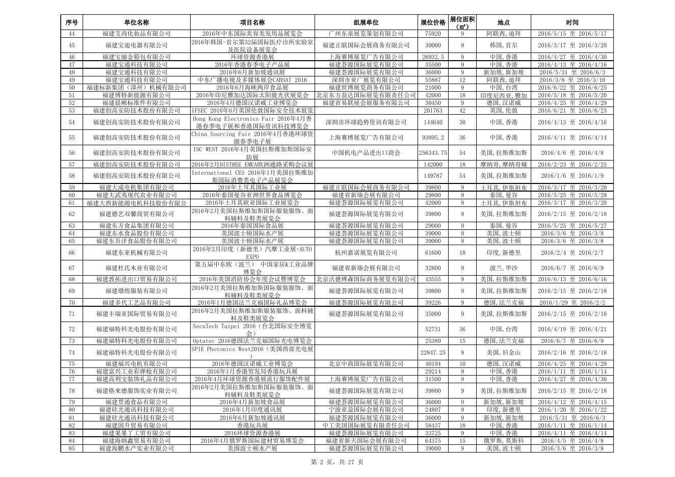
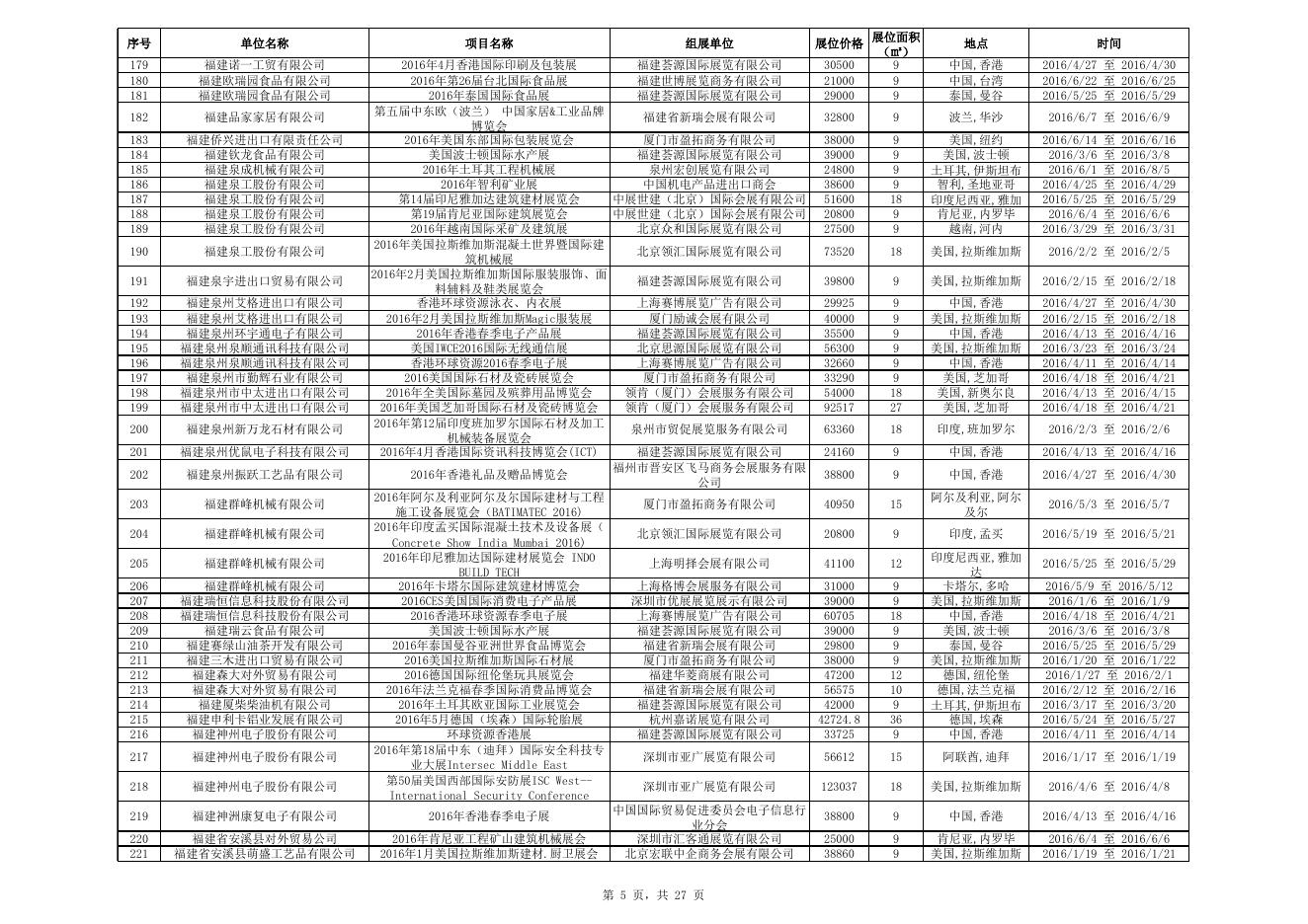
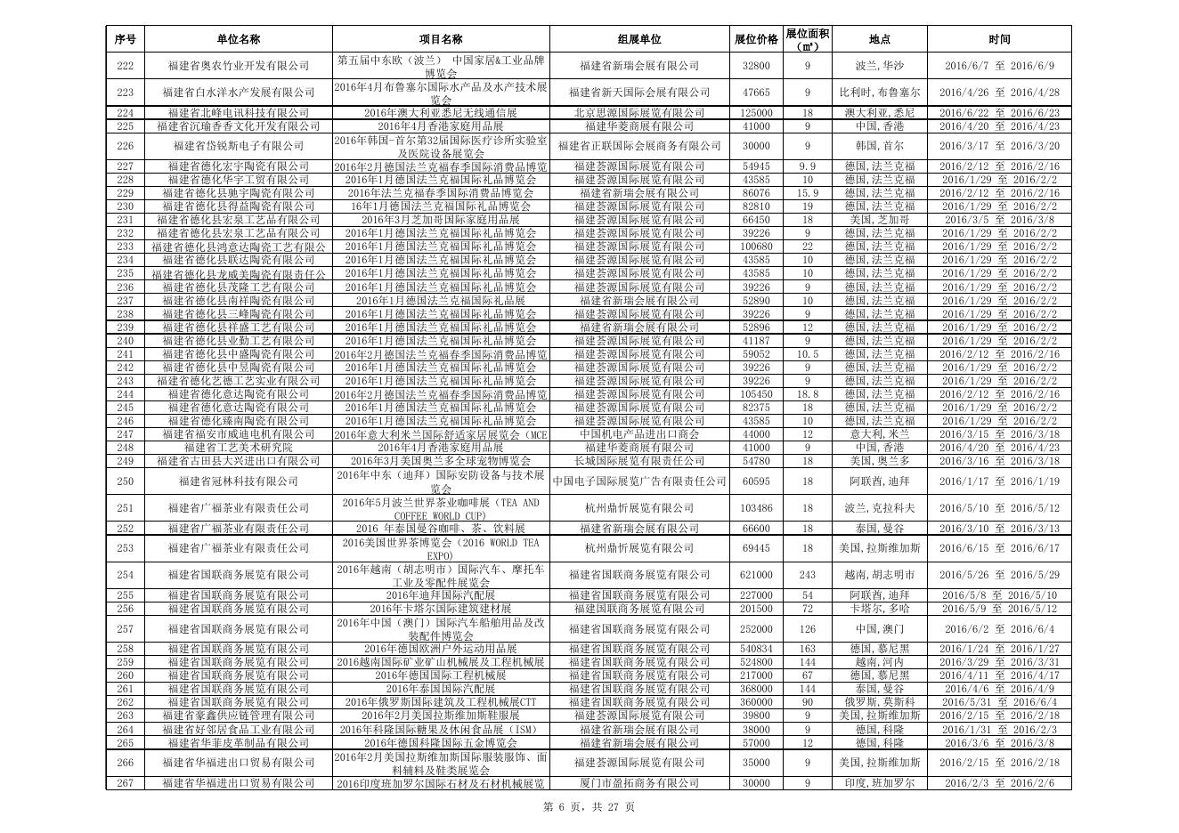
2016年1月至6月境外展会申报受理情况汇总表.xlsx
附件: 2016年1月至6月境外展会申报受理情况汇总表 序号 单位名称 1 2 阿帕索(福建)运动用品有限公司 阿帕索(福州)运动用品有限公司 3 4 5 6 7 8 9 10 11 12 13 14 15 16 17 18 19 20 21 22 23 24 25 26 27 28 29 30 31 32 33 34 35 36 37 38 39 40 41 42 43 项目名称 组展单位 2016年美国雪上运动用品博览会 2016年1月慕尼黑国际体育用品展览会 厦门会展金泓信展览有限公司 2016年1月德国法兰克福国际纸制品世界、办 艾派集团(中国)有限公司 福建省新瑞会展有限公司 公用品世界展览会 安波电机(宁德)有限公司 2016年英国伯明翰国际工业博览会 西麦克国际展览有限责任公司 安农(福建)生态农业有限公司 2016韩国釜山国际食品展 青岛启盛龙国际会展服务有限公司 澳蓝(福建)实业有限公司 2016年3月意大利米兰制冷展 北京东方益达国际展览有限责任公司 澳蓝(福建)实业有限公司 2016年5月孟加拉国国际建材展 北京东方益达国际展览有限责任公司 澳蓝(福建)实业有限公司 2016年5月马来西亚吉隆坡制冷展 西麦克国际展览有限责任公司 澳蓝(福建)实业有限公司 2016年5月澳大利亚墨尔本制冷展 北京环球励华国际展览有限公司 百润(中国)有限公司 2016年1月香港婴儿用品展 广东省玩具协会 百润(中国)有限公司 2016年5月荷兰自有品牌贸易展 福建荟源国际展览有限公司 达派(中国)箱包有限公司 2016年3月美国国际旅行用品展览会 福建省新瑞会展有限公司 达派(中国)有限公司 盐湖城冬季户外用品展 福建荟源国际展览有限公司 达派(中国)有限公司 2016年3月美国国际旅行用品展览会 福建省新瑞会展有限公司 大地生机(福建)农业发展有限公司 2016年6月台北国际食品展 福建荟源国际展览有限公司 德尔塔(福建)儿童用品有限公司 2016年法兰克福春季国际消费品博览会 福建省新瑞会展有限公司 德化县飞越工贸发展有限公司 2016年1月德国法兰克福国际礼品博览会 福建荟源国际展览有限公司 德化县高圣工艺品有限公司 2016年1月德国法兰克福国际礼品博览会 福建荟源国际展览有限公司 德化县宏顺陶瓷有限公司 福建荟源国际展览有限公司 2016年2月德国法兰克福春季国际消费品博览 德化县佳骏艺品有限公司 2016年1月德国法兰克福国际礼品博览会 福建荟源国际展览有限公司 会 德化县嘉喆工艺品有限公司 2016年3月芝加哥国际家庭用品展 福建荟源国际展览有限公司 德化县嘉喆工艺品有限公司 2016年1月德国法兰克福国际礼品博览会 福建荟源国际展览有限公司 德化县宇盛彩印包装有限公司 2016年1月德国法兰克福国际礼品博览会 福建荟源国际展览有限公司 2016年2月美国拉斯维加斯国际服装服饰、面 德艺文化创意集团股份有限公司 福建荟源国际展览有限公司 料辅料及鞋类展览会 德艺文化创意集团股份有限公司 2016年6月意大利加达鞋展 伊恩展业(北京)国际展览有限公司 东山博广天兴食品股份有限公司 美国波士顿国际水产展 福建荟源国际展览有限公司 东山县立成水产有限公司 美国波士顿国际水产展 福建荟源国际展览有限公司 第12届印度班加罗尔国际石材及加工机械装 多棱新材料股份有限公司 北京中仕达兴业展览有限公司 备展览会 枫华龙信医疗器材(福建)有限公司 巴西国际医疗展览会 中国医药保健品进出口商会 2016年3月第41届中东国际电力、照明及新能 福安市柏康电机有限公司 厦门新天会展有限公司 源展览会 2016年3月第41届中东国际电力、照明及新能 福安市德恒电机有限公司 厦门新天会展有限公司 源展览会 福安市隆凯电机有限公司 2016年非洲电力能源、智能电网及表计展 科诺莱恩国际会展(北京)有限公司 中国国际贸易促进委员会电子信息行 福安市茗振电子有限公司 2016年香港春季电子展 业分会 福安市唐诚工贸有限公司 2016年4月香港春季电子产品展 福建荟源国际展览有限公司 福安市伊莱特电机有限公司 2016年4月德国汉诺威工业展 福建正联国际会展商务有限公司 福安市裕兴机械有限公司 2016年德国汉诺威工业博览会 北京中商国际展览有限公司 福鼎艾度进出口有限公司 2016年5月阿联酋迪拜国际石材展览会 福建省新天国际会展有限公司 福鼎市拔硕石业有限公司 福建省新天国际会展有限公司 2016年6月俄罗斯莫斯科国际石材及技术博览 福鼎市拔硕石业有限公司 2016年4月美国芝加哥国际石材及瓷砖博览会 福建省新天国际会展有限公司 会 福鼎市中盛水产开发有限公司 美国波士顿水产展 福建荟源国际展览有限公司 福鼎市中盛水产开发有限公司 2016年泰国国际食品展 福建荟源国际展览有限公司 福鼎双赢贸易有限公司 2016年3月芝加哥国际家庭用品展 福建荟源国际展览有限公司 2016年1月德国法兰克福国际纸制品世界、办 福建艾派纸品有限公司 福建省新瑞会展有限公司 公用品世界展览会 第 1 页,共 27 页 地点 时间 51940 74000 展位面积 (㎡) 30 36 美国,丹弗斯 德国,慕尼黑 2016/1/28 至 2016/1/31 2016/1/24 至 2016/1/27 64800 18 德国,法兰克福 2016/1/30 至 2016/2/2 213230 23500 52800 19800 63450 34000 48840 64000 28000 72000 28000 21000 54750 52301 82375 53280 43585 34450 39226 39226 9 9 13.5 9 18 9 9 18 9 18 9 9 10 12 18 9.6 10 9 9 9 英国,伯明翰 韩国,釜山 意大利,米兰 孟加拉,达卡 马来西亚,吉隆坡 澳大利亚,墨尔本 中国,香港 荷兰,阿姆斯特丹 美国,拉斯维加斯 美国,盐湖城 美国,拉斯维加斯 中国,台湾 德国,法兰克福 德国,法兰克福 德国,法兰克福 德国,法兰克福 德国,法兰克福 美国,芝加哥 德国,法兰克福 德国,法兰克福 2016/4/12 至 2016/4/14 2016/6/22 至 2016/6/25 2016/3/15 至 2016/3/18 2016/5/26 至 2016/5/28 2016/5/23 至 2016/5/25 2016/5/17 至 2016/5/19 2016/1/11 至 2016/1/14 2016/5/24 至 2016/5/25 2016/3/8 至 2016/3/10 2016/1/7 至 2016/1/10 2016/3/8 至 2016/3/10 2016/6/22 至 2016/6/25 2016/2/12 至 2016/2/16 2016/1/29 至 2016/2/2 2016/1/29 至 2016/2/2 2016/2/12 至 2016/2/16 2016/1/29 至 2016/2/2 2016/3/5 至 2016/3/8 2016/1/29 至 2016/2/2 2016/1/29 至 2016/2/2 35000 9 美国,拉斯维加斯 2016/2/15 至 2016/2/18 117000 39000 39000 18 9 9 意大利,加答 美国,波士顿 美国,波士顿 2016/6/11 至 2016/6/14 2016/3/6 至 2016/3/8 2016/3/6 至 2016/3/8 31680 9 印度,班加罗尔 2016/2/3 至 2016/2/6 38100 9 巴西,圣保罗 2016/5/17 至 2016/5/20 50850 9 阿联酋,迪拜 2016/3/1 至 2016/3/3 50850 9 阿联酋,迪拜 2016/3/1 至 2016/3/3 46019 9 南非,开普敦 2016/5/17 至 2016/5/19 38800 9 中国,香港 2016/4/13 至 2016/4/16 59100 72576 78226 32000 23500 33000 39000 29000 34450 15 18 10 9 9 9 9 9 9 中国,香港 德国,汉诺威 德国,汉诺威 阿联酋,迪拜 俄罗斯,莫斯科 美国,芝加哥 美国,波士顿 泰国,曼谷 美国,芝加哥 2016/4/13 至 2016/4/16 2016/4/25 至 2016/4/29 2016/4/25 至 2016/4/29 2016/5/23 至 2016/5/26 2016/6/21 至 2016/6/24 2016/4/18 至 2016/4/21 2016/3/6 至 2016/3/8 2016/5/25 至 2016/5/29 2016/3/5 至 2016/3/8 64800 18 德国,法兰克福 2016/1/30 至 2016/2/2 展位价格 序号 单位名称 44 福建艾尚化妆品有限公司 45 46 47 48 49 50 51 52 53 54 55 56 57 58 59 60 61 62 63 64 65 66 67 68 69 70 71 72 73 74 75 76 77 78 79 80 81 82 83 84 85 项目名称 组展单位 展位价格 2016年中东国际美容美发用品展览会 广州东泉展览策划有限公司 75920 2016年韩国-首尔第32届国际医疗诊所实验室 福建宝迪电器有限公司 福建正联国际会展商务有限公司 30000 及医院设备展览会 福建宝丽金箱包有限公司 环球资源香港展 上海赛博展览广告有限公司 26932.5 福建宝通科技有限公司 2016年香港春季电子产品展 福建荟源国际展览有限公司 35500 福建宝通科技有限公司 2016年6月新加坡通讯展 福建荟源国际展览有限公司 36000 福建宝通科技有限公司 中东广播电视及多媒体展会CABSAT 2016 深圳市亚广展览有限公司 55887 福建标新集团(漳州)机械有限公司 2016年6月海峡两岸食品展 福建世博展览商务有限公司 21000 福建博特新能源有限公司 2016年印尼雅加达国际太阳能光伏展览会 北京东方益达国际展览有限责任公司 42000 福建晨顺标准件有限公司 2016年4月德国汉诺威工业博览会 福建省易联展会展服务有限公司 30450 福建创高安防技术股份有限公司 IFSEC 2016年6月英国伦敦国际安全技术展览 201763 Hong Kong Electronics Fair 2016年4月香 福建创高安防技术股份有限公司 深圳市环球趋势资讯有限公司 144640 港春季电子展和香港国际资讯科技博览会 China Sourcing Fair 2016年4月香港环球资 福建创高安防技术股份有限公司 上海赛博展览广告有限公司 93895.2 源春季电子展 ISC WEST 2016年4月美国拉斯维加斯国际安 福建创高安防技术股份有限公司 中国机电产品进出口商会 256343.75 防展 福建创高安防技术股份有限公司 2016年2月DISTREE EMEA欧洲通路采购会议展 142000 International CES 2016年1月美国拉斯维加 福建创高安防技术股份有限公司 149787 斯国际消费类电子产品展览会 福建大成电机集团有限公司 2016年土耳其国际工业展 福建正联国际会展商务有限公司 39800 福建大武夷现代农业有限公司 2016年泰国曼谷亚洲世界食品博览会 福建省新瑞会展有限公司 29800 2016年土耳其欧亚国际工业展览会 福建荟源国际展览有限公司 42000 福建大酉新能源电机科技股份有限公 司 2016年2月美国拉斯维加斯国际服装服饰、面 福建德艺双馨商贸有限公司 福建荟源国际展览有限公司 39800 料辅料及鞋类展览会 福建东方食品集团有限公司 2016年泰国国际食品展 福建荟源国际展览有限公司 29000 福建东水食品股份有限公司 美国波士顿国际水产展 福建荟源国际展览有限公司 39000 福建东吾洋食品股份有限公司 美国波士顿国际水产展 福建荟源国际展览有限公司 39000 2016年2月印度(新德里)汽摩工业展-AUTO 福建东亚机械有限公司 杭州嘉诺展览有限公司 61600 EXPO 第五届中东欧(波兰) 中国家居&工业品牌 福建杜氏木业有限公司 福建省新瑞会展有限公司 32800 博览会 福建敦拓进出口贸易有限公司 2016年美国消防协会年度会议暨博览会 北京沃德博森国际商务展览有限公司 43555 2016年2月美国拉斯维加斯国际服装服饰、面 福建墩煌服装有限公司 福建荟源国际展览有限公司 39800 料辅料及鞋类展览会 福建多代工艺品有限公司 2016年1月德国法兰克福国际礼品博览会 福建荟源国际展览有限公司 39226 2016年2月美国拉斯维加斯服装服饰、面料辅 福建丰瑞亚国际贸易有限公司 福建荟源国际展览有限公司 35000 料及鞋类展览会 SecuTech Taipei 2016(台北国际安全博览 福建福特科光电股份有限公司 52731 会) 福建福特科光电股份有限公司 Optatec 2016德国法兰克福国际光电博览会 25389 SPIE Photonics West2016(美国西部光电展 福建福特科光电股份有限公司 22847.25 ) 福建福兴电机有限公司 2016年德国汉诺威工业博览会 北京中商国际展览有限公司 40194 福建富兴工业彩弹枪有限公司 2016年1月香港贸发局香港玩具展 29214 福建高利宝装饰礼品有限公司 2016年4月环球资源香港展流行服饰配件展 上海赛博展览广告有限公司 31500 2016年2月美国拉斯维加斯国际服装服饰、面 福建格来德服饰实业有限公司 福建荟源国际展览有限公司 39800 料辅料及鞋类展览会 福建贯通食品有限公司 2016年4月新加坡食品展 福建荟源国际展览有限公司 36000 福建硅光通讯科技有限公司 2016年1月印度通讯展 宁波亚益国际会展有限公司 24807 福建硅光通讯科技有限公司 2016年6月新加坡通讯展 福建荟源国际展览有限公司 36000 福建国升贸易有限公司 香港玩具展 中工美国国际展览有限责任公司 58437 福建果果丫工贸有限公司 2016环球资源香港展 福建荟源国际展览有限公司 33725 福建海纳鑫贸易有限公司 2016年4月俄罗斯国际建材贸易博览会 福建省新天国际会展有限公司 64375 福建海鹏水产实业有限公司 美国波士顿水产展 福建荟源国际展览有限公司 39000 第 2 页,共 27 页 展位面积 (㎡) 9 地点 时间 阿联酋,迪拜 2016/5/15 至 2016/5/17 9 韩国,首尔 2016/3/17 至 2016/3/20 9 9 9 12 9 18 9 42 中国,香港 中国,香港 新加坡,新加坡 阿联酋,迪拜 中国,台湾 印度尼西亚,雅加 德国,汉诺威 达 英国,伦敦 2016/4/27 至 2016/4/30 2016/4/13 至 2016/4/16 2016/5/31 至 2016/6/3 2016/3/8 至 2016/3/10 2016/6/22 至 2016/6/25 2016/5/18 至 2016/5/20 2016/4/25 至 2016/4/29 2016/6/21 至 2016/6/23 30 中国,香港 2016/4/13 至 2016/4/16 36 中国,香港 2016/4/11 至 2016/4/14 54 美国,拉斯维加斯 2016/4/6 至 2016/4/8 18 摩纳哥,摩纳哥城 2016/2/23 至 2016/2/25 54 美国,拉斯维加斯 2016/1/6 至 2016/1/9 9 9 9 2016/3/17 至 2016/3/20 2016/5/25 至 2016/5/29 2016/3/17 至 2016/3/20 9 土耳其,伊斯坦布 泰国,曼谷 尔 土耳其,伊斯坦布 尔 美国,拉斯维加斯 9 9 9 泰国,曼谷 美国,波士顿 美国,波士顿 2016/5/25 至 2016/5/27 2016/3/6 至 2016/3/8 2016/3/6 至 2016/3/8 18 印度,新德里 2016/2/4 至 2016/2/7 9 波兰,华沙 2016/6/7 至 2016/6/9 9 美国,拉斯维加斯 2016/6/13 至 2016/6/16 9 美国,拉斯维加斯 2016/2/15 至 2016/2/18 9 德国,法兰克福 2016/1/29 至 2016/2/2 9 美国,拉斯维加斯 2016/2/15 至 2016/2/18 36 中国,台湾 2016/4/19 至 2016/4/21 15 德国,法兰克福 2016/6/7 至 2016/6/9 9 美国,旧金山 2016/2/16 至 2016/2/18 10 9 9 德国,汉诺威 中国,香港 中国,香港 2016/4/25 至 2016/4/29 2016/1/11 至 2016/1/14 2016/4/27 至 2016/4/30 9 美国,拉斯维加斯 2016/2/15 至 2016/2/18 9 9 9 18 9 15 9 新加坡,新加坡 印度,新德里 新加坡,新加坡 中国,香港 中国,香港 俄罗斯,莫斯科 美国,波士顿 2016/4/12 至 2016/4/15 2016/1/20 至 2016/1/22 2016/5/31 至 2016/6/3 2016/1/11 至 2016/1/14 2016/4/11 至 2016/4/14 2016/4/5 至 2016/4/8 2016/3/6 至 2016/3/8 2016/2/15 至 2016/2/18 序号 86 87 88 89 90 91 92 93 94 95 96 97 98 99 100 101 102 103 104 105 106 107 108 109 110 111 112 113 114 115 116 117 118 119 120 121 122 123 124 125 126 127 128 129 130 展位面积 地点 (㎡) 福建海融文化传播有限公司 2016纽约艺术博览会 75104 18 美国,纽约 福建海山食品有限公司 2016年伊朗食品博览会 北京东方益达国际展览有限责任公司 57427.8 15 伊朗,德黑兰 福建海山食品有限公司 2016年3月日本东京国际食品与饮料展览会 福建世博展览商务有限公司 53000 9 日本,千叶 福建海山食品有限公司 2016年泰国国际食品展 福建荟源国际展览有限公司 29000 9 泰国,曼谷 福建好彩头食品股份有限公司 2016年科隆国际糖果及休闲食品展(ISM) 福建省新瑞会展有限公司 38000 9 德国,科隆 福建好彩头食品股份有限公司 2016年泰国曼谷咖啡、茶、饮料展 福建省新瑞会展有限公司 33300 9 泰国,曼谷 福建好美的儿童用品贸易有限公司 2016 年德国纽伦堡玩具展 18262 12 德国,纽伦堡 福建好美的儿童用品贸易有限公司 2016年德国科隆家具展 福建荟源国际展览有限公司 56980 14 德国,科隆 福建合强进出口贸易有限公司 2016年3月芝加哥国际家庭用品展 福建荟源国际展览有限公司 66450 18 美国,芝加哥 福建合强进出口贸易有限公司 福建荟源国际展览有限公司 122378 21 德国,法兰克福 2016年2月德国法兰克福春季国际消费品博览 福建和润石业有限公司 美国国际石材及瓷砖展览会 厦门市盈拓商务有限公司 66000 18 美国,芝加哥 会 福建和润石业有限公司 卡塔尔多哈国际建筑、建材展览会 厦门市盈拓商务有限公司 33300 9 卡塔尔,多哈 福建和润石业有限公司 俄罗斯莫斯科国际石材展览与交易展览会 厦门市盈拓商务有限公司 52200 18 俄罗斯,莫斯科 福建和盛崇业电瓷有限公司 中国(尼泊尔)商品展览会 福州茂华会展服务有限公司 25800 9 尼泊尔,加德满都 福建恒发盛世进出口贸易有限责任公 2016年2月美国拉斯维加斯国际服装服饰、面 福建荟源国际展览有限公司 39800 9 美国,拉斯维加斯 司 料辅料及鞋类展览会 福建恒捷实业有限公司 2016年土耳其国际纱线展 上海凝碧会展服务有限公司 34000 12 土耳其,伊斯坦布 福建恒隆塑胶工业有限公司 2016第十一届香港国际印刷及包装展 厦门建旅商务会展有限公司 22000 9 中国,香港 尔 福建红海食品有限公司 2016年比利时水产展 北京引企成国际会展有限公司 44000 9 比利时,布鲁塞尔 福建红旗股份有限公司 2016年越南纺织及制衣机械展览会 睿盈达(北京)国际展览有限公司 27000 9 越南,胡志明市 福建宏贝斯家居用品有限公司 2016年4月环球资源家居用品展 上海赛博展览广告有限公司 26932.5 9 中国,香港 福建宏星电子科技有限公司 2016土耳其纺织机械展览会 南京维特斯展览有限公司 98240 40 土耳其,伊斯坦布 2016印度尼西亚国际纺织服装机械及面料展 印度尼西亚,雅加 尔 福建宏星电子科技有限公司 南京维特斯展览有限公司 30709 9 览会 达 福建宏星电子科技有限公司 2016越南西贡纺织及制衣工业展览会 南京维特斯展览有限公司 24000 9 越南,胡志明市 福建宏星电子科技有限公司 2016埃及国际纺织服装机械及配件展 南京维特斯展览有限公司 46000 16 埃及,开罗 福建宏星电子科技有限公司 2016孟加拉达卡国际纺织及制衣工业展览会 南京维特斯展览有限公司 16800 9 孟加拉,达卡 2016年美国拉斯维加斯春季国际服装服饰、 福建宏亚鞋服有限公司 福建华菱商展有限公司 74000 18 美国,拉斯维加斯 面料辅料及鞋类展 2016年德国杜塞尔多夫国际印刷展览会( 福建鸿利印刷材料工贸有限公司 北京中印欧奇国际展览有限公司 48040 9 德国,杜塞尔多夫 Drupa 2016) 2016年2月美国拉斯维加斯国际服装服饰、面 福建鸿麒进出口贸易有限公司 福建荟源国际展览有限公司 79600 18 美国,拉斯维加斯 料辅料及鞋类展览会 福建华浩实业有限公司 2016年第28届乌克兰国际农业博览会 北京外经联国际展览服务中心 18000 9 乌克兰,基辅 2016年越南胡志明市国际汽车摩托车及零配 福建华泰汽配工业股份有限公司 厦门市盈拓商务有限公司 19000 9 越南,胡志明市 件展览会 2016年阿尔及利亚阿尔及尔国际汽车配件展 阿尔及利亚,阿尔 福建华泰汽配工业股份有限公司 厦门市盈拓商务有限公司 35050 9 览会 及尔 福建华祥电源科技有限公司 2016年香港春季电子产品展 福建荟源国际展览有限公司 35500 9 中国,香港 福建华阳超纤有限公司 2016年2月意大利皮革展 福建省新瑞会展有限公司 68000 16 意大利,米兰 福建华颖箱包材料有限公司 2016年3月美国国际旅行用品展览会 福建省新瑞会展有限公司 56000 18 美国,拉斯维加斯 福建华源威尔进出口贸易有限公司 2016年4月环球资源时尚配件及鞋类展 上海赛博展览广告有限公司 26082 9 中国,香港 2016年2月美国拉斯维加斯国际服装服饰、面 福建华源威尔进出口贸易有限公司 福建荟源国际展览有限公司 35000 9 美国,拉斯维加斯 料辅料及鞋类展览会 福建华源威尔进出口贸易有限公司 2016年2月日本东京国际礼品展 福建荟源国际展览有限公司 32000 6 日本,东京 福建荟源国际展览有限公司 2016年6月印度新德里国际消费品展 福建荟源国际展览有限公司 630000 162 印度,新德里 福建荟源国际展览有限公司 2016年2月德国杜塞尔多夫国际鞋展 福建荟源国际展览有限公司 507848 215 德国,杜塞尔多夫 福建惠泽生物科技有限公司 广州展上展览服务有限公司 35000 9 阿联酋,迪拜 2016年中东(迪拜)国际美容美发用品博览 福建吉邦电子有限公司 2016年4月香港春季电子产品展 福建荟源国际展览有限公司 35500 9 中国,香港 会 第五届中东欧(波兰) 中国家居&工业品牌 福建继升工艺品有限公司 福建省新瑞会展有限公司 32800 9 波兰,华沙 博览会 福建佳思达通讯科技有限公司 环球资源香港展 上海赛博展览广告有限公司 33725 9 中国,香港 福建嘉达船舶进出口有限公司 2016菲律宾海事船舶展览会 广州搏毅展览有限公司 27500 9 菲律宾,马尼拉 福建嘉中生物科技开发有限公司 2016年泰国国际食品展 福建荟源国际展览有限公司 29000 9 泰国,曼谷 单位名称 项目名称 组展单位 第 3 页,共 27 页 展位价格 时间 2016/4/14 至 2016/4/17 2016/5/30 至 2016/6/2 2016/3/8 至 2016/3/11 2016/5/25 至 2016/5/29 2016/1/31 至 2016/2/3 2016/3/10 至 2016/3/13 2016/1/27 至 2016/2/1 2016/1/18 至 2016/8/24 2016/3/5 至 2016/3/8 2016/2/12 至 2016/2/16 2016/4/18 至 2016/4/21 2016/5/9 至 2016/5/12 2016/6/21 至 2016/6/24 2016/3/17 至 2016/3/21 2016/2/15 至 2016/2/18 2016/2/4 至 2016/2/6 2016/4/27 至 2016/4/30 2016/4/26 至 2016/4/28 2016/3/30 至 2016/4/2 2016/4/18 至 2016/4/21 2016/6/1 至 2016/6/4 2016/4/27 至 2016/4/30 2016/3/30 至 2016/4/2 2016/2/25 至 2016/2/28 2016/1/28 至 2016/1/31 2016/2/15 至 2016/2/18 2016/5/31 至 2016/6/10 2016/2/15 至 2016/2/18 2016/6/8 至 2016/6/11 2016/5/26 至 2016/5/29 2016/2/29 至 2016/3/3 2016/4/13 至 2016/4/16 2016/2/23 至 2016/2/25 2016/3/8 至 2016/3/10 2016/4/27 至 2016/4/30 2016/2/15 至 2016/8/18 2016/2/3 至 2016/2/5 2016/6/22 至 2016/6/24 2016/2/10 至 2016/2/12 2016/5/15 至 2016/5/17 2016/4/13 至 2016/4/16 2016/6/7 至 2016/6/9 2016/4/11 至 2016/4/14 2016/6/6 至 2016/6/8 2016/5/25 至 2016/5/29 序号 单位名称 131 福建建腾贸易有限公司 132 133 134 135 福建捷宇电脑科技有限公司 福建金博大进出口贸易有限公司 福建金嶐动力机电有限公司 福建金锐达金属包装有限公司 136 福建金狮农业综合开发有限公司 137 福建金亿文化用品有限公司 138 139 140 141 142 143 144 145 146 147 148 149 150 151 152 153 福建金源泉科技发展有限公司 福建金竹竹业有限公司 福建金竹竹业有限公司 福建锦江科技有限公司 福建锦江科技有限公司 福建晋工机械有限公司 福建晋江聚旺印染机械有限公司 福建晶彩光电科技股份有限公司 福建兢辉环保科技有限公司 福建兢辉环保科技有限公司 福建兢辉环保科技有限公司 福建居怡竹木业有限公司 福建骏捷进出口贸易有限公司 福建骏尚实业有限公司 福建力宝动力机械有限公司 福建力港针纺有限公司 154 福建利德福服装织造有限公司 155 福建利利普光电科技有限公司 156 福建利瑶纺织制衣有限公司 157 158 福建连城健尔聪食品有限公司 福建琳达进出口有限公司 159 福建零到壹实业有限公司 160 161 162 163 164 165 166 167 168 169 170 171 172 173 174 175 176 177 178 福建龙峰纺织科技实业有限公司 福建龙翔水产食品有限公司 福建隆盛进出口贸易有限公司 福建隆盛轻工有限公司 福建美丽成石业有限公司 福建美贴士胶粘制品有限公司 福建闽东进出口有限公司 福建闽东新能源动力科技有限公司 福建明博商业设施有限公司 福建明博商业设施有限公司 福建明佳机械科技股份有限公司 福建南安市高颖奇电子有限公司 福建南安市继阳石材有限公司 福建南安市继阳石材有限公司 福建南安市泉盛电子有限公司 福建南安市泉盛电子有限公司 福建南安市远泰雨具有限公司 福建南平康丽达制衣有限公司 福建诺一工贸有限公司 项目名称 2016年德国慕尼黑国际体育用品及运动时尚 贸易博览会 2016年境外展会资金申请 2016年5月荷兰自有品牌贸易展 2016年中东国际电力、照明及新能源展览会 2016年4月国际制罐工业展览会 CANNEX&Fillex 2016年北非(阿尔及利亚)国际食品展 组展单位 展位价格 展位面积 (㎡) 地点 时间 福建华菱商展有限公司 26544 8 德国,慕尼黑 2016/1/24 至 2016/1/27 厦门市盈拓商务有限公司 福建荟源国际展览有限公司 中国机电产品进出口商会 上海华赫会展有限公司 36800 32000 124944 130000 9 9 9 27 2016/4/13 至 2016/4/16 2016/5/24 至 2016/5/25 2016/3/2 至 2016/3/4 2016/4/27 至 2016/4/29 福建省贸易促进中心 38000 9 中国,香港 荷兰,阿姆斯特丹 阿联酋,迪拜 美国,丹弗斯 阿尔及利亚,阿尔 及尔 16 意大利,博洛尼亚 2016/3/18 至 2016/3/21 9 12 9 9 9 12 30 9 9 12 15 9 16 8.8 9 9 中国,台湾 德国,汉诺威 阿联酋,迪拜 韩国,大邱 越南,西贡 印度,班加罗尔 土耳其,伊斯坦布 波兰,华沙 尔 澳大利亚,墨尔本 印度,孟买 中国,香港 阿联酋,迪拜 意大利,加答 德国,法兰克福 巴拿马,巴拿马城 美国,拉斯维加斯 2016/6/22 至 2016/6/25 2016/1/16 至 2016/1/19 2016/5/23 至 2016/5/26 2016/3/9 至 2016/3/11 2016/3/29 至 2016/4/2 2016/2/3 至 2016/2/6 2016/6/1 至 2016/6/4 2016/1/27 至 2016/1/29 2016/5/17 至 2016/5/19 2016/2/25 至 2016/2/27 2016/4/13 至 2016/4/16 2016/5/23 至 2016/5/26 2016/6/11 至 2016/6/14 2016/2/12 至 2016/2/16 2016/6/15 至 2016/6/17 2016/2/15 至 2016/2/18 9 美国,拉斯维加斯 2016/2/15 至 2016/2/18 8 日本,东京 2016/1/13 至 2016/1/15 9 美国,拉斯维加斯 2016/2/15 至 2016/2/18 9 9 泰国,曼谷 中国,香港 土耳其,伊斯坦布 尔 越南,西贡 美国,波士顿 意大利,加答 意大利,加答 阿联酋,迪拜 泰国,曼谷 中国,香港 德国,汉诺威 美国,拉斯维加斯 阿联酋,迪拜 阿联酋,迪拜 中国,香港 美国,拉斯维加斯 美国,芝加哥 美国,拉斯维加斯 中国,香港 中国,香港 中国,香港 中国,香港 2016/5/25 至 2016/5/27 2016/4/27 至 2016/4/30 2016年3月意大利博洛尼亚国际美容展 福建省新天国际会展有限公司 89600 COSMOFROF 2016年6月海峡两岸食品展 福建世博展览商务有限公司 21000 2016年德国汉诺威国际地面材料展览会 厦门盈拓商务有限公司 56000 2016年中东迪陈地铺展 中国国际贸易促进委员会厦门市委员 55500 2016第十五届韩国大邱国际纺织展览会 福建世博展览商务有限公司 25000 会 2016年越南西贡纺织及制衣工业展览会 福建世博展览商务有限公司 24000 2016年2月第十二届印度国际石材展览会 福建省新天国际会展有限公司 38400 2016土耳其纺织机械展 南京维特斯展览有限公司 135000 2016 第24届波兰国际照明设备展览会 福建荟源国际展览有限公司 23000 2016年5月澳大利亚墨尔本制冷展 北京环球励华国际展览有限公司 34000 2016年2月印度孟买制冷展 北京励航国际商务会展有限公司 66000 2016年香港春季电子产品展 福建荟源国际展览有限公司 59100 2016年中东迪拜地铺展 厦门国际商会 34500 2016年6月意大利GARDA展 厦门励诚会展有限公司 62500 2016年法兰克福春季国际消费品博览会 福建省新瑞会展有限公司 49822 2016年拉丁美洲(巴拿马)国际汽配展览会 北京中商国际展览有限公司 28800 2016年2月美国拉斯维加斯服装展 厦门励诚会展有限公司 40000 2016年2月美国拉斯维加斯国际服装服饰、面 福建荟源国际展览有限公司 39800 料辅料及鞋类展览会 2016年日本国际电子元器件、材料及生产设 贸有展览服务(深圳)有限公司 37008 备展览会 2016年2月美国拉斯维加斯国际服装服饰、面 福建荟源国际展览有限公司 39800 料辅料及鞋类展览会 2016年泰国国际食品展 福建荟源国际展览有限公司 29000 2016年4月份环球资源时装及面料展 上海赛博展览广告有限公司 31350 第55届土耳其国际皮革、鞋材及机械设备展 温州德纳展览有限公司 34800 览会 越南西贡纺织布料及辅料展 福建世博展览商务有限公司 24000 美国波士顿国际水产展 福建荟源国际展览有限公司 39000 2016年6月意大利加达国际鞋展 厦门励诚会展有限公司 117000 2016年1月意大利加达国际鞋展 厦门励诚会展有限公司 117000 2016年中东迪拜石材展 上海格博会展服务有限公司 31000 2016年泰国国际食品展 福建荟源国际展览有限公司 29000 2016年4月环球资源香港展 上海赛博展览广告有限公司 26932.5 2016年四月德国汉诺威工业展 福建正联国际会展商务有限公司 30240 2016美国拉斯维加斯商超用品零售展 上海源聚会展策划有限公司 2316006.6 2016年5月中东迪拜零售展 上海伟佳展览服务有限公司 55000 2016阿联酋迪拜国际汽车零部件展览会 中国机电产品进出口商会 159178 2016年4月份香港展 上海赛博展览广告有限公司 65999.83 2016年美国拉斯维加斯国际石材展览会 厦门市盈拓商务有限公司 38000 2016年美国国际石材及瓷砖展览会 厦门市盈拓商务有限公司 33000 2016年3月美国无线通信展IWCE 北京思源国际展览有限公司 103060 2016年4月香港展 上海赛博展览广告有限公司 64077 2016年4月香港展 上海赛博展览广告有限公司 26775 环球资源香港展 上海赛博展览广告有限公司 33000 2016年3月香港国际珠宝展 33291 第 4 页,共 27 页 12 9 9 18 18 9 9 9 9 74.3 12 27 18 9 9 18 18 9 9 9 2016/4/18 至 2016/4/21 2016/5/25 至 2016/5/27 2016/3/29 至 2016/4/2 2016/3/6 至 2016/3/8 2016/6/11 至 2016/6/14 2016/1/16 至 2016/1/19 2016/5/23 至 2016/5/26 2016/5/25 至 2016/5/29 2016/4/27 至 2016/4/30 2016/4/25 至 2016/4/29 2016/3/23 至 2016/3/25 2016/5/31 至 2016/6/1 2016/5/8 至 2016/5/10 2016/4/11 至 2016/4/14 2016/1/20 至 2016/1/22 2016/4/18 至 2016/4/21 2016/3/23 至 2016/3/24 2016/4/10 至 2016/4/11 2016/4/18 至 2016/4/21 2016/4/27 至 2016/4/29 2016/3/3 至 2016/3/7 序号 单位名称 179 180 181 福建诺一工贸有限公司 福建欧瑞园食品有限公司 福建欧瑞园食品有限公司 182 福建品家家居有限公司 183 184 185 186 187 188 189 福建侨兴进出口有限责任公司 福建钦龙食品有限公司 福建泉成机械有限公司 福建泉工股份有限公司 福建泉工股份有限公司 福建泉工股份有限公司 福建泉工股份有限公司 190 福建泉工股份有限公司 191 福建泉宇进出口贸易有限公司 192 193 194 195 196 197 198 199 福建泉州艾格进出口有限公司 福建泉州艾格进出口有限公司 福建泉州环宇通电子有限公司 福建泉州泉顺通讯科技有限公司 福建泉州泉顺通讯科技有限公司 福建泉州市勤辉石业有限公司 福建泉州市中太进出口有限公司 福建泉州市中太进出口有限公司 200 福建泉州新万龙石材有限公司 201 福建泉州优鼠电子科技有限公司 202 福建泉州振跃工艺品有限公司 203 福建群峰机械有限公司 204 福建群峰机械有限公司 205 福建群峰机械有限公司 206 207 208 209 210 211 212 213 214 215 216 福建群峰机械有限公司 福建瑞恒信息科技股份有限公司 福建瑞恒信息科技股份有限公司 福建瑞云食品有限公司 福建赛绿山油茶开发有限公司 福建三木进出口贸易有限公司 福建森大对外贸易有限公司 福建森大对外贸易有限公司 福建厦柴柴油机有限公司 福建申利卡铝业发展有限公司 福建神州电子股份有限公司 217 福建神州电子股份有限公司 218 福建神州电子股份有限公司 219 福建神洲康复电子有限公司 220 221 福建省安溪县对外贸易公司 福建省安溪县萌盛工艺品有限公司 项目名称 组展单位 展位价格 2016年4月香港国际印刷及包装展 福建荟源国际展览有限公司 30500 2016年第26届台北国际食品展 福建世博展览商务有限公司 21000 2016年泰国国际食品展 福建荟源国际展览有限公司 29000 第五届中东欧(波兰) 中国家居&工业品牌 福建省新瑞会展有限公司 32800 博览会 2016年美国东部国际包装展览会 厦门市盈拓商务有限公司 38000 美国波士顿国际水产展 福建荟源国际展览有限公司 39000 2016年土耳其工程机械展 泉州宏创展览有限公司 24800 2016年智利矿业展 中国机电产品进出口商会 38600 第14届印尼雅加达建筑建材展览会 中展世建(北京)国际会展有限公司 51600 第19届肯尼亚国际建筑展览会 中展世建(北京)国际会展有限公司 20800 2016年越南国际采矿及建筑展 北京众和国际展览有限公司 27500 2016年美国拉斯维加斯混凝土世界暨国际建 北京领汇国际展览有限公司 73520 筑机械展 2016年2月美国拉斯维加斯国际服装服饰、面 福建荟源国际展览有限公司 39800 料辅料及鞋类展览会 香港环球资源泳衣、内衣展 上海赛博展览广告有限公司 29925 2016年2月美国拉斯维加斯Magic服装展 厦门励诚会展有限公司 40000 2016年香港春季电子产品展 福建荟源国际展览有限公司 35500 美国IWCE2016国际无线通信展 北京思源国际展览有限公司 56300 香港环球资源2016春季电子展 上海赛博展览广告有限公司 32660 2016美国国际石材及瓷砖展览会 厦门市盈拓商务有限公司 33290 2016年全美国际墓园及殡葬用品博览会 领肯(厦门)会展服务有限公司 54000 2016年美国芝加哥国际石材及瓷砖博览会 领肯(厦门)会展服务有限公司 92517 2016年第12届印度班加罗尔国际石材及加工 泉州市贸促展览服务有限公司 63360 机械装备展览会 2016年4月香港国际资讯科技博览会(ICT) 福建荟源国际展览有限公司 24160 福州市晋安区飞马商务会展服务有限 2016年香港礼品及赠品博览会 38800 公司 2016年阿尔及利亚阿尔及尔国际建材与工程 厦门市盈拓商务有限公司 40950 施工设备展览会(BATIMATEC 2016) 2016年印度孟买国际混凝土技术及设备展( 北京领汇国际展览有限公司 20800 Concrete Show India Mumbai 2016) 2016年印尼雅加达国际建材展览会 INDO 上海明择会展有限公司 41100 BUILD TECH 2016年卡塔尔国际建筑建材博览会 上海格博会展服务有限公司 31000 2016CES美国国际消费电子产品展 深圳市优展展览展示有限公司 39000 2016香港环球资源春季电子展 上海赛博展览广告有限公司 60705 美国波士顿国际水产展 福建荟源国际展览有限公司 39000 2016年泰国曼谷亚洲世界食品博览会 福建省新瑞会展有限公司 29800 2016美国拉斯维加斯国际石材展 厦门市盈拓商务有限公司 38000 2016德国国际纽伦堡玩具展览会 福建华菱商展有限公司 47200 2016年法兰克福春季国际消费品博览会 福建省新瑞会展有限公司 56575 2016年土耳其欧亚国际工业展览会 福建荟源国际展览有限公司 42000 2016年5月德国(埃森)国际轮胎展 杭州嘉诺展览有限公司 42724.8 环球资源香港展 福建荟源国际展览有限公司 33725 2016年第18届中东(迪拜)国际安全科技专 深圳市亚广展览有限公司 56612 业大展Intersec Middle East 第50届美国西部国际安防展ISC West-深圳市亚广展览有限公司 123037 International Security Conference 中国国际贸易促进委员会电子信息行 2016年香港春季电子展 38800 业分会 2016年肯尼亚工程矿山建筑机械展会 深圳市汇客通展览有限公司 25000 2016年1月美国拉斯维加斯建材.厨卫展会 北京宏联中企商务会展有限公司 38860 第 5 页,共 27 页 展位面积 (㎡) 9 9 9 地点 时间 中国,香港 中国,台湾 泰国,曼谷 2016/4/27 至 2016/4/30 2016/6/22 至 2016/6/25 2016/5/25 至 2016/5/29 9 波兰,华沙 2016/6/7 至 2016/6/9 9 9 9 9 18 9 9 美国,纽约 美国,波士顿 土耳其,伊斯坦布 智利,圣地亚哥 尔 印度尼西亚,雅加 肯尼亚,内罗毕 达 越南,河内 2016/6/14 至 2016/6/16 2016/3/6 至 2016/3/8 2016/6/1 至 2016/8/5 2016/4/25 至 2016/4/29 2016/5/25 至 2016/5/29 2016/6/4 至 2016/6/6 2016/3/29 至 2016/3/31 18 美国,拉斯维加斯 2016/2/2 至 2016/2/5 9 美国,拉斯维加斯 2016/2/15 至 2016/2/18 9 9 9 9 9 9 18 27 中国,香港 美国,拉斯维加斯 中国,香港 美国,拉斯维加斯 中国,香港 美国,芝加哥 美国,新奥尔良 美国,芝加哥 2016/4/27 至 2016/4/30 2016/2/15 至 2016/2/18 2016/4/13 至 2016/4/16 2016/3/23 至 2016/3/24 2016/4/11 至 2016/4/14 2016/4/18 至 2016/4/21 2016/4/13 至 2016/4/15 2016/4/18 至 2016/4/21 18 印度,班加罗尔 2016/2/3 至 2016/2/6 9 中国,香港 2016/4/13 至 2016/4/16 9 中国,香港 2016/4/27 至 2016/4/30 15 阿尔及利亚,阿尔 及尔 2016/5/3 至 2016/5/7 9 印度,孟买 2016/5/19 至 2016/5/21 9 9 18 9 9 9 12 10 9 36 9 印度尼西亚,雅加 达 卡塔尔,多哈 美国,拉斯维加斯 中国,香港 美国,波士顿 泰国,曼谷 美国,拉斯维加斯 德国,纽伦堡 德国,法兰克福 土耳其,伊斯坦布 德国,埃森 尔 中国,香港 15 阿联酋,迪拜 2016/1/17 至 2016/1/19 18 美国,拉斯维加斯 2016/4/6 至 2016/4/8 9 中国,香港 2016/4/13 至 2016/4/16 9 9 肯尼亚,内罗毕 美国,拉斯维加斯 2016/6/4 至 2016/6/6 2016/1/19 至 2016/1/21 12 2016/5/25 至 2016/5/29 2016/5/9 至 2016/5/12 2016/1/6 至 2016/1/9 2016/4/18 至 2016/4/21 2016/3/6 至 2016/3/8 2016/5/25 至 2016/5/29 2016/1/20 至 2016/1/22 2016/1/27 至 2016/2/1 2016/2/12 至 2016/2/16 2016/3/17 至 2016/3/20 2016/5/24 至 2016/5/27 2016/4/11 至 2016/4/14 序号 222 223 224 225 226 227 228 229 230 231 232 233 234 235 236 237 238 239 240 241 242 243 244 245 246 247 248 249 250 251 252 253 254 255 256 257 258 259 260 261 262 263 264 265 266 267 单位名称 项目名称 组展单位 第五届中东欧(波兰) 中国家居&工业品牌 福建省新瑞会展有限公司 博览会 2016年4月布鲁塞尔国际水产品及水产技术展 福建省白水洋水产发展有限公司 福建省新天国际会展有限公司 览会 福建省北峰电讯科技有限公司 2016年澳大利亚悉尼无线通信展 北京思源国际展览有限公司 福建省沉瑜香香文化开发有限公司 2016年4月香港家庭用品展 福建华菱商展有限公司 2016年韩国-首尔第32届国际医疗诊所实验室 福建省岱锐斯电子有限公司 福建省正联国际会展商务有限公司 及医院设备展览会 福建省德化宏宇陶瓷有限公司 福建荟源国际展览有限公司 2016年2月德国法兰克福春季国际消费品博览 福建省德化华宇工贸有限公司 2016年1月德国法兰克福国际礼品博览会 福建荟源国际展览有限公司 会 福建省德化县驰宇陶瓷有限公司 2016年法兰克福春季国际消费品博览会 福建省新瑞会展有限公司 福建省德化县得益陶瓷有限公司 16年1月德国法兰克福国际礼品博览会 福建荟源国际展览有限公司 福建省德化县宏泉工艺品有限公司 2016年3月芝加哥国际家庭用品展 福建荟源国际展览有限公司 福建省德化县宏泉工艺品有限公司 2016年1月德国法兰克福国际礼品博览会 福建荟源国际展览有限公司 2016年1月德国法兰克福国际礼品博览会 福建荟源国际展览有限公司 福建省德化县鸿意达陶瓷工艺有限公 福建省德化县联达陶瓷有限公司 2016年1月德国法兰克福国际礼品博览会 福建荟源国际展览有限公司 司 2016年1月德国法兰克福国际礼品博览会 福建荟源国际展览有限公司 福建省德化县龙威美陶瓷有限责任公 福建省德化县茂隆工艺有限公司 2016年1月德国法兰克福国际礼品博览会 福建荟源国际展览有限公司 司 福建省德化县南祥陶瓷有限公司 2016年1月德国法兰克福国际礼品展 福建省新瑞会展有限公司 福建省德化县三峰陶瓷有限公司 2016年1月德国法兰克福国际礼品博览会 福建荟源国际展览有限公司 福建省德化县祥盛工艺有限公司 2016年1月德国法兰克福国际礼品博览会 福建省新瑞会展有限公司 福建省德化县业勤工艺有限公司 2016年1月德国法兰克福国际礼品博览会 福建荟源国际展览有限公司 福建省德化县中盛陶瓷有限公司 福建荟源国际展览有限公司 2016年2月德国法兰克福春季国际消费品博览 福建省德化县中昱陶瓷有限公司 2016年1月德国法兰克福国际礼品博览会 福建荟源国际展览有限公司 会 福建省德化艺德工艺实业有限公司 2016年1月德国法兰克福国际礼品博览会 福建荟源国际展览有限公司 福建省德化意达陶瓷有限公司 福建荟源国际展览有限公司 2016年2月德国法兰克福春季国际消费品博览 福建省德化意达陶瓷有限公司 2016年1月德国法兰克福国际礼品博览会 福建荟源国际展览有限公司 会 福建省德化臻南陶瓷有限公司 2016年1月德国法兰克福国际礼品博览会 福建荟源国际展览有限公司 福建省福安市威迪电机有限公司 中国机电产品进出口商会 2016年意大利米兰国际舒适家居展览会(MCE 福建省工艺美术研究院 2016年4月香港家庭用品展 福建华菱商展有限公司 ) 福建省古田县大兴进出口有限公司 2016年3月美国奥兰多全球宠物博览会 长城国际展览有限责任公司 2016年中东(迪拜)国际安防设备与技术展 福建省冠林科技有限公司 中国电子国际展览广告有限责任公司 览会 2016年5月波兰世界茶业咖啡展(TEA AND 福建省广福茶业有限责任公司 杭州鼎忻展览有限公司 COFFEE WORLD CUP) 福建省广福茶业有限责任公司 2016 年泰国曼谷咖啡、茶、饮料展 福建省新瑞会展有限公司 2016美国世界茶博览会(2016 WORLD TEA 福建省广福茶业有限责任公司 杭州鼎忻展览有限公司 EXPO) 2016年越南(胡志明市)国际汽车、摩托车 福建省国联商务展览有限公司 福建省国联商务展览有限公司 工业及零配件展览会 福建省国联商务展览有限公司 2016年迪拜国际汽配展 福建省国联商务展览有限公司 福建省国联商务展览有限公司 2016年卡塔尔国际建筑建材展 福建国联商务展览有限公司 2016年中国(澳门)国际汽车船舶用品及改 福建省国联商务展览有限公司 福建省国联商务展览有限公司 装配件博览会 福建省国联商务展览有限公司 2016年德国欧洲户外运动用品展 福建省国联商务展览有限公司 福建省国联商务展览有限公司 2016越南国际矿业矿山机械展及工程机械展 福建省国联商务展览有限公司 福建省国联商务展览有限公司 2016年德国国际工程机械展 福建省国联商务展览有限公司 福建省国联商务展览有限公司 2016年泰国国际汽配展 福建省国联商务展览有限公司 福建省国联商务展览有限公司 2016年俄罗斯国际建筑及工程机械展CTT 福建省国联商务展览有限公司 福建省豪鑫供应链管理有限公司 2016年2月美国拉斯维加斯鞋服展 福建荟源国际展览有限公司 福建省好邻居食品工业有限公司 2016年科隆国际糖果及休闲食品展(ISM) 福建省新瑞会展有限公司 福建省华菲皮革制品有限公司 2016年德国科隆国际五金博览会 福建省新瑞会展有限公司 2016年2月美国拉斯维加斯国际服装服饰、面 福建省华福进出口贸易有限公司 福建荟源国际展览有限公司 料辅料及鞋类展览会 福建省华福进出口贸易有限公司 厦门市盈拓商务有限公司 2016印度班加罗尔国际石材及石材机械展览 会 第 6 页,共 27 页 福建省奥农竹业开发有限公司 展位价格 展位面积 (㎡) 地点 时间 32800 9 波兰,华沙 2016/6/7 至 2016/6/9 47665 9 比利时,布鲁塞尔 2016/4/26 至 2016/4/28 125000 41000 18 9 澳大利亚,悉尼 中国,香港 2016/6/22 至 2016/6/23 2016/4/20 至 2016/4/23 30000 9 韩国,首尔 2016/3/17 至 2016/3/20 54945 43585 86076 82810 66450 39226 100680 43585 43585 39226 52890 39226 52896 41187 59052 39226 39226 105450 82375 43585 44000 41000 54780 9.9 10 15.9 19 18 9 22 10 10 9 10 9 12 9 10.5 9 9 18.8 18 10 12 9 18 德国,法兰克福 德国,法兰克福 德国,法兰克福 德国,法兰克福 美国,芝加哥 德国,法兰克福 德国,法兰克福 德国,法兰克福 德国,法兰克福 德国,法兰克福 德国,法兰克福 德国,法兰克福 德国,法兰克福 德国,法兰克福 德国,法兰克福 德国,法兰克福 德国,法兰克福 德国,法兰克福 德国,法兰克福 德国,法兰克福 意大利,米兰 中国,香港 美国,奥兰多 2016/2/12 至 2016/2/16 2016/1/29 至 2016/2/2 2016/2/12 至 2016/2/16 2016/1/29 至 2016/2/2 2016/3/5 至 2016/3/8 2016/1/29 至 2016/2/2 2016/1/29 至 2016/2/2 2016/1/29 至 2016/2/2 2016/1/29 至 2016/2/2 2016/1/29 至 2016/2/2 2016/1/29 至 2016/2/2 2016/1/29 至 2016/2/2 2016/1/29 至 2016/2/2 2016/1/29 至 2016/2/2 2016/2/12 至 2016/2/16 2016/1/29 至 2016/2/2 2016/1/29 至 2016/2/2 2016/2/12 至 2016/2/16 2016/1/29 至 2016/2/2 2016/1/29 至 2016/2/2 2016/3/15 至 2016/3/18 2016/4/20 至 2016/4/23 2016/3/16 至 2016/3/18 60595 18 阿联酋,迪拜 2016/1/17 至 2016/1/19 103486 18 波兰,克拉科夫 2016/5/10 至 2016/5/12 66600 18 泰国,曼谷 2016/3/10 至 2016/3/13 69445 18 美国,拉斯维加斯 2016/6/15 至 2016/6/17 621000 243 越南,胡志明市 2016/5/26 至 2016/5/29 227000 201500 54 72 阿联酋,迪拜 卡塔尔,多哈 2016/5/8 至 2016/5/10 2016/5/9 至 2016/5/12 252000 126 中国,澳门 2016/6/2 至 2016/6/4 540834 524800 217000 368000 360000 39800 38000 57000 163 144 67 144 90 9 9 12 德国,慕尼黑 越南,河内 德国,慕尼黑 泰国,曼谷 俄罗斯,莫斯科 美国,拉斯维加斯 德国,科隆 德国,科隆 2016/1/24 至 2016/1/27 2016/3/29 至 2016/3/31 2016/4/11 至 2016/4/17 2016/4/6 至 2016/4/9 2016/5/31 至 2016/6/4 2016/2/15 至 2016/2/18 2016/1/31 至 2016/2/3 2016/3/6 至 2016/3/8 35000 9 美国,拉斯维加斯 2016/2/15 至 2016/2/18 30000 9 印度,班加罗尔 2016/2/3 至 2016/2/6 序号 268 269 270 271 272 273 274 275 276 277 278 279 280 281 282 283 284 285 286 287 288 289 290 291 292 293 294 295 296 297 298 299 300 301 302 303 304 305 306 307 308 309 310 311 312 单位名称 项目名称 组展单位 福建省佳美集团公司 2016年1月德国法兰克福国际礼品博览会 福建荟源国际展览有限公司 福建省佳胜通电子设备有限公司 2016年4月环球资源香港展 上海赛博展览广告有限公司 福建省嘉顺艺品股份有限公司 福建荟源国际展览有限公司 2016年2月德国法兰克福春季国际消费品博览 福建省建宁县龙威生物科技有限公司 2016第26届台北国际食品展 福建世博展览商务有限公司 会 福建省建宁县龙威生物科技有限公司 2016日本东京国际食品饮料展 福建世博展览商务有限公司 福建省建阳武夷味精有限公司 2016年泰国曼谷亚洲世界食品博览会 福建省新瑞会展有限公司 CFTAsia2016年巴基斯坦亚洲纺织服装工业展 福建省金纶高纤股份有限公司 上海追越会展服务有限公司 览会 福建省金纶高纤股份有限公司 越南西贡国际纺织面辅料展及制衣展 上海凝碧会展服务有限公司 福建省金山进出口贸易有限公司 中国(尼泊尔)商品展览会 福州茂华会展服务有限公司 福建省晋江福源食品有限公司 2016美国拉斯维加斯国际品牌授权展 福建世博展览商务有限公司 福建省晋江福源食品有限公司 2016年3月日本东京国际食品与饮料展览会 福建世博展览商务有限公司 福建省晋江福源食品有限公司 2016年美国国际食品零售展 福建荟源国际展览有限公司 福建省晋江福源食品有限公司 2016年5月荷兰自有品牌贸易展 福建荟源国际展览有限公司 福建省晋江豪山建材有限公司 2016年第30届泰国东盟建筑及技术博览会 中展世建(北京)国际会展有限公司 2016年2月美国拉斯维加斯国际服装服饰、面 福建省晋江市八达制衣有限公司 福建荟源国际展览有限公司 料辅料及鞋类展览会 福建省晋江市恒辉塑胶有限公司 2016年6月美国品牌授权展 厦门弘轩会展有限公司 福建省晋江市华佳食品有限公司 2016年科隆国际糖果及休闲食品展(ISM) 福建省新瑞会展有限公司 福建省晋江市华美食品有限公司 2016年美国拉斯维加斯国际品牌授权展会 福建世博展览商务有限公司 2016年4月13-15日全美国国际墓园及殡葬用 福建省聚海国际物流有限公司 领肯(厦门)会展服务有限公司 品展览会 福建省凯达石材机械有限公司 2016年台湾国际生命礼仪博览会 领肯(厦门)会展服务有限公司 福建省凯达石材机械有限公司 2016年美国芝加哥石材及陶瓷展 领肯(厦门)会展服务有限公司 福建省凯达石材机械有限公司 2016年印度尼西亚雅加达国际建材展览会 厦门盈拓商务有限公司 第12届印度班加罗尔国际石材及加工机械装 福建省凯达石材机械有限公司 北京中仕达兴业展览有限公司 备展览会 福建省凯达石材机械有限公司 泉州市贸促展览服务有限公司 2016年土耳其安塔利亚国际石材及矿山机械 福建省康克电子科技有限公司 2016年4月环球资源香港展服装及面料展 上海赛博展览广告有限公司 展 福建省乐创家居制品有限公司 环球资源移动电子展 上海赛博展览广告有限公司 福建省丽之颖针织有限公司 2016年1月香港时装周 福建荟源国际展览有限公司 2016年2月美国拉斯维加斯服装服饰、面料辅 福建省连江县飞鹭鞋业有限公司 福建荟源国际展览有限公司 料及鞋类展览会 福建省连江县嘉豪食品有限公司 美国波士顿国际水产展 福建荟源国际展览有限公司 福建省闽华电源股份有限公司 2016年德国慕尼黑国际太阳能技术博览会 北京中展海外展览有限公司 福建省闽华电源股份有限公司 2016年香港春季电子产品展 福建荟源国际展览有限公司 福建省南安市宝锋电子有限公司 2016年美国IWCE展 北京思源国际展览有限公司 福建省南安市宝锋电子有限公司 2016年4月香港电子展 上海赛博展览广告有限公司 2016年第12届伊朗(伊斯法罕)国际石材工 福建省南安市巨轮机械有限公司 北京中仕达兴业展览有限公司 业展览会 第12届印度班加罗尔国际石材及加工机械设 福建省南安市巨轮机械有限公司 北京中仕达兴业展览有限公司 备展览会 福建省南安市立信石材有限公司 2016年1月美国国际建筑建材展览会 福建省新天国际会展有限公司 福建省南安市荣达建材有限公司 2016年泰国曼谷国际建材展览会 厦门徕展展览有限公司 福建省南安市荣达建材有限公司 2016年印度尼西亚雅加达国际建材展览会 厦门徕展展览有限公司 福建省南安市荣达建材有限公司 2016年美国国际石材及瓷砖展览会 厦门市盈拓商务有限公司 福建省南安市生金石材有限公司 2016年全美国际墓园及殡葬用品博览会 领肯(厦门)会展服务有限公司 2016年阿拉伯联合酋长国迪拜国际石材及瓷 福建省南安市万福机械有限公司 厦门盈拓商务有限公司 砖展览会 2016年美国芝加哥国际石材、瓷砖及地铺材 福建省南安市万福建材有限公司 厦门美易德会展服务有限公司 料展 福建省南安市万福建材有限公司 2016年澳大利亚国际建材展 福建世博展览商务有限公司 福建省南平市铭创鸿远贸易有限公司 境外展览会 上海赛博展览广告有限公司 中国国际贸易促进委员会电子信息行 福建省南平市三金电子有限公司 2016年俄罗斯国际电子元器件及设备展 业分会 第 7 页,共 27 页 地点 时间 39226 64078 58275 21000 53000 29800 展位面积 (㎡) 9 18 10.5 9 9 9 德国,法兰克福 中国,香港 德国,法兰克福 中国,台湾 日本,千叶 泰国,曼谷 2016/1/29 至 2016/2/2 2016/4/11 至 2016/4/14 2016/2/12 至 2016/2/16 2016/6/22 至 2016/6/25 2016/3/8 至 2016/3/11 2016/5/25 至 2016/5/29 17000 9 巴基斯坦,卡拉奇 2016/3/9 至 2016/3/11 26300 25800 37000 51000 45000 32000 49600 9 9 9 9 9 9 18 越南,胡志明市 尼泊尔,加德满都 美国,拉斯维加斯 日本,千叶 美国,芝加哥 荷兰,阿姆斯特丹 泰国,曼谷 2016/3/30 至 2016/4/2 2016/3/17 至 2016/3/21 2016/6/21 至 2016/6/23 2016/3/8 至 2016/3/11 2016/6/21 至 2016/6/23 2016/5/24 至 2016/5/25 2016/4/26 至 2016/5/1 39800 9 美国,拉斯维加斯 2016/2/15 至 2016/2/18 42000 38000 37000 9 9 9 美国,拉斯维加斯 德国,科隆 美国,拉斯维加斯 2016/6/21 至 2016/6/23 2016/1/31 至 2016/2/3 2016/6/21 至 2016/6/23 27000 9 美国,新奥尔良 2016/4/13 至 2016/4/15 50000 33000 29700 18 9 9 2016/6/16 至 2016/6/18 2016/4/18 至 2016/4/21 2016/5/25 至 2016/5/29 48000 15 中国,台湾 美国,芝加哥 印度尼西亚,雅加 达 印度,班加罗尔 60000 29925 33725 35000 18 9 9 9 土耳其,安塔利亚 中国,香港 中国,香港 中国,香港 2016/5/26 至 2016/5/29 2016/4/27 至 2016/4/30 2016/4/18 至 2016/4/21 2016/1/18 至 2016/1/21 35000 9 美国,拉斯维加斯 2016/2/15 至 2016/2/18 39000 28064 35500 52530 64077 9 9 9 8 18 美国,波士顿 德国,慕尼黑 中国,香港 美国,拉斯维加斯 中国,香港 2016/3/6 至 2016/3/8 2016/6/22 至 2016/6/24 2016/4/13 至 2016/4/16 2016/3/23 至 2016/3/24 2016/4/11 至 2016/4/14 23700 12 伊朗,伊斯法罕 2016/5/1 至 2016/5/5 28800 9 印度,班加罗尔 2016/2/3 至 2016/2/6 73300 23000 31400 35700 27000 18 9 9 9 9 美国,拉斯维加斯 泰国,曼谷 印度尼西亚,雅加 美国,芝加哥 达 美国,新奥尔良 2016/1/19 至 2016/1/21 2016/4/26 至 2016/5/1 2016/5/25 至 2016/5/29 2016/4/18 至 2016/4/21 2016/4/13 至 2016/4/15 32000 9 阿联酋,迪拜 2016/5/23 至 2016/5/26 47400 9 美国,芝加哥 2016/4/18 至 2016/4/21 54000 29700 9 9 澳大利亚,墨尔本 中国,香港 2016/5/4 至 2016/5/6 2016/4/27 至 2016/4/30 37500 9 俄罗斯,莫斯科 2016/3/15 至 2016/3/17 展位价格 2016/2/3 至 2016/2/6 序号 单位名称 313 314 福建省南平市三金电子有限公司 福建省宁德市川晖水产有限公司 315 福建省欧品轩竹木傢俬有限公司 316 317 318 319 320 321 322 福建省莆田市荔城纸业有限公司 福建省莆田市荔城纸业有限公司 福建省莆田市天源食品有限公司 福建省莆田市玉泉建材有限公司 福建省莆田市中涵机动力有限公司 福建省全智慧国际贸易有限公司 福建省全智慧国际贸易有限公司 323 福建省泉州斌利达建材有限公司 324 325 326 327 328 329 331 332 333 334 335 福建省泉州华鸿通讯有限公司 福建省泉州市泛成实业有限公司 福建省泉州市丰泽对外贸易有限公司 福建省泉州市光远电子有限公司 福建省泉州市华钻金刚石工具有限公 司 福建省泉州市华钻金刚石工具有限公 福建省泉州市华钻金刚石工具有限公 司 司 福建省泉州市日升石业有限公司 福建省泉州市日升石业有限公司 福建省泉州市日泰茶业有限公司 福建省泉州市日泰茶业有限公司 福建省泉州市松田石材有限公司 336 福建省泉州万龙石业有限公司 337 338 339 福建省泉州永辉进出口有限公司 福建省邵武市绿农食用菌有限公司 福建省时代天和实业有限公司 340 福建省顺泰盛鞋业有限公司 341 福建省同兴汽车同步器有限公司 342 343 344 福建省拓昌进出口贸易有限公司 福建省威尔陶瓷股份有限公司 福建省威尔陶瓷股份有限公司 345 福建省霞浦县众源机械有限公司 346 福建省霞浦县众源机械有限公司 347 福建省霞浦县众源机械有限公司 348 福建省祥福工艺有限公司 349 350 福建省祥鑫五金科技有限公司 福建省祥云生物科技发展有限公司 351 福建省向兴纺织科技有限公司 352 福建省向兴纺织科技有限公司 353 福建省新鹏飞实业发展有限公司 354 355 356 福建省新鹏飞实业发展有限公司 福建省新瑞会展有限公司 福建省新瑞会展有限公司 330 项目名称 组展单位 展位价格 2016年国际微波技术展览会(IMS 2016)) 中国国际贸易促进委员会商业行业分 34000 美国波士顿国际水产展 福建荟源国际展览有限公司 39000 会 第五届中东欧(波兰) 中国家居&工业品牌 福建省新瑞会展有限公司 32800 博览会 2016德国纽伦堡国际宠物用具博览会 长城国际展览有限责任公司 26426 2016中东迪拜国际医疗设备展览会 南京普奥希展览有限公司 75000 俄罗斯配料展 北京东方创盈国际展览有限公司 40200 2016年卡塔尔多哈国际建筑、建材展览会 厦门市盈拓商务有限公司 60260 2016年印度尼西亚国际汽车零部件展览会 北京中商国际展览有限公司 25800 2016 年1 月意大利加达国际鞋展 厦门励诚会展有限公司 103250 2016 年6月意大利加达国际鞋展 厦门励诚会展有限公司 123230 2016年5月阿尔及利亚国际建筑材料和建筑机 中展世建(北京)国际会展有限公司 25000 械展览会 2016春季环球资源香港中国采购交易会 福建荟源国际展览有限公司 28834.88 2016年5月卡塔尔多哈国际建筑建材展览会 福建省新天国际会展有限公司 38000 2016年01月意大利加达国际鞋展(Garda) 伊恩展业(北京)国际展览有限公司 55400 2016年香港春季电子产品展 福建荟源国际展览有限公司 35500 北京中仕达兴业展览有限公司 23700 第12届伊朗(伊斯法罕)国际石材工业展览 2016年印尼国际石材展 领肯(厦门)会展服务有限公司 28795 会 2016年俄罗斯(莫斯科)国际石材及技术展 福建省新天国际会展有限公司 23500 览会 2016年1月美国拉斯维加斯国际石材展览会 厦门市盈拓商务有限公司 78000 2016年4月美国国际石材及瓷砖展览会 厦门市盈拓商务有限公司 66000 2016年2月迪拜食品展 上海国际广告展览有限公司 40500 2016日本东京国际食品及饮料展 福建世博展览商务有限公司 51000 印度尼西亚雅加达国际建材展览会 厦门市盈拓商务有限公司 57000 2016年第12届印度班加罗尔国际石材及加工 泉州市贸促展览服务有限公司 63360 机械装备展览会 环球资源香港展 上海赛博展览广告有限公司 31500 2016年6月台北国际食品展 福建荟源国际展览有限公司 21000 2016年4月新加坡孕婴童展 福建省新瑞会展有限公司 27800 2016年2月美国拉斯维加斯服装服饰、面料辅 福建荟源国际展览有限公司 35000 料及鞋类展览会 2016年6月8-11日越南国际汽车、摩托车,电 泉州市贸促展览服务有限公司 40000 动车及零部件展览会 2016年中东国际电力及灯具、新能源博览会 誉颁会展集团(厦门)有限公司 50040 2016年3月芝加哥国际家庭用品展 福建荟源国际展览有限公司 34450 2016年1月德国法兰克福国际礼品博览会 福建荟源国际展览有限公司 43585 2016年第12届印度班加罗尔国际石材及加工 北京中仕达兴业展览有限公司 53280 机械装备展览会 2016 年中东迪拜石材展 厦门会展金泓信展览有限公司 31590 2016年德国慕尼黑国际建筑机械、建材机械 北京中展海外展览有限公司 35948 、矿山机械、工程车辆及建筑设备博览会 第五届中东欧(波兰) 中国家居&工业品牌 福建省新瑞会展有限公司 32800 博览会 2016年澳大利亚国际建筑展览会 厦门徕展展览有限公司 102800 2016年6月海峡两岸食品展 福建世博展览商务有限公司 24000 2016德国慕尼黑国际体育用品及运动时尚博 厦门会展金泓信展览有限公司 59724 览会 盐湖城冬季户外用品展 福建荟源国际展览有限公司 72000 2016年印度班加罗尔国际石材及石材机械展 厦门市盈拓商务有限公司 45000 览会 2016年美国芝加哥国际石材及瓷砖展览会 佛山市浩瀚商务咨询有限公司 38610 2016年1月科隆国际家具展 福建省新瑞会展有限公司 774057.6 2016年6月意大利加达国际鞋展 福建省新瑞会展有限公司 2582325 第 8 页,共 27 页 展位面积 (㎡) 9 9 地点 时间 美国,旧金山 美国,波士顿 2016/5/24 至 2016/5/26 2016/3/6 至 2016/3/8 9 波兰,华沙 2016/6/7 至 2016/6/9 9 9 9 18 9 22.5 22.5 德国,纽伦堡 阿联酋,迪拜 俄罗斯,莫斯科 卡塔尔,多哈 印度尼西亚,雅加 意大利,加答 达 意大利,加答 阿尔及利亚,阿尔 及尔 中国,香港 卡塔尔,多哈 意大利,加答 中国,香港 伊朗,伊斯法罕 印度尼西亚,雅加 达 俄罗斯,莫斯科 2016/5/26 至 2016/5/29 2016/1/25 至 2016/1/28 2016/3/1 至 2016/3/4 2016/5/9 至 2016/5/12 2016/3/29 至 2016/4/1 2016/1/16 至 2016/1/19 2016/6/11 至 2016/6/14 2016/1/20 至 2016/1/22 2016/4/18 至 2016/4/21 2016/2/21 至 2016/2/25 2016/3/8 至 2016/3/11 2016/5/25 至 2016/5/29 18 美国,拉斯维加斯 美国,芝加哥 阿联酋,迪拜 日本,千叶 印度尼西亚,雅加 达 印度,班加罗尔 9 9 9 中国,香港 中国,台湾 新加坡,新加坡 2016/4/27 至 2016/4/30 2016/6/22 至 2016/6/25 2016/4/13 至 2016/4/15 9 美国,拉斯维加斯 2016/2/15 至 2016/2/18 18 越南,河内 2016/6/8 至 2016/6/11 9 9 10 阿联酋,迪拜 美国,芝加哥 德国,法兰克福 2016/3/1 至 2016/3/3 2016/3/5 至 2016/3/8 2016/1/29 至 2016/2/2 15 印度,班加罗尔 2016/2/3 至 2016/2/6 9 阿联酋,迪拜 2016/5/23 至 2016/5/26 10 德国,慕尼黑 2016/4/11 至 2016/4/17 9 波兰,华沙 2016/6/7 至 2016/6/9 18 9 澳大利亚,墨尔本 中国,台湾 2016/5/4 至 2016/5/6 2016/6/22 至 2016/6/25 18 德国,慕尼黑 2016/1/24 至 2016/1/27 18 美国,盐湖城 2016/1/7 至 2016/1/10 15 印度,班加罗尔 2016/2/3 至 2016/2/6 9 186 537.5 美国,芝加哥 德国,科隆 意大利,加答 2016/4/18 至 2016/4/21 2016/1/18 至 2016/1/24 2016/6/11 至 2016/6/14 9 9 9 12 9 12 9 9 18 18 9 9 18 2016/5/3 至 2016/5/7 2016/4/11 至 2016/4/14 2016/5/9 至 2016/5/12 2016/1/16 至 2016/1/19 2016/4/13 至 2016/4/16 2016/5/1 至 2016/5/5 2016/5/25 至 2016/5/29 2016/6/21 至 2016/6/24 2016/2/3 至 2016/2/6 序号 357 358 359 360 361 362 363 364 365 366 367 368 369 370 371 372 373 374 375 376 377 378 379 380 381 382 383 384 385 386 387 388 389 390 391 392 393 394 395 396 397 398 399 400 401 402 403 单位名称 项目名称 组展单位 2016年5月美国纽约国际文具、纸制品及礼品 福建省新瑞会展有限公司 展览会 福建省新瑞会展有限公司 2016年2月印度金奈国际皮革展 福建省新瑞会展有限公司 福建省新瑞会展有限公司 2016年4月香港礼品暨赠品展 福建省新瑞会展有限公司 福建省新瑞会展有限公司 2016年1月意大利加达国际鞋展 福建省新瑞会展有限公司 第五届中东欧(波兰) 中国家居&工业品牌 福建省雅康工贸有限公司 福建省新瑞会展有限公司 博览会 福建省雅康工贸有限公司 2016年1月科隆展 上选华姿会展(大连)有限公司 2016年2月美国拉斯维加斯国际服装服饰、面 福建省阳和贸易有限公司 福建荟源国际展览有限公司 料辅料及鞋类展览会 福建省阳和贸易有限公司 美国纽约FFANY国际鞋展 厦门励诚会展有限公司 福建省阳和贸易有限公司 2016年6月意大利加达鞋展 厦门励诚会展有限公司 福建省怡诺威进出口贸易有限公司 2016年2月美国拉斯维加斯鞋服展 福建荟源国际展览有限公司 福建省亿龙食品股份有限公司 2016年芝加哥食品零售展 福建荟源国际展览有限公司 福建省亿龙食品股份有限公司 2016新加坡食品展 福建荟源国际展览有限公司 2016年1月24日-26日美国纽约服装及面辅料 福建省盈艺纺织品制造有限公司 福建荟源国际展览有限公司 展览会 福建省煜坤强威电机有限公司 2016年土耳其欧亚国际工业展览会 福建荟源国际展览有限公司 2016年2月美国拉斯维加斯国际服装服饰、面 福建省源圣服饰针纺有限公司 福建荟源国际展览有限公司 料辅料及鞋类展览会 福建省长乐市华诚针纺织品有限公司 2016年印尼雅加达国际纺织及制衣工业展 上海追越会展服务有限公司 福建省长乐市俊威纺织有限公司 2016年美国国际空调、供热及制冷设备展AHR 北京励航国际商务会展有限公司 福建省长乐市胜兴针织有限公司 2016越南西贡纺织及制衣工业展览会 福建世博展览商务有限公司 福建省长乐市天航针纺有限公司 2016年中国-东盟博览会越南展 福州市进出口商会 福建省长乐市星辉针织有限公司 2016年3月越南国际纺织及制衣工业展览会 福建省新瑞会展有限公司 福建省正祺进出口贸易有限公司 2016年1月意大利加答展 广州鑫拓普展览有限公司 福建圣农食品有限公司 2016亚洲水产及冷冻食品展 福建省新天国际会展有限公司 福建盛达机器股份公司 2016年土耳其伊兹密尔国际石材展 厦门会展金泓信展览有限公司 福建盛达机器股份公司 北京中仕达兴业展览有限公司 第12届伊朗(伊斯法罕)国际石材工业展览 会 第12届印度班加罗尔国际石材及加工机械装 福建盛达机器股份公司 北京中仕达兴业展览有限公司 备展览会 福建盛达机器股份公司 2016印尼国际石材展 领肯(厦门)会展服务有限公司 福建盛达机器股份公司 2016台湾国际生命礼仪博览会 领肯(厦门)会展服务有限公司 福建盛达机器股份公司 2016年美国芝加哥国际石材及瓷砖博览会 福建省新天国际会展有限公司 福建盛达机器股份公司 2016年摩洛哥国际石材及机械展 领肯(厦门)会展服务有限公司 福建时嘉贸易有限公司 2016年6月意大利加达鞋展 伊恩展业(北京)国际展览有限公司 2016年2月美国拉斯维加斯国际服装服饰、面 福建时嘉贸易有限公司 福建荟源国际展览有限公司 料辅料及鞋类展览会 福建世创商务展览有限公司 2016年波兰国际礼品及家居用品展 福建世创商务展览有限公司 福建世创商务展览有限公司 2016年中国农产品展览会(波兰) 福建世创商务展览有限公司 福建世创商务展览有限公司 2016斯里兰卡国际纱线面料及辅料展览会 福建世创商务展览有限公司 福建世创商务展览有限公司 美国洛杉矶工商大展 福建世创商务展览有限公司 福建世创商务展览有限公司 2016巴西圣保罗国际纺织服装展览会 福建世创商务展览有限公司 福建世创商务展览有限公司 2016年中国(尼泊尔)商品博览会 福建世创商务展览有限公司 福建世创商务展览有限公司 2016第29届越南国际纺织展览会 福建世创商务展览有限公司 福建世创商务展览有限公司 2016年台北国际礼品暨文具展 福建世创商务展览有限公司 福建世创商务展览有限公司 福建世创商务展览有限公司 2016第29届越南国际制衣工业展览会(机械 福建世创商务展览有限公司 2016年澳大利亚绿色建筑及家居用品展览会 福建世创商务展览有限公司 ) 2016越南(河内)国际建筑建材及装饰材料 福建世创商务展览有限公司 福建世创商务展览有限公司 博览会 福建世纪电缆有限公司 境外展览会 福州茂华会展服务有限公司 福建双菱电机有限公司 2016年土耳其欧亚国际工业展览会 福建荟源国际展览有限公司 福建思科通电子科技有限公司 2016年美国圣克拉拉国际照明展览会 远大国际展览有限公司 福建泰安预涂膜有限公司 2016年德鲁巴印刷展 北京丝路传奇国际展览有限公司 福建桃贝尔国际贸易有限公司 2016年香港家庭用品展 北京泰莱特国际会展有限公司 福建省新瑞会展有限公司 第 9 页,共 27 页 展位价格 展位面积 (㎡) 地点 时间 370000 90 美国,纽约 2016/5/15 至 2016/5/18 272000 261000 2307745 93 54 438.5 印度,金奈 中国,香港 意大利,加答 2016/2/1 至 2016/2/3 2016/4/27 至 2016/4/30 2016/1/16 至 2016/1/19 32800 9 波兰,华沙 2016/6/7 至 2016/6/9 36135 9 德国,科隆 2016/1/18 至 2016/1/24 70000 18 美国,拉斯维加斯 2016/2/15 至 2016/2/18 38500 81500 39800 45000 36000 9 20 9 9 9 美国,纽约 意大利,加答 美国,拉斯维加斯 美国,芝加哥 新加坡,新加坡 2016/6/7 至 2016/6/9 2016/6/11 至 2016/6/14 2016/2/15 至 2016/2/18 2016/6/21 至 2016/6/23 2016/4/12 至 2016/4/15 85800 18 美国,纽约 2016/1/24 至 2016/1/26 42000 9 2016/3/17 至 2016/3/20 39800 9 土耳其,伊斯坦布 尔 美国,拉斯维加斯 42000 37000 24000 15000 26300 60000 66000 37800 23700 18 9 9 9 9 25 18 12 12 印度尼西亚,雅加 美国,奥兰多 达 越南,西贡 越南,河内 越南,胡志明市 意大利,加答 日本,东京 土耳其,伊兹密尔 伊朗,伊斯法罕 2016/4/27 至 2016/4/30 2016/1/25 至 2016/1/27 2016/3/29 至 2016/4/2 2016/6/16 至 2016/6/18 2016/3/30 至 2016/4/2 2016/1/16 至 2016/1/19 2016/3/8 至 2016/3/11 2016/3/23 至 2016/3/26 2016/5/1 至 2016/5/5 76800 24 印度,班加罗尔 2016/2/3 至 2016/2/6 28800 25000 32000 28000 54000 9 9 9 9 11.25 印度尼西亚,雅加 中国,台湾 达 美国,芝加哥 摩洛哥,卡萨布兰 意大利,加答 卡 2016/5/25 至 2016/5/29 2016/6/16 至 2016/6/18 2016/4/18 至 2016/4/21 2016/1/14 至 2016/1/16 2016/6/11 至 2016/6/14 35000 9 美国,拉斯维加斯 2016/2/15 至 2016/2/18 4140000 3865815 247500 990000 259000 593400 412800 374000 18900 1168000 1242 702 81 297 63 207 144 153 63 288 波兰,华沙 波兰,华沙 斯里兰卡,科伦坡 美国,洛杉矶 巴西,圣保罗 尼泊尔,加德满都 越南,胡志明市 中国,台湾 越南,胡志明市 澳大利亚,墨尔本 2016/5/19 至 2016/5/21 2016/5/19 至 2016/5/21 2016/3/10 至 2016/3/12 2016/1/16 至 2016/1/17 2016/6/26 至 2016/6/29 2016/3/17 至 2016/3/21 2016/3/30 至 2016/4/2 2016/4/22 至 2016/4/25 2016/3/30 至 2016/4/2 2016/6/28 至 2016/6/29 159000 54 越南,河内 2016/3/24 至 2016/3/28 25800 42000 89378 38000 57520 9 9 9 9 9 尼泊尔,加德满都 土耳其,伊斯坦布 尔 美国,加利福尼亚 德国,杜塞尔多夫 州 中国,香港 2016/3/17 至 2016/3/21 2016/3/17 至 2016/3/20 2016/3/1 至 2016/3/3 2016/5/31 至 2016/6/10 2016/4/20 至 2016/4/23 2016/2/15 至 2016/2/18 序号 单位名称 项目名称 组展单位 展位价格 404 405 406 407 408 409 410 福建天利高新材料有限公司 福建天利高新材料有限公司 福建天利高新材料有限公司 福建天乙电机有限公司 福建铁拓机械有限公司 福建通美信机械制造有限公司 福建万宝龙科技发展有限公司 厦门市盈拓商务有限公司 厦门市盈拓商务有限公司 北京环球励华国际展览有限公司 福建省易联展会展服务有限公司 厦门市盈拓商务有限公司 北京中展华腾国际展览有限公司 南京维特斯展览有限公司 103308 97016 85579 62900 19950 26848 135000 411 福建万达电机有限公司 西麦克国际展览有限责任公司 36000 412 福建万达电机有限公司 西麦克国际展览有限责任公司 413 福建万龙金刚石工具有限公司 414 415 福建万顺粉末涂料有限公司 福建万通渔业有限公司 416 福建旺木鞋业有限公司 2016澳大利亚建材展参展 2016年美国建材展参展 2016年澳大利亚制冷展参展 2016年4月德国汉诺威工业博览会 2016年孟加拉国达卡建筑工程展览会 2016美国世界卫生纸业展览会 2016土耳其纺织机械展 2016年米兰国际供暖、空调、制冷、再生能 源及太阳能博览会(MCE 2016) 德国汉诺威工业展览会 2016年第12届印度班加罗尔国际石材及加工 机械装备展览会 TURKCOAT & PAINT ISTANBUL 2016 美国波士顿国际水产展 2016年2月美国拉斯维加斯春季国际鞋类、服 饰及面料展览会 展位面积 (㎡) 9 9 9 16 9 9 30 417 福建威曼动力科技有限公司 418 福建威曼动力科技有限公司 419 福建味家生活用品制造有限公司 420 421 地点 时间 2016/5/4 至 2016/5/6 2016/1/16 至 2016/1/21 2016/5/17 至 2016/5/19 2016/4/25 至 2016/4/29 2016/5/26 至 2016/5/28 2016/3/15 至 2016/3/17 2016/6/1 至 2016/6/4 9 澳大利亚,墨尔本 美国,拉斯维加斯 澳大利亚,墨尔本 德国,汉诺威 孟加拉,达卡 美国,新奥尔良 土耳其,伊斯坦布 尔 意大利,米兰 100699.2 54 德国,汉诺威 2016/4/25 至 2016/4/29 泉州市贸促展览服务有限公司 63360 18 印度,班加罗尔 2016/2/3 至 2016/2/6 北京普赛尔国际会展有限公司 福建荟源国际展览有限公司 23000 39000 9 9 土耳其,伊斯坦布 美国,波士顿 尔 2016/3/24 至 2016/3/26 2016/3/6 至 2016/3/8 福建省新天国际会展有限公司 35000 9 美国,拉斯维加斯 2016/2/15 至 2016/2/18 第十四届哈萨克斯坦——中国商品展览会 福建荟源国际展览有限公司 25000 9 福建荟源国际展览有限公司 42000 9 福建省新瑞会展有限公司 32800 9 福建西伯力环保科技有限公司 福建西亘电子有限公司 2016年土耳其欧亚国际工业展览会 第五届中东欧(波兰) 中国家居&工业品牌 博览会 印度国际制冷空调、及建筑服务展览会 2016年4月香港春季电子产品展 福建荟源国际展览有限公司 27285 35500 12 9 422 福建溪石股份有限公司 哈萨克斯坦阿斯塔纳国际建材展 45422 12 423 424 425 426 427 福建溪石股份有限公司 福建溪石股份有限公司 福建仙洋洋食品科技有限公司 福建先创通信有限公司 福建祥达进出口有限公司 35000 51700 29800 67450 127500 428 福建协弘贸易有限公司 429 430 431 432 433 434 435 436 437 福建欣顺贸易有限公司 福建欣顺贸易有限公司 福建新大陆自动识别技术有限公司 福建新大陆自动识别技术有限公司 福建新天星鞋材发展有限公司 福建鑫森合纤科技有限公司 福建鑫旺电机集团有限公司 福建信达机械有限公司 福建信达机械有限公司 438 福建星网锐捷通讯股份有限公司 439 440 441 442 443 444 445 446 447 福建星鑫贸易有限公司 福建兴源实业有限公司 福建亚南电机有限公司 福建亚南电机有限公司 福建亚通绿园茶业有限公司 福建一华电机有限公司 福建一华电机有限公司 福建一加一商务会展有限公司 福建夷山物产食品实业有限公司 448 福建怡和电子有限公司 449 福建亿发卫生用品有限公司 2016年卡塔尔建材展 福建省新天国际会展有限公司 2016俄罗斯莫斯科国际建材展 厦门市盈拓商务有限公司 2016年泰国曼谷亚洲世界食品博览会 福建省新瑞会展有限公司 2016年4月香港环球资源电子展 福建荟源国际展览有限公司 上海华赫会展有限公司 2016年4月国际制罐工业展览会 CANNEX&Fillex 2016年2月美国拉斯维加斯服装服饰、面料辅 福建荟源国际展览有限公司 料及鞋类展览会 领肯(厦门)会展服务有限公司 2016年土耳其安塔利亚国际石材及矿山机械 2016年中东(迪拜)石材展览会 领肯(厦门)会展服务有限公司 展 2016澳洲CeBit展 WORLD IT SHOW 2016 意大利加答国际鞋业博览会 伊恩展业(北京)国际展览有限公司 2016年4月印尼纺织面料辅料展 上海泰英达会展服务有限公司 2016年土耳其欧亚国际工业展览会 福建荟源国际展览有限公司 2016年印尼工程机械、建筑设备展 深圳市汇客通展览有限公司 2016年孟加拉达卡国际建筑工程展览会 厦门市盈拓商务有限公司 英国伦敦国际安全科技专业大展(IFSEC英国 安防展) 环球资源香港内衣泳衣展 上海赛博展览广告有限公司 2016年3月芝加哥国际家庭用品展 福建荟源国际展览有限公司 2016年中东国际电力照明及新能源展览会 2016年南非国际电力及能源展览会 中国机电产品进出口商会 2016年泰国曼谷亚洲世界食品博览会 福建省新瑞会展有限公司 2016年4月德国汉诺威工业博览会 福建荟源国际展览有限公司 2016年土耳其欧亚国际工业展览会 福建荟源国际展览有限公司 2016韩国首尔国际佛教博览会 福建一加一商务会展有限公司 2016年3月日本东京国际食品和饮料展览会 福建世博展览商务有限公司 2016年韩国-首尔第32届国际医疗诊所实验室 福建正联国际会展商务有限公司 及医院设备展览会 2016年5月荷兰自有品牌贸易展 福建荟源国际展览有限公司 第 10 页,共 27 页 哈萨克斯坦,阿拉 木图 土耳其,伊斯坦布 尔 波兰,华沙 2016/3/15 至 2016/3/18 2016/5/21 至 2016/5/24 2016/3/17 至 2016/3/20 2016/6/7 至 2016/6/9 2016/2/25 至 2016/2/27 2016/4/13 至 2016/4/16 9 14 9 9 27 印度,孟买 中国,香港 哈萨克斯坦,阿斯 塔纳 卡塔尔,多哈 俄罗斯,莫斯科 泰国,曼谷 中国,香港 美国,丹弗斯 35000 9 美国,拉斯维加斯 2016/2/15 至 2016/2/18 30000 42000 47028 27344 38000 21000 42000 23500 19000 9 12 9 9 10 9 9 9 9 土耳其,安塔利亚 阿联酋,迪拜 澳大利亚,悉尼 韩国,首尔 意大利,加答 印度尼西亚,雅加 达 土耳其,伊斯坦布 尔 印度尼西亚,雅加 孟加拉,达卡 达 2016/5/26 至 2016/5/29 2016/5/23 至 2016/5/26 2016/5/2 至 2016/5/4 2016/5/17 至 2016/5/20 2016/6/11 至 2016/6/14 2016/4/27 至 2016/4/30 2016/3/17 至 2016/3/20 2016/3/29 至 2016/4/1 2016/5/26 至 2016/5/28 71916 12 英国,伦敦 2016/6/21 至 2016/6/23 33000 32000 210743 66250 29800 38000 42000 237000 53000 9 9 50 18 9 9 9 90 9 中国,香港 美国,芝加哥 阿联酋,迪拜 南非,开普敦 泰国,曼谷 德国,汉诺威 土耳其,伊斯坦布 韩国,首尔 尔 日本,东京 2016/4/27 至 2016/4/30 2016/3/5 至 2016/3/8 2016/3/1 至 2016/3/3 2016/5/17 至 2016/5/19 2016/5/25 至 2016/5/29 2016/4/25 至 2016/4/29 2016/3/17 至 2016/3/20 2016/3/24 至 2016/3/27 2016/3/8 至 2016/3/11 30000 9 韩国,首尔 2016/3/17 至 2016/3/20 32000 9 荷兰,阿姆斯特丹 2016/5/24 至 2016/5/25 2016/5/18 至 2016/5/20 2016/5/9 至 2016/5/12 2016/4/5 至 2016/4/8 2016/5/25 至 2016/5/29 2016/4/11 至 2016/4/14 2016/4/27 至 2016/4/29 序号 450 451 452 453 454 455 456 457 458 459 460 461 462 463 464 465 466 467 468 469 470 471 单位名称 项目名称 组展单位 2016年4月日本东京时尚世界服装配饰及鞋包 福建省新天国际会展有限公司 展览会 福建永动工具有限公司 2016年德国科隆国际五金博览会 福建省新瑞会展有限公司 福建永动工具有限公司 2016年美国国际五金制品及花园用品展览会 北京中展海外展览有限公司 2016年2月美国拉斯维加斯国际服装服饰、面 福建永立德贸易有限公司 福建荟源国际展览有限公司 料辅料及鞋类展览会 2016年美国拉斯维加斯国际服装服饰、面料 福建优尚贸易有限公司 福建荟源国际展览有限公司 辅料及鞋类展览会 福建友谊胶粘带集团有限公司 2016年中国(尼泊尔)商品展览会 福州茂华会展服务有限公司 福建有木有山生态农业科技有限公司 2016年泰国曼谷亚洲世界食品博览会 福建省新瑞会展有限公司 福建裕兴果蔬食品开发有限公司 2016年芝加哥食品零售展 福建荟源国际展览有限公司 福建元泰茶业有限公司 2016年3月日本东京国际食品与饮料展览会 福建世博展览商务有限公司 福建云星电子有限公司 2016年4月香港春季电子产品展 福建荟源国际展览有限公司 2016年2月美国拉斯维加斯国际服装服饰、面 福建振亚纺织有限公司 福建荟源国际展览有限公司 料辅料及鞋类展览会 2016年2月美国拉斯维加斯服装服饰、面料辅 福建震龙鞋业有限公司 福建荟源国际展览有限公司 料及鞋类展 福建正联国际会展商务有限公司 2016年中国(尼泊尔)商品展览会 福建正联国际会展商务有限公司 福建正能国际货运代理有限公司 2016年2月美国拉斯维加斯鞋服展 福建荟源国际展览有限公司 2016年卡塔尔国际建筑建材展2016年拉丁美 福建正阳汽车部件有限公司 北京中商国际展览有限公司 洲(巴拿马)国际汽配展览会 福建中冠海洋开发有限公司 美国波士顿国际水产展 福建荟源国际展览有限公司 福建众辰精密机芯有限公司 2016年4月香港春季电子产品展 福建荟源国际展览有限公司 2016年2月美国拉斯维加斯春季国际鞋类、服 福建众鑫贸易有限公司 福建省新天国际会展有限公司 装及面料展览会 福建众鑫贸易有限公司 2016年冬季意大利加达国际鞋业展览会 伊恩展业(北京)国际展览有限公司 伊恩展业(北京)国际贸易展览有限 福建众鑫贸易有限公司 2016年夏季意大利加达国际鞋业展览会 公司 福建卓越鸿昌环保智能装备股份有限 2016年肯尼亚国际建材展 北京东方益达国际展览有限责任公司 公司 福建紫山集团股份有限公司 2016年4月新加坡食品展 福建荟源国际展览有限公司 福建英达华工贸有限公司 展位价格 展位面积 (㎡) 地点 时间 31000 9 日本,东京 2016/4/6 至 2016/4/8 31350 30000 6 9 德国,科隆 美国,拉斯维加斯 2016/3/6 至 2016/3/8 2016/5/4 至 2016/5/6 70000 18 美国,拉斯维加斯 2016/2/15 至 2016/2/18 70000 18 美国,拉斯维加斯 2016/2/15 至 2016/2/18 25800 29800 45000 55500 35500 9 9 9 9 9 尼泊尔,加德满都 泰国,曼谷 美国,芝加哥 日本,东京 中国,香港 2016/3/17 至 2016/3/21 2016/5/25 至 2016/5/29 2016/6/21 至 2016/6/23 2016/3/8 至 2016/3/11 2016/4/13 至 2016/4/16 39800 9 美国,拉斯维加斯 2016/2/15 至 2016/2/18 35000 9 美国,拉斯维加斯 2016/2/15 至 2016/2/18 516000 42000 180 9 尼泊尔,加德满都 美国,拉斯维加斯 2016/3/17 至 2016/3/21 2016/2/15 至 2016/2/18 28800 9 巴拿马,巴拿马城 2016/6/14 至 2016/6/16 39000 35500 9 9 美国,波士顿 中国,香港 2016/3/6 至 2016/3/8 2016/4/13 至 2016/4/16 68000 18 美国,拉斯维加斯 2016/2/15 至 2016/2/18 122200 26 意大利,加答 2016/1/16 至 2016/1/19 88400 13 意大利,加答 2016/6/11 至 2016/6/14 28800 9 肯尼亚,内罗毕 2016/6/4 至 2016/6/6 36000 9 2016/4/12 至 2016/4/15 472 福建紫山集团股份有限公司 2016年北非(阿尔及利亚)国际食品展 福建省贸易促进中心 38000 9 473 474 475 476 477 478 福建紫山集团股份有限公司 福建紫心生物薯业有限公司 福清朝辉水产食品有限公司 福清华信食品有限公司 福清华裕贸易有限公司 福清隆盛制衣有限公司 福建荟源国际展览有限公司 福建荟源国际展览有限公司 中国水产流通与加工协会 福建荟源国际展览有限公司 远大国际展览有限公司 厦门会展金泓信展览有限公司 45000 29000 41200 39000 40700 44816 9 9 9 9 9 12 479 福清隆盛制衣有限公司 福建荟源国际展览有限公司 79600 18 美国,拉斯维加斯 2016/2/15 至 2016/2/18 480 481 福清明源竹木制品有限公司 福清市海威钓具有限公司 北京泰莱特国际会展有限公司 50575 44454 8.8 30 德国,法兰克福 俄罗斯,莫斯科 2016/2/12 至 2016/2/16 2016/2/24 至 2016/2/28 482 福清市联创进出口贸易有限公司 厦门会展金泓信展览有限公司 49770 18 德国,慕尼黑 2016/1/24 至 2016/1/27 483 福清市圣达塑胶制品有限公司 福建荟源国际展览有限公司 35000 9 美国,拉斯维加斯 2016/2/15 至 2016/2/18 484 485 486 487 488 489 490 491 福清市胜德塑胶制品有限公司 福清市谊华水产食品有限公司 福州阿尔发光学有限公司 福州艾科迅电子有限公司 福州艾拓葆进出口有限公司 福州安王贸易有限公司 福州巴斯光电技术有限公司 福州巴斯光电技术有限公司 2016年芝加哥食品零售展 2016年泰国国际食品展 2016北美水产博览会 美国波士顿国际水产展 2016年迪拜汽配展(AUTOMECHANIKA DUBAI) 2016年慕尼黑国际体育用品展览会 2016年2月美国拉斯维加斯国际服装服饰、面 料辅料及鞋类展览会 2016年2月德国法兰克福春季消费品展览会 2016年俄罗斯春季狩猎及钓具展 2016德国慕尼黑国际体育用品及运动时尚博 览会 2016年2月美国拉斯维加斯服装服饰、面料辅 料及鞋类展 盐湖城冬季户外用品展 2016年美国波士顿国际水产展 2016年第十三届德国法兰克福光学展 2016年4月香港春季电子产品展 2016年4月环球资源礼品及赠品展 2016年1月德国慕尼黑体育用品展ISPO 2016年2月美国西部光电展 2016年6月德国法兰克福光电展 新加坡,新加坡 阿尔及利亚,阿尔 及尔 美国,芝加哥 泰国,曼谷 美国,波兰特 美国,波士顿 阿联酋,迪拜 德国,慕尼黑 福建荟源国际展览有限公司 北京领汇国际展览有限公司 36000 40109 27085 35500 31500 59724 45174 54668 9 9 12 9 9 18 9 9 美国,盐湖城 美国,波士顿 德国,法兰克福 中国,香港 中国,香港 德国,慕尼黑 美国,旧金山 德国,法兰克福 2016/1/7 至 2016/1/10 2016/3/6 至 2016/3/8 2016/6/7 至 2016/6/9 2016/4/13 至 2016/4/16 2016/4/18 至 2016/4/21 2016/1/24 至 2016/1/27 2016/2/16 至 2016/2/18 2016/6/7 至 2016/6/9 福建荟源国际展览有限公司 上海赛博展览广告有限公司 福建省新天国际会展有限公司 北京富莱国际展览有限公司 北京领汇国际展览有限公司 第 11 页,共 27 页 2016/4/18 至 2016/4/21 2016/6/21 至 2016/6/23 2016/5/25 至 2016/5/29 2016/3/6 至 2016/3/8 2016/3/6 至 2016/3/8 2016/5/8 至 2016/5/10 2016/1/24 至 2016/1/27 序号 单位名称 492 福州白鸽塑胶有限公司 493 494 福州百洋电子科技开发有限公司 福州柏利丰贸易有限公司 495 福州邦泰研磨磨具有限公司 496 497 498 499 500 福州邦泰研磨磨具有限公司 福州保理进出口有限公司 福州贝瑞特贸易有限公司 福州贝瑞特贸易有限公司 福州伯爱斯橡塑化工有限公司 501 福州博美贸易有限公司 502 503 504 505 506 507 福州博美贸易有限公司 福州博源纺织贸易有限公司 福州博源纺织贸易有限公司 福州采尼进出口贸易有限公司 福州昌泰针纺织品有限公司 福州晨征光电有限公司 508 福州承信贸易有限公司 509 510 511 512 513 514 515 516 517 福州达益丰机械制造有限公司 福州大坤彩色印刷有限公司 福州大满贯纺织有限公司 福州大兴油墨有限公司 福州丹熊服饰有限公司 福州迪凯诺贸易有限公司 福州东宁进出口有限公司 福州恩欣国际贸易有限公司 福州凡奇曼克进出口贸易有限公司 518 福州凡奇曼克进出口贸易有限公司 519 520 521 522 523 524 525 526 527 528 529 530 福州飞腾宝弗进出口有限公司 福州丰美鞋业有限公司 福州福湾实业有限公司 福州富臣家居用品有限公司 福州富贵永昌贸易有限公司 福州冠达服装有限公司 福州冠洲电子有限公司 福州光诚光电有限公司 福州光诚光电有限公司 福州光诚光电有限公司 福州海霖动力有限公司 福州海威尔鞋业有限公司 531 福州海威尔鞋业有限公司 532 533 福州海威尔鞋业有限公司 福州海威尔鞋业有限公司 534 福州汉特进出口有限公司 535 福州禾众贸易有限公司 536 福州禾众贸易有限公司 537 福州恒达祥进出口有限公司 项目名称 组展单位 展位价格 2016年2月美国拉斯维加斯国际服装服饰、面 福建荟源国际展览有限公司 35000 料辅料及鞋类展览会 2016年4月香港春季电子产品展 福建荟源国际展览有限公司 35500 2016年4月环球资源时尚配饰及鞋类展 上海赛博展览广告有限公司 29925 2016年德国慕尼黑国际建筑机械、建材机械 中国国际贸易促进委员会机械行业分 35070 、矿山机械、工程车辆及建筑设备博览会 会 北京领汇国际展览有限公司 70000 2016美国拉斯维加斯混凝土暨国际建筑机械 环球资源香港展 上海赛博展览广告有限公司 31350 展 意大利加达国际鞋展 厦门励诚会展有限公司 84500 德国慕尼黑ISPO展 厦门弘轩会展有限公司 45060 中国(尼泊尔)商品展 福州茂华会展服务有限公司 25800 2016年2月美国拉斯维加斯春季国际鞋类、服 福建省新天国际会展有限公司 30000 装及面料展览会 意大利加答国际鞋业博览会 伊恩展业(北京)国际展览有限公司 30000 2016英国劳保展 领肯(厦门)会展服务有限公司 47000 2016年迪拜安防展 北京国博恒贸咨询有限公司 32000 2016年6月意大利加达鞋展 伊恩展业(北京)国际展览有限公司 56400 环球资源时装及面料展 上海赛博展览广告有限公司 31350 2016台北国际光电周 深圳市利德仕会展有限公司 24600 2016年澳大利亚电力电工、照明及新能源展 中展世贸(北京)国际会展有限公司 43962.5 览会 2016年6月海峡两岸食品展 福建世博展览商务有限公司 23100 环球资源礼品及赠品展 上海赛博展览广告有限公司 28350 环球资源时装及面料展 上海赛博展览广告有限公司 31500 2016年德鲁巴国际印刷展 中国国际贸易促进委员会机械行业分 77000 2016年四月香港环球资源时装及面料展 上海赛博展览广告有限公司 31350 会 2016年4月环球资源时尚配饰及鞋类展 上海赛博展览广告有限公司 26082 2016年1月德国法兰克福国际礼品博览会 福建荟源国际展览有限公司 39226 环球资源移动电子展 上海赛博展览广告有限公司 33725 2016年4月环球资源时尚配件及鞋类展 上海赛博展览广告有限公司 26932 2016年2月美国拉斯维加斯国际服装服饰、面 福建荟源国际展览有限公司 35000 料辅料及鞋类展览会 环球资源时装及面料展 上海赛博展览广告有限公司 29925 环球资源时尚配饰及鞋类展 上海赛博展览广告有限公司 29925 中国(尼泊尔)商品博览会 福州茂华会展服务有限公司 25800 2016年2月法兰克福国际春季消费品展览会 75627 2016年5月卡塔尔多哈国际建筑建材展览会 福建省新天国际会展有限公司 35000 2016年4月环球资源时装及面料展 上海赛博展览广告有限公司 26932.5 2016年4月香港春季电子产品展 福建荟源国际展览有限公司 35500 2016美国西部光电博览会 北京中展海外展览有限公司 46000 2016年香港春季电子产品展 福建荟源国际展览有限公司 37275 环球资源时装及面料展 上海赛博展览广告有限公司 29925 中国(尼泊尔)商品展览会 福州茂华会展服务有限公司 25800 2016年4月环球资源时尚配件及鞋类展 上海赛博展览广告有限公司 26082 2016年2月美国拉斯维加斯国际服装服饰、面 福建荟源国际展览有限公司 35000 料辅料及鞋类展览会 2016年2月日本东京国际礼品展 福建荟源国际展览有限公司 32000 2016年6月意大利加达国际鞋展 厦门励诚会展有限公司 87750 2016年1月德国法兰克福国际纸质品世界、办 福建省福茂会展服务有限公司 43200 公用品世界展览会 2016年1月意大利加答展 厦门励诚会展有限公司 151857 2016年4月日本东京时尚世界服装配饰及鞋包 福建省新天国际会展有限公司 62000 展览会 2016年2月美国拉斯维加斯春季国际鞋类、服 福建省新天国际会展有限公司 35000 饰及面料展览会 第 12 页,共 27 页 展位面积 (㎡) 地点 时间 9 美国,拉斯维加斯 2016/2/15 至 2016/2/18 9 9 中国,香港 中国,香港 2016/4/13 至 2016/4/16 2016/4/27 至 2016/4/30 10 德国,慕尼黑 2016/4/11 至 2016/4/17 18 9 13.5 12 9 美国,拉斯维加斯 中国,香港 意大利,加答 德国,慕尼黑 尼泊尔,加德满都 2016/2/2 至 2016/2/5 2016/4/27 至 2016/4/30 2016/6/11 至 2016/6/14 2016/1/24 至 2016/1/27 2016/3/17 至 2016/3/21 9 美国,拉斯维加斯 2016/2/15 至 2016/2/18 9 9 9 12 9 9 意大利,加答 英国,伦敦 阿联酋,迪拜 意大利,加答 中国,香港 中国,台湾 2016/6/11 至 2016/6/14 2016/6/21 至 2016/6/23 2016/1/17 至 2016/1/19 2016/6/11 至 2016/6/14 2016/4/27 至 2016/4/30 2016/6/15 至 2016/6/17 9 澳大利亚,墨尔本 2016/6/28 至 2016/6/29 9 9 9 30 9 9 9 9 9 中国,台湾 中国,香港 中国,香港 德国,杜塞尔多夫 中国,香港 中国,香港 德国,法兰克福 中国,香港 中国,香港 2016/6/22 至 2016/6/25 2016/4/18 至 2016/4/21 2016/4/27 至 2016/4/30 2016/5/31 至 2016/6/10 2016/4/27 至 2016/4/30 2016/4/27 至 2016/4/30 2016/1/29 至 2016/2/2 2016/4/28 至 2016/4/21 2016/4/27 至 2016/4/30 9 美国,拉斯维加斯 2016/2/15 至 2016/2/18 9 9 9 13.8 9 9 9 9 9 9 9 9 中国,香港 中国,香港 尼泊尔,加德满都 德国,法兰克福 卡塔尔,多哈 中国,香港 中国,香港 美国,旧金山 中国,香港 中国,香港 尼泊尔,加德满都 中国,香港 2016/4/27 至 2016/4/30 2016/4/27 至 2016/4/30 2016/3/17 至 2016/3/21 2016/2/12 至 2016/2/16 2016/5/9 至 2016/5/12 2016/4/27 至 2016/4/30 2016/4/13 至 2016/4/16 2016/2/16 至 2016/2/18 2016/4/13 至 2016/4/16 2016/4/27 至 2016/4/30 2016/3/17 至 2016/3/21 2016/4/27 至 2016/4/30 9 美国,拉斯维加斯 2016/2/15 至 2016/2/18 6 13.5 日本,东京 意大利,加答 2016/2/3 至 2016/2/5 2016/6/11 至 2016/6/14 12 德国,法兰克福 2016/1/30 至 2016/2/2 22.5 意大利,加答 2016/1/16 至 2016/1/19 18 日本,东京 2016/4/6 至 2016/4/8 9 美国,拉斯维加斯 2016/2/15 至 2016/2/18 地点 时间 上海赛博展览广告有限公司 上海赛博展览广告有限公司 展位面积 (㎡) 26932.5 9 26932.5 9 中国,香港 中国,香港 2016/4/27 至 2016/4/30 2016/4/27 至 2016/4/30 福建省新天国际会展有限公司 62000 18 日本,东京 2016/4/6 至 2016/4/8 福建荟源国际展览有限公司 35500 33435 22798 9 9 12 中国,香港 美国,旧金山 德国,法兰克福 2016/4/13 至 2016/4/16 2016/2/16 至 2016/2/18 2016/6/7 至 2016/6/9 福建荟源国际展览有限公司 38000 9 墨西哥,墨西哥城 2016/4/13 至 2016/4/15 上海赛博展览广告有限公司 26932.5 9 中国,香港 2016/4/27 至 2016/4/30 福建省新天国际会展有限公司 35000 9 美国,拉斯维加斯 2016/2/15 至 2016/2/18 福建荟源国际展览有限公司 上海赛博展览广告有限公司 福建荟源国际展览有限公司 上海赛博展览广告有限公司 福建荟源国际展览有限公司 福建省新天国际会展有限公司 北京悦晟达国际展览有限公司 福建世博展览商务有限公司 上海赛博展览广告有限公司 中国机电产品进出口商会 福建荟源国际展览有限公司 北京中商国际展览有限公司 北京中商国际展览有限公司 98150 31350 39226 29925 32000 39500 28000 23100 28215 133440 35500 30760 28500 18 9 9 9 9 9 9 9 9 24 9 9 9 中国,香港 中国,香港 德国,法兰克福 中国,香港 美国,旧金山 美国,波士顿 泰国,曼谷 中国,台湾 中国,香港 阿联酋,迪拜 中国,香港 泰国,曼谷 中国,台湾 2016/4/13 至 2016/4/16 2016/4/27 至 2016/4/30 2016/1/29 至 2016/2/2 2016/4/27 至 2016/4/30 2016/3/5 至 2016/3/8 2016/3/6 至 2016/3/8 2016/3/3 至 2016/3/6 2016/6/22 至 2016/6/25 2016/4/27 至 2016/4/30 2016/3/1 至 2016/3/3 2016/4/13 至 2016/4/16 2016/4/7 至 2016/4/10 2016/4/6 至 2016/4/9 中国汽车工业国际合作有限公司 43308 12 墨西哥,墨西哥城 2016/4/13 至 2016/4/15 北京中商国际展览有限公司 40000 9 阿联酋,迪拜 2016/5/8 至 2016/5/10 上海赛博展览广告有限公司 福建荟源国际展览有限公司 福建荟源国际展览有限公司 福建华菱商展有限公司 28350 36800 39226 41000 9 9 9 9 中国,香港 中国,香港 德国,法兰克福 中国,香港 2016/4/18 至 2016/4/21 2016/4/13 至 2016/4/16 2016/1/29 至 2016/2/2 2016/4/20 至 2016/4/23 温州市中恒国际展览有限公司 38495 9 阿联酋,迪拜 2016/5/8 至 2016/5/10 杭州嘉诺展览有限公司 上海赛博展览广告有限公司 24000 29925 9 9 泰国,曼谷 中国,香港 2016/4/7 至 2016/4/10 2016/4/27 至 2016/4/30 福建荟源国际展览有限公司 39800 9 美国,拉斯维加斯 2016/2/15 至 2016/2/18 福州茂华会展服务有限公司 福州茂华会展服务有限公司 中国机电产品进出口商会 上海暮森会展服务有限公司 福州茂华会展服务有限公司 佛山市浩瀚商务资讯有限公司 25800 25800 43583 69535 24000 25800 42800 9 9 10 9 6 9 9 尼泊尔,加德满都 尼泊尔,加德满都 俄罗斯,莫斯科 美国,拉斯维加斯 巴西,圣保罗 尼泊尔,加德满都 巴西,圣保罗 2016/3/17 至 2016/3/21 2016/3/17 至 2016/3/21 2016/3/14 至 2016/3/17 2016/4/6 至 2016/4/8 2016/6/26 至 2016/6/29 2016/3/17 至 2016/3/21 2016/6/28 至 2016/7/2 福建荟源国际展览有限公司 32500 9 阿联酋,迪拜 2016/3/1 至 2016/3/3 21997.91 31500 40000 33000 29925 34960 31500 9 9 9 9 9 7 9 德国,法兰克福 中国,香港 阿联酋,迪拜 土耳其,伊斯坦布 中国,香港 尔 美国,纽约 中国,香港 2016/6/7 至 2016/6/9 2016/4/27 至 2016/4/30 2016/5/8 至 2016/5/10 2016/4/7 至 2016/4/10 2016/4/27 至 2016/4/30 2016/4/14 至 2016/4/17 2016/4/27 至 2016/4/30 序号 单位名称 项目名称 组展单位 538 539 福州弘纺服饰有限公司 福州弘恒贸易有限公司 540 福州弘恒贸易有限公司 541 542 543 福州宏显电子有限公司 福州宏旭科技有限公司 福州宏旭科技有限公司 544 福州洪泰机车配件有限公司 545 福州华尔兹国际贸易有限公司 546 福州华利达贸易有限公司 547 548 549 550 551 552 553 554 555 556 557 558 559 福州华诺技术服务有限公司 福州华绚服饰有限公司 福州吉诺国际贸易有限公司 福州嘉格贸易有限公司 福州金青韵进出口有限公司 福州金翔食品机械设备技术有限公司 福州金翔食品机械设备技术有限公司 福州金翔食品机械设备技术有限公司 福州金阳光服装有限公司 福州金钥匙机电设备有限公司 福州锦顺电子有限公司 福州精邦机械有限公司 福州精邦机械有限公司 560 福州精邦机械有限公司 561 福州精邦机械有限公司 562 563 564 565 福州景源登国际贸易有限公司 福州景源登国际贸易有限公司 福州景之源进出口有限公司 福州九裕文化传播有限公司 566 福州聚威进出口有限公司 567 568 福州聚威进出口有限公司 福州浚菲进出口有限公司 569 福州骏鼎伟业进出口有限公司 570 571 572 573 574 575 576 福州开发区海星精密机械有限公司 福州开发区海星贸易有限公司 福州开发区鸿发光电子技术有限公司 福州开发区鸿发光电子技术有限公司 福州开发区联得益贸易有限公司 福州康利特医疗器械有限公司 福州康信进出口有限公司 577 福州科瑞特纸品有限公司 578 579 580 581 582 583 584 福州科思捷光电有限公司 福州力佰服饰有限公司 福州丽贝卡汽车配件有限公司 福州丽贝卡汽车配件有限公司 福州利达顺国际贸易有限公司 福州利胜制衣有限公司 福州利祥进出口有限公司 环球资源时装及面料展 2016年4月环球资源时尚配件及鞋类展 2016年4月日本东京时尚世界服装配饰及鞋包 展览会 2016年4月香港春季电子产品展 2016年美国西部光电展 2016年德国法兰克福光电展 2016年4月中美洲国际汽车零部件、原料加工 及售后服务贸易展览会 2016年4月环球资源香港展 2016年2月美国拉斯维加斯春季国际鞋类、服 饰及及面料展览会 2016年香港春季电子产品展 2016年4月环球资源香港展 2016年1月德国法兰克福国际礼品博览会 2016年4月环球资源时尚配饰及鞋类展 2016年3月芝加哥国际家庭用品展 2016年美国波士顿国际水产 泰国亚洲食品加工与包装机械展 2016年6月海峡两岸食品展 2016年04月环球资源香港时装及面料展 2016年迪拜展会 2016年4月香港春季电子产品展 2016 年泰国汽车零部件及售后服务展览会 2016 年台北国际汽摩配展 2016年中美洲(墨西哥)国际汽车零部件原料 加工及售后服务贸易展览会 2016 年法兰克福中东(迪拜)国际汽车零部 件及售后服务展览会 环球资源家居礼品展 2016年香港春季电子产品展 2016年1月德国法兰克福国际礼品博览会 2016年4月香港家庭用品展 2016年中东(迪拜)国际汽车零配件及售后 服务展览会 2016年泰国展 环球资源时尚配饰及鞋类展 2016年2月美国拉斯维加斯国际服装服饰、面 料辅料及鞋类展览会 2016年中国(尼泊尔)商品博览会 2016年尼泊尔境外展会补贴申请 2016年俄罗斯莫斯科国际安全科技专业大展 2016年美国拉斯维加斯国际保安产品展览会 巴西圣保罗国际纺织面料展会 中国(尼泊尔)商品展览会 2016年巴西圣保罗国际照明电气及灯具展览 会 2016年3月中东(迪拜)国际纸制品、办公用 品及文具展 2016年德国法兰克福光学展会 2016年4月环球资源香港展 2016年迪拜汽配展 2016年土耳其汽配展 2016年4月香港环球资源时尚配饰及鞋类展 2016纽约艺术博览会 2016年4月环球资源香港展会 上海赛博展览广告有限公司 厦门市盈拓商务有限公司 厦门市盈拓商务有限公司 上海赛博展览广告有限公司 上海赛博展览广告有限公司 第 13 页,共 27 页 展位价格 序号 单位名称 585 586 福州龙福食品有限公司 福州麦喜进出口有限公司 587 福州茂元国际贸易有限公司 588 589 590 591 福州茂正进出口有限公司 福州美域陶瓷有限公司 福州诺邦畅想环保科技有限公司 福州欧业进出口贸易有限公司 592 福州欧业进出口贸易有限公司 593 594 595 596 597 598 福州欧易得电子有限公司 福州派德电子科技有限公司 福州鹏丰国际贸易有限公司 福州普利斯制衣有限公司 福州奇新食品有限公司 福州群益石材有限公司 599 福州日胜进出口有限公司 600 福州日胜进出口有限公司 601 602 603 604 605 606 607 608 609 610 福州荣创旅游用品有限公司 福州荣创旅游用品有限公司 福州榕星照明电器有限公司 福州榕星照明电器有限公司 福州融源达服饰有限公司 福州瑞骏商贸有限公司 福州瑞骏商贸有限公司 福州瑞利贸易有限公司 福州瑞升服饰有限公司 福州瑞英宝鞋业有限公司 611 福州瑞英宝鞋业有限公司 612 福州睿玺实业有限公司 613 614 福州睿玺实业有限公司 福州三帆电子有限公司 615 福州三辉鞋帽有限公司 616 617 福州三立电子有限公司 福州三汀贸易有限公司 618 福州山和成进出口有限公司 619 福州山辉食品有限公司 620 福州上越贸易有限公司 621 福州上越贸易有限公司 622 福州升澜建材有限公司 623 624 福州盛利丰进出口有限公司 福州盛旺针纺有限公司 625 福州市仓山区维奥贸易有限公司 626 627 福州市仓山区维奥贸易有限公司 福州市仓山区维奥贸易有限公司 项目名称 组展单位 展位价格 美国波士顿国际水产展 福建荟源国际展览有限公司 39000 环球资源时尚配饰及鞋类展 上海赛博展览广告有限公司 29925 2016年2月美国拉斯维加斯服装服饰、面料辅 福建荟源国际展览有限公司 35000 料及鞋类展览会 2016年4月香港春季电子产品展 福建荟源国际展览有限公司 35500 2016年中东迪拜石材展 上海格博会展服务有限公司 32500 2016年4月香港春季电子产品展 福建荟源国际展览有限公司 36800 2016年美国国际石材及瓷砖展览会 厦门市盈拓商务有限公司 29000 2016年阿尔及利亚阿尔及尔国际建材及工程 厦门市盈拓商务有限公司 29000 施工设备展览会 2016春季香港电子展 厦门市盈拓商务有限公司 36800 香港春季电子产品展 福建荟源国际展览有限公司 37275 2016年环球资源香港展 上海赛博展览广告有限公司 23932.5 2016年2月美国拉斯维加斯MAGIC展 厦门励诚会展有限公司 43700 美国波士顿国际水产展 福建荟源国际展览有限公司 39000 2016年中东石材展 领肯(厦门)会展服务有限公司 31500 第12届印度班加罗尔国际石材及加工机械装 北京中仕达兴业展览有限公司 52800 备展览会 2016年阿尔及利亚阿尔及尔国际建材及工程 厦门市盈拓商务有限公司 42667 施工设备展览会 环球资源时尚配饰及鞋类展 上海赛博展览广告有限公司 59850 2016年3月美国国际旅行用品展览会 福建省新瑞会展有限公司 28000 2016年中国(尼泊尔)商品博览会 福州茂华会展服务有限公司 258000 2016印尼国际照明展览会 厦门国际商会 35000 2016年英国劳保安防展 福建省新天国际会展有限公司 41900 2016年4月环球资源时尚配件及鞋类展 上海赛博展览广告有限公司 46425 2016年4月日本东京时尚服装、配饰及鞋包展 福建华菱商展有限公司 34000 2016年6月肯尼亚汽配展 杭州弗睿斯展览有限公司 25000 2016年1月意大利加达国际鞋业展 伊恩展业(北京)国际展览有限公司 53500 2016年4月香港礼品及赠品博览会 福建省新天国际会展有限公司 39112 2016年4月日本东京时尚世界服装配饰及鞋包 福建省新天国际会展有限公司 30800 展览会 2016年德国慕尼黑国际体育用品及运动时尚 厦门会展金泓信展览有限公司 39816 博览会 2016年4月香港环球资源时装及面料展 上海赛博展览广告有限公司 65665 全美国际墓园及殡葬用品展 厦门寰太展览服务有限公司 30000 2016年2月美国拉斯维加斯服装服饰、面料辅 福建荟源国际展览有限公司 35000 料及鞋类展览会 2016年4月香港春季电子产品展 福建荟源国际展览有限公司 35500 环球资源香港家居礼品展 上海赛博展览广告有限公司 29925 2016年2月美国拉斯维加斯国际服装服饰、面 福建荟源国际展览有限公司 74800 料辅料及鞋类展览会 2016年3月日本国际食品与饮料展览会FOODEX 福建省新天国际会展有限公司 52000 JAPAN 2016 2016年2月德国杜塞尔多夫春季国际鞋展 福建省新天国际会展有限公司 81180 2016年4月日本东京时尚世界服装配饰及鞋包 福建省新天国际会展有限公司 30600 展览会 2016年阿尔及利亚阿尔及尔国际建材及施工 厦门市盈拓商务有限公司 41778 设备展览会 2016年4月环球资源礼品及赠品展 上海赛博展览广告有限公司 26932.5 越南西贡纺织及制衣工业展览会 福建世博展览商务有限公司 24000 2016年4月布鲁塞尔国际水产品及水产技术展 福建省新天国际会展有限公司 37840 览会 2016年德国法兰克福春季消费品展 福建世创商务展览有限公司 76500 2016年日本大阪纺织服装展览会 福建世创商务展览有限公司 38000 第 14 页,共 27 页 展位面积 (㎡) 9 9 地点 时间 美国,波士顿 中国,香港 2016/3/6 至 2016/3/8 2016/4/27 至 2016/4/30 9 美国,拉斯维加斯 2016/2/15 至 2016/2/18 9 9 9 9 2016/4/13 至 2016/4/16 2016/5/23 至 2016/5/26 2016/4/13 至 2016/4/16 2016/4/18 至 2016/4/18 9 9 9 9 9 9 中国,香港 阿联酋,迪拜 中国,香港 美国,芝加哥 阿尔及利亚,阿尔 及尔 中国,香港 中国,香港 中国,香港 美国,拉斯维加斯 美国,波士顿 阿联酋,迪拜 15 印度,班加罗尔 2016/2/3 至 2016/2/6 9 2016/5/3 至 2016/5/7 2016/4/13 至 2016/4/16 2016/4/13 至 2016/4/16 2016/4/27 至 2016/4/30 2016/2/15 至 2016/2/18 2016/3/6 至 2016/3/8 2016/5/23 至 2016/5/26 18 9 9 9 9 18 8.1 9 12 9 阿尔及利亚,阿尔 及尔 中国,香港 美国,拉斯维加斯 尼泊尔,加德满都 印度尼西亚,雅加 英国,伦敦 达 中国,香港 日本,东京 肯尼亚,内罗毕 意大利,加答 中国,香港 2016/4/27 至 2016/4/30 2016/3/8 至 2016/3/10 2016/3/17 至 2016/3/21 2016/5/18 至 2016/5/20 2016/6/21 至 2016/6/23 2016/4/27 至 2016/4/30 2016/4/6 至 2016/4/8 2016/6/10 至 2016/6/12 2016/1/16 至 2016/1/19 2016/4/27 至 2016/4/30 9 日本,东京 2016/4/6 至 2016/4/8 12 德国,慕尼黑 2016/1/24 至 2016/1/27 18 9 中国,香港 美国,新奥尔良 2016/4/27 至 2016/4/30 2016/4/13 至 2016/4/15 9 美国,拉斯维加斯 2016/2/15 至 2016/2/18 9 9 中国,香港 中国,香港 2016/4/13 至 2016/4/16 2016/4/28 至 2016/4/21 18 美国,拉斯维加斯 2016/2/15 至 2016/2/18 9 日本,千叶 2016/3/8 至 2016/3/11 25 德国,杜塞尔多夫 2016/2/10 至 2016/2/12 9 日本,东京 2016/4/6 至 2016/4/8 12 2016/5/3 至 2016/5/7 9 9 阿尔及利亚,阿尔 及尔 中国,香港 越南,西贡 2016/4/18 至 2016/4/21 2016/3/29 至 2016/4/2 8.8 比利时,布鲁塞尔 2016/4/26 至 2016/4/28 12 9 德国,法兰克福 日本,大阪 2016/2/12 至 2016/2/16 2016/4/12 至 2016/4/14 18 2016/5/3 至 2016/5/7 地点 时间 35500 32000 展位面积 (㎡) 9 6 中国,香港 日本,东京 2016/4/13 至 2016/4/16 2016/2/3 至 2016/2/5 厦门会展金泓信展览有限公司 39816 12 德国,慕尼黑 2016/1/24 至 2016/1/27 上海赛博展览广告有限公司 31500 9 中国,香港 2016/4/27 至 2016/4/30 9 9 9 9 9 9 9 9 9 尼泊尔,加德满都 德国,汉诺威 中国,台湾 中国,香港 中国,香港 泰国,曼谷 美国,拉斯维加斯 尼泊尔,加德满都 美国,芝加哥 2016/3/17 至 2016/3/21 2016/4/25 至 2016/4/29 2016/4/22 至 2016/4/25 2016/4/27 至 2016/4/30 2016/4/18 至 2016/4/21 2016/4/26 至 2016/5/1 2016/3/8 至 2016/3/10 2016/3/17 至 2016/3/21 2016/6/21 至 2016/6/23 15 德国,慕尼黑 2016/1/24 至 2016/1/27 20 16 9 9 18 9 9 9 36 9 18 9 9 9 18 9 9 8.8 9 9 9 8.1 西班牙,马德里 英国,伦敦 中国,香港 尼泊尔,加德满都 德国,柏林 中国,香港 德国,法兰克福 澳大利亚,墨尔本 美国,圣地亚哥 美国,拉斯维加斯 中国,香港 中国,香港 美国,旧金山 中国,香港 意大利,加答 中国,香港 中国,香港 德国,法兰克福 美国,奥兰多 美国,旧金山 美国,旧金山 日本,东京 2016/2/23 至 2016/2/26 2016/6/21 至 2016/6/23 2016/4/13 至 2016/4/16 2016/3/17 至 2016/3/21 2016/2/24 至 2016/2/26 2016/4/27 至 2016/4/30 2016/6/7 至 2016/6/9 2016/6/28 至 2016/6/29 2016/4/26 至 2016/4/28 2016/2/15 至 2016/2/18 2016/4/27 至 2016/4/29 2016/4/27 至 2016/4/30 2016/2/16 至 2016/2/18 2016/4/27 至 2016/4/30 2016/1/16 至 2016/1/19 2016/4/18 至 2016/4/21 2016/4/18 至 2016/4/21 2016/2/12 至 2016/2/16 2016/3/16 至 2016/3/18 2016/2/16 至 2016/2/18 2016/2/13 至 2016/2/14 2016/4/6 至 2016/4/8 9 美国,纽约 2016/5/15 至 2016/5/18 18 9 12 9 德国,柏林 美国,波士顿 意大利,加答 德国,法兰克福 2016/2/24 至 2016/2/26 2016/3/6 至 2016/3/8 2016/6/11 至 2016/6/14 2016/2/12 至 2016/2/16 9 美国,拉斯维加斯 2016/2/16 至 2016/2/18 19 19 13 20 9 15 意大利,加答 意大利,加答 意大利,加答 德国,慕尼黑 中国,香港 中国,香港 2016/6/11 至 2016/6/14 2016/1/16 至 2016/1/19 2016/6/11 至 2016/6/14 2016/1/24 至 2016/1/27 2016/4/13 至 2016/4/16 2016/4/13 至 2016/4/16 9 美国,拉斯维加斯 2016/2/15 至 2016/2/18 序号 单位名称 项目名称 组展单位 展位价格 628 629 福州市仓山区维奥贸易有限公司 福州市仓山区维奥贸易有限公司 福建荟源国际展览有限公司 福建荟源国际展览有限公司 630 福州市晋安区佳铭贸易有限公司 2016年香港春季电子产品展 2016年2月日本东京国际礼品展 2016德国慕尼黑国际体育用品及运动时尚博 览会ISPO展 632 633 634 635 636 637 638 639 640 福州市经济技术开发区新技术开发总 公司 福州市钜联进出口贸易有限公司 福州市钜联进出口贸易有限公司 福州市新秋龙工艺品有限公司 福州市新秋龙工艺品有限公司 福州双林彩印有限公司 福州斯狄渢电热水器有限公司 福州四方商务会展有限公司 福州泰瑞丰塑胶制品有限公司 福州腾隆实业有限公司 641 福州天虹服装有限公司 642 643 644 645 646 647 648 649 650 651 652 653 654 655 656 657 658 659 660 661 662 663 福州天虹服装有限公司 福州天虹服装有限公司 福州天朗进出口有限公司 福州天诺贸易有限公司 福州天山雪贸易有限公司 福州同泰源服饰有限公司 福州拓达光电有限公司 福州旺坤光电技术有限公司 福州旺坤光电技术有限公司 福州威林贸易有限公司 福州伟邦服饰有限公司 福州沃金贸易有限公司 福州沃特光电设备有限公司 福州西蒙服装有限公司 福州喜斯特塑胶贸易有限公司 福州祥兴伟业织造有限公司 福州新飞路日用品有限公司 福州新冠进出口贸易有限公司 福州鑫鸿瀚贸易有限公司 福州鑫图光电有限公司 福州鑫图光电有限公司 福州信普生国际贸易有限公司 664 福州星月家居装饰用品有限公司 665 666 667 668 福州兴如轩贸易有限公司 福州旭煌食品有限公司 福州扬际进出口有限公司 福州扬际进出口有限公司 669 福州扬际进出口有限公司 670 671 672 673 674 675 福州伊塔加贸易有限公司 福州伊塔加贸易有限公司 福州宜鑫进出口有限公司 福州亿格户外用品有限公司 福州亿诺电子有限公司 福州亿维格电子有限公司 676 福州意玛贸易有限公司 631 2016年4月份环球资源配饰及鞋类展 中国(尼泊尔)商品展览会 福州茂华会展服务有限公司 25800 2016年德国汉诺威工业展览会 上海亚东会展服务有限公司 37612 2016年4月台北国际礼品暨文具展 福建省新天国际会展有限公司 20000 2016年4月香港礼品及赠品博览会 福建省新天国际会展有限公司 39112 2016年4月环球资源礼品及赠品展 上海赛博展览广告有限公司 26932 2016年4月泰国曼谷国际建材展览会 福建省新天国际会展有限公司 23000 2016年3月美国国际旅行用品展览会 福建省新瑞会展有限公司 28000 中国(尼泊尔)商品展览会 福州茂华会展服务有限公司 25800 2016年芝加哥食品零售展 福建荟源国际展览有限公司 45000 2016年德国慕尼黑国际体育用品和运动时尚 厦门会展金泓信展览有限公司 29862 博览会ISPO 2016年2月西班牙劳保展 福建省新天国际会展有限公司 28112.43 2016年6月英国劳保安防展 福建省新天国际会展有限公司 74842 2016年4月香港春季电子产品展 福建荟源国际展览有限公司 35500 中国(尼泊尔)商品展览会 福州茂华会展服务有限公司 25800 2016年2月德国服装博览会 53878 环球资源时装及面料展 上海赛博展览广告有限公司 29925 2016年6月德国法兰克福光电展 北京领汇国际展览有限公司 45000 2016年澳大利亚照明展 上海服洲展览服务有限公司 48850 2016年美国国际照明展 122648.04 2015年2月美国拉斯维加斯Magic服装展 厦门励诚会展有限公司 43000 环球资源时装及面料展 上海赛博展览广告公司 71650 环球资源时尚配饰及鞋类展 上海赛博展览广告有限公司 29925 2016年美国西部光电展 北京富莱国际展览有限公司 23700 环球资源时装及面料展 上海赛博展览广告有限公司 31350 意大利加答鞋展 中国对外贸易广州展览总公司 60200 环球资源家居礼品展 上海赛博展览广告有限公司 28350 环球资源礼品及赠品展 上海赛博展览广告有限公司 28000 2016年法兰克福春季国际消费品博览会 福建省新瑞会展有限公司 49140 2016年3月美国奥兰多全球宠物用品博览会 长城国际展览有限责任公司 32000 2016年2月美国西部光电展 28337 2016年美国生物光电展 20575 2016年4月日本东京国际鞋展 厦门励诚会展有限公司 35000 2016年5月美国纽约国际文具、纸制品及礼品 福建荟源国际展览有限公司 37000 展览会 2016年2月德国亚洲服装及配饰博览会ASIA 53940 美国波士顿国际水产展 福建荟源国际展览有限公司 39000 2016年6月意大利加答国际鞋展 广州鑫拓展览商务有限公司 106600 2016年2月德国法兰克福春季国际消费品展 格兰博(北京)国际会展有限公司 41696 2016年2月美国拉斯维加斯春季国际鞋类、服 福建省新天国际会展有限公司 35000 装及面料展览会 2016年6月意大利加答国际鞋展 福建华菱商展有限公司 85500 2016年1月意大利加答国际鞋展 福建华菱商展有限公司 85500 2016年6月意大利GARDA展 厦门励诚会展有限公司 84500 2016年1月德国慕尼黑体育用品展 厦门会展金泓信展览有限公司 40000 2016年4月香港春季电子产品展 福建荟源国际展览有限公司 35500 2016年4月香港春季电子产品展 福建荟源国际展览有限公司 59100 2016年2月美国拉斯维加斯国际服装服饰、面 福建荟源国际展览有限公司 39800 料辅料及鞋类展览会 第 15 页,共 27 页 序号 677 678 679 680 681 682 683 684 685 686 687 688 689 690 691 692 693 694 695 696 697 698 699 700 701 702 703 704 705 706 707 708 709 710 711 712 713 714 715 716 717 718 719 720 721 722 723 展位面积 地点 (㎡) 福州鹰高电子有限公司 北京泰莱特国际会展有限公司 69773 10.6 德国,法兰克福 2016年2月德国法兰克福春季国际消费品博览 福州鹰高电子有限公司 2016年3月芝加哥国际家庭用品展 北京泰莱特展览有限责任公司 34800 9 美国,芝加哥 会 福州迎光鞋业有限公司 2016年4月环球资源时尚配件及鞋类展 上海赛博展览广告有限公司 29925 9 中国,香港 福州优创进出口有限公司 2016年4月环球资源时尚配饰及鞋类展 上海赛博展览广告有限公司 29925 9 中国,香港 福州优恩立光电科技有限公司 2016法兰克福光电展(Optatec) 30000 15 德国,法兰克福 福州圆诺迩贸易有限公司 2016年2月德国亚洲服装及配饰博览会ASIA 54064 18 德国,柏林 福州远足贸易有限责任公司 2016年1月意大利加达春季国际鞋展 伊恩展业(北京)国际展览有限公司 58500 9 意大利,加答 福州悦成进出口有限公司 2016年阿联酋迪拜国际美容用品展览会 上海拓程展览服务有限公司 82280 9 阿联酋,迪拜 福州悦成进出口有限公司 2016年1月德国法兰克福国际礼品博览会 福建荟源国际展览有限公司 39226 9 德国,法兰克福 福州展旭电子有限公司 2016中东教育技术装备及学校家具展 37238 9 阿联酋,迪拜 福州展旭电子有限公司 2016澳大利亚教育科技展 42072 9 澳大利亚,布里斯 福州展旭电子有限公司 2016美国电教装备展 30147.94 9 美国,丹弗斯 班 福州振协管道有限公司 2016年香港国际春节灯饰展 51290 9 中国,香港 福州振协管道有限公司 2016年俄罗斯国际建材展 厦门徕展展览有限公司 35875 9 俄罗斯,莫斯科 福州振协管道有限公司 2016年美国国际建筑材料展览会 北京恒立伟业国际展览有限公司 37500 9 美国,拉斯维加斯 福州政才进出口有限公司 环球资源时尚配饰及鞋类展 上海赛博展览广告有限公司 31500 9 中国,香港 福州中信商祺进出口有限公司 环球资源时尚配饰及鞋类展 福建荟源国际展览有限公司 31500 9 中国,香港 福州众恒实业有限公司 环球香港展会 上海赛博展览广告有限公司 31500 9 中国,香港 福州众擎进出口有限公司 2016年6月意大利加答国际鞋展 福建华菱商展有限公司 66000 12 意大利,加答 富隆(福建)洋伞有限公司 2016年2月日本东京国际礼品展 福建荟源国际展览有限公司 32000 6 日本,东京 富升食品(漳州)有限公司 2016年4月新加坡食品展 福建荟源国际展览有限公司 36000 9 新加坡,新加坡 2016年2月美国拉斯维加斯服装服饰、面料辅 广业(福建)体育用品有限公司 福建荟源国际展览有限公司 35000 9 美国,拉斯维加斯 料及鞋类展览会 2016德国慕尼黑国际体育用品及运动时尚博 海创贸易(泉州)有限公司 厦门会展金泓信展览有限公司 36000 18 德国,慕尼黑 览会 海峡彩亮(漳州)光电有限公司 2016 第1月波兰国际照明设备展览会 福建荟源国际展览有限公司 23000 9 波兰,华沙 汉马(福建)机械有限公司 2016越南国际纺织及制衣工业展览会 福建世创商务展览有限公司 54000 18 越南,胡志明市 和美达(漳州)进出口有限公司 2016年泰国国际食品展 福建荟源国际展览有限公司 29000 9 泰国,曼谷 宏东渔业股份有限公司 美国波士顿国际水产展 福建荟源国际展览有限公司 39000 9 美国,波士顿 华达(福建)玩具有限公司 第113届北美国际玩具展 中工美国际展览有限责任公司 39000 9 美国,纽约 惠安惠诚手袋有限公司 2016年3月美国国际旅行用品展览会 福建省新瑞会展有限公司 28000 9 美国,拉斯维加斯 惠安县崇武龙衡石材有限公司 2016年4月全美国际墓园及殡葬用品博览会 福建省新天国际会展有限公司 25000 9 美国,新奥尔良 2016年印度班加罗尔国际石材及石材机械展 惠安县艺峰石雕工艺品有限公司 厦门市盈拓商务有限公司 20500 8 印度,班加罗尔 览会 2016年4月份香港电子展 上海赛博展览广告有限公司 63915.62 18 中国,香港 加减乘除(福建)通讯科技股份有限公 司 2016年2月美国拉斯维加斯国际服装服饰、面 佳福(福建)染整有限公司 福建荟源国际展览有限公司 39800 9 美国,拉斯维加斯 料辅料及鞋类展览会 建瓯绿剑食品有限公司 2016年日本东京国际食品与饮料展 福建世博展览商务有限公司 51000 9 日本,东京 建瓯市天添食品有限公司 2016年3月日本东京国际食品与饮料展览会 福建世博展览商务有限公司 51000 9 日本,东京 建新轮胎(福建)有限公司 2016年5月德国(埃森)国际轮胎展 杭州嘉诺展览有限公司 46102 18 德国,埃森 建新轮胎(福建)有限公司 2016年3月南非(约翰内斯堡)国际轮胎展 杭州嘉诺展览有限公司 41360 18 南非,约翰内斯堡 建新轮胎(福建)有限公司 2016年5月法兰克福(迪拜)国际汽配展 杭州嘉诺展览有限公司 53974 12 德国,法兰克福 建阳隆圣工艺有限公司 2016年美国奥兰多宠物用品展 上海亦和展览服务有限公司 52316 18 美国,奥兰多 金诚(三明)轻工实业有限公司 2016年1月意大利加达国际鞋展 厦门励诚会展有限公司 68400 18 意大利,加答 金强(福建)建材科技股份有限公司 2016年澳大利亚国际建材展 福建新天国际会展有限公司 45000 9 澳大利亚,墨尔本 2016年2月美国拉斯维加斯国际服装服饰、面 晋江艾利拉鞋服有限责任公司 福建荟源国际展览有限公司 35000 9 美国,拉斯维加斯 料辅料及鞋类展览会 晋江爱涞服装有限公司 中国(尼泊尔)商品展览会 福州茂华会展服务有限公司 25800 9 尼泊尔,加德满都 2016年2月美国拉斯维加斯国际服装服饰、面 晋江爱涞服装有限公司 福建荟源国际展览有限公司 79600 18 美国,拉斯维加斯 料辅料及鞋类展览会 2016年2月美国拉斯维加斯国际服装服饰、面 晋江昌达服装有限公司 福建荟源国际展览有限公司 39800 9 美国,拉斯维加斯 料辅料及鞋类展览会 晋江德懋文具有限公司 2016年1月香港国际文具展 福建省新瑞会展有限公司 25210 9 中国,香港 2016年2月美国拉斯维加斯国际服装服饰、面 晋江杰汉鞋服有限公司 福建荟源国际展览有限公司 70000 18 美国,拉斯维加斯 料辅料及鞋类展览会 单位名称 项目名称 组展单位 第 16 页,共 27 页 展位价格 时间 2016/2/12 至 2016/2/16 2016/3/5 至 2016/3/8 2016/4/27 至 2016/4/30 2016/4/27 至 2016/4/30 2016/6/7 至 2016/6/9 2016/2/24 至 2016/2/26 2016/1/16 至 2016/1/19 2016/5/15 至 2016/5/17 2016/1/29 至 2016/2/2 2016/3/1 至 2016/3/3 2016/5/30 至 2016/5/31 2016/6/26 至 2016/6/29 2016/4/6 至 2016/4/9 2016/4/5 至 2016/4/8 2016/1/19 至 2016/1/21 2016/4/27 至 2016/4/30 2016/4/27 至 2016/4/30 2016/4/27 至 2016/4/30 2016/6/11 至 2016/6/14 2016/2/3 至 2016/2/5 2016/4/12 至 2016/4/15 2016/2/15 至 2016/2/18 2016/1/24 至 2016/1/27 2016/1/27 至 2016/1/29 2016/3/30 至 2016/4/2 2016/5/25 至 2016/5/29 2016/3/6 至 2016/3/8 2016/2/13 至 2016/2/16 2016/3/8 至 2016/3/10 2016/4/13 至 2016/4/16 2016/2/3 至 2016/2/6 2016/4/11 至 2016/4/14 2016/2/15 至 2016/2/18 2016/3/8 至 2016/3/11 2016/3/8 至 2016/3/11 2016/5/24 至 2016/5/27 2016/3/1 至 2016/3/3 2016/5/8 至 2016/5/10 2016/3/16 至 2016/3/18 2016/1/16 至 2016/1/19 2016/5/4 至 2016/5/6 2016/2/15 至 2016/2/18 2016/3/17 至 2016/3/21 2016/2/15 至 2016/2/18 2016/2/15 至 2016/2/18 2016/1/11 至 2016/1/14 2016/2/15 至 2016/2/18 序号 单位名称 724 晋江金戴斯进出口贸易有限公司 725 晋江金源进出口贸易有限公司 726 727 728 729 730 晋江玖富隆鞋业有限责任公司 晋江玖富隆鞋业有限责任公司 晋江峻华进出口贸易有限公司 晋江蜡笔进出口贸易有限公司 晋江蜡笔进出口贸易有限公司 731 晋江利瑶服饰有限公司 732 733 734 735 736 737 晋江霖煌贸易有限公司 晋江路路顺进出口贸易有限公司 晋江奇峰食品有限公司 晋江奇峰食品有限公司 晋江榕森雨具有限公司 晋江世高贸易有限公司 738 晋江市滨浪制衣织造有限公司 739 晋江市鼎足进出口贸易有限公司 740 晋江市东石镇塔江五金压铸厂 741 742 743 744 745 746 晋江市光华电子工贸有限公司 晋江市华美世家食品有限公司 晋江市嘉景汽车配件有限公司 晋江市金井荣昌彩印有限公司 晋江市聚豪贸易有限责任公司 晋江市聚豪贸易有限责任公司 747 晋江市聚豪贸易有限责任公司 748 晋江市利碧兴服装织造有限公司 749 晋江市利登进出口贸易有限公司 750 晋江市三福纺织实业有限公司 751 晋江市三福纺织实业有限公司 752 晋江市三福进出口贸易有限公司 753 晋江市三鑫服饰织造有限公司 754 晋江市盛益服饰织造有限公司 755 756 晋江市舒宝鞋材有限公司 晋江市天益服饰织造有限公司 757 晋江市喜攀登进出口有限公司 758 晋江市小海侠贸易有限公司 759 晋江市鑫宸进出口贸易有限公司 760 晋江市鑫航服装织造有限公司 761 762 763 晋江市兴安雨具实业有限公司 晋江市雄豪服装织造有限公司 晋江市永固紧固件有限公司 项目名称 组展单位 2016年2月美国拉斯维加斯国际服装服饰、面 福建荟源国际展览有限公司 料辅料及鞋类展览会 2016年2月美国拉斯维加斯国际服装服饰、面 福建荟源国际展览有限公司 料辅料及鞋类展览会 2016年1月意大利加达国际鞋展 厦门励诚会展有限公司 2016年2月美国拉斯维加斯鞋展 厦门励诚会展有限公司 2016年印度金奈国际皮革展览会 温州德纳展览有限公司 2016年2月迪拜国际食品及酒店设备展览会 上海国际广告展览有限公司 2016年科隆国际糖果及休闲食品展(ISM) 福建省新瑞会展有限公司 2016年2月美国拉斯维加斯国际服装服饰、面 福建荟源国际展览有限公司 料辅料及鞋类展览会 意大利加答国际鞋业博览会 伊恩展业(北京)国际展览有限公司 2016年科隆国际糖果及休闲食品展(ISM) 福建省新瑞会展有限公司 2016年6月海峡两岸食品展 福建世博展览商务有限公司 2016年6月美国拉斯维加斯国际品牌授权展 福建世博展览商务有限公司 2016年2月日本东京国际礼品展 福建荟源国际展览有限公司 2016年6月意大利加达国际鞋业展览会 伊恩展业(北京)国际展览有限公司 2016年2月美国拉斯维加斯国际服装服饰、面 福建荟源国际展览有限公司 料辅料及鞋类展览会 2016年4月新加坡孕婴童展 福建省新瑞会展有限公司 2016年5月26-29日越南胡志明国际汽车摩托 泉州市贸促展览服务有限公司 车及零配件展览会 2016年香港礼品及赠品博览会 福建省新天国际会展有限公司 2016年美国拉斯维加斯国际品牌授权展会 福建世博展览商务有限公司 2016年4月土耳其伊斯坦布尔国际汽配展览会 泉州市贸促展览服务有限公司 香港国际印刷及包装展 厦门建旅商务会展有限公司 2016年1月意大利加达国际鞋展 厦门励诚会展有限公司 2016年6月意大利加达国际鞋展 厦门励诚会展有限公司 2016年2月美国拉斯维加斯国际服装服饰、面 福建荟源国际展览有限公司 料辅料及鞋类展览会 2016年2月美国拉斯维加斯国际服装服饰、面 福建荟源国际展览有限公司 料辅料及鞋类展览会 2016年2月美国拉斯维加斯国际服装服饰、面 福建荟源国际展览有限公司 料辅料及鞋类展览会 2016年2月美国拉斯维加斯国际服装服饰、面 福建荟源国际展览有限公司 料辅料及鞋类展览会 盐湖城冬季户外用品展 福建荟源国际展览有限公司 2016年2月美国拉斯维加斯国际服装服饰、面 福建荟源国际展览有限公司 料辅料及鞋类展览会 2016年3月30日-4月2日越南胡志明市国际纺 福建荟源国际展览有限公司 织面料及辅料展览会 2016年2月美国拉斯维加斯国际服装服饰、面 福建荟源国际展览有限公司 料辅料及鞋类展览会 环球资源流行服饰配件展 上海赛博展览广告有限公司 2016年1月墨西哥服装、皮革面料展 福建省新瑞会展有限公司 2016年2月美国拉斯维加斯国际服装服饰、面 福建荟源国际展览有限公司 料辅料及鞋类展览会 2016年2月美国拉斯维加斯国际服装服饰、面 福建荟源国际展览有限公司 料辅料及鞋类展览会 2016年2月美国拉斯维加斯magic服装展 厦门励诚会展有限公司 2016年2月美国拉斯维加斯国际服装服饰、面 福建荟源国际展览有限公司 料辅料及鞋类展览会 2016年2月东京国际礼品展 福建荟源国际展览有限公司 2016年美国拉斯维加斯国际时装展览会 福建贸促会展有限公司 2016年5月中东(迪拜)国际五金展 杭州嘉诺展览有限公司 第 17 页,共 27 页 展位价格 展位面积 (㎡) 地点 时间 35000 9 美国,拉斯维加斯 2016/2/15 至 2016/2/18 39800 9 美国,拉斯维加斯 2016/2/15 至 2016/2/18 76000 38500 25800 40500 76000 10 9 9 9 18 意大利,加答 美国,拉斯维加斯 印度,金奈 阿联酋,迪拜 德国,科隆 2016/1/16 至 2016/1/19 2016/2/15 至 2016/2/18 2016/2/1 至 2016/2/3 2016/2/21 至 2016/2/25 2016/1/31 至 2016/2/3 39800 9 美国,拉斯维加斯 2016/2/15 至 2016/2/18 75000 38000 21000 37000 32000 38000 15 9 9 9 6 10 意大利,加答 德国,科隆 中国,台湾 美国,拉斯维加斯 日本,东京 意大利,加答 2016/1/16 至 2016/1/19 2016/1/31 至 2016/2/3 2016/6/22 至 2016/6/25 2016/6/21 至 2016/6/23 2016/2/3 至 2016/2/5 2016/6/11 至 2016/6/14 79600 18 美国,拉斯维加斯 2016/2/15 至 2016/2/18 27800 9 新加坡,新加坡 2016/4/13 至 2016/4/15 17600 9 越南,西贡 2016/5/26 至 2016/5/29 40800 39000 35000 26700 107300 122300 9 9 9 9 18 18 中国,香港 美国,拉斯维加斯 土耳其,伊斯坦布 中国,香港 尔 意大利,加答 意大利,加答 2016/4/27 至 2016/4/30 2016/6/21 至 2016/6/23 2016/4/7 至 2016/4/10 2016/4/27 至 2016/4/30 2016/1/16 至 2016/1/19 2016/6/11 至 2016/6/14 39800 9 美国,拉斯维加斯 2016/2/15 至 2016/2/18 39800 9 美国,拉斯维加斯 2016/2/15 至 2016/2/18 35000 9 美国,拉斯维加斯 2016/2/15 至 2016/2/18 39800 9 美国,拉斯维加斯 2016/2/15 至 2016/2/18 36000 9 美国,盐湖城 2016/1/7 至 2016/1/10 39800 9 美国,拉斯维加斯 2016/2/15 至 2016/2/18 26000 9 越南,胡志明市 2016/3/30 至 2016/4/2 39800 9 美国,拉斯维加斯 2016/2/15 至 2016/2/18 31500 31000 9 13 2016/4/27 至 2016/4/30 2016/1/19 至 2016/1/22 35000 9 中国,香港 墨西哥,瓜达拉哈 拉 美国,拉斯维加斯 35000 9 美国,拉斯维加斯 2016/2/15 至 2016/2/18 38500 9 美国,拉斯维加斯 2016/2/15 至 2016/2/18 39800 9 美国,拉斯维加斯 2016/2/15 至 2016/2/18 32000 40000 60240 6 9 9 日本,东京 美国,拉斯维加斯 阿联酋,迪拜 2016/2/3 至 2016/2/5 2016/2/15 至 2016/2/18 2016/5/23 至 2016/5/25 2016/2/15 至 2016/2/18 序号 764 765 766 767 768 769 770 771 772 773 774 775 776 777 778 779 780 781 782 783 784 785 786 787 788 789 790 791 792 793 794 795 796 797 798 799 800 801 802 803 804 805 806 807 808 809 单位名称 项目名称 组展单位 2016年2月美国拉斯维加斯国际服装服饰、面 福建荟源国际展览有限公司 料辅料及鞋类展览会 晋江市中天服装织造有限公司 2016年波兰国际礼品及家居用品展 泉州市贸促展览服务有限公司 2016年2月美国拉斯维加斯国际服装服饰、面 晋江市中天服装织造有限公司 福建荟源国际展览有限公司 料辅料及鞋类展览会 2016年2月美国拉斯维加斯国际服装服饰、面 晋江市自然化纤制造有限公司 福建荟源国际展览有限公司 料辅料及鞋类展览会 晋江市自然化纤制造有限公司 德国慕尼黑体育户外用品展 厦门会展金泓信展览有限公司 2016年2月美国拉斯维加斯服装服饰、面料辅 晋江速特体育用品有限公司 福建荟源国际展览有限公司 料及鞋类展 晋江腾凯进出口贸易有限公司 2016法兰克福国际礼品办公用品博览会 福建华菱商展有限公司 晋江味佳食品有限公司 厦门市盈拓商务有限公司 2016年美国芝加哥国际糖果及休闲食品展览 晋江味佳食品有限公司 2016年科隆国际糖果及休闲食品展(ISM) 福建省新瑞会展有限公司 会 2016年2月美国拉斯维加斯国际服装服饰、面 晋江伊芙服饰有限公司 福建荟源国际展览有限公司 料辅料及鞋类展览会 晋江中诚雨具有限公司 2016年2月日本东京国际礼品展 福建荟源国际展览有限公司 晋江周生贸易有限公司 2016年6月海峡两岸食品展 福建世博展览商务有限公司 晋江周生贸易有限公司 2016年6月美国拉斯维加斯国际品牌授权展 福建世博展览商务有限公司 卡奇(福建)服装有限公司 2016年环球资源香港展(服装) 上海赛博展览广告有限公司 壳氏(泉州)环保科技有限公司 2016年4月新加坡孕婴童展 福建省新瑞会展有限公司 2016年伊朗食品展览会(Iran Food 蜡笔小新(福建)食品工业有限公司 北京东方益达国际展览有限责任公司 Fairtrade 2016) 蜡笔小新(福建)食品工业有限公司 2016年科隆国际糖果及休闲食品展(ISM) 福建省新瑞会展有限公司 雷马(中国)有限公司 2016年6月意大利加达国际鞋展 厦门励诚会展有限公司 连江县江南乡鑫博机械加工厂 2016年海峡两岸食品展 福建世博展览商务有限公司 连江信洋水产有限公司 美国波士顿国际水产展 福建荟源国际展览有限公司 领亿新材料(福建)科技有限公司 2016德国国际地面材料展DOMOTEX展会 上海拓程展览服务有限公司 龙海市东之圣食品有限公司 2016年4月新加坡食品展 福建荟源国际展览有限公司 龙海市东之圣食品有限公司 2016年泰国国际食品展 福建荟源国际展览有限公司 龙海万里川工业发展有限公司 2016年日本东京国际服装鞋包展 厦门国际商会 龙岩市万腾车桥制造有限公司 2016年6月肯尼亚汽配展 杭州弗睿斯展览有限公司 龙岩市万腾车桥制造有限公司 2016年埃及国际汽车摩托车及配件展览会 浙江鸿尔会展有限公司 绿新(福建)食品有限公司 2016俄罗斯国际食品配料展 北京引企成国际会展有限公司 绿新(福建)食品有限公司 2016日本食品配料展 杭州鼎忻展览有限公司 闽侯县鸿基工艺品有限公司 2016年1月德国法兰克福国际礼品展 福建省新瑞会展有限公司 闽侯县业新家居制造有限公司 福建荟源国际展览有限公司 2016年2月德国法兰克福春季国际消费品博览 闽清恒达工艺品有限公司 香港家庭用品展 恒大展业(北京)国际展览有限公司 会 纳川(福安)贸易有限公司 2016年巴西圣保罗国际建材展览会 厦门市盈拓商务有限公司 纳川(福安)贸易有限公司 2016东欧(波兰)中国家具品牌博览会) 厦门福茂会展服务有限公司 南安达泰石材有限公司 2016年美国国际石材及瓷砖展览会 厦门市盈拓商务有限公司 第12届印度班加罗尔国际石材及加工机械装 南安市戴维普石材工具有限公司 北京中仕达兴业展览有限公司 备展览会 南安市戴维普石材工具有限公司 2016年巴西维多利亚国际石材及工具技术展 福建省新天国际会展有限公司 南安市格兰特石材工具有限公司 2016年5月阿联酋迪拜国际石材展览会 福建省新天国际会展有限公司 南安市国阳磨具科技有限公司 北京中仕达兴业展览有限公司 第12届伊朗(伊斯法罕)国际石材工业展览 2016年5月土耳其安塔利亚国际石材及矿山机 会 南安市国阳磨具科技有限公司 泉州市贸促展览服务有限公司 械展 南安市吉野电子科技有限公司 2016.4环球资源香港展 福建荟源国际展览有限公司 南安市劲威电子科技有限公司 2016年4月环球资源香港电子展 福建荟源国际展览有限公司 南安市均利石材有限公司 2016年印度尼西亚雅加达国际建材展览会 厦门市盈拓商务有限公司 南安市泉益电子器材有限公司 环球资源香港展 福建荟源国际展览有限公司 2016年5月阿尔及利亚阿尔及尔国际建材及建 南安市水头亢历石材有限公司 福建省新天国际会展有限公司 筑机械展览会 南安市沃格进出口贸易有限公司 美国芝加哥国际石材及瓷砖博览会Coverings 领肯(厦门)会展服务有限公司 南安市兴翼石材护理工具有限公司 2016德国国际工程机械博览展会 中国国际贸易促进委员会机械行业分 会 第 18 页,共 27 页 晋江市振亚服装织造有限公司 展位价格 展位面积 (㎡) 地点 时间 39800 9 美国,拉斯维加斯 2016/2/15 至 2016/2/18 78000 18 波兰,华沙 2016/5/19 至 2016/5/21 39800 9 美国,拉斯维加斯 2016/2/15 至 2016/2/18 39800 9 美国,拉斯维加斯 2016/2/15 至 2016/2/18 24000 12 德国,慕尼黑 2016/1/24 至 2016/1/27 35000 9 美国,拉斯维加斯 2016/2/15 至 2016/2/18 38795 40000 38000 12 9 9 德国,法兰克福 美国,芝加哥 德国,科隆 2016/1/30 至 2016/2/2 2016/5/24 至 2016/5/26 2016/1/31 至 2016/2/3 39800 9 美国,拉斯维加斯 2016/2/15 至 2016/2/18 32000 37000 37000 62700 27800 6 9 9 18 9 日本,东京 中国,台湾 美国,拉斯维加斯 中国,香港 新加坡,新加坡 2016/2/3 至 2016/2/5 2016/6/22 至 2016/6/25 2016/6/21 至 2016/6/23 2016/4/27 至 2016/4/30 2016/4/13 至 2016/4/15 47462 9 伊朗,德黑兰 2016/5/30 至 2016/6/2 76000 68400 21000 39000 62040 36000 29000 35000 34100 27700 38600 36430 52896 68894 41340 36800 32800 63000 18 18 9 9 12 9 9 9 9 9 9 9 12 12.3 9 9 9 18 德国,科隆 意大利,加答 中国,台湾 美国,波士顿 德国,汉诺威 新加坡,新加坡 泰国,曼谷 日本,东京 肯尼亚,内罗毕 埃及,开罗 俄罗斯,莫斯科 日本,东京 德国,法兰克福 德国,法兰克福 中国,香港 巴西,圣保罗 波兰,华沙 美国,芝加哥 2016/1/31 至 2016/2/3 2016/6/11 至 2016/6/14 2016/6/22 至 2016/6/25 2016/3/6 至 2016/3/8 2016/1/16 至 2016/1/19 2016/4/12 至 2016/4/15 2016/5/25 至 2016/5/27 2016/4/6 至 2016/4/8 2016/6/10 至 2016/6/12 2016/3/17 至 2016/3/21 2016/3/1 至 2016/3/4 2016/5/18 至 2016/5/20 2016/1/29 至 2016/2/2 2016/2/12 至 2016/2/16 2016/4/20 至 2016/4/23 2016/4/12 至 2016/4/16 2016/6/7 至 2016/6/9 2016/4/18 至 2016/4/21 38400 12 印度,班加罗尔 2016/2/3 至 2016/2/6 29700 35100 29270 9 9 12 巴西,维多利亚 阿联酋,迪拜 伊朗,伊斯法罕 2016/2/16 至 2016/2/19 2016/5/23 至 2016/5/26 2016/5/1 至 2016/5/5 30000 9 土耳其,安塔利亚 2016/5/26 至 2016/5/29 35725 33725 29700 33725 9 9 9 9 2016/4/11 至 2016/4/14 2016/4/11 至 2016/4/14 2016/5/25 至 2016/5/29 2016/4/11 至 2016/4/14 33396 12 32000 2749.5 9 5 中国,香港 中国,香港 印度尼西亚,雅加 中国,香港 达 阿尔及利亚,阿尔 及尔 美国,芝加哥 德国,慕尼黑 2016/5/3 至 2016/5/7 2016/4/18 至 2016/4/21 2016/4/11 至 2016/4/17 序号 810 811 812 813 814 815 816 817 818 819 820 821 822 823 824 825 826 827 828 829 830 831 832 833 834 835 836 837 838 839 840 841 842 843 844 845 846 847 848 849 850 851 852 853 854 855 856 857 858 单位名称 项目名称 组展单位 展位价格 2016年美国拉斯维加斯混凝土世界暨国际建 福建省新瑞会展有限公司 41976 筑机械展会 2016年5月阿尔及利亚阿尔及尔国际建材及建 南安市雅瑞进出口贸易有限公司 福建省新天国际会展有限公司 24300 筑机械展览会 南安市雅瑞进出口贸易有限公司 2016年中东迪拜石材展 厦门会展金泓信展览有限公司 31590 南安市雅瑞进出口贸易有限公司 2016年第13届斯里兰卡国际建筑展 中展世建(北京)国际会展有限公司 20000 南安市长盛建材机械有限公司 2016年印度混凝土展 北京优尼克国际展览有限公司 17800 2016年阿尔及利亚国际建材及工程施工设备 南安新工机械有限公司 厦门市盈拓商务有限公司 24750 展览会 南安新工机械有限公司 2016年印度尼西亚雅加达国际建材展览会 厦门市盈拓商务有限公司 19800 南安卓升贸易有限公司 2016年印尼国际石材展 领肯(厦门)会展服务有限公司 57600 南安卓升贸易有限公司 2016年5月阿联酋迪拜国际石材展览会 福建省新天国际会展有限公司 30909.09 南林(福建)实业有限公司 2016年德国科隆家具展 福建荟源国际展览有限公司 80660 南平市建阳区天天铁艺有限公司 德国纽伦堡国际宠物用具贸易展览会 上海亦和展览服务有限公司 41918.96 南平市建阳区天天铁艺有限公司 美国全球宠物展览会 上海亦和展览服务有限公司 59438 南平市三潭佳妮服饰有限公司 2016年1月香港时装周 福建荟源国际展览有限公司 35000 南平市永亮商贸有限公司 2016年泰国曼谷亚洲世界食品博览会 福建省新瑞会展有限公司 29800 年年顺(福建)食品有限公司 2016年6月海峡两岸食品展 福建世博展览商务有限公司 21000 宁德瑞德贸易有限公司 2016年4月环球资源香港展 上海赛博展览广告有限公司 26932.5 宁德市国信贸易有限公司 香港玩具展 58437 宁德市国信贸易有限公司 纽纶堡玩具展 27867 宁德市容海水产有限公司 美国波士顿国际水产展 福建荟源国际展览有限公司 39000 宁德市盛源水产食品有限公司 美国波士顿国际水产展 福建荟源国际展览有限公司 39000 宁德市顺兴水产贸易有限公司 美国波士顿国际水产展 福建荟源国际展览有限公司 39000 纽仕达(泉州)建材有限公司 2016年1月美国拉斯维加斯国际建材展 厦门君茂会展服务有限公司 35000 2016年4月美国芝加哥国际石材、瓷砖及地铺 纽仕达(泉州)建材有限公司 厦门美易德会展服务有限公司 35000 材料展 平和县利鹏果业有限公司 2016年2月德国柏林国际水果蔬菜博览会 福建省新天国际会展有限公司 38000 平和县利鹏果业有限公司 2016年5月荷兰自有品牌贸易展 福建荟源国际展览有限公司 32000 平和县三绿果蔬有限公司 2016年2月德国柏林国际水果蔬菜展 北京引企成国际会展有限公司 42000 平和县三绿果蔬有限公司 2016年5月荷兰自有品牌贸易展 福建荟源国际展览有限公司 32000 莆田市贝特鞋服贸易有限公司 2016年6月第86届意大利加答国际鞋业博览会 广州鑫拓普展览有限公司 190632 莆田市帝斯丹实业有限公司 匈牙利布达佩斯工业博览会 福建省莆田市投资企业公司 28500 莆田市涵江鸿泰电子有限公司 2016年美国拉斯维加斯春季礼品展 厦门搏宏会展服务有限公司 32800 莆田市宏强体育用品有限公司 匈牙利布达佩斯工业博览会 福建省莆田市投资企业公司 28500 莆田市汇丰食品工业有限公司 美国波士顿国际水产展 福建荟源国际展览有限公司 39000 莆田市加利珠宝有限公司 3月份香港国际珠宝展 福建省莆田市投资企业公司 36900 3月份香港国际珠宝展 福建省莆田市投资企业公司 36900 莆田市荔城区欧弗莱珠宝首饰有限公 莆田市中嘉动力机械设备有限公司 2016泰国汽车零部件展TAPA SHOW 欧美亚(北京)国际会展有限公司 26600 司 莆田市卓科电子有限公司 2016年4月香港春季电子产品展 福建荟源国际展览有限公司 38640 奇峰(福建)食品有限公司 2016年6月海峡两岸食品展 福建世博展览商务有限公司 21000 奇峰(福建)食品有限公司 2016年6月美国拉斯维加斯国际品牌授权展 福建世博展览商务有限公司 37000 青艺(福建)烫画科技有限公司 2016第57届埃及开罗纺织展 上海爱卫客会展服务有限公司 65000 2016年2月美国拉斯维加斯国际服装、服饰、 青艺(福建)烫画科技有限公司 福建荟源国际展览有限公司 79600 面料及鞋类博览会 泉州艾迪礼品有限公司 2016年1月德国法兰克福国际礼品博览会 福建荟源国际展览有限公司 39226 泉州艾信进出口贸易有限公司 2016年6月份意大利加达国际鞋展 厦门励诚会展有限公司 169875 泉州艾信进出口贸易有限公司 2016年1月份意大利加达国际鞋展 厦门励诚会展有限公司 169875 泉州宝捷电子有限公司 2016年4月环球资源香港展 上海赛博展览广告有限公司 31027 泉州本佳鑫机械配件有限公司 2016年中东钢铁展 中展远洋商务咨询(北京)有限公司 23000 泉州本佳鑫机械配件有限公司 2016年越南金属加工展 中展远洋商务咨询(北京)有限公司 28000 泉州标美石材有限公司 2016年美国石材及瓷砖博览会coverings 领肯(厦门)会展服务有限公司 39000 泉州彬达鞋业有限公司 2016年2月美国MAGIC鞋服展 厦门弘轩会展有限公司 36000 2016年第11届印度尼西亚中国机械与电子产 泉州超然热能设备发展有限公司 福建荟源国际展览有限公司 25000 品展览会 南安市兴翼石材护理工具有限公司 第 19 页,共 27 页 展位面积 (㎡) 地点 时间 18 美国,拉斯维加斯 2016/2/2 至 2016/2/5 6 18 9 20 30 27 9 9 9 9 18 12 9 9 9 9 阿尔及利亚,阿尔 及尔 阿联酋,迪拜 斯里兰卡,科伦坡 印度,孟买 阿尔及利亚,阿尔 及尔 印度尼西亚,雅加 印度尼西亚,雅加 达 阿联酋,迪拜 达 德国,科隆 德国,纽伦堡 美国,奥兰多 中国,香港 泰国,曼谷 中国,台湾 中国,香港 中国,香港 德国,纽伦堡 美国,波士顿 美国,波士顿 美国,波士顿 美国,拉斯维加斯 9 美国,芝加哥 2016/4/18 至 2016/4/21 9 9 9 9 22.5 9 9 9 9 9 9 9 9 9 9 9 德国,柏林 荷兰,阿姆斯特丹 德国,柏林 荷兰,阿姆斯特丹 意大利,加答 匈牙利,布达佩斯 美国,拉斯维加斯 匈牙利,布达佩斯 美国,波士顿 中国,香港 中国,香港 泰国,曼谷 中国,香港 中国,台湾 美国,拉斯维加斯 埃及,开罗 2016/2/3 至 2016/2/5 2016/5/24 至 2016/5/25 2016/2/3 至 2016/2/5 2016/5/24 至 2016/5/25 2016/6/11 至 2016/6/14 2016/5/24 至 2016/5/26 2016/2/28 至 2016/3/2 2016/5/24 至 2016/5/26 2016/3/6 至 2016/3/8 2016/3/3 至 2016/3/7 2016/3/3 至 2016/3/7 2016/4/7 至 2016/4/10 2016/4/13 至 2016/4/16 2016/6/22 至 2016/6/25 2016/6/21 至 2016/6/23 2016/3/3 至 2016/3/6 18 美国,拉斯维加斯 2016/2/15 至 2016/2/18 9 24.75 24.75 9 9 9 9 9 德国,法兰克福 意大利,加答 意大利,加答 中国,香港 阿联酋,沙迦 越南,河内 美国,芝加哥 美国,拉斯维加斯 印度尼西亚,雅加 达 2016/1/29 至 2016/2/2 2016/6/11 至 2016/6/14 2016/1/16 至 2016/1/19 2016/4/11 至 2016/4/14 2016/1/17 至 2016/1/20 2016/4/26 至 2016/4/28 2016/4/18 至 2016/4/21 2016/2/15 至 2016/2/18 9 9 9 9 9 9 2016/5/3 至 2016/5/7 2016/5/23 至 2016/5/26 2016/5/13 至 2016/5/15 2016/5/19 至 2016/5/21 2016/5/3 至 2016/5/7 2016/5/25 至 2016/5/29 2016/5/25 至 2016/5/29 2016/5/23 至 2016/5/26 2016/1/18 至 2016/1/24 2016/5/26 至 2016/5/29 2016/3/16 至 2016/3/18 2016/1/18 至 2016/1/21 2016/5/25 至 2016/5/29 2016/6/22 至 2016/6/25 2016/4/27 至 2016/4/30 2016/1/11 至 2016/1/14 2016/1/27 至 2016/2/1 2016/3/6 至 2016/3/8 2016/3/6 至 2016/3/8 2016/3/6 至 2016/3/8 2016/1/19 至 2016/1/21 2016/5/19 至 2016/5/21 序号 单位名称 859 860 861 862 863 864 865 866 泉州乘福进出口贸易有限公司 泉州创意箱包有限公司 泉州德化芳盛工艺制品有限公司 泉州德化芳盛工艺制品有限公司 泉州德森进出口有限公司 泉州德森进出口有限公司 泉州东明贸易有限公司 泉州东平石材有限公司 867 泉州芳华进出口有限公司 868 869 870 泉州飞捷电子有限公司 泉州丰禾雨具有限公司 泉州丰泽鸿益建材机械有限公司 871 泉州福恒进出口贸易有限公司 872 泉州福商贸易有限公司 873 874 875 876 877 878 879 泉州福商贸易有限公司 泉州福商贸易有限公司 泉州罡晟服装有限公司 泉州冠鸿包袋有限公司 泉州海丰进出口贸易有限公司 泉州禾逸电子有限公司 泉州亨利达电讯器材有限公司 880 泉州恒拓进出口贸易有限公司 881 泉州恒拓进出口贸易有限公司 882 883 泉州恒拓进出口贸易有限公司 泉州宏辉祥进出口贸易有限公司 884 泉州鸿豪服装有限公司 885 886 887 888 889 890 891 892 893 894 895 泉州活源服装有限公司 泉州季平衣架有限公司 泉州佳昊进出口发展有限公司 泉州嘉逸艺品有限公司 泉州健步商务有限公司 泉州健腾包袋有限公司 泉州杰泰贸易有限公司 泉州金山石材工具科技有限公司 泉州金山石材工具科技有限公司 泉州金信贸易有限公司 泉州金鹰机械有限公司 896 泉州金鹰机械有限公司 897 898 899 900 901 902 903 泉州金鹰机械有限公司 泉州劲鑫电子有限公司 泉州晋江市荷盛鞋服有限公司 泉州晋江市荷盛鞋服有限公司 泉州聚威鞋业有限公司 泉州俊龙进出口贸易有限公司 泉州俊龙进出口贸易有限公司 泉州卡普吉尔户外运动装备科技有限 公司 泉州凯伟制衣有限公司 904 905 项目名称 组展单位 展位价格 2016年1月香港时装周 福建荟源国际展览有限公司 30500 2016年香港贸发局礼品及赠品展 厦门建旅商务会展有限公司 52590 2016年1月德国法兰克福国际礼品博览会 福建荟源国际展览有限公司 39226 福建荟源国际展览有限公司 58275 2016年2月德国法兰克福春季国际消费品博览 2016年香港礼品及赠品博览会 福建省新天国际会展有限公司 51800 会 2016年3月美国国际旅行用品展览会 福建荟源国际展览有限公司 30000 2016年越南纺织机械展 睿盈达(北京)国际展览有限公司 24000 2016美国全美墓园及殡仪展 4月13-15日 领肯(厦门)会展服务有限公司 27000 2016年4月法兰克福(土耳其)国际汽车零配 厦门新天会展有限公司 34100 件及售后服务展览会 美国拉斯维加斯-国际无线通信展览会 北京思源国际展览有限公司 50300 2016年2月日本东京国际礼品展 福建荟源国际展览有限公司 32000 第14届印尼雅加达国际建筑展 中展世建(北京)国际会展有限公司 27300 2016年2月美国拉斯维加斯国际服装服饰、面 福建荟源国际展览有限公司 39800 料辅料及鞋类展览会 2016年2月美国拉斯维加斯服装服饰、面料辅 福建荟源国际展览有限公司 105000 料及鞋类展 2016年01月意大利加达国际鞋展 厦门励诚会展有限公司 152000 2016年06月意大利加达国际鞋展 厦门励诚会展有限公司 152000 2016年6月美国拉斯维加斯国际品牌授权展 福建世博展览商务有限公司 37000 2016年4月香港流行服饰及配件展 上海赛博展览广告有限公司 26775 2016年美国拉斯维加斯国际时装展览会 福建贸促会展有限公司 40000 香港环球资源电子展 福建荟源国际展览有限公司 29925 2016年4月香港电子展 上海赛博展览广告有限公司 32660 2016年2月美国拉斯维加斯春季国际鞋类、服 福建省新天国际会展有限公司 103800 装及面料展览会 2016年4月日本东京时尚世界服装配饰及鞋包 福建省新天国际会展有限公司 31000 展览会 2016年1月意大利加达国际鞋展 厦门励诚会展有限公司 80500 2016年波兰国际礼品及家居用品展 泉州市贸促展览服务有限公司 64900 2016年2月美国拉斯维加斯国际服装服饰、面 福建荟源国际展览有限公司 39800 料辅料及鞋类展览会 2016年1月香港时装周 福建荟源国际展览有限公司 30500 2016年5月荷兰自有品牌贸易展 福建荟源国际展览有限公司 32000 2016肯尼亚工程建筑机械展览会 深圳市汇客通展览有限公司 27000 2016年1月德国法兰克福国际礼品博览会 福建荟源国际展览有限公司 39226 2016年1月香港时装周 福建荟源国际展览有限公司 48500 ISPO2016 德国慕尼黑欧洲运动用品采购展 厦门会展金泓信展览有限公司 39816 中国(尼泊尔)商品展览会 福州茂华会展服务有限公司 25800 2016年2月第十二届印度国际石材展览会 福建省新天国际会展有限公司 57600 福建省新天国际会展有限公司 31500 2016年2月巴西维多利亚国际石材及工具技术 2016年6月加尔达鞋展 32479 展 2016年5月欧洲国际橡胶技术展 中联橡胶股份有限公司 25000 2016年4月美国(新奥尔良)国际轮胎及轮胎 杭州嘉诺展览有限公司 23927 翻新展 2016年3月泰国国际橡胶及轮胎展 北京德哈纳姆信息咨询有限公司 20590 2016年环球资源香港展 福建荟源国际展览有限公司 57669.75 2016年6月意大利加达国际鞋展 厦门励诚会展有限公司 68100 2016年1月意大利加达国际鞋展 厦门励诚会展有限公司 67100 2016 年6 月意大利加达Garda 国际鞋展 厦门励诚会展有限公司 111500 2016年波兰国际礼品及家居用品展 泉州市贸促展览服务有限公司 60000 2016年6月巴西纺织服装展 泉州市贸促展览服务有限公司 37000 展位面积 地点 (㎡) 9 中国,香港 9 中国,香港 9 德国,法兰克福 10.5 德国,法兰克福 9 中国,香港 9 美国,拉斯维加斯 9 越南,胡志明市 9 美国,新奥尔良 土耳其,伊斯坦布 9 尔 9 美国,拉斯维加斯 6 日本,东京 9 印度尼西亚,雅加 达 9 美国,拉斯维加斯 时间 2016/1/18 至 2016/1/21 2016/4/27 至 2016/4/30 2016/1/29 至 2016/2/2 2016/2/12 至 2016/2/16 2016/4/27 至 2016/4/30 2016/3/8 至 2016/3/10 2016/3/30 至 2016/4/2 2016/4/13 至 2016/4/15 2016/4/7 至 2016/4/10 2016/3/23 至 2016/3/24 2016/2/3 至 2016/2/5 2016/5/25 至 2016/5/29 2016/2/15 至 2016/2/18 27 美国,拉斯维加斯 2016/2/15 至 2016/2/18 40 40 9 9 9 9 9 意大利,加答 意大利,加答 美国,拉斯维加斯 中国,香港 美国,拉斯维加斯 中国,香港 中国,香港 2016/1/16 至 2016/1/19 2016/6/11 至 2016/6/14 2016/6/21 至 2016/6/23 2016/4/27 至 2016/4/30 2016/2/15 至 2016/2/18 2016/4/11 至 2016/4/14 2016/4/11 至 2016/4/14 27 美国,拉斯维加斯 2016/2/15 至 2016/2/18 9 日本,东京 2016/4/6 至 2016/4/8 20 18 意大利,加答 波兰,华沙 2016/1/16 至 2016/1/19 2016/5/19 至 2016/5/21 9 美国,拉斯维加斯 2016/2/15 至 2016/2/18 9 9 9 9 9 12 9 18 9 8 12 中国,香港 荷兰,阿姆斯特丹 肯尼亚,内罗毕 德国,法兰克福 中国,香港 德国,慕尼黑 尼泊尔,加德满都 印度,班加罗尔 巴西,维多利亚 意大利,加答 德国,埃森 2016/1/18 至 2016/1/21 2016/5/24 至 2016/5/25 2016/6/4 至 2016/6/7 2016/1/29 至 2016/2/2 2016/1/18 至 2016/1/21 2016/1/24 至 2016/1/27 2016/3/17 至 2016/3/21 2016/2/3 至 2016/2/6 2016/2/16 至 2016/2/19 2016/6/11 至 2016/6/14 2016/5/24 至 2016/5/27 9 美国,新奥尔良 2016/4/19 至 2016/4/21 9 18 18 18 20 18 9 泰国,曼谷 中国,香港 意大利,加答 意大利,加答 意大利,加答 波兰,华沙 巴西,圣保罗 2016/3/9 至 2016/3/11 2016/4/11 至 2016/4/14 2016/6/11 至 2016/6/14 2016/1/16 至 2016/1/19 2016/6/11 至 2016/6/14 2016/5/19 至 2016/5/21 2016/6/26 至 2016/6/29 2016年4月份环球资源香港展 上海赛博展览广告有限公司 26082 9 中国,香港 2016/4/27 至 2016/4/30 2016年04月香港展 上海赛博展览广告有限公司 58015 18 中国,香港 2016/4/27 至 2016/4/30 第 20 页,共 27 页 序号 单位名称 906 907 908 909 910 911 泉州凯益投资有限公司 泉州雷讯电子有限公司 泉州鲤城嘉兴工程机械有限公司 泉州力洋服饰有限公司 泉州利达机器有限公司 泉州联合纸业有限公司 912 泉州隆华贸易有限公司 913 泉州隆实贸易有限公司 914 915 916 917 918 泉州美升衣架有限公司 泉州闽川自动化设备有限公司 泉州铭杰服饰有限公司 泉州纽威电子有限公司 泉州荣禄艺品有限公司 919 泉州瑞森电子有限公司 920 泉州瑞森电子有限公司 921 泉州盛博鞋业有限公司 922 923 924 925 926 927 928 929 930 泉州盛康贸易有限公司 泉州盛康鞋业有限公司 泉州士尔达服饰有限责任公司 泉州市艾迪欧电子科技有限公司 泉州市博力源进出口贸易有限公司 泉州市博力源进出口贸易有限公司 泉州市彩达体育用品有限公司 泉州市程辉金刚石工具有限公司 泉州市驰尔达电子通讯有限公司 931 泉州市达龙进出口贸易有限公司 932 933 934 935 泉州市德化得利工艺有限公司 泉州市德化县恒峰陶瓷有限公司 泉州市东南光电股份有限公司 泉州市芳源文体用品有限公司 936 泉州市菲尚进出口贸易有限公司 937 938 939 940 941 942 泉州市丰泽立兴工艺厂 泉州市丰泽美诚日用制品有限公司 泉州市高尔登无纺布有限公司 泉州市顾司进出口贸易公司 泉州市国盛服装织造有限公司 泉州市海德体育用品有限公司 943 泉州市海灵进出口贸易有限公司 944 泉州市海灵进出口贸易有限公司 945 946 泉州市海灵进出口贸易有限公司 泉州市海诺进出口贸易有限公司 947 泉州市海诗进出口贸易有限公司 948 泉州市豪情天奴体育用品有限公司 949 泉州市昊骋进出口贸易有限公司 项目名称 组展单位 展位价格 2016年4月香港家居用品及礼品展 上海赛博展览广告有限公司 28350 2016年4月香港电子及配件展 上海赛博展览广告有限公司 33725 2016年俄罗斯莫斯科建筑及工程机械展览会 深圳市汇客通展览有限公司 41000 2016年4月香港展泳装及内衣展 上海赛博展览广告有限公司 65268 2月意大利皮革展 福建省新瑞会展有限公司 68000 2016年5月荷兰自有品牌贸易展 福建荟源国际展览有限公司 32000 2016年2月美国拉斯维加斯国际服装服饰、面 福建荟源国际展览有限公司 39800 料辅料及鞋类展览会 2016年2月美国拉斯维加斯国际服装服饰、面 福建荟源国际展览有限公司 39800 料辅料及鞋类展览会 2016年美国拉斯维加斯零售业展 上海伟佳展览服务有限公司 31852 2016年4月德国汉诺威工业博览会 福建省易联展会展服务有限公司 36540 2016年04月香港展 上海赛博展览广告有限公司 46215 2016年4月香港春季电子产品展 福建荟源国际展览有限公司 37275 2016年印度班加罗尔石材展 领肯(厦门)会展服务有限公司 28000 2016美国拉斯维加斯-国际无线通信展览会( 北京思源国际展览有限公司 49300 IWCE) 2016年4月香港环球资源电子展 上海赛博展览广告有限公司 64077.5 2016年2月美国拉斯维加斯服装服饰、面料辅 福建荟源国际展览有限公司 35000 料及鞋类展览会 2016年2月德国杜塞尔多夫春季国际鞋展 厦门弘轩会展有限公司 65200 2016年2月德国杜塞尔多夫春季国际鞋展 厦门弘轩会展有限公司 65500 2016年4月香港流行服饰及配件展 上海赛博展览广告有限公司 27324 环球资源电子产品展 福建荟源国际展览有限公司 65999.83 2016年1月意大利加达国际鞋业展览会 伊恩展业(北京)国际展览有限公司 55000 2016年06月意大利加达国际鞋业展览会 伊恩展业(北京)国际展览有限公司 79625 2016年4月环球资源香港泳衣及内衣展 上海赛博展览广告有限公司 28215 福建省新天国际会展有限公司 32850 2016年2月巴西维多利亚国际石材及工具技术 2016年香港春季电子产品展 福建荟源国际展览有限公司 35500 展 2016年德国慕尼黑国际体育用品及运动时尚 福建华菱商展有限公司 39816 贸易博览会 2016年1月德国法兰克福国际礼品博览会 福建荟源国际展览有限公司 39226 2016年1月德国法兰克福国际礼品博览会 福建荟源国际展览有限公司 32689 第43届英国伦敦国际安全科技专业大展 93868 2016年3月美国旅行用品展 福建华菱商展有限公司 66000 2016年2月美国拉斯维加斯国际服装服饰、面 福建荟源国际展览有限公司 39800 料辅料及鞋类展览会 2016年1月德国法兰克福国际礼品博览会 福建荟源国际展览有限公司 39226 2016年4月香港家居用品及礼品展 上海赛博展览广告有限公司 25515 2016年4月香港环球资源服装及面料展 上海赛博展览广告有限公司 29925 第86届意大利加答国际鞋业博览会 广州鑫拓普展览有限公司 36500 2016年4月环球资源时尚产品展 上海赛博展览广告有限公司 31500 厦门会展金泓信展览有限公司 79632 2016年慕尼黑国际体育用品及运动时尚博览 会 2016年德国慕尼黑国际体育用品及运动时尚 福建华菱商展有限公司 45816 贸易博览会 2016年2月美国拉斯维加斯国际服装服饰、面 福建荟源国际展览有限公司 39800 料辅料及鞋类展览会 2016年1月德国法兰克福办公用品展 福建华菱商展有限公司 40215 2016年迪拜安防展 上海达姆特会展服务有限公司 35060 2016年2月美国拉斯维加斯国际服装服饰、面 福建荟源国际展览有限公司 39800 料辅料及鞋类展览会 2016年2月美国拉斯维加斯国际服装服饰、面 福建荟源国际展览有限公司 79600 料辅料及鞋类展览会 2016年1月德国法兰克福国际礼品博览会 福建荟源国际展览有限公司 59493 第 21 页,共 27 页 展位面积 地点 (㎡) 9 中国,香港 9 中国,香港 9 俄罗斯,莫斯科 18 中国,香港 16 意大利,米兰 9 荷兰,阿姆斯特丹 时间 2016/4/18 至 2016/4/21 2016/4/11 至 2016/4/14 2016/5/31 至 2016/6/4 2016/4/27 至 2016/4/30 2016/2/23 至 2016/2/25 2016/5/24 至 2016/5/25 9 美国,拉斯维加斯 2016/2/15 至 2016/2/18 9 美国,拉斯维加斯 2016/2/15 至 2016/2/18 9 9 18 9 9 美国,拉斯维加斯 德国,汉诺威 中国,香港 中国,香港 印度,班加罗尔 2016/3/23 至 2016/3/25 2016/4/25 至 2016/4/29 2016/4/27 至 2016/4/30 2016/4/13 至 2016/4/16 2016/2/3 至 2016/2/6 9 美国,拉斯维加斯 2016/3/23 至 2016/3/24 18 中国,香港 2016/4/11 至 2016/4/14 9 美国,拉斯维加斯 2016/2/15 至 2016/2/18 27 27 9 18 11 11.37 9 9 9 德国,杜塞尔多夫 德国,杜塞尔多夫 中国,香港 中国,香港 意大利,加答 意大利,加答 中国,香港 巴西,维多利亚 中国,香港 2016/2/10 至 2016/2/12 2016/2/10 至 2016/2/12 2016/4/27 至 2016/4/30 2016/4/11 至 2016/4/14 2016/1/16 至 2016/1/19 2016/6/11 至 2016/6/14 2016/4/27 至 2016/4/30 2016/2/16 至 2016/2/19 2016/4/13 至 2016/4/16 12 德国,慕尼黑 2016/1/24 至 2016/1/27 9 7.5 15 18 德国,法兰克福 德国,法兰克福 英国,伦敦 美国,拉斯维加斯 2016/1/29 至 2016/2/2 2016/1/29 至 2016/2/2 2016/6/21 至 2016/6/23 2016/3/8 至 2016/3/10 9 美国,拉斯维加斯 2016/2/15 至 2016/2/18 9 9 9 10 9 24 德国,法兰克福 中国,香港 中国,香港 意大利,加答 中国,香港 德国,慕尼黑 2016/1/29 至 2016/2/2 2016/4/18 至 2016/4/21 2016/4/27 至 2016/4/30 2016/6/11 至 2016/6/14 2016/4/27 至 2016/4/30 2016/1/24 至 2016/1/27 12 德国,慕尼黑 2016/1/24 至 2016/1/27 9 美国,拉斯维加斯 2016/2/15 至 2016/2/18 9 9 德国,法兰克福 阿联酋,迪拜 2016/1/30 至 2016/2/2 2016/1/17 至 2016/1/19 9 美国,拉斯维加斯 2016/2/15 至 2016/2/18 18 美国,拉斯维加斯 2016/2/15 至 2016/2/18 13 德国,法兰克福 2016/1/29 至 2016/2/2 序号 单位名称 项目名称 组展单位 展位价格 展位面积 (㎡) 地点 时间 950 泉州市恒达利进出口有限公司 2016年2月美国拉斯维加斯服装服饰、面料辅 料及鞋类展览会 福建荟源国际展览有限公司 35000 9 美国,拉斯维加斯 2016/2/15 至 2016/2/18 951 泉州市恒兴工业机械有限公司 2016年阿尔及利亚建材展 福建省新天国际会展有限公司 33396 12 952 953 954 泉州市恒兴工业机械有限公司 泉州市衡利数码产品有限公司 泉州市弘毅进出口贸易有限公司 深圳市汇客通展览有限公司 福建荟源国际展览有限公司 福建省福茂会展服务有限公司 27000 35500 72638 福建荟源国际展览有限公司 955 956 957 958 959 960 961 962 963 964 965 966 967 968 969 970 971 972 973 974 975 976 977 978 979 980 981 982 983 984 985 986 987 988 989 990 991 992 2016年肯尼亚工程建筑机械展览会 2016年香港春季电子产品展 2016年1月德国法兰克福国际礼品展 2016年2月美国拉斯维加斯国际服装服饰、面 泉州市华盛进出口有限公司 料辅料及鞋类展览会 2016德国慕尼黑国际体育用品及运动时尚博 泉州市惠翔轻工发展有限公司 览会 泉州市金通光电技术有限公司 2016年香港春季电子产品展 泉州市金通光电技术有限公司 2016年6月新加坡通讯展 泉州市精诺达电子科技有限公司 2016年环球资源香港展 泉州市精致工艺玩具有限公司 2016年1月德国法兰克福国际礼品博览会 泉州市凯鹰电源电器有限公司 2016年香港春季电子产品展 泉州市科立信安防电子有限公司 环球资源香港电子展 2016年3月时尚汇集-手袋、行李箱包、鞋类 泉州市蓝色贝壳包袋有限公司 、皮料及时尚配饰展 泉州市乐足进出口贸易有限公司 2016年1月意大利加答国际鞋业博览会 泉州市凌远进出口有限公司 2016 德国慕尼黑国际体育用品及运动时尚博 泉州市柳氏机械有限公司 2016印度国际混凝土机械与设备展览会 览 泉州市洛江区汇丰妇幼用品有限公司 2016年4月环球资源家居礼品展 泉州市洛江区双阳金刚石工具有限公 2016年6月俄罗斯莫斯科国际石材及技术博览 泉州市洛江区志杰石制品工贸有限公 2016年4月份美国芝加哥国际石材及瓷砖博览 司 会 泉州市迈登进出口贸易有限公司 2016年6月意大利加达国际鞋展 司 会 泉州市迈韦通信技术有限公司 2016年6月新加坡通讯展 泉州市米隆进出口有限公司 2016年6月意大利加达国际鞋展 泉州市米隆进出口有限公司 2016年1月意大利加达国际鞋展 2016年2月美国拉斯维加斯国际服装服饰、面 泉州市名鼎进出口贸易有限公司 料辅料及鞋类展览会 泉州市名品电子股份有限公司 2016年香港春季电子产品展 泉州市南安旗航电子有限公司 2016 年春季香港展 泉州市南安特易通电子有限公司 2016年4月份香港展 泉州市南安特易通电子有限公司 2016年3月份IWCE 2016年4月土耳其国际汽车零配件及售后服务 泉州市奇盛汽车配件有限公司 展览会 泉州市锐力体育用品有限公司 2016年美国拉斯维加斯国际时装展览会招展 泉州市三峰包袋工艺厂 2016年4月香港流行服饰及配件展 函 泉州市三工金刚石工具有限公司 2016年摩洛哥国际石材及石材工具机械展 第12届印度班加罗尔国际石材及加工机械装 泉州市三工金刚石工具有限公司 备展览会 泉州市三工金刚石工具有限公司 2016年俄罗斯国际石材及技术博览会 泉州市三联机械制造有限公司 2016年菲律宾国际建材五金展览会 泉州市三联机械制造有限公司 2016年沙特吉达五大行业展 2016年东非(肯尼亚)矿山机械、建筑工程 泉州市三联机械制造有限公司 机械及车辆设备展览会 2016年阿尔及利亚阿尔及尔国际建材及工程 泉州市三联机械制造有限公司 施工设备展览会 泉州市三颖超硬工具有限公司 2016年2月第十二届印度国际石材展览会 泉州市三颖超硬工具有限公司 2016年6月台湾国际生命礼仪博览会 泉州市森博户外用品有限公司 2016年1月德国慕尼黑体育用品展ISPO 2016德国慕尼黑国际体育用品及运动时尚博 泉州市森泰体育用品有限公司 览会 9 9 18 阿尔及利亚,阿尔 及尔 肯尼亚,内罗毕 中国,香港 德国,法兰克福 2016/6/4 至 2016/6/6 2016/4/13 至 2016/4/16 2016/1/29 至 2016/2/2 39800 9 美国,拉斯维加斯 2016/2/15 至 2016/2/18 厦门会展金泓信展览有限公司 38000 18 德国,慕尼黑 2016/1/24 至 2016/1/27 福建荟源国际展览有限公司 福建荟源国际展览有限公司 福建荟源国际展览有限公司 福建荟源国际展览有限公司 福建荟源国际展览有限公司 上海赛博展览广告有限公司 35500 36000 33725 30509 35500 29925 9 9 9 7 9 9 中国,香港 新加坡,新加坡 中国,香港 德国,法兰克福 中国,香港 中国,香港 2016/4/13 至 2016/4/16 2016/5/31 至 2016/6/3 2016/4/11 至 2016/4/14 2016/1/29 至 2016/2/2 2016/4/13 至 2016/4/16 2016/4/11 至 2016/4/14 厦门励诚会展有限公司 32000 9 中国,香港 2016/3/30 至 2016/4/1 广州鑫拓普展览有限公司 厦门会展金泓信展览有限公司 深圳市汇客通展览有限公司 上海赛博展览广告有限公司 福建省新天国际会展有限公司 福建省新天国际会展有限公司 厦门励诚会展有限公司 福建荟源国际展览有限公司 厦门励诚会展有限公司 厦门市盈拓商务有限公司 61000 39816 30000 26775 25200 33000 88700 36000 150500 150500 10 12 9 9 9 9 13.5 9 40 40 意大利,加答 德国,慕尼黑 印度,孟买 中国,香港 俄罗斯,莫斯科 美国,芝加哥 意大利,加答 新加坡,新加坡 意大利,加答 意大利,加答 2016/1/16 至 2016/1/19 2016/1/24 至 2016/1/27 2016/5/19 至 2016/5/21 2016/4/18 至 2016/4/21 2016/6/21 至 2016/6/24 2016/4/18 至 2016/4/21 2016/6/11 至 2016/6/14 2016/5/31 至 2016/6/3 2016/6/11 至 2016/6/14 2016/1/16 至 2016/1/19 福建荟源国际展览有限公司 39800 9 美国,拉斯维加斯 2016/2/15 至 2016/4/18 中国电子器材总公司 上海赛博展览广告有限公司 上海赛博展览广告有限公司 北京思源国际展览有限公司 37500 31027 64077 100060 9 9 18 18 2016/4/13 至 2016/4/16 2016/4/11 至 2016/4/14 2016/4/11 至 2016/4/14 2016/3/23 至 2016/3/24 泉州贸促展览服务有限公司 36300 9 福建贸促会展有限公司 上海赛博展览广告有限公司 泉州市贸促展览服务有限公司 86100 26932.5 28000 18 9 9 泉州市贸促展览服务有限公司 63360 18 中国,香港 中国,香港 中国,香港 美国,拉斯维加斯 土耳其,伊斯坦布 尔 美国,拉斯维加斯 中国,香港 摩洛哥,卡萨布兰 卡 印度,班加罗尔 领肯(厦门)会展服务有限公司 上海明泽会展有限公司 上海格博会展服务有限公司 30800 17600 34000 12 9 9 俄罗斯,莫斯科 菲律宾,马尼拉 沙特阿拉伯,吉达 2016/6/21 至 2016/6/24 2016/3/16 至 2016/3/20 2016/3/7 至 2016/3/10 中贸国际展览(北京)有限公司 27000 9 肯尼亚,内罗毕 2016/6/4 至 2016/6/6 厦门市盈拓商务有限公司 49000 18 福建省新天国际会展有限公司 领肯(厦门)会展服务有限公司 厦门会展金泓信展览有限公司 76800 25000 49770 厦门会展金泓信展览有限公司 59724 第 22 页,共 27 页 2016/5/3 至 2016/5/7 2016/4/7 至 2016/4/10 2016/2/15 至 2016/2/18 2016/4/27 至 2016/4/30 2016/1/14 至 2016/1/16 2016/2/3 至 2016/2/6 24 9 15 阿尔及利亚,阿尔 及尔 印度,班加罗尔 中国,台湾 德国,慕尼黑 2016/2/3 至 2016/2/6 2016/6/16 至 2016/8/18 2016/1/24 至 2016/1/27 18 德国,慕尼黑 2016/1/24 至 2016/1/27 2016/5/3 至 2016/5/7 序号 单位名称 993 泉州市山硕超硬工具科技有限公司 994 泉州市山硕超硬工具科技有限公司 995 泉州市山硕超硬工具科技有限公司 996 泉州市善能达进出口有限公司 997 998 999 1000 泉州市时光进出口有限公司 泉州市顺风耳电子科技有限公司 泉州市四方通讯器材有限公司 泉州市泰祥工艺品有限责任公司 1001 泉州市腾宇服装织造有限公司 1002 泉州市腾源纺织服装有限公司 1003 1004 1005 1006 1007 1008 泉州市天顺食品机械有限公司 泉州市天顺食品机械有限公司 泉州市铁通电子设备有限公司 泉州市通达信电子有限公司 泉州市拓美石石业发展有限公司 泉州市拓美石石业发展有限公司 1009 泉州市万年红进出口有限公司 1010 泉州市希米轻工有限公司 1011 1012 1013 1014 1015 1016 1017 泉州市现代卫生用品有限公司 泉州市翔风进出口贸易有限公司 泉州市翔风进出口贸易有限公司 泉州市新嘉亿彩色印刷有限公司 泉州市新世纪电子通讯有限公司 泉州市信溢进出口贸易有限公司 泉州市雄辉机械工贸有限公司 1018 泉州市易光石材工具有限公司 1019 泉州市意保伦进出口有限公司 1020 泉州市盈拓机械贸易有限公司 1021 泉州市源茂电子科技有限公司 1022 1023 泉州市远拓电子有限公司 泉州市远拓电子有限公司 1024 泉州市中创对外贸易有限公司 1025 泉州市紫华服装织造有限公司 1026 1027 1028 1029 1030 1031 1032 泉州首象贸易有限公司 泉州顺泰服饰有限公司 泉州斯韦特文化用品有限公司 泉州四维贸易有限公司 泉州四维贸易有限公司 泉州唐人制衣有限公司 泉州天娇妇幼卫生用品有限公司 1033 泉州天利磨具有限公司 1034 泉州天利磨具有限公司 项目名称 2016年第12届伊朗(伊斯法罕)国际石材工 业展览会 2016年5月印度孟买国际混凝土技术及设备展 览会 2016年6月俄罗斯莫斯科国际石材及技术博览 第12届印度班加罗尔国际石材及加工机械装 会 备展览会 2016年2月德国杜塞尔多夫春季国际鞋展 2016年4月香港电子展 2016年4月环球资源电子展 2016年4月香港家居用品及礼品展 2016年2月美国拉斯维加斯国际服装服饰、面 料辅料及鞋类展览会 2016第29届越南国际纺织面料及服装辅料展 览会 2016年泰国亚洲食品加工与包装机械展 2016年6月海峡两岸食品展 2016年美国拉斯维加斯国际无线通信展览 2016年4月香港电子展 2016年5月卡塔尔多哈国际建筑建材展览会 2016年美国拉斯维加斯国际石材展览会 2016年2月美国拉斯维加斯国际服装服饰、面 料辅料及鞋类展览会 2016年1月德国法兰克福国际纸制品世界、办 公用品 2016年4月香港家居礼品展 2016年4月份香港环球资源采购交易会 2016法兰克福国际礼品办公用品博览会 2016年1月德国法兰克福国际礼品博览会 2016年4月环球资源电子展 2016年2月美国MAGIC鞋服、服饰及面料展览 2016年印尼雅加达建材及建筑机械展览会 会 第12届印度班加罗尔国际石材及加工机械装 备展览会 环球资源时尚配饰及鞋类展 第12届印度班加罗尔国际石材及加工机械装 备展览会 2016德国慕尼黑国际体育用品及运动时尚博 览会 201604环球资源香港电子及配件展 2016年美国拉斯维加斯国际无线通信展IWCE 2016年2月美国拉斯维加斯服装服饰、面料辅 料及鞋类展 2016年2月美国拉斯维加斯国际服装服饰、面 料辅料及鞋类展览会 环球资源香港展 2016年04月香港展 2016年1月德国法兰克福办公用品展 2016年全美国墓园及殡葬用品博览会 2016年台湾国际生命礼仪博览会 德国慕尼黑体育用品展ISPO展位 2016年2月美国MAGIC展 2016年印度班加罗尔国际石材及石材加工机 械展 2016台湾国际生命礼仪博览会 组展单位 展位价格 展位面积 (㎡) 地点 时间 北京中仕达兴业展览有限公司 26070 12 伊朗,伊斯法罕 2016/5/1 至 2016/5/5 福建省新天国际会展有限公司 18800 9 印度,孟买 2016/5/19 至 2016/5/21 福建省新天国际会展有限公司 23500 9 俄罗斯,莫斯科 2016/6/21 至 2016/6/24 泉州市贸促展览服务有限公司 35200 10 印度,班加罗尔 2016/2/3 至 2016/2/6 福建省新天国际会展有限公司 上海赛博展览广告有限公司 上海赛博展览广告有限公司 上海赛博展览广告有限公司 69636 64077 33725 24097.5 21 18 9 9 德国,杜塞尔多夫 中国,香港 中国,香港 中国,香港 2016/2/10 至 2016/2/12 2016/4/11 至 2016/4/14 2016/4/11 至 2016/4/14 2016/4/18 至 2016/4/21 福建荟源国际展览有限公司 39800 9 美国,拉斯维加斯 2016/2/15 至 2016/2/18 上海中世会展有限公司 50400 18 越南,胡志明市 2016/3/30 至 2016/4/2 北京悦晟达国际展览有限公司 福建世博展览商务有限公司 北京思源国际展览有限公司 上海赛博展览广告有限公司 福建省新天国际会展有限公司 厦门市盈拓商务有限公司 18000 23100 52530 63915.62 38000 30000 9 9 9 18 9 9 泰国,曼谷 中国,台湾 美国,拉斯维加斯 中国,香港 卡塔尔,多哈 美国,拉斯维加斯 2016/3/3 至 2016/3/6 2016/6/22 至 2016/6/25 2016/3/23 至 2016/3/24 2016/4/11 至 2016/4/14 2016/5/9 至 2016/5/12 2016/1/20 至 2016/1/22 福建荟源国际展览有限公司 39800 9 美国,拉斯维加斯 2016/2/15 至 2016/2/18 福建省福茂会展服务有限公司 32400 9 德国,法兰克福 2016/1/30 至 2016/2/2 上海赛博展览广告有限公司 上海赛博展览广告有限公司 福建华菱商展有限公司 福建荟源国际展览有限公司 福建荟源国际展览有限公司 福建省易联展会展服务有限公司 福建荟源国际展览有限公司 26932 26933 41961 78452 57669.75 40500 29000 9 9 13.5 18 18 9 9 2016/4/18 至 2016/4/21 2016/4/18 至 2016/4/21 2016/1/30 至 2016/2/2 2016/1/29 至 2016/2/2 2016/4/11 至 2016/4/14 2016/2/15 至 2016/2/18 2016/5/25 至 2016/5/29 北京中仕达兴业展览有限公司 57600 18 中国,香港 中国,香港 德国,法兰克福 德国,法兰克福 中国,香港 美国,拉斯维加斯 印度尼西亚,雅加 达 印度,班加罗尔 上海赛博展览广告有限公司 31500 9 中国,香港 2016/4/27 至 2016/4/30 北京中仕达兴业展览有限公司 38400 12 印度,班加罗尔 2016/2/3 至 2016/2/6 厦门会展金泓信展览有限公司 34000 16 德国,慕尼黑 2016/1/24 至 2016/1/27 上海赛博展览广告有限公司 北京思源国际展览有限公司 33725 50300 9 9 中国,香港 美国,拉斯维加斯 2016/4/11 至 2016/4/14 2016/3/23 至 2016/3/24 福建荟源国际展览有限公司 35000 9 美国,拉斯维加斯 2016/2/15 至 2016/2/18 福建荟源国际展览有限公司 39800 9 美国,拉斯维加斯 2016/2/15 至 2016/2/18 上海赛博展览广告有限公司 上海赛博展览广告有限公司 福建省新瑞会展有限公司 领肯(厦门)会展服务有限公司 领肯(厦门)会展服务有限公司 厦门会展金泓信展览有限公司 厦门励诚会展有限公司 29925 31350 63000 27000 25000 68000 40000 9 9 15 9 9 32 9 中国,香港 中国,香港 德国,法兰克福 美国,新奥尔良 中国,台湾 德国,慕尼黑 美国,拉斯维加斯 2016/4/27 至 2016/4/30 2016/4/27 至 2016/4/30 2016/1/30 至 2016/2/2 2016/4/13 至 2016/4/15 2016/6/16 至 2016/6/18 2016/1/24 至 2016/1/27 2016/2/15 至 2016/2/18 福建省新天国际会展有限公司 56408 12 印度,班加罗尔 2016/2/3 至 2016/2/6 领肯(厦门)会展服务有限公司 30000 9 中国,台湾 2016/6/16 至 2016/6/18 第 23 页,共 27 页 2016/2/3 至 2016/2/6 展位面积 地点 (㎡) 9 俄罗斯,莫斯科 9 中国,香港 9 美国,拉斯维加斯 14 意大利,加答 序号 单位名称 项目名称 组展单位 展位价格 1035 1036 1037 1038 泉州天利磨具有限公司 泉州天能电子有限公司 泉州万兴泰包袋制品有限公司 泉州唯美路进出口贸易有限公司 领肯(厦门)会展服务有限公司 福建荟源国际展览有限公司 博禾展览(上海)有限公司 厦门励诚会展有限公司 35190 35500 31500 98000 1039 泉州唯美路进出口贸易有限公司 福建荟源国际展览有限公司 35000 9 美国,拉斯维加斯 2016/2/15 至 2016/2/18 1040 1041 1042 1043 1044 1045 1046 1047 1048 1049 1050 泉州五子棋服饰有限责任公司 泉州欣美进出口贸易有限公司 泉州新茂鞋业有限公司 泉州新明都石业发展有限公司 泉州鑫祺轻工有限公司 泉州信盛石材有限公司 泉州信沃电气有限公司 泉州星锐金刚石工具有限公司 泉州亚力多电子有限责任公司 泉州耀邦进出口商贸有限公司 泉州耀星手袋有限公司 上海赛博展览广告有限公司 福建省新天国际会展有限公司 厦门励诚会展有限公司 厦门美易德会展服务有限公司 福建荟源国际展览有限公司 领肯(厦门)会展服务有限公司 誉颁会展集团(厦门)有限公司 福建省新天国际会展有限公司 泉州市贸促展览服务有限公司 华茂国际展览(上海)有限公司 福建华菱商展有限公司 31350 33000 103500 40300 36000 27000 37336 25000 28000 22200 66000 9 9 18 9 9 9 9 9 9 9 18 中国,香港 美国,芝加哥 意大利,加答 美国,芝加哥 美国,盐湖城 美国,新奥尔良 德国,汉诺威 俄罗斯,莫斯科 中国,台湾 新加坡,新加坡 美国,拉斯维加斯 2016/4/27 至 2016/4/30 2016/4/18 至 2016/4/21 2016/1/16 至 2016/1/19 2016/4/18 至 2016/4/21 2016/1/7 至 2016/1/10 2016/4/13 至 2016/4/15 2016/4/25 至 2016/4/29 2016/6/21 至 2016/6/24 2016/4/6 至 2016/4/9 2016/4/13 至 2016/4/15 2016/3/8 至 2016/3/10 1051 泉州义诚展架有限公司 福建荟源国际展览有限公司 39800 9 美国,拉斯维加斯 2016/2/15 至 2016/2/18 1052 1053 泉州艺奇包袋有限公司 泉州翌达包袋有限公司 福建省新天国际会展有限公司 福建省新瑞会展有限公司 40800 27800 9 9 中国,香港 新加坡,新加坡 2016/4/27 至 2016/4/30 2016/4/13 至 2016/4/15 1054 泉州翌达包袋有限公司 福建省新瑞会展有限公司 70302.1 20 德国,法兰克福 2016/1/30 至 2016/2/2 1055 泉州意德尔进出口贸易有限公司 福建荟源国际展览有限公司 39800 9 美国,拉斯维加斯 2016/2/15 至 2016/2/18 1056 1057 1058 1059 泉州英良石材有限公司 泉州宇晨服饰有限公司 泉州宇信进出口贸易有限公司 泉州宇信进出口贸易有限公司 厦门市盈拓商务有限公司 上海赛博展览广告有限公司 厦门市盈拓商务有限公司 领肯(厦门)会展服务有限公司 41225 52164 32000 28800 9 18 9 9 泉州誉星服装有限公司 厦门会展金泓信展览有限公司 34000 16 美国,芝加哥 中国,香港 卡塔尔,多哈 印度尼西亚,雅加 达 德国,慕尼黑 2016/4/18 至 2016/4/21 2016/4/27 至 2016/4/30 2016/5/9 至 2016/5/12 2016/5/25 至 2016/5/29 1060 1061 泉州震盛手袋有限公司 2016年俄罗斯国际石材展及技术博览会 2016年香港春季电子产品展 2016年美国拉斯维加斯国际旅行用品展 2016年6月意大利加达国际鞋展 2016年2月美国拉斯维加斯国际服装服饰、面 料辅料及鞋类展览会 2016年4月环球资源香港展 2016年4月美国芝加哥国际石材及瓷砖博览会 2016年1月意大利加达国际鞋展 美国芝加哥国际石材、瓷砖及地铺材料展 盐湖城冬季户外用品展 2016美国全美墓园及殡仪展 2016年4月汉诺威国际工业博览会 2016年6月俄罗斯莫斯科国际石材及技术博览 2016年4月6-9日台北国际汽配展 会 2016新加坡CBME国际孕婴童展 2016年3月美国旅行用品展 2016年2月美国拉斯维加斯国际服装服饰、面 料辅料及鞋类展览会 2016年4月香港礼品及赠品博览会 2016年4月新加坡孕婴童展 2016年1月德国法兰克福国际纸制品世界、办 公用品世界展览会 2016年2月美国拉斯维加斯国际服装服饰、面 料辅料及鞋类展览会 2016年美国国际石材及瓷砖展览会 2016年4月份环球资源香港展 2016年卡塔尔多哈国际建筑、建材展览会 2016 年印尼国际石材展 2016德国慕尼黑国际体育用品及运动时尚博 览会 2016年1月德国法兰克福国际纸制品世界、办 公用品 福建省福茂会展服务有限公司 64800 18 德国,法兰克福 2016/1/30 至 2016/2/2 2016年3月美国国际旅行用品展览会 福建荟源国际展览有限公司 30000 9 美国,拉斯维加斯 2016/3/8 至 2016/3/10 27000 25000 23700 54000 24000 9 9 12 9 9 美国,新奥尔良 中国,台湾 伊朗,伊斯法罕 澳大利亚,墨尔本 越南,胡志明市 2016/4/13 至 2016/4/15 2016/6/16 至 2016/6/18 2016/5/1 至 2016/5/5 2016/5/4 至 2016/5/6 2016/3/30 至 2016/4/2 57787 30 伊朗,伊斯法罕 2016/5/1 至 2016/5/5 94000 73000 86400 36 20 36 俄罗斯,莫斯科 巴西,维多利亚 印度,班加罗尔 2016/6/21 至 2016/6/24 2016/2/16 至 2016/2/19 2016/2/3 至 2016/2/6 36000 9 美国,拉斯维加斯 2016/2/2 至 2016/2/5 28800 18800 12 9 印度,班加罗尔 印度,孟买 2016/2/3 至 2016/2/6 2016/5/19 至 2016/5/21 20800 9 印度,孟买 2016/5/19 至 2016/5/21 39800 50397 33297.15 35000 9 11 18 9 南非,开普敦 德国,汉诺威 加拿大,温哥华 美国,纽约 2016/5/17 至 2016/5/19 2016/4/25 至 2016/4/29 2016/2/24 至 2016/2/25 2016/1/30 至 2016/2/3 1063 1064 1065 1066 1067 泉州中泉国际经济技术合作(集团) 有限公司 泉州中胜石材有限公司 泉州中胜石材有限公司 泉州中星磨具有限公司 泉州中星磨具有限公司 泉州众锦源精密机械有限公司 1068 泉州众志金刚石工具有限公司 1069 1070 1071 泉州众志金刚石工具有限公司 泉州众志金刚石工具有限公司 泉州众志金刚石工具有限公司 1072 泉州众志金刚石工具有限公司 1073 1074 泉州众志新材料科技有限公司 泉州众志新材料科技有限公司 1075 群峰智能机械股份公司 1076 1077 1078 1079 三禾电器(福建)有限公司 三禾电器(福建)有限公司 三尚(福州)进出口有限公司 三尚(福州)进出口有限公司 1062 2016年全美国墓园及殡葬用品博览会 领肯(厦门)会展服务有限公司 2016年台湾国际生命礼仪博览会 领肯(厦门)会展服务有限公司 北京中仕达兴业展览有限公司 第12届伊朗(伊斯法罕)国际石材工业展览 2016年澳大利亚国际建材展览会 福建世博展览商务有限公司 会 2016年越南纺织机械展 睿盈达(北京)国际展览有限公司 2016年第12届伊朗(伊斯法罕)国际石材工 北京中仕达兴业展览有限公司 业展览会 福建省新天国际会展有限公司 2016年6月俄罗斯莫斯科国际石材及技术博览 福建省新天国际会展有限公司 2016年2月巴西维多利亚国际石材及工具技术 会 2016年第十二届印度国际石材展览会 福建省新天国际会展有限公司 展 2016年美国拉斯维加斯混凝土世界暨国际建 北京领汇国际展览有限公司 筑机械展 2016年第十二届印度国际石材展览会 福建省新天国际会展有限公司 福建省新天国际会展有限公司 2016年印度孟买国际混凝土技术及设备展览 2016年印度孟买国际混凝土技术及设备展( 会 北京领汇国际展览有限公司 Concrete Show India Mumbai 2016) 2016年南非电力及表计展会 北京中杰城设国际展览有限公司 2016年4月德国汉诺威工业展 福建正联国际会展商务有限公司 2016加拿大温哥华年度建材展 2016年美国纽约国际礼品展 厦门市盈拓商务有限公司 第 24 页,共 27 页 时间 2016/6/21 至 2016/6/24 2016/4/13 至 2016/4/16 2016/3/8 至 2016/3/10 2016/6/11 至 2016/6/14 2016/1/24 至 2016/1/27 序号 1080 1081 1082 1083 1084 1085 1086 1087 1088 1089 1090 1091 1092 1093 1094 1095 1096 1097 1098 1099 1100 1101 1102 1103 1104 1105 1106 1107 1108 1109 1110 1111 1112 1113 1114 1115 1116 1117 1118 1119 1120 1121 1122 1123 1124 1125 单位名称 项目名称 第五届中东欧(波兰) 中国家居&工业品牌 博览会 第五届中东欧(波兰) 中国家居&工业品牌 邵武锦祥木业有限公司 博览会 邵武市进士碎铜茶业有限公司 2016年泰国曼谷亚洲世界食品博览会 邵武市绿农源食用菌农民专业合作社 2016年6月台北国际食品展 邵武云麟茶业有限公司 2016年泰国曼谷亚洲世界食品博览会 2016年2月美国拉斯维加斯服装服饰、面料辅 石狮诺冠鞋业有限公司 料及鞋类展览会 石狮市博雅服饰商标有限公司 2016年4月香港国际印刷及包装展 石狮市诚新电脑织唛有限公司 2016年越南纺织及服装工业展 石狮市哆喏咪进出口贸易有限公司 2016年2月美国拉斯维加斯鞋服展 石狮市夺冠服装织造有限公司 2016年2月美国拉斯维加斯鞋服展 石狮市法兰蒂贸易有限公司 2016年2月美国拉斯维加斯鞋服展 石狮市霏特进出口贸易有限公司 2016年德国纽伦堡宠物用品展 石狮市格林蓝德服装有限公司 2016年波兰国际礼品及家居用品展 石狮市格林蓝德服装有限公司 2016年6月巴西纺织服装展 石狮市豪宇服饰有限公司 2016年1月香港时装周 2016年3月30日-4月2日越南胡志明市国际纺 石狮市汇星机械有限公司 织面料及辅料展览会 石狮市锦昌服饰织造有限公司 2016年1月墨西哥服装皮革及面料展 石狮市玛娜电子商务有限公司 2016年4月环球资源香港展 2016年2月美国拉斯维加斯国际服装服饰、面 石狮市茂成进出口贸易有限公司 料辅料及鞋类展览会 石狮市威岚进出口贸易有限公司 2016年1月香港时装周 2016年德国慕尼黑国际体育用品及运动时尚 石狮市文泰兴纺织品贸易有限公司 贸易博览会 2016年1月美国纽约国际服装、面料及家用纺 石狮市雄飞贸易有限公司 织品展览会 2016第29届越南国际纺织面料及服装辅料展 石狮市裕铭服饰织造有限公司 览会 石狮市振富针纺机械有限公司 2016越南国际纺织及制衣工业展览会 石狮市振富针纺机械有限公司 2016孟加拉达卡国际纺织及制衣机械工业展 石狮市振富针纺机械有限公司 2016雅加达国际纺织及服装机械展览会 2016年2月美国拉斯维加斯国际服装服饰、面 石狮万联进出口贸易有限公司 料辅料及鞋类展览会 思明(福州)进出口贸易有限公司 2016年卡塔尔多哈国际建筑、建材展览会 斯美伦(福州)防水服装有限公司 2015年美国五金工具及花园用品展览会 斯美伦(福州)防水服装有限公司 2016年6月年英国劳保安防展 速鹏(泉州)进出口贸易有限公司 肯尼亚中国贸易周 太龙(福建)商业照明股份有限公司 2016台湾国际照明科技展 天守(福建)超纤科技股份有限公司 2016年2月意大利皮革展 伟顺(中国)机电设备有限公司 2016年南非国际电力及能源展览会 武夷山宏泰竹木业有限公司 2016年法兰克福春季国际消费品博览会 武夷山市阳光竹地板有限公司 2016年3月芝加哥国际家庭用品展 武夷山市阳光竹地板有限公司 2016年2月德国法兰克福春季国际消费品博览 星泰研磨(福建)科技有限公司 2016年巴西国际建筑及五金展 会 雅客(中国)有限公司 2016年科隆国际糖果及休闲食品展(ISM) 亚瑞特(福建)运动用品有限公司 2016年慕尼黑国际体育用品展览会 亿倍通(福建)实业有限公司 2016年香港春季电子产品展 盈利(福建)进出口贸易有限公司 美国拉斯维加斯Magic展 漳平市国联玩具礼品有限公司 2016年3月美国拉斯维加斯消费品展 漳平市国联玩具礼品有限公司 2016年4月香港礼品及赠品展 漳浦彩露华化妆品有限公司 2016年3月意大利博洛尼亚美容美发展 漳浦彩露华化妆品有限公司 2016年5月日本美容展 邵武德林多家居用品制造有限公司 组展单位 展位价格 展位面积 (㎡) 地点 时间 福建省新瑞会展有限公司 32800 9 波兰,华沙 2016/6/7 至 2016/6/9 福建省新瑞会展有限公司 32800 9 波兰,华沙 2016/6/7 至 2016/6/9 福建省新瑞会展有限公司 福建荟源国际展览有限公司 福建省新瑞会展有限公司 29800 21000 29800 9 9 9 泰国,曼谷 中国,台湾 泰国,曼谷 2016/5/25 至 2016/5/29 2016/6/22 至 2016/6/25 2016/5/25 至 2016/5/29 福建荟源国际展览有限公司 35000 9 美国,拉斯维加斯 2016/2/15 至 2016/2/18 福建荟源国际展览有限公司 厦门国际商会 福建荟源国际展览有限公司 福建荟源国际展览有限公司 福建荟源国际展览有限公司 长城国际展览有限责任公司 泉州市贸促展览服务有限公司 泉州市贸促展览服务有限公司 福建荟源国际展览有限公司 23550 58100 39800 39800 39800 82708 64600 37000 53000 9 18 9 9 9 9 18 9 12 中国,香港 越南,胡志明市 美国,拉斯维加斯 美国,拉斯维加斯 美国,拉斯维加斯 德国,纽伦堡 波兰,华沙 巴西,圣保罗 中国,香港 2016/4/27 至 2016/4/30 2016/3/30 至 2016/4/2 2016/2/15 至 2016/2/18 2016/2/15 至 2016/2/18 2016/2/15 至 2016/2/18 2016/5/26 至 2016/8/29 2016/5/19 至 2016/5/21 2016/6/26 至 2016/6/29 2016/1/18 至 2016/1/21 福建荟源国际展览有限公司 26000 9 越南,胡志明市 2016/3/30 至 2016/4/2 福建省新瑞会展有限公司 上海赛博展览广告有限公司 62000 31500 25.9 9 墨西哥,瓜达拉哈 中国,香港 拉 2016/1/19 至 2016/1/22 2016/4/27 至 2016/4/30 福建荟源国际展览有限公司 79600 18 美国,拉斯维加斯 2016/2/15 至 2016/2/18 福建荟源国际展览有限公司 30500 9 中国,香港 2016/1/18 至 2016/1/21 福建华菱商展有限公司 141702.5 36 德国,慕尼黑 2016/1/24 至 2016/1/27 福建省新瑞会展有限公司 45800 9 美国,纽约 2016/1/24 至 2016/1/26 上海中世会展有限公司 25000 9 越南,胡志明市 2016/3/30 至 2016/4/2 瑞达国际展览(北京)有限公司 瑞达国际展览(北京)有限公司 瑞达国际展览(北京)有限公司 54000 80420 81400 18 42 36 2016/3/30 至 2016/4/2 2016/1/28 至 2016/1/31 2016/4/20 至 2016/4/23 福建荟源国际展览有限公司 39800 9 越南,胡志明市 孟加拉,达卡 印度尼西亚,雅加 达 美国,拉斯维加斯 厦门盈拓商务有限公司 北京泰莱特国际会展有限公司 福建省新天国际会展有限公司 厦门美易德会展服务有限公司 64000 99500 80000 30200 15013 88000 36500 59787 32000 58275 49464 38000 39816 38600 35000 87860 46740 145200 44500 18 9 16 9 18 16 9 10.5 9 10.5 9 9 12 9 9 9 9 24 9 卡塔尔,多哈 美国,拉斯维加斯 英国,伦敦 肯尼亚,内罗毕 中国,台湾 意大利,米兰 南非,开普敦 德国,法兰克福 美国,芝加哥 德国,法兰克福 巴西,圣保罗 德国,科隆 德国,慕尼黑 中国,香港 美国,拉斯维加斯 美国,拉斯维加斯 中国,香港 意大利,博洛尼亚 日本,东京 2016/5/9 至 2016/5/12 2016/5/4 至 2016/5/6 2016/6/21 至 2016/6/23 2016/6/29 至 2016/7/1 2016/4/13 至 2016/4/16 2016/2/23 至 2016/2/25 2016/5/17 至 2016/5/19 2016/2/12 至 2016/2/16 2016/3/5 至 2016/3/8 2016/2/12 至 2016/2/16 2016/4/12 至 2016/4/16 2016/1/31 至 2016/2/3 2016/1/24 至 2016/1/27 2016/4/13 至 2016/4/16 2016/2/16 至 2016/2/18 2016/2/28 至 2016/3/2 2016/4/27 至 2016/4/30 2016/3/18 至 2016/3/21 2016/5/16 至 2016/5/18 福建省新瑞会展有限公司 中国机电产品进出口商会 福建省福贸会展服务有限公司 福建荟源国际展览有限公司 福建荟源国际展览有限公司 福建省新瑞会展有限公司 福建省新瑞会展有限公司 厦门会展金泓信展览有限公司 福建荟源国际展览有限公司 厦门弘轩会展有限公司 福建荟源国际展览有限公司 福建荟源国际展览有限公司 福建省新天国际会展有限公司 福建省新天国际会展有限公司 第 25 页,共 27 页 2016/2/15 至 2016/2/18 序号 单位名称 1126 1127 1128 1129 1130 1131 1132 1133 漳浦彩露华化妆品有限公司 漳浦丰滋雅食品有限公司 漳浦丰滋雅食品有限公司 漳浦富全艾伯克橡胶有限公司 漳浦宏记电器工业有限公司 漳浦县赤湖镇锦业石材厂 漳浦县金晟食品有限公司 漳浦县益才果蔬有限公司 1134 漳州常山品兴汽配有限公司 1135 1136 1137 1138 1139 1140 1141 1142 1143 1144 1145 1146 1147 1148 1149 1150 1151 1152 1153 1154 1155 1156 1157 1158 1159 1160 1161 1162 1163 1164 1165 1166 1167 1168 1169 1170 漳州常山泉丰食品有限公司 漳州东泰雨具实业有限公司 漳州芳润建材有限公司 漳州格林屋贸易有限公司 漳州含羞草进出口贸易有限公司 漳州佳伟食品有限公司 漳州金三角生物科技有限公司 漳州凯燊进出口有限公司 漳州科华技术有限责任公司 漳州科华技术有限责任公司 漳州科华技术有限责任公司 漳州科华技术有限责任公司 漳州立兴进出口贸易有限公司 漳州玛迪农业发展有限公司 漳州墁天香食品有限责任公司 漳州明成食品有限公司 漳州诺恒进出口有限公司 漳州日兆贸易有限公司 漳州日兆贸易有限公司 漳州市贝特服饰有限公司 漳州市达罐食品有限公司 漳州市华虹电子有限公司 漳州市华威电源科技有限公司 漳州市华威电源科技有限公司 漳州市杰龙机电有限公司 漳州市金峰食品工业有限公司 漳州市锦德福食品有限公司 漳州市龙江进出口公司 漳州市企智贸易有限公司 漳州市青禾食品有限公司 漳州市青禾食品有限公司 漳州市同发食品工业有限公司 漳州市同发食品工业有限公司 漳州市万诚粉体涂料有限公司 漳州市扬晨贸易有限公司 漳州市扬晨贸易有限公司 1171 漳州市尤领进出口有限公司 1172 1173 1174 漳州市尤领进出口有限公司 漳州市紫山贸易有限公司 漳州托普莱特工贸有限公司 1175 漳州托普莱特工贸有限公司 1176 漳州兴华方立贸易有限公司 项目名称 组展单位 展位价格 2016年5月迪拜美容展 福建省新天国际会展有限公司 36760 2016年6月海峡两岸食品展 福建世博展览商务有限公司 21000 2016年3月日本东京国际食品与饮料展览会 福建世博展览商务有限公司 51000 2016年4月德国汉诺威工业博览会 福建省易联展会展服务有限公司 30450 2016年4月香港春季电子产品展 福建荟源国际展览有限公司 35500 2016年土耳其伊兹密尔国际石材展 厦门会展金泓信展览有限公司 56700 2016年4月新加坡食品展 福建荟源国际展览有限公司 36000 2016年2月德国柏林国际水果蔬菜博览会 福建省新天国际会展有限公司 38000 2016年5月法兰克福(迪拜)国际汽车配件及 厦门新天会展有限公司 39000 售后服务展览会 2016年美国波士顿水产展 北京引企成国际会展有限公司 39578 环球资源礼品及家居用品展 上海赛博展览广告有限公司 47250 2016年中东迪拜地铺展 中国国际贸易促进委员会厦门市委员 55500 2016年卡塔尔多哈国际建筑、建材展览会 厦门市盈拓商务有限公司 32400 会 2016年泰国国际食品展 福建荟源国际展览有限公司 29000 2016.2月俄罗斯食品展 福建荟源国际展览有限公司 45500 2016年芝加哥食品零售展 福建荟源国际展览有限公司 45000 2016年2月德国柏林国际水果蔬菜博览会 福建省新天国际会展有限公司 53320 2016年德国慕尼黑国际太阳能技术博览会 誉颁会展集团(厦门)有限公司 38238 2016年新加坡亚洲国际通信展 51418.54 2016年印尼国际太阳能展 誉颁会展集团(厦门)有限公司 66446 2016年泰国可再生能源展 北京鸿世通国际会展有限公司 26910 2016年芝加哥食品零售展 福建荟源国际展览有限公司 45000 2016年巴西国际食品展 北京东方益达国际展览有限责任公司 32900 美国波士顿国际水产展 福建荟源国际展览有限公司 39000 2016日本东京国际食品及饮料展 福建世博展览商务有限公司 54000 环球资源礼品及家居用品展 上海赛博展览广告有限公司 31500 2016年开罗纺织及面辅料展 深圳市优拓展览有限公司 32000 2016年印尼国际纺织展 汉莎恒大(厦门)会展服务有限公司 27440 2016年4月环球资源香港展 上海赛博展览广告有限公司 26932 2016年4月新加坡食品展 福建荟源国际展览有限公司 36000 2016年4月香港春季电子产品展 福建荟源国际展览有限公司 35500 2016年德国慕尼黑国际太阳能技术博览会 北京中展海外展览有限公司 32056 2016年香港春季电子产品展 福建荟源国际展览有限公司 35500 土耳其门窗玻璃展览会 32113 2016年泰国国际食品展 福建荟源国际展览有限公司 29000 2016年3月美国波士顿国际水产 福建省新天国际会展有限公司 40000 2016年泰国国际食品展 福建荟源国际展览有限公司 29000 2016年月印尼国际皮革鞋材展 东莞中天展览有限公司 28500 2016年5月泰国食品展 北京汇德国际展览有限公司 40000 2016年美国夏季国际优质食品展 北京朗盛世纪展览有限公司 52000 2016年泰国国际食品展 福建荟源国际展览有限公司 29000 2016年芝加哥食品零售展 福建荟源国际展览有限公司 45000 2016年俄罗斯涂料展 北京普赛尔国际会展有限公司 50000 2016年巴西国际食品展 北京东方益达国际展览有限责任公司 31100 2016年泰国国际食品展 福建荟源国际展览有限公司 31500 2016年第二十一届海湾(迪拜)食品博览会 上海国际广告展览有限公司 27000 gulfood 上海国际广告展览有限公司 28800 2016年21届沙特国际食品、酒店及设备博览 2016年芝加哥食品零售展 福建荟源国际展览有限公司 45000 会 北京泰莱特展览有限责任公司 38500 香港玩具展(HONGKONG TOYS & GAMES FAIR 德国法兰克福国际礼品贸易博览会 ) 北京泰莱特展览有限责任公司 40500 Christmasworld 2016年6月意大利加答国际鞋展 广州鑫拓展览商务有限公司 45900 第 26 页,共 27 页 展位面积 地点 (㎡) 9 阿联酋,迪拜 9 中国,台湾 9 日本,千叶 9 德国,汉诺威 9 中国,香港 18 土耳其,伊兹密尔 9 新加坡,新加坡 9 德国,柏林 时间 2016/5/15 至 2016/5/17 2016/6/22 至 2016/6/25 2016/3/8 至 2016/3/11 2016/4/25 至 2016/4/29 2016/4/13 至 2016/4/16 2016/3/23 至 2016/3/26 2016/4/12 至 2016/4/15 2016/2/3 至 2016/2/5 9 阿联酋,迪拜 2016/5/8 至 2016/5/10 9 18 9 9 9 8.75 9 12 18 18 18 9 9 6 9 9 9 9 9 9 9 9 9 9 9 9 9 9 9 9 9 9 9 9 6 9 美国,波士顿 中国,香港 阿联酋,迪拜 卡塔尔,多哈 泰国,曼谷 俄罗斯,莫斯科 美国,芝加哥 德国,柏林 德国,慕尼黑 新加坡,新加坡 印度尼西亚,雅加 泰国,曼谷 达 美国,芝加哥 巴西,圣保罗 美国,波士顿 日本,千叶 中国,香港 埃及,开罗 印度尼西亚,雅加 中国,香港 达 新加坡,新加坡 中国,香港 德国,慕尼黑 中国,香港 土耳其,伊斯坦布 泰国,曼谷 尔 美国,波士顿 泰国,曼谷 印度尼西亚,雅加 泰国,曼谷 达 美国,纽约 泰国,曼谷 美国,芝加哥 俄罗斯,莫斯科 巴西,圣保罗 泰国,曼谷 2016/3/6 至 2016/3/8 2016/4/18 至 2016/4/21 2016/5/23 至 2016/5/26 2016/5/9 至 2016/5/12 2016/5/25 至 2016/5/29 2016/2/8 至 2016/2/12 2016/6/21 至 2016/6/23 2016/2/3 至 2016/2/5 2016/6/22 至 2016/6/24 2016/5/31 至 2016/6/3 2016/5/18 至 2016/5/20 2016/6/1 至 2016/6/4 2016/6/21 至 2016/6/23 2016/6/14 至 2016/6/17 2016/3/6 至 2016/3/8 2016/3/8 至 2016/3/11 2016/4/18 至 2016/4/21 2016/3/3 至 2016/3/6 2016/4/27 至 2016/4/30 2016/4/27 至 2016/4/29 2016/4/12 至 2016/4/15 2016/4/13 至 2016/4/16 2016/6/22 至 2016/6/24 2016/4/13 至 2016/4/16 2016/3/9 至 2016/3/12 2016/5/25 至 2016/5/29 2016/3/6 至 2016/3/8 2016/5/25 至 2016/5/29 2016/5/12 至 2016/5/14 2016/5/25 至 2016/5/27 2016/6/26 至 2016/6/28 2016/5/25 至 2016/5/29 2016/6/21 至 2016/6/23 2016/3/1 至 2016/3/4 2016/6/14 至 2016/6/17 2016/5/25 至 2016/5/29 6 阿联酋,迪拜 2016/2/21 至 2016/2/25 9 9 9 沙特阿拉伯,吉达 美国,芝加哥 中国,香港 2016/5/9 至 2016/5/12 2016/6/21 至 2016/6/23 2016/1/11 至 2016/1/14 7 德国,法兰克福 2016/1/29 至 2016/2/2 18 意大利,加答 2016/6/11 至 2016/6/14 序号 单位名称 1177 漳州兴华方立贸易有限公司 1178 1179 1180 1181 1182 1183 1184 1185 1186 1187 1188 1189 1190 1191 1192 1193 1194 1195 漳州英博机械制造有限公司 漳州优利居电子有限公司 漳州昱丰进出口有限公司 漳州元新食品有限公司 漳州长峰电脑设备有限公司 漳州振发食品有限公司 漳州振发食品有限公司 漳州卓益食品有限公司 长乐柏诚纺织机械有限公司 长乐东城针纺有限公司 长乐东城针纺有限公司 长乐福顺针织有限公司 长乐鹤凯针纺有限公司 长乐宏泰针织有限公司 长乐华周机械有限公司 长乐聚泉食品有限公司 长乐力盛纺织有限公司 长乐力天针纺有限公司 1196 长乐隆鑫针织有限公司 1197 1198 1199 1200 1201 1202 1203 1204 长乐市庆祥针纺有限公司 长乐市兆翔纺织有限公司 长乐太平洋食品有限公司 长乐新天晨针纺有限公司 长乐兴光针纺有限公司 长乐旭辉针织有限公司 长乐誉美贸易有限公司 长乐源达针织有限公司 1205 长乐源达针织有限公司 1206 1207 1208 诏安聚美花饰有限公司 诏安聚美花饰有限公司 政和县瑞昌工艺品有限公司 1209 中国出口商品基地建设福建公司 项目名称 2016年4月日本东京时尚世界服装配饰及鞋包 展览会 2016年泰国国际食品展 环球资源礼品及家居用品展 迪拜国际食品及酒店设备展览会 2016年3月美国波士顿国际水产 2016年香港春季电子产品展 2016年6月海峡两岸食品展 2016年芝加哥食品零售展 2016年芝加哥食品零售展 2016年土耳其纺织机械展览会 环球资源时装及面料展 2016越南西贡纺织及制衣工业展览会 2016年1月德国法兰克福国际礼品博览会 环球资源时装及面料展 2016年3月越南国际纺织及制衣工业展览会 2016年6月海峡两岸食品展 美国波士顿水产展 2016年3月越南国际纺织及制衣工业展览会 2016年中国-东盟博览会越南展 2016年4月印尼国际纺织面辅料及纺织服装机 械展览会INATEX 2016年越南西贡纺织及制衣工业展览会 2016年中国-东盟博览会越南展 美国波士顿国际水产展 环球资源时装及面料帐 环球资源时装及面料展 2016年1月纽约服装、面料展 环球资源时装及面料展 2016越南西贡纺织及制衣工业展览会 2016年4月印尼国际纺织面辅料及纺织服装机 械展览会INATEX 2016年1月德国法兰克福国际礼品博览会 2016年2月德国法兰克福春季国际消费品博览 2016年1月科隆展 会 2016年2月美国拉斯维加斯国际服装服饰、面 料辅料及鞋类展览会 组展单位 展位价格 展位面积 (㎡) 地点 时间 福建新天国际会展有限公司 30330 9 日本,东京 2016/4/6 至 2016/4/8 福建荟源国际展览有限公司 上海赛博展览广告有限公司 上海国际广告展览有限公司 福建省新天国际会展有限公司 福建荟源国际展览有限公司 福建世博展览商务有限公司 福建荟源国际展览有限公司 福建荟源国际展览有限公司 南京维特斯展览有限公司 上海赛博展览广告有限公司 福建世博展览商务有限公司 福建荟源国际展览有限公司 上海赛博展览广告有限公司 福建省新瑞会展有限公司 福建世博展览商务有限公司 福建荟源国际展览有限公司 福建省新瑞会展有限公司 福州市进出口商会 29000 29925 27000 35000 35725 21000 45000 45000 37976 29925 24000 39226 29925 26300 21000 39000 26300 15000 9 9 6 9 9 9 9 9 9 9 9 9 9 9 9 9 9 9 2016/5/25 至 2016/5/29 2016/4/18 至 2016/4/21 2016/2/21 至 2016/2/25 2016/3/6 至 2016/3/8 2016/4/13 至 2016/4/16 2016/6/22 至 2016/6/25 2016/6/21 至 2016/6/23 2016/6/21 至 2016/6/23 2016/6/1 至 2016/6/4 2016/4/27 至 2016/4/30 2016/3/29 至 2016/4/2 2016/1/29 至 2016/2/2 2016/4/27 至 2016/4/30 2016/3/30 至 2016/4/2 2016/6/22 至 2016/6/25 2016/3/6 至 2016/3/8 2016/3/30 至 2016/4/2 2016/6/16 至 2016/6/18 福建省新瑞会展有限公司 23000 9 福建世博展览商务有限公司 福州市进出口商会 福建荟源国际展览有限公司 上海赛博展览广告有限公司 上海赛博展览广告有限公司 福建省新瑞会展有限公司 上海赛博展览广告有限公司 福建世博展览商务有限公司 26400 15000 39000 31350 62700 91600 29925 24000 9 9 9 9 18 18 9 9 福建省新瑞会展有限公司 23000 9 福建荟源国际展览有限公司 福建荟源国际展览有限公司 上选华姿会展(大连)有限公司 39226 58275 60225 9 10.5 15 泰国,曼谷 中国,香港 阿联酋,迪拜 美国,波士顿 中国,香港 中国,台湾 美国,芝加哥 美国,芝加哥 土耳其,伊斯坦布 中国,香港 尔 越南,西贡 德国,法兰克福 中国,香港 越南,胡志明市 中国,台湾 美国,波士顿 越南,胡志明市 越南,河内 印度尼西亚,雅加 达 越南,西贡 越南,河内 美国,波士顿 中国,香港 中国,香港 美国,纽约 中国,香港 越南,西贡 印度尼西亚,雅加 达 德国,法兰克福 德国,法兰克福 德国,科隆 福建荟源国际展览有限公司 39800 9 美国,拉斯维加斯 2016/2/15 至 2016/2/18 第 27 页,共 27 页 2016/4/27 至 2016/4/30 2016/3/29 至 2016/4/2 2016/6/16 至 2016/6/18 2016/3/6 至 2016/3/8 2016/4/27 至 2016/4/30 2016/4/27 至 2016/4/30 2016/1/24 至 2016/1/26 2016/4/27 至 2016/4/30 2016/3/29 至 2016/4/2 2016/4/27 至 2016/4/30 2016/1/29 至 2016/2/2 2016/2/12 至 2016/2/16 2016/1/18 至 2016/1/24

2016年1月至6月境外展会申报受理情况汇总表.xlsx




