秦岭文库(kunmingchi.com)你想要的内容这里独有!

请点击查看中奖客户名单。.xlsx

经年未变。38 页 68.874 KB下载文档
请点击查看中奖客户名单。.xlsx请点击查看中奖客户名单。.xlsx请点击查看中奖客户名单。.xlsx请点击查看中奖客户名单。.xlsx请点击查看中奖客户名单。.xlsx请点击查看中奖客户名单。.xlsx
当前文档共38页 下载后继续阅读

请点击查看中奖客户名单。.xlsx

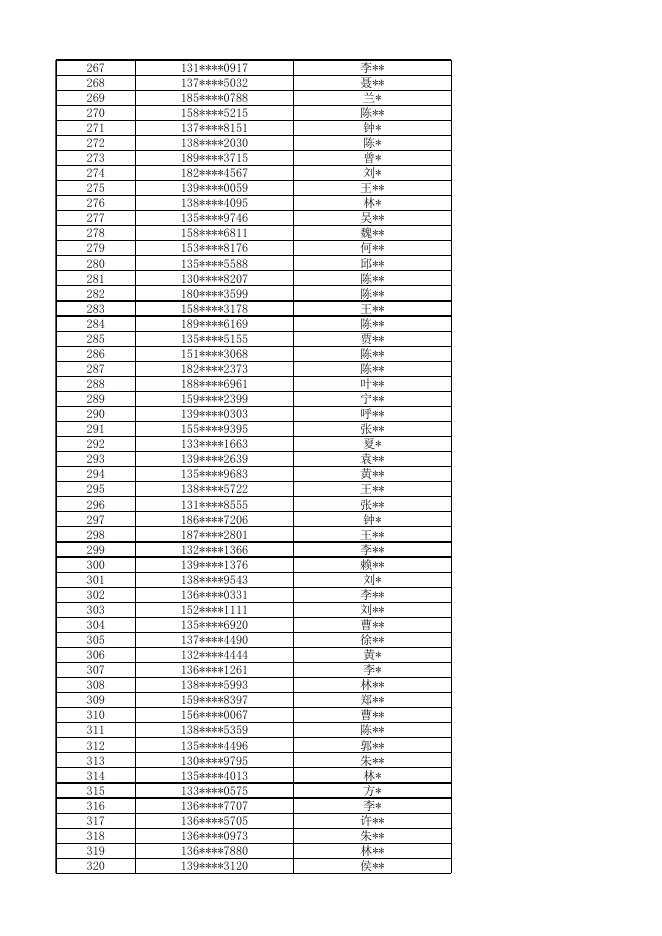
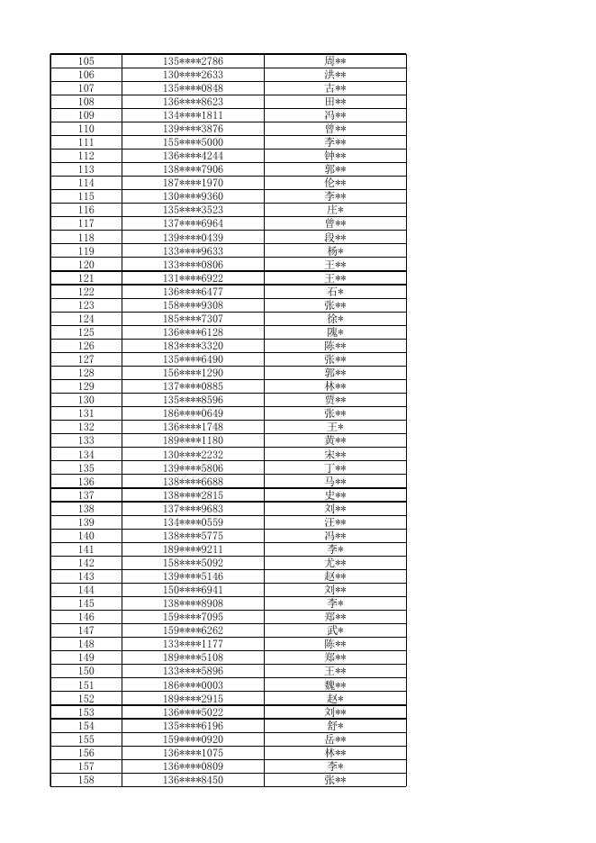
兴业银行客户满意度调研活动2018年第一期中奖名单 序号 1 2 3 4 5 6 7 8 9 10 11 12 13 14 15 16 17 18 19 20 21 22 23 24 25 26 27 28 29 30 31 32 33 34 35 36 37 38 39 40 41 42 43 44 45 46 47 48 49 50 手机号码 155****5123 187****8601 138****0717 136****1657 135****6646 132****0616 139****3117 189****9581 188****6767 133****7696 159****6187 139****7390 186****0199 182****5127 150****8920 138****3575 133****8860 139****4484 133****8813 158****3371 131****5791 136****8570 158****2856 134****3520 132****9397 130****0039 157****6800 155****2201 138****2581 189****0413 139****5549 188****3414 186****5120 136****2542 139****5339 187****5353 188****0128 135****0446 137****7965 132****8160 130****5908 134****2965 138****6686 152****4831 155****5993 138****1913 180****5496 185****0608 139****9705 150****6923 姓名 徐** 邱** 聂* 毫** 李** 卢** 胡** 付** 黑* 王* 韩* 詹** 郝** 刘** 刘** 戴** 王** 张** 陈** 高** 冯** 刘** 陈** 郑** 顾* 陈** 陈** 史** 王** 刘** 殷** 王** 陈** 董** 杨** 宋** 蔡* 张** 林* 董** 侯** 郑** 赵** 邹** 岳** 郭* 赵** 林** 柴** 袁** 51 52 53 54 55 56 57 58 59 60 61 62 63 64 65 66 67 68 69 70 71 72 73 74 75 76 77 78 79 80 81 82 83 84 85 86 87 88 89 90 91 92 93 94 95 96 97 98 99 100 101 102 103 104 188****5556 189****9075 136****1239 176****0799 158****9850 135****0013 150****8486 180****1841 186****8608 155****6666 133****0200 183****5072 136****3102 189****1306 173****2341 180****3402 135****6472 150****6490 136****6227 181****1687 139****3916 158****7447 139****3676 159****6119 131****8998 150****7886 135****2261 139****5829 139****1024 138****5619 136****5654 136****6798 136****9550 153****2661 138****3549 139****8755 189****8888 159****0661 189****2973 155****1077 150****0447 136****7688 137****2842 137****9659 135****2245 137****4741 133****0642 131****2988 187****8485 181****5128 185****3303 159****5612 138****7413 155****9668 黄** 乔** 王** 于** 王** 周* 杨** 袁* 于** 邱** 牛** 张** 刘** 许** 李* 罗** 魏** 吴** 程** 刘** 刘** 朱* 王** 曲** 俞** 荣** 江** 王** 张** 刘** 吴** 韩* 刘** 郭** 杨* 刘** 顾* 王* 马* 刘* 张* 成* 张** 程** 曹** 于** 罗** 何** 张** 伍** 蔡** 周** 谢** 孙** 105 106 107 108 109 110 111 112 113 114 115 116 117 118 119 120 121 122 123 124 125 126 127 128 129 130 131 132 133 134 135 136 137 138 139 140 141 142 143 144 145 146 147 148 149 150 151 152 153 154 155 156 157 158 135****2786 130****2633 135****0848 136****8623 134****1811 139****3876 155****5000 136****4244 138****7906 187****1970 130****9360 135****3523 137****6964 139****0439 133****9633 133****0806 131****6922 136****6477 158****9308 185****7307 136****6128 183****3320 135****6490 156****1290 137****0885 135****8596 186****0649 136****1748 189****1180 130****2232 139****5806 138****6688 138****2815 137****9683 134****0559 138****5775 189****9211 158****5092 139****5146 150****6941 138****8908 159****7095 159****6262 133****1177 189****5108 133****5896 186****0003 189****2915 136****5022 135****6196 159****0920 136****1075 136****0809 136****8450 周** 洪** 古** 田** 冯** 曾** 李** 钟** 郭** 伦** 李** 庄* 曾** 段** 杨* 王** 王** 石* 张** 徐* 隗* 陈** 张** 郭** 林** 贾** 张** 王* 黄** 宋** 丁** 马** 史** 刘** 汪** 冯** 李* 尤** 赵** 刘** 李* 郑** 武* 陈** 郑** 王** 魏** 赵* 刘** 舒* 岳** 林** 李* 张** 159 160 161 162 163 164 165 166 167 168 169 170 171 172 173 174 175 176 177 178 179 180 181 182 183 184 185 186 187 188 189 190 191 192 193 194 195 196 197 198 199 200 201 202 203 204 205 206 207 208 209 210 211 212 137****2031 159****0169 150****2015 138****1952 138****3680 130****8658 158****6006 183****2953 186****9889 150****5822 135****0088 131****9763 136****1155 138****9488 180****1330 186****5575 136****1925 134****5298 150****5421 188****1720 136****2688 180****5278 135****5937 159****7701 131****6980 139****5080 159****1987 188****9690 189****9893 186****5582 131****8858 136****7752 189****9759 137****6806 188****8839 182****8511 139****6626 136****1866 189****9057 151****1556 180****4400 188****5130 138****8855 131****8356 136****8282 136****1188 136****8587 138****0431 189****3327 130****0149 136****7016 133****3525 139****5585 159****9916 王** 李** 肖* 林** 姜* 万* 魏** 朱* 宋** 林* 岑** 苗** 范** 尹** 刘* 潘* 邓* 董** 崔** 赖** 李** 梁** 李** 施** 杨** 杜** 顾** 陈** 鲜** 张* 韩** 王** 陈** 林** 冯* 郭** 郑* 乐** 吴** 章* 庞** 何** 张** 王** 邵** 刘** 祝** 周** 池** 孟** 常* 刘* 康* 吴** 213 214 215 216 217 218 219 220 221 222 223 224 225 226 227 228 229 230 231 232 233 234 235 236 237 238 239 240 241 242 243 244 245 246 247 248 249 250 251 252 253 254 255 256 257 258 259 260 261 262 263 264 265 266 185****7957 138****3825 139****0222 185****6439 135****9685 133****0105 159****2789 137****1213 130****0359 135****5763 136****3129 138****2622 131****7739 133****6129 188****8368 138****9258 136****2333 136****7130 185****9793 133****2993 139****5783 186****8580 137****3313 138****2313 136****3936 177****2022 186****6243 139****8379 131****7270 130****3045 133****3318 156****8233 158****5758 156****5178 136****7272 139****2758 139****4622 159****5697 139****1000 138****3998 136****4853 158****1600 136****6000 180****1721 159****8825 158****6888 189****8408 139****7127 130****0586 139****8761 136****4572 138****8616 189****9512 139****6895 赖** 武** 李** 胡** 庄** 马** 谭** 钱** 沈** 苏** 郑** 黄** 苗** 宋** 孙* 王* 王** 王* 张** 黄** 郭** 李** 王** 吴** 石** 师** 刘* 李* 陈** 郝** 付* 唐** 郑** 刘** 黄* 丁* 郑** 高* 宋* 宋** 黎* 杨* 吴* 李** 刘** 曹** 崔** 杨* 林** 陆** 熊** 蒋** 顾** 张** 267 268 269 270 271 272 273 274 275 276 277 278 279 280 281 282 283 284 285 286 287 288 289 290 291 292 293 294 295 296 297 298 299 300 301 302 303 304 305 306 307 308 309 310 311 312 313 314 315 316 317 318 319 320 131****0917 137****5032 185****0788 158****5215 137****8151 138****2030 189****3715 182****4567 139****0059 138****4095 135****9746 158****6811 153****8176 135****5588 130****8207 180****3599 158****3178 189****6169 135****5155 151****3068 182****2373 188****6961 159****2399 139****0303 155****9395 133****1663 139****2639 135****9683 138****5722 131****8555 186****7206 187****2801 132****1366 139****1376 138****9543 136****0331 152****1111 135****6920 137****4490 132****4444 136****1261 138****5993 159****8397 156****0067 138****5359 135****4496 130****9795 135****4013 133****0575 136****7707 136****5705 136****0973 136****7880 139****3120 李** 聂** 兰* 陈** 钟* 陈* 曾* 刘* 王** 林* 吴** 魏** 何** 邱** 陈** 陈** 王** 陈** 贾** 陈** 陈** 叶** 宁** 呼** 张** 夏* 袁** 黄** 王** 张** 钟* 王** 李** 赖** 刘* 李** 刘** 曹** 徐** 黄* 李* 林** 郑** 曹** 陈** 郭** 朱** 林* 方* 李* 许** 朱** 林** 侯** 321 322 323 324 325 326 327 328 329 330 331 332 333 334 335 336 337 338 339 340 341 342 343 344 345 346 347 348 349 350 351 352 353 354 355 356 357 358 359 360 361 362 363 364 365 366 367 368 369 370 371 372 373 374 159****9691 136****0061 138****3082 135****0561 136****9926 158****1381 135****9669 138****7302 136****8899 138****1152 136****0953 159****1322 137****2618 138****2305 182****6968 131****4700 138****5668 137****5082 189****2036 183****2357 135****2078 139****1729 181****2361 151****1679 153****1506 151****9243 183****7077 136****8844 135****2687 187****8568 159****8543 139****6667 159****3151 135****3093 153****1685 139****9879 135****5643 159****2318 138****4455 135****8965 137****6132 152****5717 133****5181 155****0202 136****5097 180****3335 138****1867 139****8741 188****9303 135****1587 186****2620 189****2799 130****5980 153****8586 黄** 祁** 胡** 严** 马** 张** 陈** 张** 高* 杨** 李** 冯** 宋** 许** 王** 林** 王** 谭** 司** 汪** 刘** 徐** 张** 周** 赵** 高* 董* 张** 王** 于* 邱** 吴** 王** 陈** 庄** 尹** 廖** 马** 陈** 奚** 彭* 张* 王* 王** 刘** 徐** 张* 江** 谢** 孙** 李** 潘** 任** 晏* 375 376 377 378 379 380 381 382 383 384 385 386 387 388 389 390 391 392 393 394 395 396 397 398 399 400 401 402 403 404 405 406 407 408 409 410 411 412 413 414 415 416 417 418 419 420 421 422 423 424 425 426 427 428 133****1826 137****3389 136****5280 135****3536 138****7947 138****2256 182****3543 130****3211 137****2489 139****9797 180****2023 186****2824 135****6611 139****7268 158****1668 138****3477 189****2969 137****8823 136****8446 135****1710 157****6963 139****2527 139****6669 139****7892 138****9436 147****3853 153****6655 185****0883 139****2707 138****1789 185****7821 157****0453 133****1105 137****1759 185****6990 138****0237 139****4028 138****7130 187****9101 186****9280 139****3684 183****3137 134****3157 135****0617 183****1269 153****4565 136****0380 152****1721 134****0535 186****3152 138****7997 180****8818 153****8785 151****0917 时* 贾** 刘** 王** 石** 柴** 周* 王** 王* 卢* 黄* 沈* 王* 王** 黄** 王** 李** 王* 刘** 李* 刘* 何** 林** 刘** 张** 吕** 邱** 刘* 周* 周** 赵* 陈** 叶** 于** 龚** 张* 李** 罗* 李** 张** 孔** 张* 张* 温** 郭* 张** 李* 王* 李** 蔡** 曾* 张** 柳* 刘** 429 430 431 432 433 434 435 436 437 438 439 440 441 442 443 444 445 446 447 448 449 450 451 452 453 454 455 456 457 458 459 460 461 462 463 464 465 466 467 468 469 470 471 472 473 474 475 476 477 478 479 480 481 482 180****9452 186****3131 150****5557 138****6126 151****4812 150****2458 130****3183 135****0997 181****8550 139****3546 135****1318 138****8805 130****0610 136****9397 131****9128 133****1969 180****2032 136****6401 151****2050 180****9235 138****0823 139****8612 133****1400 139****1053 139****8618 186****4901 133****2758 136****5233 150****5393 131****2225 139****9787 139****1117 138****1666 136****6829 138****4707 139****6368 136****7579 138****7022 152****6344 137****4467 136****5700 189****6063 135****6300 131****3168 133****0330 137****3777 139****7866 135****6186 139****0593 137****8458 156****3603 138****3142 151****3277 185****0861 薛** 王** 田** 刘* 尹** 刘** 关** 侯** 刘* 刘* 刘* 雷** 黄** 肖* 梁** 许** 袁** 熊* 张* 董* 耿** 陈** 李** 卢* 陈** 程** 陈* 吕** 王** 杨* 张** 陈* 马* 李* 李* 李* 刘** 孙** 谢** 齐* 周** 许** 林** 龙** 郭* 陈* 章** 陈** 康** 杨** 陈** 杨** 李** 王** 483 484 485 486 487 488 489 490 491 492 493 494 495 496 497 498 499 500 501 502 503 504 505 506 507 508 509 510 511 512 513 514 515 516 517 518 519 520 521 522 523 524 525 526 527 528 529 530 531 532 533 534 535 536 137****9656 138****0198 189****6503 138****9235 152****3559 138****7382 135****4317 186****8569 158****8574 139****0558 185****0688 131****2813 153****5656 139****6481 131****0739 133****8889 131****9725 187****7498 189****1796 159****8956 156****8687 139****9333 133****2759 136****0429 186****6560 136****9836 130****6885 130****3496 135****6380 135****8859 139****1160 189****3087 130****9911 134****0664 182****7951 139****1298 139****5778 130****3960 135****6655 136****2271 186****6848 158****2610 158****3504 150****6878 137****2808 131****3309 186****3935 135****5205 138****3190 189****4236 153****6972 158****8848 138****6111 186****5205 王* 王** 焦** 张** 范** 吴** 吕* 史** 续** 李** 郁** 王* 郭** 高** 冯* 任** 李** 马* 魏** 邱* 赵** 郭* 高** 安* 李** 王** 李** 郑** 秦* 张** 钱** 张** 曾* 任** 徐** 刘** 徐* 谢* 陈* 郑* 谢* 刘** 龙** 丁** 杨* 夏** 赵** 易** 董** 江** 贾** 李* 夏** 拓** 537 538 539 540 541 542 543 544 545 546 547 548 549 550 551 552 553 554 555 556 557 558 559 560 561 562 563 564 565 566 567 568 569 570 571 572 573 574 575 576 577 578 579 580 581 582 583 584 585 586 587 588 589 590 186****9146 130****5681 138****6962 135****6962 138****4668 133****5981 139****8008 135****7556 186****6419 152****0051 189****6798 130****6704 138****2589 137****7182 132****0081 186****0010 139****6290 134****2569 159****3007 135****5017 136****1694 131****2919 136****0937 139****5617 188****3235 137****5162 186****3065 136****6203 180****0109 135****6233 159****6279 130****5311 152****6539 158****7077 182****7918 153****9072 152****4349 158****3456 139****3869 136****2018 131****4990 186****3209 139****9488 180****3818 152****7115 186****5305 159****0812 185****5581 135****2288 136****5258 130****1888 157****8784 138****7457 133****0313 杨* 黄** 巩* 陈** 周** 黄** 冷** 唐** 贾** 李** 马** 张** 彭** 程* 赵* 王* 符** 文** 佟** 王* 冉** 刘** 周** 罗** 孙** 崔** 卢** 范** 庄* 李** 杨** 张* 黄** 徐* 章** 李* 李** 李** 刘** 孙* 张** 徐** 郭** 陈** 翟** 范** 冯* 孔** 杨** 徐** 张** 王** 吕** 许* 591 592 593 594 595 596 597 598 599 600 601 602 603 604 605 606 607 608 609 610 611 612 613 614 615 616 617 618 619 620 621 622 623 624 625 626 627 628 629 630 631 632 633 634 635 636 637 638 639 640 641 642 643 644 136****5985 156****1440 133****1645 155****8872 135****8533 136****2602 135****5362 180****3599 130****2087 139****5138 138****5909 176****6548 133****1179 157****7521 135****1636 138****6463 159****9900 187****9633 150****0008 136****1485 159****6252 132****0000 139****6821 158****1760 182****1650 186****0906 139****3232 136****3325 130****9928 151****0380 187****7114 139****2417 156****4969 136****9141 150****9924 137****8677 138****4471 137****7915 147****0625 134****8921 134****2916 138****8060 137****8180 136****0518 136****3752 133****7866 157****9833 173****8756 186****1816 181****5551 138****6285 151****4799 188****9149 131****5975 汪* 黄** 刘* 王** 吴** 周** 张** 陈** 邱* 云* 刘** 韩* 苏* 陈** 浮** 关** 俞** 章** 赵* 李** 江* 卞* 李* 宋** 梁** 肖** 李** 陈* 汪* 董* 曹** 穆** 谭** 董** 黄** 黄** 任** 普** 王* 于** 江** 杨* 龚** 刘** 郑** 郭* 胡** 钟* 王** 丁** 吴* 李** 刘** 李** 645 646 647 648 649 650 651 652 653 654 655 656 657 658 659 660 661 662 663 664 665 666 667 668 669 670 671 672 673 674 675 676 677 678 679 680 681 682 683 684 685 686 687 688 689 690 691 692 693 694 695 696 697 698 159****9215 137****9782 180****8988 139****8926 135****9426 136****5152 138****4859 139****0968 138****3848 180****6715 131****0978 136****7518 133****6822 182****1978 135****3196 135****6203 135****0502 135****5964 136****1567 139****5141 138****4125 189****4721 159****7524 159****5275 153****5089 150****7672 135****2810 133****0793 132****9560 180****0005 135****1188 130****1063 139****8077 138****1969 137****6766 138****7074 150****6789 130****6119 187****9111 136****0365 138****7933 133****0781 137****0255 135****6605 139****1876 189****8317 137****6324 139****1201 135****8103 130****5895 152****8831 188****0086 133****1895 137****6927 李** 陈* 邹** 周** 胡* 许** 张** 翁** 高* 温* 苑** 刘** 吴* 欧*** 王* 黄** 钟** 夏* 李** 李** 王** 蒋* 王** 王** 曹** 于** 孙* 王** 刘** 朱** 陈** 张** 陈** 邓** 夏* 康** 罗** 罗** 王** 邵** 蒋** 张** 刘* 王* 魏** 吴** 黄** 李** 马** 朱** 於** 李* 黄** 郝** 699 700 701 702 703 704 705 706 707 708 709 710 711 712 713 714 715 716 717 718 719 720 721 722 723 724 725 726 727 728 729 730 731 732 733 734 735 736 737 738 739 740 741 742 743 744 745 746 747 748 749 750 751 752 138****3511 138****7626 157****6091 181****6890 131****5062 139****7572 139****0217 153****0501 130****0211 182****8889 187****2900 136****0883 133****5326 186****5375 151****1777 136****4810 158****1123 182****2785 138****5372 138****7295 177****3562 139****8178 182****8064 138****6093 189****2505 139****7986 177****0511 186****6390 137****3029 157****0365 130****9259 139****1929 136****5088 136****3367 139****5999 136****9796 139****1696 158****8840 130****7717 130****4979 137****3559 136****5810 136****3972 139****7007 150****4512 185****8108 133****9282 157****7137 130****7058 181****7580 189****0119 152****3873 134****9367 180****0263 沈* 彭** 王** 赵** 包* 柴** 王** 罗** 唐** 温** 陈** 郑* 颜** 曹* 史** 闫** 吴* 张** 黄** 田** 熊** 李** 董* 邱** 高* 陈* 袁** 冮** 徐* 胡** 李** 刘** 刘** 卞** 林** 姚** 游** 曹** 刘* 左* 李** 杨** 王* 王** 甄** 阳* 张** 何** 蔡** 白** 周* 章* 张** 杨** 753 754 755 756 757 758 759 760 761 762 763 764 765 766 767 768 769 770 771 772 773 774 775 776 777 778 779 780 781 782 783 784 785 786 787 788 789 790 791 792 793 794 795 796 797 798 799 800 801 802 803 804 805 806 159****5868 177****6968 136****3207 158****6020 139****0736 135****2230 180****2206 185****8001 139****8498 156****9653 135****9861 186****2150 135****6054 151****0126 135****0560 151****1868 130****8841 132****3953 135****7672 138****3171 182****0635 130****5553 137****7918 138****5891 137****0257 177****5057 157****0598 139****6579 152****2807 139****2932 135****4747 138****4016 136****5865 136****0004 189****9720 138****8213 151****5906 138****3790 138****7686 150****4067 139****8766 138****6921 152****8395 138****9723 189****1597 186****0180 132****3067 138****0016 158****7361 137****7699 189****1938 186****5878 186****0410 189****0307 顾** 邵* 郭** 胡** 詹** 刘* 曹** 刘* 李** 韩** 于** 王* 王* 余* 柯** 曾* 吴** 刘** 张** 杨** 张** 沈** 刘* 李** 吴** 蔡* 梁** 王** 汪** 于** 李* 姚** 徐** 杨** 叶* 杨** 司** 张* 臧** 曲** 奚** 刘** 马** 卢** 何* 陈** 陈** 姚** 李** 瞿* 邢* 王* 王* 陈** 807 808 809 810 811 812 813 814 815 816 817 818 819 820 821 822 823 824 825 826 827 828 829 830 831 832 833 834 835 836 837 838 839 840 841 842 843 844 845 846 847 848 849 850 851 852 853 854 855 856 857 858 859 860 137****9746 138****2573 139****4438 135****7007 155****5946 185****1802 135****9684 139****5686 130****8878 150****1951 158****8317 139****5180 159****5714 135****1106 138****7680 135****7116 137****5129 139****5335 189****6312 159****7693 186****5176 139****6063 151****5827 130****4808 138****7030 138****7881 138****9081 137****6364 185****5152 135****1769 139****5526 130****4017 136****1290 181****5370 182****7513 136****9717 135****5067 139****6840 135****6150 137****9595 134****9804 139****0109 136****3788 156****1676 181****6363 152****2103 134****3965 137****0078 139****9782 138****3139 136****2402 138****7906 158****6948 130****5071 方** 蔡** 温** 赵* 王** 魏** 王** 古* 赵** 宋** 杨** 李** 陈** 秦** 吴** 赵** 林** 李** 周** 丁** 祁** 杨** 唐** 梁** 宗** 王** 刘** 袁** 潘** 谭** 肖** 李** 刘* 白** 肖* 李** 李** 刘* 金** 王** 徐** 渠** 郑** 张** 杜** 姚** 应** 王* 吴* 邓* 李** 张** 汤* 唐* 861 862 863 864 865 866 867 868 869 870 871 872 873 874 875 876 877 878 879 880 881 882 883 884 885 886 887 888 889 890 891 892 893 894 895 896 897 898 899 900 901 902 903 904 905 906 907 908 909 910 911 912 913 914 152****5005 188****7218 139****3888 139****4539 136****8958 137****7882 133****6556 180****3272 159****7508 137****1126 186****6068 152****7351 182****7286 150****3718 139****3689 186****1955 188****8795 187****1983 153****9162 139****2890 136****2189 181****8527 139****5851 186****8657 188****5248 137****0410 157****2348 130****8935 159****9559 136****0168 157****2071 158****3716 137****3828 181****8720 178****5390 133****8876 136****5476 189****8428 136****2846 150****4128 130****7627 135****0811 136****9152 182****0865 132****6436 139****8270 136****6791 138****0971 158****0557 180****6177 133****6660 135****5911 138****3196 138****1260 林** 蒲** 林** 冯** 陈** 黄** 何** 黄** 刘** 汪** 王** 方** 樊** 吕** 李* 张** 杨* 易* 樊** 许** 张** 杨* 田** 岳* 韩* 任** 张** 杨** 方* 潘** 曾* 徐* 毛** 周* 彭** 王** 王* 唐** 宋* 沈** 陈** 张** 陈** 李* 解** 贾** 蒋** 钱** 王* 赵** 叶* 郭** 马** 黄** 915 916 917 918 919 920 921 922 923 924 925 926 927 928 929 930 931 932 933 934 935 936 937 938 939 940 941 942 943 944 945 946 947 948 949 950 951 952 953 954 955 956 957 958 959 960 961 962 963 964 965 966 967 968 137****5901 136****7111 151****5860 137****4554 159****7265 138****6254 136****9597 183****6933 150****3502 186****8390 131****8237 130****1058 135****7783 135****9351 188****8197 130****9983 183****4706 139****1509 130****0473 139****8258 136****2856 139****2685 137****6529 137****6877 139****1429 180****1315 130****3362 158****8691 153****5653 132****5689 137****5450 138****0661 177****0868 136****3456 137****6235 138****4962 139****5872 139****7298 159****7781 153****9909 137****6496 182****3316 189****5808 138****9802 136****1165 180****0390 136****8596 180****5020 138****2660 177****2152 153****3809 152****3735 152****3399 139****9356 刘** 沈** 钟** 曹** 朱* 丁* 王** 刘** 吴** 魏** 任** 张** 周* 欧*** 卢** 黄** 路** 郭** 张** 王** 崔** 白* 黄** 崔** 陈** 田** 何** 曹** 何** 王** 张** 陈** 张* 曹* 俞* 郭** 高** 王** 詹** 侯** 刘** 费* 李* 吴** 王** 张* 程** 欧*** 黄** 陈** 沈** 李* 花** 陈** 969 970 971 972 973 974 975 976 977 978 979 980 981 982 983 984 985 986 987 988 989 990 991 992 993 994 995 996 997 998 999 1000 1001 1002 1003 1004 1005 1006 1007 1008 1009 1010 1011 1012 1013 1014 1015 1016 1017 1018 1019 1020 1021 1022 188****1976 151****6019 136****2985 137****7078 186****9877 136****1541 139****8466 138****0940 130****0265 189****9336 135****7963 131****1010 189****8969 180****3089 138****6223 138****6592 137****6280 132****9405 159****4918 138****0501 130****9446 130****4897 136****9679 137****0993 137****9536 155****9310 137****0823 133****2977 181****9396 186****3890 136****2435 138****6671 186****9377 130****0395 139****2283 139****7697 137****8767 130****3460 150****2531 158****9520 139****6685 136****7102 136****7010 130****4137 133****9816 157****2759 137****2058 136****6608 138****7219 136****1993 138****5630 139****9380 138****7530 189****6523 邓** 穆** 石** 杨** 马** 赵* 蔡** 刘** 杨** 王** 刘* 咸** 石* 倪* 尹** 周** 董* 申** 潘** 巫** 曹** 黄** 王** 杨** 秘** 刘** 冯** 李** 范** 王** 杨** 陆** 李** 赵** 罗** 陈** 陈* 骆* 王** 姜* 江** 解** 陈** 焦** 彭* 张** 王** 伍** 崔** 李** 金* 李** 黄** 吴** 1023 1024 1025 1026 1027 1028 1029 1030 1031 1032 1033 1034 1035 1036 1037 1038 1039 1040 1041 1042 1043 1044 1045 1046 1047 1048 1049 1050 1051 1052 1053 1054 1055 1056 1057 1058 1059 1060 1061 1062 1063 1064 1065 1066 1067 1068 1069 1070 1071 1072 1073 1074 1075 1076 158****0125 137****6947 131****0976 138****8768 183****7999 139****2112 159****1845 137****5445 137****0353 139****8899 180****9518 150****3914 139****3270 138****7896 139****2777 159****8162 189****3881 138****2603 156****3000 185****5275 130****5885 158****7775 186****9465 138****7482 181****0708 153****8265 151****2566 177****0528 156****3349 135****1518 130****1116 151****6311 138****5964 155****9460 139****6907 131****9006 133****5859 189****8281 187****4303 158****1120 139****9516 139****8287 138****1413 133****6315 155****9073 139****0000 135****0297 180****6851 135****3890 135****4546 136****3324 139****3118 189****8313 130****5711 李* 富** 肖** 王** 毕* 高** 王** 张** 王* 阮** 李** 毛** 薛* 王** 宋** 霍** 朱** 佘** 赵** 朱** 刘** 陈* 薛** 左* 王** 陈** 吴** 邓** 徐** 吴** 陈** 李** 熊** 于** 徐** 谢** 张* 俞* 付** 郝* 崔* 季** 刘* 郭** 徐* 王** 曹** 董** 徐** 洪** 李* 郭** 伍** 毕** 1077 1078 1079 1080 1081 1082 1083 1084 1085 1086 1087 1088 1089 1090 1091 1092 1093 1094 1095 1096 1097 1098 1099 1100 1101 1102 1103 1104 1105 1106 1107 1108 1109 1110 1111 1112 1113 1114 1115 1116 1117 1118 1119 1120 1121 1122 1123 1124 1125 1126 1127 1128 1129 1130 150****7709 153****1551 138****4522 189****9203 138****1157 152****2000 173****0366 138****9446 189****5443 137****2287 139****1708 138****6877 159****7061 183****6696 136****0959 189****5071 138****9134 151****7764 189****0548 187****6697 150****3839 137****5738 136****8921 139****1705 136****2046 159****7419 153****7791 132****4929 158****4370 158****8808 136****1256 139****6918 139****5201 151****8414 138****6768 159****7888 139****5775 189****6789 136****8251 136****7128 189****4946 189****3618 137****0847 136****5622 134****4200 182****8275 150****1581 181****2658 151****9929 136****1228 188****2229 181****5988 189****8280 189****0402 汪* 杨* 刘** 陆** 舒* 林** 陈** 张** 韩* 游** 吴** 王** 高* 陈** 成* 费** 陆** 宋** 王** 张** 杜** 张** 吕** 梁* 李** 郑* 纪* 罗** 鲍* 吴** 王* 李** 葛** 章* 吴** 王* 孟** 衷** 朱** 李** 李** 解* 吴** 赵** 李** 姜** 鹿** 姚** 任* 刘** 周* 韦* 王* 余** 1131 1132 1133 1134 1135 1136 1137 1138 1139 1140 1141 1142 1143 1144 1145 1146 1147 1148 1149 1150 1151 1152 1153 1154 1155 1156 1157 1158 1159 1160 1161 1162 1163 1164 1165 1166 1167 1168 1169 1170 1171 1172 1173 1174 1175 1176 1177 1178 1179 1180 1181 1182 1183 1184 186****3488 130****2793 139****1498 159****6877 131****0006 136****0707 136****8413 134****7660 137****7586 139****3355 138****4213 136****5612 135****0425 183****1108 135****2309 180****2899 135****2636 139****2992 135****1629 189****5611 136****8405 139****0290 139****8802 136****6168 139****3028 151****2806 138****4892 139****8285 138****1002 150****6639 151****0756 186****3483 136****4387 135****0166 137****0003 159****0500 139****4325 150****6758 136****1551 189****6081 133****6750 152****2419 156****7191 180****0823 131****8088 138****8345 180****1355 138****1877 137****0618 130****0646 138****5161 139****3780 139****8890 139****3759 汪* 汪** 季** 于** 朱** 李** 王* 祝** 赵** 胡** 洪** 王** 李* 张* 陈** 游** 杜* 李* 王** 王** 张* 郭** 王** 李** 李** 张* 赵** 田** 王** 郭** 马** 史** 成** 公** 杨** 肖* 张* 刘** 苏** 李** 步** 徐** 张** 沈* 周* 刘** 廖** 李** 卢** 冯** 孙* 况** 王** 张** 1185 1186 1187 1188 1189 1190 1191 1192 1193 1194 1195 1196 1197 1198 1199 1200 1201 1202 1203 1204 1205 1206 1207 1208 1209 1210 1211 1212 1213 1214 1215 1216 1217 1218 1219 1220 1221 1222 1223 1224 1225 1226 1227 1228 1229 1230 1231 1232 1233 1234 1235 1236 1237 1238 138****8896 139****8778 139****2224 158****1952 138****7703 139****8010 136****0025 153****4263 186****1888 136****8358 138****0217 138****8065 139****8532 189****1469 180****2675 131****5710 135****9846 137****0995 183****8023 186****2778 132****1257 189****5525 130****0217 133****7433 151****0318 153****0120 132****9971 151****2762 135****6877 139****6809 158****5340 135****8271 138****5820 134****9025 159****5953 151****4259 138****8908 186****9599 138****6664 135****2542 189****6180 133****5802 181****2288 137****5318 137****0898 138****6753 136****8297 188****9170 158****6868 131****2999 189****0110 133****8363 159****3897 136****8156 郭* 詹** 左** 刘** 江** 梁** 韩** 陈* 李** 李** 冯** 吴** 刘* 蒙** 卢** 曹** 罗* 付* 邵* 钟** 杨* 祁** 金** 陈** 占** 曹** 何** 郑** 程* 潘* 林* 代** 李** 马** 王* 周* 邓** 陈* 杜** 朱* 何** 董** 张** 贾* 邓** 张** 顾** 唐** 常* 陈** 那** 杜** 易** 李** 1239 1240 1241 1242 1243 1244 1245 1246 1247 1248 1249 1250 1251 1252 1253 1254 1255 1256 1257 1258 1259 1260 1261 1262 1263 1264 1265 1266 1267 1268 1269 1270 1271 1272 1273 1274 1275 1276 1277 1278 1279 1280 1281 1282 1283 1284 1285 1286 1287 1288 1289 1290 1291 1292 136****6009 151****8393 137****4519 138****7522 186****3000 188****3637 138****2964 139****6516 136****9358 186****7071 139****0794 130****8258 139****6567 130****0999 156****7742 137****2286 133****2554 135****0017 136****8221 137****6888 131****1117 138****0973 189****9211 136****3294 139****5844 138****1701 151****1267 153****8628 135****1732 139****2182 131****5602 135****2586 136****7738 135****0886 137****7559 135****4635 136****5720 187****8863 182****0717 135****7072 137****8136 134****4339 133****5070 182****1951 185****3113 138****5266 135****0653 133****7378 138****7225 135****6942 156****4778 130****3198 138****8686 130****0448 李* 徐** 王** 柏** 臧** 王** 林* 张** 黄** 李** 黄** 刘** 刘** 王** 陈* 姚** 张** 曹* 王** 朱** 王* 王* 赵** 段** 范** 刘** 王* 刘* 张** 李** 颜** 蔡** 张* 于** 沈** 刘** 赵** 王** 文** 刘* 冯** 黄** 左** 梁** 王** 王** 郭** 苏** 王** 朱** 崔* 简** 赵** 李** 1293 1294 1295 1296 1297 1298 1299 1300 1301 1302 1303 1304 1305 1306 1307 1308 1309 1310 1311 1312 1313 1314 1315 1316 1317 1318 1319 1320 1321 1322 1323 1324 1325 1326 1327 1328 1329 1330 1331 1332 1333 1334 1335 1336 1337 1338 1339 1340 1341 1342 1343 1344 1345 1346 150****4451 180****8562 138****6184 157****7537 136****7686 150****6080 177****5678 177****9530 188****5825 158****1669 135****3457 156****7077 138****7757 135****7302 159****9393 139****3143 182****9014 189****6359 186****0817 130****4520 177****1572 138****7822 138****1780 133****2360 138****3215 153****0777 139****7559 180****4290 138****5558 138****9362 187****0915 159****3328 136****9324 180****0808 139****8701 188****5734 136****0786 183****8672 150****2004 153****1411 135****0105 135****9918 189****6323 186****0957 158****9889 152****2050 139****9629 159****3010 137****2997 135****9928 186****3099 135****2822 151****7237 133****6585 曾** 荆** 林** 张** 林** 黄** 黄** 刘** 蔡** 柳** 敖* 孙** 熊* 李* 陈** 罗** 程** 袁** 赵** 杜** 丁** 陈* 杨* 陈** 章** 杨** 魏* 郑** 王** 王** 江** 余** 吴** 欧*** 杜** 王** 张* 沈** 郭* 方** 左* 朱** 陈* 刘* 李** 王* 武* 连** 马** 颜** 陶* 王** 李** 陈** 1347 1348 1349 1350 1351 1352 1353 1354 1355 1356 1357 1358 1359 1360 1361 1362 1363 1364 1365 1366 1367 1368 1369 1370 1371 1372 1373 1374 1375 1376 1377 1378 1379 1380 1381 1382 1383 1384 1385 1386 1387 1388 1389 1390 1391 1392 1393 1394 1395 1396 1397 1398 1399 1400 138****2561 131****5145 155****0008 188****9773 186****0451 134****1152 138****9123 183****8812 135****9810 159****7586 135****6310 131****7100 139****6506 130****7261 153****1191 158****9308 139****8784 139****3621 136****3811 159****2867 138****0246 189****0339 136****9186 183****1475 186****6015 139****9420 159****4951 139****3270 158****1741 135****1320 189****6828 132****9387 151****7241 135****9680 158****3447 138****9571 186****6519 132****9013 139****7552 135****5391 138****0421 130****8121 158****3287 130****8531 139****8682 137****1501 187****7307 130****0059 131****8608 189****4682 136****9530 135****8853 132****8925 152****4766 胡** 杨** 尹* 邢** 林* 杜* 王** 薛* 李** 张** 张** 孙** 陈** 王** 魏* 梁** 苏* 许** 朱** 顾** 李** 杨** 史** 贾** 陆** 于** 樊** 王* 晏** 张** 廖** 王** 孙** 吴** 肖** 方** 孟* 王** 黄** 刘** 张** 杨* 钟** 张** 罗** 李* 于** 王** 张** 谭** 刘** 王** 赵** 张** 1401 1402 1403 1404 1405 1406 1407 1408 1409 1410 1411 1412 1413 1414 1415 1416 1417 1418 1419 1420 1421 1422 1423 1424 1425 1426 1427 1428 1429 1430 1431 1432 1433 1434 1435 1436 1437 1438 1439 1440 1441 1442 1443 1444 1445 1446 1447 1448 1449 1450 1451 1452 1453 1454 189****3809 137****4553 139****9099 159****6440 189****4352 186****9698 159****6655 186****8998 176****2697 159****6911 137****6600 139****9747 139****7518 130****9668 135****1674 139****1483 189****3170 186****8399 187****8918 137****8298 158****7779 187****3231 185****5902 189****0507 138****8158 186****0158 135****5861 153****2797 137****5607 135****1199 156****5057 139****3199 130****3623 139****7002 134****2469 189****6150 139****2656 137****2978 180****3679 133****9297 150****7576 138****1833 135****7089 139****0698 158****1996 137****0808 138****7686 138****3331 147****2036 132****0529 151****8888 153****8922 135****8069 135****0993 张** 吴** 封** 张** 苏* 沈** 吴* 胡** 黄** 田** 王* 高* 钱** 连** 张** 封** 冯** 张** 邢* 陈* 潘** 孙** 海** 杨** 常** 王** 廖** 徐** 杜** 吴** 马** 王** 秦** 南** 杨* 管** 韩* 阳** 刘** 孙** 易** 李** 林* 廖** 白** 吴** 夏** 卢** 鲍** 张** 郑** 林** 王* 华* 1455 1456 1457 1458 1459 1460 1461 1462 1463 1464 1465 1466 1467 1468 1469 1470 1471 1472 1473 1474 1475 1476 1477 1478 1479 1480 1481 1482 1483 1484 1485 1486 1487 1488 1489 1490 1491 1492 1493 1494 1495 1496 1497 1498 1499 1500 1501 1502 1503 1504 1505 1506 1507 1508 133****2218 135****3921 139****2887 158****9755 138****3956 139****2867 150****6942 136****6628 137****3089 139****1208 138****3628 136****1183 137****2425 188****1216 139****6692 135****3887 155****3511 136****7766 137****8631 159****7123 139****6697 152****6710 137****9768 187****0118 158****3921 139****2186 138****2005 138****8053 157****8988 186****0530 134****3486 183****5578 186****2227 186****7010 159****8707 158****5585 139****8606 137****1019 138****6999 130****1866 156****0364 186****8488 158****3831 153****2865 155****5878 150****2301 135****9763 138****0818 153****9636 150****7137 189****2618 138****2996 136****1711 150****2999 宋** 黄** 刘* 朱** 梁** 李* 刘** 殷** 王** 王** 葛** 于** 沙** 鲁** 赵** 马** 王** 李** 王** 王** 王** 肖** 苏** 白** 杨** 陈** 朱* 王** 许** 邓** 钟* 何* 卢** 倪** 陈** 陈** 廖** 杨* 张** 任** 西* 王** 吴** 林** 张** 魏** 李** 黄** 车** 张** 李** 曾* 施** 吴** 1509 1510 1511 1512 1513 1514 1515 1516 1517 1518 1519 1520 1521 1522 1523 1524 1525 1526 1527 1528 1529 1530 1531 1532 1533 1534 1535 1536 1537 1538 1539 1540 1541 1542 1543 1544 1545 1546 1547 1548 1549 1550 1551 1552 1553 1554 1555 1556 1557 1558 1559 1560 1561 1562 135****5591 136****2070 138****3928 156****7886 139****8867 150****2064 135****0760 189****1071 137****8226 181****5387 151****1382 138****8859 158****6532 139****0120 189****0799 158****4885 180****3516 135****7333 137****3389 159****1878 180****1314 156****6781 139****7772 135****1886 133****3940 133****5903 138****6858 139****1270 139****6562 130****3806 139****0296 159****2724 136****2699 137****4181 138****8332 139****7050 132****4697 181****8633 138****1092 139****1802 152****6365 130****6526 139****7909 150****2391 138****0926 158****6820 159****9578 138****2250 152****2526 189****1270 186****9583 138****6396 136****5256 139****6856 石** 李** 曹** 滕** 李* 李** 郑** 吴** 蔡** 张** 孙** 方** 李** 陈* 于** 庄** 张** 单** 李* 黄* 王** 韩** 江** 谭** 牟** 陆** 褚** 耿** 林** 陈** 冀** 常* 赵** 高** 李* 高* 陈** 孙** 范** 李** 陈** 王** 周** 蔡** 孙** 傅** 张** 廖** 杨** 李** 王** 年* 战** 张** 1563 1564 1565 1566 1567 1568 1569 1570 1571 1572 1573 1574 1575 1576 1577 1578 1579 1580 1581 1582 1583 1584 1585 1586 1587 1588 1589 1590 1591 1592 1593 1594 1595 1596 1597 1598 1599 1600 1601 1602 1603 1604 1605 1606 1607 1608 1609 1610 1611 1612 1613 1614 1615 1616 139****0784 180****4021 180****2491 139****9525 151****6908 189****4566 186****4990 133****2887 138****5219 180****8856 137****6549 136****8267 158****7002 183****7765 139****3191 159****9304 137****9988 135****6207 138****0135 138****4113 138****6929 159****8565 158****6565 139****0184 139****6698 159****8912 188****8148 133****4167 131****1986 152****9609 132****8928 182****9666 132****7170 138****2027 189****1608 138****5804 187****7161 152****9037 159****9353 139****7548 189****3067 181****0800 186****9720 130****4694 136****1597 139****6870 159****1185 136****9462 139****8592 138****7050 138****3056 136****7438 135****9832 131****3768 李** 刘* 朱** 蒋* 陈* 景* 章* 李** 周** 陈* 王** 赵** 戴** 杜* 林** 熊** 任* 郭** 王** 李** 戴** 林* 石* 黄* 薛* 谭** 饶** 冯* 唐** 刘** 刘** 康** 乔** 沈* 郝** 梅* 杨* 张** 陈** 于** 林** 陈** 姚** 蒋* 吕** 肖** 杨** 郭* 葛** 鲍** 王** 刘** 关* 林* 1617 1618 1619 1620 1621 1622 1623 1624 1625 1626 1627 1628 1629 1630 1631 1632 1633 1634 1635 1636 1637 1638 1639 1640 1641 1642 1643 1644 1645 1646 1647 1648 1649 1650 1651 1652 1653 1654 1655 1656 1657 1658 1659 1660 1661 1662 1663 1664 1665 1666 1667 1668 1669 1670 138****8652 138****5658 136****6340 137****7704 132****6679 156****3786 188****2423 155****7658 137****1120 136****9360 133****1010 182****1796 130****8855 189****7378 182****0328 187****0176 139****6850 139****8119 139****8074 186****8668 137****8315 133****6095 139****0761 139****6023 137****5957 152****6688 131****4240 137****9595 134****9987 152****2567 186****2770 186****3385 137****0602 135****0680 137****6129 185****8880 136****6627 156****1248 156****4502 133****3071 138****6101 136****9923 133****7408 189****1307 131****6659 136****3018 138****2757 138****9935 137****5275 134****0844 139****2328 152****0592 159****8254 138****6906 铁* 刘** 万* 刘** 孔** 范** 卢** 于** 高* 江* 戴* 张** 张** 孟* 肖* 羊** 李** 栗** 杨** 汪* 姚* 王** 沈* 杨* 徐** 戚* 曾** 陈* 赵** 房** 郑* 张** 杨** 陈** 曹** 李** 臧** 孙* 赵** 徐** 普** 何* 曾** 卢* 张* 卜** 邹** 张** 杨** 周** 郝* 陈* 杨* 姜* 1671 1672 1673 1674 1675 1676 1677 1678 1679 1680 1681 1682 1683 1684 1685 1686 1687 1688 1689 1690 1691 1692 1693 1694 1695 1696 1697 1698 1699 1700 1701 1702 1703 1704 1705 1706 1707 1708 1709 1710 1711 1712 1713 1714 1715 1716 1717 1718 1719 1720 1721 1722 1723 1724 180****6036 139****9815 132****3397 182****2567 189****1161 133****7622 187****8560 152****9143 136****8188 189****2292 182****0661 187****7991 138****7080 150****7069 159****7256 139****3450 176****8838 137****7407 159****6704 139****4984 131****1678 135****0059 153****1024 180****5606 139****3633 155****7160 152****3139 135****3262 133****5936 187****9656 134****3637 138****7873 182****2679 151****2698 138****5608 138****8066 155****8138 138****3387 137****7729 137****5791 139****3996 152****9061 138****7563 159****9380 139****0121 130****1111 189****7300 131****6808 136****2663 153****1118 189****6183 181****3137 137****1750 138****5026 汤** 洪** 郭** 沈** 张** 姚** 胡* 李** 冯** 陈** 周** 潘* 郝** 郭** 智** 邬** 周** 左** 文** 张* 李* 马** 岳* 曾* 欧** 秦** 魏** 吴** 冯* 高** 邱** 张** 安** 周** 臧* 王** 林** 曾** 张** 戴** 纪** 李* 杨** 黄** 林** 何* 石** 孟** 靳** 朱** 黄** 程** 郑** 叶* 1725 1726 1727 1728 1729 1730 1731 1732 1733 1734 1735 1736 1737 1738 1739 1740 1741 1742 1743 1744 1745 1746 1747 1748 1749 1750 1751 1752 1753 1754 1755 1756 1757 1758 1759 1760 1761 1762 1763 1764 1765 1766 1767 1768 1769 1770 1771 1772 1773 1774 1775 1776 1777 1778 136****1537 136****4645 137****6913 137****1357 131****3066 189****0069 139****1676 139****8798 150****0251 155****9731 150****6272 138****5164 131****7605 139****7156 139****6180 136****0097 137****7148 187****3801 136****6875 180****2358 138****4980 185****7390 137****0539 182****1171 136****3070 135****8858 138****1084 185****7778 136****4402 158****5693 130****6277 153****5279 189****3856 135****3348 173****3116 135****7273 152****5085 182****2753 180****3173 185****7319 130****7333 151****5763 134****2819 137****1938 158****6396 139****9565 137****2102 158****1887 135****0828 159****5752 139****5513 135****1285 158****4427 131****6733 张** 苑** 戚** 李* 吕** 刘** 郑** 唐* 张* 徐* 肖** 钟** 李** 王** 肖** 莫** 陈** 潘** 胡** 汤** 李** 刘* 赵** 李** 高** 林** 张** 翁** 王** 林** 赵** 杨** 张** 张** 杨* 丘** 魏* 谢** 张** 齐** 沙** 吴** 张* 李** 王* 曹** 李** 韩* 刘** 陈** 时** 林** 林** 韩** 1779 1780 1781 1782 1783 1784 1785 1786 1787 1788 1789 1790 1791 1792 1793 1794 1795 1796 1797 1798 1799 1800 1801 1802 1803 1804 1805 1806 1807 1808 1809 1810 1811 1812 1813 1814 1815 1816 1817 1818 1819 1820 1821 1822 1823 1824 1825 1826 1827 1828 1829 1830 1831 1832 183****0989 135****5301 159****4360 135****7873 137****4900 133****1811 152****7390 135****2010 136****5562 132****7903 136****7717 138****0627 152****3562 132****3100 187****8885 138****5746 139****1598 136****1311 152****2508 150****0792 139****7794 130****1919 188****7092 183****0456 189****7655 130****8856 182****1737 138****3754 189****8166 135****0117 131****2749 153****0508 186****1571 188****5616 130****6666 183****5335 138****6510 135****8816 137****9710 186****5075 150****8271 159****5900 136****6370 135****3019 159****2873 189****6171 133****5897 158****5352 132****9983 138****8249 139****0368 181****7036 156****4694 152****0818 李** 韩** 施** 佟** 程** 唐* 陈* 张** 华* 马** 李** 阎** 毕** 徐** 邹** 刘** 杨** 徐* 胡** 裴** 赵** 李* 梁** 叶* 练** 田* 张** 叶** 温** 陈** 刘** 刘** 龚** 李** 严** 魏** 傅** 沈* 吴** 范** 徐** 刘** 李** 彭** 施** 张** 李** 蒋** 孙** 陈** 王** 李* 马** 刘** 1833 1834 1835 1836 1837 1838 1839 1840 1841 1842 1843 1844 1845 1846 1847 1848 1849 1850 1851 1852 1853 1854 1855 1856 1857 1858 1859 1860 1861 1862 1863 1864 1865 1866 1867 1868 1869 1870 1871 1872 1873 1874 1875 1876 1877 1878 1879 1880 1881 1882 1883 1884 1885 1886 151****7845 189****7651 132****3037 137****3392 139****1312 139****7792 136****6779 153****4048 189****7025 134****4097 158****6636 135****4092 133****1151 134****4145 139****0626 139****6567 138****8163 138****4903 139****0326 139****3489 139****3219 187****9188 189****9057 177****5007 153****5537 183****5216 136****1549 180****7706 189****7690 136****3608 138****5200 131****9559 186****8720 134****8887 156****4444 182****6192 138****8158 153****8182 139****8923 139****2191 158****0293 135****9966 139****4851 152****0702 135****0487 159****9944 186****1107 136****5940 135****2708 139****8040 135****9606 137****8812 182****8632 152****0791 晋** 陈** 李* 陈* 朱** 王** 刘** 孙** 朱** 陈* 戚* 魏* 霍** 林** 黄** 丁** 洪** 张** 刘** 邢** 刘** 操* 孙** 张** 赵** 卞** 王** 夏** 侯** 李** 钟** 彭* 胡** 郑** 蔡** 王* 孙** 李** 卫** 覃** 廖** 杨** 刘** 马* 金** 陈** 张** 栾** 韩** 郭** 张* 张** 党** 黄** 1887 1888 1889 1890 1891 1892 1893 1894 1895 1896 1897 1898 1899 1900 1901 1902 1903 1904 1905 1906 1907 1908 1909 1910 1911 1912 1913 1914 1915 1916 1917 1918 1919 1920 1921 1922 1923 1924 1925 1926 1927 1928 1929 1930 1931 1932 1933 1934 1935 1936 1937 1938 1939 1940 136****2852 138****3200 135****5118 189****6345 139****3271 130****2583 131****7764 158****3287 189****4618 189****2327 137****9986 159****1997 189****5601 151****6960 139****0773 180****8884 137****2071 135****8043 139****6694 137****7202 138****4419 135****6260 132****3492 133****9099 130****7508 187****7780 138****2660 186****5710 180****1702 152****0396 189****4322 139****7786 131****7243 153****8000 139****6112 133****6160 158****2618 152****1946 159****8404 130****9906 136****9908 180****3006 135****3358 131****5151 135****3588 138****7092 136****4273 180****7031 151****8037 136****2177 180****1234 133****5791 186****0722 139****1016 董** 肖** 蒋** 戴* 管* 孙** 刘** 鲜** 范** 黄** 罗** 王** 罗** 朱** 黄** 刘* 肖** 吴* 谷* 杨** 何** 张** 陈** 苗** 丁** 杨** 吕* 丁** 刘* 胡* 王** 徐* 陈** 刘* 仲** 张** 李** 曾* 周** 熊* 曾** 戴** 张* 张* 顾** 李* 唐** 周** 张** 谭** 包** 朱** 肖** 沈* 1941 1942 1943 1944 1945 1946 1947 1948 1949 1950 1951 1952 1953 1954 1955 1956 1957 1958 1959 1960 1961 1962 1963 1964 1965 1966 1967 1968 1969 1970 1971 1972 1973 1974 1975 1976 1977 1978 1979 1980 1981 1982 1983 1984 1985 1986 1987 1988 1989 1990 1991 1992 1993 1994 158****5640 139****8735 135****6593 135****9078 152****4452 139****9086 135****4715 158****5411 158****2897 156****1160 131****4656 134****3220 137****4300 139****1361 150****9935 151****2866 138****0786 138****9392 138****5999 139****9172 183****6677 158****1318 139****6527 139****0610 135****9845 152****6619 139****1872 152****0684 186****0441 182****4084 138****9397 133****9603 139****6129 138****2865 130****6629 130****9788 130****7242 150****3605 138****8820 135****3966 130****1968 135****3119 139****6543 133****7642 158****2004 138****5372 133****2006 139****9619 130****4118 150****4123 130****5456 136****8213 130****6675 152****8687 董** 旷** 江* 张** 肖** 郜** 张** 孙** 张* 陈** 刘** 石** 林** 鲍** 李* 李** 娄** 董* 安* 张** 胡* 张* 谷** 韩** 付** 李** 徐** 杨** 张** 高** 徐* 郭** 陈* 李** 吴* 高* 马* 姚** 杨** 刘** 李** 杨** 郑** 黄** 徐** 赵** 孟** 陈** 陈** 吴* 黄** 岳** 徐** 尚** 1995 1996 1997 1998 1999 2000 136****0858 186****6625 133****7171 139****2779 189****8210 136****5117 向* 马* 周* 陈** 张** 任**

相关文章