长安大学2014年普通招考博士研究生拟录取名单.pdf
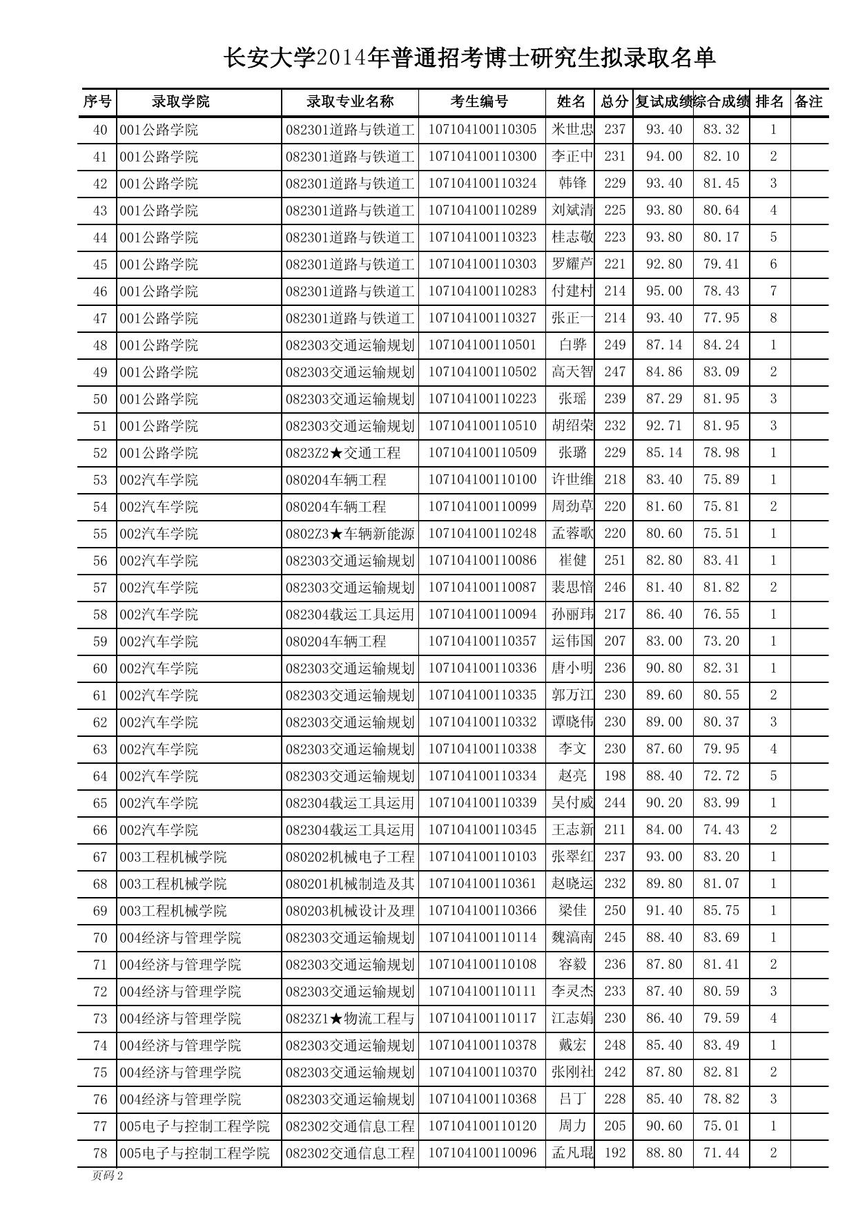
长安大学2014年普通招考博士研究生拟录取名单 序号 录取学院 录取专业名称 考生编号 姓名 总分 复试成绩综合成绩 排名 备注 1 001公路学院 081406桥梁与隧道工 107104100110024 吴多 214 94.50 78.28 0 骨干 2 001公路学院 082301道路与铁道工 107104100110297 侯贵 205 93.60 75.91 0 骨干 3 001公路学院 081401岩土工程 107104100110003 卢浩 215 92.00 77.77 2 4 001公路学院 081406桥梁与隧道工 107104100110233 文锋 257 92.00 87.57 1 5 001公路学院 081406桥梁与隧道工 107104100110232 李慧 243 91.00 84.00 2 6 001公路学院 081406桥梁与隧道工 107104100110237 薛成凤 238 93.50 83.58 3 7 001公路学院 081406桥梁与隧道工 107104100110021 任乐平 241 91.00 83.53 4 8 001公路学院 081406桥梁与隧道工 107104100110012 赵鹏宇 236 93.60 83.15 5 9 001公路学院 081406桥梁与隧道工 107104100110033 234 93.00 82.50 6 10 001公路学院 081406桥梁与隧道工 107104100110034 苏巨峰 231 94.50 82.25 7 11 001公路学院 081406桥梁与隧道工 107104100110228 田智娟 232 93.50 82.18 8 12 001公路学院 081406桥梁与隧道工 107104100110009 王志超 227 93.00 80.87 9 13 001公路学院 081406桥梁与隧道工 107104100110018 白鹭涛 227 90.00 79.97 10 14 001公路学院 081406桥梁与隧道工 107104100110029 郑小博 224 92.00 79.87 11 15 001公路学院 082301道路与铁道工 107104100110046 刘陵庆 238 92.40 83.25 1 16 001公路学院 082301道路与铁道工 107104100110068 周娟兰 233 94.40 82.69 2 17 001公路学院 082301道路与铁道工 107104100110079 韩丽丽 230 93.00 81.57 3 18 001公路学院 082301道路与铁道工 107104100110053 苏曼曼 226 94.00 80.93 4 19 001公路学院 082301道路与铁道工 107104100110044 224 93.20 80.23 5 20 001公路学院 082301道路与铁道工 107104100110072 李永翔 220 94.00 79.53 7 21 001公路学院 082301道路与铁道工 107104100110058 薛斌 219 94.00 79.30 8 22 001公路学院 082301道路与铁道工 107104100110052 邵阳 216 93.80 78.54 9 23 001公路学院 082301道路与铁道工 107104100110054 孙晓龙 211 95.00 77.73 10 24 001公路学院 082303交通运输规划 107104100110215 孙振东 235 92.57 82.60 1 25 001公路学院 082303交通运输规划 107104100110219 246 81.00 81.70 2 26 001公路学院 082303交通运输规划 107104100110217 吴洲豪 224 90.43 79.40 3 27 001公路学院 0823Z2★交通工程 107104100110222 215 90.57 77.34 1 28 001公路学院 081401岩土工程 107104100110254 鞠兴华 234 93.00 82.50 1 29 001公路学院 081401岩土工程 107104100110255 姚贤华 230 94.00 81.87 2 30 001公路学院 081401岩土工程 107104100110256 张毅 230 93.80 81.81 3 31 001公路学院 081405防灾减灾工程 107104100110264 赵菲 220 94.00 79.53 1 32 001公路学院 081406桥梁与隧道工 107104100110528 邬刚柔 251 91.50 86.02 1 33 001公路学院 081406桥梁与隧道工 107104100110530 高诣民 249 90.00 85.10 2 34 001公路学院 081406桥梁与隧道工 107104100110527 高文博 239 94.50 84.12 3 35 001公路学院 081406桥梁与隧道工 107104100110260 贾艳领 235 94.20 83.09 4 36 001公路学院 081406桥梁与隧道工 107104100110266 王俊海 237 91.00 82.60 5 37 001公路学院 081406桥梁与隧道工 107104100110258 宿钟鸣 226 94.60 81.11 6 38 001公路学院 081406桥梁与隧道工 107104100110262 223 93.80 80.17 7 39 001公路学院 081406桥梁与隧道工 107104100110268 渠广镇 222 94.00 80.00 8 页码 1 屈浩 李宁 胡刚 苏娟 李恒 长安大学2014年普通招考博士研究生拟录取名单 序号 录取学院 录取专业名称 考生编号 姓名 总分 复试成绩综合成绩 排名 备注 40 001公路学院 082301道路与铁道工 107104100110305 米世忠 237 93.40 83.32 1 41 001公路学院 082301道路与铁道工 107104100110300 李正中 231 94.00 82.10 2 42 001公路学院 082301道路与铁道工 107104100110324 229 93.40 81.45 3 43 001公路学院 082301道路与铁道工 107104100110289 刘斌清 225 93.80 80.64 4 44 001公路学院 082301道路与铁道工 107104100110323 桂志敬 223 93.80 80.17 5 45 001公路学院 082301道路与铁道工 107104100110303 罗耀芦 221 92.80 79.41 6 46 001公路学院 082301道路与铁道工 107104100110283 付建村 214 95.00 78.43 7 47 001公路学院 082301道路与铁道工 107104100110327 张正一 214 93.40 77.95 8 48 001公路学院 082303交通运输规划 107104100110501 249 87.14 84.24 1 49 001公路学院 082303交通运输规划 107104100110502 高天智 247 84.86 83.09 2 50 001公路学院 082303交通运输规划 107104100110223 239 87.29 81.95 3 51 001公路学院 082303交通运输规划 107104100110510 胡绍荣 232 92.71 81.95 3 52 001公路学院 0823Z2★交通工程 107104100110509 229 85.14 78.98 1 53 002汽车学院 080204车辆工程 107104100110100 许世维 218 83.40 75.89 1 54 002汽车学院 080204车辆工程 107104100110099 周劲草 220 81.60 75.81 2 55 002汽车学院 0802Z3★车辆新能源 107104100110248 孟蓉歌 220 80.60 75.51 1 56 002汽车学院 082303交通运输规划 107104100110086 251 82.80 83.41 1 57 002汽车学院 082303交通运输规划 107104100110087 裴思愔 246 81.40 81.82 2 58 002汽车学院 082304载运工具运用 107104100110094 孙丽玮 217 86.40 76.55 1 59 002汽车学院 080204车辆工程 107104100110357 运伟国 207 83.00 73.20 1 60 002汽车学院 082303交通运输规划 107104100110336 唐小明 236 90.80 82.31 1 61 002汽车学院 082303交通运输规划 107104100110335 郭万江 230 89.60 80.55 2 62 002汽车学院 082303交通运输规划 107104100110332 谭晓伟 230 89.00 80.37 3 63 002汽车学院 082303交通运输规划 107104100110338 李文 230 87.60 79.95 4 64 002汽车学院 082303交通运输规划 107104100110334 赵亮 198 88.40 72.72 5 65 002汽车学院 082304载运工具运用 107104100110339 吴付威 244 90.20 83.99 1 66 002汽车学院 082304载运工具运用 107104100110345 王志新 211 84.00 74.43 2 67 003工程机械学院 080202机械电子工程 107104100110103 张翠红 237 93.00 83.20 1 68 003工程机械学院 080201机械制造及其 107104100110361 赵晓运 232 89.80 81.07 1 69 003工程机械学院 080203机械设计及理 107104100110366 250 91.40 85.75 1 70 004经济与管理学院 082303交通运输规划 107104100110114 魏滈南 245 88.40 83.69 1 71 004经济与管理学院 082303交通运输规划 107104100110108 236 87.80 81.41 2 72 004经济与管理学院 082303交通运输规划 107104100110111 李灵杰 233 87.40 80.59 3 73 004经济与管理学院 0823Z1★物流工程与 107104100110117 江志娟 230 86.40 79.59 4 74 004经济与管理学院 082303交通运输规划 107104100110378 248 85.40 83.49 1 75 004经济与管理学院 082303交通运输规划 107104100110370 张刚社 242 87.80 82.81 2 76 004经济与管理学院 082303交通运输规划 107104100110368 吕丁 228 85.40 78.82 3 77 005电子与控制工程学院 082302交通信息工程 107104100110120 周力 205 90.60 75.01 1 78 005电子与控制工程学院 082302交通信息工程 107104100110096 孟凡琨 192 88.80 71.44 2 页码 2 韩锋 白骅 张瑶 张璐 崔健 梁佳 容毅 戴宏 长安大学2014年普通招考博士研究生拟录取名单 序号 录取学院 录取专业名称 考生编号 姓名 总分 复试成绩综合成绩 排名 备注 79 005电子与控制工程学院 082302交通信息工程 107104100110397 温立民 227 90.60 80.15 1 80 006信息工程学院 082302交通信息工程 107104100110224 王峰萍 208 86.00 74.33 1 81 006信息工程学院 082302交通信息工程 107104100110522 赵建彬 259 85.00 85.93 1 82 006信息工程学院 082302交通信息工程 107104100110523 张立成 232 95.00 82.63 2 83 006信息工程学院 0823Z3★智能交通与 107104100110400 233 89.00 81.07 1 84 006信息工程学院 0823Z3★智能交通与 107104100110399 吴金中 234 83.00 79.50 2 85 006信息工程学院 0823Z3★智能交通与 107104100110411 朱龙生 219 93.00 79.00 3 86 006信息工程学院 0823Z3★智能交通与 107104100110405 陈卫卫 220 92.00 78.93 4 87 006信息工程学院 0823Z3★智能交通与 107104100110407 马素刚 218 87.00 76.97 5 88 006信息工程学院 0823Z3★智能交通与 107104100110404 赵怀鑫 213 85.00 75.20 6 89 007地质工程与测绘学院 0709Z1★资源与深部 107104100110133 李欣欣 237 87.75 81.63 1 90 007地质工程与测绘学院 081401岩土工程 107104100110121 祝俊华 219 89.20 77.86 1 91 007地质工程与测绘学院 0814Z1★建筑安全工 107104100110249 232 93.00 82.03 1 92 007地质工程与测绘学院 081601大地测量学与 107104100110123 付文举 222 86.20 77.66 1 93 007地质工程与测绘学院 081601大地测量学与 107104100110125 王霞迎 214 84.00 75.13 2 94 007地质工程与测绘学院 081602摄影测量与遥 107104100110157 陈鲁皖 234 89.30 81.39 1 95 007地质工程与测绘学院 081602摄影测量与遥 107104100110155 李丽 234 83.90 79.77 2 96 007地质工程与测绘学院 081603地图制图学与 107104100110238 杨珍 231 87.00 80.00 1 97 007地质工程与测绘学院 081802地球探测与信 107104100110128 卢绪山 229 89.63 80.32 1 98 007地质工程与测绘学院 081803地质工程 107104100110136 243 91.50 84.15 1 99 007地质工程与测绘学院 081803地质工程 107104100110146 袁湘秦 239 91.50 83.22 2 100 007地质工程与测绘学院 081803地质工程 107104100110135 234 93.30 82.59 3 101 007地质工程与测绘学院 0818Z1★地质灾害科 107104100110149 乔建伟 230 92.70 81.48 1 102 007地质工程与测绘学院 0814Z1★建筑安全工 107104100110550 240 91.20 83.36 1 103 007地质工程与测绘学院 081601大地测量学与 107104100110416 高雅萍 222 86.80 77.84 1 104 007地质工程与测绘学院 081601大地测量学与 107104100110421 魏玉明 211 88.70 75.84 2 105 007地质工程与测绘学院 081602摄影测量与遥 107104100110445 240 86.20 81.86 1 106 007地质工程与测绘学院 081802地球探测与信 107104100110424 武军杰 207 88.00 74.70 1 107 007地质工程与测绘学院 081803地质工程 107104100110431 孟振江 254 91.50 86.72 1 108 007地质工程与测绘学院 081803地质工程 107104100110440 247 91.70 85.14 2 109 007地质工程与测绘学院 081803地质工程 107104100110441 赵纪飞 241 91.70 83.74 3 110 007地质工程与测绘学院 081803地质工程 107104100110435 238 92.80 83.37 4 111 007地质工程与测绘学院 0818Z1★地质灾害科 107104100110429 王佳运 231 91.80 81.44 1 112 007地质工程与测绘学院 0818Z3★资源与环境 107104100110444 史江舟 214 86.70 75.94 1 113 008地球科学与资源学院 070901矿物学、岩石 107104100110159 宋彦军 218 83.83 76.02 1 114 008地球科学与资源学院 070902地球化学 107104100110163 覃小丽 229 84.17 78.68 1 115 008地球科学与资源学院 0709Z2★地学信息系 107104100110178 210 83.00 73.90 1 116 008地球科学与资源学院 081801矿产普查与勘 107104100110175 高雅宁 236 85.00 80.57 1 117 008地球科学与资源学院 081801矿产普查与勘 107104100110170 钟兴平 208 85.50 74.18 2 页码 3 黄伟 杨觅 吴凯 刘茹 许晨 王一 杨勇 李鹏 崔璐 长安大学2014年普通招考博士研究生拟录取名单 序号 录取学院 录取专业名称 考生编号 118 008地球科学与资源学院 081801矿产普查与勘 107104100110176 119 008地球科学与资源学院 姓名 总分 复试成绩综合成绩 排名 备注 208 81.00 72.83 3 0818Z2★油气田地质 107104100110173 李佳佳 210 86.00 74.80 1 120 008地球科学与资源学院 070901矿物学、岩石 107104100110450 辜平阳 215 90.67 77.37 1 121 008地球科学与资源学院 070905第四纪地质学 107104100110554 222 81.00 76.10 1 122 008地球科学与资源学院 0709Z2★地学信息系 107104100110448 薛旭平 218 83.67 75.97 1 123 008地球科学与资源学院 081801矿产普查与勘 107104100110463 206 87.00 74.17 1 124 008地球科学与资源学院 081801矿产普查与勘 107104100110555 张中欣 201 82.00 71.50 2 125 008地球科学与资源学院 0818Z2★油气田地质 107104100110471 栾炜 214 80.50 74.08 1 126 009建筑工程学院 081402结构工程 107104100110180 张玉 238 82.50 80.28 1 127 009建筑工程学院 081402结构工程 107104100110185 张坤 229 78.25 76.91 3 128 009建筑工程学院 081402结构工程 107104100110179 刘全威 224 80.00 76.27 4 129 009建筑工程学院 081402结构工程 107104100110476 235 83.00 79.73 1 130 009建筑工程学院 081402结构工程 107104100110474 刘向斌 229 85.00 78.93 2 131 010环境科学与工程学院 081403市政工程 107104100110187 葛光环 226 90.00 79.73 1 132 010环境科学与工程学院 0818Z4★地下水科学 107104100110194 235 93.00 82.73 1 133 010环境科学与工程学院 081803地质工程 郭小花 241 88.00 82.63 2 134 010环境科学与工程学院 0818Z4★地下水科学 107104100110197 古今 208 90.00 75.53 3 135 010环境科学与工程学院 083002环境工程 107104100110202 罗钰 252 93.40 86.82 1 136 010环境科学与工程学院 083002环境工程 107104100110200 丁晓倩 231 88.20 80.36 2 137 010环境科学与工程学院 083001环境科学 107104100110239 唐成 227 83.00 77.87 3 138 010环境科学与工程学院 081403市政工程 107104100110477 刘珺 245 95.00 85.67 1 139 010环境科学与工程学院 081504水利水电工程 107104100110536 袁建 262 95.00 89.63 1 140 010环境科学与工程学院 081501水文学及水资 107104100110484 尤琦英 235 93.00 82.73 2 141 010环境科学与工程学院 0818Z4★地下水科学 107104100110482 栾义峰 244 84.00 82.13 1 142 010环境科学与工程学院 0818Z4★地下水科学 107104100110488 张思亮 242 85.00 81.97 2 143 010环境科学与工程学院 083001环境科学 107104100110538 范磊 246 88.80 84.04 1 144 010环境科学与工程学院 0830Z2★交通环境与 107104100110494 万霞 217 89.60 77.51 2 145 011建筑学院 0814Z2★城乡人居环 107104100110245 畅明 220 84.00 76.53 1 146 011建筑学院 0814Z2★城乡人居环 107104100110241 董晓 216 86.20 76.26 2 147 011建筑学院 0814Z2★城乡人居环 107104100110539 乔怡青 227 84.40 78.29 1 148 012材料科学与工程学院 0823Z4★道路材料科 107104100110205 236 93.50 83.12 1 149 012材料科学与工程学院 0823Z4★道路材料科 107104100110204 闫兆柏 237 90.50 82.45 2 150 012材料科学与工程学院 0823Z4★道路材料科 107104100110207 王志臣 228 93.80 81.34 3 151 012材料科学与工程学院 0823Z4★道路材料科 107104100110210 227 93.75 81.09 4 152 012材料科学与工程学院 0802Z2★机械工程材 107104100110547 吕乃欣 241 92.20 83.89 1 153 014理学院 0814Z3★计算结构力 107104100110548 贺燕飞 234 91.00 81.90 1 154 014理学院 0814Z3★计算结构力 107104100110549 张长浩 232 90.80 81.37 2 页码 4 107104100110552 谢青 张阳 魏然 吕晶 陈立 冯超 徐鹏

长安大学2014年普通招考博士研究生拟录取名单.pdf


