附件3-北师大心理学部应用心理专硕(MAP)2021年符合复试分数线考生名单.pdf
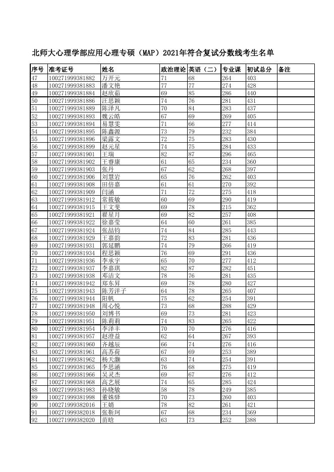
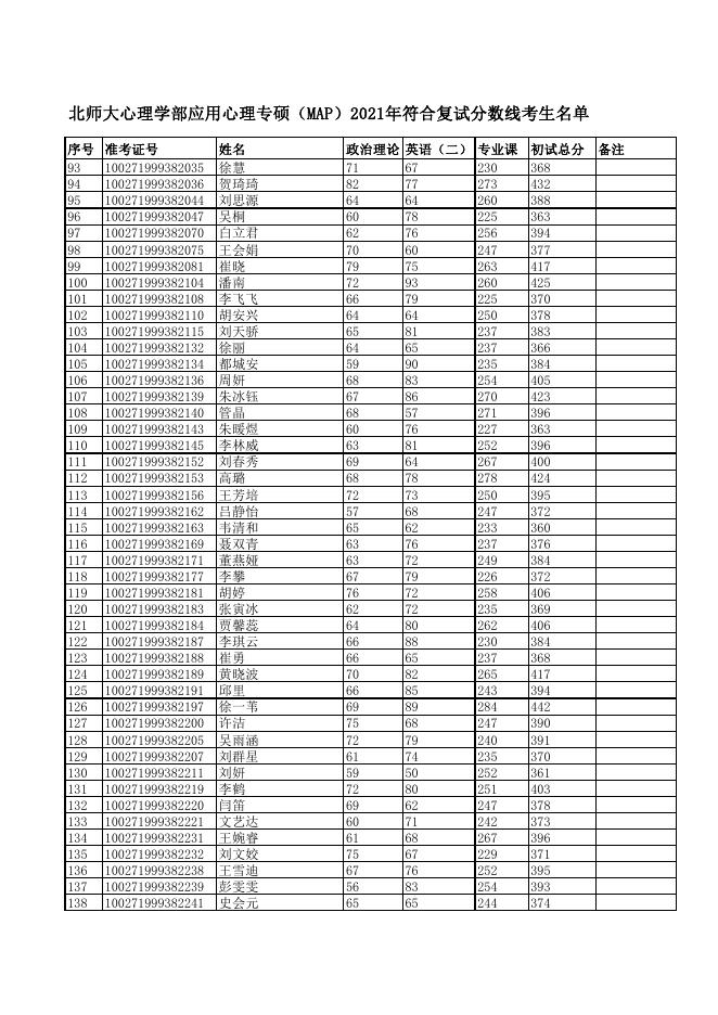
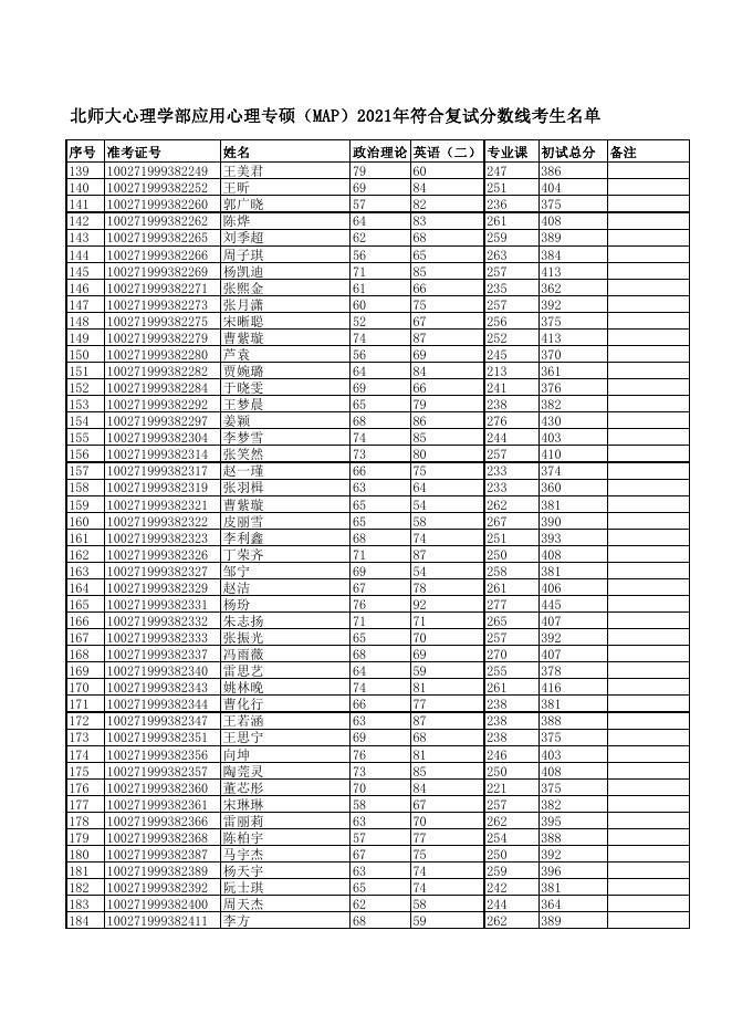
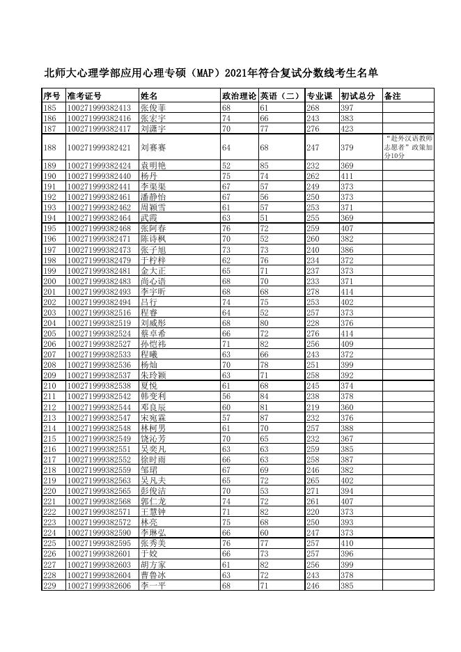
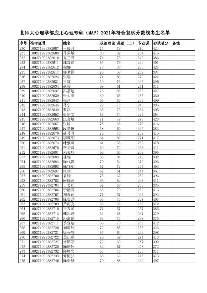
北师大心理学部应用心理专硕(MAP)2021年符合复试分数线考生名单 序号 1 2 3 4 5 6 7 8 9 10 11 12 13 14 15 16 17 18 19 20 21 22 23 24 25 26 27 28 29 30 31 32 33 34 35 36 37 38 39 40 41 42 43 44 45 46 准考证号 100271999381720 100271999381721 100271999381732 100271999381736 100271999381746 100271999381755 100271999381758 100271999381759 100271999381765 100271999381768 100271999381771 100271999381773 100271999381774 100271999381777 100271999381780 100271999381783 100271999381784 100271999381785 100271999381793 100271999381796 100271999381799 100271999381801 100271999381802 100271999381804 100271999381806 100271999381807 100271999381808 100271999381810 100271999381816 100271999381821 100271999381824 100271999381829 100271999381832 100271999381834 100271999381837 100271999381838 100271999381841 100271999381850 100271999381854 100271999381858 100271999381865 100271999381869 100271999381872 100271999381874 100271999381879 100271999381881 姓名 刘彦伯 陈兰兰 卢嘉一 管子钧 张喆 李军儒 郭忠慧 杜昊儒 王强 刘金翰 黄若男 洪扬 史睿盈 王梓康 任博娟 李一帆 张旭哲 商木喜 戴安玉 邬潇剑 黎琦璇 陈慧颖 顾朝阳 曲浩平 李可心 刘玥涵 杨天逸 杨玉书 洪诗琪 丁夏 张志超 王敬贤 戴婧伊 王美冰 许容克 卫泽璇 秦万通 李兰若 宋伯钧 徐月莹 王婷 韩静 梁京生 徐丽华 许美丽 蒋睿 政治理论 英语(二) 专业课 73 81 275 65 68 271 68 84 285 64 59 279 61 60 268 73 74 271 68 71 288 76 72 275 62 73 244 72 70 276 64 73 262 59 62 267 67 81 280 67 62 278 59 76 272 71 73 252 60 62 252 60 63 262 59 68 260 67 78 276 58 62 256 70 70 282 62 82 281 76 73 269 67 80 273 70 77 279 65 75 283 62 65 254 67 77 281 62 72 273 74 79 274 64 69 277 74 73 282 69 70 264 72 77 283 66 61 263 65 65 263 61 85 272 70 69 262 59 63 250 72 83 283 69 85 257 74 72 252 64 69 270 62 80 288 62 80 283 初试总分 429 404 437 402 389 418 427 423 379 418 399 388 428 407 407 396 374 385 387 421 376 422 425 418 420 426 423 381 425 407 427 410 429 403 432 390 393 418 401 372 438 411 398 403 430 425 备注 北师大心理学部应用心理专硕(MAP)2021年符合复试分数线考生名单 序号 47 48 49 50 51 52 53 54 55 56 57 58 59 60 61 62 63 64 65 66 67 68 69 70 71 72 73 74 75 76 77 78 79 80 81 82 83 84 85 86 87 88 89 90 91 92 准考证号 100271999381882 100271999381883 100271999381884 100271999381886 100271999381889 100271999381893 100271999381894 100271999381895 100271999381896 100271999381899 100271999381901 100271999381902 100271999381903 100271999381906 100271999381908 100271999381909 100271999381912 100271999381915 100271999381921 100271999381922 100271999381924 100271999381929 100271999381931 100271999381934 100271999381936 100271999381937 100271999381938 100271999381942 100271999381943 100271999381944 100271999381948 100271999381950 100271999381951 100271999381954 100271999381957 100271999381960 100271999381961 100271999381962 100271999381965 100271999381966 100271999381968 100271999381983 100271999381998 100271999382016 100271999382018 100271999382020 姓名 万开元 潘文艳 赵欣茹 汪思颖 陈泽凡 魏云皓 易慧雯 陈鑫源 梁露文 赵元星 王瑞 王睿康 张丹 刘慧岩 田倍嘉 闫涵 常筱敏 王文斐 翟星月 徐嘉莹 张喆钧 王嘉韵 郭延鹏 程思颖 李承宇 李嘉琪 邓洁文 郑东昇 陈芳洋子 阳帆 周心悦 刘博书 陈莉莉 李泽丰 赵澄益 齐越辰 高苏荷 杨天灏 李思涵 吴灵杰 高艺展 孙晓敏 董姝驿 王婧 张靳珂 苗晗 政治理论 英语(二) 专业课 71 68 264 77 77 274 69 85 286 74 76 281 70 84 283 67 69 269 71 66 277 73 79 232 72 75 283 74 75 284 82 87 296 61 65 234 67 62 268 65 76 262 61 61 270 71 72 275 60 69 290 69 78 215 69 82 257 64 60 261 74 84 285 72 83 281 74 79 266 76 69 291 65 70 277 82 87 282 78 76 281 69 78 280 64 78 265 75 62 254 73 68 288 69 73 281 74 83 265 70 70 276 62 64 267 66 74 276 67 69 253 63 74 254 76 68 275 69 67 276 74 65 285 58 78 249 70 73 260 78 82 261 67 68 234 63 73 252 初试总分 403 428 440 431 437 405 414 384 430 433 465 360 397 403 392 418 419 362 408 385 443 436 419 436 412 451 435 427 407 391 429 423 422 416 393 416 389 391 419 412 424 385 403 421 369 388 备注 北师大心理学部应用心理专硕(MAP)2021年符合复试分数线考生名单 序号 93 94 95 96 97 98 99 100 101 102 103 104 105 106 107 108 109 110 111 112 113 114 115 116 117 118 119 120 121 122 123 124 125 126 127 128 129 130 131 132 133 134 135 136 137 138 准考证号 100271999382035 100271999382036 100271999382044 100271999382047 100271999382070 100271999382075 100271999382081 100271999382104 100271999382108 100271999382110 100271999382115 100271999382132 100271999382134 100271999382136 100271999382139 100271999382140 100271999382143 100271999382145 100271999382152 100271999382153 100271999382156 100271999382162 100271999382163 100271999382169 100271999382171 100271999382177 100271999382181 100271999382183 100271999382184 100271999382187 100271999382188 100271999382189 100271999382191 100271999382197 100271999382200 100271999382205 100271999382207 100271999382211 100271999382219 100271999382220 100271999382221 100271999382231 100271999382232 100271999382238 100271999382239 100271999382241 姓名 徐慧 贺琦琦 刘思源 吴桐 白立君 王会娟 崔晓 潘南 李飞飞 胡安兴 刘天骄 徐丽 都城安 周妍 朱冰钰 管晶 朱暖煜 李林威 刘春秀 高璐 王芳培 吕静怡 韦清和 聂双青 董燕娅 李攀 胡婷 张寅冰 贾馨蕊 李琪云 崔勇 黄晓波 邱里 徐一苇 许洁 吴雨涵 刘群星 刘妍 李鹤 闫笛 文艺达 王婉睿 刘文姣 王雪迪 彭雯雯 史会元 政治理论 英语(二) 专业课 71 67 230 82 77 273 64 64 260 60 78 225 62 76 256 70 60 247 79 75 263 72 93 260 66 79 225 64 64 250 65 81 237 64 65 237 59 90 235 68 83 254 67 86 270 68 57 271 60 76 227 63 81 252 69 64 267 68 78 278 72 73 250 57 68 247 65 62 233 63 76 237 63 72 249 67 79 226 76 72 258 62 72 235 64 80 262 66 88 230 66 65 237 70 82 265 66 85 243 69 89 284 75 68 247 72 79 240 61 74 235 59 50 252 72 80 251 69 62 247 60 71 242 61 68 267 75 67 229 67 76 252 56 83 254 65 65 244 初试总分 368 432 388 363 394 377 417 425 370 378 383 366 384 405 423 396 363 396 400 424 395 372 360 376 384 372 406 369 406 384 368 417 394 442 390 391 370 361 403 378 373 396 371 395 393 374 备注 北师大心理学部应用心理专硕(MAP)2021年符合复试分数线考生名单 序号 139 140 141 142 143 144 145 146 147 148 149 150 151 152 153 154 155 156 157 158 159 160 161 162 163 164 165 166 167 168 169 170 171 172 173 174 175 176 177 178 179 180 181 182 183 184 准考证号 100271999382249 100271999382252 100271999382260 100271999382262 100271999382265 100271999382266 100271999382269 100271999382271 100271999382273 100271999382275 100271999382279 100271999382280 100271999382282 100271999382284 100271999382292 100271999382297 100271999382304 100271999382314 100271999382317 100271999382319 100271999382321 100271999382322 100271999382323 100271999382326 100271999382327 100271999382329 100271999382331 100271999382332 100271999382333 100271999382337 100271999382340 100271999382343 100271999382344 100271999382347 100271999382351 100271999382356 100271999382357 100271999382360 100271999382361 100271999382366 100271999382368 100271999382387 100271999382389 100271999382392 100271999382400 100271999382411 姓名 王美君 王昕 郭广晓 陈烨 刘季超 周子琪 杨凯迪 张熙金 张月潇 宋晰聪 曹紫璇 芦袁 贾婉璐 于晓雯 王梦晨 姜颖 李梦雪 张笑然 赵一瑾 张羽楫 曹紫璇 皮丽雪 李利鑫 丁荣齐 邹宁 赵洁 杨玢 朱志扬 张振光 冯雨薇 雷思艺 姚林晚 曹化行 王若涵 王思宁 向坤 陶莞灵 董芯彤 宋琳琳 雷丽莉 陈柏宇 马宇杰 杨天宇 阮士琪 周天杰 李方 政治理论 英语(二) 专业课 79 60 247 69 84 251 57 82 236 64 83 261 62 68 259 56 65 263 71 85 257 61 66 235 60 75 257 52 67 256 74 87 252 56 69 245 64 84 213 69 66 241 65 79 238 68 86 276 74 85 244 73 80 257 66 75 233 63 64 233 65 54 262 65 58 267 68 74 251 71 87 250 69 54 258 67 78 261 76 92 277 71 71 265 65 70 257 68 69 270 64 59 255 74 81 261 66 77 238 63 87 238 69 68 238 76 81 246 73 85 250 70 84 221 58 67 257 63 70 262 57 77 254 67 75 250 63 74 259 65 74 242 62 58 244 68 59 262 初试总分 386 404 375 408 389 384 413 362 392 375 413 370 361 376 382 430 403 410 374 360 381 390 393 408 381 406 445 407 392 407 378 416 381 388 375 403 408 375 382 395 388 392 396 381 364 389 备注 北师大心理学部应用心理专硕(MAP)2021年符合复试分数线考生名单 序号 185 186 187 准考证号 100271999382413 100271999382416 100271999382417 姓名 张俊菲 张宏宇 刘潇宇 政治理论 英语(二) 专业课 68 61 268 74 66 243 70 77 276 初试总分 397 383 423 188 100271999382421 刘赛赛 64 68 247 379 189 190 191 192 193 194 195 196 197 198 199 200 201 202 203 204 205 206 207 208 209 210 211 212 213 214 215 216 217 218 219 220 221 222 223 224 225 226 227 228 229 100271999382424 100271999382440 100271999382441 100271999382461 100271999382462 100271999382464 100271999382468 100271999382471 100271999382473 100271999382479 100271999382481 100271999382483 100271999382493 100271999382494 100271999382516 100271999382519 100271999382524 100271999382527 100271999382533 100271999382536 100271999382537 100271999382538 100271999382542 100271999382544 100271999382547 100271999382548 100271999382549 100271999382551 100271999382552 100271999382559 100271999382563 100271999382565 100271999382568 100271999382571 100271999382572 100271999382590 100271999382595 100271999382601 100271999382603 100271999382604 100271999382606 袁明艳 杨丹 李渠渠 潘静怡 周颖雪 武霞 张阿春 陈诗枫 张子旭 于柠梓 金大正 尚心语 李宇昕 吕行 程睿 刘威彤 蔡卓希 孙恺祎 程曦 杨灿 朱玲颖 夏悦 韩变利 邓良辰 宋宛霖 林柯男 饶沁芳 吴奕凡 徐时雨 邹珺 吴凡夫 彭俊洁 郭仁龙 王慧钟 林亮 李琳弘 张秀美 于姣 胡方家 曹鲁冰 李一平 52 75 67 67 61 63 76 70 73 62 65 68 68 74 64 68 66 71 63 70 63 61 56 60 57 61 70 63 66 67 65 70 74 71 75 66 76 66 61 63 68 85 74 57 56 57 51 72 52 73 76 71 70 68 75 52 80 72 82 66 78 71 68 84 81 87 70 65 63 63 69 72 53 72 82 68 60 77 73 82 72 71 232 262 249 250 253 255 259 260 240 234 237 233 278 253 257 228 276 256 243 251 258 245 238 219 232 257 232 259 258 246 265 271 261 220 250 247 257 257 256 243 246 369 411 373 373 371 369 407 382 386 372 373 371 414 402 373 376 414 409 372 399 392 374 378 360 376 388 367 385 387 382 402 394 407 373 393 373 410 396 399 378 385 备注 “赴外汉语教师 志愿者”政策加 分10分 北师大心理学部应用心理专硕(MAP)2021年符合复试分数线考生名单 序号 230 231 232 233 234 235 236 237 238 239 240 241 242 243 244 245 246 247 248 249 250 251 252 253 254 255 256 257 258 259 260 261 262 263 264 265 266 267 268 269 270 271 272 273 274 275 准考证号 100271999382607 100271999382608 100271999382610 100271999382611 100271999382612 100271999382617 100271999382624 100271999382631 100271999382634 100271999382637 100271999382639 100271999382643 100271999382645 100271999382649 100271999382653 100271999382663 100271999382667 100271999382668 100271999382670 100271999382673 100271999382674 100271999382676 100271999382681 100271999382683 100271999382684 100271999382692 100271999382697 100271999382700 100271999382703 100271999382704 100271999382706 100271999382707 100271999382708 100271999382709 100271999382710 100271999382713 100271999382715 100271999382717 100271999382720 100271999382721 100271999382722 100271999382727 100271999382730 100271999382732 100271999382733 100271999382746 姓名 王筱月 马荣敏 夏正云 郭鑫苗 徐娜 邹梦圆 张瑶 王颖 赵芸 冯荟旭 张心爽 张洋 马宁 要津 彭博文 江会敏 张晗 段慧琳 赵号号 李颢玥 叶紫昕 李文鑫 朱昶欣 杜璨 陈代源 陈雅如 张欢 袁锋 骆晓莲 丁美杉 于涵霖 刘茜萌 陈贵劲 黄河亮 王孜頔 韩思思 冯淑韵 季宣辰 刘雨纯 徐程睿 吴琪琪 徐鹏皓 陈丽冰 邱峥岩 何阿弦 陈姿妍 政治理论 英语(二) 专业课 75 79 270 80 82 254 74 70 242 65 76 260 78 88 255 70 58 259 71 83 270 59 73 264 69 61 241 76 86 265 60 65 235 66 80 263 72 73 240 68 73 264 66 74 224 71 79 273 75 68 273 58 60 265 76 70 269 64 82 271 61 55 262 69 79 263 66 60 269 66 84 242 70 54 272 67 72 264 62 61 244 75 62 259 66 82 263 67 60 258 68 79 269 71 57 264 65 75 267 55 65 252 71 57 257 64 68 247 64 73 238 66 78 268 72 85 266 65 64 269 70 69 274 72 63 257 62 67 243 63 75 233 65 63 245 70 88 249 初试总分 424 416 386 401 421 387 424 396 371 427 360 409 385 405 364 423 416 383 415 417 378 411 395 392 396 403 367 396 411 385 416 392 407 372 385 379 375 412 423 398 413 392 372 371 373 407 备注 北师大心理学部应用心理专硕(MAP)2021年符合复试分数线考生名单 序号 276 277 278 279 280 281 282 283 284 285 286 287 288 289 290 291 292 293 294 295 296 297 298 299 300 301 302 303 304 305 306 307 308 309 310 311 312 313 314 315 316 317 318 319 320 321 准考证号 100271999382753 100271999382757 100271999382758 100271999382760 100271999382761 100271999382763 100271999382773 100271999382775 100271999382778 100271999382781 100271999382784 100271999382785 100271999382794 100271999382795 100271999382805 100271999382806 100271999382815 100271999382846 100271999382850 100271999382854 100271999382863 100271999382874 100271999382875 100271999382876 100271999382878 100271999382893 100271999382900 100271999382901 100271999382914 100271999382917 100271999382918 100271999382919 100271999382924 100271999382928 100271999382929 100271999382935 100271999382939 100271999382941 100271999382943 100271999382944 100271999382945 100271999382946 100271999382949 100271999382950 100271999382951 100271999382952 姓名 政治理论 英语(二) 专业课 马溢华 65 72 254 马丽红 62 76 233 罗子蒙 60 72 236 龚炜琦 75 69 243 李诗琪 61 63 257 荀梦钰 72 89 278 雒康舟 68 71 274 亢雨薇 67 66 247 张圣琛 61 66 247 杨道宁 68 58 235 叶雪婷 69 71 258 梁婧 61 67 250 雒婧 72 66 260 陈遥 66 53 260 胡颖 53 84 252 伟尼拉·阿不都许库 68 76 241 刘洪佳 60 70 246 张美奇 73 61 278 张璞 66 75 266 周子祯 75 55 270 刘小溪 66 58 273 唐亚男 51 65 274 于亚青 65 69 232 左慧芸 50 66 237 周帅 54 52 276 王雨朦 63 63 250 刘婷婷 58 74 256 李樱花 59 78 225 贾婧 71 80 273 朱云笛 71 58 272 刘清山 61 59 265 安盈勋 69 60 271 王博瑶 62 65 259 陈雨莹 61 53 275 渠璐 65 55 273 金川 61 62 257 王凡 73 64 263 安也 70 54 256 孙明伦 60 79 282 崔梦迪 61 56 279 田绍春 56 59 237 代馨竹 65 70 263 刘诗 64 65 279 卞宏璐 60 68 269 姚伟伟 67 74 266 程家华 65 64 256 初试总分 391 371 368 387 381 439 413 380 374 361 398 378 398 379 389 385 376 412 407 400 397 390 366 353 382 376 388 362 424 401 385 400 386 389 393 380 400 380 421 396 352 398 408 397 407 385 备注 北师大心理学部应用心理专硕(MAP)2021年符合复试分数线考生名单 序号 322 323 324 325 326 327 328 329 330 331 332 333 334 335 336 337 338 339 340 341 342 343 344 345 346 347 348 349 350 351 352 353 354 355 356 357 358 359 360 361 362 363 364 365 366 367 准考证号 100271999382953 100271999382954 100271999382956 100271999382958 100271999382959 100271999382960 100271999382961 100271999382963 100271999382964 100271999382965 100271999382970 100271999382971 100271999382978 100271999382984 100271999382985 100271999382988 100271999382989 100271999382990 100271999382991 100271999382992 100271999382993 100271999382994 100271999382995 100271999382996 100271999383005 100271999383006 100271999383007 100271999383009 100271999383010 100271999383014 100271999383024 100271999383025 100271999383027 100271999383028 100271999383029 100271999383030 100271999383031 100271999383034 100271999383037 100271999383039 100271999383042 100271999383043 100271999383046 100271999383048 100271999383049 100271999383062 姓名 刘思慧 张玉石 宋林 曲萧文 袁威政 宋佳美 薛刚 秦润璋 王梦瑶 武瑞娟 田美琪 张博洋 曹一荻 何晶燕 刘爱玲 徐晓曼 田宇轩 吴妍 徐克 焦静 胡成亮 王思聪 姜听宇 韩旭 高菁 王光照 田洪涛 池艺菡 李蔚 吴佳珂 郝思融 谭淑津 张博雅 黄尉伦 卢照晴 张安琪 闫明昊 胡自强 苏羽佳 郑心雨 吴迪 刘增群 马文博 何思佳 唐闻悦 沈倩 政治理论 英语(二) 专业课 55 69 255 65 52 262 71 74 276 75 65 253 66 57 260 66 62 273 73 56 264 60 66 256 63 73 277 60 61 267 55 64 251 60 57 257 62 67 261 65 77 267 56 50 272 75 77 266 60 81 254 68 61 267 62 60 258 69 56 279 60 76 254 62 63 266 65 58 251 65 58 240 68 61 276 75 78 274 66 60 225 62 56 268 62 50 268 65 60 262 57 67 235 64 80 261 63 58 252 72 55 255 69 81 269 63 52 243 68 64 268 72 74 258 58 63 260 76 74 272 64 57 235 76 78 250 67 74 245 61 75 265 72 67 265 60 50 243 初试总分 379 379 421 393 383 401 393 382 413 388 370 374 390 409 378 418 395 396 380 404 390 391 374 363 405 427 351 386 380 387 359 405 373 382 419 358 400 404 381 422 356 404 386 401 404 353 备注 北师大心理学部应用心理专硕(MAP)2021年符合复试分数线考生名单 序号 368 369 370 371 372 373 374 375 376 377 378 379 380 381 382 383 384 385 386 387 388 389 390 391 392 393 394 395 396 397 398 399 400 401 402 403 404 405 406 407 408 409 410 411 412 413 准考证号 100271999383065 100271999383093 100271999383130 100271999383131 100271999383132 100271999383135 100271999383136 100271999383137 100271999383140 100271999383142 100271999383143 100271999383144 100271999383145 100271999383155 100271999383156 100271999383162 100271999383163 100271999383171 100271999383172 100271999383182 100271999383185 100271999383186 100271999383187 100271999383189 100271999383194 100271999383196 100271999383204 100271999383205 100271999383207 100271999383210 100271999383211 100271999383216 100271999383225 100271999383231 100271999383239 100271999383240 100271999383244 100271999383245 100271999383246 100271999383248 100271999383252 100271999383254 100271999383257 100271999383262 100271999383268 100271999383287 姓名 孙永婷 李梦凡 杨博森 卢诗乔 贾紫薇 马钰莹 杨立楠 潘艺玮 李东霖 闫愫 董姝言 严子洋 张翕然 田若昕 张雅鑫 温彩琴 王彦凝 陈若岚 马宁 丁广志 李楠 畅家玮 傅安杭 江天瑞 杨子昱 褚明泽 董怿 崔思祺 童敏 林娟 雷璇 但宗怡 张娜 王鹏宇 崔迪 王玮 方青 顾若漪 何春侠 胡潇 熊寅 陈昊元 胡万婧 唐斯琪 罗惟思 吕锦花 政治理论 英语(二) 专业课 60 68 277 67 64 267 70 65 270 60 75 272 58 63 292 58 52 269 57 70 262 61 82 259 67 55 277 61 63 265 51 51 262 69 65 268 66 78 220 73 68 278 68 67 284 71 57 286 68 68 282 75 78 277 62 66 263 79 80 275 65 57 229 77 73 272 53 69 253 68 71 259 68 50 259 72 79 268 63 63 284 64 54 290 62 71 281 76 77 285 68 68 282 67 55 279 60 52 267 65 50 260 65 54 266 72 59 270 59 82 263 66 77 259 69 55 276 58 74 228 67 74 245 63 64 264 69 75 258 73 66 282 50 85 226 63 83 226 初试总分 405 398 405 407 413 379 389 402 399 389 364 402 364 419 419 414 418 430 391 434 351 422 375 398 377 419 410 408 414 438 418 401 379 375 385 401 404 402 400 360 386 391 402 421 361 372 备注 北师大心理学部应用心理专硕(MAP)2021年符合复试分数线考生名单 序号 414 415 416 417 418 419 420 421 422 423 424 425 426 427 428 429 430 431 432 433 434 435 436 437 438 439 440 441 442 443 444 445 446 447 448 449 450 451 452 453 454 455 456 457 458 459 准考证号 100271999383297 100271999383299 100271999383305 100271999383308 100271999383312 100271999383325 100271999383339 100271999383341 100271999383344 100271999383346 100271999383352 100271999383358 100271999383359 100271999383360 100271999383363 100271999383365 100271999383368 100271999383369 100271999383370 100271999383373 100271999383376 100271999383377 100271999383378 100271999383380 100271999383381 100271999383382 100271999383384 100271999383386 100271999383388 100271999383390 100271999383391 100271999383392 100271999383393 100271999383394 100271999383397 100271999383398 100271999383401 100271999383402 100271999383403 100271999383406 100271999383407 100271999383410 100271999383412 100271999383413 100271999383416 100271999383428 姓名 姚梦丽 李科瑾 周慧民 徐堃 林楚凡 周乾清 朱晓红 周芬 许媛源 何睿 牛媛 吴潇 徐昊 蒋嘉浩 崔月 黄雅茄 马英博 王浩阳 张香龙 王新杰 刘宇琛 范佳 张佳乐 李培民 付成志 张振吉 李宇 毕江文 万雨琦 丁芸 杨柳 陈维奕 叶建月 陈雪莹 孙博龙 黄颖佳 侯孟晴 张旭 吕宣圻 冷秋仪 宋慧涵 钟琪 包天一 邹琪 柴克兢 曾昱明 政治理论 英语(二) 专业课 53 76 268 66 73 284 61 59 282 63 61 248 69 80 283 73 55 286 72 71 261 65 62 277 59 70 241 63 78 275 56 60 271 66 58 276 71 69 278 52 85 274 50 55 267 66 73 280 72 85 278 66 66 268 64 67 275 69 74 272 68 55 280 68 55 268 53 73 254 59 69 228 62 58 276 64 57 267 62 78 275 68 59 275 78 73 272 69 73 256 64 66 262 70 62 261 60 57 245 64 66 270 63 71 286 64 71 267 65 65 280 69 81 296 62 64 269 69 72 263 74 66 267 66 78 276 50 63 239 75 73 283 68 57 277 65 79 281 初试总分 397 423 402 372 432 414 404 404 370 416 387 400 418 411 372 419 435 400 406 415 403 391 380 356 396 388 415 402 423 398 392 393 362 400 420 402 410 446 395 404 407 420 352 431 402 425 备注 北师大心理学部应用心理专硕(MAP)2021年符合复试分数线考生名单 序号 460 461 462 463 464 465 466 467 468 469 470 471 472 473 准考证号 100271999383437 100271999383438 100271999383440 100271999383450 100271999383451 100271999383452 100271999383453 100271999383455 100271999383457 100271999383458 100271999383462 100271999383464 100271999383468 100271999383469 姓名 吴雨桐 徐梦蕾 贯玉婉 赵晨雨 胡欣哲 钟思哲 付楚涵 梁婉滢 李子正 张子乐 原凤妍 李心怡 陈鹏 陈玉莲 政治理论 英语(二) 专业课 59 86 266 70 71 287 73 80 283 68 50 272 61 64 279 69 68 275 66 50 273 58 73 226 61 62 245 70 63 253 59 61 237 70 80 277 71 78 270 67 56 238 初试总分 411 428 436 390 404 412 389 357 368 386 357 427 419 361 备注

附件3-北师大心理学部应用心理专硕(MAP)2021年符合复试分数线考生名单.pdf




