 项目资金投入 建设 期限 (8) 90天 90天 90天 90天 90天 90天 绩效目标 (9) 利益链接 机制 (10) 完善村级交通 ,方便群众出 行 完善村级交通 ,方便群众出 行 完善村级交通 ,方便群众出 行 完善村级交通 ,方便群众出 行 完善村级交通 ,方便群众出 行 完善村级交通 ,方便群众出 行 方便村民 出行 方便村民 出行 方便村民 出行 方便村民 出行 方便村民 出行 完善村级交通 ,方便群众出 行 完善村级交通 ,方便群众出 行 完善村级交通 ,方便群众出 行 完善村级交通 ,方便群众出 行 完善村级交通 ,方便群众出 行 完善村级交通 ,方便群众出 行 完善村级交通 ,方便群众出 行 普惠性项 目 普惠性项 目 普惠性项 目 普惠性项 目 普惠性项 目 方便村民 出行 合计 (11) 财政衔接 补助资金 (12) 10 10 90 90 70 70 218.4 218.4 220 200 96 96 行业主 其它资 管部门 金投入 (14) (13) 乡村振 兴局 乡村振 兴局 乡村振 兴局 乡村振 兴局 乡村振 兴局 乡村振 兴局 项目 实施 单位 (15) 财政资 建设 金支持 性质 备注 环节 (17) (16) 三里镇 全环节 新建 三里镇 全环节 扩建 三里镇 全环节 新建 三里镇 全环节 新建 三里镇 全环节 新建 三里镇 全环节 新建 玉山镇 玉山镇许庙村产业 路硬化 玉山镇车贺村道路 硬化 玉山镇杨寨村主干 路拓宽项目 玉山镇峒峪村道路 硬化 玉山镇峒峪村广场 硬化 乡村建 525 设 乡村建 526 设 乡村建 527 拓宽2米,共6000平米c30硬化 设 长2000米,宽4.5米,厚0.18 乡村建 528 米c30硬化 设 乡村建 529 广场硬化2000平米,厚0.18米 设 长6公里,宽4米,车辆交汇错 玉山镇上陈村朱前 乡村建 530 车处8处,对原水泥路进行黑 路道路黑化工程 设 化覆盖,坡道护坡,排水及 6.8公里的道路护沿 玉山镇刘寨村道路 长600米,宽3米,厚0.18米 乡村建 531 硬化 c30硬化 设 532 533 534 535 长2270米,宽3米,厚0.18米 c30硬化 长1200米,宽4.5米,厚0.18 米c30硬化 金坪村(原泘沱村 道路硬化2千米、3.5米宽、 乡村建 )道路硬化项目 0.18米厚 设 葛牌村路灯建设项 乡村建 新建路灯85盏 目 设 白家村河堤修复项 1-15组河堤10处,1030米、厚 乡村建 目 0.61米、高2米; 设 米岱河村河堤修复 长1000米、厚0.8米、高2.5米 乡村建 项目 ,共2000立方米 设 是 是 金坪村 是 葛牌村 是 白家村 是 米岱河 是 133/472 2022 101/380 2022 75/257 2022 125/489 2022 125/489 2022 476/1 109/448 970 2022 375户 88户324 人 1467 人 120/3 26/67 42 210/5 91/254 26 420/1 85/300 560 437/1 84/256 506 2022 2022 普惠性项目 2022 普惠性项目 2022 普惠性项目 2022 普惠性项目 135 135 108 108 120 120 135 135 30 30 普惠性项 目 870.4 870.4 普惠性项 目 36 36 乡村振 兴局 乡村振 兴局 乡村振 兴局 乡村振 兴局 乡村振 兴局 玉山镇 全环节 新建 玉山镇 全环节 新建 玉山镇 全环节 扩建 玉山镇 全环节 新建 玉山镇 全环节 新建 乡村振 兴局 玉山镇 全环节 新建 乡村振 兴局 玉山镇 全环节 新建 葛牌镇 普惠性项 目 普惠性项 目 普惠性项 目 普惠性项 目 70 70 34 34 138.9 138.9 100 100 乡村振 兴局 乡村振 兴局 乡村振 兴局 乡村振 兴局 葛牌镇 全环节 改建 葛牌镇 全环节 新建 葛牌镇 全环节 新建 葛牌镇 全环节 新建 汤峪镇 536 骆驼岭村水毁路修 修复水毁路基400立方,清理 复 淤泥54000立方米 537 张坡生产道路硬化 道路硬化7040平方米 基础设 施 汤峪镇 骆驼岭 村 否 937人 172人 2022 基础设 施 汤峪镇 张坡村 否 291户 24户62 1066 人 人 2022 改善群众生产 生活条件,巩 固脱贫成果 改善群众生产 生活条件,巩 固脱贫成果 非排他普 惠性 138.6 138.6 乡村振 兴局 汤峪镇 全环节 公益 性 非排他普 惠性 126.72 126.72 乡村振 兴局 汤峪镇 全环节 公益 性

蓝田县2022年巩固拓展脱贫攻坚成果和乡村振兴项目库明细表.xlsx




