高新区1370户长期停业未经营市场主体名单.xls
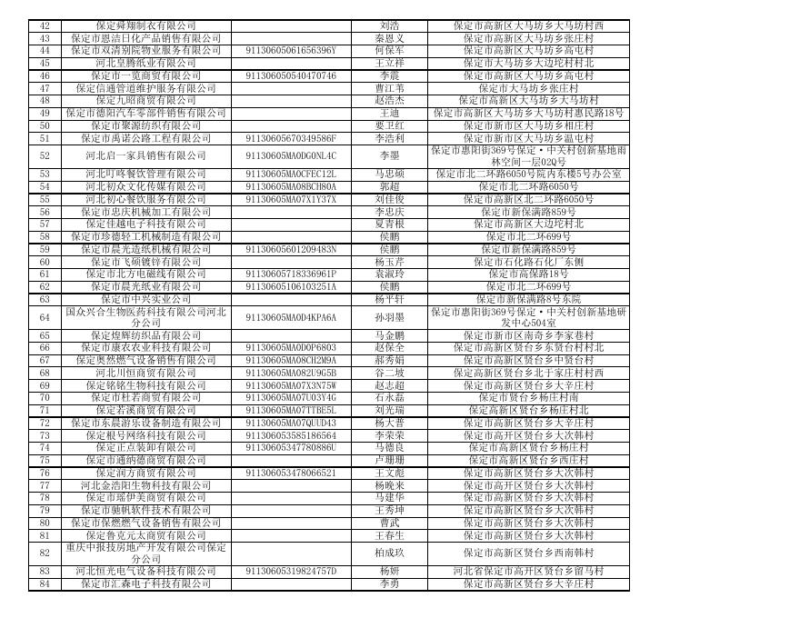
高新区未公示2019年度、2020年度报告企业名单(695户) 序号 企业名称 统一社会信用代码 法定代表人 地址 1 2 3 4 5 6 7 8 9 10 11 12 13 14 15 16 17 18 19 20 21 22 23 24 25 26 27 28 29 30 31 32 33 34 35 36 37 38 39 40 41 保定亚涛网络科技有限公司 保定市冀鹏物业管理有限公司 河北德善天融废旧物资回收有限公司 保定豪亿废旧金属回收有限公司 河北盈优废旧金属回收有限公司 保定帐无忧企业管理咨询有限公司 河北东脉医药科技有限公司 保定萌鑫网络科技有限公司 河北力泰机械设备制造有限公司 河北彬利再生资源回收有限公司 河北普众废旧金属回收有限公司 河北嘉茂废旧金属回收有限公司 保定市睿腾网络科技有限公司 保定市庸平商贸有限公司 保定桂沧商贸有限公司 保定罡盛电子商务有限公司 河北凯臻建筑劳务分包有限公司 保定益鸿投资咨询有限公司 保定中祥纺织有限公司 保定歪逗食品商贸有限公司 保定博创嘉航网络科技有限公司 保定火途网络科技有限公司 保定祥恒商贸有限公司 保定茂鑫制衣有限公司 保定科纳达环保科技有限公司 保定灵感广告有限公司 保定西恩商贸有限公司 河北富业贸易有限公司 河北乐派皮具制造有限公司 保定前瞻电子技术服务有限公司 保定市木成源家具组装有限公司 保定伍吾五文化传播有限公司 河北建国园林绿化工程有限公司 保定龙逸设计服务有限公司 保定市绿桥园林绿化有限公司 保定市健博商贸有限公司 保定市新东商贸有限公司 保定佳联盛通电子技术有限公司 保定米优网络科技有限公司 保定尚洋商贸有限公司 保定广霞商贸有限公司 91130605MA09TE300P 91130605MA09RBTJ2M 91130605MA08XXRU1L 91130605MA08QYWX2B 91130605MA08MAFT4W 91130605MA08ANPT88 91130605MA0866KF34 91130605MA07XEH34Q 91130605MA07X3Q66A 91130605MA07X3P00U 91130605MA07WAJJ10 91130605MA07W1AX46 91130605MA07TX7A8Q 91130605MA07RY660M 91130605MA07R3594C 91130605MA07NM8K3F 91130605MA07NCMA3Y 91130605MA07KPDJ9L 常亚涛 王壮壮 骆泽然 臧志刚 韩月生 郝硕 穆铁柱 朱伟超 赵新营 李士彬 魏广亮 刘艳军 姚平方 焦志勇 张桂沧 付月刚 董国珍 冀双龙 郭战国 刘兰欣 郑立彤 胡坡 梁新庆 徐贵欣 赵孟 相茜 李秋香 臧根宗 李孝乐 靳兴 刘贺军 李哲 绳会 夏朋颖 惠向南 潘洪武 张寅初 翟勃 尚军利 侯鹏 付玉英 保定市高新区大马坊乡大马坊村村东 保定市高新区大马坊乡东尹庄村村西 保定市高新区大马坊乡温屯村 保定市高新区大马坊乡大马坊村 保定市高新区大马坊乡大马坊村 保定市高新区大马坊乡周庄村南 保定市高新区大马坊乡道口村村北 保定市高新区大马坊乡高屯村 保定市高新区大马坊乡大马坊村 保定高新区大马坊乡周庄村 保定市高开区大马坊乡大马坊村 保定市高开区大马坊乡大马坊村 保定市高新区大马坊乡道口村 保定市高新区大马坊乡大边坨村 保定市高开区大马坊乡杨庄村北 保定高新区大马坊乡大边坨村村南 保定高新区大马坊乡大马坊村兴民路16号 保定高新区大马坊乡大边坨村 保定市高新区大马坊乡周庄村 保定市高新区大马坊乡大边坨村 保定市高开区大马坊乡大马坊村惠民路32号 保定市高开区大马坊乡大边坨村 保定市高新区大马坊乡高屯村 保定市高新区大马坊乡东尹庄村 保定市高新区大马坊乡周庄村 保定市高新区大马坊乡东营村 河北省保定市高新区大马坊乡代庄村 保定市高新区大马坊乡道口村 保定市高新区大马坊乡高屯村 保定市高新区大马坊乡东尹庄村南 保定市高新区大马坊乡张庄村 保定市高新区大马坊乡大马坊村6队25号 保定市高新区大马坊乡大边坨村 保定市高新区大马坊乡周庄村 保定市高新区大马坊乡道口村 保定市高新区大马坊乡道口村 保定市高新区大马坊乡道口村 保定市高新区大马坊乡高屯村 保定市高新区大马坊乡周庄村 保定市高新区大马坊乡东尹庄村 保定市高新区大马坊村西 91130605347725895F 91130605347724729P 91130605347592826N 911306053360031333 911306053081521908 91130605095488706U 91130605094834013C 91130605091125131Q 91130605077473236Y 42 43 44 45 46 47 48 49 50 51 保定舜翔制衣有限公司 保定市恩洁日化产品销售有限公司 保定市双清别院物业服务有限公司 河北皇腾纸业有限公司 保定市一览商贸有限公司 保定信通管道维护服务有限公司 保定九昭商贸有限公司 保定市德阳汽车零部件销售有限公司 保定市聚源纺织有限公司 保定市禹诺公路工程有限公司 52 53 54 55 56 57 58 59 60 61 62 63 64 65 66 67 68 69 70 71 72 73 74 75 76 77 78 79 80 81 82 83 84 91130605670349586F 刘浩 秦恩义 何保军 王立祥 李震 曹江苇 赵浩杰 王迪 要卫红 李浩利 河北启一家具销售有限公司 91130605MA0DG0NL4C 李墨 河北叮咚餐饮管理有限公司 河北初众文化传媒有限公司 河北初心餐饮服务有限公司 保定市忠庆机械加工有限公司 保定佳越电子科技有限公司 保定市珍德轻工机械制造有限公司 保定市晨光造纸机械有限公司 保定市飞硕镀锌有限公司 保定市北方电磁线有限公司 保定市晨光纸业有限公司 保定市中兴实业公司 国众兴合生物医药科技有限公司河北 分公司 保定煌辉纺织品有限公司 保定市康农农业科技有限公司 保定奥然燃气设备销售有限公司 河北川恒商贸有限公司 保定铭铭生物科技有限公司 保定市杜若商贸有限公司 保定若溪商贸有限公司 保定市东晨游乐设备制造有限公司 保定根号网络科技有限公司 保定正点装卸有限公司 保定市通纳德商贸有限公司 保定润方商贸有限公司 河北金浩阳生物科技有限公司 保定市瑶伊美商贸有限公司 保定市驰帆软件技术有限公司 保定市保燃燃气设备销售有限公司 保定鲁克元太商贸有限公司 重庆中报技房地产开发有限公司保定 分公司 河北恒光电气设备科技有限公司 保定市汇森电子科技有限公司 91130605MA0CFEC12L 91130605MA08BCH80A 91130605MA07X1Y37X 马忠硕 郭超 刘佳俊 李忠庆 夏青根 侯鹏 侯鹏 杨玉芹 袁淑玲 侯鹏 杨平轩 91130605061656396Y 911306050540470746 91130605601209483N 91130605718336961P 91130605106103251A 91130605MA0D4KPA6A 91130605MA0D0P6803 91130605MA08CH2M9A 91130605MA082U9G5B 91130605MA07X3N75W 91130605MA07U03Y4G 91130605MA07TTBE5L 91130605MA07QUUD43 911306053585186564 91130605347780886U 911306053478066521 91130605319824757D 马金鹏 赵保全 郝秀娟 谷二坡 赵志超 石永磊 刘光瑞 杨大普 李荣荣 马德良 卢珊珊 王文彪 杨晚来 马建华 王秀坤 曹武 王春生 保定市高新区大马坊乡大马坊村西 保定市高新区大马坊乡张庄村 保定市高新区大马坊乡高屯村 保定市大马坊乡大边坨村村北 保定市高新区大马坊乡高屯村 保定市大马坊乡张庄村 保定市高新区大马坊乡大马坊村 保定市高新区大马坊乡大马坊村惠民路18号 保定市新市区大马坊乡相庄村 保定市新市区大马坊乡温屯村 保定市惠阳街369号保定·中关村创新基地雨 林空间一层02Q号 保定市北二环路6050号院内东楼5号办公室 保定市北二环路6050号 保定市高新区北二环路6050号 保定市新保满路859号 保定市高新区大边坨村北 保定市北二环699号 保定市新保满路859号 保定市石化路石化厂东侧 保定市高保路18号 保定市北二环699号 保定市新保满路8号东院 保定市惠阳街369号保定·中关村创新基地研 发中心504室 保定市新市区南奇乡李家巷村 保定市高新区贤台乡东贤台村村北 保定市高新区贤台乡中贤台村 保定高新区贤台乡北于家庄村村西 保定市高新区贤台乡大辛庄村 保定市贤台乡杨庄村南 保定高新区贤台乡杨庄村北 保定市高新区贤台乡大辛庄村 保定市高开区贤台乡大次韩村 保定市高新区贤台乡杨庄村 保定市高新区贤台乡西庄村 保定市高新区贤台乡大次韩村 保定市高开区贤台乡大次韩村 保定市高新区贤台乡大次韩村 保定市高新区贤台乡大次韩村 保定市高新区贤台乡大次韩村 保定市高新区贤台乡大次韩村 柏成玖 保定市高新区贤台乡西南韩村 杨妍 李勇 河北省保定市高开区贤台乡留马村 保定市高新区贤台乡大辛庄村 孙羽墨 85 86 87 88 89 保定市正杰广告有限责任公司 保定岩星经济信息咨询有限公司 保定玉灿电子科技有限公司 保定市辉泽电子科技有限公司 保定慧勤泰贸易有限公司 911306055604601442 刘正 任托 高立青 赵运生 张建国 90 河北沃德旺源肥业有限公司 9113060569346582XD 史宁宁 91 保定市龙彬金属加工有限公司 91130605794190562R 王立彬 92 保定国贸贸易有限公司 911306025795721032 王建芳 93 保定博皓信息技术有限公司 91130605MA0DTF8T63 许修仕 94 河北国宏英探智慧物联网科技有限公 司 91130605MA0CDED69M 边国红 95 保定衡凯装饰装修有限公司 96 91130605MA0E3EXC2Q 98 99 100 101 102 103 保定市偌一文化传媒有限公司 保定市晟成农资供销有限公司东营分 公司 保定市曜曦房地产经纪有限公司 保定泰宏物流有限公司 保定市高新区亿利塑料制品厂 保定市高新区恒达纸箱厂 保定泽欢商贸有限公司 保定市大成防腐技术应用有限公司 104 保定温富商贸有限责任公司 91130605MA0CMH1G1N 杨春茂 105 保定市儒风网络科技有限公司 91130605MA0A5JFK4Q 张丽娜 106 河北三泰慧星检测科技有限公司 91130605MA09R4X62P 孙瑞学 107 河北禧游网络科技有限公司 91130605MA09R14435 逯洋 108 保定市徽电电气科技有限公司 91130605MA08WFAT0E 巩占波 109 保定丰汇房地产开发有限公司 91130605MA08PHQU8F 刘昕烨 110 保定云策信息技术有限责任公司 91130605MA0806HT6Y 张立平 111 保定兰七网络科技有限公司 91130605MA07TMNN6A 潘文征 112 保定嘉特商贸有限公司 91130605MA07QJWE5U 王希男 113 保定辰逸企业管理咨询服务有限公司 91130605MA07QHLY3H 苏金金 114 保定微鸣丝日化用品制造有限公司 91130605MA07PGFQ1R 张亚伟 97 于雪丹 保定市高新区贤台乡河南庄村 保定市高新区贤台乡小营村 保定市高新区贤台乡小营村 保定市高新区贤台乡西庄村 保定市高新区贤台乡西贤台村 保定市北三环以北贤台村西省植保所实验基 地院内 保定市高新区贤台乡东贤台村南 保定市高新区贤台乡中贤台村村西06-02-397 号商用 保定市御风路699号保定国家大学科技园光阳 园3号楼103号 保定市御风路669号保定国家大学科技园光阳 分园4号楼2层208号 保定市阳光北大街3220号阳光盛景B3座商业1 号房 保定市建业路9号陆港国际A座305室 刘占国 保定市新市区东营村 贾艳红 王帅 李振国 张玉恒 尚欢 杨印成 保定市港园路9号A座408室商用 保定高新区港园路6号 保定市高新区中南韩村 保定市高新区贤台乡西庄村 保定市高新区大马坊乡西南韩村32号 保定市高新区高速公路引线路北 保定市北二环路5699号大学科技园1号楼1单 元102室 保定市北二环路5699号大学科技园8号楼一层 豆芽创客空间 保定市北二环5699号大学科技园8号楼3楼304 室 苏顺利 91130605MA082A4408 91130605MA07KRYY04 9113060576340517XH 91130605MA0A317E4U 保定市北二环路5699号大学科技园7A401-84 保定市北二环路5699号大学科技园6号楼101 室 保定市北二环路5699号大学科技园4号楼502 室 保定市北二环路5699号大学科技园6B-301室 保定市北二环路5699号大学科技园6号楼501 室 保定市北二环路5699号大学科技园1号楼1单 元1层101室 保定市北二环5699号大学科技园1号楼1单元 105室 保定市北二环路5699号大学科技园研发中心 主楼4层406室 保定高新区北二环路5699号大学科技园1号楼 1单元101室 保定市北二环路5699号大学科技园内8号楼10 层1001号 保定市北二环5699号大学科技园七号楼南段 四层401-44 保定市北二环5699号大学科技园1号楼1单元 101室 保定市北二环5699号大学科技园一号楼一单 元101室 保定市北二环5699号大学科技园1号楼1单元 101室 保定市北二环路5699号大学科技园1号楼1单 元1层101室 115 保定驰迪汽车租赁有限公司 91130605MA07NPX661 王希男 116 保定市翼祥昌股权投资基金管理有限 公司 91130600MA07MYEB5G 张耕 117 保定三瞧创意策划有限公司 91130605MA07MMQX9F 侯阳辉 118 保定睿善商贸有限公司 91130605MA07M6K66M 张金刚 119 保定德顺文化传媒有限公司 91130605MA07M61069 王艳丽 120 保定市康颐家政服务有限公司 91130605MA07M5YP8L 胡晓梅 121 保定云翼商贸有限公司 91130605MA07LBMG91 李青 122 保定市华创自动化技术有限公司 91130605MA07KKGF1W 黄志强 123 保定市蓝丰农业发展有限公司 91130605329739943N 马海波 124 保定市嘉德润企业管理咨询有限公司 李晓英 125 保定顺通企业管理咨询有限公司 崔亚文 126 保定卓为计算机技术有限公司 吕明德 127 保定市巨鑫石化工程有限公司 罗小东 128 保定市领先电子产品销售有限公司 刘艺群 129 保定九分壹文化创意有限公司 王晓宇 130 91130605096253546A 孔玲新 91130605077482300F 赵二春 133 保定市今朝广告有限公司 保定市易物天下企业管理咨询有限公 司 北京金磊文化发展有限责任公司保定 分公司 保定圣嘉荣电气有限公司 911306050540329059 赵安强 134 保定梦想装饰装修设计有限公司 91130605559078132P 张洋 135 河北龙和天润商贸有限公司 91130605MA07TAQC2F 苏文龙 保定市北二环路5699号大学科技城A座405室 136 137 138 139 140 141 142 143 144 145 保定市如发建筑工程有限公司 保定市诺赞文化传播有限公司 保定市光鼎建筑工程有限公司 保定市卡莎文化传播有限公司 河北特加壹物流有限公司 保定市高起点电子商务有限公司 河北欣隆塑料模具有限公司 河北欧驰汗蒸设备安装有限公司 保定市顺驰行汽车服务有限公司 河北辉煌塑料模具有限公司 91130605MA0D1B5Y4H 91130605MA0D1B5F9H 91130605MA0D191M56 91130605MA0D190J4A 91130605MA094RT3XC 91130605MA08TQ978F 91130605MA07YYQ15W 91130605MA07YKFK2K 91130605MA07XXME8K 91130605MA07X95XXQ 黄从银 王平 祝春明 苏齐刚 石磊 牛彦朝 陈东 李芬联 吕晨旭 王志辉 保定市高新区大马坊乡花庄村村南 保定市高新区大马坊乡花庄村村西 保定市高新区大马坊乡花庄村村西 保定市高新区大马坊乡花庄村村南 保定市高新区大马坊乡花庄村 保定市高新区大马坊乡花庄村2区6号 保定高新区大马坊乡花庄村 保定高新区大马坊乡花庄村 保定市高开区大马坊乡花庄66号 保定市高开区大马坊乡花庄村 131 132 杨金明 保定市北二环路大学科技园5号楼3层302-5号 保定市北二环5699号大学科技园研发中心主 楼5层502室 保定市北二环路5699号大学科技园7号楼 保定市北二环路5699号大学科技园七号楼40119 保定市北二环路5699号大学科技园3号楼5层 502室 保定市北二环路5699号大学科技园3号楼201 室 保定市北二环路5699号大学科技园7号楼 保定市北二环路5699号大学科技园7号楼A二 层 保定市北二环路5699号大学科技园6号楼 保定市北二环路5699号大学科技园7号楼301 室 保定市北二环5699号大学科技园7号楼南段六 层601-02 保定市高新区大学科技园7号楼301-5室 保定市北二环路5699号大学科技园七号楼南 段A区一层 146 147 148 149 150 河北鸿跃无纺布制造有限公司 河北韩都纳米科技有限公司 河北天诺森园林古建筑工程有限公司 河北创艺园林古建筑工程有限公司 保定诺西废旧金属回收有限公司 河北品石汽车租赁有限公司保定分公 司 河北美池纳米科技有限公司 河北品石安防科技有限公司 保定水格商贸有限公司 保定蓝翼机电科技有限公司 保定市托尼商贸有限公司 保定万光文化传播有限公司 保定市创梦商贸有限公司 保定鼎融信息服务有限公司 保定市思语物业服务有限公司 保定信银商贸有限公司 保定市民生房地产开发有限公司恒源 路分公司 91130605MA07X3XNXE 91130605MA07W2JM4J 91130605MA07W14X6A 91130605MA07UU9U19 91130605MA07UU99XD 许京特 石晓琳 李亚丽 赵海亮 臧多林 保定高新区大马坊乡花庄村 保定市高新区大马坊乡花庄村 保定高新区大马坊乡花庄村 保定市大马坊乡花庄村 保定市高新区大马坊乡花庄村 91130605MA07UU7893 张润琦 保定市高新区大马坊乡花庄村 91130605MA07UNW116 91130605MA07UBL192 91130605MA07TMNT5B 911306053081311977 91130605MA09A3PX7H 91130605MA083N0N1M 91130605MA07W1756J 91130605MA07RT1H57 91130605MA07KC5Y5P 911306053479654696 罗菊 索纳 顾塘许 李新钢 王新社 韩金泉 翟同庆 刘铁 代森森 刘新焕 91130605MA0E5MAT80 杨晓芳 163 保定荷花塘企业管理咨询有限公司 91130605MA0DAX9Q3N 马亚静 164 河北奕鹰足球俱乐部有限公司 91130605MA0D89912U 闫磊 165 保定昌润企业管理咨询有限公司 91130605MA0D29UJ0Y 王吟 166 保定山海贸易有限公司 91130605MA0D1ECK2D 魏鹏 167 河北远达康泰医疗器械科技有限公司 91130605MA0CCWDG4X 刘青君 168 保定本新建筑工程安装有限公司 91130605MA0A80026D 李克义 169 保定乌托邦生态农业科技有限公司 91130605MA0A5JAL01 刘洋 170 保定鼎思商贸有限公司 91130605MA0A29F151 兰玉杰 171 保定哲起商贸有限公司 91130605MA0A22619P 黄辉 172 保定圣乐商贸有限公司 91130605MA0A1BPX0J 严跃 173 保定邻邦商贸有限公司 91130605MA0A1BP432 彭荣 174 保定杰邦商贸有限公司 91130605MA0A1BCAXA 李铁先 175 保定哲宇商贸有限公司 91130605MA0A0QR41D 卢铮 保定市高新区大马坊乡花庄村 保定市高新区大马坊乡花庄村 保定市大马坊乡花庄村村西 保定市高新区大马坊乡花庄村 保定市高新区大马坊乡曹庄村村西 保定市高新区大马坊乡曹庄村 保定市高新区大马坊乡曹庄村 保定市高新区大马坊乡曹庄村 保定高新区大马坊乡曹庄村 保定市高新区大马坊乡曹庄村 保定市恒源西路888号3S双创社区智慧谷1楼 展厅 保定市恒源西路888号3S双创社区创客楼319 室 保定市恒源西路888号3S双创社区创客楼418 室 保定市恒源西路888号3S 双创社区内创客楼A 区105号 保定市恒源西路888号3S双创社区创客楼301 室 保定市恒源西路888号3S双创社区孵化工厂A 区002室 保定市恒源西路888号3S双创社区创客空间 2674室 保定市恒源西路888号3S双创社区二层2672号 工位 保定市恒源西路888号3S双创社区创客空间 2661号 保定市恒源西路888号3S双创社区创客空间 2666号 保定市恒源西路888号3S双创社区创客空间 2662号 保定市恒源西路888号3S双创社区创客空间 2663号 保定市恒源西路888号3S双创社区创客空间 2665号 保定市恒源西路888号3S双创社区创客空间 2664号 176 保定朝辉庆和汽车销售有限公司 91130605MA08TL114J 闫蕾蕾 151 152 153 154 155 156 157 158 159 160 161 162 保定市恒源西路888号3S双创社区二层2612号 177 保定精细建筑工程有限公司 91130605MA08N1HG1B 刘广 178 河北黄紫生物科技有限公司 91130605MA0CNLUJ7C 姜兴芝 179 保定迅格商贸有限公司 91130605MA0CERMQ01 王建胜 180 保定罗攀商贸有限公司 91130605MA07R3U0XD 罗攀 181 保定济创商贸有限公司 91130605MA0A805T9U 张立兴 182 河北轩汇晟伟电子商务有限公司 91130605MA08Q5CD2B 刘水库 183 保定恒峰文化传媒有限公司 91130605MA082A2R65 马夏林 184 保定振洲家具销售有限公司 91130605MA08MCQ53M 吕振洲 185 保定兴家家具制造有限公司宜合分公 司 91130605MA07X9L799 洪波波 186 保定讯通企业管理咨询有限公司 91130605MA07TYNM0P 曹娟 187 保定本润商贸有限公司 91130605MA07TP19XB 张艳华 188 保定市岭唯达商贸有限公司二分公司 91130605MA07TGWY7K 高宝岭 189 保定硕腾企业管理咨询服务有限公司 91130605MA07TA4W6T 张金刚 190 保定尚德健康管理有限公司 91130605MA07RPGM0B 吴尚东 191 保定市佳诚商贸有限公司 91130605MA07N3EE01 牛继伟 192 保定犇犇农业科技有限公司 91130605MA0A8DG66A 刘建国 193 保定鹏兴装饰工程有限责任公司 91130605MA0CN7811E 何凯旋 194 91130605MA0D7E1B12 潘真 91130605MA0A5MG13E 郑子兴 196 197 198 保定锐冈智教育科技有限公司 广州粤正装饰工程有限公司保定分公 司 保定翼奇风电科技有限责任公司 保定凯业广告有限公司 保定铃马土石方工程有限公司 91130605MA09URYB9F 91130605MA09UJET7B 91130605MA09U7RA17 李洪泽 蒋子超 马国武 199 保定锐力健身服务有限公司 91130605MA090X224K 李会芹 200 201 202 河北恩加科技有限公司 保定瑞弘酒店管理有限公司 保定中能热力有限公司 91130605MA07XGAL2T 91130605MA07W52B43 91130605MA07TEN30H 钱魁虎 常鹏 谢剑如 203 保定昭铭商贸有限公司 91130605MA07RN003W 张士梅 204 河北睿格智能科技有限公司 91130605MA07R35A27 刘冠泽 195 保定市恒源西路888号3S双创社区2楼2011室 保定市乐凯北大街3088号电谷科技中心3号楼 101室 保定市乐凯北大街3088号电谷科技中心4号楼 三区204室 保定市乐凯北大街3088号电谷科技中心A座 306室 保定市乐凯北大街3088号电谷科技中心A座 408室 保定市乐凯北大街3088号电谷科技中心A座 401、402室 保定市乐凯北大街3088号电谷科技中心4号楼 605号 河北省保定市乐凯北大街3188号红星美凯龙A 区一层A8099 保定市乐凯北大街3188号红星美凯龙综合馆 F2-B8093 保定市乐凯北大街3188号红星美凯龙负一层 C8012 保定市乐凯北大街3188号红星美凯龙C座负一 层C8013 保定市乐凯北大街3188号红星美凯龙家居商 场A区一层A8082 保定市乐凯北大街3188号红星美凯龙负一层 C8012 保定市乐凯北大街3188号红星美凯龙负一层 保定市乐凯北大街3188号保定方北红星美凯 龙家居生活广场1层1112号房 保定市恒滨路128号金迪科技园一楼工位编号 :GL-046 保定市乐凯北大街3188号保定方北商业广场C 区一层1218号 保定市恒滨路62-7门脸 保定市乐凯北大街3188号保定方北商业广场C 区1618、1619号商铺 保定市旭阳路355号 保定市恒滨路89号智博科技园2号楼410室 保定市恒滨路89号智博科技园1-505 保定市乐凯北大街3188号保定方北家居生活 广场5层 保定市风能街315号联合生产车间一层 保定市恒滨路89号智博园1号楼2单元 保定市恒源西路888号 保定市乐凯北大街3188号保定方北商贸广场C 区80102号 保定市朝阳北大街2228号汇博上谷大观B区 205 河北瑞泰新能源科技有限公司 91130605MA07PQYB7X 杜胜利 206 保定颐康保健服务有限公司 91130605MA07NFAP83 胡晓梅 207 208 209 91130605MA07N65R8P 张联喜 张志纯 张来保 王乐 保定高新区花庄村变电站西侧 211 212 213 214 保定佛佑家具销售有限公司 保定奥翔蓄电池销售有限公司 保定天石电子产品销售有限公司 保定市欧美帝豪汽车销售有限公司服 务分公司 保定澳驰风机配件制造有限公司 保定市兆宇电器科技有限公司 保定市奥赛公路工程有限公司 保定市环通交通发展有限公司 保定市恒滨路89号2号楼410室 保定市乐凯北大街3188号保定方北商业广场C 区8087号 保定市乐凯北大街3188号A区一层A8099 保定市高新区曹庄村 保定市风能街120号1号楼 吴松英 王克力 马志国 申洪熬 215 保定佳宾企业管理咨询服务有限公司 91130605MA0EG2TQXM 杜光 216 保定市芃时商贸有限公司 91130605MA0DU0MK61 李雪平 217 保定正昕科技有限公司 91130605MA0CNNAU5D 刘亚运 218 保定市辰合企业管理咨询有限公司 91130605MA0CNDE75E 李霁宇 219 保定辰麒玛浩网络科技有限公司 91130605MA0CJM3T8P 杜雪鹏 220 保定斗西商贸有限公司 91130605MA0CF0XD6Q 王冠荣 221 河北依娜芙广告有限公司 91130605MA0CERGD6U 李旺雄 222 保定文宁商贸有限公司 91130605MA0CFF8X1Y 范斌 223 保定曼诺商贸有限公司 91130605MA0CE2N738 李成跃 224 保定润德企业管理咨询有限公司 91130605MA0CED3K25 钱大勇 225 保定盛辉电子科技有限公司 91130605MA0CDFMY80 岑业光 226 河北捷景奇商贸有限公司 91130605MA0CDDJPXA 吴玲 227 保定韬诺商贸有限公司 91130605MA0CDF00XT 刘洪志 228 河北石宝渠商贸有限公司 91130605MA0CEBX98J 卢政伟 229 河北美舒星商贸有限公司 91130605MA0CEBWR9G 刘柱莲 230 保定佰特网络科技有限公司 91130605MA08NG4N7N 孟治成 231 保定望彩商贸有限公司 91130605MA0A8KFY8Y 冯广杰 232 保定茂旺商贸有限公司 91130605MA0A8KE89M 周爱秋 保定市风能街168号 保定市风电产业园风能街120号 保定市高新区曹庄村南 保定市前卫路448号 保定市朝阳北大街1898号电谷源盛商务大厦A 座533室 保定市朝阳北大街1898号电谷源盛商务大厦C 座2417、2418室 保定市朝阳北大街1898号电谷源盛商务大厦B 座1730-1731室 保定市朝阳北大街1898号电谷源盛商务大厦B 座619室 保定市朝阳北大街1898号电谷源盛商务大厦A 座11层1811室 保定市朝阳北大街1898号电谷源盛商务大厦B 座18B层11室 保定市朝阳北大街1898号电谷源盛商务大厦B 座1428室 保定市朝阳北大街1898号电谷源盛商务大厦B 座17层13室 保定市朝阳北大街1898号电谷源盛商务大厦C 座1821室 保定市朝阳北大街1898号电谷源盛商务大厦C 座115室 保定市朝阳北大街1898号电谷源盛商务中心B 座925室 保定市朝阳北大街1898号电谷源盛商务大厦B 座1418号 保定市朝阳北大街1898号电谷源盛商务大厦B 座28层20室 保定市朝阳北大街1898号电谷源盛商务大厦B 座1421室 保定市朝阳北大街1898号电谷源盛商务大厦C 座2526室 保定市朝阳北大街1898号电谷源盛商务大厦C 座603室 保定市朝阳北大街1898号电谷源盛商务大厦B 座2523室商用 保定市朝阳北大街1898号电谷源盛商务大厦C 座1925室 210 91130605571339358A 保定市朝阳北大街1898号电谷源盛商务大厦B 座2521室商用 保定市朝阳北大街1898号电谷源盛商务大厦C 座1926室 保定市朝阳北大街1898号电谷源盛商务大厦C 座1826室 保定市朝阳北大街1898号电谷源盛商务大厦B 座2522室商用 保定市朝阳北大街1898号电谷源盛商务大厦B 座1711室 保定市朝阳北大街1898号电谷源盛商务大厦B 座1606室 保定市朝阳北大街1898号电谷源盛商务大厦A 座2107室 保定市朝阳北大街1898号电谷源盛商务大厦B 座1330号 保定市朝阳北大街1898号电谷源盛商务大厦B 座2107室 保定市朝阳北大街1898号电谷源盛商务大厦B 座1329号 保定市朝阳北大街1898号电谷源盛商务大厦B 座23B层12室 保定市朝阳北大街1898号电谷源盛商务大厦B 座21B层11室 保定市朝阳北大街1898号电谷源盛商务大厦B 座23层12室 保定市朝阳北大街1898号电谷源盛商务大厦B 座1333室商用 保定市朝阳北大街1898号电谷源盛商务大厦B 座23B层12室 保定市朝阳北大街1898号电谷源盛商务大厦A 座704室 保定市朝阳北大街1898号电谷源盛商务大厦A 座503室 保定市朝阳北大街1898号电谷源盛商务大厦A 座1902室 保定市朝阳北大街1898号电谷源盛商务大厦B 座2001室 保定市朝阳北大街1358号尚北岚庭C-2101号 办公 233 保定乐共商贸有限公司 91130605MA0A8K2L9X 朱丽 234 保定庆光商贸有限公司 91130605MA0A8JAU0F 马宇翔 235 保定皇千商贸有限公司 91130605MA0A8J7Y4X 范孟周 236 保定艾舒商贸有限公司 91130605MA0A8CPR22 孔德权 237 保定柏舟网络科技有限公司 91130605MA0A869R4D 王宇 238 保定辛树广告有限公司 91130605MA0A6EWM03 吴春艳 239 保定明苒广告有限公司 91130605MA0A5QU72M 代彦吉 240 保定熬能商贸有限公司 91130605MA0A57QD46 高奎奎 241 保定新术新能源科技有限公司 91130605MA0A5109XU 李云艳 242 保定纳源商贸有限公司 91130605MA0A4XGBXB 赵艳霞 243 保定繁玲广告有限公司 91130605MA0A4L4001 马建萍 244 保定冉斯广告有限公司 91130605MA0A4KD137 王晏丽 245 保定良斯广告有限公司 91130605MA0A3CQU6F 侯文龙 246 保定市爱珠儿新能源科技有限公司 91130605MA0A3BJF6R 贾占辉 247 保定冉军广告有限公司 91130605MA0A2BCR44 高永 248 保定刊汇酒店管理有限公司 91130605MA0A22QK1P 王海萍 249 保定辰斯商贸有限公司 91130605MA0A1L9H57 佘锡贵 250 河北百瑞食品销售股份有限公司 91130600MA08TY6DXQ 田青青 251 浙江锦业建设有限公司河北分公司 911301080708287949 张哲华 252 保定市珍耀网电子商务有限公司 91130605MA07X8EA6R 纪帅 253 泰安锋驰车业有限公司保定分公司 91130605MA07NM8H90 侯延斗 保定市朝阳北大街1358号尚北岚庭C-2101号 254 保定伟镇投资有限公司 91130605MA07MAD2XK 史伟镇 保定市朝阳北大街1358号尚北岚庭C-1105号 办公 91130605MA07LLCNX3 马卫军 保定市朝阳北大街1358号尚北岚庭c-711号 91130605MA07K4NA1D 张兰英 91130605MA07K36B95 杨严莉 保定市朝阳北大街1358号尚北岚庭C-2105 保定市朝阳北大街1358号尚北岚庭C-610号办 公 256 河北万易德物业服务有限公司保定分 公司 保定市博诚东明商贸有限公司 257 保定市亚普机电设备安装有限公司 255 李顺来 宁申瑶 保定市朝阳北大街1358号尚北岚庭C-1102号 张绍芬 保定市朝阳北大街1358号尚北岚庭C-709办公 田方园 保定市朝阳北大街1358号尚北岚庭C-1503号 李霖 保定市朝阳北大街1358号尚北岚庭C-404号 保定市馨阳亭苑投资有限公司 259 保定承宁电子商务有限公司 商世超 260 保定市久贵企业管理咨询有限公司 杜明 261 保定威得利汽车租赁有限公司 张威 262 保定市润鼎建筑安装工程有限公司 263 保定市启文商贸有限公司 河北东之杰社区传媒有限公司保定分 公司 264 265 91130605MA07K1N953 保定市朝阳北大街1358号尚北岚庭C-1503号 办公 保定市高开区朝阳北大街1358号尚北岚庭C516 保定市朝阳北大街1358号尚北岚庭C-601号办 公 保定市朝阳北大街1358号尚北岚庭C-608号办 公 保定市朝阳北大街1358号尚北岚庭C-1502号 办公 保定市朝阳北大街1358号尚北岚庭C-708号 258 911306053198426806 91130605398816658U 河北华都商贸有限公司 郑纪国 卢翠平 267 石家庄拓导电子科技有限公司保定分 公司 保定仁德商务服务有限公司 268 保定市璞宸商贸有限公司 王璞 保定市朝阳北大街1358号尚北岚庭C-911办公 269 保定中圣重工起重机销售有限公司 李利国 保定市朝阳北大街1358号尚北岚庭2-1102号 270 保定市爱之光商贸有限公司 91130605599912494T 王建河 271 河北嘉扬网络科技有限公司 91130605MA07UPC44Y 张胜志 272 273 保定市诚康商贸有限公司 保定广业恒商贸有限公司 唐山德润人防工程安装有限公司保定 分公司 张超 韩利军 保定市朝阳北大街1358号尚北岚庭C-804号办 公 保定市朝阳北大街朝阳龙座1-3层2-104,2304号商铺 保定市朝阳北大街1178号朝阳龙座02-3215 保定市朝阳北大街1178号朝阳龙座2-516 张博娜 保定市朝阳北大街1178号朝阳龙座1-1904 275 保定诺申电力科技有限公司 周霞 276 保定中博进出口贸易有限公司 刘波 277 278 279 280 281 282 保定蓝港房地产开发有限公司 保定市瑞盈市政工程有限公司 河北分享通信设备制造有限公司 保定市恒阳汽车服务有限公司 保定智胜堂文化传媒有限公司 保定万兴房地产开发有限公司 保定庞大兴沃汽车销售服务有限公司 高开区分公司 266 274 283 284 河北荷滋美生物科技有限公司 285 286 287 288 保定市达悦时尚广场有限公司 保定惠源咨询服务有限公司 保定梦露企业管理咨询有限公司 保定好旺家装饰设计有限公司 91130605MA07YP2A1A 91130605308414058E 91130605058158935J 911306055968193313 房晖 孙子凡 左艳春 李森 于保华 房晖 保定市朝阳北大街1178号朝阳龙座二单元108 号 保定市朝阳北大街1178号朝阳龙座1-1-1904 号 保定市创业路88号1号楼108室 保定市创业路88号11号楼1101 河北省保定市创业路88号802室 保定市创业路122号 保定市创业路88号1号楼108号 保定市创业路88号1号楼108 李文静 保定市创业路369号乐凯数码园内 赵光学 91130605693452180L 91130605669055994R 91130605MA0D0NR2XB 91130605MA0CXWJM69 江昊燃 苏士英 杨梦露 张蕊 保定市朝阳北大街与创业路交叉口西南侧风 能大厦C-11-04号 保定市创业路88号1号楼108 保定市创业路111号 河北省保定市云杉路131号向阳驿A座401室 保定市云杉路131号向阳驿B栋1604号 289 保定盘石商贸有限公司 91130605MA0CP5E31U 杭少松 河北省保定市云杉路131号向阳驿B座1301室 290 291 292 293 294 295 296 297 298 299 300 301 302 303 304 305 306 307 308 309 310 311 312 313 314 315 316 91130605MA0CLLQEXU 91130605MA09WPF11G 91130605MA07URR10P 91130605347878197W 91130605MA0A7MHM25 91130605MA0A6XMH8C 91130605MA0A61B28R 91130605MA0A50Y85K 91130605MA0A50NR08 91130605MA0A50LB74 91130605MA0A3C7W1G 91130605MA0A2BE14N 91130605MA0A1BU02H 91130605MA07NWHL6F 91130605MA07LDP452 沈俊乔 王丽远 王震 张绪 张培培 李永莉 石佳 李鹏飞 宫云捷 李玉喜 桑建军 张晓磊 祝春明 赵华 刘永建 冉太彬 谢光明 李玉良 张宇 胡延秋 欧敏 房建祥 李彦龙 任利平 黄少强 陈钧 马立海 保定市云杉路86号A座207室 保定市云杉路86号6号楼602 保定市云杉路86号C座 保定市云杉路86号C座 保定市云杉路86号C座 保定市云杉路86号C座102室 保定市云杉路86号C座二层 保定市云杉路86号C座 保定市云杉路86号C座三层301 保定市云杉路86号C座4层402室 保定市云杉路86号C座628 河北省保定市高开区云杉路86号C座 保定市云杉路86号 保定市云杉路86号 保定市云杉路86号 保定市高新区云杉路86号 保定市隆兴中路77号隆兴大厦A座1212室 保定市隆兴中路77号隆兴大厦B座2003室 保定市隆兴中路77号隆兴大厦B座2009室 保定市隆兴中路77号隆兴大厦A座504室 保定市隆兴中路77号隆兴大厦B座909室 保定市隆兴中路77号隆兴大厦A座906室 保定市隆兴中路77号隆兴大厦A座909室 保定市隆兴中路77号隆兴大厦A座1305室 保定市隆兴中路77号隆兴大厦A座804室 保定市隆兴中路77号隆兴大厦A座406号 保定市隆兴中路77号隆兴大厦B座1103 91130605MA07LBMF04 郑双杰 保定市隆兴中路77号隆兴大厦A座6层611号房 胡淑华 李小雄 保定市隆兴中路77号隆兴大厦B座1006 保定市隆兴中路77号隆兴大厦B座402 陈志 保定市隆兴中路77号隆兴大厦A座307 321 322 323 324 325 326 保定壹体化商贸有限公司 保定恒鑫文化传媒有限公司 保定市清雨广告有限公司 保定博鑫网络科技有限公司 河北恒锐电气设备制造有限公司 保定博泽通用设备科技有限公司 保定双石商贸有限公司 保定江汁源商贸有限公司 河北麦普伦电子科技有限公司 保定玉玺轴承贸易有限公司 保定市隆之顶商贸有限公司 保定菱宇商贸有限公司 保定市红日网络科技有限责任公司 保定英达机车配件有限公司 保定宝莲永大光电科技有限公司 保定市鑫百商贸有限公司 保定柑平商贸有限公司 保定宏塔商贸有限公司 保定茁蓬新能源科技有限公司 保定荣渥广告有限公司 保定宾牧商贸有限公司 保定良军商贸有限公司 保定春慕商贸有限公司 保定冉海广告有限公司 保定修罗商贸有限公司 河北福之谛兰环保科技有限公司 保定祺凯德投资咨询有限公司 大庆保盈房地产经纪有限公司保定分 公司 保定容学商贸有限公司 保定艾瑞克斯电子科技有限公司 河北柔畅网络科技有限公司保定分公 司 保定顺科商贸有限公司 保定市天云能源科技有限公司 保定启智电气研发有限公司 保定市久禾商贸有限公司 保定恒泰艾普双狐软件技术有限公司 保定市鼎帝商贸有限公司 9113060567603522X8 91130605MA0CE9PC6Y 申卫东 刘娟 孙雪梦 冯欢庆 王大雪 冯红伟 保定市隆兴中路77号隆兴大厦A座504号 保定市隆兴中路77号隆兴大厦A座610号 保定市隆兴中路77号隆兴大厦A座615室 保定市隆兴中路77号隆兴大厦A座301 保定市隆兴中路77号隆兴大厦B座802室 保定市向阳北大街1677号向阳驿A座906室 327 保定海德广告有限公司 91130605MA0CMPKF6N 魏子腾 保定市隆兴中路77号隆兴商务中心A座402室 328 保定智民广告有限公司 91130605MA0CNK5U5B 李晓鹏 保定市隆兴中路77号隆兴商务中心B座1102室 317 318 319 320 911306050894135562 911306050872640751 91130605077473375M 91130605566152329Y 91130605685729848E 91130605672066440H 91130605319875140J 329 保定赛东商贸有限公司 91130605MA0CNK4L5E 王鹏 保定市隆兴西路77号隆兴商务中心B座1003室 330 保定凯世网络科技有限公司 91130605MA0DM12044 高凯凯 331 保定市凯聚商贸中心 91130605MA0DLB4K2D 吴之芳 保定市朝阳北大街尚北岗庭C-406室 保定市朝阳北大街1799号保定·中关村创新 中心A座7层702室 332 中华联合财产保险股份有限公司保定 市高新区支公司 91130605MA0DE37X83 梁娜 333 河北兴府货物运输有限公司 91130605MA09R5GC6P 白金忠 334 保定竹溪电子商务有限公司 91130605MA07XQX042 贾坤 335 336 337 338 339 340 保定廊涿固保城际铁路工程有限公司 保定邮合运输代理服务有限公司 保定清拓商贸有限公司 保定雅莲堂商贸有限公司 保定龙学商贸有限公司 保定华微生物科技有限公司 91130605MA07W8BL1U 91130605MA07UJDD86 91130605MA07UFR50K 91130605MA07U6T32C 91130605MA07RTJK4N 91130605MA07RGTP3W 于学峰 白卫 郝丽 刘雪莲 代云鸽 童宏 341 河北喜鹊建设工程有限公司 91130605MA07QN4N1C 高丁丁 342 河北高康工程项目管理咨询有限公司 91130605MA07M3JTX6 王淼恩 343 河北欣达保温板材有限公司 91130605MA07LMNP96 王英辉 344 保定一步云智能电子技术有限公司 911306053478549025 岳建平 345 346 347 保定市健晖生物科技有限公司 保定市美源堂商贸有限公司 保定金泓交通设施工程有限公司 911306053360303268 马志斌 韩志刚 王永胜 348 保定邮联运输代理服务有限公司 91130605336051493J 尤维维 349 350 351 保定市汇旭源装饰有限责任公司 保定坤泰农业科技开发有限公司 保定市颖禾劳务派遣有限公司 王宏良 王凤英 左淑兰 352 保定市胜玲文化传播有限公司 牛胜玲 353 宏扬创能(北京)电气科技有限公司 保定分公司 354 保定鹏骞商贸有限公司 355 河北雷石伟尔建筑工程有限公司 356 保定维迪沃电力科技有限公司 357 保定程知房地产经纪有限公司 91130605MA0D4D145Q 吴健 358 河北歌元工程技术有限公司 91130605579570562Q 毕兴中 359 360 361 保定丝舒幔商贸有限公司 保定市博翰物业管理有限公司 保定市安驰物流有限公司 91130605670300950G 宋京京 张志红 方红明 9113060507370624XM 91130605599932786G 保定市高开区隆兴路111号2层 保定市锦绣街 677号火炬产业园2-3-201室办 公 保定市隆兴中路77号隆兴商务中心B座四层 402室 保定市鲁岗路125号 保定市隆兴西路345号4幢2单元502 保定市锦绣街678号一层8018室 保定市锦绣街678号一层8018室 保定市锦绣街677号4号通用厂房3-303 保定市锦绣街658号综合车间1-401 保定市隆兴西路345号惠腾公寓4号楼4单元 401号 保定市锦绣街677号火炬产业园2号通用厂房303 保定市隆兴中路133号 保定市朝阳北大街1799号(保定、中关村创 新中心)A座502室 保定市锦绣街677号4号通用厂房3-303 保定市锦绣街677号3号通用厂房1-103 保定市锦绣街677号4号通用厂房 保定市隆兴西路345号惠腾公寓4幢2单元502 号房 保定市锦绣街658号综合车间4-301 保定市隆兴路92号 保定市锦绣街658号办公楼1、4层405室 保定市竞秀街677号火炬产业园1号楼通用厂 房3-2号 王振波 保定市锦绣街677号火炬产业园4号楼1-3 吴静 保定市锦绣街678号电谷家居广场一层1-10号 乔晓新 保定市锦绣街599号 保定市朝阳北大街1362号风能大厦1单元C-910号 河北省保定市隆兴西路192号门脸 河北省保定市高开区朝阳北大街1799号中关 村创新中心B座18层 保定市朝阳北大街1342号 保定市高新区竞秀街658号 保定市竞秀街599号 何爱京 363 364 365 366 保定市绿源保鲜防霉科技开发有限公 司 保定市全一快递服务有限公司 保定市东润建筑装饰材料有限公司 保定市宏腾科贸有限公司 保定市阳光三木家具装饰有限公司 367 保定永特嘉进出口贸易有限公司 91130605MA0D8LKG86 杨双录 368 河北汇坤电子科技有限公司 91130605MA0D1DBW1N 杜朝良 369 保定市格韵广告有限公司 91130605MA0CPQR82U 郭凯 370 保定市喜道商贸有限公司 91130605MA0CQAGJ4U 李龙吟 371 河北进本市政工程有限公司 91130605MA0CQ3GC8F 靳继凯 372 保定旺商电子商务有限责任公司 91130605MA0CP7UA6T 宋佳星 373 保定立禄广告有限公司 91130605MA0CMPJP1R 刘小贝 374 保定启创网络科技有限公司 91130605MA0CF5CBXH 井旭红 375 保定庆兴酒店管理有限公司 91130605MA0CF0XK3M 贾承增 376 保定卓阔商贸有限公司 91130605MA0CF9E2XG 蔺新卫 377 保定世杰网络科技有限公司 91130605MA0CF4F06Q 曹新节 378 保定殊卓商贸有限公司 91130605MA0CF04803 张福利 379 保定创利网络科技有限公司 91130605MA0CEDT200 陆艳丽 380 保定星瀚信息科技有限公司 91130605MA0CE9TDX8 王爱娥 381 兴隆县华云页岩砖有限公司保定分公 司 91130605MA0CCTF83F 张德华 382 保定溪丰市场管理服务有限公司 91130605MA0A1X4W9K 石晶 383 保定莎森商贸有限公司 91130605MA0A8JQ581 庄宇 384 保定联显广告有限公司 91130605MA0A7YWN9B 王丹 385 保定市狼行文化传媒有限公司 91130605MA0A70KP67 马振 386 保定阵菊网络科技有限公司 91130605MA0A701A27 谢细敏 387 保定霜聆广告有限公司 91130605MA0A6F480L 滕呓梦 362 911306056012182083 王东跃 保定市高开区竞秀街599号(原中廉良路2号) 李风山 周从爽 刘建军 杜秀生 保定市朝阳北大街1号路1号 保定市竞秀街599号 保定市锦绣街677号5号楼1单元104-401号 保定市韩村北路345号 保定市复兴西路77号福堡秀域商务楼B座307 室 保定市复兴西路77号福堡秀域商务楼503室 保定市复兴西路77号福堡秀域商务楼1116室 商用 保定市复兴西路77号福堡秀域商务楼A座520 室 保定市复兴西路77号福堡秀域商务楼B座2218 室 保定市复兴西路77号福堡秀域商务楼A区906 室商用 保定市复兴西路77号福堡秀域商务楼A座2907 室 保定市复兴西路77号福堡秀域商务楼一单元 2001室 保定市复兴西路77号福堡秀域商务楼一单元 2002室 保定市复兴西路77号福堡秀域商务楼一单元 1907室 保定市复兴西路77号福堡秀域商务楼一单元 2015室 保定市复兴西路77号福堡秀域商务楼一单元 2010室 保定市复兴西路77号福堡秀域商务楼一单元 1906室 保定市复兴西路77号福堡秀域商务楼A座1514 室 保定市复兴西路77号福堡秀域商务楼A座3009 保定市复兴西路77号福堡秀域商务楼A座1单 元701室 保定市复兴西路77号福堡秀域商务楼1单元 1007号 保定市复兴西路77号福堡秀域商务楼A座2501 室 保定市复兴西路77号福堡秀域商务楼A座2719 室 保定市复兴西路77号福堡秀域商务楼A座3004 室 保定市复兴西路77号福堡秀域商务楼B座1606 室 388 保定良海商贸有限公司 91130605MA0A2RTH4G 杨淑雅 389 保定晨雪酒店管理有限公司 91130605MA0A29YR9B 候晨雪 390 保定倾垚商贸有限公司 91130605MA0A0GCL80 潘志良 391 保定市拉加代尔商贸有限公司 91130605MA09YJWW87 马振 392 保定元茂商务咨询有限公司 91130605MA09XJ7B11 杨树星 393 大连泰丰融和商品经营有限公司保定 分公司 91130605MA07T3U00B 李静 394 保定汇科电子科技有限责任公司 91130605MA07QXD599 巴志军 395 保定中骏房产经纪有限公司 91130605MA07PBJ27J 耿红萌 396 保定作林商贸有限公司 91130602MA07NQ9FXU 张作林 397 保定昀展商贸有限公司 91130605MA07MWX86F 赵鹭 398 保定唐成商贸有限公司第一分公司 91130605MA07LHDL93 赫金枝 399 河北佰驰汽车销售有限公司 91130602MA07LDCE4F 刘乘龙 400 保定博华商贸有限公司 91130605MA07KPDH2X 杜道阳 401 保定厚皇圣文化传播有限公司 91130605MA07K9DJ53 相焕英 402 河北宝汇电子科技有限公司 911306053477086064 张红旗 403 保定一触发电子科技有限公司 404 保定市英辉广告有限公司 405 广州大洋元亨化工有限公司河北分公 司 406 保定市安博服装制造有限公司 911306053082367304 安高兴 407 408 409 保定市新业软件有限公司 保定乾行汽车维修有限公司 保定姜睢酒店管理有限公司 91130605MA07N1U024 91130605MA0A70PG4G 孙有明 郑彦群 乔发亮 410 保定燊雅商贸有限公司 91130605MA0A70HH16 夏如意 411 412 保定归拢网络科技有限公司 保定望康商贸有限公司 91130605MA0A6Y6H9H 91130605MA0A6WE480 艾民 高正兴 413 保定拓冠商贸有限公司 91130605MA0A65UF6Q 王海建 414 保定市心袖健身服务有限公司 91130605MA0CE2FM55 宋迎德 常东彪 91130605329678992X 赵贺英 张春雷 保定市复兴西路77号福堡秀域商务楼B座1302 室 保定市复兴西路77号福堡秀域商务楼B座913 室 保定市复兴西路77号福堡秀域商务楼B座813 室 保定市复兴西路77号福堡秀域商务楼B座519 室 保定市复兴西路77号福堡秀域商务楼A座一单 元709室 保定市复兴西路77号福堡秀域商务楼一单元 3203室 保定市复兴西路77号福堡秀域商务楼一单元 1208号房 保定市复兴西路77号福堡秀域商务楼一单元 511室 保定市复兴西路77号福堡秀域商务楼1单元 2710室 保定市复兴西路77号福堡秀域商务楼一单元 2220号房 保定市复兴西路77号福堡秀域商务楼一单元 1521号房 保定市复兴西路77号福堡秀域商务楼A-2112 室 保定市复兴西路77号福堡秀域商务楼一单元 502号房 河北省保定市复兴西路77号福堡秀域商务楼1 单元602号 保定市复兴西路77号福堡秀域商务楼一单元 305号房 保定市复兴西路77号福堡秀域商务楼一单元 305号房 保定市复兴西路77号福堡秀域商务楼一单元 1603号房 保定市复兴西路77号福堡秀域商务楼一单元 1009号房 保定市复兴西路77号福堡秀域商务楼A座2518 室 保定高新区化纤路118号 保定市银杏路198号 保定市天鹅西路116号茗畅园商办楼402室 保定市茗园路337号吉祥园小区18号楼底商28 号 保定市天鹅西路116号茗畅园商办楼305室 保定市天鹅西路116号茗畅园商办楼302室 保定市复兴西路金迪花园二组团二号楼3单元 6号底商 保定市朝阳北大街789号二楼东侧 415 保定优铭电子商务有限公司 91130605MA0CE6PK37 唐卫星 保定市复兴西路118号创业中心B座6层610室 416 保定阁旺商贸有限公司 91130605MA0CFD2N6N 胡永佳 保定市茗园路337号吉祥园小区18号楼底商26 号 417 保定盟轩信息科技有限公司 91130605MA0CHAUL0R 黄丽苹 保定市朝阳北大街658号发展大厦E座1004室 418 保定二十五小时房地产经纪有限公司 91130605MA0D3QRN6E 赵越超 保定市祥园街83号茗畅园A座16号 419 保定云开文化传播有限公司 91130605MA0E5MDT7X 贺珊珊 保定市朝阳北大街1088号塑叁创库52号二层 420 421 422 423 424 保定落兮酒店管理有限公司 保定黄伊商贸有限公司 保定婉音酒店管理有限公司 保定鉴影广告有限公司 保定央都酒店管理有限公司 91130605MA0A5EX954 91130605MA0A4YNH6K 91130605MA0A3JNT8L 91130605MA0A3GJ905 91130605MA0A1MGH2W 谢琼 林志山 田光成 黄丽萍 万方杰 保定市天鹅中路116号茗畅园商办楼602室 保定市天鹅西路116号茗畅园商办楼606室 保定市天鹅西路338号科技示范楼A座601室 保定市天鹅西路116号茗畅园商办楼506室 保定市天鹅西路116号茗畅园商办楼501室 425 保定泽德商贸有限公司 91130605MA0A0GCB6G 于涛 保定市朝阳北大街658号发展大厦A座1101室 426 427 428 保定鑫磊建筑劳务分包有限公司 保定云帆教育科技有限公司 保定市诺诺商贸有限公司 91130605MA09YJTN5C 91130605MA09RB4N69 91130605MA08BK5B0U 孙幸媛 刘英杰 张海亚 429 保定蓝科房地产经纪有限公司 91130605MA07X6AN1H 王冰 430 河北嵘玥房地产开发有限公司 91130605MA07UEP716 孙堡垒 431 432 91130605MA07UBM74E 91130605MA07U58W3U 高素坤 秦凤祥 91130605MA07RT1J1U 荆志伟 保定市向阳北大街835号 434 435 保定市楷厦商贸有限公司 保定市沣沁商贸有限公司 保定市人从众餐饮服务有限公司第二 分公司 保定市天兰环保科技有限公司 保定岚宝环境治理有限公司 保定市金迪路125号1-1-401 保定市垂柳街101号侨兴小区3号办公楼 保定市朝阳北大街658号发展大厦1101室 河北省保定市高开区天鹅西路116号茗畅园商 务楼803室 保定市银杏路128号金迪花园四组团1单元底 商 保定市朝阳北大街658号10A号 保定市金迪路115号茗畅园商办楼1号门脸 91130605MA07NTDC9B 91130605MA07MNFK5W 陈砚贤 张锁平 436 保定丰谷商贸有限公司 91130605MA07MEAK93 田金钟 437 438 439 440 441 442 443 444 445 446 保定赛宝网络科技有限公司 河北烨韵博体育文化服务有限公司 保定三奇承商贸有限公司 保定市博汇广告装饰有限公司 保定市能恩电气安装有限公司 保定日昌电气制造有限公司 保定正华天鹏网络技术服务有限公司 保定龙德企业管理咨询服务有限公司 保定一方水土文化传媒有限公司 保定捷美旅游服务咨询有限公司 447 保定兰花香商贸有限公司 保定市高开区祥园路33号 保定市生辉街399号3号楼207室 保定市银杏路128号金迪花园二组团3号楼20 号车库 保定市天鹅路338号科技示范楼A座810 保定市复兴西路77号 保定市竞秀街295号D座 保定市吉翔园小区10号楼35号车库 保定市复兴西路118号B号楼6层 保定市高新区西区工业园生力街0169号 保定市金迪璐102号国税局宿舍1-3-201 保定市复兴西路118号 保定市盛兴路335号 保定市祥园路33号C-005号办公 河北省保定市高新技术产业开发区祥园路372 号 433 448 449 450 北京东方步云投资咨询有限公司保定 分公司 保定华天利玖商贸有限公司 周氏保定商贸有限公司 91130605336209975B 91130605329751563P 91130605329813592R 911306053202655182 任进宝 吴曰桦 刘艳花 马克 蔺振川 郭伟 张敏 李青 宋晨辉 高金兰 崔利 91130605308345013N 马卫军 保定市天鹅西路116号茗畅园商办楼411 张丹雷 崔术芹 保定市复兴西路77号 保定市复兴西路118号 451 452 453 454 455 456 457 458 459 460 461 462 463 464 465 466 467 468 469 470 471 472 473 474 475 476 477 478 479 480 481 482 483 484 485 486 487 488 489 490 河北浩瀚生物科技有限公司 河北承耀文化传播集团有限公司 锦州长城建设工程有限公司保定第一 分公司 保定市魔方汽车装饰有限公司 保定市华安管道工程有限公司 国信沃德河北电梯有限公司保定分公 司 保定市巨微房地产开发有限公司 保定农之乐绿色农业开发有限公司 保定东阳汽车贸易有限公司 北京新媒时代广告传媒有限公司保定 第一分公司 视域融合艺术设计(北京)有限公司 保定分公司 保定市华腾广告有限公司 保定玉泽万民商贸有限公司 河北三聚辉电气设备科技有限公司 保定中仕信息咨询有限公司 保定市恒喜商贸有限公司 保定市航凯胶片销售有限公司 保定秋日商贸有限公司 保定市宏创墙艺装饰材料销售有限公 司 保定市源彩广告传媒有限公司 保定融发装饰设计有限公司 河北奇草堂医药科技有限公司 保定市华睿嘉诚汽车租赁有限公司 保定市好车行二手机动车经营有限公 司 北京中进物流有限公司保定分公司 保定市饶益防护设备销售有限公司 保定市金铭自动化技术有限公司 保定市浩瑞环保科技有限公司 保定市蔚蓝海置业有限公司 保定市暖流电子科技有限公司 保定市亚之冠商贸有限公司 保定市则茗商贸有限责任公司 保定市宝璇贸易有限公司 保定市诏天广告有限公司 保定市唯真商贸有限公司 保定市全顺和交通设施有限公司 保定市希奥电力大件运输有限公司 保定吉嘉水族科技有限公司 保定腾泽有色金属经营有限公司 保定市拂克建材有限公司 911306053081123677 91130605308075068T 王海潮 达亚玲 保定市祥园街九号侨兴小区1-2-302 保定市祥园路77号物资楼 董同欣 保定市朝阳北大街766号 张哲 赵振山 保定市隆兴西路322号新世纪花园 保定市天鹅西路338号 91130605089420094M 李晓捷 保定市天鹅西路168号茗畅园商办楼11号 91130605089411235D 孟雄尔 马晓辉 庞湘鸿 保定市朝阳北大街1066号 保定市复兴西路118号 保定市朝阳北大街221号11A号商业 宋景涛 保定市祥园路33号康远综合楼C-005 许兴云 保定市向阳北大街1035号 张金华 杨玉田 李振强 李桂英 邵秋莲 丁建峰 单云和 保定市朝阳北大街658号 保定市海关街2号C-005号办公 保定市竞秀街295号创业中心南院D座516室 保定市朝阳北大街658号发展大厦1101号 保定市天鹅西路116号茗畅园商办楼17号 保定市隆兴西路258号新世纪花园14-3-101 保定市银杏路128号金迪花园办公楼三楼 姜华 保定市银杏路215号 91130605590970567Y 蔺鸿甫 杨红牛 赵锋 郭金城 保定市天鹅西路333号D-2-502 保定市朝阳北大街658号10层 保定市复兴西路118号 保定市高新区竞秀小区A号楼5-302室 9113060658541040X7 李玉春 保定市天鹅西路199号一层门脸 胡明 李书民 历淑云 黄班芳 苑群 李建华 宋亚芬 姚锁贵 王秋桂 杨昆 刘颀 王志平 刘书奎 魏海星 陈淑英 刘录尔 保定市朝阳北大街658号 保定市向阳北大街967号 保定市天鹅路338号科技示范楼A座801-806 保定市竞秀街295号 保定市高开区星光小区3-1-301号 保定市竞秀街295号 保定市银杏路300号 保定市海关街2号四层 保定市竞秀街295号 保定市银杏路313号门脸 保定市祥园路33号康远综合楼 保定市朝阳北大街755号1号附楼 保定市生力街南端 保定市朝阳北大街221号配楼6层 保定市隆兴西路258号 保定市金迪花园二组团2-2-602室 91130605083755010Y 91130605069446705X 911306050554520043 91130605567368682Y 91130605559093615N 91130605550442129C 91130605593565452D 91130605572838204Y 9113060568929655XU 491 492 493 494 495 保定市旺隆贸易有限公司 保定凯星防腐防火工程有限公司 河北盛旺门窗有限责任公司 保定市明翰农业技术有限公司 保定贤界蝉商贸有限公司 496 保定东大太阳能光电科技有限公司 贾云龙 497 498 499 保定金成网络科技有限公司 保定市天平物业服务有限公司 保定市宇恒科技有限公司 何小惠 展晓红 张英民 500 保定市建瑞商贸有限公司 王惠生 501 保定市纺姿布业有限公司 502 504 保定市大自然广告装饰工程有限公司 福建金航国际货运代理有限公司保定 分公司 保定市力达计算机工程有限公司 505 保定南开防伪技术有限公司 506 保定市天成装饰工程有限公司 盛景园(竞秀区/五所接壤 ) 911306056019602183 507 保定正晶商贸有限公司 91130605MA0CNET9X6 何云鹏 508 保定三晓健康管理咨询有限公司 91130605MA07WAHR4T 庄朝亮 509 保定恒强商贸有限公司 91130605MA07ULFQ2Q 要吉超 510 保定市宴遇石锅餐饮有限公司第三分 公司 91130605MA07UHUF7D 连欢 511 保定市蒲菲商贸有限公司 91130605MA07TRBD10 杨军龙 保定市朝阳北大街709号恒通财富中心1127号 512 保定飞越创想计算机技术有限公司 91130605MA07M6LG4F 张超 保定市朝阳北大街709号恒通财富中心1209室 513 保定三创光学仪器科技有限公司 91130605MA07L2TR9M 刘卫东 保定市朝阳北大街709号恒通财富中心907室 514 91130605MA07KEGG30 赵子普 保定市朝阳北大街709号恒通财富中心832 王超 保定市朝阳北大街709号恒通中心1631、1632 516 保定市普赞商贸有限公司 北京一百加教育咨询有限公司保定分 公司 保定市维特商贸有限公司 窦连超 517 保定市星点软件技术有限公司 王赛男 保定市朝阳北大街709号恒通中心1619 保定市高开区朝阳北大街709号恒通财富中心 1812号 518 保定晟哲商贸有限公司 张强 保定市朝阳北大街709号恒通财富中心1701号 519 520 521 522 保定市鑫乐投资有限公司 保定鸿友安防监控工程有限公司 保定市东宇投资有限公司 保定市绮诺装饰设计有限公司 王新乐 安长明 屈文进 刘云 保定市朝阳北大街709号恒通中心1632号 保定市朝阳北大街709号恒通中心二段五层 保定市朝阳北大街709号恒通中心二段五层 保定市朝阳北大街709号恒通财富中心1615 503 515 911306056843283640 911306056785094333 91130605674671644Q 911306057744101779 91130605329676591M 91130605308443414L 91130605098840234G 李彦霞 刘永航 代亚军 李鹏鹏 刘文友 刘伯务 保定市朝阳北大街658号 保定市银杏路555号 保定市高新区西区和睦路138号综合楼 保定市复兴路金迪花园5组团19号车库 保定市天鹅西路162号茗畅园商务楼10号 保定市复兴西路118号创业中心科技园B座313 室 保定市高新区科技园主楼四层 保定市祥园路225号 保定市竞秀街295号C座4楼 保定市高新区金迪花园3组团1单元01号 底商 保定市祥园街81号茗畅园公寓C-2-3 02 保定高新区金迪花园一组团 朱祥 保定市盛兴西路1号院4-1-302号 李 冬 保定市吉翔园17号楼1-601 时明水 保定市盛景路68号8-2-202 张惠敏 保定市江城路248号 保定市朝阳北大街709号恒通财富中心218-1 号门脸 刘金秀 保定市朝阳北大街709号恒通财富中心901室 保定市朝阳北大街709号恒通财富中心11层 1128号 河北省保定市朝阳北大街709号恒通财富中心 底商675号 523 524 525 526 保定市春秋建筑劳务分包有限公司 保定佰卓商贸有限公司 河北鼎月园林绿化工程有限公司 保定市贵威经济信息咨询有限公司 齐伟 张会彬 安伟 王晨曦 保定市朝阳北大街709号恒通中心二段七层 保定市朝阳北大街709号恒通中心1009室 保定市朝阳北大街709恒通中心1512号 保定市朝阳北大街709号恒通中心703室 保定市朝阳北大街709号恒通财富中心218-Q 号门脸 527 保定市隆森商贸有限公司 911306056920637225 李艳玲 528 保定盛跃广告有限公司 91130605689284372Q 刘新忠 保定市朝阳北大街709号恒通财富中心1636室 529 保定路威进出口贸易有限公司 余亚琴 530 保定金泽矿产品销售有限公司 穆洪涛 531 保定市帝森服饰商贸有限公司 冉秀英 保定市朝阳北路218号恒通财富中心1129号 保定市高开区朝阳北大街709号恒通财富中心 1632号 保定市高新区朝阳北大街709号(原218号)恒 通财富中心1726、1723室 533 534 535 536 537 邯郸信翔企业管理咨询有限公司保定 分公司 保定夜游科技服务有限公司 河北爱西美商贸有限公司 保定慧发园林绿化工程有限公司 保定爱心网络科技有限公司 保定修曼商贸有限公司 538 保定市君雅文化传播有限公司 91130605MA08CA0D3H 史金通 539 保定研卉工程管理咨询服务有限公司 91130605MA07WXJ09F 王久洋 540 河北润通医疗器械贸易有限公司 91130605MA07WX1UXQ 王晓杰 541 保定乐哈网络科技有限公司 91130605MA07UMYA50 闫伟 542 543 保定大圆装饰设计有限公司 保定德辉商贸有限公司 91130605MA07QJWB09 91130605MA07PRR21W 吴岳 白紫明 544 保定金石农业技术发展有限公司 91130605MA07PJ3Y93 黄瑞义 545 保定犇亿商贸有限公司 91130600MA07P7TR49 杨森 546 保定冠新建筑装饰工程有限公司 91130605MA07LMNG5J 张亚雄 547 保定齐佳房地产开发有限公司 91130605MA07KEGB2P 李菊生 548 保定品颜商贸有限公司 91130605MA07K1W098 郝明贤 549 550 保定知校网络科技有限公司 保定云海汇盟商贸有限公司 91130605336212058L 彭文杰 雷庆来 551 河北文景国际贸易有限公司 相建忠 552 保定豆豆茏电子商务有限公司 相建忠 553 保定市函艺装饰装修有限公司 刘京平 保定市朝阳北大街899号华康大厦B区1111号 554 保定德玥楼商贸有限公司 殷东方 保定市朝阳北大街899号华康大厦B601 532 91130605MA0CNENH7K 张建民 保定市朝阳北大街899号华康大厦A座1219室 91130605MA0CFA0A9J 91130605MA0CE3R71A 91130605MA0A7UE3XG 91130605MA09YYFW0B 91130605MA08DGNT2U 邵彬 吴玲 王金海 焦娜娜 王亚男 保定市朝阳北大街899号华康大厦A区312号 保定市朝阳北大街899号华康大厦A512室 保定市朝阳北大街899号华康大厦C1008室 保定市朝阳北大街899号华康大厦A座609号 保定市朝阳北大街899号华康大厦A623 保定市朝阳北大街899号华康大厦(沃豪星城 )A座4001室 保定市朝阳北大街899号华康大厦C502 保定市朝阳北大街899号华康大厦(沃豪星城 )B区921号 保定市朝阳北大街899号华康大厦(沃豪星城 )B区921号 保定市朝阳北大街899号华康大厦B803 保定市朝阳北大街899号华康大厦D区702号 保定市朝阳北大街899号华康大厦(沃豪星城 )B区1211号 保定市朝阳北大街899号华康大厦(沃豪星城 )A区408号 保定市朝阳北大街899号华康大厦(沃豪兴城 )D区502号房 保定市朝阳北大街899号华康大厦A303 保定市朝阳北大街899号华康大厦(沃濠星城 )B区925室 保定市朝阳北大街899号华康大厦A区303号 保定市朝阳北大街899号华康大厦B615 保定市朝阳北大街899号华康大厦(沃豪星城 )B区817号房 保定市朝阳北大街899号华康大厦(沃豪星城 )B区817号 555 556 557 559 560 561 562 保定曲腾服装制造有限公司 保定朗元鸿电子科技有限公司 保定佳联国际贸易有限公司 秦皇岛华建卡乐电子科技有限公司保 定分公司 保定市金汇企业管理咨询有限公司 保定市振芝商贸有限公司 保定市赢鼎软件科技服务有限公司 保定市商鲲人才信息咨询有限公司 563 保定日斗金商贸有限公司 564 565 566 保定市诚铁电气设备销售有限公司 保定渤川医药科技有限公司 保定市祥亚进出口贸易有限公司 91130605589662276G 911306055869134637 彭淑英 祁生玉 齐建兵 567 保定市明世生物技术有限公司 91130605571341992U 徐少雄 568 保定市华申广告有限公司 91130605554466291M 田青栋 保定市朝阳北大街899号华康大厦A座1213号 569 保定市新方博众商贸有限公司 杨超 保定市朝阳北大街899号华康大厦A座1018号 570 保定市健泰广告有限公司 朱学军 571 保定市玉腾装饰有限公司 刘磊 保定市朝阳北大街899号华康大厦A区413号 保定市朝阳北大街899号华康大厦(沃豪星城 )B区1113号房 558 911306053988219241 91130605094838671B 91130605069435459F 杨国庆 董芳 杨贤 保定市朝阳北大街899号华康大厦A505号 保定市朝阳北大街899号华康大厦B区908号 保定市朝阳北大街899号华康大厦A区502号 安闯 保定市朝阳北大街899号华康大厦A区1018号 陈圆 毕雷雨 陈志英 魏志猛 保定市朝阳北大街899号华康大厦A区605号 保定市朝阳北大街899号华康大厦A区84号 保定市朝阳北大街899号华康大厦A区418号 保定市朝阳北大街899号华康大厦A区413号 保定市朝阳北大街899华康大厦A座11层1118 号房 保定市朝阳北大街899号华康大厦A区818号 保定市朝阳北大街华康大厦A座4层4011室 保定市朝阳北大街899号华康大厦B区901号 保定市朝阳北大街899号华康大厦同美A座 4011室 柴洁强 573 廊坊科信翔宇检测有限公司保定分公 司 河北弘曦互联网科技有限公司 574 保定市柳华网络科技有限公司 91130605MA0CWGG32G 杨柳 575 保定方舍装饰工程有限公司 91130605MA0CQ3J68L 黄奥哲 576 577 河北朗蒙网络科技有限公司 保定龙旭网络科技有限公司 91130605MA0E6N11X3 91130605MA0D4A7W4T 宫兴云 董龙 578 保定市扑满文化传播有限公司 91130605MA0D4A5W16 李斌 579 580 河北邦盾安防工程有限公司 保定琮秀网络科技有限公司 91130605MA0CTRF56T 91130605MA0CQKBN2E 齐贺 赵秀静 581 保定全全电子科技有限公司 91130605MA0CNJ8W8F 杨春茂 582 583 584 保定航械商贸有限公司 保定匹现商贸有限公司 保定朋洪商贸有限公司 91130605MA0CF5AH65 91130605MA0CEPHG1N 91130605MA0CEBN78Q 曾珊珊 杜政远 李朋 585 保定天焦网络科技有限公司 91130605MA0CEC2G0Y 焦建民 586 587 588 589 保定务斯商贸有限公司 保定多术新能源科技有限公司 保定胶成商贸有限公司 保定立早酒店管理有限公司 91130605MA07UHGA7R 91130605MA0A6XJR0T 91130605MA0A6F368M 91130605MA0A4L371M 杜敏 卢一笑 赵兴 刘莉莉 572 91130605MA0DM4LQ6Y 张志明 保定市朝阳北大街899号华康大厦B座1010号 91130605MA0D11KT1B 沈子瑶 保定市朝阳北大街899号华康大厦A320室 保定市朝阳北大街899号华康大厦(沃豪星城 )B区1010 保定市朝阳北大街899号华康大厦(沃豪星城 )A座8021室 保定市复兴中路3108号康泰国际3区1509室 保定市复兴中路3018号康泰国际2区1310室 保定市复兴中路3108号康泰国际31008、1009室 保定市复兴中路3108号康泰国际1-1306室 保定市复兴中路3108号康泰国际3-1005室 保定市复兴中路3108号康泰国际3区703室商 用 保定市复兴中路3108号康泰国际1-1501室 保定市复兴中路3108号康泰国际2-306室 保定市复兴中路3108号康泰国际1-506室 保定市复兴西路3108号康泰国际15楼3-1511 商用 保定市复兴中路3108号康泰国际2-906室 保定市复兴中路3108号康泰国际1-909室 保定市复兴中路3108号康泰国际1-1703室 保定市复兴中路3108号康泰国际2-905室 590 保定权斯商贸有限公司 91130605MA0A48L899 王永伟 591 保定乾满网络科技有限公司 91130605MA09R6RE51 邢睿智 592 593 594 保定雅颂文化传播有限公司 保定市金助腾企业管理咨询有限公司 保定朋邦商贸有限公司 91130605MA08W9YG0A 91130605MA08B6FE0R 91130605MA07X84R11 薛帅锋 王涛 刘长淼 保定市复兴中路3108号康泰国际2-804室 保定市复兴中路3108号康泰国际12层1单元 1201室 保定市复兴中路3108号康泰国际2-907 保定市复兴中路3108号康泰国际2区1306室 保定市复兴中路3108号康泰国际7-2-07号 595 河北半弘企业管理咨询有限公司 91130605MA07WG28XW 张志辉 保定市复兴中路3108号康泰国际8层1-817室 596 保定顺金通企业管理咨询有限公司 91130605MA07U87B3A 王磊 保定市复兴中路3108号康泰国际11层3单元13 号 597 保定汇正文化传媒有限公司 91130605MA07TY4R0M 王军 保定市复兴中路3108号康泰国际15层3-1511 598 保定昭盟网络科技有限公司 91130605398964976K 刘文昭 599 600 河北桥诚进出口贸易有限公司 保定市桃凌商贸有限公司 91130605MA0A3HB840 91130605MA07TNUY3W 李飞 杜晓娟 保定市复兴中路3108号康泰国际大厦8层1817号 保定市复兴中路3100号华科物业楼320室 保定市复兴路3100号华科物业楼303号 601 保定良食商贸有限公司 91130605MA07P50P8R 李朔 保定市高开区复兴路3100号华科物业楼408室 高兰英 保定市复兴路3100号华科物业楼508室 李建新 保定市复兴路3100号华科物业楼501室 602 603 保定市普惠兰汀经济信息咨询有限公 司 河北三川数字信息亭传媒有限公司保 定分公司 604 山东新龙腾商贸有限公司保定分公司 91130605MA0CF9661G 姜虎 保定市天鹅西路333号世纪大厦A座13层1304 605 606 607 608 保定启尧网络科技有限公司 保定归拢商贸有限公司 保定仙凉广告有限公司 保定莱导酒店管理有限公司 91130605MA0A7W7W8Q 91130605MA0A6FJQ3X 91130605MA0A50P45P 91130605MA0A4GAEXE 李清华 段贵宾 邓雪 张雅楠 609 保定良争商贸有限公司 91130605MA0A2DE36D 韩丹 610 611 612 613 91130605MA0A22N84A 91130605MA08QTY95E 91130605MA081QNU2R 91130605MA07TY709Q 安婷婷 杜宇 张宏宇 李立辉 91130605MA07RTJC9Y 郭月明 保定天鹅中路333号世纪大厦C座702室 615 616 保定轩古商贸有限公司 保定盛宇泽物流有限公司 保定市发现房产经纪有限公司 保定冀藏商贸有限公司 保定市博茂旅游信息咨询服务有限公 司 保定韵微文化传媒有限公司 保定恒昌劳务派遣有限公司 保定市天鹅西路333号世纪大厦A座1603室 保定市天鹅西路333号世纪大厦A座1406室 保定市天鹅西路333号世纪大厦A座512室 保定市天鹅西路333号世纪大厦A座707室 保定市天鹅西路333号世纪大厦A座13层1305 室 保定市天鹅西路333号世纪大厦3层305室 保定市天鹅西路333号世纪大厦5层 保定市天鹅西路333号世纪大厦B座二层 保定市天鹅西路333号世纪大厦A座510室 邓微 崔治中 保定市天鹅西路世纪大厦B座605号 保定市天鹅西路333号世纪大厦401号 617 保定百嘉房地产开发有限公司 张新发 保定市天鹅西路333号世纪大厦B座四层西段 徐建新 保定市天鹅西路333号世纪大厦A座601室 保定市天鹅中路33号容大商务中心327室 保定市天鹅中路33号容大商务中心327室 保定市天鹅中路33号容大商务中心327室 保定市天鹅中路79号兴远现代城商务中心403 室 614 619 620 621 河北一卡通电子支付服务有限公司保 定分公司 河北素封足球俱乐部有限公司 河北秀红广告有限公司 河北素封物业管理有限公司 91130605MA0CDX447N 91130605MA0CDRTA93 91130605MA0CE9U26B 李沈东 李秀红 李沈东 622 保定金械商贸有限公司 91130605MA0A848796 刘润平 618 623 保定秦特商贸有限公司 91130605MA0A801579 曹润虎 624 保定宛彩商贸有限公司 91130605MA0A6KNJ5H 蔺建文 625 626 627 628 保定续亥广告有限公司 保定景丹齐广告有限公司 保定和诚网络科技有限公司 保定大福企业管理咨询有限公司 91130605MA0CEDR951 91130605MA0CEDNW8W 91130605MA0CNLGN0C 91130605MA094MY978 张雪丽 陈小敏 程青梅 刘江涛 保定市天鹅中路79号兴远现代城商务中心402 室 保定市天鹅中路79号兴远现代城商务中心402 室 保定市翠园街723号科技产业园D座405室 保定市翠园街723号科技产业园C座415室 保定市天鹅中路98号九号公寓S-14号门脸 保定市天鹅中路79号兴远现代城505号办公 629 河北金圣康健康管理咨询有限公司 91130605MA08G7AK89 任德明 保定市天鹅中路33号容大商务中心2楼215室 630 631 632 保定市麻辣部落餐饮服务有限公司 保定市丰发企业管理咨询有限公司 保定市浩博文化传播有限公司 91130605MA08208H5K 91130605MA081CME7F 91130605MA08111K24 于鹏飞 刘春波 闫军伟 保定市天鹅中路33号门脸 保定市天鹅中路33号容大商务中心328室 保定市复兴路3100号财智中心底商2号门脸 633 河北铭盛康美健康管理咨询有限公司 91130605MA07XXLQX9 任德明 保定市天鹅中路33号容大商务中心2楼215室 634 635 636 637 638 639 91130605MA07XEDH3D 91130605MA07WY3J5P 91130605MA07TY4N8B 91130605MA07R4650Q 91130605MA07QGNM5J 91130605MA07PQY66M 黄飞龙 田之超 刘进财 张景曼 吴帅兵 董军伟 保定市朝阳北大街799号北国先天下7层 保定市天鹅中路178号佳蓬楼5-701室 保定市天鹅中路79号兴远现代城1-1501 保定市天鹅西路79号兴远现代城509号 保定市天鹅中路33号底商 保定市天鹅中路33号 91130605MA07NYCE2Y 赵晓光 保定市天鹅中路33号商用楼207室 91130605MA07MAD46E 槐建农 保定市翠园街499号 91130605MA07K314XF 91130605MA07K3R37J 李沈东 陈勇 保定市天鹅中路33号 保定市翠园街723号B-301 李虎 保定市朝阳北大街899号同美酒店A座8021室 645 吃族部落河北酒店有限公司 河北明远房产经纪有限公司 保定市正中电子商务有限公司 保定易屋房地产经纪有限公司 保定隆金商贸有限公司 保定市康伟商贸有限公司 广西聚仁农业科技有限公司保定分公 司 北京壹吉网络科技有限公司保定分公 司 河北素封投资有限公司 保定比特好商贸有限公司 北京乾邦知识产权代理有限公司保定 分公司 保定市和顺电子商务有限公司 911306053362821368 陈勇 保定市翠园街723号 646 河北雄厚进出口贸易有限公司 911306053297125568 司春明 保定市翠园街723号科技产业园C座三层厂区 647 河北久别之夜生物科技有限公司 91130605329797182A 司春明 保定市翠园街723号科技产业园C座三层厂区 648 649 650 651 652 653 654 655 656 657 658 659 660 保定市美房房地产营销策划有限公司 河北民科建筑工程有限公司 保定国庆制衣有限公司 保定增尧制衣有限公司 保定市洪儒服装制造有限公司 保定市凯丰商贸有限公司 河北盛基胶带制造有限公司 保定腾博服装制造有限公司 保定鹏博投资有限公司 保定市旺兴饮水设备销售有限公司 保定威诺建筑装饰工程有限公司 保定市方兴房产营销策划有限公司 保定畅游全球国际旅行社有限公司 林广祺 杨小军 杨国庆 朱增尧 史洪儒 付涛 米兴秋 朱增尧 杨哲鹏 李俊霞 刘威风 杨辰峰 钱达 保定市天鹅中路79号兴远现代城510号办公 保定市复兴中路3088号高新园小区3-1-701 保定市天鹅中路79号兴远现代城501号 保定市天鹅中路79号兴远现代城609号 保定市天鹅中路79号兴远现代城509号 保定市朝阳北大街899号A座5020号 保定市天鹅中路33号容大商务中心213室 保定市天鹅中路79号兴远现代城510号 保定市天鹅中路33号 保定市天鹅中路79号兴远现代城416号 保定市天鹅中路33号 保定市天鹅中路79号兴远现代城316号 保定市天鹅西路99号7-3-401 640 641 642 643 644 91130605320028360L 91130605320042533A 91130605319995206Q 91130605308236116J 911306053988221186 91130605398878496B 661 663 664 665 666 保定市智慧行企业管理咨询有限公司 北京开户网络科技有限公司保定分公 司 保定亚欧博联翻译服务有限公司 保定今胜昔经济贸易咨询有限公司 保定市金禾田土地整理有限公司 保定赫阳电气设备制造有限公司 667 保定市中唐商贸有限公司 668 保定鹏旺餐饮服务有限公司 91130605MA0CQH3130 崔鹏 保定市风帆路183号门脸 669 河北融钠投资有限公司 911306055935706229 司春明 保定市翠园街723号科技产业园C座三层厂区 670 671 672 保定恒新生物制品技术开发有限公司 保定市中尚商贸有限公司 保定市圣祥电子科技有限公司 杨博 辛跃章 高新年 673 保定市蕾悦软件科技有限公司 梁彦香 保定市天鹅中路79号兴远现代城402号 保定市天鹅中路79号兴远现代城1-1201 保定市翠园街723号D座办公区四层 保定市翠园街723号科技产业园A座二层AB205 674 保定金道贸易信息咨询有限公司 675 676 677 保定普飞电器销售有限公司 保定市轩昂电力科技有限公司 保定市福顺天成房地产开发有限公司 678 保定德森伟案建筑设计有限公司 679 保定市中城建创艺装饰工程有限公司 保定市华联计算机有限公司高新区分 公司 662 680 681 682 683 684 685 686 687 688 689 690 691 692 693 694 695 91130605056508479X 91130605054025844J 保定市天鹅中路33号 梁建杰 保定市天鹅中路33号 于子良 刘贤 魏文乐 云骥 保定市天鹅中路33号底商201号 保定市天鹅中路79号兴远现代城110号办公 保定市天鹅中路79号兴远现代城202号 保定市复兴路3100号 李敬涛 保定市翠园街236号佳蓬写字楼接建楼310室 9113060557675581XF 司春明 保定市翠园街723号科技产业园C座三层厂区 91130605694677154W 冯子康 刘东 潘福顺 杨帅飞 保定市朝阳北大街899号A座1201室 保定市朝阳北大街709号1739室 保定市高新区复兴中路3111号302、312室 保定市天鹅路兴远现代城商务公寓四单元401 号 保定市天鹅中路33号朝阳财智中心 王英姿 保定市朝阳北大街899号同美酒店A座5012室 兰涛 保定市翠园街723号科技产业园B座4层408室 王会来 保定市朝阳北大街709号H号 王书梅 贾岩军 张红敏 杨占山 胡国权 冯春京 朱凤莲 张志勇 王玉 宋新田 徐小满 张 燕 保定市高新区鑫丰装饰材料市场 保定市翠园街723号 保定市朝阳北大街999号星光国际商务酒店 保定市翠园街968号 保定市翠园街723号 保定市保定市朝阳北大街799号 保定高新区风帆路110号 保定高新区电站中路70号 保定市高新区天鹅中路178号佳篷写字楼 保定市东廉良村28栋3号 保定市城隍庙街81号 保定市阳光南大街138号 保定市南市区莲池南大街94号木制品厂院 内 韩俊茹 91130605693463162P 保定市蓝光盛世动漫创意有限公司 北京翱翔空间展览展示有限公司保定 分公司 保定全程阳光新能源科技有限公司 保定市华软电子科技有限公司 保定飞天航空服务有限公司 保定市中创商务旅游汽车有限公司 保定美特高科技有限公司 保定市庆华兴业家居建材有限公司 保定市双泰贸易有限公司 保定市英杰工贸有限公司 保定煜玉机械有限公司 保定市万普电气有限公司 保定市金荟萃艺术精品有限公司 保定灵光装饰装修工程有限公司 保定市北方塑料有限公司塑料加工分 公司 陈杰 911306057620570541 91130605731434662N 尹晓飞 高新区未公示2019年度、2020年度报告个体工商户名单(670户) 序号 字号名称 统一社会信用代码 经营者姓名 地址 1 2 3 4 5 6 7 8 9 10 11 12 13 14 15 16 17 18 19 20 21 22 23 24 25 26 27 28 29 30 31 32 33 34 35 36 37 38 39 40 41 保定高新区芳行通讯设备销售中心 保定高新区齐富石材经销部 保定高新区国丽塑钢门窗厂 保定高新区北环绝缘件材料厂 保定高新区印象京都纸制品厂 保定高新区静海星家庭农场 保定高新区峰艺工艺品加工厂 保定高新区董兵华日用品经营部 保定高新区全利综合商店 保定高新区城市牧场鲜奶吧 保定高新区一秒农机维修部 保定高新区海河洗车服务部 保定高新区佳妮日用品经营部 保定高新区振兴车行 保定高新区红山便利店 保定高新区健永综合商店 保定高新区运得废品回收站 保定高新区宜家综合商店 保定高新区筑力纸业 保定高新区凤娇日用品经营部 保定高新区康民食品经营部 保定高新区文忠废旧物品回收站 保定高新区义合养殖场 保定高新区盛昌汽车修理厂 保定高新区康斌副食销售部 保定高新区宝信综合商店 保定高新区维奥干洗店 保定高新区国军门窗加工厂 保定高新区同心服装厂 保定高新区宝宁通讯器材经销部 保定高新区鸿雁日化店 保定高新区中航综合商店 保定高新区创鑫货运代理服务部 保定高新区罗兰圣雪装饰材料服务中心 保定高新区瑞达面粉经营部 保定高新区芒果时尚店 保定高新区田源百货商店 保定高新区龙龙综合商店 保定高新区欢欢粮油店 保定高新区霍全有废品回收站 保定高新区明娥化妆品店 92130605MA0A00DY76 92130605MA08LQ5950 闫建 樊祥斌 李国柱 李浩 李峰 郭静 王迪 董兵华 相全利 韩技英 张敬峰 尹宝传 马学敏 尹惠阳 孔德静 马富贵 霍书运 朱学青 崔春松 高姣姣 李丹娜 许文忠 崔义合 高红齐 张二斌 孙宝信 尹洪涛 韩文青 尹惠涛 尹宝钢 陈文娟 张昊琛 王利兰 蔡桂珍 杨春瑞 刘沛然 相佳 左淑英 尹春越 霍全有 党明娥 河北省保定市高新区大马坊乡东营村桃源街888号 河北省保定市高新区大马坊乡大边坨村436号 保定高新区大马坊乡大边坨村村南 保定高新区大马坊乡道口村村南 保定高新区大马坊乡大边坨村 保定高新区大马坊乡大马坊村 保定高新区大马坊乡东营村 保定高新区大马坊乡高屯村 保定高新区大马坊乡道口村 保定高新区大马坊乡东尹庄村 保定高新区大马坊乡东尹庄村 保定高新区大马坊乡东尹庄村 保定高新区大马坊乡张庄村 保定高新区大马坊乡东尹庄村 保定高新区大马坊乡代庄村红山庄园院内 保定高新区大马坊乡大马坊村 保定高新区大马坊乡高屯村 保定高新区大马坊乡大边坨村 保定高新区大马坊乡大马坊村 保定高新区大马坊乡温屯村 保定高新区大马坊乡周庄村 保定高新区大马坊乡大边坨村 保定高新区大马坊乡大马坊村 保定高新区大马坊乡高屯村 保定高新区大马坊乡大马坊村 保定高新区大马坊乡温屯村 保定高新区大马坊乡东尹村 保定高新区大马坊乡大马坊村 保定高新区大马坊乡东尹庄村 保定高新区大马坊乡东尹庄村 保定高新区大马坊乡周庄村 保定高新区大马坊乡东尹庄村 保定高新区大马坊乡大马坊村 保定高新区大马坊乡东尹庄村 保定高新区大马坊乡周庄村 保定高新区大马坊乡大马坊村 保定高新区大马坊乡道口村 保定高新区大马坊乡张庄村 保定高新区大马坊乡东尹庄村 保定高新区大马坊乡周庄村 保定高新区大马坊乡张庄村 92130605MA08T5KX33 92130605MA09X5PT5N 92130605MA099PD210 92130605MA0BHNF91E 92130605MA093Q8C1N 92130605MA0BFUGH11 92130605MA08FAEM2A 42 43 44 45 46 47 48 49 50 51 52 53 54 55 56 57 58 59 60 61 62 63 64 65 66 67 68 69 70 71 72 73 74 75 76 77 78 79 80 81 82 83 84 85 86 87 保定高新区一铭纸制品厂 保定高新区凌宇化学器皿商店 保定高新区治国综合商店 保定高新区国筑沥青经销处 保定高新区春利日用品商店 保定高新区百合商店 保定高新区吉莉日用品商店 保定高新区迎军商店 保定高新区天祥纸业 保定高新区佳欢日化店 保定高新区腾跃五金门市部 保定高新区大月综合商店 保定高新区连刚电动车销售部 保定高新区华月通讯器材经销部 保定高新区小月化妆品店 保定高新区立斌烟酒综合商店 保定高新区丰顺副食调料店 保定高新区雅森干洗店 保定高新区润花日化商店 保定高新区艳芬农资经销部 保定高新区鑫锟综合商店 保定高新区众鑫垒烟酒综合商店 保定高新区杰出粮油店 保定高新区金峰副食综合商店 保定高新区红俊副食综合商店 保定高新区旭东副食综合商店 保定高新区国芝副食综合商店 保定高新区金平综合商店 保定高新区刘海副食商店 保定高新区宝奇烟酒综合商店 保定高新区跃兴副食综合商店 保定高新区继昌副食综合商店 保定高新区小燕子商店 保定高新区刘书峰综合商店 保定高新区保良综合商店 保定高新区鸿鑫混凝土砌块厂 保定高新区荣兴机械厂 保定高新区中秀家具厂 保定高新区利民综合商店 保定高新区鑫锋五金经销部 保定高新区新世纪化妆品商店 保定高新区会英综合商店 保定高新区邵辉综合商店 保定高新区建北兽药经销处 保定高新区喜成议价粮油经销部 保定高新区国筑防水材料厂 92130605MA0A4G1404 92130605MA0B0NPN78 92130605MA0B0B3H5U 92130605MA08LFND2A 92130605MA08F93BXX 92130605MA080KWH1F 92130605MA09U0BH8Y 92130605MA09JEW94A 92130605MA08W0UL1C 相涛 张君玲 刘治国 颜国柱 郭胜利 史艳芬 吉莉 黄迎军 刘宁 宋清亮 许亮 相胜月 薛冬寒 孙会霞 梁月月 王立斌 姜春立 王秀银 韩保让 王艳芬 刘占良 闫东田 张英 郜军 赵红俊 温旭东 朱红艳 于金萍 刘海 陈红军 高伍辉 宋继昌 杨岱东 刘书峰 刘保良 刘建勋 刘学军 赖中苗 姜洪伟 惠鹏 梁月娥 李会英 尹书华 陈新梅 孙喜成 颜国柱 保定高新区大马坊乡东营村 保定高新区大马坊乡大马坊村 保定高新区大马坊乡道口村 保定高新区大马坊乡大边坨村 保定高新区大马坊乡张庄村 保定高新区大马坊乡张庄村 保定高新区大马坊乡张庄村 保定高新区大马坊乡张庄村 保定高新区大马坊乡大马坊村 保定高新区大马坊乡张庄村 保定高新区大马坊乡张庄村 保定高新区大马坊乡东营村 保定高新区大马坊乡东尹庄村 保定高新区大马坊乡张庄村 保定高新区大马坊乡东尹庄村 保定高新区大马坊乡东尹庄村 保定高新区大马坊乡大马坊村 保定高新区大马坊乡东尹庄村 保定高新区大马坊乡大边坨村 保定高新区大马坊乡温屯村 保定高新区大马坊乡东营村 保定市高新区大马坊乡道口村 保定高新区大马坊乡大马坊村 保定高新区大马坊乡温屯村 保定高新区大马坊乡道口村 保定高新区大马坊乡温屯村 保定高新区大马坊乡相庄村 保定高新区大马坊乡东尹庄村 保定高新区大马坊乡张庄村 保定高新区大马坊乡周庄村内 保定高新区大马坊乡高屯村 保定高新区大马坊乡高屯村 保定高新区大马坊乡中南韩村 保定高新区大马坊乡周庄村 保定高新区大马坊乡张庄村 保定高新区大马坊乡温屯村村西 保定高新区大马坊乡温屯村 保定高新区大马坊乡大边坨村 保定高新区大马坊乡大马坊村 保定高新区大马坊乡张庄村村内 保定市高新区大马坊乡东尹庄村南 保定高新区马坊乡东营村 保定高新区东尹庄村内 保定高新区张庄村内 保定高新区马坊乡温屯村内 保定高新区大边坨村南 88 89 90 91 92 93 94 95 96 97 98 99 100 101 102 103 104 105 106 107 108 109 110 111 112 113 114 115 116 117 118 119 120 121 122 123 124 125 126 127 128 129 130 131 132 133 保定高新区索艺餐厅 保定高新区耀闻五金综合商店 保定高新区联保汽修服务中心 保定高新区云霞化妆品店 保定高新区刘静棋牌室 保定高新区张伟五金综合商店 保定高新区众宜洗浴中心 保定高新区笑口常开旅馆 保定高新区蕴泽金属制品加工厂 保定高新区安美驰种植场 保定高新区媛迪综合商店 保定高新区唯美家具加工厂 保定高新区森河家居销售部 保定高新区九塑型材加工厂 保定高新区大元车床电气焊加工厂 保定高新区川雪面粉销售部 保定高新区骏美综合超市 保定高新区吴艳超综合商店 保定高新区丽杰车业经营部 保定高新区东来五金商店 保定高新区永伟门窗加工部 保定高新区金硕塑料制品厂 保定高新区尚妃日化经营部 保定高新区国宾自行车销售部 保定高新区青云理发店 保定高新区刘松综合商店 保定高新区皮雄废旧物品回收站 保定高新区雨顺家庭农场 保定高新区振奋综合商店 保定高新区学友综合商店 保定高新区海河涌江铁艺加工部 保定高新区吴春芳通讯器材经销部 保定高新区树之夏纸制品厂 保定高新区赵欢日用品经营部 保定高新区哲正法兰厂 保定高新区畅兴楼小吃店 保定高新区田红综合商店 保定高新区玲玲日用品经营部 保定高新区天时日用品经销部 保定高新区蔡会养殖场 保定高新区佳音养殖场 保定高新区速达通讯器材销售部 保定高新区晓潇综合商店 保定高新区红颖综合商店 保定高新区美玲综合商店 保定高新区志营家庭农场 92130605MA08LKLY5N 92130605MA08LKLT4F 92130605MA084JPT4D 92130605MA0BPHJ275 92130605MA09AB8P5N 92130605MA0983T60J 92130605MA083BBX0M 92130605MA0BGG3236 92130605MA0BEDDJ7N 92130605MA0BD1WUXT 常树立 范洪昌 范香伟 贾兰云 刘静 张伟 翟忠 郭士超 翟艳宁 王占岭 贾立志 周道俊 高志伟 梁国勋 梁国勋 刘小健 任大波 吴艳超 陈丽杰 郝振明 孙宝生 吕良 张雷 赵国宾 靳峰 刘雪 皮雄雄 刘士锋 皮振生 杨宝钱 范有才 吴春芳 高志强 赵生成 刘洪雷 刘春辉 王东方 杨玉玲 张坤 蔡会 刘佳音 张二民 薛晓潇 吴红颖 张美玲 张建寨 保定市北二环路6050号 河北省保定市高新区贤台乡留马村2区14号 河北省保定市高新区贤台乡留马村2区6号 河北省保定市高新区贤台乡东庄村富兴街28号 河北省保定市高新区贤台乡水北庄村 河北省保定市高新区贤台乡东贤台村东 保定高新区贤台乡大石桥村 保定高新区贤台乡大石桥村 保定高新区贤台乡大石桥村 保定高新区贤台乡西贤台村 保定高新区贤台乡中贤台村 保定高新区贤台乡小营村 保定高新区贤台乡西贤台村 保定高新区贤台乡西贤台村 保定高新区贤台乡西贤台村 保定高新区贤台乡西庄村 保定高新区贤台乡大辛庄村 保定高新区贤台乡东庄店村 保定高新区贤台乡中南韩村 保定高新区贤台乡中南韩村 保定高新区贤台乡西庄村 保定高新区贤台乡西贤台村 保定高新区贤台乡小营村 保定高新区贤台乡西贤台村 保定高新区贤台乡西贤台村 保定高新区贤台乡中贤台村 保定高新区贤台乡西贤台村路西 保定高新区贤台乡东庄村 保定高新区贤台乡西贤台村 保定高新区贤台乡中南韩村 保定高新区贤台乡留马村 保定高新区贤台乡西贤台村 保定高新区贤台乡西贤台村 保定高新区贤台乡小营村 保定高新区贤台乡大石桥村 保定高新区贤台乡大辛庄村 保定高新区贤台乡中贤台村 保定高新区贤台乡中南韩村 保定高新区贤台乡北于庄村 保定高新区贤台乡水北庄村 保定高新区贤台乡水北庄村 保定高新区贤台乡东庄村 保定高新区贤台乡中南韩村 保定高新区贤台乡东庄店村3区34号 保定高新区贤台乡西庄村 保定高新区贤台乡东庄村 134 135 136 137 138 139 140 141 142 143 144 145 146 147 148 149 150 151 152 153 154 155 156 157 158 159 160 161 162 163 164 165 166 167 168 169 170 171 172 173 174 175 176 177 178 179 保定高新区世景综合商店 保定高新区鑫达机械加工部 保定高新区宝星副食综合商店 保定高新区百姓放心综合商店 保定高新区晓霞综合商店 保定高新区永达法兰厂 保定高新区连月寿衣店 保定高新区顺天家庭农场 保定高新区志才家具厂 保定高新区容巨汽车装饰部 保定高新区普顺办公用品销售中心 保定高新区永泰汽车修理厂 保定高新区桐江综合商店 保定高新区信义建筑队 保定高新区李阳副食综合商店 保定高新区新华副食综合商店 保定高新区晓倩便利店 保定高新区鑫丽源日化店 保定高新区益生春综合商店 保定高新区宝来富水族馆 保定高新区宏利塑料包装加工厂 保定高新区众泰不锈钢加工部 保定高新区爱心综合商店 保定高新区兴宝门业 保定高新区聚源烟酒商店 保定高新区诗一综合商店 保定高新区开鑫海服饰店 保定高新区四虎养殖场 保定高新区标的童鞋经营部 保定高新区国光木制品加工厂 保定高新区三元法兰厂 保定高新区齐子五金综合商店 保定高新区卓亿木包装厂 保定高新区静英家具展柜销售处 保定高新区盛强日用品商店 保定高新区荣荣五金商店 保定高新区晓松副食商店 保定高新区永杰副食商店 保定高新区益民粮油店 保定高新区妆水丽人日化店 保定高新区玉荣日杂门市部 保定高新区安腾电脑经营部 保定高新区金豆豆童车店 保定高新区红森源养殖场 保定高新区红森花卉培育园 保定高新区德富副食综合商店 92130605MA089GPP06 92130605MA0BCYJ571 92130605MA096YCG8R 92130605MA0BB8LC07 92130605MA0B133J5T 92130605MA0B1U2076 92130605MA0987RK3G 92130605MA08UXMWX3 王大录 商艳峰 于文志 王子月 陈晓松 刘江永 薛连月 连顺 刘志才 陈四虎 刘长城 刘万里 于超 张建寨 李阳 王新华 蔡晓倩 范稳红 菅立新 赵更保 张凡 李福合 赵红娜 薛健力 马聪 蔡超 周宇双 陈四虎 王金铁 王国起 连俊如 陈大齐 王增 李静 商文平 闫素荣 曹姗姗 杨永杰 陈静 常英齐 王玉荣 李健 薛振永 蔡全友 蔡全友 姜秀芝 保定高新区贤台乡西贤台村 保定高新区贤台乡小东庄村 保定高新区贤台乡东贤台村 保定高开区贤台乡水北庄村 保定高新区贤台乡大石桥村 保定高新区贤台乡大石桥村 保定高新区贤台乡中南韩村 保定高新区贤台乡大石桥村 保定高新区贤台乡水北庄村 保定高新区贤台乡大石桥村 保定高新区贤台乡东庄村 保定高新区贤台乡东庄村 保定高新区贤台乡东贤台村 保定高新区贤台乡东庄村 保定高新区贤台乡东贤台村 保定高新区贤台乡西贤台村 保定高新区贤台乡中南韩村 保定高新区贤台乡大辛庄村 保定高新区贤台乡中贤台村 保定高新区贤台乡大辛庄村 保定高新区贤台乡河南庄村 保定高新区贤台乡河南庄村 保定高新区贤台乡中南韩村 保定高新区贤台乡中南韩村 保定高新区贤台乡留马村 保定高新区贤台乡大辛庄村 保定高新区贤台乡西贤台村 保定高新区贤台乡大石桥村 保定高新区贤台乡西庄村 保定高新区贤台乡东贤台村 保定高新区贤台乡中贤台村 保定高新区贤台乡大辛庄村 保定高新区贤台乡西贤台村 保定高新区贤台乡西贤台村 保定高新区贤台乡中南韩村 保定高新区贤台乡水北庄村 保定高新区贤台乡中贤台村 保定高新区贤台乡杨庄村 保定高新区贤台乡中南韩村 保定高新区贤台乡中南韩村 保定高新区贤台乡水北庄村 保定高新区贤台乡西贤台村 保定高新区贤台乡中南韩村 保定高新区贤台乡水北庄村 保定高新区贤台乡水北庄村 河北省保定市高新区贤台乡东贤台村4区1号 180 181 182 183 184 185 186 187 188 189 190 191 192 193 194 195 196 197 198 199 200 201 202 203 204 205 206 207 208 209 210 211 212 213 214 215 216 217 218 219 220 221 222 223 224 225 保定高新区星宇烟酒综合商店 保定高新区立强租赁站 保定高新区清国建筑设备租赁站 保定高新区海林副食综合商店 保定高新区玲尚理发店 保定高新区贺平综合商店 保定高新区福源烟酒综合商店 保定高新区荣昌食品油经销部 保定高新区老张面粉经销处 保定高新区百佳副食综合商店 保定高新区王机建材经营部 保定高新区顺霞建材经营部 保定高新区腾跃机械加工厂 保定高新区小雨点烟酒综合商店 保定高新区远航农机具维修部 保定高新区向宁汽车驾驶技术服务部 保定高新区佳兴木容器制造厂 保定高新区运温副食综合商店 保定高新区卫新综合商店 保定高新区桂英副食商店 保定高新区文利洗车装饰部 保定高新区顺意纸制品厂 保定高新区振生副食综合商店 保定高新区刘文水综合商店 保定高新区秀娜烟酒综合商店 保定高新区薛连旺综合商店 保定高新区刘英杰烟酒综合商店 保定高新区联合味业副食经销部 保定高新区函宁副食商店 保定高新区军姿日用品经销部 保定高新区王东方综合商店 保定高新区永刚烟酒综合商店 保定高新区途途家电销售部 保定高新区新婷副食综合商店 保定高新区吉银烟酒综合商店 保定高新区英杰综合商店 保定高新区陈嵩烟酒综合商店 保定高新区旺达副食综合商店 保定高新区杨德生综合商店 保定高新区金涛副食综合商店 保定高新区合成烟酒综合商店 保定高新区永胜运输服务部 保定高新区靳学军综合商店 保定高新区一家综合商店 保定高新区张翠山综合商店 保定高新区义隆综合商店 92130605MA08PJLA8B 92130605MA08W9R72P 92130605MA09PRFN9K 92130605MA0A1FJ62E 92130605MA099G5G0B 92130605MA08TL0XX4 92130605MA0B04MR94 92130605MA0B0GXP5R 92130605MA09508978 92130605MA08RK1M2Y 92130605MA0801G17B 92130605MA0AYCR65A 92130605MA08UKKD6Q 连艳雷 刘民 杨清国 王海林 于艳玲 范东东 薛连福 王荣启 张志军 范连锁 杨顺霞 王建军 高亚申 范连军 张阿旺 商向宁 王占其 杨运温 李卫新 史桂英 杨文利 皮红卫 皮振生 刘文水 李卫新 李秀娟 刘英杰 冯晓亮 闫来学 陈军 王东方 曹永刚 皮占良 郭新军 李吉银 王立冬 陈嵩 王新华 杨德生 罗贺旗 王增喜 孙永胜 靳学军 雷雨瑞 张翠山 付占义 保定高新区贤台乡大石桥村 保定高新区贤台乡水北庄村 保定高新区贤台乡杨庄村 保定高新区贤台乡西贤台村 保定高新区贤台乡东贤台村 保定高新区贤台乡留马村 保定高新区贤台乡大次韩村 保定高新区贤台乡中南韩村 保定高新区贤台乡西贤台村 保定高新区贤台乡留马村 保定高新区贤台乡中南韩村 保定高新区贤台乡中南韩村 保定高新区贤台乡中贤台村南 保定高新区贤台乡中南韩村 保定高新区贤台乡东贤台村 保定高新区贤台乡贤台村 保定高新区贤台乡西贤台村 保定高新区贤台乡中南韩村 河北省保定市高新区贤台乡留马村村西 保定高新区贤台乡中南韩村 保定高新区贤台乡中南韩村 保定高新区贤台乡西贤台村 保定高新区贤台乡西贤台村 保定高新区贤台乡中贤台村 保定高新区贤台乡中贤台村 保定高新区贤台乡中南韩村 保定高新区贤台乡东贤台村 保定高新区贤台乡东贤台村 保定高新区贤台乡西庄村 保定高新区贤台乡西庄村 保定高新区贤台乡中贤台村 保定高新区贤台乡中贤台村 保定高新区贤台乡西贤台村 保定高新区贤台乡东庄村 保定高新区贤台乡小营村 保定高新区贤台乡大次韩村 保定高新区贤台乡西庄村 保定高新区贤台乡西贤台村 保定高新区贤台乡西庄村 保定高新区贤台乡杨庄村 保定高新区贤台乡西庄村 保定高新区贤台乡西庄村 保定高新区贤台乡小次韩村 保定高新区贤台乡东南韩村村内 保定高新区贤台乡河南庄村 保定高新区贤台乡北于庄村 226 227 228 229 230 231 232 233 234 235 236 237 保定高新区郝长贺综合商店 保定高新区刘荣军综合商店 保定高新区刘艳梅综合商店 保定高新区孙凤琼综合商店 保定高新区四方摩托车销售部 保定高新区路宝自行车经销部 保定高新区范永顺综合商店 保定高新区和诚家电经营部 保定高新区连江水暖太阳能门市部 保定高新区吴彦明综合商店 保定高新区焦点理发店 保定高新区友尔烟酒综合商店 92130605MA0AY3X34R 92130605MA0BFM746L 郝长贺 刘荣军 刘艳梅 孙凤琼 赵放 段宝辉 范永顺 皮合成 崔连江 吴彦明 李康宁 张友尔 238 保定高新区瑞阁超市 92130605MA09X5WM2L 王喜为 239 保定高新区浩鑫综合商店 姜小坤 保定高新区贤台乡北于家庄 保定高新区贤台乡河南庄村 保定高新区贤台乡大石桥村 保定高新区贤台乡北于庄村 保定高新区贤台乡西贤台村 保定高新区贤台乡西贤台村 保定高新区贤台乡留马村内 保定高新区贤台乡西贤台村 保定高新区贤台乡贤台村西 保定高新区贤台乡东庄店村 河北省保定市祥和路昭华锦城A区东04号门脸 河北省保定市祥和路99号昭华锦城A区东07号底商 河北省保定市阳光北大街3225阳光盛景A7座一单元 11号底商 保定高新区阳光北大街阳光盛景小区A5-1底商 240 保定高新区阳光副食商店 苑金凤 保定高新区阳光北大街阳光盛景小区A7号楼8号门脸 241 张敬格 保定市港园路6号 242 243 244 245 246 247 248 249 250 251 252 253 254 255 256 257 258 259 保定高新区泽安货物运输代理咨询服务 部 保定高新区满峰酒家 保定高新区梁国强综合商店 保定高新区永胜机械模型制作修理部 保定高新区连花保洁服务部 保定高新区张记烧饼铺 保定高新区月晨日用品店 保定高新区畅达五金水暖经营部 保定高新区苗苗自选超市 保定高新区聚友综合商店 保定高新区马院家乡菜馆 保定高新区永兴综合商店 保定高新区红旭五金商店 保定高新区东旭五金店 保定高新区木林世佳装饰材料经销处 保定高新区兴旺废品收购站 保定高新区马红增综合商店 保定高新区俊豪综合商店 保定高新区庸德尚日用综合服务社 刘学峰 梁国强 梁增林 崔连花 张立辉 马宏文 汤斌 马艳涛 马志奎 马晓月 马立猛 李宏艳 赵军帅 郭新娜 胡景旺 马红增 王永娜 刘红英 260 保定高新区悦筑建材经销部 261 保定高新区满顺商行 钱继红 262 保定高新区别致沙发经销处 王莉莉 263 保定高新区旺居布艺 彭惠芳 264 保定高新区伟悦建材经销处 高彦强 保定高新区花庄村 保定市高新区花庄村南 保定高新区花庄二区6号 保定市花庄村 保定市朝阳北大街曹庄村东 保定高新区曹庄村 保定高新区曹庄内 保定市曹庄村 保定市高新区曹庄村 保定市高新区曹庄村 保定市高新区曹庄村 保定高新区大马坊乡花庄村 保定高新区大马坊乡花庄村 保定高新区大马坊乡花庄村 保定高新区大马坊乡花庄村 保定高新区大马坊乡曹庄村道育才街15号 保定高新区大马坊乡曹庄 保定高新区大马坊乡曹庄村 河北省保定市乐凯北大街3188号红星方北建材市场C 区一层1822号 河北省保定市乐凯北大街3188号方北商业广场C区 8082号 保定市乐凯北大街3188号A区C8021号 保定市乐凯北大街3188号保定方北商业广场C区三层 3102-3103号 保定市乐凯北大街3188号保定方北红星美凯龙家居 生活广场2层2745号 92130605MA0AY8LP16 92130605MA096MF542 92130605MA0AYQ7FXE 92130605MA0A124N0B 金五臣 92130605MA09MY0M8Y 郭雄豪 纪建华 叶建朋 郝娟 雷娜 张晓燕 陈志高 92130605MA0BH8T14Q 李彦昊 保定高新区涟和家具销售部 保定高新区日盛地板销售处 92130605MA08M3R47J 和凇 田凤池 286 保定高新区索华装饰材料经销部 92130605MA0AYW105F 张贺 287 保定高新区金石动漫数码设计工作室 戎宁 保定市乐凯北大街3188号方北装饰材料市场一楼C区 1201 保定市乐凯北大街3188号保定方北商业广场C区二层 2739号 保定市乐凯北大街3188号保定方北商业广场C区二层 2413、2414号 保定市乐凯北大街3188号A区负一层F8005 保定市乐凯北大街3188号A区负一层F8060 保定市乐凯北大街3188号A区负一层F8050 保定市乐凯北大街3188号A区三层C8089 保定市乐凯北大街3188号A区二层B8088 保定市乐凯北大街3188号A区二层B8017 保定市乐凯北大街3188号A区二层B8062 河北省保定市乐凯北大街3188号红星方北建材市场B 区一层8005 保定市乐凯北大街3188号A区一层A8096 保定市乐凯北大街3188号A区一层A7024 保定市乐凯北大街3188号A区三层C8113 保定市乐凯北大街3188号A区四层D8086 保定市乐凯北大街3188号A区四层D8039 保定市乐凯北大街3188号A区四层D8066 保定市乐凯北大街3188号A区负一层F8008 河北省保定市乐凯北大街3188号红星方北建材市场C 区2727、2728号 保定市乐凯北大街3188号A区三层C8097 保定市乐凯北大街3188号C区2319 河北省保定市乐凯北大街3188号红星美凯龙C区2层 2714号 保定北二环中路5699号大学科技园七号楼301—19 288 保定高新区建东平面设计工作室 张建东 河北省保定市朝阳北大街1358号尚北岚庭C-1106号 289 290 291 292 293 294 295 296 297 298 299 300 301 302 303 304 保定高新区洁雅日用品经营部 保定高新区创宇房地产经纪服务部 保定高新区国缘烟酒综合商店 保定高新区孔艺装饰服务部 保定高新区证伟装饰材料经销部 保定高新区阳昊家电设备经营部 保定高新区一家亲私房菜馆 保定高新区桐昕装饰材料经营部 保定高新区金日装饰材料经营部 保定高新区鸿博装饰材料经营部 保定高新区蜀都装饰材料经营部 保定高新区伟航装饰商行 保定高新区大诚凯歌装饰材料经营部 保定高新区欧宝装饰材料经营部 保定高新区中洁保洁服务部 保定高新区美心装饰材料经销处 王军 单松 王洪全 魏大超 程二伟 段景鹏 张贤 左冬旭 王永明 吴占杰 蒲仕明 和红卫 闵敦献 权晓娜 张敏 齐晓明 河北省保定市朝阳北大街1358号尚北岚庭C-604号 河北省保定市朝阳北大街1358号尚北岚庭C-717号 保定市朝阳北大街1352号尚北岚庭C-1-02号 保定市朝阳北大街1178号朝阳龙座三层A区6-12号 保定市朝阳北大街1178号朝阳龙座二层B区5-11号 河北省保定市朝阳北大街1178号龙座一层 河北省保定市朝阳北大街1178号朝阳龙座1-104号 保定市朝阳北大街1178号龙座一层A区6-12号 保定市朝阳北大街1178号龙座二层北5-北6号 保定市朝阳北大街1178号龙座二层B区60号 保定市朝阳北大街1178号龙座二层B区34号 保定市朝阳北大街1178号龙座三层A区5号 保定市朝阳北大街1178号龙座二层A区2-8号 保定市朝阳北大街1178号龙座二层A区13号 保定市朝阳北大街1178号龙座小区3单元201室 保定市朝阳北大街1178号龙座二层B区6-8号 265 保定高新区洁鑫秀五金建材经营部 姚泽梅 266 保定高新区建兴家具销售部 杨美见 267 保定高新区刘英装饰材料经销部 刘小英 268 269 270 271 272 273 274 保定高新区高扬陶瓷经营处 保定高新区艾佳家具经销处 保定高新区尚博玻璃经销部 保定高新区丰硕家居经销处 保定高新区茗萱地板销售处 保定高新区英堡地板销售部 保定高新区超然厨卫用品销售部 92130605MA09MY0WX7 92130605MA09ECP97R 92130605MA0BT7WWXU 陈志高 刘强生 张玉静 刘瑞峰 贾烨华 陈静 刘娜 275 保定高新区泉鑫厨卫用品经销部 92130605MA09MQR16N 师学锋 276 277 278 279 280 281 282 保定高新区芮豪家居经销处 保定高新区宝达地毯经销处 保定高新区旭晨家居销售处 保定高新区宜美家居经销处 保定高新区雷奥家居经销处 保定高新区爱维美家具销售处 保定高新区壶公山陶瓷经营处 283 保定高新区太美软装经销处 284 285 92130605MA09PYH29E 92130605MA082UFM26 305 306 307 308 309 310 311 312 313 314 315 316 317 318 319 320 321 322 323 324 325 327 328 329 保定高新区兴隆副食综合商店 保定高新区欣旺装饰材料经营部 保定高新区东盛装饰材料经销处 保定高新区奥诚装饰材料经营部 保定高新区禾嘉商行 保定高新区锋线环保技术研发中心 保定市高新区佳创包装材料经销部 保定高新区沈庄福祥玻璃纤维厂 保定高新区兴达电气厂 保定高新区丰泽苑餐厅 保定高新区莱特企业策划工作室 保定高新区居宜之友家具经销部 保定高新区舒越图文设计工作室 保定高新区多多小吃部 保定高新区双艳日用品经销部 保定高新区静峰日用品经销部 保定高新区李氏快餐店 保定高新区艺雅森邦装饰装修服务部 保定高新区盛合五金建材经销部 保定高新区新视野装饰装修部 保定高新区顺发烟酒综合商店 保定高新区朝阳北大街顺发汽车装饰服 务部 保定高新区水木足道休闲会馆 保定高新区永兴门窗销售部 保定高新区鹏飞图文设计工作室 330 保定高新区万华办公用品经营部 邢立民 331 332 333 334 335 336 337 338 339 340 341 342 343 344 保定高新区秀玉日用品经营部 保定高新区鑫盛装饰材料经营部 保定高新区闫占民西医内科诊所 保定高新区北斗星通导航技术服务中心 保定高新区爱车汽车配件经销部 保定高新区金迪花园丽萍干洗店 保定高新区施尔图书阅览室 保定高新区顺达电子产品经销部 保定高新区茗畅园宝岛咖啡茗茶专卖店 保定高新区茗畅园华雅保健休闲城 保定高新区茗畅园洗衣中心 保定高新区贝贝乐家庭服务部 保定高新区日昌日用品经营部 保定高新区甜辣快餐店 刘玉田 王海群 闫占民 韩永兰 梁胜利 钱丽萍 朱逸茜 郑立涛 陈东文 范文良 马爱华 刘连萍 石平 李晴 河北省保定市复兴西路金迪花园四号楼底商一号 保定高新区金迪花园小区一组团八单元08号车库 保定市银杏路128号金迪花园一组团二单元602号 保定市银杏路128号金迪花园小区一组团8单元08号 车库 保定市高新区金迪花园六组团独立单元101号 保定市复兴路金迪花园二组团2-2号门脸 保定高新区银杏路128号(金迪花园4组团2号) 保定高新区金迪花园小区一组团8单元8号车库 保定市复兴西路金迪花园二组团2号楼1-1号底商 保定高新区金迪花园1组团1单元101号 河北省保定市天鹅西路116号茗畅园商办楼511室 河北省保定市天鹅西路115号茗畅园商办楼512号 保定高新区茗畅园A座底商12号 保定高新区茗畅园商务楼1号 保定高新区茗畅园公寓A座20号 河北省保定市垂柳街67号 保定市高新区垂柳街67号 河北省保定市茗园路61号星光小区5号门脸 345 保定高新区宏鑫康按摩服务中心 孙仁棉 河北省保定市茗园路50号金霞别墅F202二单元102号 346 347 保定高新区小会日用品经销部 保定高新区意佳服装经营部 宋亚会 张小会 河北省保定市茗园路337号吉翔园小区3-4-401号 保定市高新区茗畅街58号竞秀小区10车库 326 92130605MA08TG3EXQ 92130605MA09X6Q587 92130605MA0BG13KXU 92130605MA09YBX354 李运章 么凤莲 颜东 田宝文 周丽萍 罗建凯 李金霞 朱福祥 申苏晴 王永红 孙振江 白坤 贾惠民 姜玲玲 刘艳芬 王静 耿敏毅 王楠 王江峰 王奇 陈永涛 保定市朝阳北大街1178号朝阳龙座小区内 保定市朝阳北大街1178号龙座北1号 保定市朝阳北大街1178号龙座二层A区30-36号 保定市朝阳北大街1178号龙座二层A区29-31号 保定市云杉路115号办公楼 河北省保定市云杉路132号 保定市沈庄村 保定市沈庄村西 保定市竞秀街658号 保定市隆兴西路105号 保定市隆兴中路77号B座5-505室 河北省保定市锦绣街678号电谷家居广场 河北省保定市朝阳北大街1358号C-2101号 保定市朝阳北大街1156号 保定市锦锈街658号综合车间2-201-C室 保定市锦锈街658号综合车间2-204-B室 保定市朝阳北大街1168号 保定市朝阳北大街龙座B-2-1009号 保定市朝阳北大街风能大厦一单元606号 保定市朝阳北大街龙座二单元604号 保定市朝阳北大街1399号 陈永娟 保定市朝阳北大街152号 何小兰 刘海涛 于金焱 348 349 350 351 352 353 354 355 356 357 358 359 360 361 362 保定高新区文成日用品经销部 保定高新区腊珍缝补服务部 保定高新区乐膳食品经营部 保定高新区全智童装经销部 保定高新区方纪童装经销部 保定高新区李民童装经销部 保定高新区张涛童鞋经销部 保定高新区金手指手机装饰部 保定高新区兰梦珠宝店 保定高新区晓华玉翠珠宝店 保定高新区石缘斋珠宝店 保定高新区翠玉缘珠宝店 保定高新区玉儿坊珠宝店 保定高新区美红珠宝经营部 保定高新区盛瑞珠宝商行 363 保定高新区嘉和珠宝商行 马嘉 364 365 366 367 368 369 370 371 372 373 374 375 376 377 378 保定高新区西西日用品经营部 保定高新区嘉澍化妆品经营部 保定高新区蜂果食品店 保定高新区宜人坊鞋店 保定高新区卡罗拉花艺用品店 保定高新区乐饮奶吧 保定高新区聚尚服装经营部 保定高新区喜万家便利店 保定高新区亮视眼镜店 保定高新区爱上我服装店 保定高新区一朵棉服装店 保定高新区酷发造型美发店 保定高新区小桃源精品服装屋 保定高新区龙发保洁服务部 保定高新区你型我塑美发工作室 王文柳 史洋 李京宁 田勇 梁东华 付素会 陈紫欣 张娜 赵树强 白宇鹤 孙烨 尤卫号 葛迎涛 郭志学 王保发 379 保定高新区乐乐过桥米线店 黄利霖 380 381 382 383 384 385 386 保定高新区满意服装店 保定高新区云华服装店 保定高新区金浓皮具经销部 保定高新区祥和服装店 保定高新区利霖阳光服装店 保定高新区竞秀小区恰其制衣社 保定高新区泰和朗洁清洁技术服务部 保定高新区化纤路红雨卫生保洁服务中 心 保定高新区荣祥纺织坊 保定高新区筱静保健品商店 保定市高新区润乐超市 苏良全 王云华 王伟蒲 张清磊 黄利霖 李淑仙 张海龙 保定市高新区茗园路337号 河北省保定市朝阳北大街916号保百购物广场四楼 河北省保定市朝阳北大街916号保百购物广场二层 保定市朝阳北大街916号保百购物广场北楼四层 保定市朝阳北大街916号保百购物广场北楼四层 保定市朝阳北大街916号保百购物广场北楼四层 保定市朝阳北大街916号保百购物广场北楼四层 保定市朝阳北大街916号 保定市复兴西路77号直隶珠宝古玩城2-69号 河北省保定市复兴西路77号二单元47号 河北省保定市复兴西路77号一层29号 河北省保定市复兴西路77号一单元26号 河北省保定市复兴西路77号1单元65号 河北省保定市复兴77号1-80号 河北省保定市复兴西路77号直隶古玩城一层16号 河北省保定市复兴西路77号直隶珠宝古玩城一层39 号 河北省保定市隆兴中路77号 河北省保定市木兰街80号 河北省保定市木兰街10号 保定市木兰街78号 保定高新区竞秀街38号 保定高新区竞秀街62号 河北省保定市竞秀街92号 河北省保定市竞秀街295号B楼底商 河北省保定市竞秀街295号B号楼底商 保定市竞秀街38号 保定市竞秀街34号 保定市竞秀街295号 保定市竞秀街56号 保定市高新区竞秀街295号创业中心 保定市高新区竞秀街36号 保定市盛兴西路325号竞秀小区6号楼(原F楼)底商 10号门脸 保定市盛兴西路竞秀小区6号楼底商10号 保定市盛兴西路竞秀小区底商6号 保定市高新区竞秀小区车库68号 保定市盛兴西路竞秀小区6号楼4号门脸 保定市高新区竞秀小区6号楼10号门脸 保定高新区竞秀小区6号楼11号门脸 保定市复兴路118号 李杰 保定高新区化纤东路18号 黄荣祥 尹筱静 许立诺 保定高新区天鹅西路218号 保定市银杏路126-11门脸 保定市祥园路336号吉翔园小区7号楼03号门脸 387 388 389 390 92130605MA0C043R9G 92130605MA0BR6NE1M 92130605MA0985Y76B 92130605MA0BLFXU8T 92130605MA0AXYWL41 92130605MA09848K4D 刘栋臣 舒腊珍 孙鹏飞 刘全智 方纪 李民 张涛 李义彬 李殿宁 院晓华 刘安 周霞 张品清 宋荣华 矫毅 391 保定高新区好好童装店 梁尚肖 河北省保定市隆兴西路258号商业楼底商 392 保定高新区良田小菜馆 高秀东 河北省保定市隆兴西路258号(向阳北大街1065号) 393 394 395 396 397 398 399 400 401 402 403 404 405 406 407 408 409 410 411 412 413 414 415 416 417 418 419 420 421 422 423 424 425 426 427 428 429 430 431 432 433 434 435 保定高新区诚信电子商行 保定高新区璀璨美容馆 保定高新区福康食品经营部 保定高新区晖璜擦鞋店 保定高新区尚品衣居服装店 保定高新区福强烟酒综合商店 保定高新区莎能山谷羊奶坊 保定高新区贾记菜馆 保定高新区鼎鼎捞火锅店 保定高新区加和体育用品经营部 保定高新区匠心装饰装修设计服务部 保定高新区锦华装饰装修设计工作室 保定高新区富强烟酒综合商店 保定高新区橡木缘休闲吧 保定高新区仁和旅馆 保定高新区小峰鲜肉店 保定高新区雅馨日用品经营部 保定高新区龙凯门窗经营部 保定高新区云海动漫城 保定高新区宏宇装饰设计服务部 保定高新区会敏蔬果经营部 保定高新区蕾丝化妆品经营部 保定高新区富民兽药经销部 保定高新区茗畅园益民按摩服务部 保定高新区光和空调维修服务部 保定高新区衣格服装店 保定高新区茂源烟酒综合商店 保定高新区红日日用品经营部 保定高新区源禾家具用品商行 保定高新区超艺图文工作室 保定高新区捷迅电脑服务部 保定高新区宏强烟酒综合商店 保定高新区好市多日用品综合商店 保定高新区向东建材经销处 保定高新区鸿雁电气经营部 保定高新区波比服饰店 保定高新区唐韵雅筑休闲馆 保定高新区鑫泰藏宝轩礼品店 保定高新区盛丰烟酒综合商店 保定高新区德盛斋美食园 保定高新区文利达办公用品图文服务部 保定高新区王氏山东菜馆 保定高新区建国烟酒综合商店 王建新 路改红 徐志荣 金玲 王利新 程秀菊 卢进中 贾海伟 梁海平 王贺 刘志华 郝瑞华 温广如 朱学军 刘淑霞 刘锋 杨晓君 连凯 郑本清 臧青云 赵会敏 齐蕾 杨梅 徐明伟 王志 吴杏坤 汪春茂 张红娜 张玉峰 路旭 张硕 高强 李洪霞 马俊荣 刘默函 廉晓静 徐军 梁德福 李铁军 杨彤 王惠敏 王兆富 李文素 河北省保定市复兴西路118号 河北省保定市保定市天鹅西路242号 保定市向阳北大街753号门脸 保定市银杏路307号门脸 保定市向阳北大街717号 保定市天鹅西路398号 保定市天鹅西路102号 保定市向阳北大街641号 保定市向阳北大街875号 保定市祥园路33号 保定市祥园路33号C-503号 保定市祥园路33号C-507号 保定高新区向阳北大街10号 保定市银杏路312号门脸 保定市向阳北大街吉翔园小区19-1-102号 保定市盛兴西路便民市场6号摊位 保定市向阳北大街753号 保定市向阳北大街981号 保定市朝阳北大街658号 保定市向阳北大街1005号新世纪花园底商 保定市银杏路161-2号 保定市高新区竟秀街224号 保定市向阳北大街1033号 保定市高新区祥园路161号 保定市天鹅西路99号国税局宿舍4-3-401号 保定市竟秀街76号 保定市祥园路92号 保定市隆兴西路258号新世纪花园7-2-502号 保定市天鹅路338号科技示范楼A座806号 保定市吉翔园小区15-3-302号 保定市祥园路33号 保定市天鹅西路398号 保定市祥园路267号 保定市向阳北大街767号 保定市银杏路571号 保定市祥园路318号 保定市高新区银杏路128号 保定市天鹅西路150号 保定市银杏路303号门脸 保定市银杏路305号 保定市天鹅西路398号 保定市向阳北大街1199号 保定市向阳北大街128-3号 92130605MA0954HH0T 92130605MA0A73547R 92130605MA09CK7A1G 92130605MA09RA7043 436 437 438 439 440 441 442 443 444 445 446 447 448 449 450 451 452 453 454 455 456 457 458 459 460 461 462 463 464 465 466 467 468 469 470 471 472 473 474 475 476 477 478 479 480 保定高新区兴明汽车配件销售部 保定高新区金平儿童用品经销部 保定高新区贺氏育发堂 保定高新区绿轩发型设计室 保定市高新区艳君烟酒商店 保定高新区国华烟酒商店 保定高新区朝阳北大街曼特诗咖啡专卖 店 保定高新区天鹅西路庄胜服饰精品店 保定高新区金迪路万达电脑服务部 保定高新区腾翼汽车美容服务中心 保定高新区茗朴茶文化传播中心 保定高新区魔锅坊餐厅 保定高新区宏顺烟酒综合商店 保定高新区泉韵茶堂 保定高新区恒顺铝塑门窗配件销售部 保定高新区天华门窗配件经销部 保定高新区博瑞汽车装饰美容服务部 保定高新区张晔房地产中介服务部 保定高新区圆满一生殡仪服务部 保定高新区衣势服装店 保定高新区柒度理发店 保定高新区锦源家电经营部 保定高新区力道按摩服务部 保定高新区丽家爱婴用品经营部 保定高新区金兰日用品经营部 保定高新区品捞火锅店 保定高新区娇曼家电经销部 保定高新区李洋果蔬经营部 保定高新区玲玲快餐店 保定高新区运旺日用品经营部 保定高新区晓超口腔诊所 保定高新区宠丫丫宠物用品店 保定高新区申爱俊西医内科诊所 保定高新区芦捷日用品经营部 保定高新区盛德斋快餐店 保定高新区龙威火锅城 保定高新区老胖小吃店 保定高新区四益轩小吃部 保定高新区永芳日用品经销部 保定高新区清心茶艺馆 保定高新区中顺汽车修理部 保定高新区丽明按摩服务部 保定高新区康倍德保健品商店 保定高新区易达汽车配件经营部 保定高新区权健食品养生馆 92130605MA0993X61E 92130605MA098X5M0N 92130605MA0AWG4W1T 92130605MA08FLDT35 92130605MA08HT9L59 92130605MA09QY8X03 92130605MA0A123R7E 92130605MA094RUF4X 92130605MA0BR6MQ3G 92130605MA08JMAJ7N 92130605MA09KALA72 杨占涛 李金平 张丽梅 郭倩 付磊 徐宗玉 保定市向阳北大街1023号 保定市保百购物广场一楼 保定市高新区吉翔园18楼23号 保定市高新区祥园街83号 河北省保定市隆兴西路258号新世纪花园18号底商 保定市天鹅西路世纪大厦底商 倪东来 保定市朝阳北大街保百购物广场一楼 董玉珠 马志宁 赵烁 宋伯轩 韩太航 孙秀梅 冯岩 任育民 杜仲良 吉惠玲 张晔 朱丽国 牛清 辛雪松 高金兰 李冰峰 常哲 高金兰 弓嫣梅 张萌 李洋 孙小六 王春菊 芦捷 孟洁 申爱俊 芦捷 王维虎 隗立威 冯彦铭 刘凯 霍永朝 高月 陈素英 甄丽明 甄丽明 张建辉 张迎 保定市天鹅西路199号 保定高新区金迪路129号 河北省保定市隆兴西路322号 河北省保定市隆兴西路302号 保定市隆兴西路306号 保定市隆兴西路104号 保定市隆兴西路192号 保定市隆兴西路208号 保定市隆兴西路202号 保定市隆兴西路318号 河北省保定市祥园路241号 河北省保定市祥园路239号 河北省保定市祥园路215号 河北省保定市祥园路111号 河北省保定市祥园路33号 河北省保定市祥园路151号 河北省保定市祥园路251号 河北省保定市祥园路33号 河北省保定市银杏路180号门脸 河北省保定市银杏路577号 河北省保定市银杏路523号门脸 河北省保定市银杏路129号 河北省保定银杏路561号 河北省保定市银杏路591号门脸 河北省保定市银杏路559号 河北省保定市银杏路589号 河北省保定市银杏路591号门脸 河北省保定市银杏路305号门脸 河北省保定市银杏路300号门脸 河北省保定市向阳北大街1177号 河北省保定市向阳北大街817号 保定市向阳北大街2999号 河北省保定市天鹅西路116号3号门脸 河北省保定市向阳北大街793号 河北省保定市向阳北大街1029号门脸 河北省保定市向阳北大街1029号门脸 河北省保定市向阳北大街1015号 河北省保定市向阳北大街1055号门脸 481 482 483 484 485 486 487 488 489 490 491 492 493 494 495 496 497 498 499 保定高新区双达汽车配件经销部 保定高新区熠辉文化用品经销部 保定高新区建兵电动车修理部 保定高新区佳彤保健按摩服务部 保定高新区红缘保健服务部 保定高新区天海水族店 保定高新区祥福翡翠店 保定高新区宇达办公用品经营部 保定高新区京品阁美容院 保定高新区双萍饺子馆 保定高新区春霞美容形象工作室 保定高新区正阳通讯器材经销部 保定高新区金骑士户外渔具店 保定高新区筷食尚快餐店 保定高新区宋贵渊中医内科诊所 保定高新区成铭汽车配件经销部 保定高新区蓓蕾化妆品经营部 保定高新区广昌人家饭店 高新区保定高新区可爱可亲母婴用品店 500 保定高新区梓逸化妆品经营部 501 502 503 504 505 506 507 508 509 510 511 512 513 514 515 516 517 518 519 520 521 522 523 524 525 保定高新区娜妮服装店 保定高新区月月服装店 保定高新区晚乐康食品经营部 保定高新区鸿泽办公用品经营部 保定高新区馨瑶日用品经营部 保定高新区康丽百货商店 保定高新区盼盼日用品经营部 保定高新区紫橙日用品经销部 保定高新区海龙电子商行 保定高新区傲道户外用品商店 保定高新区朝阳北大街上岛咖啡店 保定高新区金龙计算机服务部 保定高新区帆影服装经销部 保定高新区新杰日用品经销部 保定高新区彤彤日用品经销部 保定高新区美瑶日用品经销部 保定高新区炫酷日用品经销部 保定高新区巧乐服装经销部 保定高新区沐春服装经销部 保定高新区欢欣服装经销部 保定高新区新月日用品经销部 保定高新区风雅家居用品经销部 保定高新区妮雅日用品经销部 保定高新区丽颜日用品经销部 保定高新区姗然日用品经销部 92130605MA08TDBC67 92130605MA098HBC32 92130605MA0AYA1J0G 92130605MA098MUP48 92130605MA0BF6YG2T 续晓亮 王寿新 刘兵建 孟军英 齐晓红 邵惠霞 贾晓凯 王新宇 耿京京 冯小华 杨春霞 李肖肖 杨振宇 王淑香 宋贵渊 于振华 苑蓓 王淑苹 王愿 河北省保定市向阳北大街1079号门脸 河北省保定市朝阳北大街 河北省保定市向阳北大街673号 河北省保定市向阳北大街1033号 河北省保定市向阳北大街669号 河北省保定市向阳北大街753号门脸 河北省保定市向阳北大街717号 河北省保定市天鹅西路398号 河北省保定市向阳北大街1035号 河北省保定市向阳北大街641号 河北省保定市天鹅西路世纪大厦D座1单元601 河北省保定市向阳北大街639号 河北省保定市向阳北大街809号 河北省保定市向阳北大街813号 河北省保定市向阳北大街1029号 保定市向阳北大街 保定市朝阳北大街899号华康大厦B座8012室 河北省保定市朝阳北大街899号华康大厦C101号 河北省保定市朝阳北大街899号华康大厦899-1号 秦凤久 河北省保定市朝阳北大街899号华康大厦B区8012号 宗欣娜 张馨月 孔祥波 王那 葛伟伟 王彩芹 高盼 高华 刘海龙 刘瑞萍 史桂花 金卫红 庞占岭 崔建革 庞浩 赵志敏 高娟 石亚彬 胡少森 王卫兰 李蒙蒙 孟成群 吴大跃 庞雪健 孟成福 保定市朝阳北大街899号华康大厦A座906号 保定市朝阳北大街899号华康大厦B座1006号 保定市朝阳北大街899号华康大厦B座1110号 保定市朝阳北大街899号华康大厦A座12层1205号 保定市朝阳北大街899号华康大厦A座415号 保定市朝阳北大街899号华康大厦B座1005室 保定市朝阳北大街709号恒通财富中心1016号 保定市朝阳北大街709号恒通财富中心1018号 保定市朝阳北大街709号恒通中心1119室 保定市朝阳北大街恒通财富中心218-Q号 保定高新区恒通财富中心D、E、F座 保定市天鹅中路25号容大商城负一层西-1号 保定市天鹅中路25号容大商城负一层O-1号 保定市天鹅中路25号容大商城负一层P-03号 保定市天鹅中路25号容大商城负一层P-01号 保定市天鹅中路25号容大商城负一层A1号 保定市天鹅中路25号容大商城负一层G7号 保定市天鹅中路容大商城负一层Z1号 保定市天鹅中路容大商城负一层Z7号 保定市天鹅中路25号容大商城负一层I5号 保定市天鹅中路25号容大商城负一层B5号 保定市天鹅中路25号容大商城负一层K2号 保定市天鹅中路25号容大商城负一层H3号 保定市天鹅中路25号容大商城负一层H4号 保定市天鹅中路25号容大商城负一层G5号 526 527 528 529 530 531 532 533 534 535 536 537 538 539 540 541 542 543 544 545 546 547 548 549 550 551 552 553 554 555 556 557 558 保定高新区唯优日用品经销部 保定高新区小强儿童玩具经销部 保定高新区冲锋文体用品经销部 保定高新区佳宁日用品经销部 保定高新区百搭日用品经销部 保定高新区心之恋日用品经销部 保定高新区诚和日用品经销部 保定高新区朵朵日用品经销部 保定高新区优嘉日用品经销部 保定高新区贝蒂服装经销部 保定高新区奇乐佳日用品经销部 保定高新区弘凯日用品经销部 保定高新区花思语日用品经销部 保定高新区云阳电器经销部 保定高新区完美家居用品经销部 保定高新区格调日用品经销部 保定高新区酷玩日用品经销部 保定高新区乐宝服装经销部 保定高新区铭品服装经销部 保定高新区水晶坊日用品经销部 保定高新区美巢宠物用品经销部 保定高新区非凡电器经销部 保定高新区雅光日用品经销部 保定高新区美艺家居用品经销部 保定高新区广汇日用品经销部 保定高新区贝乐淘儿童服装经销部 保定高新区欣悦服装经销部 保定高新区美佳日用品经销部 保定高新区轩轩日用品经销部 保定高新区泽洋日用品经销部 保定高新区汇雅家居用品经销部 保定高新区净研化妆品经销部 保定高新区千百饰日用品经销部 559 保定高新区睿艳服装店 92130605MA09YBK59R 王立波 560 保定高新区广存美发店 92130605MA09B4R16Q 张雷 561 保定高新区天晨快餐店 562 563 保定高新区转角食品销售部 保定高新区唯有美食快餐店 92130605MA0930WT2C 郎亚娟 周舟 564 保定高新区鹏飞食品经营部 92130605MA08Q9F9XM 侯二鹏 565 高新区思域小吃店 92130605MA0BE96C4J 宁静 李秀轻 王红 李思达 孟飞宇 孟璐 赵志飞 李伟 段占良 臧常亮 王桂香 李克雷 臧庆田 臧栋良 王立祥 赵书龙 臧国胜 崔新民 李秀芬 李秀红 赵书明 臧小香 马瑜 臧国顺 胡振祥 陈文彬 臧小祥 李秀芳 臧四代 赵亚超 王宁 杜新立 司立朵 王岩 董贤杰 保定市天鹅中路25号容大商城负一层B3号 保定市天鹅中路25号容大商城负一层D9号 保定市天鹅中路25号容大商城负一层C3号 保定市天鹅中路25号容大商城负一层B13号 保定市天鹅中路25号容大商城负一层G8号 保定市天鹅中路25号容大商城负一层C5号 保定市天鹅中路25号容大商城负一层J1号 保定市天鹅中路25号容大商城负一层N7-8号 保定市天鹅中路25号容大商城负一层N1-2号 保定市天鹅中路25号容大商城负一层E6号 保定市天鹅中路25号容大商城负一层B2号 保定市天鹅中路25号容大商城负一层D5号 保定市天鹅中路25号容大商城负一层A2-3号 保定市天鹅中路25号容大商城负一层F1-2号 保定市天鹅中路25号容大商城负一层G1-2号 保定市天鹅中路25号容大商城负一层B4号 保定市天鹅中路25号容大商城负一层D7-8号 保定市天鹅中路25号容大商城负一层I2号 保定市天鹅中路25号容大商城负一层E5号 保定市天鹅中路25号容大商城负一层A6号 保定市天鹅中路25号容大商城负一层E1-2号 保定市天鹅中路25号容大商城负一层F4-5号 保定市天鹅中路25号容大商城负一层J2-3号 保定市天鹅中路25号容大商城负一层G3号 保定市天鹅中路25号容大商城负一层C1-2号 保定市天鹅中路25号容大商城负一层I3-4号 保定市天鹅中路25号容大商城负一层E1-2号 保定市天鹅中路25号容大商城负一层B7号 保定市天鹅中路25号容大商城负一层A5号 保定市天鹅中路25号容大商城负一层A4号 保定市天鹅中路25号容大商城负一层G4号 保定市天鹅中路25号容大商城负一层H1号 保定市天鹅中路25号容大商城负一层C3号 河北省保定市朝阳北大街799号北国先天下广场三层 北侧 河北省保定市朝阳北大街799号北国先天下广场二楼 东北角 保定高新区朝阳北大街799号北国超市旧楼负一层先 天下店外卖区 保定市朝阳北大街799号北国超市负一层 保定市朝阳北大街799号北国先天下广场负一层 河北省保定市朝阳北大街799号北国先天下广场负一 层 河北省保定市朝阳北大街799号北国先天下广场负一 层 566 保定高新区玥芙服装经营部 宁静 567 保定高新区柠檬食品经营部 赵志新 河北省保定市朝阳北大街799号北国先天下广场负一 层 河北省保定市朝阳北大街799号北国先天下负一层 568 保定高新区滂泽服装经销部 韩英刚 河北省保定市朝阳北大街799号北国先天下广场二层 569 保定高新区瀚浠服装经销部 韩英刚 河北省保定市朝阳北大街799号北国先天下广场二层 570 571 572 573 574 575 576 577 578 579 580 581 582 583 584 585 586 587 588 589 590 591 592 593 594 595 596 597 598 保定高新区隆发服装经营部 保定高新区兴隆服装经营部 保定高新区鸿运服装经营部 保定高新区佐菲特服装经营部 保定高新区欧圣弘服装经营部 保定高新区卡轩娜服装经营部 保定高新区盛格恒服装经营部 保定高新区彬宇日用品经营部 保定高新区罟山工艺品店 保定高新区顺鑫鞋店 保定高新区惠佳服装经营部 保定高新区天泰服装经营部 保定高新区玉环服装经营部 保定高新区森垚化妆品经营部 保定高新区玉芳服装经营部 保定高新区根根食品店 保定高新区芬芳服装经营部 保定高新区富鑫烟酒综合商店 保定高新区依依鞋店 保定高新区鸿鸿服装经销部 保定高新区陆通食品经营部 保定高新区鑫帅服装经营部 保定高新区景祥日用品经营部 保定高新区一麻一辣餐厅 保定高新区巴贝拉意式餐厅 保定高新区韩媚化妆工作室 保定高新区彩艺工艺品销售部 保定高新区安源日用品商店 保定高新区颖韵时尚美甲店 安素平 张武举 李蕾 吕会明 刘淑琴 陈淑清 刘成忠 张丽 邹英 王俊玲 吕楠 曹利娜 杨玉环 杨新华 苏洁 贾航 杨玉芳 孙建平 孙雪珊 张丽梅 王岩 丁建鹏 张仟 陈军 孟庆想 张丽莎 李雪姣 赵秀媛 翟春颖 599 保定高新区美色美妆日化用品商店 徐潇潇 600 601 保定高新区称心日用品经销店 保定高新区天利布艺店 保定高新区朝阳北路涛运绿色装饰材料 经销部 保定高新区千圣尚品皮具店 保定高新区汉琳美容院 保定高新区鸿儒读书苑 保定高新区丞丞食品便利店 赵英 田野 保定市朝阳北大街799号北国先天下广场二层 保定市朝阳北大街799号北国先天下广场二层 保定市朝阳北大街799号北国先天下广场二层 保定市朝阳北大街799号北国先天下广场二层 保定市朝阳北大街799号北国先天下广场二层 保定市朝阳北大街799号北国先天下广场二层 保定市朝阳北大街799号北国先天下广场二层 保定市朝阳北大街799号北国先天下广场负一层 保定市朝阳北大街799号北国先天下广场负一层 保定市朝阳北大街799号北国先天下广场三层 保定市朝阳北大街799号北国先天下广场二层 保定市朝阳北大街799号北国先天下广场一层 保定市朝阳北大街799号北国先天下广场二层 保定市朝阳北大街799号北国先天下旧楼负一层 保定市朝阳北大街799号北国先天下广场二层 保定市朝阳北大街799号北国先天下广场六层 保定市朝阳北大街799号北国先天下广场二层 保定市向阳北大街799号 保定市朝阳北大街799号北国先天下广场一层 保定市朝阳北大街799号北国先天下广场二层 保定市朝阳北大街799号北国先天下广场负一层 保定市朝阳北大街799号北国先天下广场负一层 保定市朝阳北大街799号北国先天下广场一层 保定市朝阳北大街799号北国先天下广场六层 保定市朝阳北大街799号北国先天下广场六层 河北省保定市朝阳北大街899号B楼1207号 保定市朝阳北大街899号 保定市朝阳北大街899号同美酒店1510室 保定市朝阳北大街899号同美B座1019号 保定高新区朝阳北大街899号(同美酒店B座1206、 1207号) 保定市朝阳北大街899号A区6001号 保定市朝阳北大街899号鑫丰市场二楼 王雅丽 保定市朝阳北大街899号鑫丰市场A区57-59号 梁斯怡 赵艳红 赵丽华 李倩 河北省保定市天鹅中路98号九号公寓1-1号 河北省保定市天鹅中路79号兴远现代城1-2201号 河北省保定市天鹅西路333号世纪大厦A座603室 保定市天鹅西路333号世纪大厦一楼 602 603 604 605 606 92130605MA08CRNL1Q 92130605MA08J0TD9T 92130605MA098PKQ7K 92130605MA0A23TH9X 607 保定高新区球动力台球厅 608 保定高新区琪博文建材销售部 609 610 611 612 613 614 615 616 617 618 619 620 621 622 623 624 625 626 保定高新区欧德装饰材料店 保定高新区鑫晨装饰材料经营部 保定高新区老李装饰材料经销部 保定高新区欧尚美居衣柜经销部 保定高新区宝塔山涂料经营部 保定高新区宏运装饰材料经销部 保定高新区好运来布艺饰品经销部 保定高新区利达门业经销部 保定高新区钰昌装饰材料商行 保定高新区健华电动工具经销部 保定高新区鑫鑫雕刻饰品经销部 保定高新区苏丰装饰材料经销部 保定高新区惠丰装饰材料经销部 保定高新区圣达西灯饰经销部 保定高新区明鑫装饰材料经销部 保定高新区天顺装饰材料经销部 保定高新区百利莱五金建材经销部 保定高新区俊思服装店 保定高新区新华汽车驾驶技术咨询服务 部 保定市鑫丰市场新会装饰材料经营部 保定高新区福宇建材销售部 保定高新区雅士利涂料专卖店 保定高新区聚兴装饰材料经营部 保定高新区恒艺装饰材料经营部 保定高新区大津装饰材料经销部 保定高新区朝阳北大街恒发绿色装饰材 料经销部 保定高新区水必克装饰材料经营部 保定高新区悠扬茶艺会所 保定高新区灵动计算机商行 保定高新区灵云日用品销售部 保定高新区丁氏快餐店 保定高新区韩松快餐店 保定高新区双月日用品经营部 保定高新区杨国福麻辣烫店 保定高新区小刘快餐店 保定高新区寒寒骨汤拉面店 保定高新区阿婧锅烧快餐店 保定高新区欣欣佳宴快餐店 保定高新区阿辉小吃店 保定高新区茂松小吃部 保定高新区口味香麻辣小吃店 627 628 629 630 631 632 633 634 635 636 637 638 639 640 641 642 643 644 645 646 647 648 649 李贲 92130605MA0838TT4E 92130605MA09FRTC37 胡成 刘向前 李国明 高继东 袁虎彪 王静 毕文芹 范振华 张文红 邱健华 李艳江 齐步群 俞凤霞 赵丹 董学良 孙顺利 曹新丽 杜超 保定市天鹅西路333号世纪大厦B座副一层 河北省保定市朝阳北大街755号宜家建材市场B区12 号 保定市朝阳北路755号宜家建材市场C区门脸 保定市朝阳北大街755号B区34-36号 河北省保定市朝阳北大街755号一层25号 河北省保定市朝阳北大街755号一层B2号 保定市朝阳北大街755号一号附楼一层B区6号 保定市朝阳北大街755号1-附楼一层B32号 保定市朝阳北大街755号1-附楼一层C28号 保定市朝阳北大街755号1-附楼一层A30号 保定市朝阳北大街755号1-附楼一层 保定市朝阳北大街755号1-附楼一层C26号 保定市朝阳北大街755号1-附楼一层C36号 保定市朝阳北大街755号1-附楼一层B35号 保定市朝阳北大街755号1-附楼一层A区12号 保定市朝阳北大街755号1-附楼一层A9-11号 保定市朝阳北大街755号1-附楼一层B26号 保定市朝阳北大街755号1-附楼一层B24号 保定市朝阳北大街755号1-附楼一层A8-10号 保定市朝阳北大街999号星光国际商务酒店内 刘德生 保定市高新区向阳北大街999号 刘新会 翟涛 袁铁军 黄卫国 张勇 张爱军 河北省保定市南市区鑫丰市场C区129-131号 保定市高新区鑫丰市场B区9号 保定市高新区鑫丰市场B区22-24号 保定市高新区朝阳北大街鑫丰市场B区11号 保定市高新区鑫丰市场B区13-15号 保定市高新区鑫丰市场三楼 甄分彦 保定高新区鑫丰市场 殷小玲 黄建伟 李阳 李玲 丁大伟 韩松 李双月 逄万春 刘晶晶 高末寒 李 婧 薛宾宾 张素英 卢茂松 于川宝 保定高新区鑫丰市场A区32-38号 保定市复兴路3100号 保定市复兴路3100号财智中心517室 保定市天鹅中路33号底商 保定市天鹅中路65号 河北省保定市天鹅中路25号 河北省保定市翠园街298号华科新星座301502室 河北省保定市天鹅中路25号门脸 河北省保定市天鹅中路25号 河北省保定市天鹅中路25号 河北省保定市天鹅中路25号 河北省保定市天鹅中路25号 河北省保定市天鹅中路25号 河北省保定市天鹅中路25号 河北省保定市天鹅中路25号 郝士博 650 651 652 653 654 655 656 657 658 659 660 661 662 663 664 665 666 667 668 保定高新区红磊快餐店 保定高新区潮香阁小吃部 保定高新区阿福包子铺 保定高新区百通信息技术咨询服务部 保定高新区梵音经济咨询服务部 保定高新区初美美容院 保定高新区北软计算机技术服务部 保定高新区宏腾装饰设计室 保定高新区凤凰阁美容院 保定高新区泉心化妆品销售部 保定高新区曲记麻辣面馆 保定高新区美望美容院 保定高新区瑾馨堂和田玉经营部 保定高新区宝龙斋工艺品经销部 保定高新区诚信经济信息咨询服务中心 保定高新区盛鹏烟酒综合商店 保定高新区关中老吴家快餐店 保定高新区建英布衣店 保定高新区朝阳北大街老田装修院 669 保定高新区青柚美容会所 92130605MA09RJEG45 刘瑜 670 保定高新区雅各厨具经销处 92130605MA0DCWQJ2P 赵静敏 92130605MA0BP02T3U 92130605MA0BF0HG88 92130605MA0B0BBC54 师磊 苏硕 汪为福 徐春峰 彭学 陈建雨 张纪伟 曹喜 李素玉 彭全新 曲贵金 齐继春 崔宇 顾培渊 杨建州 韩大鹏 吴立君 郑建英 田培银 河北省保定市天鹅中路25号 河北省保定市天鹅中路25号 河北省保定市天鹅中路33号 河北省保定市翠园街723号 河北省保定市翠园街723号科技园A座三层 河北省保定市天鹅中路65号门脸 保定市朝阳北大街709号11楼1135号 保定市天鹅中路33号 保定市天鹅中路33号 保定市翠园街87号406室 保定市天鹅中路79号兴远现代城102号 保定市朝阳北大街989号 保定市朝阳北大街709号 保定市朝阳北大街196号星光酒店内 保定市朝阳北大街766号404室 保定市秀园路119号 保定市朝阳北大街709号K号门脸 保定市高新区翠园街 保定市高新区秀园路117号 河北省保定市复兴西路3108号康泰国际3单元701-2 室 拼多多平台: http://shop.pinduoduo.com/1jhmbc1w;淘宝网平 台:https://shop383704172.taobao.com 高新区未公示2019年度、2020年度报告农民专业合作社名单(5户) 序号 企业名称 1 2 3 4 5 保定市高新区福川养殖农民专业合作社 保定高新区英营胜达果蔬农民专业合作社 保定高新区文春果品蔬菜农民专业合作社 保定市高新区鹏宇牛羊养殖农民专业合作社 保定市高新区坤泰果蔬专业合作社 统一社会信用代码 93130605L37191368U 法定代表人 地址 温喜财 王继学 王文春 周晓光 左文东 保定市高新区大马坊乡温屯村 保定市高新区大马坊乡东营村村南 保定高新区贤台乡水北庄村 保定市高新区贤台乡西庄村 保定市高新区贤台乡小次韩村

高新区1370户长期停业未经营市场主体名单.xls




