秦岭文库(kunmingchi.com)你想要的内容这里独有!

迪庆州第一中学2023年校园招聘面试成绩公示-终.xlsx

爱不会停留。4 页 16.371 KB下载文档
迪庆州第一中学2023年校园招聘面试成绩公示-终.xlsx迪庆州第一中学2023年校园招聘面试成绩公示-终.xlsx迪庆州第一中学2023年校园招聘面试成绩公示-终.xlsx迪庆州第一中学2023年校园招聘面试成绩公示-终.xlsx
当前文档共4页 下载后继续阅读

迪庆州第一中学2023年校园招聘面试成绩公示-终.xlsx

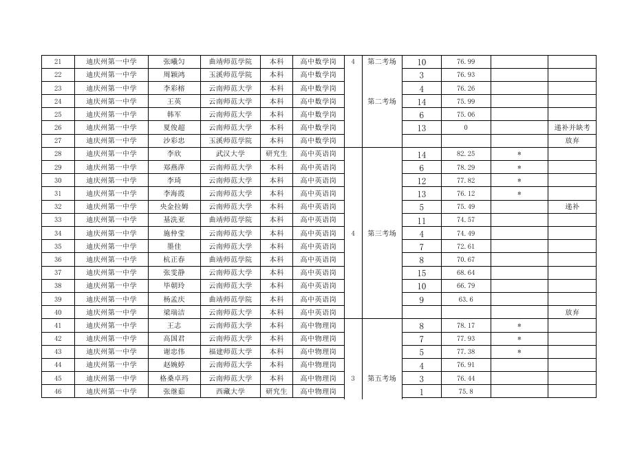
2023年迪庆州第一中学校园招聘面试成绩公示 序号 招聘学校 姓名 毕业学校 学历 招聘岗位 1 迪庆州第一中学 郭昌兰 云南师范大学 研究生 高中语文岗 2 迪庆州第一中学 唐文丽 云南师范大学 本科 高中语文岗 3 迪庆州第一中学 王敏 楚雄师范学院 本科 高中语文岗 4 迪庆州第一中学 代玉婷 曲靖师范学院 本科 高中语文岗 5 迪庆州第一中学 央几竹玛 云南民族大学 研究生 高中语文岗 6 迪庆州第一中学 王丽琼 楚雄师范学院 本科 高中语文岗 7 迪庆州第一中学 朱晓红 云南师范大学 本科 高中语文岗 8 迪庆州第一中学 李隽全 曲靖师范学院 本科 高中语文岗 9 迪庆州第一中学 李璇瑜 云南师范大学 本科 高中语文岗 10 迪庆州第一中学 王文卓 云南师范大学 本科 高中语文岗 11 迪庆州第一中学 彭文博 楚雄师范学院 本科 高中语文岗 12 迪庆州第一中学 杨策 云南师范大学 本科 高中语文岗 13 迪庆州第一中学 邓芝 云南大学 研究生 高中语文岗 14 迪庆州第一中学 赵美英 玉溪师范学院 本科 高中语文岗 15 迪庆州第一中学 周侜 楚雄师范学院 本科 高中数学岗 16 迪庆州第一中学 李杨 云南师范大学 本科 高中数学岗 17 迪庆州第一中学 刘涛 曲靖师范学院 本科 高中数学岗 18 迪庆州第一中学 马静 玉溪师范学院 本科 高中数学岗 19 迪庆州第一中学 多杰尖措 西藏大学 研究生 高中数学岗 20 迪庆州第一中学 高玉洁 云南师范大学 本科 高中数学岗 招聘 面试考场 人数 4 4 第一考场 第二考场 面试序号 面试成绩 拟进入体检人选 10 2 12 14 8 9 1 4 11 3 5 6 7 13 12 9 5 8 7 11 81.26 * 80.86 * 79.4 * 78.97 * 78.96 78.95 78.66 78.63 78.6 78.16 78.05 78.04 78.02 77.7 82.86 * 82.57 * 79.89 * 77.83 * 77.32 77.02 备注 21 迪庆州第一中学 张曦匀 曲靖师范学院 本科 高中数学岗 22 迪庆州第一中学 周颖鸿 玉溪师范学院 本科 高中数学岗 23 迪庆州第一中学 李彩榕 云南师范大学 本科 高中数学岗 24 迪庆州第一中学 王英 云南师范大学 本科 高中数学岗 25 迪庆州第一中学 韩军 云南师范大学 本科 高中数学岗 26 迪庆州第一中学 夏俊超 云南师范大学 本科 高中数学岗 27 迪庆州第一中学 沙彩忠 玉溪师范学院 本科 高中数学岗 28 迪庆州第一中学 李欣 武汉大学 研究生 高中英语岗 29 迪庆州第一中学 郑燕萍 云南师范大学 本科 高中英语岗 30 迪庆州第一中学 李琦 云南师范大学 本科 高中英语岗 31 迪庆州第一中学 李海霞 云南师范大学 本科 高中英语岗 32 迪庆州第一中学 央金拉姆 云南师范大学 本科 高中英语岗 33 迪庆州第一中学 基洗亚 曲靖师范学院 本科 高中英语岗 34 迪庆州第一中学 施仲莹 云南师范大学 本科 高中英语岗 35 迪庆州第一中学 墨佳 云南师范大学 本科 高中英语岗 36 迪庆州第一中学 杭正春 曲靖师范学院 本科 高中英语岗 37 迪庆州第一中学 张雯静 云南师范大学 本科 高中英语岗 38 迪庆州第一中学 毕朝玲 云南师范大学 本科 高中英语岗 39 迪庆州第一中学 杨孟庆 曲靖师范学院 本科 高中英语岗 40 迪庆州第一中学 梁瑞洁 云南师范大学 本科 高中英语岗 41 迪庆州第一中学 王志 云南师范大学 本科 高中物理岗 42 迪庆州第一中学 高国君 云南师范大学 本科 高中物理岗 43 迪庆州第一中学 谢忠伟 福建师范大学 本科 高中物理岗 44 迪庆州第一中学 赵婉婷 云南师范大学 本科 高中物理岗 45 迪庆州第一中学 格桑卓玛 云南师范大学 本科 高中物理岗 46 迪庆州第一中学 张继茹 西藏大学 研究生 高中物理岗 4 第二考场 第二考场 10 3 4 14 6 13 76.99 76.93 76.26 75.99 75.06 0 递补并缺考 放弃 4 第三考场 14 6 12 13 5 11 4 7 8 15 10 9 82.25 * 78.29 * 77.82 * 76.12 * 75.49 递补 74.57 74.49 72.61 70.67 68.64 66.79 63.6 放弃 3 第五考场 8 7 5 4 3 1 78.17 * 77.93 * 77.38 * 76.91 76.44 75.8 3 47 迪庆州第一中学 刘亚朋 云南师范大学 本科 高中物理岗 48 迪庆州第一中学 付庆其 云南师范大学 本科 高中物理岗 49 迪庆州第一中学 赵月英 云南师范大学 本科 高中物理岗 50 迪庆州第一中学 李晓春 云南师范大学 本科 高中化学岗 51 迪庆州第一中学 马艳 云南师范大学 本科 高中化学岗 52 迪庆州第一中学 周国平 云南师范大学 本科 高中化学岗 53 迪庆州第一中学 宋志豪 云南师范大学 本科 高中化学岗 54 迪庆州第一中学 李朝飞 云南师范大学 本科 高中化学岗 55 迪庆州第一中学 李云艳 云南师范大学 本科 高中化学岗 56 迪庆州第一中学 杨标 云南师范大学 本科 高中化学岗 57 迪庆州第一中学 郜孟林 云南师范大学 本科 高中生物岗 58 迪庆州第一中学 李欣媛 云南师范大学 本科 高中生物岗 59 迪庆州第一中学 李云秀 云南师范大学 本科 高中生物岗 60 迪庆州第一中学 李鸿英 云南师范大学 本科 高中生物岗 61 迪庆州第一中学 刘杰祥 云南师范大学 本科 高中生物岗 62 迪庆州第一中学 任姚 云南师范大学 研究生 高中生物岗 63 迪庆州第一中学 杨承宗 云南师范大学 本科 高中政治岗 64 迪庆州第一中学 卢怡玲 云南师范大学 本科 高中政治岗 65 迪庆州第一中学 和敏 云南师范大学 本科 高中政治岗 66 迪庆州第一中学 邱媛 云南师范大学 本科 高中政治岗 67 迪庆州第一中学 吴建菊 云南师范大学 本科 高中政治岗 68 迪庆州第一中学 赵静芳 云南师范大学 本科 高中政治岗 69 迪庆州第一中学 董俊友 西安理工大学 研究生 高中政治岗 70 迪庆州第一中学 和婧婷 云南师范大学 本科 高中历史岗 71 迪庆州第一中学 夏晶晶 海南师范大学 本科 高中历史岗 72 迪庆州第一中学 刘薇 云南师范大学 本科 高中历史岗 第五考场 第五考场 2 第六考场 6 2 9 3 6 2 4 5 1 75.04 74.82 74.59 81.76 * 81.57 * 81.21 79.7 79.45 78.46 放弃 2 2 第六考场 第五考场 8 10 9 7 12 11 14 12 15 13 10 11 82.73 * 78.42 * 77.36 76.86 76.64 75.52 84.54 * 83.25 * 82.66 82.07 76.9 0 递补并缺考 放弃 9 2 4 3 第四考场 78.56 * 78.22 * 76.96 * 73 迪庆州第一中学 赵尧 云南师范大学 本科 高中历史岗 74 迪庆州第一中学 蒲四春 云南师范大学 本科 高中历史岗 75 迪庆州第一中学 尼玛拉木 云南师范大学 本科 高中历史岗 76 迪庆州第一中学 奚洁媛 云南师范大学 本科 高中历史岗 77 迪庆州第一中学 罗文彪 云南师范大学 本科 高中历史岗 78 迪庆州第一中学 赵秋月 贵州师范大学 研究生 高中历史岗 79 迪庆州第一中学 刘水芹 云南师范大学 本科 高中历史岗 80 迪庆州第一中学 刘杨 云南师范大学 本科 高中地理岗 81 迪庆州第一中学 王玉琴 云南师范大学 本科 高中地理岗 82 迪庆州第一中学 廖紫瑜 云南师范大学 本科 高中地理岗 83 迪庆州第一中学 沈忠平 云南师范大学 本科 高中地理岗 84 迪庆州第一中学 王宋平 云南师范大学 本科 高中地理岗 85 迪庆州第一中学 蒋红 云南师范大学 本科 高中地理岗 86 迪庆州第一中学 耿丽晶 东北师范大学 研究生 高中美术岗 87 迪庆州第一中学 李雯 西南林业大学 研究生 高中美术岗 88 迪庆州第一中学 纪玉洁 哈尔滨师范大学 研究生 高中音乐岗 89 迪庆州第一中学 赵丽娇 云南师范大学 本科 高中音乐岗 90 迪庆州第一中学 毛雅南 江西师范大学 研究生 高中音乐岗 3 第四考场 第四考场 6 3 8 1 7 5 76.72 75.82 75.4 递补 74.7 72.98 72.64 放弃 2 1 1 第四考场 第二考场 第三考场 10 15 14 11 13 12 2 1 3 1 2 87.66 * 86.77 * 86.74 85.72 83.74 80.56 76.82 * 73.86 73.11 72.26 71.68 *

相关文章