附件3:阀门清单明细 (1).xlsx
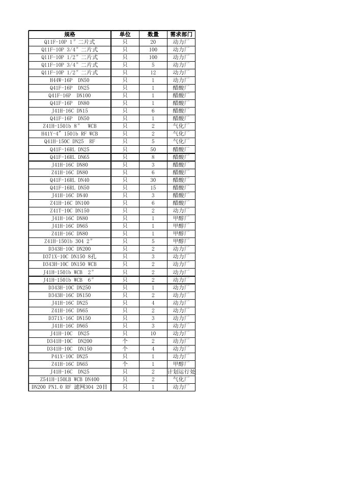
行号 220 230 240 120 130 60 200 230 220 190 210 210 220 240 330 320 270 290 310 340 280 300 150 410 420 440 450 170 180 190 120 130 150 160 110 140 200 140 150 160 170 180 50 180 120 190 项目 QG2021073000011252 QG2021073000011252 QG2021073000011252 QG2021073000011253 QG2021073000011253 QG2021073000011255 QG2021073000011258 QG2021073000011258 QG2021073000011258 QG2021073000011258 QG2021073000011258 QG2021080200011266 QG2021080200011266 QG2021080200011266 QG2021080300011277 QG2021080300011277 QG2021080300011277 QG2021080300011277 QG2021080300011277 QG2021080300011277 QG2021080300011277 QG2021080300011277 QG2021080300011278 QG2021080400011281 QG2021080400011281 QG2021080400011281 QG2021080400011281 QG2021080400011282 QG2021080400011282 QG2021080400011282 QG2021080400011282 QG2021080400011282 QG2021080400011282 QG2021080400011282 QG2021080400011282 QG2021080400011282 QG2021080400011282 QG2021080600011326 QG2021080600011326 QG2021080600011326 QG2021080600011326 QG2021080600011326 QG2021080400011281 QG2021080900011334 QG2021080900011335 QG2021080600011326 物料编码 物料名称 型号 02060600000236 不锈钢球阀 1" 内丝 02060600000029 不锈钢球阀 3/4″ 丝口 02060600000042 不锈钢球阀 1/2″ 丝口 02060600000029 不锈钢球阀 3/4″ 丝口 02060600000042 不锈钢球阀 1/2″ 丝口 02060500000101 不锈钢止回阀304 H44W-16P DN50 02060600000228 不锈钢球阀316L Q41F-16P DN25 02060600000231 不锈钢球阀316L Q41F-16P DN100 02060600000230 不锈钢球阀316L Q41F-16P DN80 02060100000126 截止阀 J41H-16C DN15 02060600000229 不锈钢球阀316L Q41F-16P DN50 02060200000254 闸阀 Z41H-150lb 8″ 02060500000293 止回阀 H41Y-4" 150lb RF 02060600000589 球阀 DN25 Class150 RF 20# 02060600000228 不锈钢球阀316L Q41F-16P DN25 02060600000043 不锈钢球阀 Q41F-16P DN65 02060100000130 截止阀 J41H-16C DN80 02060200000004 闸阀 Z41H-16C DN80 02060600000037 不锈钢球阀 Q41F-16P DN40 02060600000229 不锈钢球阀316L Q41F-16P DN50 02060100000133 截止阀 J41H-16C DN40 02060200000125 闸阀 Z41H-16C DN100 02060200000124 闸阀 Z41T-10 DN150 02060100000130 截止阀 J41H-16C DN80 02060100000131 截止阀 J41H-16C DN65 02060200000004 闸阀 Z41H-16C DN80 02060200000057 闸阀 Z41H-150lb 2″ 02060400000243 蝶阀 D343H-10 DN200 WCB 02060400000249 对夹式蝶阀 D371X-10C DN150 8孔 WCB 02060400000250 蝶阀 D343H-10C DN150 WCB 02060100000144 截止阀 J41H-150lb 2″ 02060100000452 截止阀 J41H-150lb 6″ 02060400000128 手动蝶阀 D343H-10 DN250 02060400000135 手动蝶阀 D343H-16C DN150 02060100000137 截止阀 J41H-16C DN25 02060200000056 闸阀 Z41H-16C DN65 02060400000314 对夹式蝶阀 D371X-16C DN150 02060100000124 截止阀 J41H-16C DN65 02060100000271 截止阀 J41H-10C DN25 02060400000212 涡轮蝶阀 D341H-10 DN200 02060400000213 涡轮蝶阀 D341H-10 DN150 02060900000128 自动排气阀 DN25 PN1.0 RF 02040400000004 闸阀 Z41H-16C DN65 材质:碳钢 02060100000137 截止阀 J41H-16C DN25 02060200000438 闸阀 Z41H-150C DN400-150LB WCB/RF 02060900000129 Y型过滤器 DN200 PN1.0 RF 滤网304 规格 Q11F-10P 1″二片式 Q11F-10P 3/4″二片式 Q11F-10P 1/2″二片式 Q11F-10P 3/4″二片式 Q11F-10P 1/2″二片式 H44W-16P DN50 Q41F-16P DN25 Q41F-16P DN100 Q41F-16P DN80 J41H-16C DN15 Q41F-16P DN50 Z41H-150lb 8″ WCB H41Y-4" 150lb RF WCB Q41H-150C DN25 RF Q41F-16RL DN25 Q41F-16RL DN65 J41H-16C DN80 Z41H-16C DN80 Q41F-16RL DN40 Q41F-16RL DN50 J41H-16C DN40 Z41H-16C DN100 Z41T-10C DN150 J41H-16C DN80 J41H-16C DN65 Z41H-16C DN80 Z41H-150lb 304 2″ D343H-10C DN200 D371X-10C DN150 8孔 D343H-10C DN150 WCB J41H-150lb WCB 2″ J41H-150lb WCB 6″ D343H-10C DN250 D343H-16C DN150 J41H-16C DN25 Z41H-16C DN65 D371X-16C DN150 J41H-16C DN65 J41H-10C DN25 D341H-10C DN200 D341H-10C DN150 P41X-10C DN25 Z41H-16C DN65 J41H-16C DN25 Z541H-150LB WCB DN400 DN200 PN1.0 RF 滤网304 20目 单位 只 只 只 只 只 只 只 只 只 只 只 只 只 只 只 只 只 只 只 只 只 只 只 只 只 只 只 只 只 只 只 只 只 只 只 只 只 只 只 个 个 只 个 只 只 只 数量 20 100 100 5 12 1 1 1 1 6 1 2 2 5 50 8 3 6 30 15 3 6 2 1 1 1 5 2 3 2 2 2 1 2 4 2 3 3 10 2 4 1 1 2 2 1 需求部门 动力厂 动力厂 动力厂 动力厂 动力厂 动力厂 醋酸厂 醋酸厂 醋酸厂 醋酸厂 醋酸厂 气化厂 气化厂 气化厂 醋酸厂 醋酸厂 醋酸厂 醋酸厂 醋酸厂 醋酸厂 醋酸厂 醋酸厂 动力厂 甲醇厂 甲醇厂 甲醇厂 甲醇厂 动力厂 动力厂 动力厂 动力厂 动力厂 动力厂 动力厂 动力厂 动力厂 动力厂 动力厂 动力厂 动力厂 动力厂 动力厂 甲醇厂 计划运行处 气化厂 动力厂

附件3:阀门清单明细 (1).xlsx 
