成都市第36届青少年科技创新大赛(青少年科技创新成果-论文)获奖名单.pdf
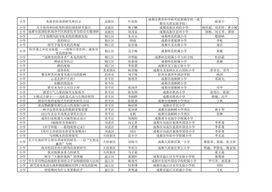
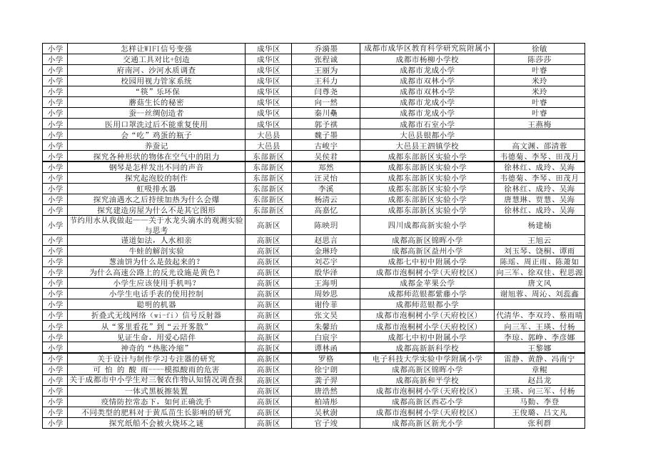
成都市第36届青少年科技创新大赛获奖名单 青少年科技创新成果(论文)获奖名单 一等奖 组别 项目名称 区(市)县 作者 学校 指导老师 小学 小学 小学 成华区 成华区 成华区 李明轩 胡修语 杨以宁 成都市龙成小学 成都市树德小学 成都市建设路小学 叶睿 秦梅 陈丽娟 成华区 陈诺 成都市龙成小学 叶睿 小学 小学 小学 小学 小学 小学 小学 小学 小学 小学 新冠疫情医护人员心理状态调查 耳郭收集声音的效果与其 长度、外圈直径之间的 关系 用声音来画画 让我们当好小小东道主——新冠疫情对成都市小学 开展大运会宣传影响情况的抽样调查 自制环保、功能型泡泡水 怎样让桂花的香味保持地更久 关于黄金周出行对健康码使用的调查报告 高温水对塑料瓶揉缩原因 观察报告—绿豆芽 成华公园对周边环境改善情况的调查报告 龙成小学午餐光盘行动情况调查 龙城小学近视情况调查与防治 定时提醒吃药盒子 关于成都市垃圾分类的调研报告 成华区 成华区 成华区 成华区 成华区 成华区 成华区 成华区 成华区 高新区 小学 我们让厨房垃圾变成了有机肥料 高新区 石楠茜 刘思睿 刘铠谦 李东霖 苏子意 秦朗 杨舒涵 祝晗泽 张恩琦 苏琪淇 王寻、任津熠、张 殷权 铁径舟 黄嘉浩 吴佳霓 任真、邢译文、郑 筱妤 谢雅丹、周芸萱、 尹卓立 刘冰语 傅欣葳 刘奕歌 陆昱嘉 小学 小学 猪肉解冻方式与口感、营养变化和食品安全的研究 小学 关于疫情后口罩使用情况调查报告 小学 关于太升南路街道盲道占用情况的调查研究 高新区 高新区 高新区 小学 低龄儿童近视现象调查 高新区 小学 小学生常见食品蛋白质摄入充足性调查报告 高新区 小学 小学 小学 小学 关于“昙花一现”昼夜颠倒实验的探究 探究跷跷板的秘密及应用 高空坠物破坏性与什么因素有关 如何鉴别口罩防护效果 高新区 高新区 高新区 高新区 成都市建设路小学 李娜 成都市成华区教育科学研究院附属小 饶丽 学 成都市龙成小学 叶睿 成都市龙成小学 叶睿 成都市龙成小学 叶睿 成都市龙成小学 叶睿 成都市龙成小学 叶睿 成都市龙成小学 叶睿 成都市双林小学 李文江 银都小学紫荆校区 周玉刚 四川成都高新实验小学、四川成都高 黄烨阳 新实验小学、四川成都高新实验小学 成都市泡桐树小学(天府校区) 贾利青、张莉、刘人嘉 成都高新和平学校 赵昌龙、牟利蓉 四川成都高新实验小学 蔡静禁 成都金苹果公学、成都金苹果公学、 王菲 成都金苹果公学 成都金苹果公学、成都金苹果公学、 王菲 成都金苹果公学 四川成都高新实验小学 蔡静禁 四川省成都高新区实验小学 杨建楠 成都市泡桐树小学(天府校区) 向三军、徐双佳、李双玲 成都市泡桐树小学(天府校区) 李双玲、张红、邓皓峰 小学 布雨伞防雨的研究和启示 小学 关于使用和回收塑料袋的调查研究报告 小学 成都双流国际机场净空区鸽患危害及防治专题调研 报告 小学 汽车预测风险导航系统的模拟实验 小学 我的绿豆 小学 探究手摇发电机的奥秘 科学课之对比实验篇 ——观察日常饮料、液体对 小学 牙齿的影响 小学 “池塘里的滑冰者”水黾的探究 小学 绣球花变色记 小学 蝉的观察 小学 液体彩虹 小学 餐具种类对食堂光盘行动的影响 小学 云是怎样产生的? 小学 加糖的泡泡水 小学 肥皂水为什么可以止痒 小学 感受空气力量的探究实验报告 小学 小精灵不渺小——浅析萤火虫与生物多样性 小学 厨余垃圾的家庭式有机肥料转化方法 小学 虎皮鹦鹉繁育期生活习性观察与探究 小学 一种书包背负姿态的数据采集装置 小学 2022年北京冬残奥会颁奖台设计 小学 遥控扫雷机器人可能性验证设计 小学 《焖烧杯里的秘密》 小学 《科学种植——植物观察记录》 小学 《用什么形状的水杯更容易喝水》 小学 乌鸦喝水的原理探究 关于垃圾科学合理分类现状的研究——以“天投北 小学 鑫苑”为例 小学 我对校园里的白鹡鸰的观察研究 小学 我对纸桥承重力的研究 小学 探寻“大肠杆菌画”的奥秘 小学 学生常用物品细菌附着调查及手部细菌清除方法初 探 小学 探究废电池浸出液和模拟酸雨对种子萌发的影响 小学 疫情期间为什么更要勤洗手 成都市教育科学研究院附属学校(成 陈爱宁 都市天府实验学校) 成都高新区尚阳小学 杨世超、刘若晗、黄小媛 成都高新区益州小学 饶桐、刘玉琴、谭雨 成都师范附属小学 敬榕峡 成都市菱窠路小学 李悦 成都市龙舟路小学 谢洁 高新区 叶欣彤 高新区 高新区 锦江区 锦江区 锦江区 熊子鹏 郑茂家 朱含乐 周瑞 张亦弛 锦江区 吴宇杨 成都师范附属小学 黄湘 锦江区 锦江区 锦江区 龙泉驿区 彭州市 青羊区 青羊区 青羊区 青羊区 青羊区 青羊区 青羊区 青羊区 青羊区 青羊区 双流区 双流区 双流区 天府新区 冷明航 张嘉瑞 李欣蕾 杨君楠 刘子琛 郭明昊 杜伯霜 黄湘 张沛洋 陈玺圳 李炳晔 陈炫羽 杨培妍 夏沐祺 史杋 邹颜阳 向元善 王茗懿 刘珏 雷丰宇 成都师范附属小学万科分校 成都师范附属小学 成都市龙王庙正街小学 成都市龙泉驿区东山国际小学 彭州市嘉祥外国语学校 成都市泡桐树小学 成都市泡桐树小学 成都市泡桐树小学 成都市胜西小学 成都市胜西小学 成都市泡桐树小学西区 成都市草堂小学 成都市泡桐树小学西区 成都市泡桐树小学西区 成都青羊实验中学附属小学 成都市双流区蓝港外国语小学 成都市双流区蓝港外国语小学 成都市双流区蓝港外国语小学 成都市华阳中学附属小学 天府新区 刘海川 成都天府新区第一小学 廖晨羽、郭强、张玉春 天府新区 天府新区 温江区 温江区 温江区 温江区 李奕呈 马子茹 黄健轩 雍浚杰 何奎瑾 黄隽涵 成都天府新区第五小学 明越、罗静旭、梅家瑞 黄玉霖 康菊蓉 罗巧英、郝思嘉 刘怡 王礼 成都市温江区光华实验小学校 成都市实验外国语学校附属小学 成都市温江区光华实验小学校 成都市温江区政通小学校 曾佳乐、曾丹 杨剑 邓莉丸 田华 张伟红、陈莉 韩敏、冯平 于映 唐小琴 郑琳 李彩菁 李彩菁 李彩菁 李名流 武侯区 李晨雨、乔品添 小学 浣花溪公园鸟类调查 小学 关于实现植物自动浇水的方法探索 小学 天使之眼 小学 报纸上的发现 小学 小学生早餐的调查报告 小学 探寻成都公园城市建设——青龙湖湿地公园考察报 告 小学 关于小学生使用电话手表的问卷调查报告 小学 疫情前后身边同学近视眼情况调查报告 小学 关于敬老院老人生活状况调查报告 武侯区 武侯区 武侯区 武侯区 武侯区 武侯区 武侯区 武侯区 武侯区 贺忻铃 姚沁言 刘子墨 石翊峰 杨沐芝 冯钰轩 聂子淮 陈仕轩 李金阳 小学 只有绿叶才能进行光合作用吗? 新都区 张雅涵、林诗涵 初中 初中 初中 初中 初中 延时摄影技术在绿豆种子生长观察中的应用 鉴于语音识别初探婴儿啼哭声的意图 光线强度与巴塞尔问题 探索可用SSA证明全等三角形的条件 数控机床G代码后处理辅助程序设计 基于深度学习实现门店营业状态分类探索疫情对门 店营业状态的影响 比例算法对机器人巡线的再优化 弱光胁迫下施加外源油菜内酯素(BR)对金鱼藻光 合作用的影响 基于环保和低成本的快递包装箱设计研究 科创论文——自行车转向提示器 关于双超声精确定位移动物体的研究 白河课题——白河流域等深图的探测与绘制(中期 准备) 中国民间玩具对培养青少年科学探究能力的可行性 研究报告 星点分析的快速实现 集成直流酸雨电池 聚酰胺微塑料对Cr(Ⅵ)的吸附行为研究 中药对印度谷螟的吸引及印度谷螟的家庭大量捕杀 《从数学建模视角思考教学楼的最优安全疏散方案 》 社交媒体时代我国小众文化与粉丝文化的互动研究 高新区 锦江区 锦江区 锦江区 锦江区 张巧怡 谭昊玥 赵俶成 孙浩晰 孟想 成都市武侯实验小学、成都市武侯实 验小学 成都市龙江路小学(南区) 成都市红牌楼小学校 成都市龙江路小学中粮祥云分校 成都市龙江路小学(南区) 成都市武侯科技园小学 成都市龙江路小学 成都市龙江路小学(南区) 成都市磨子桥小学分校 四川大学附属实验小学分校 成都市新都区汉城小学、成都市新都 区汉城小学 四川省成都市石室天府中学 成都嘉祥外国语学校 四川省成都市七中育才学校 成都市锦江区四川师大附属第一实验 中学 四川省成都市七中育才学校 锦江区 李宇轩 成都嘉祥外国语学校 刘丽、杨丁、张千明 青羊区 刘建锋 袁怀炳 双流区 申西博、罗赟轩 天府新区 武侯区 武侯区 罗浩轩 游香凝 张朗瑞 四川省成都市树德实验中学(东区) 四川省成都市双流区东升第一初级中 学 天府第七中学 成都西川中学 成都市武侯区西川实验学校 高新区 高俊翔 电子科技大学实验中学 高新区 李思宏 四川省成都市石室天府中学 市属 市属 市属 市属 赵界为 梁益诚 汪军作 徐在依 刘珂妤、陈宁丹璐 、许笑儒 文雨琳、黄璞文 树德中学(外国语校区) 四川省成都市树德中学 四川省成都市石室中学 四川省成都市树德中学 小学 初中 初中 初中 初中 初中 初中 高中 高中 高中 高中 高中 高中 高中 高中 小水流,大能量---水力发电原理探索 天府新区 天府新区 杨诗研 石俊 张宏敏 王佳、范娟 鲁丽婷 李洪 卢毅、闫薇 石俊 刘瑜 郑丽蓉 张先敏、黄倩、杨富 杨依萱 刘丽、杨丁、杨琴 董永春 李建华 宋春龙、邓伟 彭超、彭超、彭超 徐恒逸 金兵 邓燕 天府第七中学 宋春龙、古天坤、陈仓佚 成都市华阳中学 张晓容、张艺潇 高中 高中 浅析电商平台大型促销节日 对旋转声管声音特性及其影响因素的研究 天府新区 温江区 高中 银叶桉香的奥秘初探 武侯区 高中 中学生对“反转新闻”的接受心理研究 武侯区 高中 “撒克逊碗”计时装置的物理机制 新都区 文浠楸、唐佳妮 林浩然 成都市华阳中学 四川省温江中学 四川省成都市第十二中学(四川大学附 夏雨虹 属中学) 廖英华、张馨予、 四川省成都市第十二中学(四川大学附 肖辰雨 属中学) 林蕴芊 四川省成都市新都一中 张晓容 邓慧文 欧居蓉 吕敏 成都市第36届青少年科技创新大赛获奖名单 青少年科技创新成果(论文)获奖名单 二等奖 组别 项目名称 区(市)县 作者 学校 指导老师 小学 小学 小学 小学 小学 小学 小学 小学 小学 小学 小学 小学 小学 小学 小学 植物对空中湿度、温度、PM2.5的影响 经常喝碳酸饮料对身体的危害 如果一直让水的温度下降,会出现什么情况? 我发现海水不结冰的秘密 会变色的花青素 秘密情报 小学生科学早餐情况调查 3D全息投影成像的奥秘 关于“伞包”的初步创意和思考 关于手机对我们生活影响的小调查 智能冲奶粉装置 植物趋光性实验报告 固体压强 怎样切洋葱不掉眼泪 钟摆摆动一次的时间与哪些因素有关 成都市双林小学御风分校2020学年三、四年级学生 体质健康测试分析报告 花生种子的成长记录 小鸡的孵化 蚯蚓的习性 温度与植物生长之间的关系——以黄豆芽生长为例 成华区 成华区 成华区 成华区 成华区 成华区 成华区 成华区 成华区 成华区 成华区 成华区 成华区 成华区 成华区 佟一鸣 吴柏鹏 李昕蒙 高启淋 秦思危 李想 张迪阳 陈硕嘉 张浩然 任俊熙 曾梓轩 黄馨蕊 赵慧谅 任涵玥 黄金 成都市龙成小学 成都市双林小学 成都市双庆小学校 成都市成华小学校 成都市成华小学校 成都市锦汇东城小学 成都市双水小学校 成都市树德小学 电子科技大学附属实验小学龙潭分校 成都市双林小学 成都市双林小学 成都市双林小学御风分校 成都市成华小学校 成都市杨柳小学校 成都市石室小学 叶睿 徐俊丽 余雨 余伟 余伟 周源 唐薇 蒋倩 张家敏 徐俊丽 米玲 王玉书 余伟 刘博 王燕梅 成华区 蔡奕岑 成都市双林小学御风分校 李晓飞 成华区 成华区 成华区 成华区 王淇萱 常晟睿 罗圣林 王一安 成都市龙潭小学校 电子科技大学附属实验小学 成都市龙潭小学校 成都市建设路小学 小学 小学 小学 小学 小学 周帆 陈丽娟 小学 小学 小学 小学 小学 小学 小学 小学 小学 小学 小学 小学 小学 小学 小学 小学 小学 小学 小学 小学 小学 小学 小学 小学 小学 小学 小学 小学 小学 小学 小学 小学 小学 小学 小学 怎样让WIFI信号变强 交通工具对比+创造 府南河、沙河水质调查 校园用视力管家系统 “筷”乐环保 蘑菇生长的秘密 蚕--丝绸创造者 医用口罩洗过后不能重复使用 会“吃”鸡蛋的瓶子 养蚕记 探究各种形状的物体在空气中的阻力 钢琴是怎样发出不同的声音 探究起泡胶的制作 虹吸排水器 探究油遇水之后持续加热为什么会爆 探究建造房屋为什么不是其它图形 节约用水从我做起——关于水龙头滴水的观测实验 与思考 谨道如法,人水相亲 牛蛙的解剖实验 葱油饼为什么是鼓起来的? 为什么高速公路上的反光设施是黄色? 小学生应该使用手机吗? 小学生电话手表的使用控制 聪明的机器 折叠式无线网络(wi-fi)信号反射器 从“雾里看花”到“云开雾散” 见证生命,用爱心陪伴 神奇的“热胀冷缩” 关于设计与制作学习专注器的研究 可 怕 的 酸 雨----模拟酸雨的危害 关于成都市中小学生对三餐农作物认知情况调查报 告 一体式黑板擦装置 疫情防控常态下,如何正确洗手 不同类型的肥料对于黄瓜苗生长影响的研究 探究纸船不会被火烧坏之谜 成华区 成华区 成华区 成华区 成华区 成华区 成华区 成华区 大邑县 大邑县 东部新区 东部新区 东部新区 东部新区 东部新区 东部新区 乔漪墨 张程诚 王丽为 王科力 闫尊尧 向一然 秦川雧 郭予祺 魏子墨 古峻宇 吴侯君 郑然 汪灵怡 李溪 杨清云 高嘉忆 成都市成华区教育科学研究院附属小 学 成都市杨柳小学校 成都市龙成小学 成都市双林小学 成都市双林小学 成都市龙成小学 成都市龙成小学 成都市石室小学 大邑县银都小学 大邑县王泗镇学校 成都东部新区实验小学 成都东部新区实验小学 成都东部新区实验小学 成都东部新区实验小学 成都东部新区实验小学 成都东部新区实验小学 高文渊、邵清蓉 韦德菊、李琴、田茂月 徐林红、成玲、吴海 韦德菊、李琴、田茂月 徐林红、成玲、吴海 唐慧琳、贾慧、吴海 徐林红、成玲、吴海 高新区 陈映玥 四川成都高新实验小学 杨建楠 高新区 高新区 高新区 高新区 高新区 高新区 高新区 高新区 高新区 高新区 高新区 高新区 高新区 高新区 高新区 高新区 高新区 高新区 赵思言 金琳玲 刘芯宇 殷华泽 王海明 周妙思 谢伶菲 张文昊 朱馨珆 白宸宇 谭林函 罗格 徐宁朗 龚子羿 唐浩然 柏靖彤 吴秋澍 官子竣 成都高新区锦晖小学 成都高新区益州小学 成都七中初中附属小学 成都市泡桐树小学(天府校区) 成都金苹果公学 成都师范银都紫藤小学 成都师范银都小学 成都市泡桐树小学(天府校区) 成都市泡桐树小学(天府校区) 成都七中初中附属小学 成都高新新科学校 电子科技大学实验中学附属小学 成都高新区锦晖小学 成都高新和平学校 成都市泡桐树小学(天府校区) 成都高新区西芯小学 成都市泡桐树小学(天府校区) 成都高新区新光小学 王旭云 刘玉琴、饶桐、谭雨 陈瑶、周正雨、陈萧如 向三军、徐双佳、程思源 唐文风 谢旭蓉、周沁、刘蕊鑫 徐敏 陈莎莎 叶睿 米玲 米玲 叶睿 叶睿 王燕梅 代清华、李双玲、蔡雨晴 向三军、王瑛、付杨 李琼、郭峥、李彦娜 王黎娜 雷静、黄静、冯南宁 章鲲 赵昌龙 王瑛、向三军、付杨 马勤、李登 王俊璐、吕文凡 张利群 小学 小学 小学 小学 洗洁精为什么能把衣服洗干净 应急车道的作用和原理 有趣的分子料理 马桶防溅水攻略 新一代清洁能源在驱动小件mini快递模型车中的比 小学 较初探 小学 筷子“游泳圈”-秒变公私一体筷 小学 不同温度下酸奶pH值的变化 高新区 高新区 高新区 高新区 白可云 韩张美禾 温语洛 黄千迅 成都高新区锦晖小学 成都高新区益州小学 成都高新区益州小学 成都市泡桐树小学(天府校区) 王旭云 刘玉琴、饶桐、谭雨 饶桐、刘玉琴、谭雨 向三军、王瑛、陈洪娟 高新区 黄志恒 成都市泡桐树小学(天府校区) 邓皓峰、张丽梅、孙弘洋 高新区 高新区 李梓畅 焦虹森 小学 高新区 新冠肺炎病毒检测的模拟取样检测 小学 关于如何在野外辨别桑树的研究 小学 醋泡花生米引发的思考 小学 关于市售水晶泥和自制水晶泥中硼元素检测与分析 小学 探秘防滑袜 小学 后共享经济时代发展的研究与思考 小学 隔空灭火-自制灭火器 小学 带有摄影机的高枝摘果器 小学 新型防积水桌面肥皂盒 小学 微生物对人体健康的作用 小学 物体打湿后的附着性 小学 新冠疫情下的小学生心理状况调查 小学 智能饮水机 小学 仓鼠活动量观察小论文 小学 苍蝇为什么不好打? 成都市凤凰小学校 周家玉《牵牛花朝东方开放 小学 吗?》 小学 《米饭是越揉越粘吗?》 小学 冰箱里的异味 小学 紫甘蓝汁遇酸碱物质颜色变化实验 小学 有趣的乌龟 高新区 高新区 高新区 高新区 高新区 高新区 高新区 高新区 高新区 高新区 高新区 金牛区 金牛区 金牛区 金牛区 金牛区 金牛区 金牛区 金牛区 小学 小学生使用手机现状的调查 锦江区 小学 小学 关于成都市小学生开展志愿服务的调查报告 斜拉桥的魅力 锦江区 锦江区 小学 计算机实验室桌椅的摆放问题 锦江区 成都市泡桐树小学(天府校区) 赵颖、程思源、杨恒宇 成都师范银都紫藤小学 陈海霞、李雪、郭红艳 四川成都高新实验小学、四川成都高 侯方圆、刘雨泽 黄烨阳 新实验小学 蒋佳言 四川成都高新实验小学 何芳方 董澄澄 四川成都高新实验小学 何芳方 王希月 四川成都高新实验小学 杨建楠 刘采薇 成都高新新科学校 江惠 李蕴辰 成都师范银都小学 邹建 李哲诚 成都高新区锦晖小学 曾敬 李昀庭 成都墨池书院小学 罗媛、罗媛 丁夕桓 成都市泡桐树小学(天府校区) 向三军、何庆华、周述芳 王俪霏 成都市高新区芳草小学 刘杨梅 何锦琨 成都七中初中附属小学 李琼、郭峥、陈萧如 何江扬 成都师范银都小学 何知义 成都市人民北路小学校华侨城校区 王曦 龙轩 成都市石笋街小学校 魏琪 叶晨语 成都市金泉小学校 韦唯 周家玉 成都市凤凰小学校 陈韵芝 谭汲东 成都市凤凰小学校 陈韵芝 邹朝伊 成都七中八一学校 唐婉琴 李炎鸿 成都市九里堤小学校 张硕 张浈果 成都市人民北路小学校 王俊 四川师范大学附属实验学校、四川师 汪润桐、肖锡泽、 程巧 范大学附属实验学校、四川师范大学 杨蕊西 附属实验学校 王子扬 成都师范附属小学慧源校区 倪钰涵 成都师范附属小学 黄湘 四川师范大学附属实验学校、四川师 陈言、李佳阳、徐 程巧 范大学附属实验学校、四川师范大学 乐阳 附属实验学校 小学 小学 探究不同纸的吸水性能 水的轻重 锦江区 锦江区 小学 探究过桥米线饮食方法的科学依据 锦江区 小学 小学 小学 信息技术给我们的生活带来的改变之观察报告 你不知道的成都地铁 会跳舞的钢丝 锦江区 锦江区 锦江区 小学 生活中对外卖所产生垃圾的处理情况研究报告 锦江区 小学 小学 小学 小学 小学 小学 小学 小学 小学 小学 小学 小学 小学 小学 小学 小学 小学 小学 小学 小学 小学 小学 小学 小学 小学 小学 唐代诗人李白笔下的到底是什么酒 室内墙壁颜色与蚊子密度的关系 《矮向日葵百日草观察日记》 科学观察日记_山大齿猛蚁 运用家庭试验方法探究土豆削皮后变色的原因 不用一砖一瓦盖房子的秘密 空心菜的成长日记 观察日记之孵化篇-孵化小鸭 小苏打和白醋生活妙用原理实验 凤仙花观察日记 马桑蚕成长观察日记 小绿豆变身记 神奇的泡腾片 番茄闹钟——提高注意力的方法探索 纸杯煮鸡蛋 苹果变色的秘密 科学小实验:用紫甘蓝制作酸碱指示剂 我们喝的水健康吗 如何发面 六年级某班上课外辅导班情况调查 《巧开瓶盖》 《糖的溶解实验》 我的科学小实验(漂浮在水面的针) 御风而行的小车 我也能制作飞机 观察热带鱼 锦江区 锦江区 锦江区 锦江区 锦江区 锦江区 锦江区 锦江区 锦江区 锦江区 锦江区 锦江区 锦江区 锦江区 龙泉驿区 龙泉驿区 龙泉驿区 龙泉驿区 龙泉驿区 龙泉驿区 龙泉驿区 龙泉驿区 龙泉驿区 龙泉驿区 龙泉驿区 龙泉驿区 谢肖然 宋雲丞 成都市盐道街小学(东区) 成都市盐道街小学(东区) 四川师范大学附属实验学校、四川师 吴昭睿、赵明辰、 范大学附属实验学校、四川师范大学 杨亚泽 附属实验学校 李雨桐 成都师范附属小学慧源校区 崔语谦 成都市盐道街小学(东区) 刘雨萱 成都师范附属小学慧源校区 四川师范大学附属实验学校、四川师 高擎天、高擎宇 范大学附属实验学校 郑煜涵 四川师范大学附属实验学校 陈宥安 四川师范大学附属实验学校 张骏霖 成都市盐道街小学卓锦分校 王啸 成都市锦官驿小学 方宝翎 成都市盐道街小学(通桂校区) 杨皓夫 成都市盐道街小学(通桂校区) 范诗晨 成都市天涯石小学 胡宇萱 成都师范附属小学 陈雨辰 成都市天涯石小学逸景分校 向航乐 成都市菱窠路小学 杨懿萱 成都市盐道街小学卓锦分校 安雨诺 成都市盐道街小学卓锦分校 白可云 成都市盐道街小学卓锦分校 杨弋丁 成都师范附属小学慧源校区 赵如鸢 龙泉驿区第四小学校 王紫涵 成都市龙泉驿区航天小学校 刘瑀宸 成都市龙泉驿区东山国际小学 魏子博 成都市龙泉驿区第一小学校 何子轩 成都市龙泉驿区第一小学校 刘欣然 成都市龙泉驿区航天小学校 陶竞熙 成都市龙泉驿区实验小学校 叶春屹 成都市龙泉驿区航天小学校 张九九 成都市龙泉驿区十陵小学校 王紫懿 成都市龙泉驿区实验小学校 吴哲旭 龙泉驿区第四小学校 李林承 成都市龙泉驿区东山国际小学 李青青 李青青 王辉、赵丽娟 金娟 王可莹 金娟 汪慧容 汪慧容 汪慧容、肖鲜 程琳育 张凤连、杨惠 伏洋杨 罗明月 彭涛 练兵 刘小秀、潘旭娟 程琳育 潘旭娟 黄晓芹 董颖 黄孝荣 曾佳乐、曾丹 罗家荣 汪舒雅 周德凤 尹岚 黄孝荣 张学蓉 贺怀芬、赖静雯 龚欣、曾佳乐 小学 小学 小学 小学 小学 小学 小学 小学 小学 不会燃烧的纸杯 大象的牙膏 会动的牙签 水的浮力 《净水实验》 揭秘“彩虹水瓶琴”之谜 鸡蛋被吞了 鹌鹑孵化记 郫都区景尚景一期的植物多样性调查研究 龙泉驿区 龙泉驿区 龙泉驿区 龙泉驿区 彭州市 彭州市 彭州市 郫都区 郫都区 范玲语 罗佑宸 朱芷仪 何宇洋 武依雯 曹乐琦 田峻烨 盛凯乐 邹沛洋 小学 关于“泄水杯水位高低与滴水时长的关系”研究 郫都区 余雪铭、方馨媛 小学 论如何提高纸桥的承重能力 郫都区 沈俊宇 小学 关于“水钟滴水孔径大小与滴水时长的关系”研究 郫都区 方馨媛、余雪铭 小学 夜晚强风指示器制作论文 小学 夜晚下雨报警器制作论文 小学 天空的颜色探秘实验报告 小学 从卫星地图上看成都城区的发展变迁 小学 土壤与植物根系的探究与思考 小学 自制非牛顿流体及其研究报告 小学 简易风洞中的机翼 小学 有关成都市盲道建设及占道问题的调查报告 小学 验证草船借箭可行性 小学 城市快速路智能匝道的设计思考 小学 可移动式智能负压核酸检测标本采集舱 小学 有关产生“白色污染”及其影响的调查 小学 《水资源调查报告》 小学 嗅觉和视觉对蚂蚁识路影响的研究报告 小学 种子发芽试验 小学 《探索水的表面张力》 小学 熊猫文创产品的调查与研究 小学 关于成都的轨道交通在城市规划区内的空间布局探 讨 小学 起夜灯制作 小学 论折纸艺术对科技发展的影响 小学 植被对城市环境的影响 小学 质壁分离实验 青白江区 青白江区 青羊区 青羊区 青羊区 青羊区 青羊区 青羊区 青羊区 青羊区 青羊区 青羊区 青羊区 青羊区 青羊区 青羊区 青羊区 青羊区 青羊区 青羊区 青羊区 青羊区 杨博然 陈阳 王嘉许 陈乐轩 董雨涵 周玥琳 宫一铭 高畅 明琳绚 刘瑾宸 芦峻熙 衡诺涵 全若菲 王付昱萱 唐子蓝 江宇粟 颜子涵 毛莞听 庞博文 路竣博 成都市龙泉驿区十陵小学校 成都市龙泉驿区实验小学校 成都市龙泉驿区实验小学校 成都市龙泉驿区航天小学校 彭州市实验小学 彭州市实验小学 四川省彭州市延秀小学 成都市郫都区郫筒二小 成都市郫都区嘉祥外国语学校 成都市郫都区嘉祥外国语学校、成都 市郫都区嘉祥外国语学校 成都市郫都区郫筒二小 成都市郫都区嘉祥外国语学校、成都 市郫都区嘉祥外国语学校 成都市青白江区南开为明学校 成都市青白江区南开为明学校 成都市胜西小学 成都市草堂小学 成都市泡桐树小学西区 成都市泡桐树小学西区 成都市泡桐树小学 成都市胜西小学 成都实验小学明道分校 成都市泡桐树小学西区 成都市泡桐树小学西区 成都市同辉(国际)学校 成都市草堂小学 成都市胜西小学 成都市胜西小学 成都市胜西小学 成都市胜西小学 成都市草堂小学 成都市草堂小学 成都市胜西小学 成都市草堂小学 成都市泡桐树小学 刘启萍 王艳 尹岚 刘寿玉 廖明旭、王博翔、陈蓉 张媛媛、王小波 任莉娟 陈敏、郭方圆 陈敏 任莉娟 陈敏 黄紫君 黄紫君 陈莉、张燕飞 刘杜娟 周阳 邓莉丸 陈莉、何仁平 周小松 刘昱岗、代可心 黄亦可 李思云 王宇、商薿匀 王宇、商嶷匀 陈莉、张燕飞 史学谨、贺英伟 王春、王祺祺 小学 手机表面细菌污染调查及消毒效果评价 小学 面粉炸弹-从电影中发现的科学道理 小学 用乐高零件研究冰粉形成时的弹性变化 小学 蒸汽眼罩、暖手宝和自热米饭发热比较的研究 小学 曼妥思与可乐为什么可以制作出喷泉 小学 探究“奇妙的酸” 小学 “关”注点点滴滴--一个小学生日常用水自我调查 小学 新冠疫情背景下的“地摊经济”调查报告 小学 低碳环保 绿色出行——新能源汽车现状与前景 小学 小羽毛、大作用 小学 用模块化编程还原计算机、手机上的计算器 小学 家兔生活习性的实证性研究 小学 美味的零食真的美味吗 小学 物体表面粗糙度对盐结晶的影响 小学 探秘蚕的一生 小学 昆虫翅膀的奥秘调查研究报告 小学 神奇的种子发芽 小学 一场暴雨引发的科学探究 小学 一天之计在于晨——小学生早上习惯的调查与思考 小学 绿豆生根实验 小学 蚂蚁为什么不会迷路 小学 怎样搭出更稳固的房子 小学 《影子的秘密》 小学 为什么保温杯会保温 小学 蚯蚓的选择 小学 《不同形态的纸飞机对飞行距离的影响》 小学 风象湖公园福寿螺入侵现状调查研究报告 小学 当气球碰到橘子水 青羊区 青羊区 青羊区 青羊区 青羊区 青羊区 青羊区 青羊区 青羊区 青羊区 青羊区 青羊区 青羊区 青羊区 青羊区 青羊区 青羊区 青羊区 青羊区 邛崃市 邛崃市 邛崃市 邛崃市 邛崃市 邛崃市 双流区 双流区 双流区 小学 寻找最佳玫瑰保鲜溶液的试验研究 双流区 小学 小学 小学 小学 神奇的“沉浮子” 人工翅膀 《红薯生长日记》 《花生成长记》 双流区 双流区 双流区 双流区 吴禹增、马毅夫 谭安安 曾云倬 卞思予 袁瑞茜 蔡乐之 丁敬铭月 郎小涵 黄紫涵 朱浩天 陶醉 杨奕韬 陈祺兴 顾益 张采婷 成都市泡桐树小学、成都市泡桐树小 学 成都市泡桐树小学 成都市胜西小学 成都市胜西小学 成都市泡桐树小学西区 成都市胜西小学 成都市泡桐树小学 成都市胜西小学 成都市草堂小学 成都市胜西小学 成都市泡桐树小学西区 成都市草堂小学 成都市泡桐树小学 成都市胜西小学 成都市泡桐树小学 成都市胜西小学 李知柔 成都市草堂小学 连书盎 成都市泡桐树小学西区 孙朗皓 成都市胜西小学 杨雅涵 邛崃市桑园镇南君平小学校 简瑶磊 邛崃市十方堂小学校 王可儿 邛崃市北街小学校 王志远 邛崃市北街小学校 宋宜霏 邛崃市羊安镇泉水小学校 叶荷雨 邛崃市桑园镇南君平小学校 张派杰 成都市双流区蓝港外国语小学 林子昂 成都市双流区棠湖小学 郑梓桐 成都市双流区彭镇小学 成都市双流区怡心第一实验学校、成 方柒涵、李坤航、 都市双流区怡心第一实验学校、成都 蒲思羽 市双流区怡心第一实验学校 罗逸轩 成都市双流区胜利小学 吕相杰 成都市双流区黄水小学 张书涵 成都市双流区蓝港外国语小学 苏子涵 成都市双流区蓝港外国语小学 耿琳涵 雷蕾 韩敏、冯平 冯平 张惠 胡文君、陈莉 雷蕾 冯平、冯晓霞 史学谨 李欣、王春 钟月涵 雷蕾 何仁平、陈莉 耿琳涵 史学谨 马凡美 孙林灵、冯静 李如 宋娥 刘霞 刘霞 王巧凤 李如 李彩菁 邓利 刘建梅、冯瑶 张玲玲 罗德明、何思禹 余薇、王书翔 李彩菁 李彩菁 小学 成都天府新区小区植被调查比较 天府新区 小学 小学 天府五小校内植被调查报告 春蚕养殖的观察 天府新区 天府新区 小学 杯中彩虹实验探究 天府新区 小学 小学 小学 小学 小学 小学 关于小区文明养狗的调查报告 天府新区华阳片区的桥梁调查与模型制作 我对“植被对水体TDS的影响”的调查 非牛顿流体减速带 可乐与牛奶 铅笔芯使锁孔变顺滑的秘密 天府新区 天府新区 天府新区 天府新区 天府新区 天府新区 小学 纸桥承重测试与研究 天府新区 小学 七色花染制方法研究 天府新区 小学 小学 小学 小学 小学 小学 小学 小学 “活蹦乱跳”的跳跳糖探秘 雅安市污水处理厂污水处理调研 调查公路边的树干为什么刷成白色 大型消防救援飞艇概念设计 观察洋葱表皮细胞实验 数字平衡天平的奥秘 成都市鸟类冬夏对比调查报告 成都市普通翠鸟综合调查报告 高粱、拟高粱和高粱与拟高粱的杂交一代F1的对比 观察报告 成都市鹊鸲调查报告 “一心二用”——两心壶的奥秘探索 关于江安河水环境的调查报告 蚕宝宝成长日记 面包发霉实验 光照对蚕生长的影响实验探究 水蒸气的反作用力实验探究 神奇的表面张力 小学课后延时服务调查报告 偏瘫患者进行上肢功能训练的方法改良 大棚环境监控系统 天府新区 天府新区 天府新区 温江区 温江区 温江区 温江区 温江区 小学 小学 小学 小学 小学 小学 小学 小学 小学 小学 小学 小学 成都天府新区第五小学、成都天府新 罗静旭、明越、梅家瑞 区第五小学 陈裕仁 成都天府新区第五小学 明越、罗静旭、朱雨欣 罗戛栩 成都天府新区第五小学 罗静旭、梅家瑞、朱雨欣 成都市华阳中学附属小学、成都市华 朱嘉尧、吴璟桐 张颖 阳中学附属小学 谢孟洲、黄可昕 天府第四中学校、天府第四中学校 莫阳洋 余子萱 成都天府新区第四小学 宋宇翔、黄筱雅 李宸熠 成都天府新区第五小学 罗静旭、明越、朱雨欣 顾培洋 成都天府新区新兴小学 徐燕 敬洋 成都天府新区第五小学 朱雨欣、梅家瑞、罗静旭 王姝涵 成都天府新区第五小学 朱雨欣、明越、梅家瑞 李锦颖、喻佳欣、 成都天府新区籍田小学、成都天府新 赵远航、伍德平 李文誉 区籍田小学、成都天府新区籍田小学 成都市华阳中学附属小学、成都市华 宋佩泓、熊浩诚 许国贞 阳中学附属小学 钱安崧 成都天府新区锦江小学 邓霞、欧阳俊 李瑞鑫 成都天府新区第五小学 明越、韩蓉、申洁 张来鑫 成都天府新区合江小学 卢艳、韦建杰、朱红秀 雍景羽 成都市温江区东大街第一小学校 袁瑞璟 郭思霈 成都市温江区光华实验小学校 蒯海英、赵丽梅 苟润生 成都市温江区嘉祥外国语学校 张梦颖、佟昕阳、肖文达 袁智祥 成都师范学院附属实验学校 严国昊 朱雯鑫 成都师范学院附属实验学校 严国昊 陈子予、貊柏源 温江区 何言 成都市温江区东大街第二小学 刘晓敏 温江区 温江区 温江区 温江区 温江区 温江区 温江区 武侯区 武侯区 武侯区 武侯区 赵欣怡 李胤熙 李天浩 何奎瑾 刘哲和 李蕴宝 王博皓 廖妍心 骆梓骞 黄妍希 沈天铄 成都师范学院附属实验学校 成都市温江区实验学校 成都市温江区鹏程小学校 成都市温江区光华实验小学校 成都市温江区政通小学校 成都市温江区东大街第一小学校 成都市温江区东大街第一小学校 四川大学附属实验小学 成都市太平寺西区小学 成都市红牌楼小学校 成都市锦里小学 严国昊、张建洪 肖佳、徐邦燕、周燕 王惠丽、吴帅东、唐海燕 刘怡 陈亚楠 邱梦瑶 邱梦瑶 郭婉婕 向华玲 张宏敏、王蓉 温成英 小学 小学 小学 小学 小学 小学 小学 小学 小学 小学 小学 小学 小学 小学 小学 小学 小学 小学 小学 小学 小学 小学 小学 小学 小学 小学 小学 小学 小学 小学 小学 小学 小学 小学 小学 府南河水质考察 若尔盖高原野生动物公路伤害调查 回力小风扇 树木落叶的观察 怎样减慢香蕉变黑 探究猪肉解冻的方法 蚕的食性研究 猕猴桃快速成熟的秘密 全国各省新型冠状病毒肺炎首例患者及成都市患者 康复调查报告 不可思议的纸杯烧水 家用电子显示设备照度调查及近视预防的研究 溶液的酸碱性对植物种子萌发的影响 探究水的温度对食盐溶解速度的影响 向舌尖上的浪费说“不” 关注自然 呵护生命 点水成冰的奥秘和原理 内蒙古老家和四川成都“温度高低”对比观测 空气相对湿度与温度的关系研究 探究不同水果对猕猴桃催熟的影响 学校师生饮用水情况调查报告 植物生长的秘密 猕猴桃变身的秘密 记忆中的煤油灯 虹吸现象实验探究报告 苹果“生锈”现象及预防方法探究 坚强的纸张 关于家用汽车后门玻璃窗美观问题的调查报告 鸡蛋脱壳儿计 防走丢老人鞋定位装置设计 谁先到达终点 自制饮水机 鼓膜震动模拟实验 杯子倒立不漏水 小学生肥胖情况与饮食习惯关系的调查 自制电灯 武侯区 武侯区 武侯区 武侯区 武侯区 武侯区 武侯区 武侯区 沈锐峰 沈易知 林以宁 向橹聿 曾毅珲 彭心月 李晨雨 刘羽朵 武侯区 肖愉渝、伍梦瑶 武侯区 武侯区 武侯区 武侯区 武侯区 武侯区 武侯区 武侯区 武侯区 武侯区 武侯区 武侯区 武侯区 武侯区 武侯区 武侯区 武侯区 武侯区 武侯区 武侯区 武侯区 武侯区 武侯区 新都区 新都区 新津区 王星懿 文一涵 黄昊燃 贾宛凝 王春评 牟博雅思 龙美伊 何乐为 曾奕轩 吴忻怡 李洵奕 罗清菡 邱可心 踪舒桐 郝可唯 杨鸿宇 周奕帆 罗弋森 唐祖熠 王淦杰 徐熹乐 张玮琪 左依灵 蒲梓萱 夏怡欣 吴若汐 成都市龙江路小学(南区) 石俊 成都市玉林小学 王兰、张瑾、孙辉 四川大学附属实验小学 郭婉婕 成都市龙江路小学(南区) 鲁丽婷 成都市群星美术学校 杨非 成都市群星美术学校 张秋萍 成都市武侯实验小学 杨诗研 成都市龙江路小学中粮祥云分校 范娟 四川大学附属实验小学、四川大学附 叶宝妮 属实验小学 成都市武顺街小学 侯莉 成都市红牌楼小学校 张宏敏、王蓉 成都市武侯科技园小学 邓莎莎 成都市玉林小学 张瑾、周熠飞、王慧敏 四川大学附属实验小学分校 郑丽蓉 成都市龙江路小学中粮祥云分校 柴顾英 成都市龙江路小学中粮祥云分校 黄瑶 成都市锦官新城小学 蒋辰希 成都市锦官新城小学 蒋辰希 成都市群星美术学校 刘红星 成都市簇桥小学校 陈小刚 北京第二外国语学院成都附属小学 杨伟 成都市武侯科技园小学 叶芹 成都市武侯区西川实验学校 魏丹 成都市棕北小学 李双君 成都市簇桥小学校 陈小刚 成都市武侯区西川实验学校 魏丹 成都市磨子桥小学 杨雯 成都市磨子桥小学 郭斌熙 成都市锦里小学 温成英 四川大学附属实验小学分校 郑丽蓉 成都市磨子桥小学分校 黄艳 成都市玉林小学 张瑾、周熠飞、吕涛 成都市新都区汉城小学 钟爱琳、余佳丽、温刁一 成都市新都香城小学 李瑶 成都市新津区第一小学 秦蓁蓁 小学 豆浆为什么会变成豆腐? 小学 筷子的神力 小学 探究神奇的含羞草 小学 土豆浮起来了 小学 水的表面张力 小学 探究神奇的滑轮 初中 《往水中加盐对水彩的晕染效果研究》 初中 关于四川泡菜亚硝酸盐含量的实验研究 初中 基于共享单车筐内遗忘物品提示装置的设计与研究 初中 家用净水器对“余氯”的过滤作用检测 初中 科学小实验:病毒残余消灭与个人防护 初中 无土栽培与土培对比实验研究 《基于计算分析的成都地铁线路优化研究——以地 初中 铁10号线三期为例》 《利用不同表面活性剂研制环境友好型皂角洗涤液 初中 的研究》 初中 应用音乐疗法治疗抑郁症的综述 初中 红外热线节能照明灯 初中 橘子皮爆气球 初中 吃一桶方便面为什么饿得快 新津区 新津区 新津区 新津区 新津区 新津区 锦江区 武侯区 武侯区 武侯区 高新区 双流区 吴俊廷 王芷颜 杨馨逸 郭海滨 沈雨潞 沈雨萱 刘书妤 丁杨鑫祺 张函茼 钟昊成 万乐言 谢湘 夏卿桓、龙宇航、 文浩名 成都市新津区第一小学 成都市新津区第一小学 成都市新津区第一小学 成都市新津区永商学校 成都市新津区第一小学 成都市新津区第一小学 四川师范大学附属第一实验中学 成都市武侯区西川实验学校 成都西川中学 成都市武侯区西川实验学校 成都七中初中学校 成都双流中学实验学校 倪伟 倪伟 倪伟 张红梅 倪伟 倪伟 李欣欣 文皓 天府第七中学 张瀚兮、陈仓佚 天府新区 何明忆、黄雨荷 天府第七中学、成都棠湖外国语学校 陈仓佚 锦江区 高新区 锦江区 成都市锦江区四川师大附属第一实验 汪紫萱 中学 龙一邹 四川省成都市石室天府中学 李翰林 四川师范大学附属中学 刘钇杉、李蕊芊、 四川省成都市中和中学 陈颖琪 赵梓涵、何海龙 四川大学附属中学西区学校 杨航 成都市武侯区西川实验学校 宗华毅 四川省成都市七中育才学校 林士涵 成都西川中学 秦紫涵、戴筠益、 成都高新和平学校 文瑜杰 马之涵 成都市武侯区西川实验学校 刘歆妤、吴雨时、 天府第七中学 张乐天 张健铭 成都市新都区旃檀中学 陈涛 成都市棕北中学 黄龙士 成都区双流中学实验学校 唐靖雅 成都市武侯区西川实验学校 曹子墨 成都市武侯区西川实验学校 甘一加 成都市武侯区西川实验学校 南俊曦 简阳市简城城北九年义务教育学校 吴仕乾 毛唯 天府新区 高新区 初中 口罩的选择以及现有口罩不足的改进 初中 蚂蚁的“特异功能”观察报告 初中 旅游垃圾分类与成都望江楼公园环境保护关系研究 初中 探究植物叶片的气孔在不同生活环境下的状态 武侯区 武侯区 锦江区 武侯区 初中 地摊经济的发展现状调查报告 高新区 初中 花香宜,环保行 武侯区 初中 基于层次分析法的初中学校综合评价策略研究 天府新区 初中 初中 初中 初中 初中 初中 初中 GRE 汽车产生的物质及原材料对于环境的影响 湿度对彩虹锹甲的生理影响 不同酸碱度对花青素颜色的影响 关于水质测试笔结果与水质关系实验 小麦种子的内在结构与实用效能实验研究 创新电路设计--师生课间呼叫器 新都区 武侯区 双流区 武侯区 武侯区 武侯区 简阳市 文皓 郭建 詹先斌 赵申权 旷小芳 吴冬梅 王潇迎 华婷、宋伟强 朱婧 张宏 李春燕 王友谊 文皓 许飛、刘珍 初中 对昆虫趋光性的研究报告 初中 地铁外的动态广告如何让你的眼睛“欺骗”你的大 脑 初中 探究树上为何刷白漆 初中 围手术期人体生命体征的监测及对症处理 《多因素影响下的评价策略研究——以学校选择为 初中 例》 初中 无糖饮料真的不含糖吗? 初中 碳酸饮料与牛奶的化学作用对人身体的影响研究 初中 从热水的冷却观察热传递现象 初中 智能灌溉太阳能供电系统研究 初中 苏木于不同布料的染色实验 初中 关于高铁声屏障的原理分析 初中 小神奇 大道理 初中 彩虹雨实验探究 初中 防蓝光眼镜能否能减少蓝光对我们眼睛的伤害 初中 台式机与笔记本的结合与优化——手提电脑的设计 初中 洗衣粉是否含磷对生态环境的影响 初中 美西钝口螈再生能力对人类肢体再生的启迪 初中 小吸管大用途 龙泉驿区 东部新区 双流区 锦江区 初中 通过实验探究神奇的科学世界——隐形墨水的产生 初中 《探究色光对绿豆芽的影响》 探究温度的高低是否会影响蚂蚁出行觅食的实验报 初中 告 初中 铜、铁、铝在硫酸铜溶液中会有什么变化 初中 未来智能马桶的研究 高新区 双流区 龙泉驿区 锦江区 武侯区 李昊宇 魏俊 王雪烨、陈韵然 周子钦 瞿综、杨浩睿、方 明博 李陈奕瑾 胡杰瑞 刘缯睿 屈博文 孙倩 王欣瑞 李忠思 胡皓添 范宸玮 施维杰 黄柏熹 杨佳菡 杨星悦、江芯彤 林宸祎、邱翔、吴 芷贤 王卓然 李若彤、吴昱慧 李阔 侯芸灿 陈一帆 初中 双流区 初中 各种因素对种子发芽过程的影响 武侯区 蒋希桐 初中 初中 初中 初中 初中 初中 高中 探究植物的趋光性与光的利用 观察火焰燃烧的特征 木结构桥梁模型制作 植物栽培所需条件 青少年使用电子产品的利与弊 计算机图像识别技术在钢筋计数上的应用研究 山莨菪和马尿泡种子组织培养体系的初建 高新区 锦江区 双流区 双流区 双流区 市属 成华区 张辰雨 王绍垣 刘鑫洋 冯卓 刘偲杰、宋泽宇 郑景恒 宋沐航、黄凯 绝胜糕香满蓉城 天府新区 高新区 武侯区 成华区 双流区 崇州市 高新区 高新区 温江区 武侯区 高新区 武侯区 武侯区 简阳市 成都市龙泉驿区第七中学校 成都东部新区清风乡九义校 成都双流中学实验学校 四川省成都市石室天府中学 陈红 付明杰 罗远洋 天府第七中学 张栩瑞、陈仓佚、王红月 成都高新新源学校 成都市武侯区西川实验学校 成都石室中学初中学校 成都区双流中学实验学校 四川省崇州市崇庆中学 成都高新新源学校 成都七中初中学校 成都市温江区东辰外国语学校 成都市武侯区西川实验学校 四川省成都市玉林中学 成都市武侯区西川实验学校 成都市棕北中学(桐梓林校区) 简阳市实验中学 杜西亚 王友谊 叶鑫鑫 刘曦萍 郭建 蒋芳婷、徐向东 王友谊 卫麓羽、程均 王友谊 薛丁侨 贺鸣茏 成都区双流中学实验学校 张柔、罗远洋 成都七中初中学校 成都双流中学实验学校 成都市龙泉驿区第七中学校 四川省成都市七中育才学校 成都西川中学 四川省成都市第十二中学(四川大学附 属中学) 电子科技大学实验中学 四川省成都市盐道街中学 成都双流中学实验学校 成都双流中学实验学校 成都区双流中学实验学校 树德中学(外国语校区) 列五中学 罗远洋 陈红 廖善虎 吴星星 罗远洋 罗远洋 罗远洋 郭忠超 高中 微距移动的电子测试装置 高新区 高中 低信噪比环境下互相关同步算法的性能仿真研究 高新区 高中 高中 高中 概率与统计在无线信号源定位中的应用 减肥水果糖类含量比较 高温液态合金滴落水中的现象观察 高新区 高新区 高新区 高中 探究“自来水净化器的营销” 高新区 高中 新冠疫情期间大众口罩使用行为调查 高中 金纳米颗粒的制备、修饰及其对癌细胞增强杀伤研 究 对新型氮化镓(GaN)充电器在实际应用中的优势与 高中 局限性的研究 高新区 高新区 高中 高新区 无糖饮料的真相探索 高中 高吸水树脂加压花地坪工艺解决人行道地砖溅水问 题 高中 游泳池卫生常规检验 高中 基于文字提取和自然语言处理技术的弹窗广告识别 系统 高中 用于实体店点餐的餐品推荐系统 网络新闻可信度测评——基于J48决策树算法优化 高中 的BP神经网络模型 高中 基于边际成本定价模型的公共电力成本研究 基于时间序列和多元非线性回归模型的公共电力成 本模型研究 高中 室内无人灯自动开关 高中 盲人导航智能手环 高中 高中 制作微生物燃料电池 高新区 高新区 锦江区 锦江区 锦江区 龙泉驿区 龙泉驿区 龙泉驿区 彭州市 彭州市 彭州市 高中 初步探究课桌及各类文具上微生物的种类及分布 高中 一种新型下水管道 高中 特斯拉线圈研究 高中 通过水热合成利用粉煤灰模拟固化核铯 高中 玻璃表面疏水改性及其应用研究 高中 一种基于光学原理的雨量感应智能窗户及控制方法 高中 蜘蛛的蜕皮与关节再生的探究 郫都区 郫都区 郫都区 市属 市属 市属 市属 高中 市属 表面活性剂对水的表面张力破坏的实验研究 张珵熤、谷璟明、 成都市教育科学研究院附属中学 杨昊霖 冯文杰、张繁简、 成都教育科学研究院附属中学、成都 陈子渊 七中万达学校 王涵 成都市教育科学研究院附属中学 张芷铭、张城浩 四川省成都市玉林中学 马袭洋 四川省成都市石室天府中学 唐心悦、宋锦江林 四川省成都市玉林中学 、张梓桐 唐蕴文 四川省成都市石室天府中学 石渝鸣、袁一焜 成都市教育科学研究院附属中学 李易章、蒋明高、 成都市教育科学研究院附属中学 刘沛林 杨若曦、曲威华、 四川省成都市玉林中学 黄瑞凌 樊诗雨 四川省成都市石室天府中学 王嘉迅 成都七中嘉祥外国语学校 李祖尧 成都七中嘉祥外国语学校 李屿霏 成都七中嘉祥外国语学校 李纯熠、邓安奇、 四川省成都市航天中学校 付尹娇 苏灵、王可欣、王 四川省成都市航天中学校 轶凡 雷铮、杨婧、曾程 四川省成都市航天中学校 果 龙圆杰 四川省彭州中学 周廷竺、李昕憶 四川省彭州中学 尹晓彤、黄思宇、 成都石室白马中学 刘雪凤 王菁、张文豪 四川省成都市郫都区第一中学 赵文静、唐梦婷 四川省成都市郫都区第一中学 杨西萨 四川省成都市郫都区第一中学 易上语 四川省成都市树德中学 邱乙 四川省成都市石室中学 杨童舒 四川省成都市石室中学 罗志杰 四川省成都市树德中学宁夏校区 程麟越、袁帅、唐 四川省成都市树德中学 小欢 李兵、蔡二松 李兵、蔡二松 蔡二松 叶茂 唐嘉、朱凤鸣 王琴 李岱嵘、杨书、张敏 刘宇、蔡二松 李文芹 叶茂 陈磊 杨丁、刘丽 刘丽、杨丁、杨琴 刘丽、杨丁 梁燕、张雨、赵玉华 张雨、祁庸程、梁燕 张雨、祁庸程、赵玉华 梁谋 刘继述 许紫薇 王攀、钟林、李欣 席孝福 王攀 陈松 邓燕 吴兴城 高中 基于生命周期评价的厨余垃圾好氧生物技术改进研 究 高中 花露水成分对水写布颜色改变的影响 高中 如何最优化利用蒸笼 高中 对金堂县河流的防洪治理 市属 市属 市属 市属 高中 市属 基于社会停车问题做出的研究和解析 高中 果皮、淘米水发酵液对植物生长的促进作用 高中 龙睛金鱼镜像测试——鱼类镜像自我识别(MSR) 高中 计算机程序设计在同类问题规律探究中的辅助作用 高中 成都地铁与东京地铁的细节对比研究 高中 雨刮器运行速度的建模分析 高中 以水为媒介的音乐可视化研究 高中 不同溶液对红杉种子萌发及幼苗生长的影响 高中 探究怎样才能阻止苹果呈现棕色的化学反应 高中 关于超声催化非呼吸跃变型水果的研究 高中 地下停车场智能停车系统 市属 市属 市属 市属 市属 市属 市属 市属 市属 市属 高中 关于电风扇扇叶上吸附轻小物体的研究 市属 高中 高中 高中 高中 高中 高中 一种变废为宝的绿色化学方法 对新型环保去油污品的研究 航母气压弹射器的改进研究 基于缺少交流的亲子关系问题分析 剖析近现代女权主义 中学生对于恋爱的看法的探究 市属 市属 双流区 天府新区 天府新区 天府新区 高中 不同张力塔底部对张拉整体式结构受力的影响 天府新区 高中 洋葱外表皮细胞的质壁分离及复原实验中蔗糖溶液 的替换 天府新区 高中 酒精可燃与不可燃的临界浓度的探究 天府新区 高中 可吸入颗粒物对白细胞的影响 高中 不同水质下五刺金鱼藻对蓝绿藻生态作用研究方案 高中 探究不同植物光合作用能力的差异 天府新区 天府新区 天府新区 高中 天府新区 简易装置制备植物消毒剂 高中 基于北斗定位和5G技术的无人车停泊定位设计与实 现 高中 对圆柱绕流过程的流场特征及动力参数的研究 天府新区 温江区 杨子琛 杨柏俨 李晗瑞 冷佳妮 陈南熹、徐睿涵、 杨可菲 魏苧烨 董骏瑶 许庆山 李游 徐逸舟 汪俐耘 杨熙斌 樊鑫淼 张珂瑞 赵林峰 曾泓景、李侑蓬、 胡锦辉 毛佳怡 刘欣瑶 李孟 黄娅、艾翎、李敏 向彬、张稞 王明阳 张佳怡、黄倩茹、 殷舒莉 成都七中高新校区 四川省成都市树德中学宁夏校区 四川省成都市树德中学 四川省成都市树德中学 向瑾娴、陈韵佳 袁梓恒、汪嵩博、 李坤衡 杨丝洁、罗玉莲 陶雨欣 彭吉 李欣旸、向丙辛、 刘力恒 严昊 王瑞 周传斌 四川省成都市树德中学宁夏校区 四川省成都市树德中学 四川省成都市树德中学 树德中学宁夏校区 四川省成都市树德中学 四川省成都市树德中学宁夏校区 四川省成都市树德中学 成都树德中学(宁夏街校区) 树德中学宁夏校区 四川省成都市石室中学 四川省成都市树德中学 谭洪先 肖洋 邓燕 四川省成都市树德中学 四川省成都市树德中学 成都树德中学(宁夏街校区) 四川省双流中学 成都市华阳中学 成都市华阳中学 成都市华阳中学 朱洋、杨冬、伍福琴 龙新明 张晓容 张晓容 成都市华阳中学 张晓容、樊金玉、杨洋 成都市华阳中学 樊金玉、罗翠蓉 成都市华阳中学 张晓荣、罗翠荣 成都市华阳中学 四川省华阳中学 成都市华阳中学 张晓容 张晓蓉 樊金玉、张晓蓉 成都市华阳中学 张晓蓉、罗翠蓉、樊金玉 成都市华阳中学 四川省温江中学 龙新明 邓慧文 高中 旋涡一定是圆形的吗?——对多边形漩涡现象的研 究 高中 在重力场中下落颗粒穿过肥皂膜的动力学研究 高中 磁力搅拌器高速旋转下磁悬浮现象的研究 温江区 温江区 温江区 高中 成都民间技艺传承研究 武侯区 高中 对液膜成泡及分离颗粒性质的研究 新都区 苏展 四川省温江中学 赵钻钥 四川省温江中学 赖圣桃 四川省温江中学 陈姝好、郭袁鑫、 四川省成都市第十二中学(四川大学附 蒋文韬 属中学) 李其玲 四川省成都市新都一中 邓慧文、邱孝兵 邓慧文 邓慧文 阙庶 成都市第36届青少年科技创新大赛获奖名单 青少年科技创新成果(论文)获奖名单 三等奖 组别 项目名称 区(市)县 作者 学校 指导老师 小学 小学 小学 小学 小学 小学 小学 小学 小学 小学 小学 小学 小学 小学 小学 小学 小学 小学 小学 小学 小学 成都沙河水质采集观察分析 小乌龟成长记 探究“负压”原理 悬挂,是否可以让香蕉存放得更久? 面包发霉条件的研究报告 关于疫情前后小学生家务劳动情况的调查报告 自制食用级洗洁液 野外安全智能帐篷 美丽的热气球 负压鱼缸制作报告 胖大海如何“变胖” 神奇的浮沉子 牛奶塑料 哪些蔬菜富含淀粉? 做无毒起泡胶初探 漂浮的鸡蛋 宅家抗疫种平菇的实验研究记录 汽水里的“气”从哪里来 杨柳小学六年级三班读书情况调查报告 公共厕所调查报告 大蒜是如何生长的 成华区 成华区 成华区 成华区 成华区 成华区 成华区 成华区 成华区 成华区 成华区 成华区 成华区 成华区 成华区 成华区 成华区 成华区 成华区 成华区 大邑县 刘添亦 陈美熹 王伊漪 叶浩宇 夏梓浚 郭宇轩 赵洪毅 刘雨辰 卜嘉宸 廖沂婷 李乾乐 杨睿 梁芷衔 李彦辰 易润苗 李启睿 屈小雅 罗皓丹 刘宇晴 吴凤珍 米思杨 成都市建设路小学 成都市龙潭小学校 成都市成华小学校 成都市成华区教育科学研究院附属小 学 成都市双林小学御风分校 成都市双林小学御风分校 成都市建设路小学 成都市成华实验小学校 成都市双林小学 成都市成华实验小学校 成都市龙潭小学校 成都市成华小学校 成都市树德小学 成都市树德小学 成都市二仙桥学校 成都市龙成小学 成都市双林小学御风分校 成都市龙潭小学校 成都市杨柳小学校 成都市熊猫路小学校 大邑县子龙街小学 李娜 张林富 余伟 徐敏 李晓飞 李晓飞 李娜 荣新宇 徐俊丽 曾成根 钟培松 余伟 黄薏梦 黄薏梦 易孝文 叶睿 王玉书 李静 杨婷婷 王琦 唐凤 小学 小学 小学 小学 小学 小学 小学 小学 小学 小学 小学 小学 小学 小学 小学 小学 小学 小学 小学 小学 小学 小学 小学 小学 小学 小学 小学 小学 小学 小学 小学 小学 小学 小学 小学 毛球修剪器 探秘变色的土豆 追光的植物 磷火 探究浮力 花为何有香味 魔镜魔镜告诉我 纸锅烧水 醋和小苏打让瓶塞飞上天 探究纸灯会走的奥秘 飞机为什么是流线型的 冰棍为什么冒烟 探究神奇的热胀冷缩 探究凸透镜如何成像 神奇的胶水 探究农村井水冬暖夏凉的奥秘 解密为什么水龙头的水会断断续续 探究塑料袋不破的秘密 公路为何会留缝 神奇的静电 探究三岔湖主坝为什么不是一条直线 乒乓球为什么被水烫会鼓 鸡蛋钻进牛奶瓶里的奥秘 热胀冷缩的科学实验 牛奶为啥会变酸奶 关于青少年餐饮浪费现象探究 自制豆芽机 磁悬浮的小制作 吸烟有害健康 火山喷发 “无字天书”的奥秘 ——探究花青素的显色原理 让苹果“青春永驻” 探究光对蒜苗生长的影响 运动后体重会下降的小秘密 肺是怎么工作的? 大邑县 大邑县 大邑县 大邑县 东部新区 东部新区 东部新区 东部新区 东部新区 东部新区 东部新区 东部新区 东部新区 东部新区 东部新区 东部新区 东部新区 东部新区 东部新区 东部新区 东部新区 东部新区 东部新区 东部新区 东部新区 东部新区 东部新区 东部新区 东部新区 东部新区 高新区 高新区 高新区 高新区 高新区 潘睿怡 王思棋 王景浩 廖珏琳 陈吉 陈培文 汪馨怡 刘宸希 刘鹏旭 孟子涵 蒋宛谕 苏佳慧 蔡文杰 苏思臣 毛雅婷 熊睿涵 陈绮 骆俊朋 鄢雨露 张艺译 田何林 汪晨曦 张钧浩 蔡欣容 曾文杰 袁铄懿 严熙浩洁 孙芯怡 陈立 刘颖秋 焦昀霖 任奕诺 陈奕漾 徐梓涵 周凌翰 大邑县南街小学 大邑县银都小学 大邑县南街小学 大邑县安仁镇学校 成都东部新区实验小学 成都东部新区实验小学 成都东部新区实验小学 成都东部新区实验小学 成都东部新区实验小学 成都东部新区实验小学 成都东部新区实验小学 成都东部新区实验小学 成都东部新区实验小学 成都东部新区实验小学 成都东部新区实验小学 成都东部新区实验小学 成都东部新区实验小学 成都东部新区实验小学 成都东部新区实验小学 成都东部新区实验小学 成都东部新区实验小学 成都东部新区贾家小学 成都东部新区贾家小学 成都东部新区贾家小学 成都东部新区贾家小学 成都东部新区实验小学 成都东部新区实验小学 成都东部新区实验小学 简阳市草池镇中心小学 成都东部新区实验小学 四川省成都市石室天府中学附属小学 成都七中初中附属小学 成都高新新科学校 成都高新新城学校 成都高新区锦城小学 孙琳 苟忠琼 宛俊民 李俊文、田茂月、樊德香 李俊文、田茂月、樊德香 陈慧芬、胡建、李俊文 田茂月、周安秀、廖东 田茂月、阳艳、林聪明 田茂月、阳艳、林聪明 李俊文、田茂月、樊德香 李俊文、田茂月、樊德香 徐林红、成玲、吴海 唐慧琳、贾慧、吴海 汪静、苟文清、李俊文 汪霞、陈莉、李俊文 黄霞、吴海、曾安香 黄霞、吴海、曾安香 田茂月、毛丽平、刘玲 田茂月、毛丽平、刘玲 田茂月、陶崇富、李俊文 李芳、韦静、徐子娟 郑英华、徐文丽、刘力 付海会、徐子娟、韦静 李成辉、徐子娟、刘力 汪静、苟文清、袁希睿 韦德菊、李琴、田茂月 韦德菊、李琴、田茂月 陈勇、张全文 陈慧芬、胡建、李俊文 杨巧、李定钊、徐丽 游轻寒、周正雨、李彦娜 王华娟 涂婧 李雪梅、李雪梅 小学 奈丸结晶实验研究 小学 清水、盐水、糖水的凝固实验 小学 油的奥秘 小学 让小学生远离“共享单车之祸” 小学 科学防疫有方法 小学 儿童智能电话手表使用状况调查 小学 小学生如何高效地节约粮食 小学 对成都市平衡车安全性的调查 小学 通风拖鞋 关于抛硬币的思考—概率与统计方法在生活中的应 小学 用 小学 桥梁承重结构特点研究 小学 AI智能车位锁 小学 防丢橡皮 小学 走进微小世界 小学 探究不同过滤材料对污水过滤效果的影响 小学 智能手机用户级能效提升的方法研究 小学 炒花生背后的科学 小学 探究美丽的极光 小学 绿豆芽成长记 小学 《皮鞋为什么越擦越亮》 小学 芙蓉花为什么会变色 小学 运动后体重会下降的小秘密 小学 《水果有磁性吗?》 小学 空气大力士 小学 科学小论文——神奇的洗涤剂 小学 "肥皂”“洗衣液”那些事 小学 影子的秘密 小学 农村生活垃圾的分类及处理调查报告 小学 绿豆种子发芽需要哪些条件? 小学 预言魔术揭秘——关于数字“9”的数学奥秘 小学 科学中的力量比赛 小学 《固体胶和液体胶》 小学 环保智能公共垃圾箱 小学 水龙头的秘密 小学 《“分类垃圾,美丽环境”科技实践活动报告》 高新区 高新区 高新区 高新区 高新区 高新区 高新区 高新区 高新区 高新区 高新区 高新区 高新区 高新区 高新区 高新区 高新区 高新区 高新区 简阳市 简阳市 简阳市 简阳市 简阳市 简阳市 金牛区 金牛区 金牛区 金牛区 金牛区 金牛区 金牛区 金牛区 金牛区 金牛区 李思睿 杨展翔 陈若西 韩绮悦 叶虹妤 杨梓岑 李玉瑶 刁宇洋 肖依诺 杨佳琪 张雨果 李沁瞳 陈桢南 杨涵焱 岳呈宇 段欣懿 孔梓博 罗诗怡 李文博 何怡林 鄢子芸 何娜 张艺竞 刘怡恋 彭誉峰 易逍旸 赵庭兰 竹家巍 付静怡 杨子乐 孙蔚 陈柯欣 孙蕊 饶嘉庆 易清玲 成都高新顺江学校 成都市泡桐树小学(天府校区) 成都高新区新光小学 成都师范银都小学 成都高新新科学校 成都师范银都小学 成都市高新区行知小学 成都市泡桐树小学(天府校区) 成都高新新城学校 成都高新区锦晖小学 成都高新顺江学校 成都市泡桐树小学(天府校区) 成都市泡桐树小学(天府校区) 成都七中初中附属小学 成都高新区尚阳小学 成都市高新区芳草小学 成都市高新区芳草小学 成都高新新华学校 成都高新滨河学校 简阳市镇金镇赵家小学 简阳市实验中学 简阳市明德小学 简阳市解放九年义务教育学校 简阳市解放九年义务教育学校 成都市解放北路第一小学校 成都市光荣小学校 成都市马鞍小学校 成都市五丁小学校 成都七中八一学校 成都七中八一学校 成都市凤凰小学校 成都市全兴小学校 成都市全兴小学校 成都市凤凰小学校 王嘉运 李双玲、李媛、刘人嘉 文燕奇 邹建、余小芳、汝晓清 王华娟 邹建 陈丽娟 向三军、蓝小铀、王俊璐 罗欣 王旭云 王嘉运 邓皓峰、周强、孙弘洋 王婷、王俊璐、杨恒宇 陈瑶、游轻寒、高婷 张小迪、刘若晗、杨世超 刘杨梅 刘杨梅 吴晓兰、周云露、姚尧 姚芙蓉 何丽萍 谢仁智 李玉琴 钟琳 雷雪莲 江贇 刘洋 姚报春 唐婉琴 唐婉琴 陈韵芝 杨燕 马燕兰 陈韵芝 小学 小学 小学 小学 小学 小学 小学 小学 小学 小学 小学 小学 小学 小学 小学 小学 小学 小学 小学 小学 小学 小学 金牛区 金牛区 金牛区 金牛区 金牛区 金牛区 金牛区 金牛区 金牛区 锦江区 锦江区 锦江区 锦江区 锦江区 锦江区 锦江区 锦江区 锦江区 锦江区 锦江区 锦江区 锦江区 马伟棚 蓝晨轩 白钰诚 唐若恬 纪芯妍 杨芸懿 徐煜皓 王薇 李曦文 张琪旻 钟承佑 李相宜 邹奕骋 梁曦月 袁宸宇 刘又嘉 王子睿 史若芊 仲湘玲 陈泳熹 何宜轩 龙曜天 成都市马鞍小学校 成都市金泉小学校 成都市石笋街小学校(新区) 成都市五丁小学校 成都市张家巷小学校 成都市解放北路第一小学校 成都市人民北路小学校 成都市人民北路小学校 成都市光荣小学校 成都师范附属小学万科分校 成都市龙舟路小学 成都市龙王庙正街小学 成都师范附属小学 成都市盐道街小学(通桂校区) 成都师范附属小学 成都师范附属小学 成都市锦官驿小学 成都师范附属小学 成都市菱窠路小学 成都市盐道街小学卓锦分校 成都市盐道街小学(东区) 成都市盐道街小学(东区) 锦江区 吴鹤漪 成都市菱窠路小学 小学 小学 小学 小学 洗衣服用什么好? 我们能否拥有艾莎女王“点水成冰”的魔法 纸飞机的奥妙 天冷了怎样让孔雀鱼正常繁殖 水珠不会浸在荷叶里的秘密 金鱼尾鳍自愈能力的实验 3D角色全息投影的秘密 肥皂去污之谜 鸡蛋浮起来了 坚强的蚕宝宝 观察研究水生生物的生存环境 绿豆芽发芽对比试验 种绿豆芽的观察实验 烂豆芽的原因和防治 蒜苗的生长实验报告 蘑菇成长的观察记录 豆芽生长记 第一次发绿豆芽 养蚕观察记录 萌鸡萌鸭孵化记 如何让水自动跑进另一个水杯 纸飞机的秘密 成都市锦江区小学三年级学生睡眠情况调查及睡眠 质量改善途径研究 鸡蛋保护器的奥秘 电子孵化器孵小鸡 凤仙花观察记录 养蚕观察记录 锦江区 锦江区 锦江区 锦江区 王怡然 宁祥崧 蒋河懿 张成逸 小学 超市物品价格调查 锦江区 小学 小学 会快速运动的植物 植物的一生 锦江区 锦江区 小学 锦江区部分社区购物行为分析 锦江区 小学 成都市龙舟路小学 成都市菱窠路小学 成都市菱窠路小学 成都市菱窠路小学 四川师范大学附属实验学校、四川师 苏欣怡、倪垚睿、 范大学附属实验学校、四川师范大学 夏圣芸 附属实验学校 张文曦 成都师范附属小学慧源校区 傅悦恒 成都市和平街小学 四川师范大学附属实验学校、四川师 李焦钥、雷孜叶、 范大学附属实验学校、四川师范大学 黄诗涵 附属实验学校 孙晓莉 韦唯 姚报春 叶娟 王丽萍 刘洋 杜伯霜 毛媛媛 黄湘 凌梅喻 杨玲 晋诚 张凤连、杨惠 黄湘 程琳育 李青青 李青青 李林珂 谢洁 练兵 练兵 练兵 程巧 金娟 黄跃宇、刘茹 程巧 小学 科学实验 无字天书 小学 蜗牛宝宝 小学 成都青少年科技教育和科普活动服务平台操作演示 小学 空气灭火 小学 鸡枞菌的奇妙生长 小学 神奇的“火山喷发”实验 小学 食物对黄粉虫生长发育研究 小学 养蚕记 小学 《向日葵成长记》 小学 绿豆宝宝在变身 小学 塑料瓶去哪儿了? 小学 科学小论文——小葱快快长 小学 植物栽培观察日记 小学 探究苹果催熟作用 小学 美丽的“光路” 小学 杠杆的秘密 小学 神奇的火焰 小学 彩虹的秘密 小学 撞出的毛细现象 小学 会跳舞的葡萄干 小学 水的千变万化 小学 神奇的科学实验 小学 观察日记——姜的生长 小学 泸溪河,我的母亲河 小学 木桥 小学 潜望世界 小学 科技小论文 小学 小白鞋如何从黑变白 小学 我的养蚕记 小学 会“跳舞”的声音 处理洪水冲击后遗留下的垃圾对环境的危害及处理 小学 方案 小学 神奇的风扇去污法 小学 神奇纸锅 小学 寻“蘑”之旅 小学 水的浮力 锦江区 锦江区 锦江区 锦江区 锦江区 锦江区 锦江区 锦江区 锦江区 锦江区 龙泉驿区 龙泉驿区 龙泉驿区 龙泉驿区 龙泉驿区 龙泉驿区 龙泉驿区 龙泉驿区 龙泉驿区 龙泉驿区 龙泉驿区 龙泉驿区 龙泉驿区 龙泉驿区 龙泉驿区 龙泉驿区 龙泉驿区 龙泉驿区 龙泉驿区 龙泉驿区 龙泉驿区 龙泉驿区 龙泉驿区 龙泉驿区 龙泉驿区 许均扬 张子昊 张瑞萱 张雨琪 张瑞馨 苏奕筱 高思雅 张曦文 何锦泽 陈义皓 姚馨语 李雨泽 余天润 李彬蔚 杨舒涵 黄进修 雷颜溪 彭思源 王婧贤 熊一滟 罗文泽 何思蕊 陈林梦妮 崔雅萱 赵思雨 邓文雯 张珂嘉 刘奕林 李瀛煦 田博涵 邹紫涵 门嘉熙 张妍熙 王熙瑜 曾罗妍颖 成都市锦江区大观小学校 成都市盐道街小学(通桂校区) 成都师范附属小学万科分校 成都市天涯石小学逸景分校 成都市锦江区祝国寺小学 成都市盐道街小学(通桂校区) 成都嘉祥外国语学校 成都市盐道街小学得胜分校 成都市盐道街小学卓锦分校 成都市东光实验小学 成都市龙泉驿区四川师大附属上东小 学 成都市龙泉驿区实验小学校 成都市龙泉驿区向阳桥小学 成都市龙泉驿区东山国际小学 成都市龙泉驿区第一小学校 成都市龙泉驿区第一小学校 成都市龙泉驿区航天小学校 成都市龙泉驿区航天小学校 成都市龙泉驿区航天小学校 成都市龙泉驿区航天小学校 成都市龙泉驿区东山国际小学 成都市龙泉驿区十陵小学校 龙泉驿区第四小学校 龙泉驿区第四小学校 龙泉驿区第四小学校 龙泉驿区第四小学校 成都市龙泉驿区第二小学校 成都市龙泉驿区实验小学校 成都市龙泉驿区洪河小学校 成都市龙泉驿区实验小学校 成都市龙泉驿区实验小学校 成都市龙泉驿区实验小学校 龙泉驿区实验小学 成都市龙泉驿区东山国际小学 成都市龙泉驿区第一小学校 陈道雪 万丹 杜伯霜 谭琪 叶占萍 伏洋杨 刘婷 程琳育、刘小秀 宋春兰 李桐 胡蓉 邓鹏鹄 曾佳乐、康凯 李发忠 李发忠 古德秀 刘寿玉 黄孝荣 朱婷婷 龚欣、曾佳乐 杨芝丹 罗雪梅 张世银 唐萍 陈杨、谭利 彭江 张云华 任玲 陈艳荣 李应芬 张云华 蔡毓敏 龚欣、曾佳乐 何春梅 小学 小学 小学 小学 小学 小学 小学 小学 小学 小学 小学 小学 小学 小学 魔幻洗洁精 水压与虹吸小实验 风筝制作记 油污的秘密 《我的神奇鸡蛋》 了解大气压 娇气的水仙 会变色的土豆 有趣的大气压力 不用吹就能变大的气球 绿豆对比实验 生活中有趣的现象——酸和碱 当生鸡蛋壳遇上可乐和白醋 疏通下水道的小妙方 龙泉驿区 龙泉驿区 龙泉驿区 龙泉驿区 龙泉驿区 龙泉驿区 龙泉驿区 龙泉驿区 龙泉驿区 龙泉驿区 龙泉驿区 龙泉驿区 龙泉驿区 龙泉驿区 易芮安 曾湘婷 张子杰 汪子淏 周天乐 史佳懿 刘梓伊 许平乐 余柯柔 陈柯宇 谢诗雨 张时鸣 王瑞涵 钟承孝 小学 含羞草之科学探秘 龙泉驿区 伍阳俊逸、范韦 龙泉驿区 龙泉驿区 龙泉驿区 龙泉驿区 龙泉驿区 龙泉驿区 龙泉驿区 龙泉驿区 龙泉驿区 龙泉驿区 龙泉驿区 龙泉驿区 龙泉驿区 龙泉驿区 龙泉驿区 龙泉驿区 龙泉驿区 龙泉驿区 龙泉驿区 龙泉驿区 菅瑞菲 李紫萱 李一 肖诗绮 杨东浩 任梓沐 邓诗泉 钟心露 刘应栋 李怡珂 赵欣语 陈佳瑶 彭梓熙 王梓恒 唐尧朗杰 雷濬嶂 曾崟崯 戴子程 杨运年 梁逸琳 小学 漂浮的鸡蛋 小学 莲子羹里的秘密 小学 煮熟的鸡蛋钻进瓶子里 小学 成都市第36届青少年科技创新大赛——神奇的彩虹 小学 关于眼睛的调查 小学 醋对花卉的影响 小学 糖水浇三角梅 小学 探索绿豆发芽需要水吗 小学 蚯蚓再生的秘密 小学 牙膏的妙用 小学 《纸上的彩虹》 小学 风车 小学 航天小学周围堵车研究报告 小学 自动“抽水机” 小学 奇妙水龙卷 小学 神奇的泡泡 小学 神奇的魔法泡沫 小学 隐形的墨水 小学 关于电瓶车头盔佩戴情况的调查 小学 倒牛奶小妙招 龙泉驿区实验小学 成都市龙泉驿区实验小学校 龙泉驿区第四小学校 成都市龙泉驿区实验小学校 成都市龙泉驿区实验小学校 龙泉驿区实验小学 成都市龙泉驿区航天小学校 成都市龙泉驿区第一小学校 成都市龙泉驿区第一小学校 成都市龙泉驿区第一小学校 成都市龙泉驿区柏合九年制学校 成都市龙泉驿区第一小学校 成都市龙泉驿区实验小学校 成都市龙泉驿区实验小学校 成都市龙泉驿区大面小学校、成都市 龙泉驿区大面小学校 成都市龙泉驿区实验小学校 成都市龙泉驿区实验小学校 成都市龙泉驿区实验小学校 成都市龙泉驿区实验小学校 龙泉驿区第四小学校 成都市龙泉驿区第二小学校 成都市龙泉驿区十陵小学校 成都市龙泉驿区龙井小学校 成都市龙泉驿区实验小学校 成都市龙泉驿区航天小学校 成都市龙泉驿区实验小学校 龙泉驿区第四小学校 成都市龙泉驿区实验小学校 成都市龙泉驿区实验小学校 龙泉驿区第四小学校 成都市龙泉驿区实验小学校 成都市龙泉驿区实验小学校 成都市龙泉驿区洪河小学校 成都市龙泉驿区实验小学校 彭秋 尹岚 张世银 叶虹 苏大芳 郭红霞 李发忠 何春梅 何春梅 陈亮 何春梅 叶远琦 尹岚 谢青秀 李翠 苏大芳 马瑛 汪小琦 董颖 程娟 李英 蔡丹 李应芬 李盼盼 董颖 周德凤 汪小琦 蔡毓敏 陈邹 胡李丽 尹岚 薛雁 叶虹 小学 小学 小学 小学 小学 小学 小学 小学 小学 小学 小学 小学 小学 小学 小学 小学 小学 小学 小学 小学 小学 小学 小学 小学 小学 小学 小学 小学 小学 小学 小学 小学 小学 小学 小学 智能背背佳 纸杯也能烧开水 冰块在盐水中和清水中谁融化得快 《易拉罐散步》 降落伞 神奇的瓦楞纸 十五的月亮十六圆 我发现了蚕宝宝的秘密 纸桥承重能力的研究 关于中铁瑞景茗城小区植物多样性的调查研究 树干为什么是圆的 “人工智能”到我家 旋转木马研究 可乐喷泉的秘密 有趣的发现 蚂蚁为什么能靠触角传递信息 家养豆芽的种植和发芽的过程 鸡为什么吃沙子 纸蝴蝶之谜 探究酵母的神奇作用 吃葡萄不吐葡萄皮 要下雨时蜻蜓为什么要低飞 东坡小学垃圾来源及其处理调查研究 苹果为什么会“生锈”呢? 《被蚊子咬了,抹唾液真的能止痒吗?》 为什么蝉会“唱歌” 城市中两种环境的鸟类调查与分析 雪山之王 浅谈自制糖水冰棍的效率及影响因素分析 声声不息——声音传递信息 晾袜子在室内还是室外干得快 《橡皮擦的魔力》 新冠肺炎疫情下五年级小学生居家学习情况调查 2020年暑假胜西小学五年级三班同学用眼调查报 告 血友病儿童暑期生活调查报告 龙泉驿区 龙泉驿区 龙泉驿区 龙泉驿区 龙泉驿区 龙泉驿区 彭州市 郫都区 郫都区 郫都区 郫都区 郫都区 蒲江县 蒲江县 蒲江县 蒲江县 蒲江县 蒲江县 蒲江县 青白江区 青白江区 青白江区 青羊区 青羊区 青羊区 青羊区 青羊区 青羊区 青羊区 青羊区 青羊区 青羊区 青羊区 青羊区 青羊区 席翼轩 邓欣蕾 何雨阳 闵伊键 田懿轩 刘雨婷 王梓阳 刘天琦 朱泓亮 吴艾米 欧阳梓琳 张谨萱 曹瑾誉 张皓凌 何诗蕊 郑梓萱 张海溢 李艺婷 孙林富 杨雨婷 罗雨馨 张敏 崔芮溪 尹玺越 汪星辰 贾子钰 何易洲 王鹏凯 何佳熹 肖景元 刘今培 方泓超 李安平 敬梓萱 彭苏宜 成都市龙泉驿区航天小学校 成都市龙泉驿区实验小学校 成都市龙泉驿区第一小学校 成都市龙泉驿区第二小学校 龙泉驿区第四小学校 成都市龙泉驿区十陵小学校 成都市郫都区嘉祥外国语学校 成都市郫都区郫筒二小 成都市郫都区嘉祥外国语学校 成都市郫都区郫筒二小 成都市郫都区红光思源学校 成都实验外国语学校 蒲江县实验外国语小学 蒲江县西南小学 蒲江县甘溪镇九年制学校 蒲江县大塘镇九年制学校 蒲江县甘溪镇九年制学校 蒲江县甘溪镇九年制学校 成都市青白江区南开为明学校 成都市青白江区城厢学校 成都市青白江区清泉学校 成都市东坡小学 成都市草堂小学西区分校 成都市实验小学 成都市实验小学 成都市草堂小学 成都市草堂小学 成都市东城根街小学 成都市实验小学 成都市泡桐树小学 成都市实验小学 成都市胜西小学 成都市胜西小学 成都市胜西小学 贺敏 邹宏 王建 郑杨 董颖 曾小莲 钟泽玉 陈敏 任莉娟 陈敏、郭方圆 韩微 彭丽娟 赵成霞 周庆 付分 黄瑶 李和静 陈绍宇 王剑、王剑 易东华 胡雯媚 李孟朦 赖佳 李亚芹 邓莉丸 毛玉环 冯平、郑华 陈莉、余梦洁 韩敏、冯平 小学 小学 小学 小学 小学 小学 小学 小学 小学 小学 小学 小学 小学 小学 小学 小学 小学 小学 小学 小学 小学 小学 小学 小学 小学 小学 小学 小学 小学 小学 小学 小学 小学 小学 小学 使用公筷健康全家 针对小学五年级学生打游戏的现况局部调查报告 快递包裹存放与取拿问题的调查与研究 《利用光的反射定律设计一本视觉书》 《新型宠物投食碗》 汽车转弯的“幕后”——差速器 利用智能摄像头减少学校课间伤害事故 放置容量瓶的吸盘卡槽 扫地机器人是怎么绕过路上的障碍物的? 认识"无线电波" 探秘交通信号灯 《一种藜麦果蔬酵素的配方及制备方法》 城市内涝的原因及防范 我们会有粮食危机吗? 小白鞋洗后在阳光下暴晒会泛黄 近年峨眉山七里坪生态变化调查 论空气炸锅的原理 关于将磁力转换为机械能的研究 为什么雨点会有拖影 《温室效应对环境的影响》 《小小天气预报员-含羞草》 羽毛球为什么会转向? 雪糕为什么会黏住舌头 关于《疫情下国情社情分析》的调研报告 身边转基因食品的调查与研究报告 《桥形状的秘密》 电子产品对当代小学生的利与弊 纸飞机高飞的秘密 神奇的墨水 《为什么“死海”里不会游泳的人不会下沉》 《老旧小区排水系统调查报告》 有趣的“静电现象” 铁锈的故事 《神奇的大气压强》 红绿灯中的数学问题 青羊区 青羊区 青羊区 青羊区 青羊区 青羊区 青羊区 青羊区 青羊区 青羊区 青羊区 青羊区 青羊区 青羊区 青羊区 青羊区 青羊区 青羊区 青羊区 青羊区 青羊区 青羊区 青羊区 青羊区 青羊区 青羊区 青羊区 青羊区 青羊区 青羊区 青羊区 青羊区 青羊区 青羊区 青羊区 王子歌 周谈一 唐子篷 王奕莀 许留源 姚任飞 肖尧 李诗洋 王曈宇 康安琪 李昕瞳 陈思睿 杜欣恬 刘奕然 李籽涵 张娌铱 彭一倍 邹易霏 陈玺宇 李欣怡 王问昰 赵佳妮 梅家铭 罗梓菡 钟瑞捷 徐颢烊 陈柯米 成都市胜西小学 成都市草堂小学 成都市胜西小学 成都市泡桐树小学西区 成都市实验小学战旗分校 成都市草堂小学西区分校 成都市草堂小学西区分校 成都市草堂小学 成都市草堂小学 成都市草堂小学 成都市泡桐树小学 成都市草堂小学 成都市草堂小学 同辉(国际)学校 成都市实验小学 成都市草堂小学 成都市草堂小学 成都市草堂小学 成都市泡桐树小学 成都市同辉(国际)学校 成都市草堂小学 成都市胜西小学 成都市草堂小学 成都市胜西小学 成都市胜西小学 成都市草堂小学 成都市同辉(国际)学校 成都市胜西小学 成都市泡桐树小学西区分校 成都市胜西小学 成都市胜西小学 成都市胜西小学 成都市草堂小学 成都市草堂小学 成都市泡桐树小学西区分校 王琪琪、冯平 陈莉、周兰 张小玲 曹采云 胡雯媚 田华 李孟朦 李莉 胡文君、陈莉 胡文君、陈莉 张伟红、陈莉 李莉 王春、王祺祺 王宇 王宇、马高丽 钟月函 小学 有关家用面粉选择和食用方法的调查分析 小学 关于公筷公勺推行过程中的一些配套环节的思考和 建议 小学 用Scratch制作球球大作战的方法 小学 实用而新奇的行李箱 小学 老鼠为什么怕猫 小学 声音是如何产生的 小学 蜻蜓飞行与天气预报 小学 生锈的铁 小学 《被神秘气体催熟的猕猴桃》 小学 鸡蛋浮起来了 小学 《压力差》 小学 纸盖住水杯倒立为什么水不会流出来 小学 枫叶的秘密 小学 人造琥珀的制作探索 小学 自制手工皂 小学 绿豆盆栽成长记 小学 神奇的肥皂泡 小学 神奇的摩擦力 小学 肥皂为什么能去掉污渍 小学 如何产生静电 小学 鸡蛋为什么会浮起来 小学 盐有浮力吗 小学 《水滴为什么是圆的》 小学 不会碎的鸡蛋 小学 《 纸巾吸水的原理 》 小学 如何制作一个包子 小学 眼镜起雾的秘密 小学 毛巾捂盖快速焖饭 小学 模拟火山爆发 小学 南君平乡的白鳝泥 小学 土豆变色记 小学 盐立鸡蛋 小学 神秘魔法——静电 《双流区凤翔湖公园湿地水生植物多样性及分布考 小学 察报告》 小学 青香蕉成熟观察日记 青羊区 青羊区 青羊区 青羊区 邛崃市 邛崃市 邛崃市 邛崃市 邛崃市 邛崃市 邛崃市 邛崃市 邛崃市 邛崃市 邛崃市 邛崃市 邛崃市 邛崃市 邛崃市 邛崃市 邛崃市 邛崃市 邛崃市 邛崃市 邛崃市 邛崃市 邛崃市 邛崃市 邛崃市 邛崃市 邛崃市 邛崃市 邛崃市 双流区 双流区 刘亦城 成都市胜西小学 张启晨 成都市实验小学 王炳元 成都市泡桐树小学西区 严若裴 成都市草堂小学 王语嫣 邛崃市宝林镇中心小学校 丁科仁 邛崃市北街小学校 谭程潇 邛崃市牟礼镇中心小学校 陈柯伊 邛崃市北街小学校 伍轩锐 邛崃市北街小学校 李欣妤 邛崃市高何镇中心小学校 毛宇涵 邛崃市北街小学校 宋知谕 邛崃市羊安镇泉水小学校 范锐涵 邛崃市临邛镇南街小学校 周悦航 邛崃市北街小学校 何梓涵 邛崃市北街小学校 陈昊宇 邛崃市桑园镇南君平小学校 杨皓骞 邛崃市北街小学校 封霁芮 汪辰希 邛崃市羊安镇泉水小学校 封玉娇 邛崃市十方堂小学校 高诗懿 邛崃市北街小学校 李蕊惜 邛崃市十方堂小学校 高健修 邛崃市北街小学校 张涵茜 邛崃市临邛镇南街小学校 胡余垚 邛崃市北街小学校 王悦绮 邛崃市十方堂小学校 刘梦琪 邛崃市北街小学校 杨丽莉 邛崃市高何镇中心小学校 黄鸿兵 邛崃市北街小学校 蒋瑞英 邛崃市桑园镇南君平小学校 张桢萍 邛崃市宝林镇中心小学校 刘静谦 邛崃市宝林镇中心小学校 高义杰 邛崃市北街小学校 刘松镍、刘洛希、 成都市双流区棠湖小学、成都市双流 刘昊恩 区棠湖小学、成都市双流区棠湖小学 蒲若昕 成都市双流区棠湖小学 王宇、商薿匀 赖佳 谢会兰 涂晓东 刘霞 冉富贵、冉富贵 刘霞 刘霞 俞念霖 刘霞 宋云兵 胡小兰 刘霞 刘霞 李如 刘霞 王训忠 秦付琼 宋娥 刘霞 宋娥 刘霞 汤光玉 刘霞 宋娥、宋娥 刘霞 俞念霖 刘霞 冉继迁 涂晓东 涂晓东 刘霞 庄雅兰、邓利、邓青青 邓青青 小学 棠湖公园入侵动植物调查报告 小学 虎皮鹦鹉的秘密 小学 神奇的含羞草 小学 花生种植日记 小学 显微镜中的“大世界” 小学 阿基米德抽水机的原理 小学 莲花成长记录 小学 我在暑假对星空的几次观察记录 小学 仓鼠饲养、观察报告 小学 绿豆生长过程观察 小学 螃蟹为什么横着走 小学 初探“植物里面是什么”——以仙人掌为例 小学 红石公园中“蘑菇生长的树木情况”调研 小学 多肉嫁接封口实验 小学 秋天树叶为什么会变黄? 小学 对蜗牛的研究 小学 情系向日葵 小学 使用显微镜观察洋葱表皮细胞 小学 鹌鹑养成记 小学 成都市天府新区海洋公园动物调研 小学 夏花生的生长发育过程观察研究 小学 厨余垃圾变废为宝——波卡西堆肥法实践 小学 小鸡成长记 小学 桃李共树生的秘密 小学 绳子的研究 小学 光的反射 小学 巧克力融化的秘密 小学 不倒翁为什么不倒 小学 火山喷发小实验研究报告 小学 螃蟹的研究 小学 成都市青少年宫(高新区)停车场停车车位分布调查 小学 对龙泉山城市森林公园高空玻璃栈道的调查 小学 探究味道的形成 小学 豆芽生长的秘密 小学 新冠肺炎疫情影响下的小学生暑假安排情况调查分 析 双流区 双流区 双流区 双流区 双流区 双流区 天府新区 天府新区 天府新区 天府新区 天府新区 天府新区 天府新区 天府新区 天府新区 天府新区 天府新区 天府新区 天府新区 天府新区 天府新区 天府新区 天府新区 天府新区 天府新区 天府新区 天府新区 天府新区 天府新区 天府新区 天府新区 天府新区 天府新区 温江区 温江区 赵兴业 张睿希 侯沛邑 夏瑞泽 冉仕航 郑舒文 杨博麟 王鹏宇 梁艺炵 刘文宇 裴思彤 张景天 李茉儿 王浩任 李禹辰 周一乐 陈鸿甫 王旖璇 陈笑然 苟可馨 聂致远 刘芝涵 董瑞希 李泠蓓 陆沛熙 冉琦 刁琪涵 胡师鸢 陈皓轩 余峻熙 张玥汐 刘婷婷 李美懿晨 薛可屹 庄梓旸 成都市双流区棠湖小学 成都市双流区棠湖小学 成都市双流区棠湖小学 成都市双流区棠湖小学 成都市双流区彭镇小学 成都市双流区棠湖小学 成都天府新区锦江小学 天府第四中学校 成都天府新区新兴小学 成都天府新区新兴小学 成都天府新区新兴小学 成都哈密尔顿麓湖小学 成都哈密尔顿麓湖小学 成都哈密尔顿麓湖小学 成都天府新区锦江小学 成都天府新区锦江小学 成都天府新区锦江小学 成都天府新区第五小学 天府第四中学校 天府第四中学校 成都天府新区第四小学 成都天府新区第一小学 成都天府新区第四小学 成都天府新区锦江小学 天府第四中学校 成都天府新区第五小学 成都天府新区第五小学 成都哈密尔顿麓湖小学 成都天府新区第一小学 成都天府新区锦江小学 天府第四中学校 成都天府新区合江小学 成都天府新区新兴小学 成都市实验外国语学校附属小学 成都市温江区东大街第一小学校 陈文洁 陈文洁 陈文洁 陈文洁 宋旭峰、周忆 陈文洁 欧阳俊、邓霞 王兴、左丹、李佳佳 李姣 刘小丽 范润洁 任玉芹 任玉芹、张利 张利、任玉芹 邓霞 徐翠兰、王梅 黄依 明越、梅家瑞、朱雨欣 王兴、高莉雅、左丹 王兴、高莉雅、左丹 陈北辰、陈昱廷 廖晨羽、杨佳慧、郭强 宋宇翔 袁圣、欧阳俊 莫阳洋 朱雨欣、罗静旭、梅家瑞 明越、罗静旭、梅家瑞 刘靖琳 郭强、武珊珊、廖晨羽 胡琴 王兴、左丹、高莉雅 卢艳、商丹、朱红秀 裴宗龙 罗巧英、郝思嘉 邱梦瑶 小学 小学 小学 小学 小学 小学 小学 小学 小学 小学 小学 小学 小学 小学 小学 小学 小学 小学 小学 小学 小学 小学 小学 小学 小学 小学 小学 小学 小学 小学 小学 小学 小学 小学 小学 红头长尾山雀生境状况调查 红头长尾山雀行为状况调查 小学生对医用体温计水银泄露危害及处理措施的认 知情况调查 隔夜茶不能喝? 走访新津污水处理厂,探寻污水处理新技术 如何有效杀灭竹子上的害虫 爱吃二氧化碳的小球藻 通过显微镜探究生命的基本单元 当牛奶遇上柠檬 细菌培养实验 绿豆种子发芽的研究报告 神奇的酸碱指示剂 四川马铃薯种植情况调研 蛋壳的秘密 探究调味料的防腐作用 快速催熟猕猴 为什么手摸芋头会痒? “姜汁撞奶”的秘密 铁为什么会生锈 彩虹喷泉 探索可乐诱惑之谜 北京冬奥会颁奖台设计 关于日食原理与分类的探索 神奇的纸 污水都去哪儿了 ——成都市污水处理厂考察报告 惯性的力量 啤酒对绿萝生长的影响 家庭园艺之植物嫁接 神奇的白蜡虫 生活中的科学—防风衣架 科技造就美好未来 妈妈为什么不给我买可乐 分离白胡椒粉和盐的方法的探究 每一个物体都有惯性 葡萄大变身 温江区 温江区 杜梦姚 王语萱 成都师范学院附属实验学校 成都师范学院附属实验学校 张建洪 张建洪 温江区 马瑞谦 成都市温江区东大街第一小学校 袁瑞璟 温江区 武侯区 武侯区 武侯区 武侯区 武侯区 武侯区 武侯区 武侯区 武侯区 武侯区 武侯区 武侯区 武侯区 武侯区 武侯区 武侯区 武侯区 武侯区 武侯区 武侯区 武侯区 武侯区 武侯区 武侯区 武侯区 武侯区 武侯区 武侯区 武侯区 武侯区 武侯区 孔涵琳 周宸霄 刘星佑 张艺瀚 王纯熙 李桠泺 杨茗心 魏紫羽 谭伊岚 刘函毓 赵钰琪 陈昱弛 贺鑫怡 黄雅兰 翟玺源 谭可钦 文哲 钟宇阳 杨以平 李明阳 刁铭轩 刘昱涵 邓蕴瑞 王景雯 郭恣纤 漆一诺 李怡锌 王睿哲 叶子骞 林千喻 彭小纯 张倚航 成都市温江区永宁小学校 成都市龙江路小学 成都市桐梓林小学 四川大学附属实验小学 成都市武侯区西川实验学校 成都市武侯区西川实验学校 四川大学附属实验小学 成都市磨子桥小学 四川大学附属实验小学 四川大学附属实验小学分校 成都市弟维小学 成都市弟维小学 成都市簇桥小学校 成都市机投小学校 成都市马家河小学 四川大学附属实验小学江安河分校 成都市龙祥路小学 成都市龙江路小学武侯新城分校 四川大学附属实验小学 成都市红牌楼小学校 成都市武侯实验中学附属小学 成都市龙江路小学 成都市行知实验小学 成都市晋阳小学 成都市簇桥小学校 成都市棕北小学 成都市武侯实验小学 成都市磨子桥小学分校 成都市红牌楼小学校 成都市簇桥小学校 成都市红牌楼小学校 成都市科华中路小学 张建红 卢毅、闫薇 熊炜 郭婉婕 魏丹 魏丹 郭婉婕 郭斌熙 郭婉婕 郑丽蓉 张丹 王银 陈小刚 贺声蓉 韩雨洁 谢海霞 罗颖 胥梅 郭婉婕 王蓉、张宏敏 谭媛 卢毅、闫薇 肖珊珊 刘蜀粤 赵军 李梦琳 倪瑜 黄艳 黄婷 陈小刚 王蓉、张宏敏 麻瑜月 小学 铁锅怎样更易生锈 小学 光和水的变幻 小学 将玻璃杯内放入纸巾后竖直倒扣入水,纸巾不打湿 小学 空气占据空间实验探究 小学 杠杆与轮轴是一回事么? 小学 绿豆发芽光照对比实验 小学 面包发霉了 小学 镜片除雾小妙招 小学 四川省养老状况抽样调查 小学 解辣小妙招 小学 让鸡蛋弹起来 小学 种萝卜的科学实践活动 小学 苹果削皮后为什么会变黄 小学 探究食物放久了会变质 小学 破译无字天书 小学 空气的热胀冷缩 小学 会游泳的鸡蛋 小学 有趣的科学 小学 豆芽生长记 小学 温度计的奥秘 小学 生鸡蛋浮起来了 初中 室内避光环境中湿度对马铃薯发芽的影响 武侯区 武侯区 武侯区 武侯区 武侯区 新都区 新都区 新都区 新都区 新都区 新都区 新都区 新津区 新津区 新津区 新津区 新津区 新津区 新津区 新津区 新津区 东部新区 初中 初中生使用手机的利弊情况调查 东部新区 初中 关于网络游戏的调查与思考 东部新区 初中 初中 生活中的科学 成都地质特点与地震破坏力的关系的调查研究 高新区 高新区 初中 中和街道奶茶店的奶茶中含有牛奶吗 高新区 初中 初中 初中 初中 钢笔能吸墨的原因以及相关引申 论中国芯片的发展 成都市与四川省内其他地区发展差异浅析 关于城市内涝的调查 神奇的瓶子 ——通过瓶子“吞”鸡蛋验证大气压 的存在和热胀冷缩现象 初中 成都市太平小学校 成都市马家河小学 成都市机投小学 成都市马家河小学 成都市弟维小学 成都市新都区大丰街道办事处中心小 学校 成都市新都区三河街道办事处中心小 学校 成都市新都香城小学 高新区 高新区 高新区 高新区 杨清璇 王琰 文杰希 彭春阳 孙海瑞 代俊泰 杨洛霄 张泓奇 林锦文 李宸俊瑶 冯语嘉 杜星如 张璐萍 胡栩畅 殷莘懿 邹昊 罗峻锡 王锦熙 唐佳欣 冯律然 刘张弛 巫海昕 赵锦豪、王崇实、 汪婷 缪燕、彭海艳、谢 蓝军 杨云开 郑肖齐 陈欣怡、赖沁怡、 何萌 刘雨萌 吴天瑞 肖杨 肖童心 高新区 李祎婷 成都七中初中学校 巫文贵 郑小娟 贺声蓉 徐芳芳 王银 肖佩云 黄子家 张华 廖品荣 成都市新都区谕亭小学 成都市新都区新繁镇新农小学 成都实外新都五龙山学校(小学) 钟清 成都市新都区汉城小学 袁熠、曾玲、梁勇 成都市新津区第一小学 倪伟 成都市新津区第一小学 倪伟 成都市新津区外国语实验学校 李璐 成都市新津区第一小学 倪伟 成都市新津区实验小学 田媛 新津县邓双学校 夏伟超 成都市新津区第一小学 倪伟 成都市新津区实验小学 王利平 成都市新津区第一小学 倪伟 成都东部新区高明学校 王倩、李凡、蔡婷婷 成都东部新区清风学校、成都东部新 曾先洁 区清风学校、成都东部新区清风学校 成都东部新区清风学校、成都东部新 王海伦、付凯月、李立松 区清风学校、成都东部新区清风学校 成都七中初中学校 郭建 四川省成都市玉林中学 倪超 四川省成都市中和中学、四川省成都 赵申权 市中和中学、四川省成都市中和中学 四川省成都市玉林中学 倪超、程均 四川省成都市玉林中学 倪超、程均 成都七中初中学校 四川省成都市玉林中学 程均 郭建 初中 初中 初中 初中 初中 初中 初中 初中 初中 初中 初中 初中 初中 初中 初中 初中 初中 初中 初中 初中 初中 初中 初中 初中 初中 初中 初中 初中 初中 关于新能源汽车更换电池及回收问题的调查 儿童早餐对身体发育影响的调查研究 大米与米饭之间量的关系研究 蛋白质的组成,结构与生物合成 探索发现气候类型的多样化及思考 倡“光盘”—— 关于国内光盘行动实施的调查报 告 探究霉菌的生长是否与湿度和温度有关 梦想的智慧生活 蚕农养蚕大不同 水的变身 一种带防错设计的自动吸墨钢笔 科技带你亲临大运会 关于智能盲道的设想 会发电的水果 蒸汽式电熨斗的常见问题及解决方案 一种5G+电话手表进行车辆定位跟踪的创新应用 关于西昌市气候宜人的原因的调查 论香水在空气中的气体运动 科学围绕在身边 飞得最远的纸飞机 奇妙的水晶画 关于新冠肺炎疫情期商场经营状况的调查与思考 初2021级05班05号谷雨轩《科学小论文》 植物的生长条件 无链条自行车 关于纳米机器人发展状况的初步探究 对植物向光生长的研究报告 关于根从土壤汲取的物质运输部位研究 会爬升的水 探究酒精对种子发芽的影响 高新区 高新区 高新区 高新区 简阳市 锦江区 锦江区 锦江区 锦江区 锦江区 锦江区 锦江区 锦江区 锦江区 锦江区 锦江区 锦江区 锦江区 锦江区 锦江区 龙泉驿区 龙泉驿区 龙泉驿区 龙泉驿区 刘义博 倪翔 张巧怡 颜恩禾 戴莹沙 薛涵雨、杜宇晨、 易千凤 骆进杰 王言 尹明睿 杜初源 周明青 贺俊翔 卿珊 杨宸懿 刘璟鲲 李奕林 彭友 黄奕锐 曾康蕊 耿嘉彤 舒雯婷 雷镇源 谷雨轩 张嘉怡 陈佳琛 陈锦添 冯欣雨 杨舒岚 刘羽婷 谢雨轩 初中 “漂浮“的鸡蛋 龙泉驿区 严晓凤、林薇 初中 捕蝇草和猪笼草的捕食 彭州市 李淩茜、万裕琳 初中 智能交通信号灯 彭州市 刘茜蔓 初中 高新区 高新区 高新区 高新区 高新区 高新区 四川省成都市玉林中学 成都高新新源学校 四川省成都市石室天府中学 成都七中初中学校 四川省成都市玉林中学 成都高新和平学校、成都高新和平学 校、成都高新和平学校 成都高新滨河学校 四川省成都市玉林中学 四川省成都市中和中学 四川省成都市玉林中学 简阳市石桥初级中学 四川省成都市盐道街中学 四川省成都市七中育才学校 四川省成都市七中育才学校 四川省成都市七中育才学校 四川省成都市七中育才学校 成都市锦江区四川师大附属第一实验 中学 成都市锦江区四川师大附属第一实验 中学 成都市锦江区四川师大附属第一实验 中学 四川省成都市七中育才学校 四川省成都市盐道街中学 成都市锦江区四川师大附属第一实验 中学 四川省成都市盐道街中学 成都市锦江区四川师大附属第一实验 中学 成都市七中育才汇源校区 四川省成都市七中育才学校 成都市龙泉驿区第七中学校 成都市龙泉驿区第七中学校 成都市龙泉驿区十陵中学校 成都市龙泉驿区第七中学校 成都市龙泉驿区十陵中学校、成都市 龙泉驿区十陵中学校 四川省彭州中学实验学校、四川省彭 州中学实验学校 彭州市隆丰中学 程均、王晓容 司吉森 李大利 夏小刚 彭梦媛 赵昌龙、谢佳兴 王思蓓 冀忆欣 赵申权 周铃森 雷滨毓、都晓燕 张兴发 陈洋 吴仕乾 吴仕乾 李欣欣 吴仕乾 李欣欣 王芸 陈红 曾小玲 周静萍 陈红 王芬、吴晓凤 刘辉陶 竹晓鹏、竹晓鹏 初中 初中 初中 初中 初中 发光跳绳 不会沸腾的开水 窗玻璃上的小科学 冰川消融与海水上涨 《营造中小学生独立上学的几点思考》 彭州市 青白江区 青白江区 青白江区 青羊区 胡致维 曾诗玉 何恩彤 孟想 冉琳烨 初中 《外来入侵物种对成都市市区的危害》 青羊区 邓瑞琰、罗思娴、 任心烨 初中 利用中药药渣制备家庭绿植肥料的实验及施用效果 观察 初中 高空抛物,其伤几何 青羊区 周可姝 青羊区 周瑞鑫、罗曦、冯 浩家 初中 初中 初中 初中 《3D生物打印-医学的未来之光》 小实验小制作帮助我的物理学习 尊重生命,远离噪音污染 研究人的尿液颜色是由什么决定的 青羊区 邛崃市 市属 双流区 初中 双流棠湖公园的道路设计合理性研究 双流区 初中 不锈钢是否真的不会生锈探究 双流区 刘雨萱、胡师轩 初中 生物在生态瓶中生存情况 双流区 秦宇 初中 金鱼与白点病的调查与探究 双流区 鞠晨欣、张婉仪 初中 成都地区的湿度调查和探究 双流区 冯珺芝、鞠晨欣 初中 为什么人在恐惧时会尖叫 双流区 初中 初中 初中 无人机在火灾救援方面的研究与应用 智能灌溉自动响应系统设计与制作 无土栽培,线路组装探究 双流区 双流区 双流区 丁思盟、杨俊浩、 田灿 杨曾钰 余浩洋 陈昭阳 初中 利用轴对称制作纸制藏戏面具和剪纸 双流区 李俊恒、嘎荣尼麦 双流区 双流区 天府新区 天府新区 天府新区 李家齐 江鑫锐 谭浩杰 孟金爽 黄思雨 初中 关于砂糖橘和冬草莓在冬季的发霉时间问题探究 初中 水生植物加入洗衣液生长会不会受影响 初中 通过花吸收色素让花变色的实验研究 初中 饮料对蚊子和蚂蚁的吸引 初中 台面不水平对托盘天平称量结果的影响研究及改进 熊峰麟 岑思蕊 李郑阳 王鹏睿 钟雨蝶、王含伊、 张亚欧 彭州市博骏学校 成都市青白江区清泉学校 四川省成都市川化中学 成都市青白江区清泉学校 四川省成都市石室联合中学 成都市树德实验中学(西区)、成都 市树德实验中学(西区)、成都市树 德实验中学(西区) 成都市树德实验中学(东区) 成都市树德实验中学(西区)、成都 市树德实验中学(西区)、成都市树 德实验中学(西区) 四川省成都市石室联合中学 邛崃市牟礼镇初级中学校 成都树德中学(外国语校区) 成都区双流中学实验学校 四川省双流棠湖中学、四川省双流棠 湖中学、四川省双流棠湖中学 成都区双流中学实验学校、成都区双 流中学实验学校 成都双流中学实验学校 成都区双流中学实验学校、成都区双 流中学实验学校 成都双流中学实验学校、成都双流中 学实验学校 成都双流中学实验学校、成都双流中 学实验学校、成都双流中学实验学校 四川省双流棠湖中学 成都双流中学实验学校 成都双流中学实验学校 四川省双流棠湖中学、四川省双流棠 湖中学 成都区双流中学实验学校 成都区双流中学实验学校 成都天府新区合江中学 成都市天府新区实验中学 成都天府新区合江中学 杨烜 刘海波 彭雪莲 马凤莉 秦龙泉、高芳 袁怀炳、车玉莲 张玺瑜、高芳 朱婷 程凤春 黄晶 罗远洋 刘玉、李熙勇 段绪德、段绪德 段绪德 段绪德 向敏 罗远洋 汪洋、李熙勇 詹先斌 段绪德 刘玉 段绪德 段绪德 陈旭、夏文静、宋波 夏英男 李超、蒋辉、宋波 不同年龄阶段人群使用电子产品日时长情况与近视 率关系的调查报告 初中 关于手机电磁辐射对银行卡消磁影响的实验研究 初中 家庭改良土壤种植蔬菜 初中 捕捉风的影子 初中 温江区 陈珉宇 武侯区 武侯区 武侯区 李之瀚 吴运浛 王宇偲 初中 废旧手机回收处理现状及对策研究 武侯区 初中 初中 初中 探索螃蟹吐泡泡之旅 新型圆筒梳 成都共享单车生存现状的调查报告 武侯区 武侯区 武侯区 初中 池塘生态系统水自净能力研究——活性淤泥净水法 武侯区 初中 浅谈共振 初中 “小白”的秘密--白玉蜗牛的生长习性及开发利用 初中 关于雾霾的调查研究 初中 成都市古树名木如何保护管理 初中 宠物APP的市场需求调查 武侯区 武侯区 武侯区 武侯区 武侯区 初中 疫情期间社区工作人员工作压力调查报告 武侯区 初中 霉的产生之神奇的面包霉 武侯区 初中 打火机是怎么点火的? 初中 小区物业服务收费项目与业主实际享受的服务状况 调查 初中 矫正近视眼的模拟实验 初中 揭秘土豆发芽之谜 初中 DIY简易空气净化器 初中 探究材质对无线网络(WIFI)的传播影响 高中 白及植物多倍体植株培育研究 武侯区 武侯区 武侯区 武侯区 新都区 新都区 成华区 高中 山莨菪种子浸提液对两种作物种子萌发的化感作用 成华区 高中 崇州市 高中 探究苏木变色实验 探究不同材料对电容式触摸屏效果的影响 关于四川省四线县城崇州市市民对无人驾驶汽车安 高中 全性看法的研究调查 高中 关于现代建筑娱乐场所噪音污染的现状与防治 崇州市 成都市温江区东辰外国语学校 成都市武侯区西川实验学校 成都市武侯区西川实验学校 成都西川中学 四川大学附属中学西区学校、四川大 何阳、何坤卓、柳 学附属中学西区学校、四川大学附属 岱宏 中学西区学校 程艺凡 四川省成都市西北中学外国语学校 倪恒熙 成都西川中学 莫颖珊 成都市武侯区西川实验学校 四川省成都市第十二中学(四川大学附 裴若辰 属中学) 杨一帆 成都西川中学 金世宬 成都市棕北中学 周徐吉 成都市武侯区西川实验学校 施凯文 成都市棕北中学(桐梓林校区) 张云杰 成都市棕北中学 四川大学附属中学西区学校、四川大 彭瑞、汪可欣 学附属中学西区学校 四川省成都市第十二中学(四川大学附 胡瑜芳 属中学) 刘鼎丞 成都市棕北中学 杜恩琦 成都市棕北中学 祝静怡 成都市金花中学 卢科星 四川省成都市西北中学外国语学校 黄可馨 成都市新都一中实验学校 刘晨希 成都市新都一中实验学校 高首、余洪建 列五中学、列五中学 何钰棋、杨娇、蒋 列五中学、列五中学、列五中学 佳芮 四川省崇州市崇庆中学、四川省崇州 何璐健、付雨鑫 市崇庆中学 陈劲熹 四川省崇州市崇庆中学 崇州市 孙玉涵 四川省崇州市崇庆中学 崇州市 王倩 四川省崇州市崇庆中学 蒋芳婷、徐向东 文皓 王琳 旷小芳 饶丹丹 徐恒逸 冯田园、魏子英 张楠 文皓 程光伟 陈立蓉 旷小芳 刘芳、冯田园 杜雪梅、许珈琦 周翔、周翔 饶丹丹 李泉泉、袁梦飞 李泉泉、袁梦飞 郭忠超 郭忠超 高中 高中 高中 高中 高中 高中 高中 高中 关于两栖单兵飞行器的设计 探究学生内心情绪与家庭,学校的关系 成都中心城区污泥资源化利用的研究 课桌创新改良研究 成都鸟情现状和飞机防鸟方案 数列与不动点的几何理解 反季节蔬菜与我们的生活 科学技术在猪肉追溯中的实践及思考 崇州市 崇州市 崇州市 高新区 高新区 高新区 高新区 高新区 高中 如何区分一张试卷的难易程度 高新区 高中 如何加快推进新能源汽车在成都市的使用步伐的报 告 高中 校园暴力,请不要再毁坏我们的青春 高中 速干晾衣篮的材料与再设计 高中 “塑料直尺”与“橡皮擦”的相似相溶 高新区 高新区 高新区 高新区 高中 关于皮肤上的黑色素的研究 高新区 高中 高中 简阳市 简阳市 高中 高中 高中 高中 高中 高中 智能化广播调时系统 《关于人工智能在医疗领域及生活领域的创意》 疫情期间个人活动、防疫措施、心理健康状态、对 疫情的看法及疫情对于成都市应届初中毕业生及其 家属的影响 对疫情下共享衣橱模式的经营方式和影响因素的探 究 入乡随俗之辨别衣装 有关中学生暑假期间使用电子产品现状的调查研究 定时开关器 太阳能红绿灯 汽车轮胎形状改进技术原理及发展现状探讨 磁吸尺 高中 “袁隆平杂交水稻科学园”的地理研学报告 郫都区 高中 多利财富密码——综合体聚宝盆 郫都区 高中 府南河生态环境变化 青羊区 高中 高中 锦江区 锦江区 锦江区 锦江区 彭州市 彭州市 彭州市 彭州市 黄一峰 冯叶林 杜帆 韩越同 李岭 姜振宇 许灵杰 王振陆 四川省崇州市崇庆中学 四川省崇州市崇庆中学 四川省崇州市崇庆中学 四川省成都市石室天府中学 四川省成都市石室天府中学 电子科技大学实验中学 四川省成都市玉林中学 成都市教育科学研究院附属中学 四川省成都市玉林中学、四川省成都 张蝶、张佳怡 市玉林中学 赵姣润 四川省成都市中和中学 李思源 四川省成都市玉林中学 李思远 电子科技大学实验中学 张佳韵 电子科技大学实验中学 黄婉怡、汪佳茂、 四川省成都市玉林中学、四川省成都 肖思怡 市玉林中学、四川省成都市玉林中学 张永康 四川省简阳中学 陈美好 四川省简阳中学 张诗棋 成都七中嘉祥外国语学校 成都七中嘉祥外国语学校、成都七中 嘉祥外国语学校 罗洋泰 成都七中嘉祥外国语学校 刘雨欣 成都七中嘉祥外国语学校 吴奕霏 四川省彭州中学 游兰、马依然 四川省彭州中学、四川省彭州中学 郭珂佳、骆达月 四川省彭州中学、四川省彭州中学 陈宇涵 四川省彭州市第一中学 四川省成都市郫都区第一中学、四川 刘雅淇、兰天添、 省成都市郫都区第一中学、四川省成 黄明玥 都市郫都区第一中学 四川省成都市郫都区第一中学、四川 李玉冰、曾维鑫、 省成都市郫都区第一中学、四川省成 朱广林 都市郫都区第一中学 连心雨、陈国凤、 、、 姜风客 陈芊蕙、刘文奇 陈磊 杨洋、朱凤鸣 车杰 孙萍 蔡二松 原坤 赵申权 吴小虹 卢建松 陈颉 徐欢、彭建、王旭波 徐欢、李小英、彭建 杨丁、刘丽 杨丁、刘丽 刘丽、杨丁、杨琴 杨丁、刘丽 赵斌 梁谋 梁谋 贺龙江 王桂玉 杨燕 易琴 高中 关于成都市部分街道内涝问题的调查研究及防治措 施 百合目百合科植物所分泌的天然凝胶状物质和口腔 高中 清洁剂所含物质对呈碱性物质刺激性的缓解作用探 高中 对跑步姿势与跑鞋款式的研究 市属 向鹏程 四川省成都市树德中学宁夏校区 市属 陈涛 树德中学宁夏校区 市属 刘禹菡 高中 市属 李玥进、黎可乐 高中 金鱼对哪种颜色的食物敏感 高中 关于画素描不在画面上留下“手指印”研究 高中 成都市常见饮料含糖量调查研究 高中 解剖音乐盒,探究发条与齿轮的小应用 高中 各肥料溶液对植物催芽效果影响对照 高中 慢性阻塞性肺疾病患者自我管理及社会适应性研究 高中 人口老龄化引起的实际问题调查报告 高中 84消毒液、酒精及洁厕灵相互混合的研究 高中 白醋、小苏打和洗洁剂的去油污能力研究 高中 地缘文化对中国古代神话的影响简析 市属 市属 市属 市属 市属 市属 市属 市属 市属 市属 盛梦涵 胡缤心 岳峻郭 郑修远 阳子然 乐言 潘冠吾 龙思澄 刘羽飞 杨畔 四川省成都市树德中学宁夏校区 四川省成都市树德中学宁夏校区、四 川省成都市树德中学宁夏校区 树德中学宁夏校区 树德中学宁夏校区 树德中学宁夏校区 四川省成都市树德中学宁夏校区 高中 网络游戏对青少年的影响 市属 柴智健、刘嘉皓 高中 浅谈可持续发展 市属 高中 超市中的数学应用 双流区 高中 烹饪中的酯化反应 双流区 高中 高中 嘌呤对红细胞的影响探究 高中生性别差异对自控力的影响 天府新区 天府新区 高中 《如何选择成都最好的初中学校》 天府新区 高中 高中 高中 高中 高中 剖析当代快餐行业营销方式及其对消费者的影响 牵牛籽治疗痤疮效果研究 国内外偶像组合粉丝心理研究报告 对无限循环小数循环节的探究 黄矮病的防治策略探讨 天府新区 天府新区 天府新区 天府新区 天府新区 高中 蒜汁治疗皮肤脱皮试验方案 天府新区 天府新区 宋浩宇 明曦蕾、周佳瑞、 罗玥妍 程昊洋、何雅悦、 伍灵鑫 陆跃天 李新怡 宿培娴、方舒雅、 林小又 白佳一、张晓燕 胡海霖、王若瑾 付舒妍、吴小冉 李含情 裴佳、王丽莎 尹崎、周昊、张俊 颖 王俊炎 四川省成都市树德中学 四川省成都市树德中学宁夏校区 成都树德中学(宁夏街校区) 四川省成都市树德中学宁夏校区 四川省成都市树德中学 四川省成都市树德中学宁夏校区、四 川省成都市树德中学宁夏校区 四川省成都市树德中学宁夏校区 四川省双流中学、四川省双流中学、 四川省双流中学 四川省双流中学、四川省双流中学、 四川省双流中学 四川省双流县华阳中学 成都市华阳中学 天府第七中学、天府第七中学、天府 第七中学 成都市华阳中学、成都市华阳中学 成都市华阳中学、成都市华阳中学 成都市华阳中学、成都市华阳中学 四川省华阳中学 成都市华阳中学、成都市华阳中学 成都市华阳中学、成都市华阳中学、 成都市华阳中学 成都市华阳中学 天府新区 陈星颖 成都市华阳中学 高中 新冠肺炎疫情后成都市旅游业现状调查研究 高考志愿填报的影响因素探究 成都市考生填报高考志愿意向对大学学习影响的调 高中 查与分析 罗世林 詹滢 杨冬 崔正淳 樊金玉 张晓蓉 何辽、谭晓燕 张晓容、张艺潇 张晓容 罗昭碧 张晓容 张晓容 张晓容 张晓容 龙新明 高中 高中 城市污泥的处理处置方法及有效利用 鸢尾对麦蚜的室内毒力测定 天府新区 天府新区 高中 菊花中维生素A对眼睛内部细胞明目的探究方案 天府新区 高中 高中 高中 高中 高中 高中 高中 高中 高中 高中生补课现状调查与研究 中国停车位需求问题与解决方案 高考志愿填报该怎么选择 直觉思考对投资理财的影响 网红经济的优势与未来发展 一种中药配方降糖作用的探究验证方案 触摸屏原理的研究报告 如何预防校园暴力伤害事件 从“人肉搜索”探究大数据时代的隐私权保护 天府新区 天府新区 天府新区 天府新区 天府新区 天府新区 天府新区 天府新区 天府新区 高中 自然采光的重要性和对居住体验的影响 天府新区 高中 浅析依恋类型对青春期学生的影响 天府新区 高中 汉服体制与现代服饰相结合的衍生 天府新区 高中 镍钛合金发动机的记忆与相变研究 天府新区 高中 关于中国当代高中生“自控力”的调研 天府新区 高中 浅析公共艺术介入公共空间的形式与发展 天府新区 高中 高中 高中 中国动漫产业未来发展方向的调研及建议 高考志愿填报的研究 中国与美国关于外国人居留制度的探究 天府新区 天府新区 天府新区 高中 机器学习实现情感分析 天府新区 高中 高中 探究基因编辑对人类的影响和前景 大数据下机器学习的算法和前景浅析 天府新区 天府新区 高中 维护生物多样性 天府新区 高中 高中 光子晶体结构生色原理及其传感应用综述 探究高中生群体对“存在”观念的认知 浅析“名创优品”的企业战略中出现的产品同质化 高中 问题及对策 高中 酒桌文化的批判性继承与创新发展 天府新区 天府新区 徐琬琳、郭珂欣 尹玺 徐灵洁、田悦、周 玉婷 杨洋 彭思怡 贾瑞杰 周瑾萱 何静茹 郑莹、叶岚 张谨轩 郭智鹏 成小卓 谢璐霜、陈佳胤、 罗玉莲 鄢然、余慧、赖佳 庆 李璇 孙旭、郑开元、钟 华健 刘亚莲 陈珂羽、刘旖、侯 婧如 张川江 蔡佳 李芯羽、王思颖 曾钺玲、李玥、张 钰璐 罗倩 王艺霏 陈佳胤、李宇、周 紫义 何可雯 李雅琪 成都市华阳中学、成都市华阳中学 张晓容 成都市华阳中学 张晓容、谢永平 成都市华阳中学、成都市华阳中学、 张晓容、谢永平、陈碧华 成都市华阳中学 成都市华阳中学 龙新明 成都市华阳中学 张晓容 成都市华阳中学 龙新明 成都市华阳中学 张晓蓉 成都市华阳中学 张晓容 成都市华阳中学、成都市华阳中学 张晓容、谢永平 成都市华阳中学 龙新明 成都市华阳中学 龙新明 成都市华阳中学 张晓容 成都市华阳中学、成都市华阳中学、 张晓容 成都市华阳中学 四川省华阳中学、四川省华阳中学、 张晓容 四川省华阳中学 成都市华阳中学 张晓蓉 四川省华阳中学、四川省华阳中学、 张晓荣 四川省华阳中学 四川省华阳中学 张晓容 成都市华阳中学、成都市华阳中学、 张晓容 成都市华阳中学 成都市华阳中学 张晓容 成都市华阳中学 龙新明 成都市华阳中学、成都市华阳中学 张晓容 成都市华阳中学、成都市华阳中学、 张晓容 成都市华阳中学 成都市华阳中学 张晓容 成都市华阳中学 张晓容 成都市华阳中学、成都市华阳中学、 张晓容 成都市华阳中学 成都市华阳中学 杨洋、张晓蓉 成都市华阳中学 张晓容 天府新区 肖福颖 成都市华阳中学 张晓蓉 天府新区 方泽宇 成都市华阳中学 张晓容 高中 辣味是如何产生的? 高中 浅析《霸王别姬》中电影与文本中人物与情节差别 高中 影响考试成绩的因素 高中 关于基因编辑技术的应用实例及前景展望 天府新区 天府新区 天府新区 天府新区 高中 蛋白质组对慢性肾脏病的应用实例以及前景 天府新区 高中 高中 高中 炫酷个人主页的设计 5G对汽车自动驾驶的影响探究 洗洁精对金鱼生活的影响 天府新区 天府新区 新津区 高中 三岔降溪河农村水体污染及危害调查 新津区 高中 关于高中生如何选择文理科的情况调查报告 新津区 高中 隐藏在成绩背后的报告 新津区 熊依莹 成都市华阳中学 宋珉珉 四川省华阳中学 刘心怡 四川省华阳中学 文雨彤 成都市华阳中学 罗玉莲、陈双、谢 成都市华阳中学、成都市华阳中学、 璐霜 成都市华阳中学 魏欣雨 成都市华阳中学 谢逸凡 成都市华阳中学 宋庆希 四川省新津中学 成都新津华润高级中学、成都新津华 李俊逸、崔皓珵 润高级中学 成都市新津区实验高级中学、成都市 崔皓珵、李俊逸 新津区实验高级中学 成都市新津区实验高级中学、成都市 覃紫涵、赵东来 新津区实验高级中学 龙新明 张晓容 张晓荣、杨洋 张晓容 张晓容 张晓容、杨洋 张晓容 赵强 苏会、宋雪琴 苏会、胡同文 苏会

成都市第36届青少年科技创新大赛(青少年科技创新成果-论文)获奖名单.pdf




