点击下载附件:2016-2017学年优秀学生个人和先进班集体名单.xls
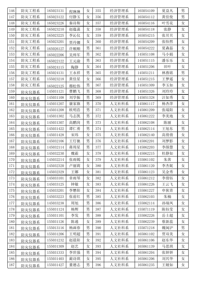
附件: 2016-2017学年优秀学生个人和先进班集体名单 1.年度人物 序号 系别 班级学号 姓名 性别 序号 1 地震科学系 155013211 郭明明 男 系别 班级学号 姓名 性别 系别 班级学号 姓名 性别 2.三好学生标兵 序号 系别 班级学号 姓名 性别 序号 1 地震科学系 145014133 徐怡然 女 11 灾害信息工程系 145043136 吴佳冰 男 2 地震科学系 155013211 郭明明 男 12 灾害信息工程系 155042229 张佳宝 男 3 地震科学系 155012111 王松 女 13 灾害信息工程系 155043208 常生 男 4 防灾工程系 155025223 潘益中 男 14 灾害信息工程系 165042209 曾泽亮 男 5 防灾工程系 155022302 张昊南 男 15 经济管理系 155052117 宋美瑶 女 6 防灾工程系 165023120 窦莎 女 16 经济管理系 155054119 路可音 女 7 防灾工程系 165024118 刘振江 男 17 经济管理系 155051113 谈云龙 男 8 防灾仪器系 145031307 高鹏岗 男 18 人文社科系 155061105 邢静 女 9 防灾仪器系 155031211 贾思雨 女 19 人文社科系 165062226 苗静 女 10 防灾仪器系 155033204 贾欣宇 女 20 外语系 165071109 张舒敏 女 系别 班级学号 姓名 性别 3.三好学生 序号 系别 班级学号 姓名 性别 序号 1 地震科学系 155013121 侯礼富 男 210 防灾仪器系 165031417 李鹏鹏 男 2 地震科学系 155013111 程保罗 男 211 防灾仪器系 165031425 王春雷 男 3 地震科学系 155013219 苏思羽 女 212 防灾仪器系 165032108 张旻萱 女 4 地震科学系 155013205 李帅 男 213 防灾仪器系 165032110 陈思思 女 5 地震科学系 155013206 邓聪聪 男 214 防灾仪器系 165032130 黄诗 女 6 地震科学系 155013235 刘孟 女 215 防灾仪器系 165032204 吴梦婷 女 7 地震科学系 155013211 郭明明 男 216 防灾仪器系 165032209 管晓菲 女 8 地震科学系 155011109 梁思维 男 217 防灾仪器系 165032241 杨凤娟 女 9 地震科学系 155011218 程程 女 218 防灾仪器系 165032230 陈卓琳 女 10 地震科学系 155012119 韩元珍 女 219 防灾仪器系 165032203 任继英 女 11 地震科学系 155014117 贺佳怡 女 220 防灾仪器系 165033110 杜诗杰 男 12 地震科学系 165012114 彭引 女 221 防灾仪器系 165033129 杨福蓉 女 13 地震科学系 165012105 张梦薇 女 222 防灾仪器系 165033211 胡海 男 14 地震科学系 165013131 吴佳怡 女 223 防灾仪器系 165033214 朱琳 女 15 地震科学系 165014233 姚莎莎 女 224 165033203 徐一笑 女 16 地震科学系 165014206 王萌 女 225 防灾仪器系 灾害信息工程系 145041105 张乔 女 17 地震科学系 145011105 爨伊博 男 226 灾害信息工程系 145041117 蔡懿轩 女 18 地震科学系 145011107 刘建琴 女 227 灾害信息工程系 145041121 王娟 女 19 地震科学系 145011215 姬东姣 女 228 灾害信息工程系 145041203 冯璐璐 女 20 地震科学系 145012104 王佑轩 男 229 灾害信息工程系 145041309 李若妍 女 21 地震科学系 145012115 马小英 女 230 灾害信息工程系 145042104 滕玥菡 女 22 地震科学系 145011109 马勇飞 男 231 灾害信息工程系 145042115 王耕宇 男 23 地震科学系 145012205 刘爽 女 232 灾害信息工程系 145042203 李霄汉 男 24 地震科学系 145025113 赵晨阳 女 233 灾害信息工程系 145042242 唐玉珍 女 25 地震科学系 145014116 冯肖嘉文 女 234 灾害信息工程系 145042304 王晓亚 女 26 地震科学系 145014103 冯鸣奇 男 235 灾害信息工程系 145042322 韩定良 男 27 地震科学系 145014209 何挺 男 236 灾害信息工程系 145043147 张悦 女 28 地震科学系 145014206 张培浩 男 237 灾害信息工程系 145043216 田慧娇 女 29 地震科学系 155012121 李欣欣 女 238 灾害信息工程系 145043238 卓琪瑶 女 30 地震科学系 155012118 王二帅 男 239 灾害信息工程系 145043242 张瑾 女 31 地震科学系 155012207 范存金 男 240 灾害信息工程系 145043304 商铭娟 女 32 地震科学系 155012227 山谨铭 男 241 灾害信息工程系 145043339 张雨婕 女 33 地震科学系 155012139 陈慧 女 242 灾害信息工程系 155041109 杨博 女 34 地震科学系 155012111 王松 女 243 灾害信息工程系 155041113 张晓蕾 女 35 地震科学系 155025115 廖贞松华 男 244 灾害信息工程系 155041142 娄佑嘉 女 36 地震科学系 155011211 武玮洁 女 245 灾害信息工程系 145043136 吴佳冰 男 37 地震科学系 155011206 王步强 男 246 灾害信息工程系 155041220 王凌霄 女 38 地震科学系 155014217 李凯 男 247 灾害信息工程系 155041221 谢焕丽 女 39 地震科学系 155014209 王春 女 248 灾害信息工程系 155041247 王雨欣 女 40 地震科学系 155043221 肖雨辰 女 249 灾害信息工程系 155042103 田学法 男 41 地震科学系 165012118 薛琪 女 250 灾害信息工程系 155042113 王玲 女 42 地震科学系 165012108 叶玉莹 女 251 灾害信息工程系 155042119 杨菁菁 女 43 地震科学系 165012215 齐岑钰 女 252 灾害信息工程系 155042204 韩琴琴 女 44 地震科学系 165054212 王星月 女 253 灾害信息工程系 155042208 贾淑影 女 45 地震科学系 165013111 王健 男 254 灾害信息工程系 155042213 李孟飞 女 46 地震科学系 165013104 李梦玲 女 255 灾害信息工程系 155042231 王泽伟 男 47 地震科学系 165013227 牛西蒙 男 256 灾害信息工程系 155042245 喻妍 女 48 地震科学系 165013221 马丹贞 女 257 灾害信息工程系 155043101 吴航宇 女 49 地震科学系 145014133 徐怡然 女 258 灾害信息工程系 155043105 杨帆 女 50 地震科学系 145012203 吕敏 女 259 灾害信息工程系 155043117 左利宇 女 51 地震科学系 145013113 湛礼卿 男 260 灾害信息工程系 155043202 谭玲 女 52 地震科学系 145013104 邢淑晓 女 261 灾害信息工程系 155043209 李鑫悦 女 53 地震科学系 145013217 曾志杰 男 262 灾害信息工程系 155043224 乔旭 男 54 地震科学系 145013223 张钰莎 女 263 灾害信息工程系 155043308 何冬冬 男 55 地震科学系 165011119 陈欣洁 女 264 灾害信息工程系 155043317 郑晓惠 女 56 地震科学系 165011128 王思维 女 265 灾害信息工程系 155043335 孟德 男 57 地震科学系 165011215 成鹏 男 266 灾害信息工程系 165041101 刘红红 女 58 地震科学系 165011205 王瑶 女 267 灾害信息工程系 165041104 魏宇虹 女 59 地震科学系 165014114 庄思蝶 女 268 灾害信息工程系 165041127 舒斯琪 女 60 地震科学系 165014127 徐琦 男 269 灾害信息工程系 165041135 段志丽 女 61 地震科学系 165014213 郑玥 女 270 灾害信息工程系 165041223 周仪 男 62 地震科学系 165014230 刘笛 女 271 灾害信息工程系 165041224 李梵若 男 63 地震科学系 165015107 张浩楠 男 272 灾害信息工程系 165041235 王蕊 女 64 地震科学系 165015105 刘亚鑫 男 273 灾害信息工程系 165041239 王奇慧 女 65 地震科学系 165015229 宋亚男 女 274 灾害信息工程系 165042118 查科宇 男 66 地震科学系 165015225 吴建军 男 275 灾害信息工程系 165042129 贾俊辉 男 67 地震科学系 145014108 李思菡 女 276 灾害信息工程系 165042133 黄茂娟 女 68 地震科学系 145014111 翟泽宇 男 277 灾害信息工程系 165042209 曾泽亮 男 69 地震科学系 155014118 肖丽珍 女 278 灾害信息工程系 165042216 单小虎 男 70 地震科学系 155014109 王海瑜 女 279 灾害信息工程系 165042225 李竹 女 71 防灾工程系 155022104 程晓阳 男 280 灾害信息工程系 165043101 孙瑞佳 女 72 防灾工程系 155022117 杨巧巧 女 281 灾害信息工程系 165043104 冯硕 男 73 防灾工程系 155022101 陆兆昊 男 282 灾害信息工程系 165043118 王晨 女 74 防灾工程系 155022221 王存利 男 283 灾害信息工程系 165043120 肖航 男 75 防灾工程系 155022223 章力元 男 284 灾害信息工程系 165043122 刘星 女 76 防灾工程系 155033123 黄思瑜 女 285 灾害信息工程系 165043121 王紫薇 女 77 防灾工程系 155022302 张昊南 男 286 灾害信息工程系 165043144 李昭霖 女 78 防灾工程系 155022306 孙鹏轩 女 287 灾害信息工程系 165043214 曾志帆 男 79 防灾工程系 155022308 赵欣杰 男 288 灾害信息工程系 165043228 高峰 男 80 防灾工程系 155023111 梁美涛 女 289 灾害信息工程系 165043229 罗星宇 男 81 防灾工程系 155023126 樊蕊 女 290 灾害信息工程系 165043234 夏立升 男 82 防灾工程系 155023105 女 291 灾害信息工程系 165044101 王嘉豪 男 83 防灾工程系 155023206 房纯旭 张梅娟 女 292 灾害信息工程系 165044104 王少奇 男 84 防灾工程系 155023235 穆道超 男 293 灾害信息工程系 165044107 欧阳馨霆 女 85 防灾工程系 155023217 孔金金 女 294 灾害信息工程系 165044110 覃浩航 男 86 防灾工程系 155024113 杨瑜 女 295 灾害信息工程系 165044122 毕思琦 女 87 防灾工程系 155024123 王立诗云 女 296 灾害信息工程系 165044131 倪诚 男 88 防灾工程系 155024126 魏僮 女 297 灾害信息工程系 165044217 刘敏 女 89 防灾工程系 155024214 黄勇 男 298 灾害信息工程系 165044237 卢钰均 男 90 防灾工程系 155024219 姜姝芬 女 299 灾害信息工程系 165044239 谷若辰 女 91 防灾工程系 155024216 陈航航 女 300 经济管理系 145052111 丰铭聪 女 92 防灾工程系 145021137 唐彬 男 301 经济管理系 145052112 杜娟娟 女 93 防灾工程系 145021208 彭高宇 男 302 经济管理系 145054202 王宁 女 94 防灾工程系 155024110 杨港莉 女 303 经济管理系 145062226 刘艳辉 女 95 防灾工程系 155022309 顾明洋 男 304 经济管理系 145052312 胡丽君 女 96 防灾工程系 155024103 徐子姮 女 305 经济管理系 145061204 苑菲 女 97 防灾工程系 145024230 张翀 男 306 经济管理系 145052409 张咪 女 98 防灾工程系 145024138 赵峻虹 女 307 经济管理系 145052414 程瑜 女 99 防灾工程系 145032303 郝瑞康 男 308 经济管理系 145052416 陈昕童 男 100 防灾工程系 155021118 彭再维 男 309 经济管理系 145053101 李春阳 女 101 防灾工程系 155021121 马会佳 女 310 经济管理系 145053114 吉萌萌 女 102 防灾工程系 155021123 库锴 男 311 经济管理系 165053103 彭丽肖 女 103 防灾工程系 155012209 刘振东 男 312 经济管理系 165053106 李雪琴 女 104 防灾工程系 155021211 范孝艺 男 313 经济管理系 145054111 余玉娟 女 105 防灾工程系 155021214 陈金雨 男 314 经济管理系 145054130 曹琼 女 106 防灾工程系 155025118 刘帝根 男 315 经济管理系 145051219 吴瑜 女 107 防灾工程系 155025119 刘志洋 男 316 经济管理系 145054234 申学敏 女 108 防灾工程系 155025131 王志雄 男 317 经济管理系 155052117 宋美瑶 女 109 防灾工程系 155025211 贾志杰 男 318 经济管理系 155052121 高吉星 女 110 防灾工程系 155025213 叶艳芳 女 319 经济管理系 155052122 郭佩青 女 111 防灾工程系 155025214 张国曌 男 320 经济管理系 155052216 谢昊彤 女 112 防灾工程系 155025223 潘益中 男 321 经济管理系 155052219 王雯 女 113 防灾工程系 165025102 蒲君怡 女 322 经济管理系 155052220 董璟漪 女 114 防灾工程系 165025110 冯栋 男 323 经济管理系 155052301 张春宇 女 115 防灾工程系 165025112 王叙强 男 324 经济管理系 155052315 周妍岩 女 116 防灾工程系 165025202 赵亚超 男 325 经济管理系 155052326 冯晖 女 117 防灾工程系 165025214 詹明俊 男 326 经济管理系 155052330 刘鸿 女 118 防灾工程系 165025224 梁怡镕 女 327 经济管理系 155053118 孙溪敏 女 119 防灾工程系 165022106 左杰 男 328 经济管理系 155053123 张洁 女 120 防灾工程系 165022113 陈奕臻 男 329 经济管理系 155053127 潘星 男 121 防灾工程系 165022115 吕京 男 330 经济管理系 155054112 林佳欣 女 122 防灾工程系 165022132 秦雨柔 女 331 经济管理系 155054119 路可音 女 123 防灾工程系 165022201 周明 男 332 经济管理系 155054122 王敏敏 女 124 防灾工程系 165053108 梁威 男 333 经济管理系 155054218 李施璠 女 125 防灾工程系 165025217 李宁 男 334 经济管理系 155054219 董伟雯 女 126 防灾工程系 165024107 明兴涛 男 335 经济管理系 155051109 吕明晓 女 127 防灾工程系 165024118 刘振江 男 336 经济管理系 155051133 马凌婕 女 128 防灾工程系 165024122 张永奇 男 337 经济管理系 155051142 赵喆 女 129 防灾工程系 165024133 王灵巧 女 338 经济管理系 155051243 李冬冬 男 130 防灾工程系 165024206 张田迪 女 339 经济管理系 155054207 翟宇桐 女 131 防灾工程系 165024223 裴鸿 男 340 经济管理系 165051115 马露 女 132 防灾工程系 165024238 项颂阳 男 341 经济管理系 165051126 朱诗秋 女 133 防灾工程系 165024239 李千里 男 342 经济管理系 165051128 陈清铌 女 134 防灾工程系 165026106 殷程凯 男 343 经济管理系 165051202 祝甲甲 女 135 防灾工程系 165026114 吴聪 男 344 经济管理系 165051208 许莉 女 136 防灾工程系 165026116 胡传江 男 345 经济管理系 165051211 赵雅慧 女 137 防灾工程系 145025208 经济管理系 165051224 李雪 女 防灾工程系 145022417 女 男 346 138 马美帅 徐飞 347 经济管理系 165052102 邸梦森 男 139 防灾工程系 145022307 莫鑫 男 348 经济管理系 165052117 姜欣辰 女 140 防灾工程系 145053115 刘璐 女 349 经济管理系 165052210 韩琪 女 141 防灾工程系 145023109 袁海兰 女 350 经济管理系 165052228 林世鑫 男 142 防灾工程系 145023225 杨志文 男 351 经济管理系 165052514 张雨晴 女 143 防灾工程系 145025116 王文金 男 352 经济管理系 165052517 许涔钰 女 144 防灾工程系 165023102 李华真 女 353 经济管理系 165052518 李晨宇 女 145 防灾工程系 165023120 窦莎 女 354 经济管理系 165054106 刘昭含 女 146 防灾工程系 165023131 女 355 经济管理系 165054109 夏益凡 男 165023122 程琳琳 付静玉 147 防灾工程系 女 356 经济管理系 165054112 黄佳俊 男 148 防灾工程系 165023226 秦诗斯 女 357 经济管理系 165054116 叶雪花 女 149 防灾工程系 165023210 赵蕴菡 女 358 经济管理系 165054118 张静 女 150 防灾工程系 165023225 李沁仪 女 359 经济管理系 165054215 张贝贝 女 151 防灾工程系 165023201 贾丹娜 女 360 经济管理系 165054209 张怡然 女 152 防灾工程系 165026127 许顺顺 男 361 经济管理系 165054222 夏森磊 女 153 防灾工程系 165022206 吴帅军 男 362 经济管理系 145051108 马小娟 女 154 防灾工程系 165022122 王元渝 男 363 经济管理系 145051115 潘乐乐 女 155 防灾工程系 364 经济管理系 145051206 田叶 女 防灾工程系 陶静 王永祥 女 156 165024115 165024131 男 365 经济管理系 145051211 林燕铭 男 157 防灾工程系 155023218 黄佳星 女 366 经济管理系 145051215 王梦遥 女 158 防灾工程系 367 经济管理系 145051309 李玉如 女 防灾仪器系 穆松伟 曹鹏飞 男 159 165022125 145031121 男 368 经济管理系 145051326 刘玲玲 女 160 防灾仪器系 145031108 刘学振 男 369 经济管理系 145051328 汪如秀 女 161 防灾仪器系 145031207 康家旗 男 370 人文社科系 145061117 杨杏萍 女 162 防灾仪器系 145031208 欧明浩 男 371 人文社科系 145061209 张端阳 女 163 防灾仪器系 145031302 马志凯 男 372 人文社科系 145061222 李美地 女 164 防灾仪器系 145031307 高鹏岗 男 373 人文社科系 145062108 陈丽 女 165 防灾仪器系 145031422 谭仁勇 男 374 人文社科系 145062114 王旭东 男 166 防灾仪器系 145031428 宋玮 女 375 人文社科系 145062140 高倩倩 女 167 防灾仪器系 145032106 王灯驰 男 376 人文社科系 145062201 刘梦影 女 168 防灾仪器系 145032114 蒋周星 男 377 人文社科系 145062203 李颜慧 女 169 防灾仪器系 145032230 魏霜 女 378 人文社科系 145062215 杜静如 女 170 防灾仪器系 145032214 张雨嫣 女 379 人文社科系 155061102 朱茜 女 171 防灾仪器系 145032320 卢丽莉 女 380 人文社科系 155061120 李杰妮 女 172 防灾仪器系 145032329 王娜 女 381 人文社科系 155061123 吴金秀 女 173 防灾仪器系 145033101 章雨琴 女 382 人文社科系 155061212 李倩钰 女 174 防灾仪器系 145033125 钟敏 女 383 人文社科系 155061226 王云飞 女 175 防灾仪器系 145033201 李懋阳 女 384 人文社科系 155061227 申狄青 女 176 防灾仪器系 145033223 张前红 男 385 人文社科系 155062103 朱楠 女 177 防灾仪器系 145033238 周旭 男 386 人文社科系 155062114 孙瑞凤 女 178 防灾仪器系 155031124 杨辉 男 387 人文社科系 155071119 陈钰莹 女 179 防灾仪器系 155031101 李发 男 388 人文社科系 155062226 岳士超 女 180 防灾仪器系 155031126 陈通 女 389 人文社科系 155062239 蔡新蕊 女 181 防灾仪器系 155013116 杨画春 男 390 人文社科系 155071218 魏闽沪 男 182 防灾仪器系 155031206 王明超 男 391 人文社科系 165061102 贾双美 女 183 防灾仪器系 155031232 赵晨阳 女 392 人文社科系 165061106 赵东华 女 184 防灾仪器系 155031309 赵艺 女 393 人文社科系 165061139 马思琪 女 185 防灾仪器系 155031333 李世强 男 394 人文社科系 165061204 张妍妍 女 186 防灾仪器系 155031403 蔺诗琪 女 395 人文社科系 165061206 刘兴华 女 187 防灾仪器系 155031427 董德志 男 396 人文社科系 165061235 王娅如 女 188 防灾仪器系 155031432 董宝鑫 男 397 人文社科系 165062101 王燕 女 189 防灾仪器系 155032102 陈佩友 男 398 人文社科系 165062113 刘家玉 男 190 防灾仪器系 155032121 谷小川 男 399 人文社科系 165062114 杜珂君 女 191 防灾仪器系 155032111 袁莎莎 女 400 人文社科系 165062205 郝思迪 女 192 防灾仪器系 155032108 孔维信 女 401 人文社科系 165062209 李佩璇 女 193 防灾仪器系 155032229 郭传祥 男 402 人文社科系 165062224 刘鹏 男 194 防灾仪器系 155032228 刘丽杰 女 403 人文社科系 165062234 茹亚玲 女 195 防灾仪器系 155031211 贾思雨 女 404 外语系 145071109 刘孙钊 男 196 防灾仪器系 155033103 向炬 男 405 外语系 145071110 姚兰君 女 197 防灾仪器系 155033108 张梦莹 女 406 外语系 145071219 谢齐 女 198 防灾仪器系 155033104 徐小港 男 407 外语系 145071225 奠飞儿 女 199 防灾仪器系 155033220 惠苇桐 女 408 外语系 155071123 谭宏彬 男 200 防灾仪器系 155033209 苏相如 男 409 外语系 155071106 师芳钰 女 201 防灾仪器系 165031115 杨伊铭 男 410 外语系 155071116 杨天羽 女 202 防灾仪器系 165031127 文洪青 女 411 外语系 155071132 王志璇 女 203 防灾仪器系 165031221 何新易 男 412 外语系 155071229 张羡 女 204 防灾仪器系 165031225 陈汝焘 女 413 外语系 155071210 贺嘉琳 女 205 防灾仪器系 165031310 彭锦 男 414 外语系 206 防灾仪器系 165031312 徐睿 男 415 外语系 155071224 165071103 张健 费羽佳 女 女 207 防灾仪器系 165032207 许文杰 男 416 外语系 165071123 洪刘生 男 208 防灾仪器系 165031323 王响 女 417 外语系 165071229 楚换丽 女 209 防灾仪器系 165031412 张庆祥 男 418 外语系 165062228 邓斌 男 系别 班级学号 姓名 性别 4.优秀学生干部 序号 系别 班级学号 姓名 性别 序号 1 地震科学系 145011112 陈伟 男 125 防灾仪器系 165032107 黄元昊 男 2 地震科学系 155014134 陈俊达 男 126 防灾仪器系 165032205 王祥雨 男 3 地震科学系 145014205 刘博 男 127 防灾仪器系 165031214 朱佳华 男 4 地震科学系 155014131 谢纪强 男 128 防灾仪器系 165032212 黄钦 女 5 地震科学系 145011121 王继业 男 129 防灾仪器系 165033102 王雪颖 女 6 地震科学系 155013136 张成志 男 130 防灾仪器系 165033112 曾繁荣 男 7 地震科学系 155013229 张亚鹏 男 131 165033206 张曼玉 女 8 地震科学系 155012114 付国平 男 132 防灾仪器系 灾害信息工程系 145041101 吕英霞 女 9 地震科学系 155011123 张艺潇 女 133 灾害信息工程系 145041238 杨旋 女 10 地震科学系 155011130 李傲 男 134 灾害信息工程系 145042112 秦壮 男 11 地震科学系 165013107 常家浩 男 135 灾害信息工程系 145042207 蔡佳月 女 12 地震科学系 165012209 张蕊 女 136 灾害信息工程系 145042304 王晓亚 女 13 地震科学系 165011212 王云峰 男 137 灾害信息工程系 145043105 王旭 男 14 地震科学系 165015115 闫恒 男 138 灾害信息工程系 145043209 刘冉冉 女 15 地震科学系 165011130 王娅 女 139 灾害信息工程系 145043227 高帅帅 男 16 地震科学系 145012121 王蔚 女 140 灾害信息工程系 145043308 娄会芳 女 17 地震科学系 145012213 魏舒 女 141 灾害信息工程系 155041150 但珍 女 18 地震科学系 145012236 安宏林 男 142 灾害信息工程系 155041122 王艺爽 女 19 地震科学系 145014109 金健 男 143 灾害信息工程系 155041205 李雪 女 20 地震科学系 165012104 王三达 男 144 灾害信息工程系 155041224 刘柳 女 21 地震科学系 165013117 付浩 男 145 灾害信息工程系 155041234 张文雅 女 22 地震科学系 165013234 王贵龙 男 146 灾害信息工程系 155041246 樊宇琦 女 23 地震科学系 145021113 胡岩松 男 147 灾害信息工程系 155042132 倪海峰 男 24 地震科学系 145013125 贺箫 男 148 灾害信息工程系 155042137 宣子腾 男 25 地震科学系 145013215 刘馨 女 149 灾害信息工程系 155042142 王家丽 女 26 地震科学系 155012117 张乐 男 150 灾害信息工程系 155042221 李浩 男 27 地震科学系 155012204 李鹏飞 男 151 灾害信息工程系 155042229 张佳宝 男 28 地震科学系 155011202 王泽庆 男 152 灾害信息工程系 155042241 徐文成 男 29 地震科学系 155011120 申宇彤 女 153 灾害信息工程系 155043103 曹晶晶 女 30 地震科学系 155011235 王西 男 154 灾害信息工程系 155043104 李瑶 女 31 地震科学系 165011103 刘同振 男 155 灾害信息工程系 155043205 温子馨 女 32 地震科学系 165011214 张锐 女 156 灾害信息工程系 155043243 陈腾飞 男 33 地震科学系 165014125 于浩 男 157 灾害信息工程系 155043332 任海涛 女 34 地震科学系 165014203 张家维 男 158 灾害信息工程系 165041103 尹畅 女 35 地震科学系 165015116 武领秋 男 159 灾害信息工程系 165041120 常梦迪 女 36 地震科学系 165015205 徐晓娜 女 160 灾害信息工程系 165041221 赵雅如 女 37 地震科学系 165015208 张子文 男 161 灾害信息工程系 165041227 阎佳玉 女 38 地震科学系 155011215 王志宇 男 162 灾害信息工程系 165041242 赵悦 女 39 地震科学系 165014219 吴松 男 163 灾害信息工程系 165041245 李玥 女 40 防灾工程系 155021108 王昊 男 164 灾害信息工程系 165042107 姚艾琳 女 41 防灾工程系 155021206 苏少凡 女 165 灾害信息工程系 165042228 钟声 男 42 防灾工程系 155021208 张浩 男 166 灾害信息工程系 165043123 李易 女 43 防灾工程系 155025109 景盼园 女 167 灾害信息工程系 165043235 许启涛 男 44 防灾工程系 155025110 吴季寰 男 168 灾害信息工程系 165044102 史少平 男 45 防灾工程系 155025140 马原 女 169 灾害信息工程系 165044114 闫相锦 男 46 防灾工程系 155025222 任立锋 男 170 灾害信息工程系 165044201 苏琛 女 47 防灾工程系 155025235 马佳骥 男 171 灾害信息工程系 165044213 汪语嫣 女 48 防灾工程系 165025128 金日鑫 男 172 灾害信息工程系 165051218 肖依依 女 49 防灾工程系 165025212 周中飞 男 173 灾害信息工程系 165043107 王超 男 50 防灾工程系 155022101 陆兆昊 男 174 经济管理系 145052114 刘师印 男 51 防灾工程系 155022213 冯晨 男 175 经济管理系 145054240 李新亚 男 52 防灾工程系 155022230 张哲文 男 176 经济管理系 145052310 程慧慧 女 53 防灾工程系 155022301 韦新鑫 男 177 经济管理系 145052402 苏鑫鑫 女 54 防灾工程系 155022315 谢万麒 男 178 经济管理系 145052422 游嘉靖 男 55 防灾工程系 155023101 张霄雨 女 179 经济管理系 145053105 佟怡 女 56 防灾工程系 155023110 李欣璐 女 180 经济管理系 165053110 姜媛慧 女 57 防灾工程系 155023132 陈侠旭 女 181 经济管理系 145054135 王丽 女 58 防灾工程系 155023207 许辉 女 182 经济管理系 145071124 倪闰贵 女 59 防灾工程系 155023208 李瑞莹 女 183 经济管理系 145054222 许丽 女 60 防灾工程系 155024102 王铜川 男 184 经济管理系 145054233 欧坤灵 男 61 防灾工程系 155024237 高怡婧 女 185 经济管理系 155052109 左云瑞 女 62 防灾工程系 155024210 穆一凡 男 186 经济管理系 155052207 申笑林 男 63 防灾工程系 145032327 王永峻 男 187 经济管理系 155071240 丁澄 女 64 防灾工程系 145023201 周田甜 女 188 经济管理系 155053134 乔萌 女 65 防灾工程系 145024101 常仁强 男 189 经济管理系 155054108 王春丽 女 66 防灾工程系 165022103 邱文杨 男 190 经济管理系 155054213 林雪 女 67 防灾工程系 165022111 余鑫 男 191 经济管理系 155054232 辛虹雨 女 68 防灾工程系 165022237 柳明秋 女 192 经济管理系 155051113 谈云龙 男 69 防灾工程系 165024102 陈思彤 女 193 经济管理系 155051230 庄隽雀 女 70 防灾工程系 165024104 李晓月 女 194 经济管理系 165051118 李芳 女 71 防灾工程系 165024109 刘程辉 男 195 经济管理系 165051212 郭斯琪 女 72 防灾工程系 165024112 吴东清 女 196 经济管理系 165052111 陈倩 女 73 防灾工程系 165024113 孙福路 男 197 经济管理系 165052224 林丽婷 女 74 防灾工程系 165024120 杨佳丽 女 198 经济管理系 165054227 王越 女 75 防灾工程系 165024135 吴秀波 男 199 经济管理系 165052513 高涵 男 76 防灾工程系 165024203 代恒 女 200 经济管理系 165052523 黄小林 女 77 防灾工程系 165024209 朱少东 男 201 经济管理系 165052534 刘淼儿 女 78 防灾工程系 165024230 王基 男 202 经济管理系 165054119 申震林 男 79 防灾工程系 165026112 刘岩 男 203 经济管理系 165054201 张硕 男 80 防灾工程系 165026118 刘娟 女 204 经济管理系 165054210 牛蜜娜 女 81 防灾工程系 165026121 姜之阳 男 205 经济管理系 165054228 杨文娟 女 82 防灾工程系 165023101 韩畅 女 206 经济管理系 145051112 史秋霞 女 83 防灾工程系 165023110 汤畅 女 207 经济管理系 145051212 贾杰 男 84 防灾工程系 165023235 张一波 女 208 经济管理系 145051216 王丰 男 85 防灾工程系 165023217 杨晓露 女 209 经济管理系 145051218 李晓蕾 男 86 防灾工程系 145025215 贾晓强 男 210 经济管理系 145051209 张昊然 男 87 防灾工程系 145025229 胡杨 男 211 经济管理系 145051307 李贞洁 女 88 防灾工程系 145022403 闫佳齐 男 212 经济管理系 145051316 金灿跃 男 89 防灾工程系 145022411 姜鹏 男 213 经济管理系 145051329 章斯伟 女 90 防灾工程系 155025225 吴俊杰 男 214 经济管理系 155054110 李诗雨 女 91 防灾工程系 155023104 马晓雯 女 215 经济管理系 145062223 张圣婕 女 92 防灾仪器系 155032104 赵珊珊 女 216 人文社科系 145061132 梁洋铭 男 93 防灾仪器系 155031338 潘钻 男 217 人文社科系 145061206 王然 女 94 防灾仪器系 145031110 申喆 男 218 人文社科系 145061227 陈茜文 女 95 防灾仪器系 145031215 柳俊 男 219 人文社科系 145062124 高雨柔 女 96 防灾仪器系 145031316 齐华囡 男 220 人文社科系 145062210 沈雅燕 女 97 防灾仪器系 125031335 赵金伟 男 221 人文社科系 155061128 朱琳 女 98 防灾仪器系 145032111 朱威锦 男 222 人文社科系 155061202 杨薪 女 99 防灾仪器系 145032201 张寒梅 女 223 人文社科系 155061216 杨阳 男 100 防灾仪器系 145032328 王翔宇 女 224 人文社科系 155061218 叶宏宇 女 101 防灾仪器系 145033119 马琼 女 225 人文社科系 155061228 徐梦梦 女 102 防灾仪器系 145033135 林志刚 男 226 人文社科系 155061240 魏园园 女 103 防灾仪器系 145033226 黄选雄 男 227 人文社科系 155062107 刘兆钰 女 104 防灾仪器系 155031120 尚浩天 男 228 人文社科系 155062204 周爽 女 105 防灾仪器系 155031216 王涤非 男 229 人文社科系 165061123 曾旭昇 男 106 防灾仪器系 155031305 于辉 男 230 人文社科系 165061122 左亚楠 男 107 防灾仪器系 155031322 陈楚桥 男 231 人文社科系 165061224 曾煜 男 108 防灾仪器系 155031420 王尤含 女 232 人文社科系 165061229 彭倩倩 女 109 防灾仪器系 155032129 曾嘉喜 男 233 人文社科系 165062125 方申 男 110 防灾仪器系 155032215 刘佳琪 女 234 人文社科系 165062140 梁名珠 女 111 防灾仪器系 155032213 苑金金 女 235 人文社科系 165062226 苗静 女 112 防灾仪器系 155032106 程晏淇 女 236 人文社科系 155062116 夏文婷 女 113 防灾仪器系 155033126 李玄赟 女 237 人文社科系 155061239 李德然 男 114 防灾仪器系 155033204 贾欣宇 女 238 人文社科系 155062228 陆佳欢 女 115 防灾仪器系 155033210 康惠佳 女 239 外语系 145071221 雪倩 女 116 防灾仪器系 155033241 韩泽明 男 240 外语系 145071206 高兴 女 117 防灾仪器系 165031109 刘亚宋 男 241 外语系 155071140 徐冰瑶 女 118 防灾仪器系 165031123 钟文隆 男 242 外语系 155071126 肖美玉 女 119 防灾仪器系 165031139 丁雪 女 243 外语系 155071233 崔瑞杰 女 120 防灾仪器系 165031201 刘萌萌 女 244 外语系 165071208 袁帅 男 121 防灾仪器系 165031211 夏起磊 男 245 外语系 155071109 刘允 男 122 防灾仪器系 165031305 申瑶 女 246 外语系 165071109 张舒敏 女 123 防灾仪器系 165031336 隆东 男 247 外语系 165071233 谢君鑫 男 124 防灾仪器系 165032102 孙寅静 女 系别 班级学号 姓名 性别 5.社会工作奖 序号 系别 班级学号 姓名 性别 序号 1 地震科学系 165015107 张浩楠 男 40 灾害信息工程系 155041230 徐雯皓 女 2 地震科学系 165014230 刘笛 女 41 灾害信息工程系 155043309 刘春孟 女 3 地震科学系 145013203 王超越 男 42 灾害信息工程系 155043317 郑晓惠 女 4 地震科学系 165015203 高俊杰 男 43 灾害信息工程系 155043333 张林钧 女 5 地震科学系 155012207 范存金 男 44 灾害信息工程系 165041130 王雨婷 女 6 地震科学系 165014129 万宝 女 45 灾害信息工程系 165044102 史少平 男 7 地震科学系 165012103 刘真 女 46 灾害信息工程系 165044131 倪诚 男 8 地震科学系 165012216 徐琴如 女 47 灾害信息工程系 155043310 范亚鹏 男 9 地震科学系 165012111 笪昊翔 男 48 灾害信息工程系 155043306 李洋 男 10 地震科学系 165014206 王萌 女 49 灾害信息工程系 165041130 王雨婷 女 11 地震科学系 165014104 张雄 男 50 灾害信息工程系 165043144 李昭霖 女 12 地震科学系 165014111 刘勇 男 51 灾害信息工程系 165041207 王慧雪 女 13 地震科学系 165011214 张锐 女 52 灾害信息工程系 165043206 白佳明 男 14 防灾工程系 155021118 彭再维 男 53 经济管理系 145052107 刘晓笑 女 15 防灾工程系 155025225 吴俊杰 男 54 经济管理系 145052116 曹亚茜 女 16 防灾工程系 165025224 梁怡镕 女 55 经济管理系 165053104 张雨 女 17 防灾工程系 155022217 王刚 男 56 经济管理系 155052119 夏美娟 女 18 防灾工程系 155024109 崔玉凤 女 57 经济管理系 155054221 韩灵敏 女 19 防灾工程系 155021217 郑志豪 男 58 经济管理系 165051147 帕孜来提·阿布力克木 女 20 防灾工程系 165022112 贾晓虎 男 59 经济管理系 165054133 徐婉童 女 21 防灾工程系 165022137 张家隆 男 60 经济管理系 165054201 张硕 男 22 防灾工程系 165026113 袁雨兰 女 61 经济管理系 165054228 杨文娟 女 23 防灾工程系 165023109 李宗展 男 62 经济管理系 165062230 胡峪渟 女 24 防灾工程系 145023217 钟敏婷 女 63 经济管理系 165062231 陈丽慧 女 25 防灾工程系 165022237 柳明秋 女 64 经济管理系 165054138 杨晓燕 女 26 防灾工程系 165023108 王照淇 女 65 经济管理系 165051116 赵玉燕 女 27 防灾工程系 155023210 王泓霖 男 66 经济管理系 165051124 王俐澎 男 28 防灾工程系 165025128 金日鑫 男 67 人文社科系 155061239 李德然 男 29 防灾仪器系 165031208 侯蛟 男 68 人文社科系 165061101 付璇 女 30 防灾仪器系 155033241 韩泽明 男 69 人文社科系 165061103 于云亭 女 31 防灾仪器系 145033206 王禹森 男 70 人文社科系 165062130 谢雨静 女 32 防灾仪器系 155025212 陈胜旺 男 71 人文社科系 155061211 杨欣 女 33 防灾仪器系 155025215 刘承宇 男 72 人文社科系 165061227 辛姗姗 女 34 防灾仪器系 155031206 王明超 男 73 人文社科系 155061203 杨爽 女 35 防灾仪器系 155031432 董宝鑫 男 74 外语系 165071107 曹亚茹 女 36 防灾仪器系 155031416 赵恒 男 75 外语系 165071110 马晓雨 女 37 防灾仪器系 165031107 韩娜娜 女 76 外语系 155071209 郭宝宇 男 38 防灾仪器系 165031110 伍玉娜 女 77 外语系 165062101 王燕 女 39 灾害信息工程系 145041114 张君鹏 男 78 外语系 165071105 羿秋爽 女 系别 班级学号 姓名 性别 6.学习优秀奖 序号 系别 班级学号 姓名 性别 序号 1 地震科学系 155013121 侯礼富 男 48 防灾仪器系 155033101 汪佳 女 2 地震科学系 155013235 刘孟 女 49 防灾仪器系 155033206 蔡婧 女 3 地震科学系 165011101 史婧 女 50 防灾仪器系 165031225 陈汝焘 女 4 地震科学系 165011205 王瑶 女 51 防灾仪器系 165031310 彭锦 男 5 地震科学系 165014111 刘勇 男 52 防灾仪器系 165031412 张庆祥 男 6 地震科学系 165014124 支徐恬 女 53 防灾仪器系 165032114 蒋涛 男 7 地震科学系 165014206 王萌 女 54 防灾仪器系 165032227 孙鹏翔 男 8 地震科学系 165015105 刘亚鑫 男 55 防灾仪器系 165031204 王文静 女 9 地震科学系 155021110 彭冬冬 男 56 165033102 王雪颖 女 10 地震科学系 155012119 韩元珍 女 57 防灾仪器系 灾害信息工程系 155042205 刘昕蕾 女 11 地震科学系 155012207 范存金 男 58 灾害信息工程系 155043117 左利宇 女 12 地震科学系 155012111 王松 男 59 灾害信息工程系 155043208 常生 男 13 地震科学系 155011112 颜梓幸 女 60 灾害信息工程系 155043335 孟德 男 14 地震科学系 155011211 武玮洁 女 61 灾害信息工程系 165042133 黄茂娟 女 15 地震科学系 155014206 李旭 女 62 灾害信息工程系 165042209 曾泽亮 男 16 地震科学系 165054135 彭清 男 63 灾害信息工程系 165043123 李易 女 17 防灾工程系 155021108 王昊 男 64 灾害信息工程系 165043234 夏立升 男 18 防灾工程系 155021202 丁思蒙 男 65 灾害信息工程系 155041213 潘宇 女 19 防灾工程系 155021205 张权权 男 66 经济管理系 145054202 王宁 女 20 防灾工程系 155025110 吴季寰 男 67 经济管理系 145032103 贾楠 女 21 防灾工程系 155025205 李辉 男 68 经济管理系 145052312 胡丽君 女 22 防灾工程系 165025111 倪嘉伟 男 69 经济管理系 145052409 张咪 女 23 防灾工程系 165025224 梁怡镕 女 70 经济管理系 165053110 姜媛慧 女 24 防灾工程系 155022104 程晓阳 男 71 经济管理系 155052315 周妍岩 女 25 防灾工程系 155022306 孙鹏轩 女 72 经济管理系 155054201 程玉娟 女 26 防灾工程系 155023111 梁美涛 女 73 经济管理系 155051113 谈云龙 男 27 防灾工程系 155023208 李瑞莹 女 74 经济管理系 155054207 翟宇桐 女 28 防灾工程系 155024115 毛力波 男 75 经济管理系 165051118 李芳 女 29 防灾工程系 155024212 魏毅博 男 76 经济管理系 165051224 李雪 女 30 防灾工程系 155022309 顾明洋 男 77 经济管理系 165052111 陈倩 女 31 防灾工程系 145024209 翟超宇 男 78 经济管理系 165052221 唐茜 女 32 防灾工程系 165024118 刘振江 男 79 经济管理系 165052517 许涔钰 女 33 防灾工程系 165023102 李华真 女 80 经济管理系 165054112 黄佳俊 男 34 防灾工程系 165023226 秦诗斯 女 81 经济管理系 165054222 夏森磊 女 35 防灾工程系 82 经济管理系 145051108 马小娟 女 防灾仪器系 许顺顺 李进丽 男 36 165026127 145031127 女 83 经济管理系 145051202 苏亚琪 女 37 防灾仪器系 145031203 郭超然 男 84 经济管理系 145051219 吴瑜 女 38 防灾仪器系 145031309 张磊 男 85 经济管理系 145051301 董兆宇 女 39 防灾仪器系 145031428 宋玮 女 86 人文社科系 165061139 马思琪 女 40 防灾仪器系 145032102 杨柳 女 87 人文社科系 165061204 张妍妍 女 41 防灾仪器系 145032230 魏霜 女 88 人文社科系 165062226 苗静 女 42 防灾仪器系 145032304 孔祥宁 男 89 外语系 155071217 马依晨 女 43 防灾仪器系 145033125 钟敏 女 90 44 防灾仪器系 155031205 苏田 女 91 外语系 外语系 155071219 155071215 朱茜雅 陈欢 女 女 45 防灾仪器系 155031318 王菲菲 女 92 外语系 145071227 张文文 女 46 防灾仪器系 155032134 林翠霞 女 93 外语系 155071123 谭宏彬 男 47 防灾仪器系 155032219 肖安 男 94 外语系 155071122 张慧玲 女 系别 班级学号 姓名 性别 防灾仪器系 145033220 李烁宇 男 7.创新之星 序号 系别 班级学号 姓名 性别 序号 1 地震科学系 165012211 王倩倩 女 23 2 地震科学系 145012203 吕敏 女 24 防灾仪器系 155031116 蒲海霞 女 3 地震科学系 145012112 李莹 女 25 防灾仪器系 155011209 张德印 男 4 地震科学系 145013116 章馨心 女 26 防灾仪器系 155031225 钟铭 男 5 防灾工程系 155021114 牛春 男 27 防灾仪器系 155031401 赵子豪 男 6 防灾工程系 155012209 刘振东 男 28 防灾仪器系 155032108 孔维信 女 7 防灾工程系 155022204 许佳慧 女 29 防灾仪器系 155032219 肖安 男 8 防灾工程系 155022208 田金金 女 30 防灾仪器系 155032221 彭同友 男 9 防灾工程系 165026102 男 31 防灾仪器系 155032208 王鹏 男 10 防灾工程系 165023101 宋晓洋 韩畅 女 32 防灾仪器系 155033103 向炬 男 11 防灾仪器系 145031108 刘学振 男 33 防灾仪器系 155033221 海风 男 12 防灾仪器系 145031219 汤靖茹 女 34 防灾仪器系 155033210 康惠佳 女 13 防灾仪器系 145031209 王永攀 男 35 防灾仪器系 155033201 钟俊杰 男 14 防灾仪器系 145031307 高鹏岗 男 36 165031109 刘亚宋 男 15 防灾仪器系 145031310 骆钰鑫 男 37 防灾仪器系 灾害信息工程系 155042137 宣子腾 男 16 防灾仪器系 145031422 谭仁勇 男 38 灾害信息工程系 155043236 张红霞 女 17 防灾仪器系 145032201 张寒梅 女 39 经济管理系 155052207 申笑林 男 18 防灾仪器系 145032212 刘亚波 男 40 经济管理系 155052216 谢昊彤 女 19 防灾仪器系 145032324 钟卓林 男 41 经济管理系 145051219 吴瑜 女 20 防灾仪器系 145032332 王壮 男 42 人文社科系 145061208 杨群 男 21 防灾仪器系 145033206 王禹森 男 43 人文社科系 145062103 唐旭鹏 男 22 防灾仪器系 145033212 潘圳凌 男 44 人文社科系 145062127 杨艳娣 女 系别 班级学号 姓名 性别 8.道德风尚奖 序号 系别 班级学号 姓名 性别 序号 1 地震科学系 155013219 苏思羽 女 9 防灾仪器系 145032322 肖强强 男 2 地震科学系 165012212 翟阳琳 女 10 165031305 申瑶 女 3 防灾工程系 155025116 张建强 男 11 防灾仪器系 经济管理系 165053139 符易淼 女 4 防灾工程系 165025212 周中飞 男 12 经济管理系 165054104 郑涵予 女 5 防灾工程系 155022217 王刚 男 13 人文社科系 155061225 刘君 女 6 防灾工程系 155023206 张梅娟 女 14 人文社科系 155062132 刘桂萍 女 7 防灾工程系 165024121 沈月 女 15 人文社科系 165062220 白祥川 男 8 防灾工程系 165022125 穆松伟 男 16 外语系 155071120 周琼 女 系别 班级学号 姓名 性别 9.文艺优秀奖 序号 系别 班级学号 姓名 性别 序号 1 地震科学系 155013235 刘孟 女 29 灾害信息工程系 155041237 谢欣怡 女 2 地震科学系 165015113 李玮辰 女 30 灾害信息工程系 165041120 常梦迪 女 3 地震科学系 165015205 徐晓娜 女 31 灾害信息工程系 165041133 陈燕 女 4 地震科学系 155013216 姚雨暘 男 32 灾害信息工程系 165041248 于泓瑶 女 5 地震科学系 145014237 王晓娜 女 33 灾害信息工程系 165043101 孙瑞佳 女 6 地震科学系 165015208 张子文 男 34 灾害信息工程系 165044209 谷刘邓 男 7 地震科学系 165014213 郑玥 女 35 灾害信息工程系 165044222 陈美慧 女 8 地震科学系 165024205 吴羿锋 男 36 灾害信息工程系 165044239 谷若辰 女 9 地震科学系 男 女 灾害信息工程系 165044120 李奕辰 男 防灾工程系 刘亚鑫 梁怡镕 37 10 165015105 165025224 38 灾害信息工程系 165041104 魏宇虹 女 11 防灾工程系 155043313 钱昕 男 39 灾害信息工程系 165041118 刘浩 女 12 防灾工程系 155023218 黄佳星 女 40 经济管理系 165053106 李雪琴 女 13 防灾工程系 155023224 李瑄 女 41 经济管理系 155051238 张艺鹛 女 14 防灾工程系 145024201 魏月茹 女 42 经济管理系 155052218 郭昊 女 15 防灾工程系 165022237 柳明秋 女 43 经济管理系 155054202 苑晓亚 女 16 防灾工程系 165024134 于淼 女 44 经济管理系 155054232 辛虹雨 女 17 防灾工程系 165024102 陈思彤 女 45 经济管理系 155053112 赵辉 男 18 防灾工程系 165024230 王基 男 46 经济管理系 165042103 杜琳 女 19 防灾工程系 165023121 王梓仪 女 47 经济管理系 165051128 陈清铌 女 20 防灾仪器系 165031417 李鹏鹏 男 48 经济管理系 165051202 祝甲甲 女 21 防灾仪器系 145031218 申恒才 男 49 经济管理系 165051221 汪星月 女 22 防灾仪器系 155031311 王梦杰 女 50 经济管理系 165054109 夏益凡 男 23 防灾仪器系 165031204 王文静 女 51 经济管理系 165051127 张瑞敏 女 24 防灾仪器系 165032111 魏磊 男 52 经济管理系 165051147 帕孜来提·阿布力克木 女 25 防灾仪器系 165031214 朱佳华 男 53 人文社科系 155062223 孟欢 女 26 防灾仪器系 165052219 杨心诒 女 54 人文社科系 165062224 刘鹏 男 27 灾害信息工程系 145041136 李睿 女 55 外语系 165071112 龚婷 女 28 灾害信息工程系 155041230 徐雯皓 女 56 外语系 165071111 胡月 女 系别 班级学号 姓名 性别 10.体育优秀奖 序号 系别 班级学号 姓名 性别 序号 1 地震科学系 165014233 姚莎莎 女 31 防灾仪器系 165032208 曾令伟 男 2 地震科学系 165014219 吴松 男 32 防灾仪器系 165032248 李明城 女 3 地震科学系 155013231 周志永 男 33 灾害信息工程系 145041108 王志豪 男 4 地震科学系 155014102 李万霞 女 34 灾害信息工程系 145041330 赵哲函 女 5 地震科学系 155011101 何磊 男 35 灾害信息工程系 145041338 马鑫 男 6 地震科学系 145014125 刘晓东 男 36 灾害信息工程系 155041219 刘平梅 女 7 地震科学系 145014131 林泽昆 男 37 灾害信息工程系 155043105 杨帆 女 8 地震科学系 155011126 刘蜀 男 38 灾害信息工程系 155043333 张林钧 女 9 地震科学系 145012117 李世华 男 39 灾害信息工程系 165041115 蔡林江 男 10 地震科学系 165015120 莫陇琴 女 40 灾害信息工程系 165041126 何磊 女 11 地震科学系 155012212 卢晗凯 男 41 灾害信息工程系 165042135 张思缘 女 12 防灾工程系 155025108 赵嘉兴 男 42 经济管理系 165053114 杜韵佳 女 13 防灾工程系 155025116 张建强 男 43 经济管理系 165053119 焦娜 女 14 防灾工程系 165025212 周中飞 男 44 经济管理系 155052222 徐清吕 女 15 防灾工程系 155043303 叶锦云 女 45 经济管理系 155052330 刘鸿 女 16 防灾工程系 155024145 旦增卓嘎 女 46 经济管理系 155054103 卢思纯 女 17 防灾工程系 155024213 凌鹏飞 男 47 经济管理系 155054236 李红杰 女 18 防灾工程系 155023116 孙果果 女 48 经济管理系 155051210 王倩倩 女 19 防灾工程系 165023120 窦莎 女 49 经济管理系 155051243 李冬冬 男 20 防灾工程系 165024231 王崇阳 男 50 经济管理系 165051145 张小露 女 21 防灾工程系 165022137 张家隆 男 51 经济管理系 165052224 林丽婷 女 22 防灾工程系 165024125 彭兴茂 男 52 经济管理系 165052228 林世鑫 男 23 防灾工程系 165023109 李宗展 男 53 经济管理系 165052523 黄小林 女 24 防灾工程系 165022122 王元渝 男 54 人文社科系 165061134 李迎敏 女 25 防灾仪器系 145031312 程鑫 男 55 人文社科系 165061224 曾煜 男 26 防灾仪器系 145032122 黄一轩 男 56 人文社科系 165061229 彭倩倩 男 27 防灾仪器系 155031429 钟建焘 男 57 人文社科系 165062140 梁名珠 女 28 防灾仪器系 155031433 张昊 男 58 外语系 145071225 奠飞儿 女 29 防灾仪器系 155033217 董桉琪 女 59 外语系 145071139 黄媚敏 女 30 防灾仪器系 165031127 文洪青 女 60 外语系 155071122 张慧玲 女 11.先进班集体 序号 系别 班级 辅导员 序号 系别 班级 辅导员 1 地震科学系 1550132 唐圣华 21 防灾仪器系 1650313 郭越 2 地震科学系 1550142 张玉琛 22 防灾仪器系 1650322 王立 3 地震科学系 1650131 王琮禾 23 灾害信息工程系 1550411 郑丽佳 4 地震科学系 1650121 王琮禾 24 灾害信息工程系 1550422 黄骥超 5 地震科学系 1650111 王鹤 25 灾害信息工程系 1550433 黄骥超 6 地震科学系 1650151 王鹤 26 灾害信息工程系 1650411 李忠华 7 防灾工程系 1550252 齐路晶 27 灾害信息工程系 1650422 纪同娟 8 防灾工程系 1650221 常晁瑜 28 灾害信息工程系 1650432 纪同娟 9 防灾工程系 1650241 常晁瑜 29 灾害信息工程系 1650442 欧阳群波 10 防灾工程系 1650222 常晁瑜 30 经济管理系 1550511 李魁明 11 防灾工程系 经济管理系 1650541 孙乐平 防灾工程系 毕丽娜 安扬 31 12 1650232 1550225 32 经济管理系 1650525 孙乐平 13 防灾工程系 1550222 裴孝金 33 经济管理系 14 防灾工程系 1550231 裴孝金 34 经济管理系 1650512 1550542 李魁明 孔雅萌 15 防灾工程系 1650225 崔洪成 35 人文社科系 1550611 牛晓龙 16 防灾仪器系 1550314 李朋轩 36 人文社科系 1550612 牛晓龙 17 防灾仪器系 1550321 李朋轩 37 人文社科系 1550621 牛晓龙 18 防灾仪器系 1550322 李朋轩 38 人文社科系 1650621 李佳乐 19 防灾仪器系 1550331 阎光耀 39 外语系 1550712 刘艳增 20 防灾仪器系 1650311 郭越 40 外语系 1650711 刘杰 12.优良学风班 序号 系别 班级 辅导员 序号 系别 班级 辅导员 1 地震科学系 1550116 张玉琛 9 防灾仪器系 1650325 王立 2 地震科学系 1450116 王琮禾 10 灾害信息工程系 1550412 郑丽佳 3 地震科学系 1450111 牛永君 11 灾害信息工程系 1550431 黄骥超 4 防灾工程系 1650221 常晁瑜 12 经济管理学 1550521 黄义乾 5 防灾工程系 1650241 常晁瑜 13 经济管理学 1550523 黄义乾 6 防灾工程系 1550225 安扬 14 经济管理系 1550541 孔雅萌 7 防灾仪器系 1450311 阎光耀 15 人文社科系 1650611 樊帆 8 防灾仪器系 1550312 李朋轩 16 外语系 1450712 刘杰

点击下载附件:2016-2017学年优秀学生个人和先进班集体名单.xls




