1.常用五金材料清单.docx
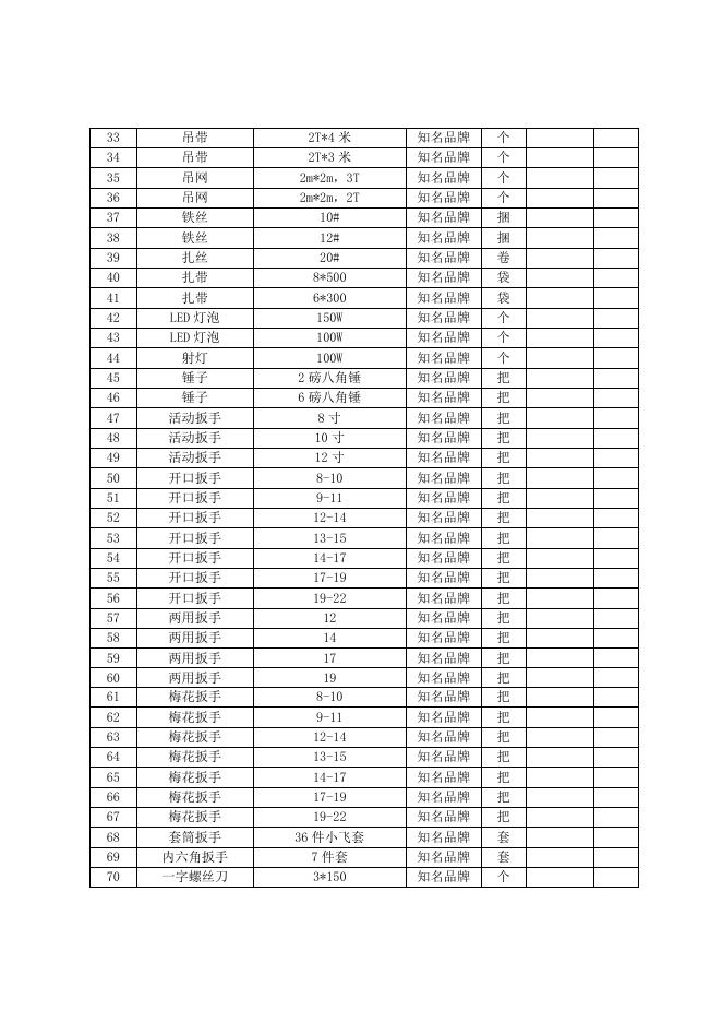
附件 1 常用五金材料清单 序号 名称 规格/型号 品牌 单位 1 2 液压油 机油 18L/46# 18L/15W-40(CI 级) 知名品牌 知名品牌 桶 桶 3 4 5 齿轮油 黄油 黄油 18L/80W-90 18L/二硫化钼 18L/锂基 知名品牌 知名品牌 知名品牌 桶 桶 桶 6 7 8 防冻液 防旋转钢丝绳 钢丝绳 18Kg 18mm 浸油 8mm 浸油 知名品牌 知名品牌 知名品牌 桶 米 米 9 10 11 高压油管 220V 潜水泵 220V 污水泵 1.5 寸四层进口 1.5KW,120 米扬程 750W,2 寸 知名品牌 知名品牌 知名品牌 米 个 个 12 13 14 电动扳手 角磨机 搅拌机 两电一充 ≥1000w ,纯铜电机 ≥3000w,纯铜电机 知名品牌 知名品牌 知名品牌 个 个 个 15 16 17 18 19 20 21 22 23 24 25 电焊机 电动抽油泵 电缆 电缆 电缆 工业大风扇 油桶 管子钳 管子钳 管子钳 自由钳 220V,250A 12V,1 寸出口 3*6 国标 3*4 国标 2*2.5 国标 220V,≥230w 220L 铁桶 48# 36# 24# 95 带牙 知名品牌 知名品牌 知名品牌 知名品牌 知名品牌 知名品牌 知名品牌 知名品牌 知名品牌 知名品牌 知名品牌 套 个 米 米 米 个 个 把 把 把 把 26 27 28 自由钳 PE 水管 PE 水管 71 带牙 1 寸硬管 1.5 寸硬管 知名品牌 知名品牌 知名品牌 把 米 米 29 30 31 彩条布 黄油枪 吊带 6*9 600cc 3T*6 米 知名品牌 知名品牌 知名品牌 块 把 个 32 吊带 3T*4 米 知名品牌 个 单价/元 备注 33 34 35 36 37 38 39 吊带 吊带 吊网 吊网 铁丝 铁丝 扎丝 2T*4 米 2T*3 米 2m*2m,3T 2m*2m,2T 10# 12# 20# 知名品牌 知名品牌 知名品牌 知名品牌 知名品牌 知名品牌 知名品牌 个 个 个 个 捆 捆 卷 40 扎带 8*500 知名品牌 袋 41 42 扎带 LED 灯泡 6*300 150W 知名品牌 知名品牌 袋 个 43 LED 灯泡 100W 知名品牌 个 44 45 射灯 锤子 100W 2 磅八角锤 知名品牌 知名品牌 个 把 46 锤子 6 磅八角锤 知名品牌 把 47 48 活动扳手 活动扳手 8寸 10 寸 知名品牌 知名品牌 把 把 49 活动扳手 12 寸 知名品牌 把 50 51 开口扳手 开口扳手 8-10 9-11 知名品牌 知名品牌 把 把 52 开口扳手 12-14 知名品牌 把 53 54 55 56 57 58 59 60 61 62 63 64 65 66 67 68 69 70 开口扳手 开口扳手 开口扳手 开口扳手 两用扳手 两用扳手 两用扳手 两用扳手 梅花扳手 梅花扳手 梅花扳手 梅花扳手 梅花扳手 梅花扳手 梅花扳手 套筒扳手 内六角扳手 一字螺丝刀 13-15 14-17 17-19 19-22 12 14 17 19 8-10 9-11 12-14 13-15 14-17 17-19 19-22 36 件小飞套 7 件套 3*150 知名品牌 知名品牌 知名品牌 知名品牌 知名品牌 知名品牌 知名品牌 知名品牌 知名品牌 知名品牌 知名品牌 知名品牌 知名品牌 知名品牌 知名品牌 知名品牌 知名品牌 知名品牌 把 把 把 把 把 把 把 把 把 把 把 把 把 把 把 套 套 个 71 72 73 74 75 76 77 一字螺丝刀 一字螺丝刀 一字螺丝刀 十字螺丝刀 十字螺丝刀 十字螺丝刀 十字螺丝刀 78 8.8 级螺栓螺母 79 80 老虎钳 万用表 81 3*200 5*250 6*300 3*150 3*200 5*250 6*300 知名品牌 知名品牌 知名品牌 知名品牌 知名品牌 知名品牌 知名品牌 个 个 个 个 个 个 个 知名品牌 公斤 6-8 寸 多功能数显 知名品牌 知名品牌 把 个 三相空气开关 250A 知名品牌 个 82 83 三相空气开关 三相空气开关 100A 60A 知名品牌 知名品牌 个 个 84 两相空气开关 100A 知名品牌 个 85 86 两相空气开关 插线板 60A 4 插位,3 米线 知名品牌 知名品牌 个 个 87 电工钳 6-8 寸 知名品牌 把 88 89 电胶布 铜开口 10 米/卷 150A 知名品牌 知名品牌 卷 个 90 铜开口 100A 知名品牌 个 91 92 93 94 95 96 97 98 99 100 101 102 103 104 105 106 107 108 铜开口 电笔 水平尺 钢卷尺 钢卷尺 钢卷尺 皮尺 切片 磨片 焊条 二保焊丝 桶装油漆 稀料 自喷漆 排笔 高温润滑脂 壁纸刀 剪刀 80A 数显 强磁,1200mm 长 10 米 7.5 米 5米 50 米 50 片装 ≥10 片 φ25 1.0mm/1KG 小桶 10KG 450ml 中号 6-8# 1kg 大号 中号家用 知名品牌 知名品牌 知名品牌 知名品牌 知名品牌 知名品牌 知名品牌 知名品牌 知名品牌 知名品牌 知名品牌 知名品牌 知名品牌 知名品牌 知名品牌 知名品牌 知名品牌 知名品牌 个 个 把 把 把 把 把 盒 盒 包 捆 桶 桶 罐 支 盒 把 把 109 110 111 112 113 114 115 砍柴刀 钢丝绳卡 钢丝绳卡 钢丝刷 抹灰板 绳子 水管接头 18# 8# 木柄 木柄,铁板 8mm 1.5 寸 知名品牌 知名品牌 知名品牌 知名品牌 知名品牌 知名品牌 知名品牌 把 个 个 个 个 米 个 116 水管接头 1寸 知名品牌 个 117 118 生胶带 镐 12m/卷 含木柄 知名品牌 知名品牌 卷 个 119 锹 含木柄 知名品牌 个 120 121 锄头 雨伞 含木柄 大号,长柄 知名品牌 知名品牌 个 把 122 照明手电 强光,充电 知名品牌 个 123 124 工业抹布 洗衣粉 30*40cm 2kg 知名品牌 知名品牌 千克 袋 125 编织袋 55*85 加厚 知名品牌 个 合计 0

1.常用五金材料清单.docx


