2016年行政处罚案件公示明细表(点击下载).xls
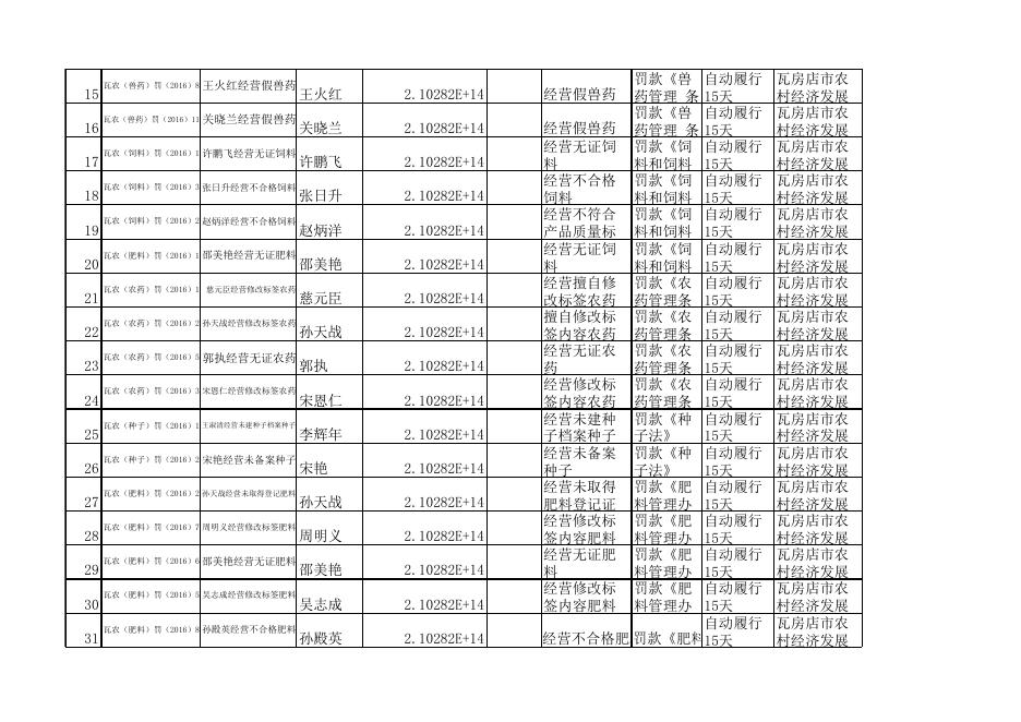
2016年行政处罚案件公示明细表 行政处罚决定案 序号 号 案件名称 1 2 3 4 5 6 7 8 9 10 11 12 13 14 瓦农(兽药)罚(2016)6 张润洁经营劣兽药 瓦农(兽药)罚(2016)12 毕成经营假兽药 瓦农(兽药)罚(2016)13 张林秀经营劣兽药 瓦农(兽药)罚(2016)14 王火红经营假兽药 瓦农(兽药)罚(2016)16 王火红经营假兽药 瓦农(兽药)罚(2016)19 郭启清经营假兽药 瓦农(兽药)罚(2016)20 王军经营假兽药 瓦农(兽药)罚(2016)21 郭启清经营假兽药 瓦农(兽药)罚(2016)22 曲行安经营假兽药 瓦农(兽药)罚(2016)1 新峰兽药店经营假兽药 瓦农(兽药)罚(2016)2 旺牧兽药店经营假兽药 瓦农(兽药)罚(2016)3 旺盛兽药店经营假兽药 瓦农(兽药)罚(2016)5 复州永峰兽药商行经营劣兽药 瓦农(兽药)罚(2016)7 王火红经营劣兽药 违法主体 违法企业组织机构 名称或姓 代码 名 行政处罚 行政处罚履 作出行政处罚 主要违法事实 种类和依 行方式和期 的机关名称和 据 限 日期 罚款《兽 自动履行 瓦房店市农 张润洁 法定代 表人( 负责人 2.10282E+14 ) 经营劣兽药 毕成 2.10282E+14 经营假兽药 张林秀 2.10282E+14 经营劣兽药 王火红 2.10282E+14 经营假兽药 王火红 2.10282E+14 经营假兽药 郭启清 2.10282E+14 经营假兽药 王军 2.10282E+14 经营假兽药 郭启清 2.10282E+14 经营假兽药 曲行安 2.10282E+14 经营假兽药 祁峰 2.10282E+14 经营假兽药 司霞 2.10281E+14 经营假兽药 刘丽红 2.10282E+14 经营假兽药 朱宝英 2.10282E+14 经营劣兽药 王火红 2.10282E+14 经营劣兽药 药管理条 15天 罚款《兽 自动履行 例》 药管理条 15天 罚款《兽 自动履行 例》 药管理条 15天 罚款《兽 自动履行 例》 药管理条 15天 罚款《兽 自动履行 例》 药管理条 15天 罚款《兽 自动履行 例》 药管理条 15天 罚款《兽 自动履行 例》 药管理条 15天 罚款《兽 自动履行 例》 药管理条 15天 罚款《兽 自动履行 例》 药管理条 15天 罚款《兽 自动履行 例》 药管理条 15天 罚款《兽 自动履行 例》 药管理条 15天 罚款《兽 自动履行 例》 药管理条 15天 罚款《兽 自动履行 例》 药管理条 15天 罚款《兽 自动履行 例》 药管理 条 15天 例》 村经济发展 瓦房店市农 局11.21 村经济发展 瓦房店市农 局9.20 村经济发展 瓦房店市农 局9.20 村经济发展 瓦房店市农 局9.12 村经济发展 瓦房店市农 局9.20 村经济发展 瓦房店市农 局12.5 村经济发展 瓦房店市农 局11.29 村经济发展 瓦房店市农 局12.5 村经济发展 瓦房店市农 局11.29 村经济发展 瓦房店市农 局1.18 村经济发展 瓦房店市农 局1.18 村经济发展 瓦房店市农 局1.18 村经济发展 瓦房店市农 局1月18日 村经济发展 局6.16 15 16 17 18 19 20 21 22 23 24 25 26 27 28 29 30 31 瓦农(兽药)罚(2016)8 王火红经营假兽药 瓦农(兽药)罚(2016)11 关晓兰经营假兽药 瓦农(饲料)罚(2016)1 许鹏飞经营无证饲料 瓦农(饲料)罚(2016)3 张日升经营不合格饲料 瓦农(饲料)罚(2016)2 赵炳洋经营不合格饲料 瓦农(肥料)罚(2016)1 邵美艳经营无证肥料 瓦农(农药)罚(2016)1 慈元臣经营修改标签农药 瓦农(农药)罚(2016)2 孙天战经营修改标签农药 瓦农(农药)罚(2016)5 郭执经营无证农药 瓦农(农药)罚(2016)3 宋恩仁经营修改标签农药 瓦农(种子)罚(2016)1 王淑清经营未建种子档案种子 瓦农(种子)罚(2016)2 宋艳经营未备案种子 瓦农(肥料)罚(2016)2 孙天战经营未取得登记肥料 瓦农(肥料)罚(2016)7 周明义经营修改标签肥料 瓦农(肥料)罚(2016)6 邵美艳经营无证肥料 瓦农(肥料)罚(2016)5 吴志成经营修改标签肥料 瓦农(肥料)罚(2016)8 孙殿英经营不合格肥料 王火红 2.10282E+14 关晓兰 2.10282E+14 许鹏飞 2.10282E+14 张日升 2.10282E+14 赵炳洋 2.10282E+14 邵美艳 2.10282E+14 慈元臣 2.10282E+14 孙天战 2.10282E+14 郭执 2.10282E+14 宋恩仁 2.10282E+14 李辉年 2.10282E+14 宋艳 2.10282E+14 孙天战 2.10282E+14 周明义 2.10282E+14 邵美艳 2.10282E+14 吴志成 2.10282E+14 孙殿英 2.10282E+14 罚款《兽 自动履行 瓦房店市农 药管理 条 15天 村经济发展 罚款《兽 自动履行 瓦房店市农 例》 局6.16 经营假兽药 药管理 条 15天 村经济发展 瓦房店市农 经营无证饲 罚款《饲 自动履行 例》 局6.16 村经济发展 料 料和饲料 15天 经营不合格 罚款《饲 局7.15 添加剂管 自动履行 瓦房店市农 村经济发展 饲料 料和饲料 理条例》 15天 经营不符合 罚款《饲 局11.25 添加剂管 自动履行 瓦房店市农 产品质量标 料和饲料 村经济发展 理条例》 15天 经营无证饲 罚款《饲 准饲料 局11.211 添加剂管 自动履行 瓦房店市农 料 村经济发展 料和饲料 理条例》 15天 经营擅自修 罚款《农 局6.26 添加剂管 自动履行 瓦房店市农 改标签农药 药管理条 村经济发展 理条例》 15天 瓦房店市农 擅自修改标 罚款《农 自动履行 例》 局6.26 签内容农药 药管理条 15天 村经济发展 经营无证农 罚款《农 自动履行 瓦房店市农 例》 局6.26 药管理条 15天 村经济发展 药 经营修改标 罚款《农 自动履行 瓦房店市农 例》 局11.25 村经济发展 签内容农药 药管理条 15天 经营未建种 罚款《种 自动履行 瓦房店市农 例》 局10.10 子档案种子 子法》 15天 村经济发展 经营未备案 罚款《种 自动履行 瓦房店市农 局5.17 村经济发展 种子 子法》 15天 经营未取得 罚款《肥 自动履行 瓦房店市农 局5.17 肥料登记证 料管理办 15天 村经济发展 罚款《肥 经营修改标 自动履行 瓦房店市农 肥料 法》 局6.26 签内容肥料 料管理办 15天 村经济发展 经营无证肥 罚款《肥 自动履行 瓦房店市农 法》 局10.10 料 料管理办 15天 村经济发展 经营修改标 罚款《肥 自动履行 瓦房店市农 法》 局10.10 签内容肥料 料管理办 15天 村经济发展 自动履行 瓦房店市农 法》 局10.8 经营不合格肥料 罚款《肥料管理办法》 村经济发展 15天 局11.3 经营假兽药

2016年行政处罚案件公示明细表(点击下载).xls
