秦岭文库(kunmingchi.com)你想要的内容这里独有!

各品种限仓、限额规则汇总表(2023.08.30).xlsx

Viewer18 页 41.402 KB下载文档
各品种限仓、限额规则汇总表(2023.08.30).xlsx各品种限仓、限额规则汇总表(2023.08.30).xlsx各品种限仓、限额规则汇总表(2023.08.30).xlsx各品种限仓、限额规则汇总表(2023.08.30).xlsx各品种限仓、限额规则汇总表(2023.08.30).xlsx各品种限仓、限额规则汇总表(2023.08.30).xlsx
当前文档共18页 下载后继续阅读

各品种限仓、限额规则汇总表(2023.08.30).xlsx

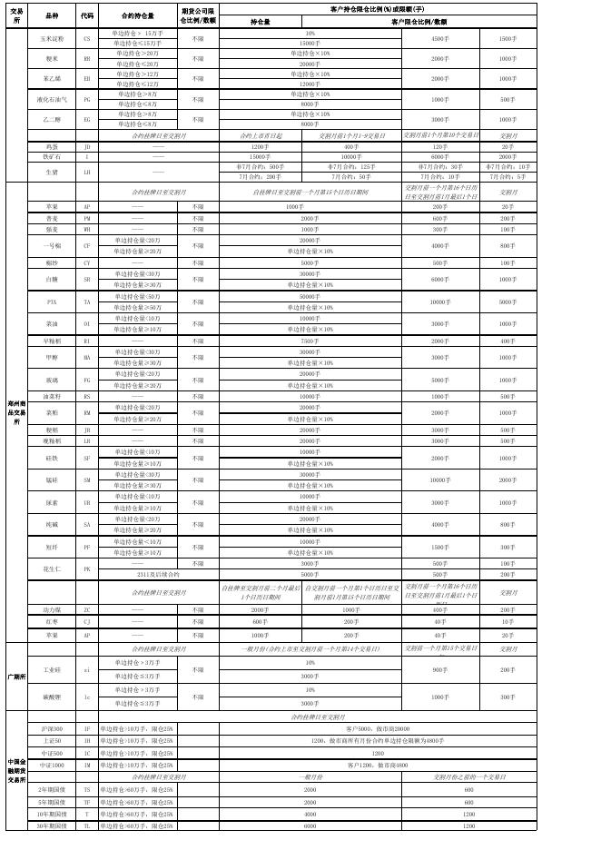
期货持仓限额规定20230829 交易 所 品种 代码 合约持仓量 期货公司限 仓比例/数额 合约挂牌日至交割月 上海期 货交易 所 CU 单边持仓≧8万手 25% 铝 AL 单边持仓≧10万手 25% 锌 ZN 单边持仓≧6万手 25% 铅 PB 单边持仓≥5万手 25% 镍 NI 单边持仓≥6万手 25% 氧化铝 AO 单边持仓≥5万手 25% 锡 SN 单边持仓≥1.5万手 25% 螺纹钢 RB 单边持仓≧90万手 25% 线材 WR 单边持仓≧22.5万手 25% 热轧卷板 HC 单边持仓≥120万手 25% 合成橡胶 SS BR 单边持仓≥7万手 单边持仓≥1万手 客户限仓比例/数额 合约挂牌日至交割月前第二月的最后1个交易日 铜 不锈钢 客户持仓限仓比例(%)或限额(手) 持仓量 单边持仓≧8万手 10% 单边持仓﹤8万手 8000手 单边持仓≧10万手 10% 单边持仓﹤10万手 10000手 单边持仓≧6万手 10% 单边持仓﹤6万手 6000手 单边持仓≧5万手 10% 单边持仓﹤5万手 5000手 单边持仓≧6万手 10% 单边持仓﹤6万手 6000手 单边持仓≧5万手 10% 单边持仓﹤5万手 5000手 单边持仓≧1.5万手 10% 单边持仓﹤1.5万手 1500手 单边持仓≧90万手 10% 单边持仓﹤90万手 90000手 单边持仓≧22.5万手 10% 单边持仓﹤22.5万手 22500手 单边持仓≧120万手 10% 单边持仓﹤120万手 120000手 单边持仓≧7万手 10% 单边持仓﹤7万手 7000手 25% 单边持仓≥1万手 10% 单边持仓<1万手 1000手 25% 交割前一个月 交割月 3000手 1000手 3000手 1000手 2400手 800手 1800手 600手 1800手 600手 1800手 600手 600手 200手 4500手 900手 1800手 360手 9000手 1800手 1800手 360手 300手 60手 天然橡胶 RU 单边持仓≥2.5万手 25% 500手 150手 50手 石油沥青 BU 单边持仓≥15万手 25% 8000手 1500手 500手 黄金 AU 单边持仓≥8万手 25% 9000手 2700手 900手 白银 AG 单边持仓≥15万手 25% 9000手 2700手 900手 漂针浆 SP 单边持仓≥25万手 25% 合约挂牌至交割月前第一月 燃料油 FU 单边持仓≧25万手 原油 SC 单边持仓≧7.5万手 25% 合约挂牌至交割月前第一月 25% 4500手 900手 300手 合约挂牌1至交割月前第三月的最后1个交易日 交割前第二月 交割前第一月 7500手 1500手 500手 合约挂牌至交割月前第三月的最后1个交易日 交割月前第二月 交割月前第一月 3000手 1500手 500手 1500手 500手 单边持仓≥10万手,限仓比例10% 低硫燃料油 LU 单边持仓≥10万手 25% 单边持仓<10万手,限仓数额10000手 合约挂牌至交割月 上海能 合约挂盘至最后交易日前第八个交易日 源中心 集运指数(欧线) EC 单边持仓≧3万手 25% 合约挂牌至交割月 国际铜 BC 单边持仓≧7万手 25% 20号胶 NR 单边持仓≧5万手 25% 合约挂牌日至交割月 豆一 A 玉米 C 豆粕 M 聚氯乙烯 V 豆二 B 豆油 Y 塑料 L 棕榈油 P 焦炭 J 焦煤 JM 铁矿石 I 纤维板 FB 胶合板 BB 聚丙烯 PP 大连商 品交易 所 单边持仓﹥15万手 单边持仓≦15万手 单边持仓﹥40万手 单边持仓≦40万手 单边持仓﹥40万手 单边持仓≦40万手 单边持仓﹥20万手 单边持仓≦20万手 单边持仓﹥20万手 单边持仓≦20万手 单边持仓﹥20万手 单边持仓≦20万手 单边持仓﹥10万手 单边持仓≦10万手 单边持仓﹥10万手 单边持仓≦10万手 单边持仓﹥ 5万手 单边持仓≦ 5万手 单边持仓﹥ 8万手 单边持仓≦ 8万手 单边持仓﹥40万手 单边持仓≦40万手 单边持仓﹥16万手 单边持仓≦16万手 单边持仓﹥ 6万手 单边持仓≦ 6万手 单边持仓﹥ 20万手 单边持仓≦20万手 不限 不限 不限 不限 不限 不限 不限 不限 不限 不限 不限 不限 不限 不限 最后交易日前第七个交易日 最后交易日前第二个 至最后交易日前第三个交易 交易日至最后交易日 日 1200手 360手 120手 合约挂牌至交割月前第二月的最后1个交易日 交割月前第一月 交割月 3500手 700手 2000手 600手 200手 一般月份(合约上市至交割月前一个月第14个交易日) 交割前一个月第15个交易日 起 交割月 2500手 1000手 15000手 5000手 7500手 2500手 5000手 2500手 4500手 1500手 3000手 1000手 3000手 1000手 1500手 500手 900手 300手 1500手 500手 6000手 2000手 400手 100手 80手 20手 5000手 2500手 单边持仓≥7万手,限仓比例10% 单边持仓<7万手,限仓数额7000手 10% 15000手 5% 20000手 10% 40000手 10% 20000手 10% 20000手 10% 20000手 10% 10000手 10% 10000手 单边持仓×10% 5000手 单边持仓×10% 8000手 10% 40000手 10% 16000手 10% 6000手 10% 20000手 交易 所 品种 代码 玉米淀粉 CS 粳米 RR 苯乙烯 EB 液化石油气 PG 乙二醇 EG 合约持仓量 期货公司限 仓比例/数额 单边持仓﹥ 15万手 单边持仓≤15万手 单边持仓>20万 单边持仓≤20万 单边持仓>12万 单边持仓≤12万 单边持仓>8万 单边持仓≤8万 单边持仓>8万 单边持仓≤8万 客户限仓比例/数额 10% 不限 15000手 单边持仓×10% 不限 20000手 单边持仓×10% 不限 12000手 单边持仓×10% 不限 8000手 单边持仓×10% 不限 8000手 4500手 1500手 2000手 1000手 2000手 1000手 1000手 500手 3000手 1000手 交割月 鸡蛋 JD —— 1200手 400手 交割月前1个月第10个交易日 起 120手 铁矿石 I —— 15000手 10000手 6000手 2000手 生猪 LH —— 非7月合约:500手 非7月合约:125手 非7月合约:30手 非7月合约:10手 7月合约:200手 7月合约:50手 7月合约:10手 7月合约:5手 合约挂牌日至交割月 合约上市首日起 交割月前1个月1-9交易日 合约挂牌日至交割月 AP —— 不限 普麦 PM —— 不限 强麦 WH —— 不限 一号棉 CF 棉纱 CY 白糖 SR PTA TA 菜油 OI 早籼稻 RI 甲醇 MA 玻璃 FG 油菜籽 RS 单边持仓量<20万 单边持仓量≥20万 —— 单边持仓量<30万 单边持仓量≥30万 单边持仓量<50万 单边持仓量≥50万 单边持仓量<10万 单边持仓量≥10万 —— 单边持仓量<30万 单边持仓量≥30万 单边持仓量<20万 单边持仓量≥20万 —— 单边持仓量<20万 交割月前一个月第16个日历 日至交割月前1月最后1个日 历日 200手 自挂牌日至交割前一个月第15个日历日期间 苹果 郑州商 品交易 客户持仓限仓比例(%)或限额(手) 持仓量 1000手 200手 1000手 300手 100手 4000手 800手 500手 100手 6000手 1000手 10000手 5000手 3000手 1000手 2000手 400手 3000手 1000手 5000手 1000手 1000手 500手 2000手 1000手 5000手 30000手 不限 单边持仓量×10% 50000手 不限 单边持仓量×10% 10000手 不限 单边持仓量×10% 不限 7500手 30000手 不限 单边持仓量×10% 20000手 不限 单边持仓量×10% 不限 10000手 20000手 菜粕 RM 粳稻 JR —— 不限 20000手 3000手 500手 晚籼稻 LR —— 不限 20000手 3000手 500手 2000手 1000手 10000手 2000手 3000手 1000手 4000手 800手 1500手 300手 3000手 500手 100手 5000手 500手 200手 所 硅铁 SF 锰硅 SM 尿素 UR 纯碱 SA 短纤 PF 花生仁 PK 单边持仓量≥20万 单边持仓量<10万 单边持仓量≥10万 单边持仓量<30万 单边持仓量≥30万 单边持仓量<10万 单边持仓量≥10万 单边持仓量<20万 单边持仓量≥20万 单边持仓量<10万 单边持仓量≥10万 —— 不限 20手 600手 单边持仓量×10% 不限 交割月 2000手 20000手 不限 20手 单边持仓量×10% 10000手 不限 单边持仓量×10% 30000手 不限 单边持仓量×10% 10000手 不限 单边持仓量×10% 20000手 不限 单边持仓量×10% 10000手 不限 单边持仓量×10% 不限 2311及后续合约 合约挂牌日至交割月 自挂牌至交割月前二个月最后 自交割月前一个月第1个日历日至交 交割月前一个月第16个日历 日至交割月前1月最后1个日 1个日历日期间 割月前1月第15个日历日期间 历日 交割月 动力煤 ZC —— 不限 2000手 1000手 400手 200手 红枣 CJ —— 不限 600手 200手 40手 10手 苹果 AP —— 不限 1000手 200手 40手 20手 交割前一个月第15个交易日 起 交割月 900手 200手 1000手 300手 合约挂牌日至交割月 一般月份(合约上市至交割月前一个月第14个交易日) 单边持仓﹥3万手 工业硅 si 广期所 10% 不限 单边持仓≦3万手 3000手 单边持仓﹥3万手 碳酸锂 lc 10% 不限 单边持仓≦3万手 3000手 合约挂牌日至交割月 中国金 融期货 沪深300 IF 单边持仓>10万手,限仓25% 客户5000,做市商20000 上证50 IH 单边持仓>10万手,限仓25% 1200,做市商所有月份合约单边持仓限额为4800手 中证500 IC 单边持仓>10万手,限仓25% 1200 中证1000 IM 单边持仓>10万手,限仓25% 客户1200,做市商4800 合约挂牌日至交割月 交易所 一般月份 交割月份之前的一个交易日 600 2年期国债 TS 单边持仓>60万手,限仓25% 2000 5年期国债 TF 单边持仓>60万手,限仓25% 2000 600 10年期国债 T 单边持仓>60万手,限仓25% 4000 1200 30年期国债 TL 单边持仓>60万手,限仓25% 6000 1200 期权持仓限额规定202308 交易所 大商所 品种 豆粕期权 40000 玉米期权 看涨:C-合约月份-C-行权价格 看跌:C-合约月份-P-行权价格 40000 铁矿石期权 看涨:i-合约月份-C-行权价格 看跌:i-合约月份-P-行权价格 40000 液化石油气期权 看涨:pg-合约月份-C-行权价格 看跌:pg-合约月份-P-行权价格 8000 聚丙烯期权 看涨:pp-合约月份-C-行权价格 看跌:pp-合约月份-P-行权价格 20000 聚氯乙烯期权 看涨:v-合约月份-C-行权价格 看跌:v-合约月份-P-行权价格 20000 塑料(聚乙烯)期 看涨:l-合约月份-C-行权价格 权 看跌:l-合约月份-P-行权价格 10000 棕榈油期权 看涨:p-合约月份-C-行权价格 看跌:p-合约月份-P-行权价格 10000 黄大豆1号期权 看涨:a-合约月份-C-行权价格 看跌:a-合约月份-P-行权价格 15000 黄大豆2号期权 看涨:b-合约月份-C-行权价格 看跌:b-合约月份-P-行权价格 20000 豆油期权 看涨:y-合约月份-C-行权价格 看跌:y-合约月份-P-行权价格 20000 乙二醇期权 看涨:eg-合约月份-C-行权价格 看跌:eg-合约月份-P-行权价格 8000 苯乙烯期权 看涨:eb-合约月份-C-行权价格 看跌:eb-合约月份-P-行权价格 12000 棉花期权 中金所 看涨:SR—合约月份—C—行权价 格 看跌:SR—合约月份—P—行权价 看涨:CF-合约月份-C-行权价格 格 看跌:CF-合约月份-P-行权价格 客户:30000 做市商:30000 客户:20000 做市商:20000 PTA期权 看涨:PTA-合约月份-C-行权价格 看跌:PTA-合约月份-P-行权价格 客户:30000 做市商:60000 甲醇期权 看涨:MA-合约月份-C-行权价格 看跌:MA-合约月份-P-行权价格 客户:30000 做市商:60000 菜粕期权 看涨:RM-合约月份-C-行权价格 看跌:RM-合约月份-P-行权价格 客户:20000 做市商:40000 动力煤期权 看涨:ZC-合约月份-C-行权价格 看跌:ZC-合约月份-P-行权价格 客户:2000 做市商: 60000 菜籽油期权 看涨:OI-合约月份-C-行权价格 看跌:OI-合约月份-P-行权价格 客户:10000 做市商:20000 花生期权 看涨:PK-合约月份-C-行权价格 看跌:PK-合约月份-P-行权价格 客户:3000 做市商:10000 沪深300股指期权 看涨:IO-合约月份-C-行权价格 看跌:IO-合约月份-P-行权价格 客户:某一月份合约单边持仓限额为5000手 做市商:所有月份合约单边持仓限额为60000手 中证1000股指期 看涨:MO-合约月份-C-行权价格 权 看跌:MO-合约月份-P-行权价格 客户:某一月份合约单边持仓限额为1200手 做市商:所有月份合约单边持仓限额为15000手 看涨:HO-合约月份-C-行权价格 看跌:HO-合约月份-P-行权价格 客户:某一月份合约单边持仓限额为1200手 做市商:所有月份合约单边持仓限额为15000手 上证50股指期权 铜期权 天胶期权 上期所 品种限仓 看涨:m-合约月份-C-行权价格 看跌:m-合约月份-P-行权价格 白糖期权 郑商所 客户单边持仓限额(手)* 代码 看涨:CU—合约月份—C—行权价 格 看跌:CU—合约月份—P—行权价 看涨:RU—合约月份—C—行权价 格 格 看跌:RU—合约月份—P—行权价 看涨:BR—合约月份—C—行权价 丁二烯橡胶期权 格 格 看跌:BR—合约月份—P—行权价 看涨:AU—合约月份—C—行权价 黄金期权 格 格 看跌:AU—合约月份—P—行权价 格 标的期货合约挂牌至交割月份前第二 月的最后一个交易日 标的期货合约交割月前第一月 客户:8000 做市商:10000 客户:3000 做市商:3200 客户:500 做市商:1000 客户:150 做市商:300 客户:1000 客户:300 客户:9000 客户:2700 上期所 铝期权 锌期权 看涨:AL—合约月份—C—行权价 格 看跌:AL—合约月份—P—行权价 看涨:ZN—合约月份—C—行权价 格 格 客户:10000 客户:3000 客户:6000 客户:2400 螺纹钢期权 看跌:ZN—合约月份—P—行权价 看涨:RB—合约月份—C—行权价 格 格 客户:90000 客户:4500 白银期权 看跌:RB—合约月份—P—行权价 看涨:AG—合约月份—C—行权价 格 格 客户:9000 客户:2700 看跌:AG—合约月份—P—行权价 格 能源中心 标的期货合约挂牌至交割月份前第三 标的期货合约交割月前第 标的期货合约交割月 月的最后一个交易日 二月 前第一月 看涨:SC—合约月份—C—行权价 客户:3000 格 看涨:SI—合约月份—C—行权价 看跌:SC—合约月份—P—行权价 工业硅期权 格 广期所 看跌:SI—合约月份—P—行权价 看涨:lc—合约月份—C—行权价 碳酸锂期权 格 看跌:lc—合约月份—P—行权价 *期权买单边持仓:客户持有的某月份期权合约中所有看涨期权的买持仓量和看跌期权的卖持仓量之和 格 原油期权 客户:1500 客户:500 3000手 3000手 期权卖单边持仓:客户持有的某月份期权合约中所有看涨期权的卖持仓量和看跌期权的买持仓量之和 备注: 1. 期权合约与期货合约不合并限仓。 2. 期权合约时间阶段的划分与标的期货合约相同。 3. 交易所可以根据市场情况对期权限仓标准进行调整并公布。 4. 交易所持仓限额未能满足客户需求的,持有期权标的期货品种套期保值资格、进行套利交易以及从事做市商业务的非期货公司会员 和客户,可向监察部申请持仓豁免。 5.具有实际控制关系的账户按照一个账户管理。 6.铜期货和铜期权、天胶期货和天胶期权可以共用获批的套期保值交易头寸。 7.同一客户某一月份沪深300股指期权合约单边持仓限额,在不同会员处持仓合并计算。 8.客户所持有的按单边计算的某月份郑商所期权合约,投机与套利持仓之和不得超过投机持仓限额的2倍。 9.IF/IC/IM/IH/TS/TF/T的活跃期货合约标准为单边持仓量达到1万手以上(含)的合约和当月合约;IO/HO的活跃期权月份标准为累计单 边持仓量达到3万手以上(含)的合约月份和当月合约月份;MO的活跃期权月份标准为累计单边持仓量达到2万手以上(含)的合约月份 和当月合约月份。 期货交易限额明细表202308 交易所 大商所 品种 代码 合约 客户单日开仓量 (手)* 焦炭 j 各月份 50 焦煤 jm 各月份 1000 2309 1000 铁矿石 i 其他月份 2000 各月份 500 品种 1000 各月份 10000 生猪 lh 棕榈油 p 玉米 c 液化气 pg 各月份 10000 黄大豆二号 b 2310-2312 2000 螺纹钢 rb 镍 ni 热轧卷板 hc 不锈钢 ss 股指期货 IC/IF /IH/I M 动力煤 ZC 硅铁 SF 锰硅 SM 红枣 CJ 郑商所 玻璃 FG 菜粕 RM 纯碱 能源中心 集运指数( 欧线) SA EC 1、某一个交易日超过交易限额的,暂停其该品种当日开 仓交易; 2、累计2个交易日(含2个)以上超过交易限额的,自下 一交易日起暂停其该品种开仓交易3个交易日; 3、情节严重的,按照《大连商品交易违规处理办法》处 理。 1、对违反规定的实际控制关系账户组,从下一交易日起 ,对其限制开仓3个交易日。 2、情节严重的,按《上海期货交易所违规处理办法》处 理。 上期所 中金所 交易所对超出交易限额的处罚措施 500 2309-2408 1、第1次超过交易限额的,限制开仓5个交易日。 2、第2次超过交易限额的,限制开仓10个交易日。 3、第3次及以上,限制开仓1个月。 20 1、第1次超过交易限额的,报告相关情况并暂停开仓不低 于5个交易日。 2、累计2个交易日超过交易限额的,暂停品种开仓不低于 1个月。 3、情节严重的,按照《郑州商品交易所违规处理办法》 有关规定处理。 2309-2310 300 2311-2312 1000 2401-2408 10000 各月份 1000 1.对超过交易限额的非期货公司会员、境外特殊非经纪参 与者或者客户,交易所可以采取电话提示、要求报告情况 、要求提交书面承诺、列入重点监管名单、限制开仓、限 广期所 工业硅 si 各月份 3000 期平仓等措施, 2.情节严重的按照《广州期货交易所违规违约处理办法》 有关规定执行。 *单日开仓量定义:1、大商所:指客户某个交易日在某个品种所有合约上的买开仓数量与卖开仓数量之和。 2、上期所:指客户在某一交易日某一合约上的买开仓报单数量与卖开仓报单数量之和。 3、郑商所:指客户当日在某品种期货单个合约上的买开仓数量与卖开仓数量之和。 备注: 1、套期保值交易和做市交易的开仓数量不受此限制。 2、大商所对具有实际控制关系的账户按照一个账户管理。 3、上期所、能源中心对实际控制关系账户组日内开仓交易的最大数量参考单个客户执行。 4、郑商所对实际控制关系账户组单日开仓交易的最大数量按照单个客户执行。 股指期权交易限额明细表202212 交易所 品种 代码 看涨:IO—合约 月份—C—行权价 格 沪深300 看跌:IO—合约 股指期权 月份—P—行权价 格 看涨:MO—合约 月份—C—行权价 中国金 中证1000 格 融期货 股指期权 看跌:MO—合约 月份—P—行权价 交易所 格 看涨:HO—合约 月份—C—行权价 格 上证50股 看跌:HO—合约 指期权 月份—P—行权价 格 品种日内 单月份合约 单个深度虚 * 开仓交易 日内开仓交 值合约 日内 最大数量 易最大数量 开仓交易最 大数量 200 交易所对超出交易限额的处罚措施 100 30 200 100 1.第一次出现违反上述规定的情形,交易所 将对其采取限制开仓5个交易日的措施。 2.第二次出现,交易所将对其采取限制开仓 30 10个交易日的措施。 3.第三次及以上出现,交易所将对其采取限 制开仓1个月的措施。 4.情节严重的,按《中国金融期货交易所违 规违约处理办法》的有关规定处理。 200 100 30 *日内开仓交易的最大数量:客户某一交易日某一品种、某一月份合约或某一合约上的买开仓数量与卖开仓数量之和 *深度虚值合约:同一月份合约中,行权价格高于上一交易日合约标的指数收盘价的第十个及以上的看涨期权合约和行权 价格低于上一交易日合约标的指数收盘价的第十个及以下的看跌期权合约 备注: 1.套期保值交易、做市交易的开仓数量不受此限。 2.具有实际控制关系的账户组开仓数量合并计算,其标准与单个客户相同。 3.客户单日在多个合约上达到交易所处理标准的,按照一次认定。 交易所 违规行为类型 具体条文 对应条款 (一)利用分仓等不正当手段,规避交易所持仓限制 的; 做市商或者客户等期货市 (二)持仓超限且被交易所强行平仓的,但因价格涨 场参与者违反交易所持仓 跌停板限制或者其他市场原因未能及时平仓的除外; 管理规定行为 (三)多次在交割月份合约或者临近交割月份合约持 仓超限的; (四)违反交易所持仓管理规定的其他行为 第二十六条 (一)利用分仓等不正当手段,规避能源中心持仓限 制的; 做市商或者客户等期货市 (二)持仓超限被能源中心强行平仓的,但因价格涨 能源中心 场参与者违反能源中心持 跌停板限制或者其他市场原因未能自行平仓的除外; 仓管理规定行为 (三)多次在交割月或者临近交割月合约持仓超限的 ; (四)违反能源中心持仓管理规定的其他行为。 第二十六条 大商所 上期所 郑商所 中金所 (一)利用分仓等不正当手段,规避交易所持仓限制 的; 做市商或者客户等期货市 (二)持仓超限被交易所强行平仓的,但因价格涨跌 场参与者违反交易所持仓 停板限制或者其他市场原因未能自行平仓的除外; 管理规定行为 (三)多次在交割月或者临近交割月合约持仓超限的 ; (四)违反交易所持仓管理规定的其他行为。 (一)利用分仓等不正当手段,规避交易所持仓限制 的; 做市商或者客户等期货市 (二)持仓超限且被交易所强行平仓的,但因价格涨 场参与者违反交易所持仓 跌停板限制或者其他市场原因未能及时平仓的除外; 管理规定行为 (三)多次在交割月或者临近交割月合约持仓超限的 ; (四)违反交易所持仓管理规定的其他行为。 (一)利用分仓等不正当手段,规避交易所持仓限制 的; 做市商或者客户等期货市 (二)持仓超限且被交易所强行平仓的,但因价格涨 场参与者违反交易所持仓 跌停板限制或者其他市场原因未能及时平仓的除外; 管理规定行为 (三)多次在交割月份合约或者临近交割月份合约持 仓超限的; (四)违反交易所持仓管理规定的其他行为。 第二十四条 第二十五条 第三十条 处罚措施 实施时间 备注 1、责令改正,没收违规所得; 违规持仓 2、交易所可以根据情节轻重给予警告、通报批评、 总金额是 公开谴责、强行平仓、暂停开仓交易12个月以下、暂 2021.12.1 指违规持 停部分期货或者期权业务、取消相应资格的纪律处分 .起 仓数量的 ; 合约价值 3、可以并处其违规持仓总金额5%以下的罚款 1、责令改正,没收违规所得; 2、能源中心可以根据情节轻重给予强行平仓、警告 、通报批评、公开谴责、暂停开仓交易12个月以下、 2022.1.1. 暂停部分期货或者期权业务、取消相应资格的纪律处 起 分; 3、可以并处其违规持仓总金额5%以下的违规惩罚金 1、责令改正,没收违规所得; 2、交易所可以根据情节轻重给予强行平仓、警告、 2022.1.1. 通报批评、公开谴责、暂停开仓交易12个月以下、暂 起 停部分期货或期权业务、取消相应资格的纪律处分; 3、可以并处其违规持仓总金额5%以下的罚款 1、责令改正,没收违规所得; 违规持仓 2、交易所可以根据情节轻重给予强行平仓、警告、 总金额是 通报批评、公开谴责、暂停开仓交易12个月以下、暂 2021.12.1 指违规持 停部分期货或者期权业务、取消相应资格的纪律处分 .起 仓数量的 ; 合约价值 3、可以并处其违规持仓总金额5%以下的罚款 1、责令改正,没收违规所得; 2、交易所可以根据情节轻重给予警告、通报批评、 公开谴责、限制开仓12个月以下、强行平仓、暂停或 2021.11.1 者限制业务、调整或者取消相关业务资格的纪律处分 9.起 ; 3、可以收取其违规持仓总金额5%以下的惩罚性违约 金

相关文章