惠州卫生职业技术学院 2019年高职扩招基层卫生人才和退役军人招生考试成绩.pdf
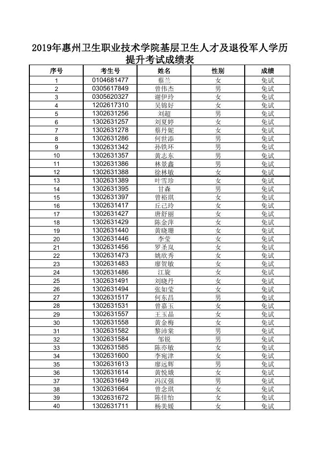
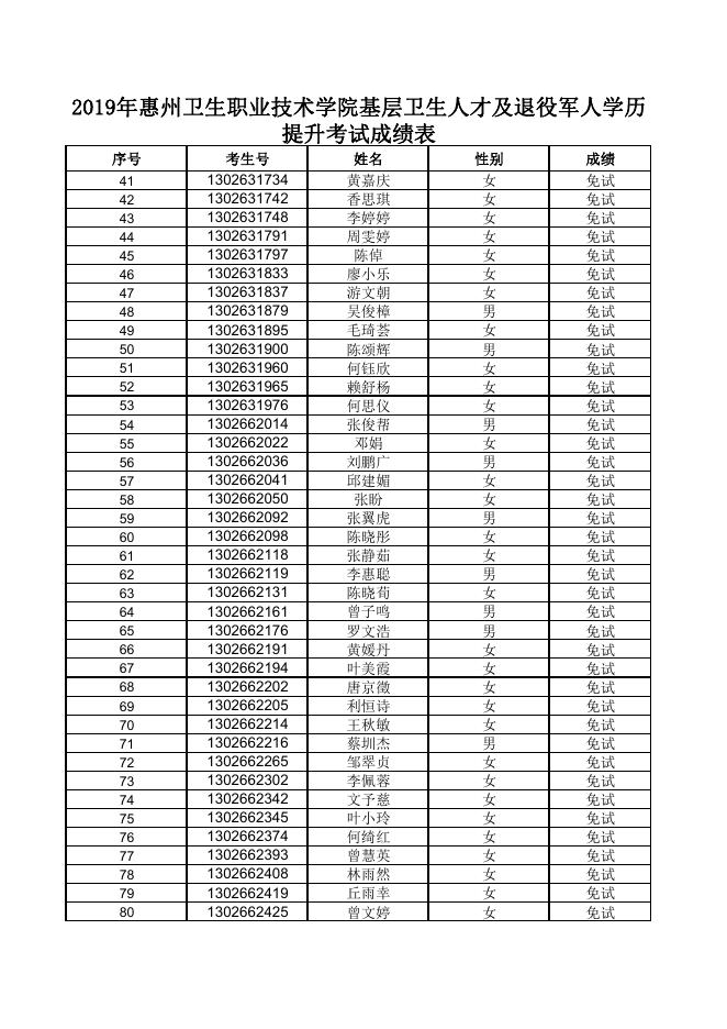
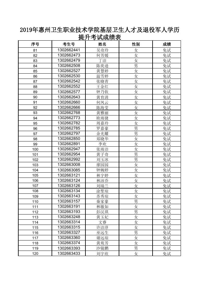
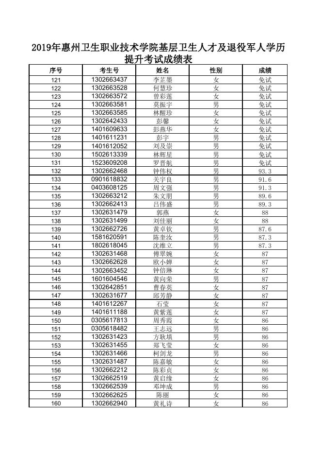
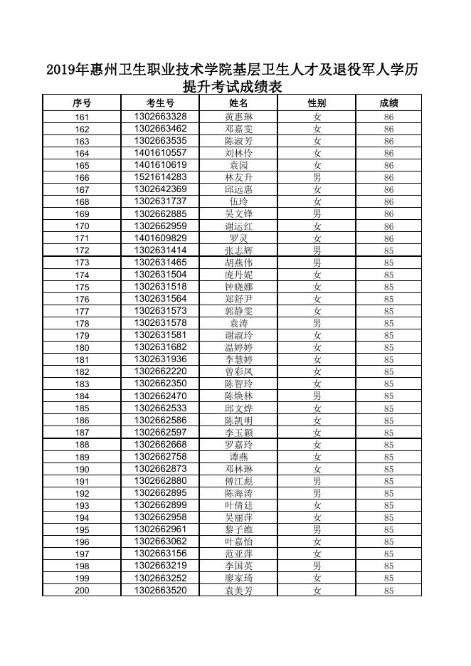
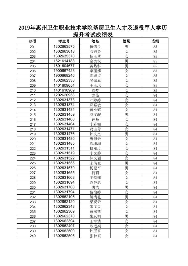
2019年惠州卫生职业技术学院基层卫生人才及退役军人学历 提升考试成绩表 序号 1 2 3 4 5 6 7 8 9 10 11 12 13 14 15 16 17 18 19 20 21 22 23 24 25 26 27 28 29 30 31 32 33 34 35 36 37 38 39 40 考生号 0104681477 0305617849 0305620327 1202617310 1302631256 1302631257 1302631278 1302631286 1302631342 1302631357 1302631386 1302631388 1302631389 1302631395 1302631397 1302631417 1302631427 1302631429 1302631440 1302631446 1302631456 1302631473 1302631483 1302631486 1302631491 1302631494 1302631517 1302631531 1302631557 1302631558 1302631582 1302631584 1302631585 1302631600 1302631613 1302631614 1302631649 1302631664 1302631672 1302631711 姓名 蔡兰 曾伟杰 谢伊玲 吴锦好 刘超 刘夏婷 蔡丹妮 何世添 孙铁环 黄志东 林景鑫 徐林敏 叶雪珍 甘森 曾裕琪 丘己玲 唐舒丽 陈金萍 黄晓珊 李莹 罗圣岚 姚欣秀 廖贺敏 江旋 刘晓丹 张如莹 何东昌 曾嘉玉 王玉晶 黄金梅 黎沛棠 邹锐 陈亦敏 李宛津 廖远辉 黄悦娥 冯汉强 曾念琪 陈佳怡 杨美媛 性别 女 男 女 女 男 女 女 男 男 男 男 女 女 男 女 女 女 女 女 女 女 女 女 女 女 女 男 女 女 女 男 男 女 女 男 女 男 女 女 女 成绩 免试 免试 免试 免试 免试 免试 免试 免试 免试 免试 免试 免试 免试 免试 免试 免试 免试 免试 免试 免试 免试 免试 免试 免试 免试 免试 免试 免试 免试 免试 免试 免试 免试 免试 免试 免试 免试 免试 免试 免试 2019年惠州卫生职业技术学院基层卫生人才及退役军人学历 提升考试成绩表 序号 41 42 43 44 45 46 47 48 49 50 51 52 53 54 55 56 57 58 59 60 61 62 63 64 65 66 67 68 69 70 71 72 73 74 75 76 77 78 79 80 考生号 1302631734 1302631742 1302631748 1302631791 1302631797 1302631833 1302631837 1302631879 1302631895 1302631900 1302631960 1302631965 1302631976 1302662014 1302662022 1302662036 1302662041 1302662050 1302662092 1302662098 1302662118 1302662119 1302662131 1302662161 1302662176 1302662191 1302662194 1302662202 1302662205 1302662214 1302662216 1302662265 1302662302 1302662342 1302662345 1302662374 1302662393 1302662408 1302662419 1302662425 姓名 黄嘉庆 香思琪 李婷婷 周雯婷 陈倬 廖小乐 游文朝 吴俊樟 毛琦荟 陈颂辉 何钰欣 赖舒杨 何思仪 张俊帮 邓娟 刘鹏广 邱建媚 张盼 张翼虎 陈晓彤 张静茹 李惠聪 陈晓荀 曾子鸣 罗文浩 黄媛丹 叶美霞 唐京徵 利恒诗 王秋敏 蔡圳杰 邹翠贞 李佩蓉 文予慈 叶小玲 何绮红 曾慧英 林雨然 丘雨幸 曾文婷 性别 女 女 女 女 女 女 女 男 女 男 女 女 女 男 女 男 女 女 男 女 女 男 女 男 男 女 女 女 女 女 男 女 女 女 女 女 女 女 女 女 成绩 免试 免试 免试 免试 免试 免试 免试 免试 免试 免试 免试 免试 免试 免试 免试 免试 免试 免试 免试 免试 免试 免试 免试 免试 免试 免试 免试 免试 免试 免试 免试 免试 免试 免试 免试 免试 免试 免试 免试 免试 2019年惠州卫生职业技术学院基层卫生人才及退役军人学历 提升考试成绩表 序号 81 82 83 84 85 86 87 88 89 90 91 92 93 94 95 96 97 98 99 100 101 102 103 104 105 106 107 108 109 110 111 112 113 114 115 116 117 118 119 120 考生号 1302662441 1302662473 1302662479 1302662508 1302662527 1302662530 1302662542 1302662552 1302662577 1302662643 1302662660 1302662666 1302662768 1302662773 1302662782 1302662785 1302662797 1302662850 1302662891 1302662947 1302662954 1302662992 1302663008 1302663085 1302663121 1302663124 1302663126 1302663134 1302663143 1302663157 1302663191 1302663193 1302663248 1302663314 1302663315 1302663327 1302663360 1302663374 1302663393 1302663433 姓名 吴奇玲 何芳媛 丁洁 陈奕逵 黄慧婷 温雪婷 张晓青 王金红 钟乃钦 黄育清 何凤云 陈海莹 黄雅丽 欧雨捷 周嘉玲 罗嘉豪 余光耀 郑晓华 李欢 张雨洁 黄子奇 刘玉冰 廖园园 钟婉婷 林宇婷 林沛乔 刘瑞兰 涂聖琼 苏秀琼 秦家豪 林敏如 彭汉琪 黄玉妃 文睿 许洁淳 巫远生 谢远琼 黄苑芳 沙镜鹏 刘宇欣 性别 女 女 女 男 女 女 女 女 女 女 女 女 女 女 女 男 男 女 女 女 男 男 女 女 女 女 女 女 女 男 女 男 女 女 女 男 女 女 男 女 成绩 免试 免试 免试 免试 免试 免试 免试 免试 免试 免试 免试 免试 免试 免试 免试 免试 免试 免试 免试 免试 免试 免试 免试 免试 免试 免试 免试 免试 免试 免试 免试 免试 免试 免试 免试 免试 免试 免试 免试 免试 2019年惠州卫生职业技术学院基层卫生人才及退役军人学历 提升考试成绩表 序号 121 122 123 124 125 126 127 128 129 130 131 132 133 134 135 136 137 138 139 140 141 142 143 144 145 146 147 148 149 150 151 152 153 154 155 156 157 158 159 160 考生号 1302663437 1302663528 1302663572 1302663581 1302663585 1302642433 1401609633 1401611231 1401612052 1502613339 1523609208 1302662468 0901618832 0403608125 1302663212 1302662413 1302631479 1302631499 1302662726 1581620591 1802618045 1302631468 1302662628 1302663452 1601604546 1302642851 1302631677 1401612267 1401611188 0305617813 0305618482 1302631423 1302631455 1302631466 1302631487 1302662212 1302662519 1302662539 1302662625 1302662940 姓名 李芷墨 何慧珍 曾彩莲 莫振宇 林醒珍 彭馨 彭燕华 彭宇 刘及崇 林辉星 罗晋航 钟伟权 关宇良 周文强 朱文朋 吕伟盛 郭燕 刘佳丽 黄卓钦 陈奎汝 沈维立 傅翠婉 欧小婵 钟倍琳 黄向荣 曹春英 邱芳静 石莹 黄紫莲 周秀霞 王志远 方耿填 郑飞莹 柯剑龙 陈嘉敏 陈彩贞 黄启缘 邓坤成 陈丽 黄礼诗 性别 女 女 女 男 女 女 女 男 男 男 男 男 男 男 男 男 女 女 男 男 男 女 女 女 男 女 女 女 女 女 男 男 女 男 女 女 女 男 女 女 成绩 免试 免试 免试 免试 免试 免试 免试 免试 免试 免试 免试 93.3 91.6 91.3 89.6 89.3 88 88 87.6 87.3 87.3 87 87 87 87 87 87 87 87 86 86 86 86 86 86 86 86 86 86 86 2019年惠州卫生职业技术学院基层卫生人才及退役军人学历 提升考试成绩表 序号 161 162 163 164 165 166 167 168 169 170 171 172 173 174 175 176 177 178 179 180 181 182 183 184 185 186 187 188 189 190 191 192 193 194 195 196 197 198 199 200 考生号 1302663328 1302663462 1302663535 1401610557 1401610619 1521614283 1302642369 1302631737 1302662885 1302662959 1401609829 1302631414 1302631465 1302631504 1302631518 1302631564 1302631573 1302631578 1302631581 1302631682 1302631936 1302662220 1302662350 1302662470 1302662533 1302662586 1302662597 1302662668 1302662758 1302662873 1302662880 1302662895 1302662899 1302662958 1302662961 1302663062 1302663156 1302663219 1302663252 1302663520 姓名 黄惠琳 邓嘉雯 陈淑芳 刘林伶 袁园 林友升 邱远惠 伍玲 吴文锋 谢运红 罗灵 张志辉 胡燕伟 庞丹妮 钟晓娜 郑舒尹 郭静雯 袁涛 谢淑玲 温婷婷 李慧婷 曾彩凤 陈智玲 陈焕林 邱文烨 陈凯明 李玉颖 罗嘉玲 谭燕 邓林琳 傅江彪 陈海涛 叶倩廷 吴丽萍 黎子维 叶嘉怡 范亚萍 李国英 廖家琦 袁美芳 性别 女 女 女 女 女 男 女 女 男 女 女 男 男 女 女 女 女 男 女 女 女 女 女 男 女 女 女 女 女 女 男 男 女 女 男 女 女 男 女 女 成绩 86 86 86 86 86 86 86 86 86 86 86 85 85 85 85 85 85 85 85 85 85 85 85 85 85 85 85 85 85 85 85 85 85 85 85 85 85 85 85 85 2019年惠州卫生职业技术学院基层卫生人才及退役军人学历 提升考试成绩表 序号 201 202 203 204 205 206 207 208 209 210 211 212 213 214 215 216 217 218 219 220 221 222 223 224 225 226 227 228 229 230 231 232 233 234 235 236 237 238 239 240 考生号 1302663575 1302663618 1302635378 1521614183 1601604677 1900667423 1900668246 1302662333 1401609654 1401610969 1202620956 1302631373 1302631374 1302631434 1302631459 1302631460 1302631464 1302631471 1302631476 1302631480 1302631485 1302631511 1302631519 1302631522 1302631555 1302631579 1302631655 1302631663 1302631694 1302631708 1302631794 1302662105 1302662120 1302662343 1302662369 1302662370 1302662394 1302662497 1302662500 1302662505 姓名 伍锷良 邓秀芬 杨玉翠 余奕权 黄热科 李丽娜 陈淑贞 吴佩真 王玉琪 袁梦 龙薇 叶婷婷 邓嘉敏 黄小辉 骆文骏 钟易 李彩媚 冯宙芳 钟文杰 唐彩云 涂珊珊 柳丽珍 李文静 林文丽 宋芮豪 杨聪平 何莉 王韵瑶 袁静蓉 唐浩 黎怡婷 解清礼 梁观云 朱飞灵 黄柳燕 朱跃桐 王海清 欧远娴 钟玉亭 张梦真 性别 男 女 女 男 男 女 女 女 女 女 女 女 女 女 男 女 女 女 男 女 女 女 女 女 男 男 女 女 女 男 女 男 女 女 女 男 女 女 女 女 成绩 85 85 85 85 85 85 85 85 85 85 84 84 84 84 84 84 84 84 84 84 84 84 84 84 84 84 84 84 84 84 84 84 84 84 84 84 84 84 84 84 2019年惠州卫生职业技术学院基层卫生人才及退役军人学历 提升考试成绩表 序号 241 242 243 244 245 246 247 248 249 250 251 252 253 254 255 256 257 258 259 260 261 262 263 264 265 266 267 268 269 270 271 272 273 274 275 276 277 278 279 280 考生号 1302662510 1302662518 1302662520 1302662562 1302662579 1302662608 1302662640 1302662700 1302662712 1302662731 1302662854 1302662919 1302662966 1302662989 1302663027 1302663071 1302663081 1302663102 1302663112 1302663152 1302663173 1302663186 1302663338 1302663342 1302663411 1302663446 1302663483 1401610721 1523609084 1581620576 1601604417 1601604579 1601604669 1601604767 1302631823 1302631435 1302631565 1302662171 1401610918 1302662299 姓名 钟燕怡 欧嘉欣 钟健威 林丹 陈娇红 曾嘉莹 陈楚莹 朱敏健 李虹萱 彭翠萍 林阳霞 黄远鹏 黄婷 叶诗婷 刘育辉 朱兴华 江文莉 吴柳媚 方胜齐 刘意华 温俊杰 蔡永旺 陈丽娜 钟丽 彭春雨 聂佩莹 彭丽丽 曾佳 刘远游 陈贤仲 谢映芬 叶道奇 黄凯敏 朱淑婷 陈碧银 陈丽婷 谢丽荧 钟伟樑 徐燕玲 曹梦怡 性别 女 女 男 女 女 女 女 女 女 女 女 男 女 女 男 男 女 女 女 女 男 男 女 女 女 女 女 女 男 男 女 男 男 女 女 女 女 男 女 女 成绩 84 84 84 84 84 84 84 84 84 84 84 84 84 84 84 84 84 84 84 84 84 84 84 84 84 84 84 84 84 84 84 84 84 84 84 84 84 84 84 84 2019年惠州卫生职业技术学院基层卫生人才及退役军人学历 提升考试成绩表 序号 281 282 283 284 285 286 287 288 289 290 291 292 293 294 295 296 297 298 299 300 301 302 303 304 305 306 307 308 309 310 311 312 313 314 315 316 317 318 319 320 考生号 1302631280 1302631341 1302631344 1302631359 1302631362 1302631380 1302631449 1302631610 1302631775 1302631907 1302662145 1302662209 1302662211 1302662301 1302662313 1302662403 1302662437 1302662495 1302662501 1302662503 1302662507 1302662523 1302662534 1302662544 1302662584 1302662590 1302662591 1302662603 1302662621 1302662638 1302662756 1302662790 1302662862 1302662945 1302662949 1302662969 1302662999 1302663043 1302663065 1302663070 姓名 陆晓琳 袁得峰 姚珺怡 吴铫铫 钟利华 钟以琳 胡鸿彬 钟怡婷 钟凯乐 蔡美凤 欧清清 徐小淇 陶河花 杨小玲 袁仁杰 林上富 李琳 林红 谢秀婷 聂兰香 罗茂春 黄珊珊 钟瑞香 甘玉珍 韩秀娟 盘海燕 郑如君 钟凯光 李英连 张耿发 张秀添 张碧珊 温柳花 涂丽珊 张慧敏 卓晓晴 叶蕾 潘钰荷 张丽珊 黄嘉威 性别 女 男 女 女 女 女 男 女 女 女 女 女 女 女 男 男 女 女 女 女 女 女 女 女 女 女 女 男 女 男 女 女 女 女 女 女 女 女 女 男 成绩 83 83 83 83 83 83 83 83 83 83 83 83 83 83 83 83 83 83 83 83 83 83 83 83 83 83 83 83 83 83 83 83 83 83 83 83 83 83 83 83 2019年惠州卫生职业技术学院基层卫生人才及退役军人学历 提升考试成绩表 序号 321 322 323 324 325 326 327 328 329 330 331 332 333 334 335 336 337 338 339 340 341 342 343 344 345 346 347 348 349 350 351 352 353 354 355 356 357 358 359 360 考生号 1302663100 1302663103 1302663111 1302663213 1302663222 1302663263 1302663304 1302663320 1302663351 1302663370 1302663377 1302663418 1302663458 1302663577 1401609727 1601604264 1601604368 1601604786 1601604913 1601604920 1302662567 1502613299 1302631393 1302631470 1302631495 1302662720 1302663002 1302663068 1302663485 1401609994 1401610416 1401611269 1401611316 1302662442 0104630985 0104651683 0305629105 1302631355 1302631461 1302631516 姓名 吴春霞 徐嘉裕 梁英 香雅莹 李运婷 杨秋苹 刘春贵 胡可美 罗恩玲 郭思均 袁伟琼 刘燕灵 曾丹 庄凤婷 黄细霞 黄璇 曾佩怡 黄秀娣 周彩红 罗宇杰 林琳 卓依婷 吴梦真 林洁 熊寅燕 彭雨珊 张新建 邬子红 宋龙春 邱莹颖 罗秋丽 彭康 巫美婷 冯鑫坤 卢新亮 许荣中 袁水清 罗雪花 贺敏玲 吴琳 性别 女 女 女 女 女 女 男 女 女 女 女 女 女 女 女 女 女 女 女 男 女 女 女 女 女 女 男 女 男 女 女 男 女 男 男 男 女 女 女 女 成绩 83 83 83 83 83 83 83 83 83 83 83 83 83 83 83 83 83 83 83 83 83 83 83 83 83 83 83 83 83 83 83 83 83 83 82 82 82 82 82 82 2019年惠州卫生职业技术学院基层卫生人才及退役军人学历 提升考试成绩表 序号 361 362 363 364 365 366 367 368 369 370 371 372 373 374 375 376 377 378 379 380 381 382 383 384 385 386 387 388 389 390 391 392 393 394 395 396 397 398 399 400 考生号 1302631521 1302631525 1302631679 1302631824 1302631854 1302631944 1302631955 1302631972 1302662051 1302662068 1302662146 1302662166 1302662292 1302662293 1302662354 1302662363 1302662388 1302662426 1302662474 1302662499 1302662504 1302662511 1302662548 1302662557 1302662580 1302662582 1302662600 1302662601 1302662605 1302662609 1302662630 1302662678 1302662685 1302662727 1302662743 1302662767 1302662771 1302662845 1302662913 1302662933 姓名 周怡 陈明敏 林欣达 李莎里 林雪英 罗佳雯 谢建芬 叶俊南 黄福强 冯玉茹 刘晓琳 罗银凤 史柯 廖伯胜 温思柳 林吉茹 陈丽 谢李玲 罗志雄 文燕娇 冯铭丽 罗盈盈 何泽明 叶蕾 杨桂成 潘火阳 刘家莹 郑静怡 林姚叶 徐舒琪 莫雯婷 黄宇丹 郑金菊 王莹莹 叶伟思 沙晓琳 谢沛妍 徐春连 何辉燕 欧惠菊 性别 女 女 男 女 女 女 女 女 男 女 女 女 女 男 女 女 女 女 男 女 女 女 男 女 男 男 女 女 女 女 女 女 女 女 女 女 女 女 女 女 成绩 82 82 82 82 82 82 82 82 82 82 82 82 82 82 82 82 82 82 82 82 82 82 82 82 82 82 82 82 82 82 82 82 82 82 82 82 82 82 82 82 2019年惠州卫生职业技术学院基层卫生人才及退役军人学历 提升考试成绩表 序号 401 402 403 404 405 406 407 408 409 410 411 412 413 414 415 416 417 418 419 420 421 422 423 424 425 426 427 428 429 430 431 432 433 434 435 436 437 438 439 440 考生号 1302662944 1302662981 1302662983 1302663006 1302663042 1302663050 1302663061 1302663087 1302663131 1302663133 1302663164 1302663209 1302663225 1302663265 1302663279 1302663295 1302663335 1302663341 1302663397 1302663438 1302663475 1302663486 1302663503 1302663545 1302663552 1302663564 1302663607 1302642759 1401609924 1401610187 1401610650 1401612261 1502613350 1523609096 1523609209 1523609215 1601604388 1601604542 1601604571 1601604590 姓名 杨倩芸 罗镇南 钟化冰 黄沁雨 彭丽如 苏凯嫣 田姝惠 刘婷婷 林志雄 刘菁 张燕红 陈佳红 谭慧玲 刘金城 黄泳琪 陈惠娴 周穗菁 李思琳 郑喜保 张小凤 钟智达 黎茜 廖雪花 李漫婷 黄梧光 黄彩云 邹嘉敏 潘婷 赖新鸿 邹茂辉 朱冬兰 温东亮 何丁贵 罗婷 刘玉香 朱丽冰 骆晓朝 邬彩娟 刘智伦 吴家嘉 性别 女 男 女 女 女 女 女 女 男 女 女 女 女 男 女 女 女 女 男 女 男 女 女 女 男 女 女 女 女 男 女 男 男 女 女 女 女 女 女 女 成绩 82 82 82 82 82 82 82 82 82 82 82 82 82 82 82 82 82 82 82 82 82 82 82 82 82 82 82 82 82 82 82 82 82 82 82 82 82 82 82 82 2019年惠州卫生职业技术学院基层卫生人才及退役军人学历 提升考试成绩表 序号 441 442 443 444 445 446 447 448 449 450 451 452 453 454 455 456 457 458 459 460 461 462 463 464 465 466 467 468 469 470 471 472 473 474 475 476 477 478 479 480 考生号 1601604609 1601604695 1302662749 1302631616 1302662204 1401610587 1302631384 1302631624 1302631979 1302662224 1302662997 1302663206 1401610058 1401610306 1401611291 0305619641 1302631343 1302631360 1302631372 1302631430 1302631445 1302631497 1302631509 1302631523 1302631566 1302631633 1302631743 1302631808 1302631902 1302662017 1302662029 1302662126 1302662210 1302662309 1302662469 1302662492 1302662543 1302662547 1302662629 1302662657 姓名 杨亮明 袁德海 温婷婷 陈的娥 陈玉芳 薛志威 温丽丹 徐碧翠 邓海娇 巫涛 许伟芬 刘美琳 万雄燕 钟依芹 赖仕婷 杜群英 宋心意 林惠美 丘凯平 朱峪君 张丽 丘斐婧 周家琴 吴志恒 张建荣 罗文玲 刘振成 卢莉萍 曹小鹏 陈芳芳 张蕾 曾健威 王家琪 邓嘉雯 余小倩 孔子雯 甘振彪 林文国 廖梓娴 张晓情 性别 男 男 女 女 女 男 女 女 女 女 女 女 女 女 女 女 女 女 男 男 女 女 女 男 男 女 男 女 男 女 女 男 女 女 女 女 男 男 女 女 成绩 82 82 82 82 82 82 82 82 82 82 82 82 82 82 82 81 81 81 81 81 81 81 81 81 81 81 81 81 81 81 81 81 81 81 81 81 81 81 81 81 2019年惠州卫生职业技术学院基层卫生人才及退役军人学历 提升考试成绩表 序号 481 482 483 484 485 486 487 488 489 490 491 492 493 494 495 496 497 498 499 500 501 502 503 504 505 506 507 508 509 510 511 512 513 514 515 516 517 518 519 520 考生号 1302662702 1302662716 1302662722 1302662728 1302662752 1302662776 1302662846 1302662852 1302662925 1302662960 1302662963 1302663045 1302663052 1302663113 1302663150 1302663395 1302663436 1302663453 1302663454 1302663484 1302663506 1302663586 1302635803 1401609744 1401610093 1401610334 1523609166 1581620378 1601604416 1601604593 0305617798 1523609183 1302631349 1302631644 1302662052 1302662432 1302662750 1302663142 1401602423 1401610290 姓名 罗月玲 苏婧萍 卜秀运 庄出芳 邹宇威 黄嘉棋 吕飞鹏 陈秋茹 黄瑜鸿 朱永婷 古静怡 熊璐 黄小玲 林素芬 陈玮儀 彭汉泸 林堰钒 陈小玲 朱惠玲 谢丽敏 王开杰 张巧婷 陈春明 张艳萍 古婷珊 刘运嫦 叶攀 黄雄 黄海娟 李芬 徐雨杭 叶佳丽 刘婷 魏诗韵 何家冀 郑小玲 李玲 邬滢滢 温爱娴 何殿雅 性别 女 女 女 女 男 女 男 女 女 女 女 女 女 女 女 男 女 女 女 女 男 女 男 女 女 女 男 男 女 女 男 女 女 女 男 女 女 女 女 女 成绩 81 81 81 81 81 81 81 81 81 81 81 81 81 81 81 81 81 81 81 81 81 81 81 81 81 81 81 81 81 81 81 81 81 81 81 81 81 81 81 81 2019年惠州卫生职业技术学院基层卫生人才及退役军人学历 提升考试成绩表 序号 521 522 523 524 525 526 527 528 529 530 531 532 533 534 535 536 537 538 539 540 541 542 543 544 545 546 547 548 549 550 551 552 553 554 555 556 557 558 559 560 考生号 1401610545 1401611378 1401612443 0305620522 1302631354 1302631369 1302631377 1302631443 1302631543 1302631547 1302631562 1302631599 1302631602 1302631634 1302631646 1302631647 1302631696 1302631769 1302631810 1302631821 1302631848 1302631857 1302631899 1302631980 1302662042 1302662121 1302662181 1302662186 1302662198 1302662237 1302662247 1302662348 1302662440 1302662451 1302662454 1302662538 1302662541 1302662568 1302662604 1302662606 姓名 温林翠 罗谢妹 余婷 杨进升 张锦涛 徐海波 钟程朗 何秋玲 林美凤 林炼都 欧文绮 朱洁韵 黎碧香 张艳萍 卢单凤 李艳芳 刁玉凤 陈银桦 姚苑婷 潘晓燕 陈雪妮 邓淇元 温丽翠 杨燕鸿 郭颖 李清燕 陈悠琪 廖露露 李锦珊 刘石燕 杨润舒 蔡金玲 谢翡 田惠珍 廖新柳 林少霞 古嘉欣 曾锐霞 张淑媚 林志雄 性别 女 女 女 男 男 男 男 女 女 男 女 女 女 女 女 女 女 女 女 女 女 女 女 女 女 女 女 女 女 女 女 女 女 女 男 女 女 女 女 男 成绩 81 81 81 80 80 80 80 80 80 80 80 80 80 80 80 80 80 80 80 80 80 80 80 80 80 80 80 80 80 80 80 80 80 80 80 80 80 80 80 80 2019年惠州卫生职业技术学院基层卫生人才及退役军人学历 提升考试成绩表 序号 561 562 563 564 565 566 567 568 569 570 571 572 573 574 575 576 577 578 579 580 581 582 583 584 585 586 587 588 589 590 591 592 593 594 595 596 597 598 599 600 考生号 1302662613 1302662641 1302662647 1302662665 1302662674 1302662682 1302662701 1302662769 1302662788 1302662808 1302662826 1302662842 1302662853 1302662874 1302662887 1302662888 1302662892 1302662911 1302662918 1302662924 1302662927 1302662928 1302662965 1302662967 1302662982 1302662994 1302663020 1302663022 1302663049 1302663075 1302663098 1302663104 1302663116 1302663144 1302663163 1302663167 1302663194 1302663214 1302663247 1302663286 姓名 林芳婷 杨晴 叶荣昌 陈俊泽 卢丽苹 伍秀芳 罗桂琼 张燕婷 杨梅新 林超萍 张明慧 黄丽娴 李园 李燕梅 翟晓婷 黄怀敏 刘舒雅 李佩芬 钟明吹 郑晓琪 张丽君 曾秋萍 张柳霞 郭坤乾 叶富英 陈佳如 李滢 余伟维 罗伟珊 傅晓韵 刘丹阳 余珊珊 黄诗婷 秦欢 钟燕霞 钟惠如 胡婉婷 陈家慧 廖会媚 鲁丽娟 性别 女 女 男 男 女 女 女 女 女 女 女 女 女 女 女 女 女 女 男 女 女 女 女 男 女 女 女 女 女 女 女 女 女 女 女 女 女 女 女 女 成绩 80 80 80 80 80 80 80 80 80 80 80 80 80 80 80 80 80 80 80 80 80 80 80 80 80 80 80 80 80 80 80 80 80 80 80 80 80 80 80 80 2019年惠州卫生职业技术学院基层卫生人才及退役军人学历 提升考试成绩表 序号 601 602 603 604 605 606 607 608 609 610 611 612 613 614 615 616 617 618 619 620 621 622 623 624 625 626 627 628 629 630 631 632 633 634 635 636 637 638 639 640 考生号 1302663292 1302663326 1302663348 1302663358 1302663366 1302663389 1302663410 1302663427 1302663482 1302663515 1302663516 1302663524 1302645718 1401609836 1401609872 1401609987 1401610111 1523609205 1523609210 1601604495 1601604551 1601604884 1302631732 1302631506 1302662034 1302662044 1302662193 1302662375 1302662392 1302662506 1302662595 1302662675 1302663396 1302663399 1401609761 1401609765 1401610281 1401610517 1401610580 1401611620 姓名 钟婷 傅丹阳 徐碧琼 肖靖华 罗宝琳 张楠 黄靖 宋婷婷 李晓龙 李惠玲 温文锋 邓燕君 李庆发 曾文利 廖海媚 张满香 黄思颖 黎丽颖 陈佳慧 巫兰香 刘梦园 叶俊希 方苑伊 温纯霞 张学英 王淋淋 刘佳欢 梁榕 古宇玲 丘丹丹 凌智 刘利香 钟思媛 罗宇芳 郑慧琳 刘宇君 王婷 刘静 温丽媛 罗妃兰 性别 女 女 女 男 女 女 男 女 男 女 男 女 男 女 女 女 女 女 女 女 女 男 女 女 女 女 女 女 女 女 男 女 女 女 女 女 女 女 女 女 成绩 80 80 80 80 80 80 80 80 80 80 80 80 80 80 80 80 80 80 80 80 80 80 80 80 80 80 80 80 80 80 80 80 80 80 80 80 80 80 80 80 2019年惠州卫生职业技术学院基层卫生人才及退役军人学历 提升考试成绩表 序号 641 642 643 644 645 646 647 648 649 650 651 652 653 654 655 656 657 658 659 660 661 662 663 664 665 666 667 668 669 670 671 672 673 674 675 676 677 678 679 680 考生号 1302631402 1302663119 1401602508 1401610524 1401612645 0305619190 0605646282 1302631339 1302631350 1302631512 1302631514 1302631528 1302631535 1302631583 1302631596 1302631674 1302631705 1302631756 1302631766 1302631773 1302631798 1302631812 1302631817 1302631872 1302631926 1302631942 1302631943 1302631987 1302662010 1302662106 1302662169 1302662179 1302662226 1302662246 1302662271 1302662361 1302662412 1302662450 1302662493 1302662555 姓名 练雅婷 朱玲 石玲玲 薛倩滢 曾金莲 陈秋颜 李利红 林小行 张碧霞 李思媛 温少川 欧金巧 何达辉 黄素芳 蔡心如 杨睿 陈艳兰 周玉凤 刘晓梅 李艺发 林丽虹 吴玉芳 周玉燕 黄永琪 朱瑞婵 茹丝欣 卓曼玲 杨秀芳 古丽媚 古小情 邱文凤 骆嘉燕 庄惠冰 陈丽霞 刘仙莹 朱木森 翁辅先 曹海兰 李莎莎 李翠 性别 女 女 女 女 女 女 女 女 女 女 男 女 男 女 女 女 女 女 女 男 女 女 女 女 女 女 女 女 女 女 女 女 女 女 女 男 女 女 女 女 成绩 80 80 80 80 80 79 79 79 79 79 79 79 79 79 79 79 79 79 79 79 79 79 79 79 79 79 79 79 79 79 79 79 79 79 79 79 79 79 79 79 2019年惠州卫生职业技术学院基层卫生人才及退役军人学历 提升考试成绩表 序号 681 682 683 684 685 686 687 688 689 690 691 692 693 694 695 696 697 698 699 700 701 702 703 704 705 706 707 708 709 710 711 712 713 714 715 716 717 718 719 720 考生号 1302662763 1302662828 1302662872 1302662916 1302662929 1302663007 1302663011 1302663058 1302663082 1302663218 1302663228 1302663249 1302663259 1302663268 1302663282 1302663297 1302663317 1302663331 1302663355 1302663378 1302663403 1302663474 1302663500 1302663538 1302663563 1302663592 1302663603 1401609782 1401610608 1302631370 1302631617 1302631492 1302631505 1302631727 1302662875 1302663003 1302663415 1401610603 1401610884 1401612454 姓名 刘惠娟 钟雪丹 颜建芬 谢文龙 廖丽琴 刘月怡 陈静华 罗伟晴 谢慧敏 曾菲菲 叶冬萍 刁文瑜 罗影怡 钟寺花 廖惠敏 张思玲 陈巧丽 卢石凤 骆文豪 廖彩霞 陈美林 许跃飞 张云青 刘倩怡 陈玉琴 徐雪怡 古雨轩 黄婷 黄洁英 王芹 林小诺 钟意芳 何明意 刁姗姗 黄秋苑 刘晓健 陈小兵 汪嘉雯 吴春娜 刘婷兰 性别 女 女 女 男 女 女 女 女 女 女 女 女 女 女 女 女 女 女 男 女 女 女 女 女 女 女 男 女 女 女 女 女 女 女 女 男 男 女 女 女 成绩 79 79 79 79 79 79 79 79 79 79 79 79 79 79 79 79 79 79 79 79 79 79 79 79 79 79 79 79 79 79 79 79 79 79 79 79 79 79 79 79 2019年惠州卫生职业技术学院基层卫生人才及退役军人学历 提升考试成绩表 序号 721 722 723 724 725 726 727 728 729 730 731 732 733 734 735 736 737 738 739 740 741 742 743 744 745 746 747 748 749 750 751 752 753 754 755 756 757 758 759 760 考生号 1401610772 0104678278 0305616802 1302631333 1302631347 1302631415 1302631424 1302631432 1302631526 1302631532 1302631538 1302631540 1302631548 1302631589 1302631625 1302631652 1302631653 1302631669 1302631759 1302631789 1302631790 1302631864 1302631884 1302631901 1302631941 1302631959 1302631984 1302662006 1302662030 1302662054 1302662063 1302662072 1302662163 1302662206 1302662225 1302662257 1302662258 1302662286 1302662336 1302662341 姓名 周秋苑 石靖瑜 曾柳婵 邹宇浩 庄嘉欣 黄玲婵 管冬妮 廖育婷 黄海媚 梁秒连 何婷婷 温家发 罗秀娇 肖梅梅 许丽芳 吴厚俊 姚燕燕 黄雨桐 林晓丹 张妙君 王琪琪 陈艺 蔡彩军 曾风婷 李晓智 周凡琪 钟宇芬 袁斌彬 陈虹 范嘉琪 胡松琳 刘晓凤 方舒遥 王赛骞 周杏婷 谢爱蜜 陈营政 曾文娟 温锦桂 李岸秋 性别 女 女 女 男 女 女 女 女 女 女 女 男 女 女 女 男 女 女 女 女 女 女 女 女 女 女 女 男 女 男 女 女 女 男 女 女 男 女 女 女 成绩 79 78 78 78 78 78 78 78 78 78 78 78 78 78 78 78 78 78 78 78 78 78 78 78 78 78 78 78 78 78 78 78 78 78 78 78 78 78 78 78 2019年惠州卫生职业技术学院基层卫生人才及退役军人学历 提升考试成绩表 序号 761 762 763 764 765 766 767 768 769 770 771 772 773 774 775 776 777 778 779 780 781 782 783 784 785 786 787 788 789 790 791 792 793 794 795 796 797 798 799 800 考生号 1302662349 1302662373 1302662460 1302662471 1302662545 1302662607 1302662614 1302662618 1302662634 1302662689 1302662691 1302662692 1302662698 1302662757 1302662765 1302662818 1302662829 1302662840 1302662898 1302663024 1302663037 1302663055 1302663080 1302663201 1302663241 1302663272 1302663276 1302663298 1302663364 1302663388 1302663404 1302663413 1302663426 1302663439 1601604895 1302631405 1302631410 1302631873 1302631962 1302663019 姓名 戴娴彬 何富新 邹海榕 刘文华 李茜 彭家俊 薛秀春 梁宝荧 刘海莉 张东霞 吴玲玉 赖紫平 吴慧群 庄顺好 谢国生 刘智芝 黎尔瀚 何佳纯 黄丽娜 罗玉婷 钟智鸿 赖惠婷 林小莉 黄旗 苏日丽 沈慧宇 董秋连 陈娜娜 杨戈阳 钟楚颖 陈巧琪 黄业轩 黄春妮 廖强 朱晓婷 陈蕾婷 张旭华 宋海燕 张宇辉 朱小静 性别 女 男 女 女 女 男 女 男 女 女 女 女 女 女 男 女 男 女 女 女 男 女 女 女 女 男 女 女 女 男 女 男 女 男 女 女 女 女 男 女 成绩 78 78 78 78 78 78 78 78 78 78 78 78 78 78 78 78 78 78 78 78 78 78 78 78 78 78 78 78 78 78 78 78 78 78 78 78 78 78 78 78 2019年惠州卫生职业技术学院基层卫生人才及退役军人学历 提升考试成绩表 序号 801 802 803 804 805 806 807 808 809 810 811 812 813 814 815 816 817 818 819 820 821 822 823 824 825 826 827 828 829 830 831 832 833 834 835 836 837 838 839 840 考生号 1302631472 1202617744 1302631331 1302631332 1302631337 1302631340 1302631345 1302631364 1302631396 1302631447 1302631474 1302631702 1302631735 1302631796 1302631802 1302631825 1302631886 1302631896 1302662135 1302662154 1302662159 1302662173 1302662188 1302662190 1302662195 1302662275 1302662278 1302662284 1302662340 1302662446 1302662486 1302662554 1302662594 1302662637 1302662642 1302662645 1302662741 1302662794 1302662807 1302662823 姓名 黄小萍 陈春丽 谢美娜 赖梦珂 林国志 钟思思 叶莉 叶坤荣 陈俊浩 陈小观 罗豪 汪细娇 罗慧裕 卢秋宜 林妍余 林艺 蒋吉柯 张彩玲 廖嘉颖 詹嘉敏 陈夑鋆 朱晓华 陈丹 郭丹宜 钟小玉 林巧玲 詹秀琳 傅颖慧 古玮彤 廖炳睿 黄丹婷 吴挺玉 邓雯滢 叶科嘉 胡苑茹 王鹏媛 刘锦嫦 杨慧敏 梁美琦 李素婷 性别 女 女 女 女 男 女 女 男 男 女 男 女 女 女 女 女 男 女 女 女 男 女 女 女 女 女 女 女 女 男 女 男 女 男 女 女 女 女 女 女 成绩 78 77 77 77 77 77 77 77 77 77 77 77 77 77 77 77 77 77 77 77 77 77 77 77 77 77 77 77 77 77 77 77 77 77 77 77 77 77 77 77 2019年惠州卫生职业技术学院基层卫生人才及退役军人学历 提升考试成绩表 序号 841 842 843 844 845 846 847 848 849 850 851 852 853 854 855 856 857 858 859 860 861 862 863 864 865 866 867 868 869 870 871 872 873 874 875 876 877 878 879 880 考生号 1302662834 1302662867 1302662879 1302662932 1302662953 1302662956 1302662996 1302663010 1302663021 1302663097 1302663110 1302663114 1302663148 1302663171 1302663185 1302663208 1302663363 1302663381 1302663455 1302663529 1302663576 1502613472 1302631336 1302662331 1401611091 0605646208 1302631353 1302631363 1302631385 1302631416 1302631425 1302631428 1302631437 1302631439 1302631539 1302631597 1302631621 1302631747 1302631764 1302631799 姓名 吕桂婷 叶素伟 邱素清 郭妙琳 林思燕 冯雪婷 蔡碧婷 赖婷婷 刘莹 李贵妹 张朗频 卢惠敏 杨文锋 黄锦花 杨竞凌 张耀武 龚玉芬 陈丽丽 林淑琼 魏小媚 黄秀珠 温雨洁 古婷花 杨林苑 廖思婷 张彩榕 陈颖欣 黄兰媚 林康明 郭妙慧 黄倩娇 胡武杰 魏蔓 杨宇兰 苏文锋 姚鹏杰 彭玉其 钟秋菊 朱丽妃 邓雨书 性别 女 女 女 女 女 女 女 女 女 女 男 女 男 女 男 男 女 女 女 女 女 女 女 女 女 女 女 女 男 女 女 男 女 女 女 男 女 女 女 女 成绩 77 77 77 77 77 77 77 77 77 77 77 77 77 77 77 77 77 77 77 77 77 77 77 77 77 76 76 76 76 76 76 76 76 76 76 76 76 76 76 76 2019年惠州卫生职业技术学院基层卫生人才及退役军人学历 提升考试成绩表 序号 881 882 883 884 885 886 887 888 889 890 891 892 893 894 895 896 897 898 899 900 901 902 903 904 905 906 907 908 909 910 911 912 913 914 915 916 917 918 919 920 考生号 1302631836 1302631858 1302631883 1302631933 1302631948 1302631951 1302631956 1302631994 1302662037 1302662080 1302662081 1302662082 1302662084 1302662273 1302662297 1302662298 1302662308 1302662400 1302662466 1302662467 1302662676 1302662683 1302662693 1302662725 1302662800 1302662858 1302662882 1302662938 1302663072 1302663139 1302663174 1302663217 1302663236 1302663237 1302663277 1302663280 1302663321 1302663347 1302663447 1302663470 姓名 张燕霞 彭金蝶 余东如 谭钰雯 邹淑芳 蓝晶晶 毛小婷 邹浩森 倪士征 李小莉 罗娘爱 廖曲景 柯伟城 欧淑惠 郑小莉 黄韶讷 叶静 杨彩霞 叶静 陈玉珍 彭雯丽 傅森 陈惠媚 古淑婷 李蔚雯 陈敏妍 钟炳凤 陈芍敏 何舒婷 钟翠 谢彩云 刘秀婷 羊晶 叶圳 钟丽枝 黄成玉 张嘉鹏 卢嘉莉 杨万达 彭淑英 性别 女 女 女 女 女 女 女 女 男 女 女 男 男 女 女 女 女 女 女 女 女 男 女 女 女 女 女 女 女 女 女 女 女 男 女 女 男 女 男 女 成绩 76 76 76 76 76 76 76 76 76 76 76 76 76 76 76 76 76 76 76 76 76 76 76 76 76 76 76 76 76 76 76 76 76 76 76 76 76 76 76 76 2019年惠州卫生职业技术学院基层卫生人才及退役军人学历 提升考试成绩表 序号 921 922 923 924 925 926 927 928 929 930 931 932 933 934 935 936 937 938 939 940 941 942 943 944 945 946 947 948 949 950 951 952 953 954 955 956 957 958 959 960 考生号 1302663550 1302643248 1401610447 1302631513 1302631546 1302631612 1302631889 1302662230 1302662878 1401609320 1401610124 1401611314 1302631304 1302631352 1302631376 1302631392 1302631400 1302631412 1302631419 1302631622 1302631648 1302631654 1302631666 1302631688 1302631725 1302631752 1302631761 1302631805 1302631818 1302631844 1302631867 1302631880 1302631908 1302631909 1302631931 1302631932 1302631971 1302631977 1302631988 1302662018 姓名 施斌辉 杨麒锋 李芳芳 李慧媚 刘梅 张琪 姚春梅 丘幸婷 李水清 张诗淇 胡敏敏 张学霞 李冬丽 欧阳嘉玲 刘晓媚 黄丽琴 黄丽珍 江凤丹 邹仕敏 曾紫璇 吴翠婷 杜蔚林 观志芬 黄慧欢 朱宇轩 刘霏儒 张文浩 林心心 邹鑫 王青青 刘彩容 黄慧娟 朱贵兰 曾琳琳 张媛 江盈盈 刘利娇 陈淑君 李丽姗 戴友萍 性别 男 男 女 女 女 女 女 女 男 女 女 女 女 女 女 女 女 女 女 女 女 女 女 女 男 女 男 女 男 女 女 女 女 女 女 女 女 女 女 女 成绩 76 76 76 76 76 76 76 76 76 76 76 76 75 75 75 75 75 75 75 75 75 75 75 75 75 75 75 75 75 75 75 75 75 75 75 75 75 75 75 75 2019年惠州卫生职业技术学院基层卫生人才及退役军人学历 提升考试成绩表 序号 961 962 963 964 965 966 967 968 969 970 971 972 973 974 975 976 977 978 979 980 981 982 983 984 985 986 987 988 989 990 991 992 993 994 995 996 997 998 999 1000 考生号 1302662043 1302662075 1302662124 1302662125 1302662222 1302662263 1302662283 1302662330 1302662379 1302662462 1302662494 1302662598 1302662636 1302662655 1302662744 1302662819 1302662908 1302662931 1302662939 1302663054 1302663088 1302663095 1302663240 1302663243 1302663246 1302663401 1302663430 1302663459 1302663471 1302663473 1401610081 1401610279 1601604534 1302631390 1302663522 1302631462 1302662138 1302662397 1302662449 1302662784 姓名 李秀强 杨文舒 卢新聪 蔡舟媛 黄忆娜 曹晓青 周霞 文燕婷 李得妹 王吕婷 周伟伦 黄威 王诗仪 朱俊良 刘惠 王伟婷 邹静如 胡楚冰 邓清柔 钟志林 廖翠娴 邓启华 黄蜜儿 李惠 胡玲翠 黄巧云 黄美玲 罗丽萍 韩浩妮 陈富盈 李清乐 彭佳仪 刘智怡 李晓晴 刘玉芳 曾夏萍 何远权 钟宇婷 钟星娜 刘文娜 性别 男 女 男 女 女 女 女 女 女 女 男 男 女 男 女 女 女 女 女 男 女 男 女 女 女 女 女 女 女 女 女 女 女 女 女 女 男 女 女 女 成绩 75 75 75 75 75 75 75 75 75 75 75 75 75 75 75 75 75 75 75 75 75 75 75 75 75 75 75 75 75 75 75 75 75 75 75 75 75 75 75 75 2019年惠州卫生职业技术学院基层卫生人才及退役军人学历 提升考试成绩表 序号 1001 1002 1003 1004 1005 1006 1007 1008 1009 1010 1011 1012 1013 1014 1015 1016 1017 1018 1019 1020 1021 1022 1023 1024 1025 1026 1027 1028 1029 1030 1031 1032 1033 1034 1035 1036 1037 1038 1039 1040 考生号 1302662857 1302663226 1302663464 1401609851 1401611058 0307620672 0501627762 1302631379 1302631394 1302631403 1302631409 1302631411 1302631418 1302631433 1302631436 1302631444 1302631450 1302631643 1302631650 1302631676 1302631770 1302631781 1302631782 1302631859 1302631865 1302662077 1302662096 1302662114 1302662136 1302662215 1302662243 1302662287 1302662314 1302662325 1302662389 1302662650 1302662780 1302662838 1302662851 1302662971 姓名 王昊 罗映霞 邓莹莹 陈丽 詹林玮 何文汇 邹雪军 黄学柔 叶巧程 林琪雯 陈寿添 刘煜玲 梁湘秦 李彩萍 刁正元 温鸿杨 罗佳惠 温品君 何佳怡 郭红梅 黄妙婷 陈家慧 黄育根 朱贤彬 邹玉萍 李清会 谢玉州 曾秋怡 邹淑敏 郑晓芙 刘铸鸿 钟妙如 凌泽 张慧瑜 余水杰 温源彬 邱嘉玲 黄贤裕 邹沛怡 柯桂芬 性别 男 女 女 女 男 男 男 女 女 女 男 女 男 女 女 男 女 女 女 女 女 女 男 男 女 女 男 女 女 女 男 女 女 女 男 男 女 男 女 女 成绩 75 75 75 75 75 74 74 74 74 74 74 74 74 74 74 74 74 74 74 74 74 74 74 74 74 74 74 74 74 74 74 74 74 74 74 74 74 74 74 74 2019年惠州卫生职业技术学院基层卫生人才及退役军人学历 提升考试成绩表 序号 1041 1042 1043 1044 1045 1046 1047 1048 1049 1050 1051 1052 1053 1054 1055 1056 1057 1058 1059 1060 1061 1062 1063 1064 1065 1066 1067 1068 1069 1070 1071 1072 1073 1074 1075 1076 1077 1078 1079 1080 考生号 1302663083 1302663120 1302663223 1302663235 1302663258 1401609866 1401611149 1302631911 1302662023 1302662137 1302662458 1401602405 1401610199 1401611435 1401610605 1401612638 1202617133 1302631367 1302631404 1302631420 1302631431 1302631671 1302631680 1302631703 1302631740 1302631765 1302631771 1302631929 1302631997 1302662095 1302662362 1302662490 1302662687 1302662861 1302663041 1302663207 1302663412 1302663595 1502613347 1900666083 姓名 谭国雄 廖国森 赖柔 李欣仪 骆坤 赖鸿媛 陈怡婷 刘伟静 赖欢欢 何伟权 张冬霞 曾家丹 陈秋意 罗雯芳 罗苑 刘德福 王晶晶 刘雨霏 张宇斌 韩庆勇 赖文莲 朱锦佳 林晓华 杨玉 张秀芹 张俊平 江丽芳 马汉雄 陈玉水 黄思彤 廖远喜 曾慧颖 何超明 吴嘉怡 古飘然 杨少俊 邓慧琴 刘运传 钟智杰 陈虹儿 性别 男 男 女 女 男 女 女 女 女 男 女 女 女 女 女 男 女 女 男 男 女 男 女 女 女 男 女 男 男 女 男 女 男 女 女 男 女 男 男 女 成绩 74 74 74 74 74 74 74 74 74 74 74 74 74 74 74 74 73 73 73 73 73 73 73 73 73 73 73 73 73 73 73 73 73 73 73 73 73 73 73 73 2019年惠州卫生职业技术学院基层卫生人才及退役军人学历 提升考试成绩表 序号 1081 1082 1083 1084 1085 1086 1087 1088 1089 1090 1091 1092 1093 1094 1095 1096 1097 1098 1099 1100 1101 1102 1103 1104 1105 1106 1107 1108 1109 1110 1111 1112 1113 1114 1115 1116 1117 1118 1119 1120 考生号 1302663251 1302631334 1302631441 1302631642 1302631718 1302662167 1302662558 1302662617 1302663018 1401611160 1302662559 1302631274 1302631338 1302631375 1302631391 1302631401 1302631695 1302631701 1302631762 1302631803 1302631828 1302631881 1302631885 1302631905 1302631906 1302631989 1302662065 1302662083 1302662115 1302662153 1302662197 1302662234 1302662411 1302662835 1302662943 1302642402 1302631387 1302631477 1302631914 1302662695 姓名 彭钰晴 罗芬 杨玲苑 洪晓霞 张惠连 陈思苑 陈美兰 刘宇婷 朱威林 陈润芳 罗晓婷 周琳珊 黄颖熙 黄桂喜 孙丽贤 钟沛滢 钟灿浈 何静怡 陈嘉琳 罗锦珊 杨俊杰 胡惠淇 简海炎 张梦琪 邓琪琪 卢嘉琪 马慧婷 叶桂花 陈小婷 董宇超 刘芬 丘琳琳 钟惠妮 张琳琳 杨敏敏 曹妙玲 黄锦山 曾宇萍 赖燕婷 李洁芸 性别 女 女 女 女 女 女 女 女 男 女 女 女 女 男 女 女 女 女 女 女 男 男 男 女 女 女 女 女 女 男 女 女 女 女 女 女 男 女 女 女 成绩 73 73 73 73 73 73 73 73 73 73 73 72 72 72 72 72 72 72 72 72 72 72 72 72 72 72 72 72 72 72 72 72 72 72 72 72 72 72 72 72 2019年惠州卫生职业技术学院基层卫生人才及退役军人学历 提升考试成绩表 序号 1121 1122 1123 1124 1125 1126 1127 1128 1129 1130 1131 1132 1133 1134 1135 1136 1137 1138 1139 1140 1141 1142 1143 1144 1145 1146 1147 1148 1149 1150 1151 1152 1153 1154 1155 1156 1157 1158 1159 1160 考生号 1302662809 1302662883 1302663001 1302645521 1401610140 1401612161 1302631604 1302631358 1302631383 1302631407 1302631553 1302631645 1302631717 1302631842 1302631898 1302631925 1302631954 1302662003 1302662079 1302662259 1302662775 1302662897 1302663154 1302663176 1302663340 1302663468 1302663477 1302631481 1302631327 1302631348 1302631381 1302631422 1302631850 1302631877 1302631894 1302631917 1302631928 1302662009 1302662116 1302662238 姓名 李娜 张彬 袁晓丽 袁细琴 邓小玉 李俊懋 蓝佳苑 薛美燕 徐嘉惠 严舒媚 廖楚雯 刘远强 邓然 黄碧坤 王海波 郑淑君 陈耀明 邱晓玲 邓安妮 温嘉莹 刘巧玲 曾昭阁 陈燕群 古美娴 黄利霞 叶海燕 陈柳青 李欢欢 苏丹琳 江彩琴 姚永强 叶雅婷 刘珊珊 叶燕妮 张珍琪 林望月 龚慧婷 钟雪珍 梁曾欣 叶嘉辉 性别 女 男 女 女 女 男 女 女 女 女 女 男 女 男 男 女 男 女 女 女 女 男 女 女 女 女 女 女 女 女 男 女 女 女 女 女 女 女 女 男 成绩 72 72 72 72 72 72 72 71 71 71 71 71 71 71 71 71 71 71 71 71 71 71 71 71 71 71 71 71 70 70 70 70 70 70 70 70 70 70 70 70 2019年惠州卫生职业技术学院基层卫生人才及退役军人学历 提升考试成绩表 序号 1161 1162 1163 1164 1165 1166 1167 1168 1169 1170 1171 1172 1173 1174 1175 1176 1177 1178 1179 1180 1181 1182 1183 1184 1185 1186 1187 1188 1189 1190 1191 1192 1193 1194 1195 1196 1197 1198 1199 1200 考生号 1302662242 1302662813 1302663175 1302663255 1302663257 1302663264 1302663334 1302663450 1302663547 1302662962 1302631326 1302662107 1302662141 1302662951 1401602188 1302631860 1302662087 1302662326 1302662376 1302663179 1302663441 1601604655 1502613375 1302662774 1302662841 1401602381 1302631413 1302631426 1302631442 1302631888 1302662228 1302662827 1601604638 1601604922 1401610665 1302631947 1302662021 1302662404 1302662791 1302663210 姓名 刘燕珍 苏淑惠 李清 林翠娥 朱定诚 黄洁莹 黄勇涛 李彩虹 凌玮钰 彭小娜 刘璐 张芳娇 杨丹 张龙文 李艳婷 张嘉怡 胡世悦 卢观胜 杨媚媚 黄鸿磊 黄文文 钟嘉颖 黄雪梅 刘婉燕 杨美平 陈宇函 卢丽倩 胡翠敏 罗兰英 薛燕霞 王志强 黄红菲 杨雅婷 沈雄宝 杨宇平 刘艺 冯小玲 钟巧凝 郭楠 卓依静 性别 女 女 女 女 男 女 男 女 女 女 女 女 女 男 女 女 女 男 女 男 女 女 女 女 女 女 女 女 女 女 男 女 女 男 女 女 女 女 女 女 成绩 70 70 70 70 70 70 70 70 70 70 70 70 70 70 70 69 69 69 69 69 69 69 69 69 69 69 68 68 68 68 68 68 68 68 68 67 67 67 67 67 2019年惠州卫生职业技术学院基层卫生人才及退役军人学历 提升考试成绩表 序号 1201 1202 1203 1204 1205 1206 1207 1208 1209 1210 1211 1212 1213 1214 1215 1216 1217 1218 1219 1220 1221 1222 1223 1224 1225 1226 1227 1228 1229 1230 1231 1232 1233 1234 1235 1236 1237 1238 1239 1240 考生号 1302631662 1302631890 1302662093 1302663177 1302663362 1302662461 1302662732 1302662889 1302631306 1302631755 1302631863 1302663478 1302662129 1302663489 1401610145 1302662941 1302642751 1302631368 1302631788 1302662164 1302662306 1302662779 1302662110 1302662213 1302663270 1302631866 1302631312 1302631503 1302631568 1302631586 1302631690 1302631940 1302631967 1302631986 1302662094 1302662117 1302662248 1302662537 1302662690 1302662713 姓名 陈美园 吴卓利 邓嘉嫦 蔡安琪 赖娉婷 简崇辉 范昭宇 张健彬 黎晓兵 曾钟衡 袁飞英 赖华光 邱文熙 孙彩霞 钟渼婷 刁妙玲 丘曼雅 曾灵玥 何少奇 张婷婷 陈丽娴 廖仿麒 罗梦生 赖子蝶 黄文睿 叶芊 蓝媚 郭锦秀 黄丽 邓碧玲 苏炫绮 陈佳欢 何金蓉 梁德娣 江雪玲 邱思婷 朱超婷 黄丽云 刘建香 于嘉妮 性别 女 男 女 女 女 男 男 男 女 男 女 男 男 女 女 女 女 女 男 女 女 男 男 女 男 女 女 女 女 女 男 女 女 女 女 女 女 女 男 女 成绩 66 66 66 66 66 65 65 65 64 64 64 64 63 63 63 63 62 61 61 60 60 60 52 48 48 46 45 缺考 缺考 缺考 缺考 缺考 缺考 缺考 缺考 缺考 缺考 缺考 缺考 缺考 2019年惠州卫生职业技术学院基层卫生人才及退役军人学历 提升考试成绩表 序号 考生号 1302662742 1302662754 1302662795 1302662796 1302662836 1302662859 1302662910 1302662936 1302663094 1302663160 1302663199 1302663244 1302663254 1302663308 1302663333 1302663394 1302663544 1302663566 1302663610 1401610645 1401611570 1502613407 1502613541 1302631469 姓名 黄雅 叶慧 刘智怡 王玉珍 周幸婷 赖丽敏 魏瑾 尹沛彬 黄嘉佩 陈旭媛 温银浩 钟巧玲 杜咏涵 温国超 林佳妞 谭文青 孙美婷 张景彬 钟戈亮 黄柳燕 卢佳 施锦铭 叶依希 刘巧玲 1241 1242 1243 1244 1245 1246 1247 1248 1249 1250 1251 1252 1253 1254 1255 1256 1257 1258 1259 1260 1261 1262 1263 1264 改卷人:杨宇华、李潍、邓新但、付芳、钟晓璇 性别 女 女 女 女 女 女 男 男 女 女 女 女 女 男 女 女 女 男 男 女 女 男 女 女 复核人:吴慧、林麟孙 负责人:陈文 教务处 2019.10.21 成绩 缺考 缺考 缺考 缺考 缺考 缺考 缺考 缺考 缺考 缺考 缺考 缺考 缺考 缺考 缺考 缺考 缺考 缺考 缺考 缺考 缺考 缺考 缺考 缺考

惠州卫生职业技术学院 2019年高职扩招基层卫生人才和退役军人招生考试成绩.pdf 




