2023怀化市重点河段、敏感水域采砂管理责任人表.xlsx
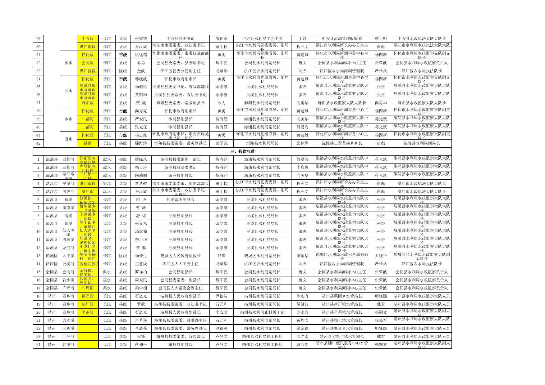
怀化市 2023年重点河段、敏感水域河道采砂管理责任人表 填报单位(盖章): 怀化市水利局 序号 县市区 河湖名 称 具体位置 所在流 责任人 域 填报人: 彭如意 河长责任人 姓名 单位职务 手机号码: 0745-2731136 水行政主管部门责任人 姓名 单位职务 审签人: 黄勇 现场监管责任人 行政执法责任人 姓名 单位职务 姓名 单位职务 怀化市水利局河湖事务中心主 任 会同县水利局河湖中心主任 杨四新 怀化市水利局水政监察支队副支 队长 会同县水利局水政监察负责人 一、长江干流湖南段 市级 县级 二、省、市管河道 怀化市 市级 1 怀化段 长江 市级 王建球 怀化市市委副书记 向玉超 怀化市水利局党组书记、局长 蒋建雄 2 长江 县级 傅成伟 会同县副县长、公安局局长 甄军民 会同县水利局副局长 唐文 3 会同县漠 滨乡 芷江段 长江 县级 吴鹏成 芷江县县委常委、县委办主任 杨占兵 芷江县水利局副局长 刘杨 芷江县河湖事务中心 向东 芷江县水政执法大队大队长 4 洪江市段 长江 县级 黄涌 洪江市市委常委、常务副市长 董明松 程利文 洪江区段 长江 区级 李怀 洪江区工委委员、工委办主任 龙章华 刘杰 洪江市水利局河长办办公室主 任 洪江区农水局河湖管理股 向彪 5 洪江市水利局党委委员、副局 长 洪江区农水局副局长 严长兵 洪江市水利局水政执法大队大队 长 洪江区农水局执法队长 6 中方段 长江 县级 胡杰 中方县县委副书记、县长 潘伯军 中方县水利局工会主席 丁丹 中方县河湖管理股股长 蒋小明 中方县水政执法大队大队长 长江 县级 王 华 辰溪县县委常委、常务副县长 余学泉 辰溪县水利局局长 张杰 长江 县级 罗 清 辰溪县县委常委、组织部部长 余学泉 辰溪县水利局局长 张杰 长江 县级 姜建桥 辰溪县副县长、县公安局局长 余学泉 辰溪县水利局局长 张杰 长江 县级 谭子勤 辰溪县县委常委、县委办主任 余学泉 辰溪县水利局局长 张杰 长江 县级 杨世勋 溆浦县县委副书记 何国发 溆浦县水利局局长 李启俊 辰溪县水利局水政监察大队大队 长 辰溪县水利局水政监察大队大队 长 辰溪县水利局水政监察大队大队 长 辰溪县水利局水政监察大队大队 长 溆浦县水利局政监察大队大队长 12 沅陵段 长江 县级 董崇毅 沅陵县县委副书记 田学武 沅陵县水利局局长 13 怀化段 长江 市级 杜登峰 怀化市政府副市长、河长办主任 黄勇 张 勇 肖 洋 瞿宏二 蒋建雄 14 通道县播 阳段 通道县县 溪段 靖州县靖 州段 靖州县渠 阳段 靖州县太 阳坪段 会同县连 山乡、林 城镇、青 洪江市段 朗乡、漠 怀化段 滨乡 新晃县鱼 市段 新晃县晃 州段 新晃县波 洲段 芷江㵲水 上段 芷江㵲水 中段 芷江㵲水 下段 鹤城区红 岩电站大 坝--三角 滩电站 长江 县级 龙章义 县委常委、政法委书记 陈佳兵 怀化市水利局党组成员、副局 长 通道县水利局局长 曾俊杰 辰溪县水利局水政监察大队大 队长 辰溪县水利局水政监察大队大 队长 辰溪县水利局水政监察大队大 队长 辰溪县水利局水政监察大队大 队长 溆浦县水利局水政监察大队中 队长 沅陵县盘古乡乡长 沅陵县沅陵镇镇长 怀化市水利局河湖事务中心主 沅陵县五强溪镇长 任 通道县播阳镇水利站站长 张杰 11 辰溪县沅 水大洑潭 辰溪县沅 电站至龙 水大洑潭 头庵段 辰溪县沅 电站大坝 水一桥至 下至沅江 辰溪县沅 孝坪镇球 一桥段 水辰泸共 岔村段 管河段 溆浦段 长江 县级 钱政 县委常委、县委组织部长 陈佳兵 通道县水利局局长 肖丁科 通道县县溪镇水利站站长 陈伟 长江 县级 黄忆钢 靖州县县委副书记、县长 尹修恒 靖州县水利局局长 尹利民 张晓军 长江 县级 黄忆钢 靖州县县委副书记、县长 尹修恒 靖州县水利局局长 吴述波 长江 县级 黄忆钢 靖州县县委副书记、县长 尹修恒 靖州县水利局局长 刘文献 靖州县江东便民服务中心副主 任 靖州县渠阳便民服务中心副主 任 靖州县太阳坪乡副乡长 长江 县级 肖从贵 会同县委常委、县委组织部部长 甄军民 会同县水利局副局长 唐文 会同县水利局河湖中心主任 伍荣波 长江 县级 金国华 洪江市市委常委、宣传部部长 董明松 程利文 长江 市级 陈旌 怀化市委常委、常务副市长 黄勇 县级 吴晓萌 新晃县副县长 姚建英 杨金华 洪江市水利局河长办办公室主 任 怀化市水利局河湖事务中心主 任 新晃县鱼市镇人民政府水利员 杨四新 长江 洪江市水利局党委委员、副局 长 怀化市水利局党组成员、副局 长 新晃县水利局局长 长江 县级 赵小玲 新晃县副县长 姚建英 新晃县水利局局长 姚秋霞 新晃县晃洲镇人民政府水利员 吴宇 长江 县级 宋伟 新晃县常务副县长 姚建英 新晃县水利局局长 吴可辉 新晃县波洲镇人民政府水利员 吴宇 长江 县级 梁志平 芷江县县委书记 杨占兵 芷江县水利局副局长 刘杨 芷江县水利局河湖事务中心 向东 长江 县级 梁元和 芷江县县委副书记、县长 杨占兵 芷江县水利局副局长 刘杨 芷江县水利局河湖事务中心 向东 长江 县级 高源江 芷江县县委副书记、政法委书记 杨占兵 芷江县水利局副局长 刘杨 芷江县水利局河湖事务中心 向东 长江 区级 谭茂河 鹤城区区委常委、常务副区长 杨长生 鹤城区人民政府副区长 吕锋 鹤城区水利局副局长 廖恒华 沅江 7 8 9 10 15 16 渠水 17 18 19 20 21 22 怀化市 23 24 25 26 27 28 㵲水 蒋建雄 伍荣波 张杰 张杰 张杰 蒋光跃 唐彪 沅陵县水利局副局长 杨四新 怀化市水利局水政监察支队副支 队长 通道县水利局水政监察大队大队 长 通道县水利局水政监察大队大队 长 靖州县水利局水政监察大队大队 长 靖州县水利局水政监察大队大队 长 靖州县水利局水政监察大队大队 长 会同县水利局水政监察负责人 陈伟 张晓军 张晓军 向彪 吴宇 洪江市水利局水政执法大队大队 长 怀化市水利局水政监察支队副支 队长 新晃县水利局水政监察大队大队 长 新晃县水利局水政监察大队大队 长 新晃县水利局水政监察大队大队 长 芷江县水利局水政执法大队大队 长 芷江县水利局水政执法大队大队 长 芷江县水利局水政执法大队大队 长 鹤城区水利局水政水资源站站长 㵲水 29 中方段 长江 县级 张家铣 中方县县委书记 潘伯军 中方县水利局工会主席 丁丹 中方县河湖管理股股长 蒋小明 中方县水政执法大队大队长 30 洪江市段 长江 县级 易汉成 董明松 长江 市级 姚述铭 杨四新 长江 县级 易勇 甄军民 唐文 洪江市水利局河长办办公室主 任 怀化市水利局河湖事务中心主 任 会同县水利局河湖中心主任 向彪 会同段 洪江市水利局党委委员、副局 长 怀化市水利局党组成员、副局 长 会同县水利局副局长 程利文 怀化段 洪江市市委常委、政法委书记、 副市长 怀化市市委常委、市委统战部部 长 会同县委常委、县委副书记 洪江市水利局水政执法大队大队 长 怀化市水利局水政监察支队副支 队长 会同县水利局水政监察负责人 洪江区段 长江 区级 金波 洪江区管委分管副主任 龙章华 洪江区农水局副局长 刘杰 洪江区农水局河湖管理股 严长兵 洪江区农水局执法队长 蒋建雄 怀化市水利局河湖事务中心主 任 辰溪县水利局水政监察大队大 队长 辰溪县水利局水政监察大队大 队长 麻阳县水政监察大队大队长 杨四新 怀化市水利局水政监察支队副支 队长 辰溪县水利局水政监察大队大队 长 辰溪县水利局水政监察大队大队 长 麻阳县水政监察大队大队长 怀化市水利局河湖事务中心主 任 溆浦县水利局水政监察大队中 队长 溆浦县水利局水政监察大队中 队长 怀化市水利局河湖事务中心主 任 沅陵县二酉苗族乡乡长 杨四新 蒋光跃 31 32 巫水 33 黄勇 蒋建雄 34 怀化段 长江 市级 韩晓波 怀化市政府副市长 黄勇 35 辰溪县辰 水晓滩电 辰溪县辰 站库区段 水晓滩电 站至锦滨 麻阳段 镇小路口 怀化段 段 长江 县级 杨健桃 辰溪县县委副书记、统战部部长 余学泉 怀化市水利局党组成员、副局 长 辰溪县水利局局长 长江 县级 黄明毕 辰溪县县委常委、政法委书记 余学泉 辰溪县水利局局长 张杰 长江 县级 贺 巍 麻阳县委常委、常务副县长 欧力 麻阳县水利局副局长 向勇华 长江 市级 向秀亮 怀化市政府副市长 黄勇 长江 县级 严安民 溆浦县副县长 贺海经 怀化市水利局党组成员、副局 长 溆浦县水利局副局长 蒋建雄 一都河 40 二都河 长江 县级 张克任 溆浦县副县长 贺海经 溆浦县水利局副局长 舒易海 41 怀化段 长江 市级 杨志红 黄勇 长江 县级 滕海涛 怀化市水利局党组成员、副局 长 沅陵县水利局局长 蒋建雄 县级 怀化市政府副市长,市公安局党 委书记、局长 沅陵县县委常委、常务副县长 溆水 县级 腾绿凤 溆水 县级 杨日培 溆水 县级 向莉丽 资江 县级 辰水 36 37 38 39 溆水 酉水 42 田学武 张杰 向美华 张林熙 伍荣波 张杰 张杰 向勇华 蒋光跃 蒋光跃 杨四新 唐彪 怀化市水利局水政监察支队副支 队长 溆浦县水利局水政监察大队大队 长 溆浦县水利局水政监察大队大队 长 怀化市水利局水政监察支队副支 队长 沅陵县水利局副局长 三、县管河道 1 溆浦县 四都河 2 溆浦县 三都河 3 溆浦县 4 洪江市 渠江溆 浦段 平溪河 四都河双 井镇灯塔 卢峰镇双 村 江口村 三江镇一 心村 洪江市段 5 洪江市 深渡江 洪江市 沅水 6 辰溪县 7 辰溪县 8 辰溪县 9 辰溪县 10 辰溪县 11 辰溪县 12 辰溪县 13 鹤城区 14 15 县级 舒 斌 辰溪县副县长 余学泉 辰溪县水利局局长 张杰 县级 张义东 辰溪县副县长 余学泉 辰溪县水利局局长 张杰 县级 汤家葡 辰溪县副县长 余学泉 辰溪县水利局局长 张杰 县级 李小华 辰溪县副县长 余学泉 辰溪县水利局局长 张杰 县级 曾 蓉 辰溪县副县长 余学泉 辰溪县水利局局长 张杰 区级 杨长生 鹤城区人民政府副区长 吕锋 鹤城区水利局副局长 廖恒华 县级 王慧成 洪江区人大工委主任 龙章华 洪江区农水局副局长 刘杰 溆浦县水利局水政监察大队中 队长 溆浦县水利局水政监察大队中 队长 溆浦县水利局水政监察大队中 队长 洪江市水利局河长办办公室主 任 洪江市水利局河长办办公室主 任 辰溪县水利局水政监察大队大 队长 辰溪县水利局水政监察大队大 队长 辰溪县水利局水政监察大队大 队长 辰溪县水利局水政监察大队大 队长 辰溪县水利局水政监察大队大 队长 辰溪县水利局水政监察大队大 队长 辰溪县水利局水政监察大队大 队长 鹤城区水利局水政水资源站站 长 洪江区农水局河湖管理股 严长兵 辰溪县水利局水政监察大队大队 长 辰溪县水利局水政监察大队大队 长 辰溪县水利局水政监察大队大队 长 辰溪县水利局水政监察大队大队 长 辰溪县水利局水政监察大队大队 长 辰溪县水利局水政监察大队大队 长 辰溪县水利局水政监察大队大队 长 鹤城区区水利局水政监察大队副 大队长 洪江区农水局执法队长 县级 罗祥柏 会同县副县长 甄军民 会同县水利局副局长 唐文 会同县水利局河湖中心主任 伍荣波 会同县水利局水政监察负责人 巫水 县级 周安民 会同县委常委、副县长 甄军民 会同县水利局副局长 唐文 会同县水利局河湖中心主任 伍荣波 会同县水利局水政监察负责人 渠水 县级 梁中相 会同县人大常委会副主任 甄军民 会同县水利局副局长 唐文 会同县水利局河湖中心主任 伍荣波 会同县水利局水政监察负责人 长江 县级 石之光 靖州县人民政府副县长 尹德清 靖州县水利局副局长 陈连有 靖州县藕团乡水管站长 明钰熙 靖州县水利局水政监察大队人员 新厂段 长江 县级 罗欣 靖州县县委常委、政法委书记 石元和 靖州县水利局副局长 吴健波 靖州县新厂镇水管站长 戴君 靖州县水利局水政监察大队人员 平茶段 长江 县级 石之光 靖州县人民政府副县长 李安文 靖州县水利局正科级干部 龙永海 靖州县平茶镇水管站长 杨嗣文 大木溪 长江 县级 肖茗崧 靖州县县委常委、县委办主任 石元和 靖州县水利局副局长 黄均文 靖州县坳上镇水管站长 张晓军 老鸦溪 长江 县级 李清菊 靖州县县委常委、常务副县长 尹德清 靖州县水利局副局长 张宗铁 靖州县寨牙乡水管站长 明钰熙 靖州县水利局水政监察大队副大 队长 靖州县水利局水政监察大队大队 长 靖州县水利局水政监察大队人员 靖州 广坪河 长江 县级 田锋 靖州县县委常委、宣传部长 卢登文 靖州县水利局总工程师 邓光永 靖州县大堡子镇水管站长 戴君 靖州县水利局水政监察大队人员 靖州 异溪河 长江 县级 蒋和平 靖州县副县长 卢登文 靖州县水利局总工程师 彭应周 靖州县铺口便民服务中心水管 站长 杨嗣文 靖州县水利局水政监察大队副大 队长 贺海经 溆浦县水利局副局长 舒易海 溆浦县政法委书记 贺海经 溆浦县水利局副局长 李启俊 溆浦县副县长 贺海经 溆浦县水利局副局长 向美华 贾从敬 洪江市市委常委市、组织部部长 董明松 程利文 县级 易汉成 董明松 县级 田 华 余学泉 县级 暂 缺 余学泉 辰溪县水利局局长 张杰 洪江区 修溪镇、 长江 柿溪乡河 段 搞潭溪 桥头溪乡 长江 、龙泉岩 上蒲溪乡 乡、安坪 蒲溪 长江 河段 镇河段 罗子山乡 黄溪 长江 、黄溪口 仙人湾 仙人湾乡 镇河段 长江 溪 河段 洛衣溪 船溪乡、 长江 孝坪镇河 段 龙门河 小龙门乡 长江 、桥头溪 乡、龙泉 太平溪 坨院大桥 长江 村--盈口 岩乡、安 乡井坪村 公溪河 洪江区桂花园乡段 长江 坪镇河段 洪江市市委常委、政法委书记、 副市长 县委常委副县长 洪江市水利局党委委员、副局 长 洪江市水利局党委委员、副局 长 辰溪县水利局局长 会同县 会同河 渠水 16 会同县 若水溪 17 会同县 广坪河 金竹镇、 堡子镇、 沙溪乡、 坪村镇、 团河镇、 林城镇 若水镇 广坪镇 18 靖州 四乡河 藕团段 19 靖州 四乡河 20 靖州 四乡河 21 靖州 22 靖州 23 24 柿溪 溆浦县县委组织 部长 程利文 张杰 蒋光跃 蒋光跃 向彪 溆浦县水利局水政监察大队大队 长 溆浦县水利局水政监察大队大队 长 溆浦县水利局水政监察大队大队 长 洪江市水政执法大队大队长 向彪 洪江市水政执法大队大队长 张杰 张杰 张杰 张杰 张杰 张杰 张杰 尹晓平 欧力 麻阳县水利局副局长 滕建刚 麻阳县岩门镇镇长 向勇华 麻阳县水政监察大队大队长 龙 曙 麻阳县县委常委、县委宣传部部 长 麻阳县副县长 欧力 麻阳县水利局副局长 郑涛 麻阳县尧市镇镇长 向勇华 麻阳县水政监察大队大队长 县级 石谋洲 麻阳县县委常委、副县长 欧力 麻阳县水利局副局长 石佳林 麻阳县兰里镇镇长 向勇华 麻阳县水政监察大队大队长 辰水 县级 周燕 麻阳县县委副书记 欧力 麻阳县水利局副局长 尹明 麻阳县板栗树乡乡长 向勇华 麻阳县水政监察大队大队长 隆家堡段 辰水 县级 滕春霞 麻阳县副县长 欧力 麻阳县水利局副局长 吴松明 麻阳县隆家堡乡乡长 向勇华 麻阳县水政监察大队大队长 太平溪 吕家坪段 辰水 县级 张军 麻阳县副县长 欧力 麻阳县水利局副局长 徐涛 麻阳县吕家坪镇镇长 向勇华 麻阳县水政监察大队大队长 郭公坪段 辰水 县级 李节 麻阳县副县长 欧力 麻阳县水利局副局长 张稳 麻阳县郭公坪镇镇长 向勇华 麻阳县水政监察大队大队长 通道县 四八坪 溪 四乡河 通道段 长江 县级 钱政 县委常委、县委组织部长 吴正发 通道县水利局副局长 肖丁科 通道县县溪镇水利站站长 陈伟 33 通道县 通道河 万佛山段 长江 县级 曹传鑫 通道县副县长 杨友东 通道县水利局总工程师 罗淑琴 通道县万佛山镇水利站站长 金乔华 34 通道县 通道河 菁芜洲段 长江 县级 杨晓黎 通道县副县长 杨友东 通道县水利局总工程师 陆居庭 通道县菁芜洲镇水利站站长 姚建华 35 通道县 通道河 县溪段 长江 县级 杨晓黎 通道县副县长 杨友东 通道县水利局总工程师 肖丁科 通道县县溪镇水利站站长 金乔华 36 通道县 平等河 通道段 珠江 县级 李强 通道县副县长 李沅东 通道县水利局副局长 罗伟韬 通道县陇城党委委员 陈伟 37 通道县 羊溪河 菁芜洲段 长江 县级 何翠民 通道县副县长、公安局政委 吴正发 通道县水利局副局长 陆居庭 通道县溪口镇水利站站长 姚建华 38 通道县 羊溪河 溪口段 长江 县级 唐龙 通道县县委常委、常务副县长 吴正发 通道县水利局副局长 吴祥军 通道县溪口镇水利站站长 姚建华 39 新晃县 平溪河 晃州段 长江 县级 梁舒健 新晃县人民政府副县长 舒秀权 新晃县水利局四级主任科员 姚秋霞 新晃县晃洲镇人民政府水利员 吴宇 40 新晃县 平溪河 禾滩段 长江 县级 杨荣山 新晃县县委常委、县委组织部长 舒秀权 新晃县水利局四级主任科员 吴润辉 新晃县禾滩镇人民政府水利员 吴宇 41 新晃县 平溪河 扶罗段 长江 县级 谭诚 新晃县副县长 舒秀权 新晃县水利局四级主任科员 杨芸嘉 新晃县扶罗镇人民政府水利员 吴宇 42 新晃县 龙溪 长江 县级 余小武 新晃县县委常委、县委办主任 张国庆 新晃县水利局四级调研员 朱明芳 新晃县晃洲镇人民政府水利员 吴昌升 43 新晃县 西溪 长江 县级 杨荣昌 新晃县水利局副局长 伍双恒 新晃县凉伞镇人民政府水利员 吴宇 新晃县 中和溪 中寨段 长江 县级 吴建东 新晃县县委常委、县委宣传部部 长 新晃县副县长 姚辉 44 罗国江 新晃县水利局总工程师 彭桃莲 新晃县中寨镇人民政府水利员 杨俊木 通道县水利局水政监察大队大队 长 通道县水利局水政监察大队副大 队长 通道县水利局水政监察大队副大 队长 通道县水利局水政监察大队副大 队长 通道县水利局水政监察大队副大 队长 通道县水利局水政监察大队副大 队长 通道县水利局水政监察大队副大 队长 新晃县水利局水政监察大队大队 长 新晃县水利局水政监察大队大队 长 新晃县水利局水政监察大队大队 长 新晃县水利局水政监察大队副大 队长 新晃县水利局水政监察大队大队 长 新晃县水利局水政监察大队人员 45 新晃县 中和溪 米贝段 长江 县级 杨海滨 新晃县县委常委、县委政法委书记 郭珍超 新晃县水利局副局长 张美杰 新晃县米贝乡人民政府水利员 姚雪梅 新晃县水利局水政监察大队人员 46 中方县 大溪 长江 县级 彭心付 中方县副县长、公安局局长 潘伯军 中方县水利局工会主席 丁丹 中方县水利局河湖管理股股长 蒋小明 中方县水政执法大队大队长 47 中方县 新建溪 长江 县级 杨春梅 中方县副县长 潘伯军 中方县水利局工会主席 丁丹 中方县水利局河湖管理股股长 蒋小明 中方县水政执法大队大队长 48 中方县 蒲溪 长江 县级 白云 中方县县委常委、组织部长 潘伯军 中方县水利局工会主席 丁丹 中方县水利局河湖管理股股长 蒋小明 中方县水政执法大队大队长 49 中方县 澄渡溪 长江 县级 杨华军 中方县副县长 潘伯军 中方县水利局工会主席 丁丹 中方县水利局河湖管理股股长 蒋小明 中方县水政执法大队大队长 50 中方县 楼下江 长江 县级 梁金华 中方县县委常委、副县长 潘伯军 中方县水利局工会主席 丁丹 中方县水利局河湖管理股股长 蒋小明 中方县水政执法大队大队长 51 中方县 湾溪 长江 县级 肖卫 中方县县委常委、常务副县长 潘伯军 中方县水利局工会主席 丁丹 中方县水利局河湖管理股股长 蒋小明 中方县水政执法大队大队长 52 中方县 凡溪 长江 县级 刘佳 中方县县委常委、宣传部部长 潘伯军 中方县水利局工会主席 丁丹 中方县水利局河湖管理股股长 蒋小明 中方县水政执法大队大队长 53 中方县 麻溪江 长江 县级 杨志初 中方县县委常委、县委办主任 潘伯军 中方县水利局工会主席 丁丹 中方县水利局河湖管理股股长 蒋小明 中方县水政执法大队大队长 54 中方县 仙人湾溪 长江 县级 米久松 中方县检察院院长 潘伯军 中方县水利局工会主席 丁丹 中方县水利局河湖管理股股长 蒋小明 中方县水政执法大队大队长 55 中方县 白沙溪 长江 县级 杨春斌 中方县副县长 潘伯军 中方县水利局工会主席 丁丹 中方县水利局河湖管理股股长 蒋小明 中方县水政执法大队大队长 56 中方县 龙门河 长江 县级 蔡迪文 中方县县委常委、政法委书记 潘伯军 中方县水利局工会主席 丁丹 中方县水利局河湖管理股股长 蒋小明 中方县水政执法大队大队长 57 中方县 搞潭溪 长江 县级 黄翔 中方县法院院长 潘伯军 中方县水利局工会主席 丁丹 中方县水利局河湖管理股股长 蒋小明 中方县水政执法大队大队长 58 中方县 泸阳溪 长江 县级 刘长松 中方县副县长 潘伯军 中方县水利局工会主席 丁丹 中方县水利局河湖管理股股长 蒋小明 中方县水政执法大队大队长 59 中方县 太平溪 长江 县级 刘国龙 潘伯军 中方县水利局工会主席 丁丹 中方县水利局河湖管理股股长 蒋小明 中方县水政执法大队大队长 60 中方县 坨院溪 长江 县级 刘长松 中方县县委常委、纪委书记、监 委主任 中方县副县长 潘伯军 中方县水利局工会主席 丁丹 中方县水利局河湖管理股股长 蒋小明 中方县水政执法大队大队长 61 沅陵县 夷望溪 官庄镇段 长江 县级 万目国 沅陵县副县长 唐彪 沅陵县水利局副局长 向 琦 沅陵县官庄镇宣传委员 周德江 沅陵县水政监察大队副大队长 62 沅陵县 怡 溪 官庄镇段 长江 县级 万目国 沅陵县副县长 唐彪 沅陵县水利局副局长 向 琦 沅陵县官庄镇宣传委员 周德江 沅陵县水政监察大队副大队长 63 沅陵县 牧马溪 楠木铺段 长江 县级 杨太铁 沅陵县县委常委、县委办主任 唐彪 沅陵县水利局副局长 杜炜 沅陵县楠木铺乡副乡长 周德江 沅陵县水政监察大队副大队长 25 麻阳县 豪洛溪 岩门段 辰水 县级 韩道旺 26 麻阳县 滑石江 尧市段 辰水 县级 27 麻阳县 鸬鹚江 兰里段 辰水 28 麻阳县 老溪 板栗树段 29 麻阳县 瀑溪 30 麻阳县 31 麻阳县 32 64 沅陵县 兰 溪 凉水井段 沅江 县级 邓仕娟 沅陵县县委常委、宣传部部长 唐彪 沅陵县水利局副局长 曾迪 沅陵县凉水井镇副镇长 周德江 沅陵县水政监察大队副大队长 65 沅陵县 珠红溪 大合坪段 沅江 县级 王鸿鹏 沅陵县副县长 唐彪 沅陵县水利局副局长 朱力标 沅陵县大合坪乡副乡长 周德江 沅陵县水政监察大队副大队长 66 沅陵县 荔 溪 荔溪段 沅江 县级 刘 浪 沅陵县县委常委、人武部长 唐彪 沅陵县水利局副局长 李凤麟 沅陵县荔溪乡分管领导 周德江 沅陵县水政监察大队副大队长 67 沅陵县 舒 溪 筲箕湾段 沅江 县级 钟群英 沅陵县副县长 唐彪 沅陵县水利局副局长 张文涛 沅陵县筲箕湾镇副镇长 周德江 沅陵县水政监察大队副大队长 68 沅陵县 借母溪 借母溪段 沅江 县级 黄浩远 唐彪 沅陵县水利局副局长 黄峥嵘 沅陵县借母溪乡副乡长 周德江 沅陵县水政监察大队副大队长 69 芷江县 杨溪 长江 县级 唐成铁 杨占兵 芷江县水利局副局长 刘杨 芷江县河湖事务中心 向东 芷江县水政执法大队大队长 70 芷江县 便水溪 长江 县级 龚宇 沅陵县县委常委、县委组织部部 长 芷江县县委常委、县委统战部部 长 芷江县县委常委、常务副县长 杨占兵 芷江县水利局副局长 刘杨 芷江县河湖事务中心 向东 芷江县水政执法大队大队长 71 芷江县 碧涌溪 长江 县级 罗砚 杨占兵 芷江县水利局副局长 刘杨 芷江县河湖事务中心 向东 芷江县水政执法大队大队长 72 芷江县 龙盘江 长江 县级 杨桂花 芷江县县委常委、县委宣传部部 长 芷江县县委常委、副县长 杨占兵 芷江县水利局副局长 刘杨 芷江县河湖事务中心 向东 芷江县水政执法大队大队长 73 芷江县 五郞溪 长江 县级 宋麒 杨占兵 芷江县水利局副局长 刘杨 芷江县河湖事务中心 向东 芷江县水政执法大队大队长 74 芷江县 三渡溪 长江 县级 邓波 芷江县县委常委、县委组织部部 长 芷江县县委常委、县人武部部长 杨占兵 芷江县水利局副局长 刘杨 芷江县河湖事务中心 向东 芷江县水政执法大队大队长 75 芷江县 梨洞溪 长江 县级 滕建伟 芷江县副县长、县公安局局长 杨占兵 芷江县水利局副局长 刘杨 芷江县河湖事务中心 向东 芷江县水政执法大队大队长 76 芷江县 长江 县级 朱辉 芷江县副县长 杨占兵 芷江县水利局副局长 刘杨 芷江县河湖事务中心 向东 芷江县水政执法大队大队长 77 芷江县 青叶树 溪 庙溪 长江 县级 杨小华 芷江县副县长 杨占兵 芷江县水利局副局长 刘杨 芷江县河湖事务中心 向东 芷江县水政执法大队大队长 78 芷江县 细米溪 长江 县级 杨贤德 芷江县副县长 杨占兵 芷江县水利局副局长 刘杨 芷江县河湖事务中心 向东 芷江县水政执法大队大队长 79 芷江县 长江 县级 张桥胜 芷江县副县长 杨占兵 芷江县水利局副局长 刘杨 芷江县河湖事务中心 向东 芷江县水政执法大队大队长 80 芷江县 原神场 溪 泥溪 长江 县级 张攀 芷江县副县长 杨占兵 芷江县水利局副局长 刘杨 芷江县河湖事务中心 向东 芷江县水政执法大队大队长 47 48 备注: 1、需要填报责任人的重点河段、敏感水域主要包括①省、市、县行政区域交界的、②有许可采区的、③采砂矛盾纠纷大的、④偷采盗采易发多发的、⑤监管任务较重的、⑥河道砂石资源较为丰富的、⑦采砂对防洪、生态影响较重的、 ⑧其他有必要明确责任人的; 2、河段划定原则上以县(市、区)为单位,同一县域内的连续河段原则上不再拆分;县级河长责任人原则上为该河段对应的县级河长;县级水行政主管部门责任人原则上为该河段县级水行政主管部门负责河道采砂管理工作的分管领导 ;县级现场监管责任人原则上为该河段县级水行政主管部门具体负责河道采砂管理工作的部门负责同志;县级行政执法责任人原则上为该河段县级水行政主管部门有行政执法权的相关部门负责同志;责任人联系电话为手机号码。手机号 码不公布,并保持畅通。 3、请各市州水利局收集、汇总、校核,于2020年3月20日前将本EXCEL和盖章扫描件一并发送至hunanhedaoguanli@163.com; 4、各地责任人落实情况将纳入年度考核。

2023怀化市重点河段、敏感水域采砂管理责任人表.xlsx




