2022年西华大学建筑与土木工程学院硕士研究生复试结果公示.pdf
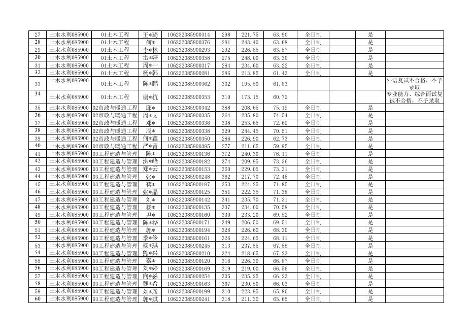
2022年西华大学建筑与土木工程学院硕士研究生复试结果公示 初试总 复试总成 考试总成绩 成绩 绩 学习方式 录取类别 是否拟录 (全日制/ (只填定 取(只填 非全日制) 向) 是) 研究方向 姓名 考生编号 土木水利085900 01土木工程 何*懿 106232085900311 375 246.85 77.19 全日制 是 2 土木水利085900 01土木工程 刘*君 106232085900330 361 260.80 76.62 全日制 是 3 土木水利085900 01土木工程 李* 106232085900276 363 250.90 75.91 全日制 是 4 土木水利085900 01土木工程 闵*江 106232085900319 359 250.15 75.28 全日制 是 5 土木水利085900 01土木工程 唐*康 106232085900300 369 233.25 74.99 全日制 是 6 土木水利085900 01土木工程 罗* 106232085900324 351 252.25 74.37 全日制 是 7 土木水利085900 01土木工程 罗*林 106232085900321 355 231.80 72.88 全日制 是 8 土木水利085900 01土木工程 薛*虬 106232085900320 337 254.25 72.61 全日制 是 9 土木水利085900 01土木工程 杨* 106232085900307 332 243.50 70.83 全日制 是 10 11 12 13 14 15 16 17 18 19 20 21 22 23 24 25 26 土木水利085900 土木水利085900 土木水利085900 土木水利085900 土木水利085900 土木水利085900 土木水利085900 土木水利085900 土木水利085900 土木水利085900 土木水利085900 土木水利085900 土木水利085900 土木水利085900 土木水利085900 土木水利085900 土木水利085900 01土木工程 01土木工程 01土木工程 01土木工程 01土木工程 01土木工程 01土木工程 01土木工程 01土木工程 01土木工程 01土木工程 01土木工程 01土木工程 01土木工程 01土木工程 01土木工程 01土木工程 罗*文 周*祥 袁* 詹*元 杜*洋 严*豪 雷* 王*杰 杜* 李* 洪* 曾*宇 冯* 朱*罗 范*杰 侯*群 杨* 106232085900299 106232085900369 106232085900297 106232085900298 106232085900325 106232085900323 106232085900322 106232085900282 106232085900278 106232085900316 106232085900312 106232085900356 106232085900289 106232085900357 106232085900360 106232085900352 106232085900373 331 328 332 338 312 319 326 321 320 308 303 306 306 297 290 291 298 239.45 242.60 236.85 221.60 257.90 238.15 227.65 232.05 233.25 241.65 247.25 236.65 236.50 235.10 237.20 234.65 223.40 70.29 70.18 70.17 69.48 69.47 68.48 68.41 68.15 68.13 67.29 67.15 66.51 66.49 65.09 64.32 64.21 64.06 全日制 全日制 全日制 全日制 全日制 全日制 全日制 全日制 全日制 全日制 全日制 全日制 全日制 全日制 全日制 全日制 全日制 是 是 是 是 是 是 是 是 是 是 是 是 是 是 是 是 是 序号 复试专业及代码 1 备注 土木水利085900 土木水利085900 土木水利085900 土木水利085900 土木水利085900 土木水利085900 土木水利085900 01土木工程 01土木工程 01土木工程 01土木工程 01土木工程 01土木工程 王*琦 何* 李*林 雷*婷 周*一 杨*韩 106232085900314 106232085900376 106232085900293 106232085900358 106232085900317 106232085900281 298 281 292 275 284 286 221.75 243.40 226.85 248.00 234.60 213.85 63.90 63.68 63.57 63.30 63.22 61.43 01土木工程 陈*鹏 106232085900362 302 195.50 61.83 34 土木水利085900 01土木工程 谢*杭 106232085900353 310 173.15 60.72 35 36 37 38 39 40 41 42 43 44 45 46 47 48 49 50 51 52 53 54 55 56 57 58 59 60 土木水利085900 02市政与暖通工程 土木水利085900 02市政与暖通工程 土木水利085900 02市政与暖通工程 土木水利085900 02市政与暖通工程 土木水利085900 02市政与暖通工程 土木水利085900 02市政与暖通工程 土木水利085900 03工程建造与管理 土木水利085900 03工程建造与管理 土木水利085900 03工程建造与管理 土木水利085900 03工程建造与管理 土木水利085900 03工程建造与管理 土木水利085900 03工程建造与管理 土木水利085900 03工程建造与管理 土木水利085900 03工程建造与管理 土木水利085900 03工程建造与管理 土木水利085900 03工程建造与管理 土木水利085900 03工程建造与管理 土木水利085900 03工程建造与管理 土木水利085900 03工程建造与管理 土木水利085900 03工程建造与管理 土木水利085900 03工程建造与管理 土木水利085900 03工程建造与管理 土木水利085900 03工程建造与管理 土木水利085900 03工程建造与管理 土木水利085900 03工程建造与管理 土木水利085900 03工程建造与管理 邱* 周*文 邓* 周* 何*鑫 严*菁 陈* 洪*峰 郑*云 张* 蒋* 张*晶 刘* 杨* 尹* 陈*桦 郭* 季*伶 杨*琪 熊*兴 秦* 刘*婷 向*淼 魏*希 刘*彦 郭*琪 106232085900342 106232085900335 106232085900336 106232085900338 106232085900350 106232085900385 106232085900136 106232085900182 106232085900153 106232085900248 106232085900187 106232085900125 106232085900142 106232085900135 106232085900160 106232085900171 106232085900194 106232085900161 106232085900245 106232085900210 106232085900120 106232085900169 106232085900254 106232085900163 106232085900199 106232085900241 388 364 338 329 286 277 372 374 360 362 353 351 341 337 330 349 326 326 313 324 316 319 305 307 310 318 208.65 235.80 253.65 244.45 226.90 211.65 240.30 209.95 229.05 217.70 224.25 222.35 235.70 234.00 233.20 206.50 226.60 224.65 237.55 218.65 226.30 219.00 235.25 230.50 223.95 211.30 75.19 74.54 72.69 70.51 62.73 59.95 76.11 73.36 73.31 72.45 71.85 71.38 71.31 70.58 69.52 69.51 68.30 68.11 67.58 67.23 66.87 66.56 66.23 66.03 65.80 65.65 27 28 29 30 31 32 33 全日制 全日制 全日制 全日制 全日制 全日制 是 是 是 是 是 是 外语复试不合格,不予 录取 专业能力、综合面试复 试不合格,不予录取 全日制 全日制 全日制 全日制 全日制 全日制 全日制 全日制 全日制 全日制 全日制 全日制 全日制 全日制 全日制 全日制 全日制 全日制 全日制 全日制 全日制 全日制 全日制 全日制 全日制 全日制 是 是 是 是 是 是 是 是 是 是 是 是 是 是 是 是 是 是 是 是 是 是 是 是 是 是 61 62 63 64 65 66 67 68 69 70 71 72 73 74 75 76 77 78 79 80 土木水利085900 03工程建造与管理 土木水利085900 03工程建造与管理 土木水利085900 03工程建造与管理 土木水利085900 03工程建造与管理 土木水利085900 03工程建造与管理 土木水利085900 03工程建造与管理 土木水利085900 03工程建造与管理 土木水利085900 03工程建造与管理 土木水利085900 03工程建造与管理 土木水利085900 03工程建造与管理 土木水利085900 03工程建造与管理 土木水利085900 03工程建造与管理 土木水利085900 03工程建造与管理 土木水利085900 03工程建造与管理 工程管理125600 01工程管理 工程管理125600 01工程管理 工程管理125600 01工程管理 工程管理125600 01工程管理 工程管理125600 02项目管理 工程管理125600 03不区分研究方向 王*润 吕*荭 高* 向*仕 周* 张*悦 余*芬 李* 陈* 彭* 谭* 岳* 杨* 廖*惠 郑*瑶 邵*伟 李*宇 杨* 袁*早 蒋*迪 106232085900178 106232085900179 106232085900230 106232085900181 106232085900123 106232085900108 106232085900165 106232085900145 106232085900130 106232085900208 106232085900189 106232085900162 106232085900218 106232085900238 106232125600096 106232125600097 106232125600087 106232125600079 106232125600037 106232125600055 314 306 302 307 309 304 297 303 302 301 297 305 296 297 214 198 198 192 201 233 216.60 223.60 228.05 220.65 216.90 223.80 233.05 215.30 214.85 216.25 213.50 202.05 207.75 201.05 238.92 223.16 210.46 219.63 231.75 243.33 65.62 65.20 65.09 65.05 64.95 64.94 64.89 63.95 63.77 63.77 62.93 62.91 62.22 61.69 73.83 68.52 67.25 66.76 70.08 78.70 全日制 全日制 全日制 全日制 全日制 全日制 是 是 是 是 是 是 全日制 全日制 全日制 全日制 全日制 非全日制 是 是 是 是 是 是 定向

2022年西华大学建筑与土木工程学院硕士研究生复试结果公示.pdf

