秦岭文库(kunmingchi.com)你想要的内容这里独有!

3.食品抽检合格-20181019.xls

古靈▓精怪☆30 页 512 KB下载文档
3.食品抽检合格-20181019.xls3.食品抽检合格-20181019.xls3.食品抽检合格-20181019.xls3.食品抽检合格-20181019.xls3.食品抽检合格-20181019.xls3.食品抽检合格-20181019.xls
当前文档共30页 下载后继续阅读

3.食品抽检合格-20181019.xls

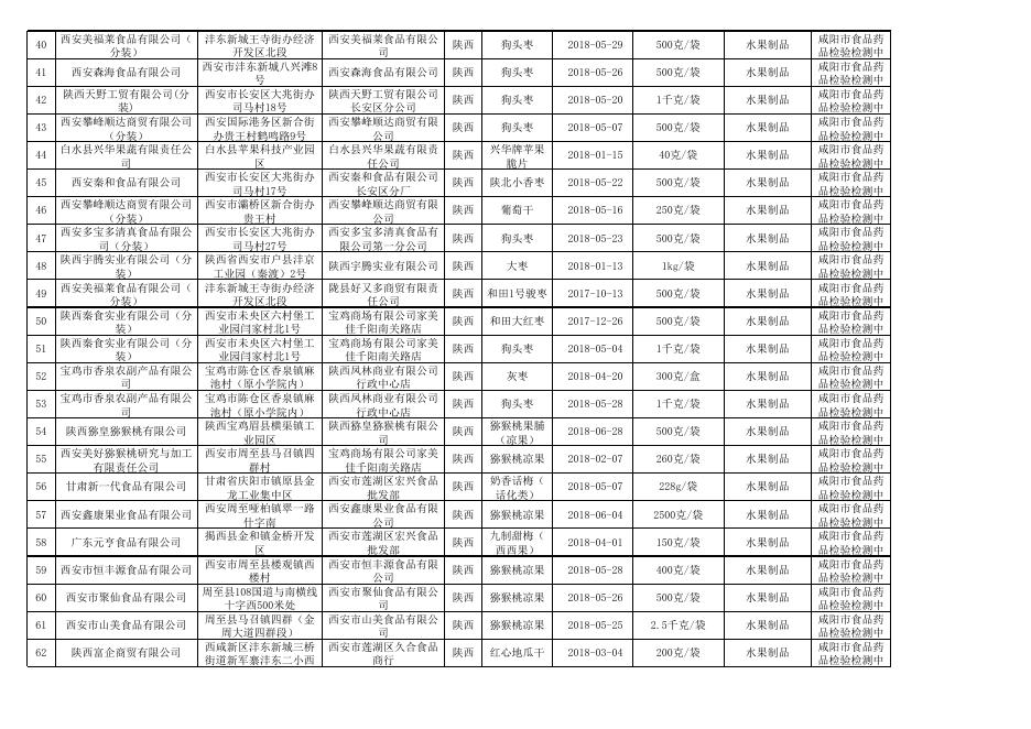
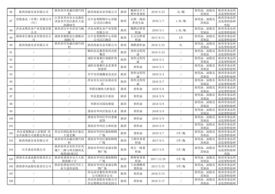
附件3 合格产品信息 本次抽检的食品主要包括淀粉及淀粉制品、水果制品、食用油、油脂及其制品、水产制品、茶叶及相关制品、豆制品、罐头、饮料等。 抽检依据GB 2762《食品安全国家标准 食品中污染物限量》、GB 2760《食品安全国家标准 食品添加剂使用标准》等标准及指标的要求。 抽检项目包括污染物、食品添加剂、微生物等指标,共抽检301批次产品,合格297批次。 序号 标称生产企业名称 标称生产企业地址 1 宁强县龙泉精制食品厂 宁强县宽川乡 2 汉中市荣富生态农业开发有 限公司 南郑县圣水镇 3 汉中市荣富生态农业开发有 限公司 南郑县圣水镇 4 5 6 被抽样单位名称 陕西华盛兴勇商贸有限 公司西乡分公司东一路 店 西乡县利家商贸有限责 任公司锦湖分公司 西乡县利家商贸有限责 任公司锦湖分公司 陕西省汉中市宁强县循 西安爱家超市有限公司 陕西绿梦食品有限责任公司 环经济产业园区 丈八北路店 陕西省宁强县宽川乡(街 西安爱家超市有限公司 陕西绿梦食品有限责任公司 ) 丈八北路店 西安市长安区黄良镇堀 西安市雁塔区北山门口 西安兴亮淀粉制品厂 垛村 村清水豆芽店 被抽样 单位所 在省份 食品名称 生产日期/批号 规格型号 分类 陕西 蕨根粉丝 2017/5/24 200克 淀粉及淀粉制品 陕西 荣富蕨根粉 丝 2018/1/1 400克 淀粉及淀粉制品 陕西 荣富蕨根粉 丝 2018/1/6 400克 淀粉及淀粉制品 陕西 蕨根粉丝 2018/1/20 400克 淀粉及淀粉制品 陕西 蕨根粉丝 2018/1/8 200克 淀粉及淀粉制品 陕西 土豆粉 2018/4/25 350克 淀粉及淀粉制品 7 陕西文辉农副产品有限公司 泾阳县三渠镇汉堤村 绥德县金阳光购物中心 陕西 精制水晶粉 条 2017/12/19 400克 淀粉及淀粉制品 8 汉中市春雨农业产业开发有 限责任公司 陕西省汉中市汉台区徐 望镇 绥德县金阳光购物中心 陕西 蕨根粉丝 2018/1/16 200克 淀粉及淀粉制品 9 陕西文辉农副产品有限公司 泾阳县三渠镇汉堤村 绥德县金阳光购物中心 陕西 精制水晶粉 条 2017/12/25 400克 淀粉及淀粉制品 陕西 土豆鲜粉条 2018/3/15 200克 淀粉及淀粉制品 陕西 水晶粉丝 2017/12/2 90克 淀粉及淀粉制品 陕西 土豆粉 2018/4/7 180克 淀粉及淀粉制品 陕西 粉不溜 2018/4/8 220克 淀粉及淀粉制品 陕西 土豆鲜粉条 2018/3/25 200克 淀粉及淀粉制品 陕西 纯土豆水晶 粉条 2018/3/2 400克 淀粉及淀粉制品 10 11 12 13 14 15 清涧县鹤达农副产品加工专 清涧县宽洲镇苗家沟村 业合作社 清涧县九天薯业有限责任公 清涧县食品工业园区 司 渭南秦鸽食品有限公司(渭 渭南市临渭区向阳办西 南秦鸽食品厂) 张村 渭南秦鸽食品有限公司(渭 渭南市临渭区向阳办西 南秦鸽食品厂) 张村 清涧县鹤达农副产品加工专 清涧县宽洲镇苗家沟村 业合作社 绥德县望凌农产品农民专业 绥德县义合工业园区1号 合作社 子长县人人家时代广场 商贸有限公司 子长县人人家时代广场 商贸有限公司 子长县人人家时代广场 商贸有限公司 子长县人人家时代广场 商贸有限公司 子长县人人家时代广场 商贸有限公司 绥德县望凌农产品农民 专业合作社 检验机构 陕西省食品药 品监督检验研 究院 陕西省食品药 品监督检验研 究院 陕西省食品药 品监督检验研 陕西省食品药 究院 品监督检验研 究院 陕西省食品药 品监督检验研 陕西省食品药 究院 品监督检验研 陕西省食品药 究院 品监督检验研 陕西省食品药 究院 品监督检验研 陕西省食品药 究院 品监督检验研 陕西省食品药 究院 品监督检验研 究院 陕西省食品药 品监督检验研 陕西省食品药 究院 品监督检验研 陕西省食品药 究院 品监督检验研 陕西省食品药 究院 品监督检验研 究院 陕西省食品药 品监督检验研 究院 16 17 18 19 20 21 22 23 24 25 26 27 28 29 30 31 32 33 34 35 36 37 38 39 绥德县望凌农产品农民专业 绥德县望凌农产品农民 绥德县义合工业园区1号 合作社 专业合作社 绥德县望凌农产品农民专业 绥德县望凌农产品农民 绥德县义合工业园区1号 合作社 专业合作社 蓝田县秦玉龙淀粉制品加工 蓝田县玉山镇许庙村一 榆林市新家源商贸有限 厂 组 责任公司 蓝田县秦玉龙淀粉制品加工 蓝田县玉山镇许庙村一 榆林市新家源商贸有限 厂 组 责任公司 蓝田县秦玉龙淀粉制品加工 蓝田县玉山镇许庙村一 榆林市新家源商贸有限 厂 组 责任公司 西安市未央区六村堡唐 西安市雁塔区北山门口 西安市薯润食品加工厂 家村134号 村清水豆芽店 陕西华盛兴勇商贸有限 汉中市汉台区天台食品厂 陕西汉中 公司汉台区分公司西环 蓝田县汤峪镇史家寨粮 韩城市美好生活商贸有 路店 陕西嘉华食品有限公司 站院内 限公司 蓝田县汤峪镇史家寨粮 韩城市美好生活商贸有 陕西嘉华食品有限公司 站院内 限公司 蓝田县汤峪镇史家寨粮 蓝田县汤峪镇史家寨粮 陕西嘉华食品有限公司 站院内 站院内 韩城市天惠商城有限责 蓝田县红玉红调味品厂 蓝田华胥刁寨 任公司 企业地址:陕西省宁强 安康市喜盈门商贸有限 陕西绿梦食品有限责任公司 县宽川乡(街) 公司中心店 汉中市荣富生态农业开发有 安康市喜盈门商贸有限 南郑县圣水镇 限公司 公司中心店 西安市未央区六村堡唐 韩城市美好生活商贸有 西安市薯润食品加工厂 家村134号 限公司 安康市喜盈门商贸有限 宁强县龙泉精制食品厂 陕西省宁强县宽川乡 公司中心店 西安市佳香调味品食品有限 西安市未央区汉城街办 合阳三合购物广场 公司(分装) 雷寨村 山东省龙口市龙口经济 安康市喜盈门商贸有限 龙口市龙宇食品有限公司 开发区中村 公司购物广场 陕西华盛兴勇商贸有限 汉中市汉台区天台食品厂 陕西汉中 公司汉台区分公司西环 路店 陕西华盛兴勇商贸有限 汉中市汉台区天台食品厂 陕西汉中 公司汉台区分公司西环 汉中市春雨农业产业开发有 陕西省汉中市汉台区徐 彬县润家家和商贸有限 路店 限责任公司 望镇 公司 蓝田县汤峪镇史家寨粮 彬县家乐汇购物有限责 陕西嘉华食品有限公司 站院内 任公司 西安滋品源食品有限公司( 西安市长安区大兆东街 宝鸡商场有限公司家美 分装) 17号 佳凤翔东湖店 蓝田县汤峪镇史家寨粮 彬县润家家和商贸有限 陕西嘉华食品有限公司 站院内 公司 西安美杰食品有限公司(分 西安市灞桥区神鹿坊村 西安市莲湖区红悦食品 装) 161号 商行 陕西 陕西 纯土豆水晶 粉条 纯土豆水晶 粉条 2017/11/29 400克 淀粉及淀粉制品 2016/9/29 400克 淀粉及淀粉制品 陕西 粉条 2018/4/19 400克 淀粉及淀粉制品 陕西 粉条 2018/4/11 400克 淀粉及淀粉制品 陕西 火锅川粉 2018/3/13 240克 淀粉及淀粉制品 陕西 小个子土豆 粉 2018/4/30 350g 淀粉及淀粉制品 陕西 蕨根粉皮 2017/12/21 200克 淀粉及淀粉制品 2017/11/12 500g 淀粉及淀粉制品 2017/11/6 500g 淀粉及淀粉制品 2017/11/12 500g 淀粉及淀粉制品 陕西 陕西 陕西 红薯手工粉 条 红薯手工粉 条 红薯手工粉 条 陕西 淀粉 2018/3/10 200克 淀粉及淀粉制品 陕西 蕨根粉丝 2018/3/8 500克 淀粉及淀粉制品 2018/1/25 400克 淀粉及淀粉制品 2018/4/23 300g 淀粉及淀粉制品 陕西 陕西 荣富蕨根粉 丝 小个子土豆 粉 陕西 蕨根粉丝 2018/2/27 400克 淀粉及淀粉制品 陕西 玉米淀粉 2018/2/1 200克 淀粉及淀粉制品 陕西 红薯淀粉 2017/12/5 300克 淀粉及淀粉制品 陕西 魔芋粉丝 2017/11/15 / 淀粉及淀粉制品 陕西 红薯粉条 2017/10/27 280克 淀粉及淀粉制品 陕西 蕨根粉丝 2018/1/9 200克 淀粉及淀粉制品 陕西 陕西 陕西 陕西 红薯手工粉 条 滋品源玉米 淀粉 红薯手工粉 条 狗头枣 2018/4/10 2018/2/1 2018/2/12 2018-04-25 500g(以实际称重 淀粉及淀粉制品 为准) 200克 淀粉及淀粉制品 500g(以实际称重 淀粉及淀粉制品 为准) 500克/袋 水果制品 陕西省食品药 品监督检验研 陕西省食品药 究院 品监督检验研 陕西省食品药 究院 品监督检验研 陕西省食品药 究院 品监督检验研 陕西省食品药 究院 品监督检验研 陕西省食品药 究院 品监督检验研 究院 陕西省食品药 品监督检验研 陕西省食品药 究院 品监督检验研 究院 陕西省食品药 品监督检验研 陕西省食品药 究院 品监督检验研 究院 陕西省食品药 品监督检验研 陕西省食品药 究院 品监督检验研 究院 陕西省食品药 品监督检验研 陕西省食品药 究院 品监督检验研 陕西省食品药 究院 品监督检验研 陕西省食品药 究院 品监督检验研 陕西省食品药 究院 品监督检验研 陕西省食品药 究院 品监督检验研 究院 陕西省食品药 品监督检验研 陕西省食品药 究院 品监督检验研 究院 陕西省食品药 品监督检验研 陕西省食品药 究院 品监督检验研 究院 陕西省食品药 品监督检验研 咸阳市食品药 究院 品检验检测中 心 40 西安美福莱食品有限公司( 分装) 41 西安森海食品有限公司 42 43 44 45 46 47 48 49 50 51 52 53 陕西天野工贸有限公司(分 装) 西安攀峰顺达商贸有限公司 (分装) 白水县兴华果蔬有限责任公 司 西安秦和食品有限公司 西安攀峰顺达商贸有限公司 (分装) 西安多宝多清真食品有限公 司(分装) 陕西宇腾实业有限公司(分 装) 西安美福莱食品有限公司( 分装) 陕西秦食实业有限公司(分 装) 陕西秦食实业有限公司(分 装) 宝鸡市香泉农副产品有限公 司 宝鸡市香泉农副产品有限公 司 54 陕西猕皇猕猴桃有限公司 55 西安美好猕猴桃研究与加工 有限责任公司 56 甘肃新一代食品有限公司 57 西安鑫康果业食品有限公司 58 广东元亨食品有限公司 59 西安市恒丰源食品有限公司 60 西安市聚仙食品有限公司 61 西安市山美食品有限公司 62 陕西富企商贸有限公司 沣东新城王寺街办经济 开发区北段 西安市沣东新城八兴滩8 号 西安市长安区大兆街办 司马村18号 西安国际港务区新合街 办贵王村鹤鸣路9号 白水县苹果科技产业园 区 西安市长安区大兆街办 司马村17号 西安市灞桥区新合街办 贵王村 西安市长安区大兆街办 司马村27号 陕西省西安市户县沣京 工业园(秦渡)2号 沣东新城王寺街办经济 开发区北段 西安市未央区六村堡工 业园闫家村北1号 西安市未央区六村堡工 业园闫家村北1号 宝鸡市陈仓区香泉镇麻 池村(原小学院内) 宝鸡市陈仓区香泉镇麻 池村(原小学院内) 陕西宝鸡眉县横渠镇工 业园区 西安市周至县马召镇四 群村 甘肃省庆阳市镇原县金 龙工业集中区 西安周至哑柏镇翠一路 什字南 揭西县金和镇金桥开发 区 西安市周至县楼观镇西 楼村 周至县108国道与南横线 十字西500米处 周至县马召镇四群(金 周大道四群段) 西咸新区沣东新城三桥 街道新军寨沣东二小西 隔壁 西安美福莱食品有限公 司 陕西 狗头枣 2018-05-29 500克/袋 水果制品 西安森海食品有限公司 陕西 狗头枣 2018-05-26 500克/袋 水果制品 陕西 狗头枣 2018-05-20 1千克/袋 水果制品 陕西 狗头枣 2018-05-07 500克/袋 水果制品 陕西 兴华牌苹果 脆片 2018-01-15 40克/袋 水果制品 陕西 陕北小香枣 2018-05-22 500克/袋 水果制品 陕西 葡萄干 2018-05-16 250克/袋 水果制品 陕西 狗头枣 2018-05-23 500克/袋 水果制品 陕西 大枣 2018-01-13 1kg/袋 水果制品 陕西 和田1号骏枣 2017-10-13 500克/袋 水果制品 陕西 和田大红枣 2017-12-26 500克/袋 水果制品 陕西 狗头枣 2018-05-04 1千克/袋 水果制品 陕西 灰枣 2018-04-20 300克/盒 水果制品 陕西 狗头枣 2018-05-28 1千克/袋 水果制品 陕西 猕猴桃果脯 (凉果) 2018-06-28 500克/袋 水果制品 陕西 猕猴桃凉果 2018-02-07 260克/袋 水果制品 陕西 奶香话梅( 话化类) 2018-05-07 228g/袋 水果制品 陕西 猕猴桃凉果 2018-06-04 2500克/袋 水果制品 陕西 九制甜梅( 西西果) 2018-04-01 150克/袋 水果制品 陕西 猕猴桃凉果 2018-05-28 400克/袋 水果制品 陕西 猕猴桃凉果 2018-05-26 500克/袋 水果制品 陕西 猕猴桃凉果 2018-05-25 2.5千克/袋 水果制品 陕西 红心地瓜干 2018-03-04 200克/袋 水果制品 陕西天野工贸有限公司 长安区分公司 西安攀峰顺达商贸有限 公司 白水县兴华果蔬有限责 任公司 西安秦和食品有限公司 长安区分厂 西安攀峰顺达商贸有限 公司 西安多宝多清真食品有 限公司第一分公司 陕西宇腾实业有限公司 陇县好又多商贸有限责 任公司 宝鸡商场有限公司家美 佳千阳南关路店 宝鸡商场有限公司家美 佳千阳南关路店 陕西凤林商业有限公司 行政中心店 陕西凤林商业有限公司 行政中心店 陕西猕皇猕猴桃有限公 司 宝鸡商场有限公司家美 佳千阳南关路店 西安市莲湖区宏兴食品 批发部 西安鑫康果业食品有限 公司 西安市莲湖区宏兴食品 批发部 西安市恒丰源食品有限 公司 西安市聚仙食品有限公 司 西安市山美食品有限公 司 西安市莲湖区久合食品 商行 咸阳市食品药 品检验检测中 咸阳市食品药 心 品检验检测中 心 咸阳市食品药 品检验检测中 咸阳市食品药 心 品检验检测中 心 咸阳市食品药 品检验检测中 心 咸阳市食品药 品检验检测中 心 咸阳市食品药 品检验检测中 心 咸阳市食品药 品检验检测中 心 咸阳市食品药 品检验检测中 咸阳市食品药 心 品检验检测中 心 咸阳市食品药 品检验检测中 咸阳市食品药 心 品检验检测中 心 咸阳市食品药 品检验检测中 心 咸阳市食品药 品检验检测中 心 咸阳市食品药 品检验检测中 心 咸阳市食品药 品检验检测中 心 咸阳市食品药 品检验检测中 心 咸阳市食品药 品检验检测中 心 咸阳市食品药 品检验检测中 心 咸阳市食品药 品检验检测中 咸阳市食品药 心 品检验检测中 心 咸阳市食品药 品检验检测中 咸阳市食品药 心 品检验检测中 心 63 西安永信猕猴桃绿色食品有 限公司 西安永信猕猴桃绿色食 品有限公司 陕西 猕猴桃凉果 2018-06-14 2500克/袋 水果制品 64 西安市未央区东方果品加工 西安市莲湖区兄弟食品 西安市未央区兴丰路3号 厂 商行 陕西 猕猴桃果干 2018-05-01 250克/袋 水果制品 陕西 猕猴桃味果 片 2018-05-03 300克(5件)/盒 水果制品 陕西 草莓山楂 2018-04-28 散装称重 水果制品 陕西 红枣糕 2018-05-11 260克/袋 水果制品 陕西 柿饼 2018-06-01 500克/袋 水果制品 陕西 狗头枣 2018-05-01 1千克/袋 水果制品 陕西 健康红枣 2018-03-02 1千克(9包)/袋 水果制品 陕西 红枣脆片 2018-04-29 228克/袋 水果制品 陕西 香酥脆枣 2018-02-01 160克/袋 水果制品 2018-06-18 500克/袋 水果制品 2018-05-05 500克/袋 水果制品 65 西安秦和食品有限公司 66 兴隆县宏祥食品有限公司 周至县终南镇豆村北十 街9号 西安市长安区大兆街办 司马村17号 西安市莲湖区兄弟食品 商行 西安市双生区新红安食 品商行 西安市莲湖区兄弟食品 商行 西安市莲湖区红悦食品 商行 西安市莲湖区兄弟食品 商行 西安市莲湖区兄弟食品 商行 西安市莲湖区康美园食 品批发商行 西安市莲湖区秦和食品 批发部 西安市香脑壳核桃商行 蓝田加工厂 西安市家佳美商贸有限 公司 西安市家佳美商贸有限 公司 70 西安德众食品有限公司 71 延安忆思源食品有限公司( 分装) 兴隆县雾灵山镇人参沟 村 西安市长安区大兆街办 司马村17号 西安市长安区滦镇街办 东石村六组106号 西安市泾河工业园泾渭 十路11号 西安市长安区杜曲街道 西樊村 延安市宝塔区枣园镇莫 家湾村 72 沧州益源果品有限公司 沧县大官厅乡小庞才村 73 西安市香脑壳核桃商行 67 68 69 74 75 76 77 西安秦和食品有限公司(分 装)(代码XA) 西安市雨果食品有限公司( 分装) 陕西北方谷雨特产食品有限 公司 西安誉名源食品有限责任公 司(分装) 陕西红燕土特产有限公司( 分装) 西安美杰食品有限公司(分 装) 西安美福莱食品有限公司( 分装) 78 陕西鸿泰实业有限公司 79 勉县金花油脂有限责任公司 80 81 汉中市宝成农业科技有限公 司 汉中市宝成农业科技有限公 司 82 陕西杨凌来富油脂有限公司 83 陕西双亚粮油工贸有限公司 84 陕西双亚粮油工贸有限公司 85 陕西鹮宝实业有限公司 蓝田县蓝关镇蒋寨村八 组 陕西省西咸新区沣西新 城马王街办马王村南街 西安市灞桥区席王街道 办电厂西路805号 西安市灞桥区神鹿坊村 161号 沣东新城王寺街办经济 开发区北段 陕西省洋县戚氏镇竹园 村 陕西省汉中市勉县勉阳 镇继光村四组 汉中市汉台区铺镇工业 园区 汉中市汉台区铺镇工业 园区 陕西省杨凌示范区康乐 路东段南区 洋县有机产业园区 陕西省汉中市洋县有机 产业园区 陕西省汉中市洋县纸坊 办事处西岭村 西安美杰食品有限公司 陇县好又多商贸有限责 任公司 略阳县汉华商贸有限责 任公司 略阳县汉华商贸有限责 任公司 略阳县汉华商贸有限责 任公司 汉中金利购物中心有限 公司汉江路店 汉中金利购物中心有限 公司汉江路店 陕西双亚粮油工贸有限 公司 陕西双亚粮油工贸有限 公司 陕西鹮宝实业有限公司 陕西 陕西 小粒香(灰 枣夹核桃仁 ) 骏枣(干制 红枣) 陕西 狗头枣 2018-06-01 1千克/袋 水果制品 陕西 狗头枣 2018-05-20 1千克/袋 水果制品 陕西 狗头枣 2017-12-19 500克/袋 水果制品 2017/7/5 1.8L 2017/11/1 5L 2017/11/23 5L 2018/1/16 5L 2017/8/14 5升 2018/1/25 5升 陕西 陕西 陕西 陕西 陕西 陕西 炒香小榨菜 籽油 水磨湾溢香 汉中小榨菜 籽油 汉忆香小榨 炒香菜籽油 汉府香浓香 菜籽油 压榨原香菜 籽油 纯正菜籽油 (分装) 陕西 有机菜籽油 2018/3/26 5升 陕西 压榨菜籽油 2018/4/25 1.8L 食用油、油脂及 其制品 食用油、油脂及 其制品 食用油、油脂及 其制品 食用油、油脂及 其制品 食用油、油脂及 其制品 食用油、油脂及 其制品 食用油、油脂及 其制品 食用油、油脂及 其制品 咸阳市食品药 品检验检测中 心 咸阳市食品药 品检验检测中 咸阳市食品药 心 品检验检测中 心 咸阳市食品药 品检验检测中 咸阳市食品药 心 品检验检测中 心 咸阳市食品药 品检验检测中 咸阳市食品药 心 品检验检测中 心 咸阳市食品药 品检验检测中 心 咸阳市食品药 品检验检测中 心 咸阳市食品药 品检验检测中 心 咸阳市食品药 品检验检测中 心 咸阳市食品药 品检验检测中 咸阳市食品药 心 品检验检测中 心 咸阳市食品药 品检验检测中 心 咸阳市食品药 品检验检测中 心 陕西省食品药 品监督检验研 究院 陕西省食品药 品监督检验研 究院 陕西省食品药 品监督检验研 陕西省食品药 究院 品监督检验研 究院 陕西省食品药 品监督检验研 陕西省食品药 究院 品监督检验研 陕西省食品药 究院 品监督检验研 陕西省食品药 究院 品监督检验研 究院 86 陕西鸿泰实业有限公司 87 佳格食品(中国)有限公司 (TC) 88 89 洋县永辉农业产业发展有限 公司 湖南省长康实业有限责任公 司 陕西省洋县戚氏镇竹园 村 江苏省苏州市太仓港经 济技术开发区新区大连 西路88号 陕西省汉中市洋县马畅 镇 湖南省湘阴县长康粮站 南路1号 陕西省洋县戚氏镇竹园 村 陕西鸿泰实业有限公司 陕西 汉中金利购物中心有限 公司汉江路店 陕西 洋县永辉农业产业发展 有限公司 汉中金利购物中心有限 公司汉江路店 陕西 食用油、油脂及 其制品 2018/1/7 1.8L/瓶 食用油、油脂及 其制品 2018/3/1 1.8L/瓶 2017/8/11 4升 2018/4/23 5L 2018/4/24 / 2018/5/3 / 2018/5/3 / 2018/5/4 / 2018/5/7 / 91 / / 92 / / 93 / / 94 / / 兴平市西城魏家凉皮店 陕西 95 / / 西安市长安区征晨凉皮 店 陕西 96 / / 华阴市臻味大虾饭店 陕西 煎炸油 2018/5/8 / 97 / / 华县思源关中食坊 陕西 煎炸油 2018/5/9 / 98 / / 华阴市田园坊粥屋 陕西 煎炸油 2018/5/8 / 99 / / 渭南市华州区街坊人家 陕西 煎炸油 2018/5/9 / 100 / / 渭南市华州区华州老碗 面馆 陕西 煎炸油 2018/5/9 / 101 / / 渭南市华州区玉林旺座 陕西 煎炸油 2018/5/9 / 102 西安爱菊粮油工业集团 西 安市油脂公司油脂仓库出品 菜籽油 2018/3/7 5升/瓶 陕西鸿泰实业有限公司 渭南市华州区惠欧购物 广场 渭南市华州区惠欧购物 广场 陕西 103 陕西 土榨炒香菜 籽油 2017/9/5 5升/瓶 104 石羊食品有限公司 陕西 纯正一级菜 籽油 2017/3/8 5升/瓶 105 渭南市永泰油脂有限责任公 司 西安市国际港务区秦汉 大道北侧 陕西省洋县戚氏镇竹园 村 陕西省西安市经开区凤 城十二路与明光路西北 角凯瑞E座5层 陕西省渭南市乐天大街 渭清路十字 陕西省渭南市经开区工 业大道西延线 2017/12/29 5升/瓶 2017/5/25 5升/瓶 107 / / 108 / / 渭南市华州区家福乐购 物广场 渭南市华州区惠欧购物 广场 渭南市华州区家福乐购 物广场 西安尚享餐饮管理有限 公司第四分公司 西安饮食股份有限公司 西安烤鸭店西荷花园分 店 陕西 陕西 陕西 陕西 陕西 锦鹮菜籽油 5L/桶 陕西鸿泰实业有限公司 略阳县迈德思客西式快 餐店 咸阳市秦都区瑞根炸鸡 店 咸阳市秦都区金富莱米 面食府 陕西 甄鹮压榨菜 籽油 正宗压榨菜 籽油 2018/4/23 90 106 渭南春风油脂有限责任公司 陕西鸿泰实业有限公司 陕西 魅厨汉中土 榨炒香菜籽 油 压榨一级浓 香花生油 煎炸过程用 油 煎炸过程用 油 煎炸油 煎炸过程用 油 煎炸过程用 油 鲜榨原香菜 籽油 八鱼牌飘香 菜籽油 陕西 煎炸油 2018/5/15 / 陕西 煎炸油 2018/5/17 / 食用油、油脂及 其制品 食用油、油脂及 其制品 食用油、油脂及 其制品 食用油、油脂及 其制品 食用油、油脂及 其制品 食用油、油脂及 其制品 食用油、油脂及 其制品 食用油、油脂及 其制品 食用油、油脂及 其制品 食用油、油脂及 其制品 食用油、油脂及 其制品 食用油、油脂及 其制品 食用油、油脂及 其制品 食用油、油脂及 其制品 食用油、油脂及 其制品 食用油、油脂及 其制品 食用油、油脂及 其制品 食用油、油脂及 其制品 食用油、油脂及 其制品 食用油、油脂及 其制品 食用油、油脂及 其制品 陕西省食品药 品监督检验研 陕西省食品药 究院 品监督检验研 究院 陕西省食品药 品监督检验研 陕西省食品药 究院 品监督检验研 陕西省食品药 究院 品监督检验研 陕西省食品药 究院 品监督检验研 究院 陕西省食品药 品监督检验研 陕西省食品药 究院 品监督检验研 陕西省食品药 究院 品监督检验研 究院 陕西省食品药 品监督检验研 陕西省食品药 究院 品监督检验研 陕西省食品药 究院 品监督检验研 陕西省食品药 究院 品监督检验研 陕西省食品药 究院 品监督检验研 陕西省食品药 究院 品监督检验研 陕西省食品药 究院 品监督检验研 陕西省食品药 究院 品监督检验研 陕西省食品药 究院 品监督检验研 陕西省食品药 究院 品监督检验研 究院 陕西省食品药 品监督检验研 陕西省食品药 究院 品监督检验研 陕西省食品药 究院 品监督检验研 陕西省食品药 究院 品监督检验研 究院 109 / / 110 / / 111 / / 112 / / 113 / / 114 安康市五福鲜食品有限公司 115 安康市五福鲜食品有限公司 116 安康市五福鲜食品有限公司 117 安康市五福鲜食品有限公司 118 安康市五福鲜食品有限公司 119 安康市五福鲜食品有限公司 陕西省安康市汉滨区五 里镇工业园区富硒食品 集中区 陕西省安康市汉滨区五 里镇工业园区富硒食品 集中区 陕西省安康市汉滨区五 里镇工业园区富硒食品 集中区 陕西省安康市汉滨区五 里镇工业园区富硒食品 集中区 陕西省安康市汉滨区五 里镇工业园区富硒食品 集中区 陕西省安康市汉滨区五 里镇工业园区富硒食品 集中区 西安市莲湖区紫鑫阁饭 庄 陕西佳源北京老铺饮食 有限责任公司 西安囯祥餐饮管理有限 公司 西安赵记小龙坎餐饮有 限公司 西安碑林区老江南私家 餐馆 食用油、油脂及 其制品 食用油、油脂及 其制品 食用油、油脂及 其制品 食用油、油脂及 其制品 食用油、油脂及 其制品 陕西 煎炸油 2018/5/1 / 陕西 煎炸油 2018/5/16 / 陕西 煎炸油 2018/5/17 / 陕西 煎炸过程用 油 2018/5/31 / 陕西 煎炸油 2018/5/17 / 安康市利鑫商贸有限公 司巴山中路分公司 陕西 野生瀛湖鱼 (烧烤味) 2018-03-20 300克/盒 水产制品 安康市利鑫商贸有限公 司巴山中路分公司 陕西 野生瀛湖鱼 (香辣味) 2018-04-25 300克/盒 水产制品 陕西民生家乐商业连锁 有限责任公司民生家乐 安康巴山店 陕西 野生瀛湖鱼 (酱香味) 2018-04-15 300克/盒 水产制品 安康市喜盈门商贸有限 公司中心店 陕西 野生瀛湖鱼 (香辣味) 2018-05-01 120克/袋 水产制品 安康市喜盈门商贸有限 公司中心店 陕西 野生瀛湖鱼 2018-05-10 118克/袋 水产制品 安康市喜盈门商贸有限 公司中心店 陕西 野生瀛湖鱼 (香辣味) 2018-04-25 300克/盒 水产制品 120 湖南湘顺王食品有限公司 长沙国家生物产业基地 长武全都购物广场有限 公司 陕西 鱼儿来啦(动 物性水产熟 食)(泡椒味) 2018-01-09 80克/袋 水产制品 121 湖南乡乡嘴食品有限公司 武冈市经济开发区(春 光路工业园区) 长武全都购物广场有限 公司 陕西 秘香味小汁 鱼 2018-04-02 42克/袋 水产制品 委托企业:人人乐连锁商业 集团股份有限公司 122 被委托企业:资兴市维健生 食品加工有限责任公司 委托企业地址:深圳市 南山区前海路心语家园 裙楼二层 被委托企业地址:湖南 省资兴市经济开发区食 品加工园 西安市人人乐超市有限 公司泾渭路购物广场 陕西 泡椒鱼仔 2018-01-02 110克/袋 水产制品 123 广东绿活食品有限公司 普宁市梅塘镇长美工业 园0001号 铜川市好又多购物广场 有限责任公司 陕西 香辣烤红鱼 2018-06-19 75克/袋 水产制品 124 长沙远扬食品有限公司 长沙市望城区铜官镇铜 官街社区 深圳沃尔玛百货零售有 限公司西安金花南路分 店 陕西 香辣鱼仔 2018-03-25 80克/袋 水产制品 陕西省食品药 品监督检验研 陕西省食品药 究院 品监督检验研 陕西省食品药 究院 品监督检验研 陕西省食品药 究院 品监督检验研 究院 陕西省食品药 品监督检验研 陕西出入境检 究院 验检疫局检验 检疫技术中心 陕西出入境检 验检疫局检验 检疫技术中心 陕西出入境检 验检疫局检验 检疫技术中心 陕西出入境检 验检疫局检验 检疫技术中心 陕西出入境检 验检疫局检验 检疫技术中心 陕西出入境检 验检疫局检验 检疫技术中心 陕西出入境检 验检疫局检验 检疫技术中心 陕西出入境检 验检疫局检验 检疫技术中心 陕西出入境检 验检疫局检验 检疫技术中心 陕西出入境检 验检疫局检验 检疫技术中心 陕西出入境检 验检疫局检验 检疫技术中心 125 岳阳市湘华佳友食品厂 岳阳县麻塘镇应垅村 靖边县伯特利实业有限 公司 陕西 麻辣鱼仔 2017-11-23 50克/袋 水产制品 126 / / 眉县首善江南茶庄 陕西 紫阳毛尖 2018-04-02( 购进日期) 散装 茶叶及相关制品 127 南郑县秦家坝一茶厂 南郑县小南海镇小河沟 村 陕西 陕南绿茶 2018-06-01 250g/袋 茶叶及相关制品 128 / / 延安民生家乐有限责任 公司 南郑县向氏茶业有限公 司周家坪分公司 陕西 炒青 2018-04-03 散装 茶叶及相关制品 129 / / 宜川县信阳一品香茶庄 陕西 汉中仙毫 2018-04-12( 购进日期) 散装 茶叶及相关制品 130 南郑县鑫盛茶业有限公司 陕西南郑县青树镇 宜川县信阳一品香茶庄 陕西 汉中炒青 2018-04-03 250g/袋 茶叶及相关制品 131 宁强县千山茶业有限公司 宁强毛尖( 一级) 2018-05-08 250克/袋 茶叶及相关制品 宁强县凤源茶业有限责任公 司 宁强县千山茶业有限公 司 宁强县凤源茶业有限责 任公司 陕西 132 汉中市宁强县羌州路中 段 陕西省宁强县羌州路南 段 陕西 宁强毛尖 2018-04-12 250g/袋 茶叶及相关制品 133 / / 黄陵县铜川茶庄 陕西 汉中午子仙 毫 散装 茶叶及相关制品 134 宝鸡尚道茶叶有限公司 宝鸡尚道茶业有限公司 陕西 一级炒青 2018-06-04( 购进日期) 2017-07-23( 购进日期) 散装 茶叶及相关制品 135 南郑县秦家坝一茶厂 南郑县问水茶行 陕西 炒青 2018-05-09 散装 茶叶及相关制品 136 / 宜川县信阳一品香茶庄 陕西 炒青 2018-04-25( 购进日期) 散装 茶叶及相关制品 西安市新城区长乐东路 陕西永辉超市有限公司 137 西安康硒天茗茶业有限公司 86号紫薇家天下小区9号 延安北滨路分公司 地下室 陕西 紫阳茶 2018-04-01 200g/盒 茶叶及相关制品 138 / / 陕西 炒青 2018-05-23( 购进日期) 散装 茶叶及相关制品 139 / / 陕西 炒青 2018-04-22 散装 茶叶及相关制品 140 宁强县宁雨茶叶有限责任公 司 陕西省汉中市宁强县汉 源街道办事处羌州中段 陕西 炒青 2018-04-25 散装 茶叶及相关制品 141 / / 陕西 陕青(2) 2018-05-26( 购进日期) 散装 茶叶及相关制品 142 宝鸡尚道茶叶有限公司 宝鸡尚道茶叶有限公司 宝鸡尚道茶业有限公司 陕西 绿茶 2018-05-28 200克/袋 茶叶及相关制品 143 / / 宝鸡尚道茶业有限公司 陕西 五级茉莉花 茶 散装 茶叶及相关制品 144 / / 陕西 汉中仙毫 2018-05-23( 购进日期) 2018-06-16( 购进日期) 散装 茶叶及相关制品 145 陕西宁强县羌州茶业有限责 任公司 陕西省宁强县羌州路中 段 陕西 宁强毛尖 2018-04-18 250g/条 茶叶及相关制品 146 汉中山花茶业有限公司 / 陕西 汉中特炒 2017-07-10 456g/袋 茶叶及相关制品 147 / / 陕西 紫阳毛尖(1 ) 2018-05-01( 购进日期) 散装 茶叶及相关制品 宝鸡蔡家坡凤凰西路西 段 汉中市南郑县小南海镇 小河沟村 / 甘泉县老袁茶庄 南郑县干龙洞茶业有限 公司龙岗路分公司 宁强县宁雨茶叶有限责 任公司 宝鸡市宝塔区裕锦源茶 行 宝鸡市宝塔区裕锦源茶 行 宁强县羌州茶业有限责 任公司 汉中百隆现代实业有限 公司南门经营部 富县江南茶庄 陕西出入境检 验检疫局检验 检疫技术中心 陕西省产品质 量监督检验研 陕西省产品质 究院 量监督检验研 究院 陕西省产品质 量监督检验研 陕西省产品质 究院 量监督检验研 陕西省产品质 究院 量监督检验研 究院 陕西省产品质 量监督检验研 陕西省产品质 究院 量监督检验研 陕西省产品质 究院 量监督检验研 陕西省产品质 究院 量监督检验研 究院 陕西省产品质 量监督检验研 陕西省产品质 究院 量监督检验研 陕西省产品质 究院 量监督检验研 究院 陕西省产品质 量监督检验研 陕西省产品质 究院 量监督检验研 陕西省产品质 究院 量监督检验研 陕西省产品质 究院 量监督检验研 陕西省产品质 究院 量监督检验研 陕西省产品质 究院 量监督检验研 陕西省产品质 究院 量监督检验研 陕西省产品质 究院 量监督检验研 陕西省产品质 究院 量监督检验研 陕西省产品质 究院 量监督检验研 究院 148 / / 149 / / 150 / / 151 汉中山花茶业有限公司 152 153 154 宝鸡市宝塔区枣园路茗 云茶行 铜川市印台区三里洞神 农商行 2018-05-14( 购进日期) 2018-05-16( 购进日期) 2018-03-14( 购进日期) 陕西 紫阳毛尖 陕西 汉中青茶 千阳县百福茗茶店 陕西 西乡炒青 陕西.汉中.城固.天明镇 凤翔县新合作信息服务 有限责任公司 陕西 汉中绿茶 2018-05-20 / / 富县江南茶庄 陕西 紫阳毛尖(2 ) / / 洛川县江南茶庄 陕西 汉中仙毫 2018-05-01( 购进日期) 2018-05-02( 购进日期) 扶风县众鑫超市 陕西 茉莉花茶 陕西省宝鸡市扶风县七 陕西一品香茶叶有限公司出 星河大桥西500米路北( 品 分装) 2018-04-01 茶叶及相关制品 散装 茶叶及相关制品 散装 茶叶及相关制品 100g/袋 茶叶及相关制品 散装 茶叶及相关制品 散装 茶叶及相关制品 200克/袋 茶叶及相关制品 散装 茶叶及相关制品 散装 茶叶及相关制品 155 / / 宝鸡市宝塔区凤凰高家 综合经销部 陕西 雀舌 156 / / 铜川市印台区宏达茶庄 陕西 紫阳毛尖 157 勉县秦月茶厂 陕西省汉中市勉县小河 庙黑滩沟 陕西省汉中市南郑县牟 家坝云峰寺村 勉县秦月茶厂九冶直营 店 汉中云峰茶业发展有限 公司 宝鸡市宝塔区百米大道 兴茗茶行 铜川市印台区城关江南 香茶庄 宝鸡市宝塔区向阳沟天 意缘茶行 凤翔县新合作信息服务 有限责任公司 陕西 秦月绿茶 2018-05-01 250g/袋 茶叶及相关制品 陕西 炒青 2018-04-15 散装 茶叶及相关制品 陕西 陕青 散装 茶叶及相关制品 陕西 陕青 散装 茶叶及相关制品 陕西 陕青 散装 茶叶及相关制品 陕西 汉中绿茶 2018-05-07 100克/袋 茶叶及相关制品 陕西 陕青 2018-01-07 500克/袋 茶叶及相关制品 陕西 汉中毛尖 2018-06-12 100g/袋 茶叶及相关制品 陕西 炒青 2018-05-06 散装 茶叶及相关制品 陕西 汉中绿茶 2018-04-16 250克/盒 茶叶及相关制品 陕西 汉中仙毫(2 ) 2018-04-10( 购进日期) 散装 茶叶及相关制品 陕西 天竺翠峰 2018-04-15 200g/袋 茶叶及相关制品 陕西 炒青 2018-06-16( 购进日期) 散装 茶叶及相关制品 陕西 卧龙青 2018-05-18 250g/袋 茶叶及相关制品 158 汉中云峰茶业发展有限公司 159 / / 160 / / 161 / / 162 陕西省汉中市巴山茶业有限 责任公司 汉中市西环路建材大厦 陕西省紫阳县西环路15扶风县森美购物广场 16号 汉中三国茶业科技发展有限 陕西省勉县漆树坝乡青 164 勉县军明茶行 公司 坪山有机茶园 勉县碧峰茶叶种植专业合作 陕西省汉中市勉县阜川 165 勉县碧丰茶行 社 镇小河庙村一组 西乡县峡口镇白岩村一 陕西华润万家生活超市 166 陕西西乡绿珠茶业有限公司 有限公司宝鸡高新路分 组 公司 宝鸡市宝塔区凤凰高家 167 / / 综合经销部 商洛瑞君生态农业开发有限 陕西▪商洛▪山阳县法官镇 商洛瑞君生态农业开发 168 公司 有限公司 铜川市耀州区欢乐颂生 169 / / 活超市 勉县小河庙(勉钢公路 170 陕西卧龙茶业有限公司 陕西卧龙茶业有限公司 阴坝站) 163 陕西省紫阳县荣花富硒茶厂 2018-06-20( 购进日期) 2018-03-26( 购进日期) 散装 2018-04-20( 购进日期) 2018-04-28( 购进日期) 2018-04-23( 购进日期) 陕西省产品质 量监督检验研 陕西省产品质 究院 量监督检验研 陕西省产品质 究院 量监督检验研 陕西省产品质 究院 量监督检验研 陕西省产品质 究院 量监督检验研 陕西省产品质 究院 量监督检验研 陕西省产品质 究院 量监督检验研 究院 陕西省产品质 量监督检验研 究院 陕西省产品质 量监督检验研 陕西省产品质 究院 量监督检验研 陕西省产品质 究院 量监督检验研 陕西省产品质 究院 量监督检验研 陕西省产品质 究院 量监督检验研 陕西省产品质 究院 量监督检验研 陕西省产品质 究院 量监督检验研 究院 陕西省产品质 量监督检验研 究院 陕西省产品质 量监督检验研 究院 陕西省产品质 量监督检验研 究院 陕西省产品质 量监督检验研 究院 陕西省产品质 量监督检验研 究院 陕西省产品质 量监督检验研 究院 陕西省产品质 量监督检验研 究院 陕西省产品质 量监督检验研 究院 171 陕西福青山茶文化有限公司 陕西省山阳县县域工业 集中区 陕西福青山茶文化有限 公司 宝鸡市宝塔区凤凰益品 茗茶行 宝鸡市宝塔区凤凰佳韵 茶坊 陕西 天竺山仙茗 陕西 炒青 陕西 炒青 2018-04-23 2018-03-15( 购进日期) 2018-03-12( 购进日期) 散装 茶叶及相关制品 散装 茶叶及相关制品 散装 茶叶及相关制品 172 / / 173 / / 174 陕西省山阳县延丰茶厂 陕西省山阳县延坪镇枫 树村高桥组 山阳县孙荣华茶店 陕西 天竺名茶 2018-04-30 200g/袋 茶叶及相关制品 175 汉中·城固县松树茶厂 汉中市城固县天明镇 陇县泰和购物便利店 陕西 西乡绿茶 2018-01-02 200克/盒 茶叶及相关制品 陕西省山阳县迎宾大道 58号 山阳县天竺源茶业有限 公司 宝鸡天兴家世界商贸有 限公司 宝鸡市宝塔区向阳沟天 意缘茶行 宝鸡赐金商贸有限公司 秦源悦生活超市 陕西 天竺源绿茶 2018-05-22 200g/袋 茶叶及相关制品 陕西 紫阳毛尖 散装 茶叶及相关制品 陕西 紫阳毛尖 散装 茶叶及相关制品 陕西 茉莉花茶 2018-06-07 225g/袋 茶叶及相关制品 山阳县清泉茶业商店 陕西 延坪剑毫 2018-04-20 200g/盒 茶叶及相关制品 宝鸡市宝塔区凤凰高家 综合经销部 陕西 2018-04-10( 购进日期) 散装 茶叶及相关制品 千阳县茗香茶庄 陕西 汉中仙毫(1 ) 西乡绿茶( 分装) 2018-04-17 250克/袋 茶叶及相关制品 陕西 万福香茗茶 2018-04-22 100g/袋 茶叶及相关制品 陕西 炒青 2018-05-10( 购进日期) 散装 茶叶及相关制品 陕西 绿茶 2018-04-18 250g/袋 茶叶及相关制品 陕西 炒青 2018-05-02 散装 茶叶及相关制品 散装 茶叶及相关制品 散装 茶叶及相关制品 散装 茶叶及相关制品 散装 茶叶及相关制品 176 山阳县天竺源茶业有限公司 177 / / 178 / / 179 宝鸡万山元商贸有限公司 180 山阳县枫树茶业专业合作社 宝鸡市金台区高家坪副 18号 陕西省山阳县延坪镇枫 树村 181 / 182 宝鸡市君香茶叶有限公司 183 陕西省山阳县万福茶业有限 公司 宝鸡市金台区岳家坡村 三组 山阳县漫川关镇娘娘庙 村 184 / / 陕西盛华茶叶发展有限责任 公司 陕西盛华茶叶发展有限责任 186 公司 185 / 陕西省商洛市镇安县午 峪工业集中区 陕西省商洛市镇安县午 峪工业集中区 山阳县万福茶业有限公 司 铜川市印台区三里洞一 品得茶叶店 陕西盛华茶叶发展有限 责任公司 陕西盛华茶叶发展有限 责任公司 2018-04-20( 购进日期) 2018-04-23( 购进日期) 2017-08-05( 购进日期) 2018-06-15( 购进日期) 2018-04-10( 购进日期) 2018-04-15( 购进日期) 187 / / 临渭区鑫益茶业 陕西 陕青 188 / / 临渭区彩虹灵峰茶庄 陕西 陕青 189 / / 临渭区彩虹灵峰茶庄 陕西 汉中仙毫 190 / / 临渭区祥和茶庄 陕西 汉中仙毫 内黄县二安工业区(大 槐林村南侧) 内黄县二安镇腐竹园区 (二安镇后安村) 陕西华润万家生活超市 有限公司渭南前进路分 公司 陕西华润万家生活超市 有限公司渭南前进路分 公司 陕西华润万家生活超市 有限公司渭南前进路分 公司 陕西 郁金香黑豆 油皮 2018-03-29 120克/袋 豆制品 陕西 腐竹 2018-02-28 300克/袋 豆制品 陕西 豆腐皮 2018-03-09 200克/袋 豆制品 191 安阳市双强豆制品有限公司 192 内黄县润盛源豆制品厂 193 安阳市双强豆制品有限公司 内黄县二安工业区(大 槐林村南侧) 陕西省产品质 量监督检验研 究院 陕西省产品质 量监督检验研 究院 陕西省产品质 量监督检验研 究院 陕西省产品质 量监督检验研 究院 陕西省产品质 量监督检验研 究院 陕西省产品质 量监督检验研 究院 陕西省产品质 量监督检验研 究院 陕西省产品质 量监督检验研 究院 陕西省产品质 量监督检验研 究院 陕西省产品质 量监督检验研 究院 陕西省产品质 量监督检验研 究院 陕西省产品质 量监督检验研 究院 陕西省产品质 量监督检验研 究院 陕西省产品质 量监督检验研 究院 陕西省产品质 量监督检验研 究院 陕西省产品质 量监督检验研 究院 陕西省产品质 量监督检验研 究院 陕西省产品质 量监督检验研 究院 陕西省产品质 量监督检验研 究院 陕西省产品质 量监督检验研 究院 西安市产品质 量监督检验院 西安市产品质 量监督检验院 西安市产品质 量监督检验院 194 内黄县华豫豆制品厂 195 安阳市双强豆制品有限公司 196 河南莱菲特食品有限公司 内黄县二安乡后安村 陕西华润万家生活超市 有限公司渭南朝阳大街 分公司 内黄县二安工业区(大槐 陕西华润万家生活超市 有限公司咸阳北大街分 林村南侧) 公司 富平县家电摩托王国销 汤阴县产业集聚区复兴 售有限责任公司家天下 大道中段北侧 购物广场三秦店 陕西华润万家生活超市 有限公司咸阳福园分公 司 陕西 腐竹 2018-04-01 500克/袋 豆制品 西安市产品质 量监督检验院 陕西 天马腐竹 2018-06-12 400克/袋 豆制品 西安市产品质 量监督检验院 陕西 腐竹(豆制 品) 2018-05-23 300克/袋 豆制品 西安市产品质 量监督检验院 陕西 风味豆干( 麻辣味) 2018-05-03 散装称重 豆制品 西安市产品质 量监督检验院 陕西 豆干(山椒 味) 2018-05-15 散装称重 豆制品 西安市产品质 量监督检验院 197 重庆丰恒食品有限公司 重庆市沙坪坝区歌乐山 镇新开寺花朝门社 198 重庆市久泰食品有限公司 重庆市潼南县龙形镇高 桥村三社 199 河南泽福食品有限公司(分 装) 许昌县河街乡裴河村 宝鸡商场有限公司家美 佳陈仓园店 陕西 豆油皮(非 即食) 2017-12-01 150克/袋 豆制品 西安市产品质 量监督检验院 200 安阳双强豆制品有限公司 安阳市内黄县二安工业 区 宝鸡商场有限公司家美 佳陈仓园店 陕西 天马腐竹 2018-02-26 180克/袋 豆制品 西安市产品质 量监督检验院 201 贵州老干爹食品有限公司 红油腐乳 2018-01-11 240g/瓶 豆制品 桂林古榕食品有限公司 陕西物美新百超市有限 公司咸阳财富中心店 陕西物美新百超市有限 公司咸阳财富中心店 陕西佳源商业管理有限 公司周至隆发购物广场 陕西 202 贵州贵阳国家高新技术 产业开发区顺海工业小 区 灵川县定江镇开发区( 三号工业园区) 内黄县二安工业区(大 槐林村南侧) 陕西 茶油腐乳 2017-11-18 280克/瓶 豆制品 陕西 味思利黄豆 腐竹 2018-03-10 218克/袋 豆制品 内黄县二安乡后安村 周至家福乐超市 陕西 黑豆腐竹 2018-05-08 158克/袋 豆制品 周至县家福乐超市 陕西 腐竹 2018-04-23 360克/袋 豆制品 陕西 腐竹 2018-06-01 300克/袋 豆制品 陕西 山茶油腐乳 2018-05-15 300克/瓶 豆制品 陕西 油皮 2018-06-05 200g/袋 豆制品 陕西 腐竹(分装 ) 2017-08-10 260g/袋 豆制品 陕西 腐乳麻辣型 2018-01-11 210克/瓶 豆制品 陕西 香辣味山茶 油腐乳 2018-01-13 130克/瓶 豆制品 203 安阳市双强豆制品有限公司 河南省味之源豆制品有限公 司 平顶山市亿家福豆制品有限 205 公司 204 平顶山市新华区胡庄村 九矿西凤井东侧 内黄县二安镇腐竹园区 (二安镇后安村) 陕西华润万家生活超市 有限公司咸阳福园分公 司 咸阳世纪金花商贸有限 公司量贩金山店 江西寇寇豆制品制造有限公 咸阳世纪金花商贸有限 207 江西新干城南工业园区 司 公司量贩金山店 内黄县二安工业区(大 咸阳世纪金花商贸有限 208 安阳市双强豆制品有限公司 槐林村南侧) 公司量贩金山店 陕西民生家乐商业连锁 西华县五二农场育才路1 209 河南省世禾食品有限公司 有限责任公司民生家乐 号 汉中天汉店 重庆市綦丰农产品开发有限 重庆市綦江区东溪镇盆 蓝田县众鑫生活超市有 210 责任公司 石村 限公司 江西寇寇豆制品制造有限公 西安市人人乐超市有限 211 江西新干城南工业园区 司 公司高新购物广场 206 内黄县润盛源豆制品厂 西安市产品质 量监督检验院 西安市产品质 量监督检验院 西安市产品质 量监督检验院 西安市产品质 量监督检验院 西安市产品质 量监督检验院 西安市产品质 量监督检验院 西安市产品质 量监督检验院 西安市产品质 量监督检验院 西安市产品质 量监督检验院 西安市产品质 量监督检验院 西安市产品质 量监督检验院 212 安阳市双强豆制品有限公司 内黄县二安工业区(大 槐林村南侧) 咸阳人人乐商业有限公 司玉泉第二购物广场 陕西 豆腐皮 2018-01-16 200克/袋 豆制品 西安市产品质 量监督检验院 213 许昌新发展实业有限公司 许昌尚集产业集聚区昌 盛路西段 咸阳人人乐商业有限公 司玉泉第二购物广场 陕西 腐竹 2018-03-10 500克/袋 豆制品 西安市产品质 量监督检验院 214 陕西佳源豆制品有限公司 陕西省商洛市镇安县永 乐街道办北城社区一组 陕西省汉中市南郑县汉 山街道办事处潘营村 陕西佳源豆制品有限公 司 蓝田县宏辉购物有限公 司县门街店 陕西 小宝五香豆 干 2018-06-11 300克/袋 豆制品 陕西 魔芋腐竹 2017-11-05 150克/袋 豆制品 许昌县苏桥镇杜寨村 蓝田县宏辉购物有限公 司县门街店 陕西 豆皮 2018-01-23 200克/袋 豆制品 陕西 豆油皮(非 即食) 2018-01-26 200克/袋 豆制品 陕西 永川豆豉 2017-11-29 150克/袋 豆制品 陕西 豆干(五香 味) 2018-03-01 90克/袋 豆制品 陕西 黄桃罐头 2018-4-4 248克 罐头 2017-11-6 340克 罐头 2018-1-2 340g 罐头 2018-2-28 397克 罐头 2018-4-22 330ml 饮料 2018-3-17 330ml 饮料 2018-3-17 330ml 饮料 2018-4-18 250克 饮料 2018-4-10 250g 饮料 2018-4-9 250g 饮料 2018-5-6 418mL 饮料 215 陕西宏力农业科技有限公司 216 许昌县荣华豆制品有限公司 河南泽福食品有限公司(分 装) 重庆市永川豆豉食品有限公 218 司 重庆市渝派农产品开发有限 219 公司 临沂市康发食品饮料有限公 220 司 重庆市永川区大安街道 凤凰湖工业园区 重庆市綦江工业园区( 食品园) 221 嘉兴荷美尔食品有限公司 嘉兴经济技术开发区董 亭浜路89号 222 四川鹰金钱食品有限公司 南充市嘉陵区工业园区 223 上海梅林正广和(绵阳)有 限公司 224 中垦华山牧乳业有限公司 225 中垦华山牧乳业有限公司 226 中垦华山牧乳业有限公司 217 陕西华城工贸有限公司食品 加工厂 陕西华城工贸有限公司食品 228 加工厂 陕西华城工贸有限公司食品 229 加工厂 陕西奇异王果现代有机农业 230 有限公司 227 许昌县河街乡斐河村 平邑县地方镇驻地 四川省绵阳市三台县农 业产业化试验示范区花 园干道 陕西省渭南市经济技术 开发区中垦大道 陕西省渭南市经济技术 开发区中垦大道 陕西省渭南市经济技术 开发区中垦大道 西咸新区秦汉新城正阳 街道办韩家湾街8号 西咸新区秦汉新城正阳 街道办韩家湾街8号 西咸新区秦汉新城正阳 街道办韩家湾街8号 西安市周至县马召镇四 群村 咸阳市渭城区锦绣亨星 百货超市 山阳县客都购物广场商 贸有限公司第二分公司 西安市人人乐超市有限 公司泾渭路购物广场 沃尔玛(陕西)百货有 限公司 陕西华润万家生活超市 有限公司太白南路分公 司 陕西华润万家生活超市 有限公司太白南路分公 司 宝鸡大润发商业有限公 司 西安市家佳美商贸有限 公司 西安市家佳美商贸有限 公司 西安市家佳美商贸有限 公司 西安市家佳美商贸有限 公司 西安市家佳美商贸有限 公司 西安市家佳美商贸有限 公司 陕西永辉超市有限公司 西安西部大道分公司 陕西 陕西 陕西 陕西 陕西 陕西 陕西 陕西 陕西 陕西 午餐肉罐头 (经典原味 ) 午餐肉罐头 (罐头食品 ) 油焖笋罐头 乳酸菌饮料 (原味) 乳酸菌饮料 (苹果味) 乳酸菌饮料 (芒果味) 桔子(果味 固体饮料) 鲜橙味(果 味固体饮料 ) 菠萝味(果 味固体饮料 ) 合德堂猕猴 桃汁饮料 西安市产品质 量监督检验院 西安市产品质 量监督检验院 西安市产品质 量监督检验院 西安市产品质 量监督检验院 西安市产品质 量监督检验院 西安市产品质 量监督检验院 西安市食品药 品检验所 西安市食品药 品检验所 西安市食品药 品检验所 西安市食品药 品检验所 西安市食品药 品检验所 西安市食品药 品检验所 西安市食品药 品检验所 西安市食品药 品检验所 西安市食品药 品检验所 西安市食品药 品检验所 西安市食品药 品检验所 陕西奇异王果现代有机农业 有限公司 西安市周至县马召镇四 群村 陕西永辉超市有限公司 西安西部大道分公司 陕西 232 陕西永和食品发展有限公司 陕西省渭南市经济技术 开发区工业大道 西咸新区沣东新城万鸿 都超市 陕西 233 西安万基食品饮料有限公司 西安市长安区何子路 234 西安万基食品饮料有限公司 西安市长安区何子路 231 委托方:上海弘奇永和食品 235 发展有限公司 受委托方: 陕西永和食品发展有限公司 236 西安维维食品饮料有限公司 237 西安维维食品饮料有限公司 238 西安万基食品饮料有限公司 委托方:上海市浦东新 区航头路144-164号3幢 受委托方:陕西省渭南 市经济技术开发区工业 大道 西安经济技术开发区草 滩生态产业园尚稷路 2699号 西安经济技术开发区草 滩生态产业园尚稷路 2699号 西安长安区何子路 委托方:北京市顺义区 委托方:北京汇源食品饮料 北小营镇 受委托方:山 239 有限公司 受委托方:鲁中 东省莱芜市经济开发区 汇源食品饮料有限公司 凤凰路南首汇源工业园 陕西省神木县万镇镇西 240 陕西华和实业有限公司 豆峪村 陕西省神木市万镇镇西 241 陕西华和实业有限公司 豆峪村 陕西省神木县万镇镇西 242 陕西华和实业有限公司 豆峪村 江苏省徐州市维维大道 243 维维食品饮料股份有限公司 300号 徐州市铜山区张集工业 244 徐州维维金澜食品有限公司 区 西安万基食品饮料有限 公司 西安万基食品饮料有限 公司 陕西华润万家生活超市 有限公司长安新都市分 公司 陕西华润万家生活超市 有限公司长安新都市分 公司 陕西华润万家生活超市 有限公司长安新都市分 公司 陕西丰华好又多商贸有 限公司 陕西 陕西 陕西 陕西 陕西 陕西 西安市人人乐超市有限 公司南郊购物广场 陕西 陕西华和实业有限公司 陕西 陕西华和实业有限公司 陕西 陕西华和实业有限公司 陕西 西安市人人乐超市有限 公司南郊购物广场 西安市人人乐超市有限 公司南郊购物广场 户县人人家超级市场红 旗店 陕西 陕西 245 西安万基食品饮料有限公司 西安市长安区何子路 陕西 246 今麦郎饮品(宝鸡)有限公 司 陕西省宝鸡市扶风县绛 帐工业园 周至家福乐超市 陕西 247 今麦郎饮品(宝鸡)有限公 司 陕西省宝鸡市扶风县绛 帐工业园 周至家福乐超市 陕西 248 今麦郎饮品(宝鸡)有限公 司 周至家福乐超市 陕西 249 陕西娃哈哈乳品有限公司 陕西省宝鸡市扶风县绛 帐工业园 咸阳市三原县清河食品 工业园 陕西永辉超市有限公司 西安丰禾路分公司 陕西 合德堂桃汁 饮料 无添加蔗糖 豆浆粉 速溶 豆粉(Ⅰ类 ·其他型) 酸梅粉固体 饮料 酸梅粉固体 饮料 原味豆浆粉 速溶豆粉(I 类·其他型 ) 维他型豆奶 粉 维他型豆奶 粉 鲜橙味固体 饮料 汇源100%橙 汁 曼乔庄园红 枣浓缩汁 红枣沙棘果 汁饮料 曼乔红枣咖 啡 高钙多维豆 奶粉 早餐豆奶粉 菠萝味固体 饮料 芒顿小镇( 柠檬味饮料 ) 芒顿小镇( 乳酸菌发酵 风味饮料) 芒顿小镇( 维生素饮料 ) AD钙奶饮料 2018-4-9 418mL 饮料 西安市食品药 品检验所 2018-1-4 350克(内含12包 ) 饮料 西安市食品药 品检验所 2018-6-1 1千克 饮料 2018-6-6 1千克 饮料 2017-12-24 350克(内含12包) 饮料 2018-3-5 500克 饮料 2018-3-29 560克 饮料 2018-4-29 320g 饮料 2018-4-4 330ml 饮料 2017-10-20 105克(7克×15 条) 饮料 2018-3-25 240ml 饮料 2018-4-12 700克 饮料 2018-2-7 500克 饮料 2018-4-13 500克 饮料 2018-4-25 320克 饮料 2018-5-12 500mL 饮料 2018-5-1 500mL 饮料 2018-4-27 500mL 饮料 2018-5-17 220g 饮料 西安市食品药 品检验所 西安市食品药 品检验所 西安市食品药 品检验所 西安市食品药 品检验所 西安市食品药 品检验所 西安市食品药 品检验所 西安市食品药 品检验所 西安市食品药 品检验所 西安市食品药 品检验所 西安市食品药 品检验所 西安市食品药 品检验所 西安市食品药 品检验所 西安市食品药 品检验所 西安市食品药 品检验所 西安市食品药 品检验所 西安市食品药 品检验所 西安市食品药 品检验所 250 陕西娃哈哈乳品有限公司 251 委托方:西安殷荣饮品有限 公司 受委托方:陕西荣氏 食品有限公司 252 委托方:西安殷荣饮品有限 公司 受委托方:陕西荣氏 食品有限公司 253 杨凌圣桑绿色食品有限公司 254 杨凌圣桑绿色食品有限公司 255 杨凌圣桑绿色食品有限公司 陕西奇异王果现代有机农业 有限公司 陕西奇异王果现代有机农业 257 有限公司 康师傅(西安)饮品有限公 258 司 256 259 康师傅(西安)饮品有限公 司 260 康师傅(西安)饮品有限公 司 261 达能(陕西)食品饮料有限 公司 262 达能(陕西)食品饮料有限 公司 263 达能(陕西)食品饮料有限 公司 264 陕西娃哈哈食品有限公司 265 陕西娃哈哈食品有限公司 266 267 咸阳市三原县清河食品 工业园 委托方:西安经济技术 开发区凤城二路29号 受 委托方:安康市高新区 高新七路18号 委托方:西安经济技术 开发区凤城二路29号 受 委托方:安康市高新区 高新七路18号 中国.杨凌农业高新技术 产业示范区滨河路 中国.杨凌农业高新技术 产业示范区滨河路 中国.杨凌农业高新技术 产业示范区滨河路 西安市周至县马召镇四 群村 西安市周至县马召镇四 群村 西安经济技术开发区草 滩生态产业园尚稷路28 号 西安经济技术开发区草 滩生态产业园尚稷路28 号 西安经济技术开发区草 滩生态产业园尚稷路28 号 西安经济技术开发区草 滩生态产业园尚苑路 8000号 西安经济技术开发区草 滩生态产业园尚苑路 8000号 西安经济技术开发区草 滩生态产业园尚苑路 8000号 陕西省三原县清河食品 工业园 陕西永辉超市有限公司 西安丰禾路分公司 陕西 AD钙奶饮料 2018-5-29 220g 饮料 西安市食品药 品检验所 陕西永辉超市有限公司 西安丰禾路分公司 陕西 苹果汁饮料( 果汁饮料) 2018-5-22 250ml 饮料 西安市食品药 品检验所 陕西永辉超市有限公司 西安丰禾路分公司 陕西 桃汁饮料( 果汁饮料) 2018-3-28 250ml 饮料 西安市食品药 品检验所 2018-4-26 350mL 饮料 2018-5-2 350mL 饮料 2018-5-1 350mL 饮料 2018-4-9 418mL 饮料 2018-4-4 418mL 饮料 2018-1-30 (450+50)ml 饮料 2018-2-26 (450+50)ml 饮料 西安市食品药 品检验所 2018-1-29 (450+50)ml 饮料 西安市食品药 品检验所 2018-3-19 600mL 饮料 西安市食品药 品检验所 2018-4-8 600mL 饮料 西安市食品药 品检验所 2018-5-26 600mL 饮料 西安市食品药 品检验所 2018-6-4 500g 饮料 西安市食品药 品检验所 2018-1-2 500g 饮料 西安市食品药 品检验所 2018-6-1 500g 饮料 西安市食品药 品检验所 2018-3-13 560毫升 饮料 西安市食品药 品检验所 陕西永辉超市有限公司 西安丰禾路分公司 陕西永辉超市有限公司 西安丰禾路分公司 陕西永辉超市有限公司 西安丰禾路分公司 陕西永辉超市有限公司 西安丰禾路分公司 陕西永辉超市有限公司 西安丰禾路分公司 陕西华润万家生活超市 有限公司雁塔路分公司 陕西 陕西 陕西 陕西 陕西 陕西 陕西华润万家生活超市 有限公司雁塔路分公司 陕西 陕西华润万家生活超市 有限公司雁塔路分公司 陕西 西安爱家超市有限公司 爱家购物广场文艺路店 陕西 西安爱家超市有限公司 爱家购物广场文艺路店 陕西 西安爱家超市有限公司 爱家购物广场文艺路店 陕西 西安爱家超市有限公司 爱家购物广场文艺路店 陕西 陕西省三原县清河食品 工业园 西安爱家超市有限公司 爱家购物广场文艺路店 陕西 陕西娃哈哈食品有限公司 陕西省三原县清河食品 工业园 西安爱家超市有限公司 爱家购物广场文艺路店 陕西 陕西健力宝饮料有限公司 陕西省咸阳市三原县清 河食品工业园园区一路 西安爱家超市有限公司 爱家购物广场文艺路店 陕西 圣桑V6桑果 汁饮料 圣桑V6猕猴 桃汁饮料 圣桑V6石榴 汁饮料 合德堂桃汁 饮料 合德堂猕猴 桃汁饮料 康师傅 鲜果 橙 橙水果饮 品 康师傅水晶 葡萄 葡萄水 果饮品 康师傅水蜜 桃 水果饮品 脉动维生素 饮料(荔枝 口味) 维生素饮料 (海盐青芒 口味) 脉动维生素 饮料(青柠 口味) 水果酸奶饮 品(草莓风 味) Nutri—Expr ess 水果牛 奶饮品(菠萝 味) Nutri—Expr ess 水果牛 奶饮品(原味 ) 橙蜜味运动 饮料(含气 型) 西安市食品药 品检验所 西安市食品药 品检验所 西安市食品药 品检验所 西安市食品药 品检验所 西安市食品药 品检验所 西安市食品药 品检验所 268 咸阳同骏益饮料食品有限公 司 礼泉县工业园区科技路 委托方:西安经济技术 委托方:西安殷荣饮品有限 开发区凤城二路29号 受 269 公司 受委托方:陕西荣氏 委托方:安康市高新区 食品有限公司 高新七路18号 咸阳同骏益饮料食品有限公 270 礼泉县工业园区科技路 司 陕西省宝鸡市高新开发 271 蒙牛乳业(宝鸡)有限公司 区蒙牛工业园 陕西省宝鸡市高新开发 272 蒙牛乳业(宝鸡)有限公司 区蒙牛工业园 陕西省咸阳市三原县清 273 陕西健力宝饮料有限公司 河食品工业园园区一路 陕西省咸阳市三原县清 274 陕西健力宝饮料有限公司 河食品工业园园区一路 咸阳同骏益饮料食品有限公 275 礼泉县工业园区科技路 司 西安伊利泰普克饮品有限公 陕西省西安市临潼区新 276 司 丰工贸小区 西安伊利泰普克饮品有限公 陕西省西安市临潼区新 277 司 丰工贸小区 陕西省宝鸡市高新开发 278 蒙牛乳业(宝鸡)有限公司 区蒙牛工业园 西安伊利泰普克饮品有限公 陕西省西安市临潼区新 279 司 丰工贸小区 陕西杨凌汇源食品饮料有限 陕西省杨凌示范区城南 280 公司 路 陕西杨凌汇源食品饮料有限 陕西省杨凌示范区城南 281 公司 路 282 陕西统一企业有限公司 委托方:西安殷荣饮品有限 283 公司 受委托方:郑州中润 实业有限公司 284 委托方:西安殷荣饮品有限 公司 受委托方:郑州中润 实业有限公司 285 委托方:西安殷荣饮品有限 公司 受委托方:郑州中润 实业有限公司 咸阳市礼泉县城东环路 统一大道1号 委托方:西安市经济技 术开发区凤城二路29号 受委托方:郑州市中牟 县郑庵镇(工业开发区) 委托方:西安市经济技 术开发区凤城二路29号 受委托方:郑州市中牟 县郑庵镇(工业开发区) 委托方:西安市经济技 术开发区凤城二路29号 受委托方:郑州市中牟 县郑庵镇(工业开发区) 西安爱家超市有限公司 爱家购物广场文艺路店 陕西 加多宝凉茶 植物饮料 2018-1-24 310毫升 饮料 西安市食品药 品检验所 西安爱家超市有限公司 爱家购物广场文艺路店 陕西 菠萝果味饮 料 2018-5-3 250ml 饮料 西安市食品药 品检验所 2017-11-29 310毫升 饮料 2018-5-4 250g 饮料 2018-5-8 250g 饮料 2018-3-20 560毫升 饮料 2017-12-6 330毫升 饮料 2017-11-4 310毫升 饮料 2018-4-17 250mL 饮料 2018-4-6 250mL 饮料 2018-5-12 250g 饮料 2018-4-10 250mL 饮料 2018-5-29 1.5L 饮料 2018-4-16 1.5L 饮料 2018-6-5 500毫升 饮料 西安市食品药 品检验所 陕西永辉超市有限公司 西安南关正街分公司 西安市人人乐超市有限 公司南二环购物广场 西安市人人乐超市有限 公司南二环购物广场 陕西百福乐量贩购物有 限公司 陕西百福乐量贩购物有 限公司 陕西百福乐量贩购物有 限公司 沃尔玛(陕西)百货有 限公司 沃尔玛(陕西)百货有 限公司 西安大润发超市有限公 司 西安大润发超市有限公 司 陕西永辉超市有限公司 西安曲江大道分公司 陕西永辉超市有限公司 西安曲江大道分公司 陕西 陕西 陕西 陕西 陕西 陕西 陕西 陕西 陕西 陕西 陕西 陕西 加多宝凉茶 植物饮料 牛奶饮品( 桃果粒) 牛奶饮品( 椰果粒) 橙蜜味运动 饮料(含气 型) 橙蜜味运动 饮料(含气 型) 加多宝凉茶 植物饮料 优酸乳乳饮 料(草莓味 ) 优酸乳乳饮 料(原味) 牛奶饮品( 蓝莓果粒) 蓝莓味优酸 乳乳饮料 蓝莓复合果 汁饮料 芒果复合果 汁饮料 统一阿萨姆( 原味奶茶)奶 茶饮料 西安市食品药 品检验所 西安市食品药 品检验所 西安市食品药 品检验所 西安市食品药 品检验所 西安市食品药 品检验所 西安市食品药 品检验所 西安市食品药 品检验所 西安市食品药 品检验所 西安市食品药 品检验所 西安市食品药 品检验所 西安市食品药 品检验所 西安市食品药 品检验所 陕西永辉超市有限公司 西安曲江大道分公司 陕西 蓝田县宏辉购物有限公 司 陕西 苹果汁饮料( 果汁饮料) 2018-4-15 1.5L 饮料 西安市食品药 品检验所 蓝田县宏辉购物有限公 司 陕西 芒果汁饮料( 果汁饮料) 2018-4-7 1.5L 饮料 西安市食品药 品检验所 蓝田县宏辉购物有限公 司 陕西 蓝莓汁饮料( 果汁饮料) 2018-3-13 1.5L 饮料 西安市食品药 品检验所 委托方:西安殷荣饮品有限 286 公司 受委托方:郑州动康 食品工程有限公司 委托方:西安殷荣饮品有限 287 公司 受委托方:郑州动康 食品工程有限公司 委托方:西安市经济技 术开发区凤城二路29号 受委托方:河南省郑州 市中牟县姚家镇工业园 区 委托方:西安市经济技 术开发区凤城二路29号 受委托方:河南省郑州 市中牟县姚家镇工业园 区 委托方:西安市经济技 术开发区凤城二路29号 受委托方:河南省郑州 市中牟县姚家镇工业园 区 陕西省咸阳市三原县食 品工业园 288 委托方:西安殷荣饮品有限 公司 受委托方:郑州动康 食品工程有限公司 289 陕西达利食品有限公司 290 陕西杨凌汇源食品饮料有限 公司 陕西省杨凌示范区城南 路 291 西安银桥乳业(集团)有限 公司 292 陕西达利食品有限公司 293 陕西达利食品有限公司 西安临潼经济开发区银 桥大道99号 陕西省咸阳市三原县食 品工业园 陕西省咸阳市三原县食 品工业园 中国?延安洛川县苹果 产业园区 西安临潼经济开发区银 桥大道99号 陕西黄陵县桥山镇龙首 村 西安临潼经济开发区银 桥大道99号 洛川美域高生物科技有限责 任公司 西安银桥乳业(集团)有限 295 公司 294 296 黄陵圣轩食品有限公司 297 西安银桥乳业(集团)有限公 司 蓝田县宏辉购物有限公 司 陕西 哈密瓜饮料( 果汁饮料) 2018-3-1 300mL 饮料 西安市食品药 品检验所 蓝田县宏辉购物有限公 司 陕西 蓝莓汁饮料( 果汁饮料) 2018-3-1 300mL 饮料 西安市食品药 品检验所 蓝田县宏辉购物有限公 司 陕西 芒果汁饮料( 果汁饮料) 2018-3-1 300mL 饮料 西安市食品药 品检验所 2018-4-11 550ml 饮料 西安市食品药 品检验所 2018-5-14 1.5L 饮料 西安市食品药 品检验所 2018-6-10 250ml 饮料 2018-4-10 550ml 饮料 2018-5-10 550ml 饮料 2018-7-7 251ml 饮料 2018-6-23 190ml 饮料 户县人人家超级市场红 旗店 陕西华润万家生活超市 有限公司西安太奥广场 分公司 西安市鄠邑区民乐购物 广场 西安市鄠邑区民乐购物 广场 陕西都客润商贸有限公 司 洛川美域高生物科技有 限责任公司 西安爱家超市有限公司 临潼中心广场店 陕西 陕西 陕西 陕西 陕西 陕西 陕西 和其正凉茶 (植物饮料 ) 蓝莓复合果 汁饮料 花生牛奶复 合蛋白饮料 和其正凉茶 (植物饮料 ) 和其正凉茶( 植物饮料) 美域高国礼 基因苹果醋 饮 乳酸菌乳饮 品原味 黄陵圣轩食品有限公司 陕西 苹果醋饮 2018-5-20 280ml 饮料 西安民乐好又多购物广 场 陕西 花生牛奶复 合蛋白饮料 2018-6-17 250ml 饮料 西安市食品药 品检验所 西安市食品药 品检验所 西安市食品药 品检验所 西安市食品药 品检验所 西安市食品药 品检验所 西安市食品药 品检验所 西安市食品药 品检验所 备注 / / 委托企业名称:四川省 青川县川珍实业有限公 司;企业地址:广元市 青川县木鱼镇。 委托生产企业名称:广 昌县腾达农副产品有限 公司;企业地址:江西 省广昌县解放路3号。 / / 委托生产企业名称:重 庆香奇食品有限公司; 企业地址:重庆市渝北 区黄龙路28号朗俊中心4 幢30-12。 / 委托生产企业名称:河 北昊德盟农副产品有限 公司;企业地址:河北 省廊坊市永清县永清工 业园区四纬道2-A号。 委托生产企业名称:四 川省青川县川珍实业有 限公司;企业地址:广 元市青川县木鱼镇。 / / / / / / / / / / / 委托生产企业名称:四 川省青川县川珍实业有 限公司;生产企业地址 :广元市青川县木鱼镇 委托生产企业名称:四 。 川省青川县川珍实业有 限公司;生产企业地址 :广元市青川县木鱼镇 。 / / 委托生产企业名称:西 安攀峰顺达商贸有限公 司;生产企业地址:西 安国际港务区新合街办 贵王村鹤鸣路9号。 / / /

相关文章