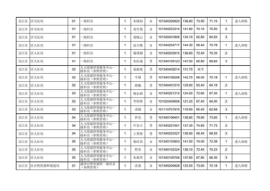
苏州市2022年度考录公务员面试成绩公示(吴江 常熟 张家港 昆山 太仓).xlsx
苏州市2022年度考录公务员面试成绩公示(吴江 常熟 张家港 昆山 太仓) 地区 名称 单位名称 职位 代码 职位名称 招录 人数 姓名 性别 准考证号 笔试 成绩 面试 成绩 总成绩 职位 排名 备注 进入体检 吴江区 区教育局 01 一级科员 1 吴方彪 男 101030902107 134.40 68.10 67.65 1 吴江区 区教育局 01 一级科员 1 谈柯非 男 101540400205 136.20 66.42 67.26 2 吴江区 区教育局 01 一级科员 1 马超 男 101540201123 131.20 66.60 66.10 3 吴江区 区教育局 02 一级科员 1 石雨薇 女 101540400823 136.20 76.32 72.21 1 吴江区 区教育局 02 一级科员 1 李谦 女 101540101813 134.30 72.82 69.99 2 吴江区 区教育局 02 一级科员 1 柏红艳 女 101540401926 134.30 71.62 69.39 3 吴江区 区教育局 03 一级科员 1 黄玥 女 101110404101 138.10 78.22 73.64 1 吴江区 区教育局 03 一级科员 1 钱虹希 女 101540102303 143.10 72.66 72.11 2 吴江区 区教育局 03 一级科员 1 黎旻慧 女 101000409930 139.10 63.02 66.29 3 吴江区 区教育局 90 一级科员 1 戴松松 男 101540101601 132.80 76.62 71.51 1 吴江区 区教育局 90 一级科员 1 赵哲豪 男 101540203630 133.80 75.02 70.96 2 吴江区 区教育局 90 一级科员 1 王璇 女 101540203022 129.70 75.04 69.95 3 吴江区 区科技局 60 一级科员 1 秦姚毅 男 101000606208 152.40 73.20 74.70 1 吴江区 区科技局 60 一级科员 1 韩蕊 女 101540105416 143.20 70.00 70.80 2 吴江区 区科技局 60 一级科员 1 许伟 女 101540203123 142.50 69.40 70.33 3 吴江区 区公安局 01 相应职级警员 1 何婷婷 女 204081305620 72.70 68.41 1 64.12 进入体检 进入体检 进入体检 进入体检 进入体检 吴江区 区公安局 01 相应职级警员 1 夏雨欣 女 204021805310 60.44 69.20 64.82 2 吴江区 区公安局 01 相应职级警员 1 杨玲 女 204021807515 58.32 66.80 62.56 3 吴江区 区公安局 02 相应职级警员 2 李菁 男 204021802828 65.91 72.90 69.41 1 进入体检 吴江区 区公安局 02 相应职级警员 2 沈一 男 204021802801 64.36 67.40 65.88 2 进入体检 吴江区 区公安局 02 相应职级警员 2 朱赫 男 204081302123 57.86 68.20 63.03 3 吴江区 区公安局 02 相应职级警员 2 朱必贵 男 204021806125 59.66 65.40 62.53 4 吴江区 区公安局 03 相应职级警员 1 黄聪 男 204120700916 62.94 78.30 70.62 1 吴江区 区公安局 03 相应职级警员 1 陆翔 男 204021804912 65.08 73.10 69.09 2 吴江区 区公安局 03 相应职级警员 1 王海 男 204021801711 62.39 72.30 67.35 3 吴江区 区公安局 04 相应职级警员 1 刘永森 男 204001504424 62.28 74.40 68.34 1 吴江区 区公安局 04 相应职级警员 1 钱奕飞 男 204021805210 60.46 69.30 64.88 2 吴江区 区公安局 04 相应职级警员 1 姚琦 男 204021809021 54.66 72.50 63.58 3 吴江区 区公安局 05 相应职级警员 3 蔡京龙 男 204021802203 65.49 71.20 68.35 1 进入体检 吴江区 区公安局 05 相应职级警员 3 沈恩同 男 204001505317 64.32 65.40 64.86 2 进入体检 吴江区 区公安局 05 相应职级警员 3 李亚稳 男 204021808528 59.78 68.80 64.29 3 进入体检 吴江区 区公安局 05 相应职级警员 3 冯嘉男 男 204021804202 55.83 69.30 62.57 4 吴江区 区公安局 06 相应职级警员 1 计宏宇 男 204081204529 58.39 74.20 66.30 1 吴江区 区公安局 06 相应职级警员 1 章佳程 男 204021804104 61.02 60.20 60.61 2 吴江区 区公安局 06 相应职级警员 1 赵磊 男 204021801503 53.04 67.00 60.02 3 进入体检 进入体检 进入体检 吴江区 区司法局 01 一级科员 1 朱晓灿 女 101540200825 136.80 73.90 71.15 1 吴江区 区司法局 01 一级科员 1 姜竹筠 女 101540203314 141.80 70.10 70.50 2 吴江区 区司法局 01 一级科员 1 梁晓云 女 101540401806 134.10 62.80 64.93 3 吴江区 区人社局 01 一级科员 1 高立维 女 101540204717 144.30 69.40 70.78 1 吴江区 区人社局 01 一级科员 1 施瑛颖 女 101540203915 136.60 72.40 70.35 2 吴江区 区人社局 01 一级科员 1 朱阮诚 男 101540105123 147.00 65.80 69.65 3 吴江区 区人社局 02 1 晁振琨 男 101540402014 131.70 缺考 吴江区 区人社局 02 1 牛硕 男 101540106208 142.70 69.00 70.18 1 吴江区 区人社局 02 1 薛毓 男 101540401510 129.90 63.40 64.18 2 吴江区 区人社局 03 1 杨弘岄 女 101540201312 124.00 72.60 67.30 1 吴江区 区人社局 03 1 李怡铭 女 101020405608 121.20 67.40 64.00 2 吴江区 区人社局 03 1 袁媛 女 101110701910 119.90 65.40 62.68 3 吴江区 区人社局 04 1 伊亮 男 101540106401 136.80 78.80 73.60 1 吴江区 区人社局 04 1 叶佳立 男 101540201501 137.30 74.80 71.73 2 吴江区 区人社局 04 1 王勇俊 男 101540203327 136.90 69.40 68.93 3 吴江区 区人社局 05 1 蔡时英 女 101540103903 141.50 74.00 72.38 1 吴江区 区人社局 05 1 程欢 女 101540102324 136.10 72.40 70.23 2 吴江区 区人社局 05 1 朱莉萍 女 101540105706 137.60 67.80 68.30 3 吴江区 区自然资源和规划局 01 人力资源管理服务中心一 级科员(参照管理) 人力资源管理服务中心一 级科员(参照管理) 人力资源管理服务中心一 级科员(参照管理) 人力资源管理服务中心一 级科员(参照管理) 人力资源管理服务中心一 级科员(参照管理) 人力资源管理服务中心一 级科员(参照管理) 人力资源管理服务中心一 级科员(参照管理) 人力资源管理服务中心一 级科员(参照管理) 人力资源管理服务中心一 级科员(参照管理) 人力资源管理服务中心一 级科员(参照管理) 人力资源管理服务中心一 级科员(参照管理) 人力资源管理服务中心一 级科员(参照管理) 盛泽自然资源所一级科员 (参照管理) 1 沈萌 女 101540200828 133.50 73.60 70.18 1 进入体检 进入体检 进入体检 进入体检 进入体检 进入体检 进入体检 吴江区 区自然资源和规划局 01 吴江区 区自然资源和规划局 01 吴江区 区自然资源和规划局 02 吴江区 区自然资源和规划局 02 吴江区 区自然资源和规划局 02 吴江区 区自然资源和规划局 03 吴江区 区自然资源和规划局 03 吴江区 区自然资源和规划局 03 吴江区 区自然资源和规划局 04 吴江区 区自然资源和规划局 04 吴江区 区自然资源和规划局 04 吴江区 区自然资源和规划局 05 吴江区 区自然资源和规划局 05 吴江区 区自然资源和规划局 05 吴江区 区自然资源和规划局 06 吴江区 区自然资源和规划局 06 吴江区 区自然资源和规划局 06 吴江区 区住建局 01 吴江区 区住建局 01 盛泽自然资源所一级科员 (参照管理) 盛泽自然资源所一级科员 (参照管理) 盛泽自然资源所一级科员 (参照管理) 盛泽自然资源所一级科员 (参照管理) 盛泽自然资源所一级科员 (参照管理) 汾湖自然资源所一级科员 (参照管理) 汾湖自然资源所一级科员 (参照管理) 汾湖自然资源所一级科员 (参照管理) 汾湖自然资源所一级科员 (参照管理) 汾湖自然资源所一级科员 (参照管理) 汾湖自然资源所一级科员 (参照管理) 七都自然资源所一级科员 (参照管理) 七都自然资源所一级科员 (参照管理) 七都自然资源所一级科员 (参照管理) 七都自然资源所一级科员 (参照管理) 七都自然资源所一级科员 (参照管理) 七都自然资源所一级科员 (参照管理) 建设工程招标投标办公室 一级科员(参照管理) 建设工程招标投标办公室 一级科员(参照管理) 1 王永泉 男 101540201629 131.80 71.40 68.65 2 1 易子玫 女 101540102706 133.20 62.50 64.55 3 1 朱践程 男 101540105722 137.40 71.70 70.20 1 1 刘文锋 男 101001002426 129.80 73.20 69.05 2 1 宋子杰 男 101000402511 125.70 69.10 65.98 3 1 万雅 女 101040207314 145.50 72.60 72.68 1 1 张宇超 男 101540100630 137.30 74.70 71.68 2 1 朱东姝 女 101540106320 133.10 70.20 68.38 3 1 曲明 男 101030103911 131.70 缺考 1 罗杰 男 101540102725 149.10 73.20 73.88 1 1 隋克林 男 101030604007 130.90 66.60 66.03 2 1 冯飞飞 女 101540401404 134.10 72.90 69.98 1 1 杨冰怡 女 101540203815 133.00 72.50 69.50 2 1 王佳婉 女 101540105526 131.60 72.60 69.20 3 1 杨皓文 男 101540204527 142.00 74.80 72.90 1 1 韩效楼 男 101540202418 133.80 72.30 69.60 2 1 薄晨曦 男 101540104028 128.40 62.40 63.30 3 1 龚依捷 女 101540202123 144.30 77.40 74.78 1 1 蔡晓卿 男 101540100422 141.20 77.60 74.10 2 进入体检 进入体检 进入体检 进入体检 进入体检 进入体检 建设工程招标投标办公室 一级科员(参照管理) 节水用水办公室一级科员 (参照管理) 节水用水办公室一级科员 (参照管理) 节水用水办公室一级科员 (参照管理) 水利工程质量监督站一级 科员(参照管理) 水利工程质量监督站一级 科员(参照管理) 水利工程质量监督站一级 科员(参照管理) 1 王奕韵 女 101540106619 142.70 75.00 73.18 3 1 孙仲涛 男 101540202926 140.30 73.00 71.58 1 1 李子剑 男 101540204123 140.70 70.80 70.58 2 1 华丽娟 女 101540204022 138.90 71.20 70.33 3 1 陈鹏飞 男 101031103208 136.40 75.80 72.00 1 1 唐雯雯 女 101000610601 138.60 74.00 71.65 2 1 朱俊杰 男 101540105805 136.00 73.60 70.80 3 01 一级科员 1 尤心怡 女 101540100818 147.10 73.60 73.58 1 吴江区 区农业农村局 01 一级科员 1 潘梦沁 女 101540101011 144.20 72.60 72.35 2 吴江区 区农业农村局 01 一级科员 1 张云帆 男 101540102008 138.50 75.20 72.23 3 吴江区 区农业农村局 02 1 翁士添 男 202540402611 120.90 缺考 吴江区 区农业农村局 02 1 顾云峰 男 202540403327 125.10 68.40 65.48 1 吴江区 区农业农村局 02 1 陆子程 男 202540404104 121.40 69.40 65.05 2 吴江区 区农业农村局 03 1 黄梦瑶 女 202540403124 119.00 缺考 吴江区 区农业农村局 03 1 李雪 女 202540404305 126.90 77.20 70.33 1 进入体检 吴江区 区农业农村局 04 1 盛俊杰 男 202540403416 135.50 75.80 71.78 1 进入体检 吴江区 区农业农村局 04 1 陈思佳 男 202540403717 125.00 77.60 70.05 2 吴江区 区农业农村局 04 1 高季平 男 202540404126 124.90 75.40 68.93 3 吴江区 区农业农村局 05 农业综合执法大队一级行 政执法员(参照管理) 农业综合执法大队一级行 政执法员(参照管理) 农业综合执法大队一级行 政执法员(参照管理) 农业综合执法大队一级行 政执法员(参照管理) 农业综合执法大队一级行 政执法员(参照管理) 农业综合执法大队一级行 政执法员(参照管理) 农业综合执法大队一级行 政执法员(参照管理) 农业综合执法大队一级行 政执法员(参照管理) 农业综合执法大队一级行 政执法员(参照管理) 1 李若晨 男 202540404405 136.40 78.60 73.40 1 吴江区 区住建局 01 吴江区 区水务局 01 吴江区 区水务局 01 吴江区 区水务局 01 吴江区 区水务局 02 吴江区 区水务局 02 吴江区 区水务局 02 吴江区 区农业农村局 进入体检 进入体检 进入体检 进入体检 进入体检 农业综合执法大队一级行 政执法员(参照管理) 农业综合执法大队一级行 政执法员(参照管理) 农业综合执法大队一级行 政执法员(参照管理) 农业综合执法大队一级行 政执法员(参照管理) 农业综合执法大队一级行 政执法员(参照管理) 农业综合执法大队一级行 政执法员(参照管理) 农业综合执法大队一级行 政执法员(参照管理) 农业综合执法大队一级行 政执法员(参照管理) 1 周迟 男 202540403525 140.40 74.20 72.20 2 1 姜盛 男 202540402526 136.90 73.00 70.73 3 1 黄茹芸 女 202001306706 135.50 缺考 1 毛程程 男 202540403201 138.50 77.80 73.53 1 1 吴中强 男 202540404302 131.90 78.40 72.18 2 1 万舒婷 女 202540403217 118.60 70.40 64.85 1 1 钱涛 男 202540403011 115.10 67.40 62.48 2 1 杨赟 男 202540403425 115.70 66.80 62.33 3 01 一级科员 1 葛高涵 男 101000403626 148.80 72.80 73.60 1 吴江区 区文广旅局 01 一级科员 1 潘青青 女 101540400429 139.00 72.20 70.85 2 吴江区 区文广旅局 01 一级科员 1 宋璇 女 101020801605 135.70 70.20 69.03 3 吴江区 区文广旅局 02 一级科员 1 戴玥 女 101540103230 140.90 74.20 72.33 1 吴江区 区文广旅局 02 一级科员 1 朱秋祺 女 101540105813 140.50 71.80 71.03 2 吴江区 区文广旅局 02 一级科员 1 李艺璇 女 101540101809 142.30 69.80 70.48 3 吴江区 区文广旅局 90 一级科员 1 李洁 女 101120503925 133.70 76.00 71.43 1 吴江区 区文广旅局 90 一级科员 1 陈丽 女 101070101208 134.00 74.10 70.55 2 吴江区 区文广旅局 90 一级科员 1 程浩 男 101031002614 138.40 70.60 69.90 3 吴江区 区卫健委 01 一级科员 1 顾婉茹 女 101031200916 137.80 78.12 73.51 1 吴江区 区卫健委 01 一级科员 1 钱静益 女 101540102703 133.90 74.54 70.75 2 吴江区 区农业农村局 05 吴江区 区农业农村局 05 吴江区 区农业农村局 06 吴江区 区农业农村局 06 吴江区 区农业农村局 06 吴江区 区农业农村局 90 吴江区 区农业农村局 90 吴江区 区农业农村局 90 吴江区 区文广旅局 进入体检 进入体检 进入体检 进入体检 进入体检 进入体检 吴江区 区卫健委 01 一级科员 1 匡铭 女 101120100217 134.30 73.28 70.22 3 吴江区 区卫健委 02 1 程凯 男 202540404019 126.90 79.10 71.28 1 吴江区 区卫健委 02 1 周刘柱 男 202001201401 129.10 71.06 67.81 2 吴江区 区卫健委 02 卫生监督所一级行政执法 员(参照管理) 卫生监督所一级行政执法 员(参照管理) 卫生监督所一级行政执法 员(参照管理) 1 魏园杰 男 202540402720 126.40 70.60 66.90 3 吴江区 区审计局 01 一级科员 1 董孝裕 女 101540102526 140.80 78.00 74.20 1 吴江区 区审计局 01 一级科员 1 杨奕楠 女 101540200408 141.20 74.80 72.70 2 吴江区 区审计局 01 一级科员 1 董思敏 女 101540104510 137.60 76.20 72.50 3 吴江区 区统计局 01 一级科员 1 徐奇缘 女 101540106003 142.80 74.00 72.70 1 吴江区 区统计局 01 一级科员 1 王志伟 男 101540202216 138.70 74.30 71.83 2 吴江区 区统计局 01 一级科员 1 钱颖 女 101540106520 138.70 72.70 71.03 3 吴江区 区统计局 02 1 钟春燕 女 101540104122 126.50 78.20 70.73 1 吴江区 区统计局 02 1 费国栋 男 101540104828 127.60 69.00 66.40 2 吴江区 区统计局 02 1 管卢山 男 101540102621 125.60 68.20 65.50 3 吴江区 区应急管理局 01 1 周星晨 男 202540402528 137.10 75.70 72.13 1 吴江区 区应急管理局 01 1 夏林成 男 202540403120 136.60 73.40 70.85 2 吴江区 区应急管理局 01 综合调查队一级科员(参 照管理) 综合调查队一级科员(参 照管理) 综合调查队一级科员(参 照管理) 安全生产监察大队一级行 政执法员(参照管理) 安全生产监察大队一级行 政执法员(参照管理) 安全生产监察大队一级行 政执法员(参照管理) 1 陈聪 男 202540403609 133.20 73.80 70.20 3 吴江区 区金融监管局 01 一级科员 1 汪大为 男 101540103510 142.10 76.20 73.63 1 吴江区 区金融监管局 01 一级科员 1 皮范伟 男 101540105415 141.70 76.20 73.53 2 吴江区 区金融监管局 01 一级科员 1 雷翔 男 101540105701 140.00 71.80 70.90 3 进入体检 进入体检 进入体检 进入体检 进入体检 进入体检 吴江区 区金融监管局 02 一级科员 1 周天越 女 101540203101 138.50 77.20 73.23 1 吴江区 区金融监管局 02 一级科员 1 叶雨阳 女 101540100108 138.90 73.60 71.53 2 吴江区 区金融监管局 02 一级科员 1 费雨欣 女 101540104708 135.40 71.00 69.35 3 吴江区 区医疗保障局 01 一级科员 1 程霞 女 101540204101 144.20 78.60 75.35 1 吴江区 区医疗保障局 01 一级科员 1 汪冰 女 101540102021 134.50 75.90 71.58 2 吴江区 区医疗保障局 01 一级科员 1 万晓薇 女 101540104021 138.10 71.80 70.43 3 吴江区 区供销社(参照管理) 01 一级科员 1 郑佳文 女 101090506913 139.50 80.72 75.24 1 吴江区 区供销社(参照管理) 01 一级科员 1 吴朱颖 女 101540105806 139.80 79.80 74.85 2 吴江区 区供销社(参照管理) 01 一级科员 1 唐洁 女 101540201005 138.30 76.20 72.68 3 吴江区 区供销社(参照管理) 01 一级科员 1 黄艳春 女 101540105021 138.30 74.44 71.80 4 吴江区 区城管局 01 2 赵汉清 男 202540403809 129.50 缺考 吴江区 区城管局 01 2 林樊 男 202540404412 128.30 74.90 69.53 1 进入体检 吴江区 区城管局 01 2 刘博 男 202540402529 123.40 75.60 68.65 2 进入体检 吴江区 区城管局 01 2 王凌凡 男 202540402906 121.40 75.30 68.00 3 吴江区 区城管局 01 2 董嘉亮 男 202540402902 127.50 71.90 67.83 4 吴江区 区城管局 01 2 李伟 男 202540403704 119.80 65.00 62.45 5 吴江区 区城管局 02 1 姚思佳 女 202540403023 130.40 75.90 70.55 1 吴江区 区城管局 02 1 黄颖 女 202540402522 128.00 74.10 69.05 2 吴江区 区城管局 02 综合行政执法大队一级行 政执法员(参照管理) 综合行政执法大队一级行 政执法员(参照管理) 综合行政执法大队一级行 政执法员(参照管理) 综合行政执法大队一级行 政执法员(参照管理) 综合行政执法大队一级行 政执法员(参照管理) 综合行政执法大队一级行 政执法员(参照管理) 综合行政执法大队一级行 政执法员(参照管理) 综合行政执法大队一级行 政执法员(参照管理) 综合行政执法大队一级行 政执法员(参照管理) 1 项颖 女 202540402608 123.70 73.10 67.48 3 进入体检 进入体检 进入体检 进入体检 综合行政执法大队一级行 政执法员(参照管理) 综合行政执法大队一级行 政执法员(参照管理) 综合行政执法大队一级行 政执法员(参照管理) 综合行政执法大队一级行 政执法员(参照管理) 综合行政执法大队一级行 政执法员(参照管理) 综合行政执法大队一级行 政执法员(参照管理) 综合行政执法大队一级行 政执法员(参照管理) 综合行政执法大队一级行 政执法员(参照管理) 综合行政执法大队一级行 政执法员(参照管理) 1 盛家栋 男 202540403612 135.00 76.50 72.00 1 1 沈蔚 男 202540402718 134.00 76.40 71.70 2 1 施烨晨 男 202540404413 138.00 73.50 71.25 3 1 茅抒文 女 202540402820 138.50 74.10 71.68 1 1 曹诚丽 女 202540404425 136.90 72.70 70.58 2 1 沈秋虹 女 202540402312 134.90 73.10 70.28 3 1 张璐 女 202040609517 125.10 76.20 69.38 1 1 戴苏晓 男 202540403311 117.40 74.90 66.80 2 1 钱敏伟 男 202540403115 119.40 71.80 65.75 3 01 一级科员 1 姚佳逸 男 101540106729 136.00 73.20 70.60 1 进入体检 吴江区 区纪委监委 02 一级科员 1 曾松 男 101540105419 137.50 缺考 吴江区 区纪委监委 02 一级科员 1 李重儒 男 101540100105 144.70 71.60 71.98 1 进入体检 吴江区 区纪委监委 02 一级科员 1 王涛 男 101540201229 137.00 69.70 69.10 2 吴江区 区纪委监委 03 一级科员 1 邹茜成 女 101540203304 144.20 缺考 吴江区 区纪委监委 03 一级科员 1 郝丽颖 女 101540101827 142.70 76.60 73.98 1 吴江区 区纪委监委 03 一级科员 1 陈扬 女 101540203528 139.30 77.20 73.43 2 吴江区 区纪委监委 04 一级科员 1 崔亚超 男 101540101118 143.90 73.20 72.58 1 吴江区 区纪委监委 04 一级科员 1 朱学成 男 101540201817 136.30 73.50 70.83 2 吴江区 区纪委监委 04 一级科员 1 徐方顺 男 101540401429 131.70 74.80 70.33 3 吴江区 区城管局 03 吴江区 区城管局 03 吴江区 区城管局 03 吴江区 区城管局 04 吴江区 区城管局 04 吴江区 区城管局 04 吴江区 区城管局 90 吴江区 区城管局 90 吴江区 区城管局 90 吴江区 区纪委监委 进入体检 进入体检 进入体检 进入体检 进入体检 吴江区 区纪委监委 05 一级科员 1 刘天枝 女 101540106801 140.10 76.90 73.48 1 吴江区 区纪委监委 05 一级科员 1 张悦予 女 101540401826 134.90 76.50 71.98 2 吴江区 区纪委监委 05 一级科员 1 沈佳艳 女 101540106209 137.10 70.80 69.68 3 吴江区 区委宣传部 01 一级科员 1 吴琪 男 101540103325 140.50 83.80 77.03 1 吴江区 区委宣传部 01 一级科员 1 沈皇仁 男 101000903810 139.90 68.80 69.38 2 吴江区 区法院 01 司法警察 1 韩凯林 男 202032800628 132.80 缺考 吴江区 区法院 01 司法警察 1 许靖 男 202001204830 127.20 74.50 69.05 1 吴江区 区法院 01 司法警察 1 陈凯 男 202540402330 121.20 69.16 64.88 2 吴江区 区法院 70 五级法官助理 2 唐克 男 101540400226 122.60 缺考 吴江区 区法院 70 五级法官助理 2 吕晨凯 男 101540101614 135.40 76.10 71.90 1 进入体检 吴江区 区法院 70 五级法官助理 2 杨柳 男 101540202021 134.20 76.68 71.89 2 进入体检 吴江区 区法院 70 五级法官助理 2 王恒忠 男 101000401109 139.00 72.46 70.98 3 吴江区 区法院 70 五级法官助理 2 戴志龙 男 101000409222 130.70 74.62 69.99 4 吴江区 区法院 70 五级法官助理 2 贾伟康 男 101540400801 124.50 75.50 68.88 5 吴江区 区法院 71 五级法官助理 2 徐陈 女 101540102225 133.10 缺考 吴江区 区法院 71 五级法官助理 2 赵茜 女 101540400328 140.80 77.40 73.90 1 进入体检 吴江区 区法院 71 五级法官助理 2 刘莹 女 101540402028 138.90 77.90 73.68 2 进入体检 吴江区 区法院 71 五级法官助理 2 莫凡 女 101540400119 133.70 78.38 72.62 3 吴江区 区法院 71 五级法官助理 2 张杰艳 女 101540202724 133.80 77.20 72.05 4 进入体检 进入体检 进入体检 吴江区 区法院 71 五级法官助理 2 宋理健 女 101540400822 133.60 72.94 69.87 5 吴江区 区检察院 01 一级科员 1 赵丹 女 101540203107 135.70 77.40 72.63 1 吴江区 区检察院 01 一级科员 1 钱诚艳 女 101540100424 138.90 73.00 71.23 2 吴江区 区检察院 01 一级科员 1 陈雨欣 女 101000508611 139.20 70.20 69.90 3 吴江区 区检察院 75 五级检察官助理 1 蒋璇 女 101540401321 142.30 79.00 75.08 1 吴江区 区检察院 75 五级检察官助理 1 吴星怡 女 101540101119 128.80 76.80 70.60 2 吴江区 区检察院 75 五级检察官助理 1 杨凡 女 101540202102 128.70 72.40 68.38 3 吴江区 区妇联 60 一级科员 1 廖玉妍 女 101000904105 140.30 81.32 75.74 1 吴江区 区妇联 60 一级科员 1 王曦芸 女 101060502726 137.80 70.50 69.70 2 吴江区 区妇联 60 一级科员 1 江盼 女 101040104317 135.60 71.60 69.70 3 吴江区 区残联 80 一级科员 1 王晓辰 女 101540203121 134.20 81.30 74.20 1 吴江区 区残联 80 一级科员 1 王静 女 101540100618 126.20 72.66 67.88 2 吴江区 区残联 80 一级科员 1 刘浪 男 101540100322 124.10 72.60 67.33 3 吴江区 区档案馆(参照管理) 01 一级科员 1 沈思言 女 101540103127 130.50 76.80 71.03 1 吴江区 区档案馆(参照管理) 01 一级科员 1 卢斯怡 女 101000800219 131.20 73.80 69.70 2 吴江区 区档案馆(参照管理) 01 一级科员 1 张孟坤 女 101540200401 132.50 69.00 67.63 3 吴江区 同里镇机关 01 基层市场监管一级科员 1 顾晓敏 女 303091104514 141.00 76.30 73.40 1 吴江区 同里镇机关 01 基层市场监管一级科员 1 孙洁 女 303540302607 134.10 71.40 69.23 2 吴江区 同里镇机关 01 基层市场监管一级科员 1 相旭凌 女 303540303915 132.00 72.30 69.15 3 进入体检 进入体检 进入体检 进入体检 进入体检 进入体检 吴江区 同里镇机关 02 基层市场监管一级科员 1 吴奇 男 303540301108 127.80 缺考 吴江区 同里镇机关 02 基层市场监管一级科员 1 陈思远 男 303540300518 159.50 74.80 77.28 1 吴江区 同里镇机关 02 基层市场监管一级科员 1 蒋经纬 男 303540303729 135.10 75.00 71.28 2 吴江区 同里镇机关 03 基层市场监管一级科员 1 葛静 女 303540303520 140.10 缺考 吴江区 同里镇机关 03 基层市场监管一级科员 1 徐广令 女 303540304024 150.90 77.20 76.33 1 吴江区 同里镇机关 03 基层市场监管一级科员 1 张怡一 女 303540303802 147.00 72.70 73.10 2 吴江区 黎里镇机关 01 一级科员 1 徐子媚 女 303540302320 133.40 缺考 吴江区 黎里镇机关 01 一级科员 1 凌庆萍 女 303540303711 134.00 73.20 70.10 1 吴江区 黎里镇机关 01 一级科员 1 尹诗湉 女 303540300705 131.50 70.00 67.88 2 吴江区 黎里镇机关 02 一级科员 1 方春良 男 303540302904 142.40 71.00 71.10 1 吴江区 黎里镇机关 02 一级科员 1 杨张秋 男 303540302822 130.00 69.60 67.30 2 吴江区 黎里镇机关 02 一级科员 1 李杨 男 303540303616 122.80 67.00 64.20 3 吴江区 黎里镇机关 03 一级科员 1 万圆 女 303540301110 156.60 77.20 77.75 1 吴江区 黎里镇机关 03 一级科员 1 宋苏靖 女 303540304109 145.40 73.60 73.15 2 吴江区 黎里镇机关 03 一级科员 1 张静瑜 女 303540303411 148.10 72.00 73.03 3 吴江区 黎里镇机关 04 司法所一级科员 1 吴锦江 男 303001604421 136.70 缺考 吴江区 黎里镇机关 04 司法所一级科员 1 金峰 男 303540301116 128.90 缺考 吴江区 黎里镇机关 04 司法所一级科员 1 魏天琪 男 303540300927 137.80 70.60 69.75 1 进入体检 吴江区 黎里镇机关 05 基层市场监管一级科员 1 顾恒健 男 303540301305 145.10 77.70 75.13 1 进入体检 进入体检 进入体检 进入体检 进入体检 进入体检 吴江区 黎里镇机关 05 基层市场监管一级科员 1 陈缘 女 303540301009 145.90 75.10 74.03 2 吴江区 黎里镇机关 05 基层市场监管一级科员 1 刘一帆 男 303540301006 140.20 69.60 69.85 3 吴江区 黎里镇机关 06 基层市场监管一级科员 1 秦燕恬 女 303022105501 135.30 缺考 吴江区 黎里镇机关 06 基层市场监管一级科员 1 朱媚 女 303540301802 136.30 81.00 74.58 1 吴江区 黎里镇机关 06 基层市场监管一级科员 1 周祎靖 女 303540302926 135.90 74.40 71.18 2 吴江区 黎里镇机关 07 基层市场监管一级科员 1 陆正强 男 303540302223 139.80 75.70 72.80 1 吴江区 黎里镇机关 07 基层市场监管一级科员 1 陆豪 男 303540303301 140.10 73.00 71.53 2 吴江区 黎里镇机关 07 基层市场监管一级科员 1 徐晔 男 303540300524 140.70 67.80 69.08 3 吴江区 黎里镇机关 90 一级科员 1 施源 女 303540301609 142.60 74.20 72.75 1 吴江区 黎里镇机关 90 一级科员 1 彭剑 男 303540301013 130.40 77.10 71.15 2 吴江区 黎里镇机关 90 一级科员 1 沈杰 男 303540300519 127.40 66.30 65.00 3 吴江区 盛泽镇机关 01 一级科员 1 周靖 女 303540302722 143.50 79.34 75.55 1 吴江区 盛泽镇机关 01 一级科员 1 王芸 女 303540300329 141.00 76.64 73.57 2 吴江区 盛泽镇机关 01 一级科员 1 沈雯 女 303540302313 142.50 67.60 69.43 3 吴江区 盛泽镇机关 02 一级科员 1 张小荷 女 303540301916 142.20 75.20 73.15 1 吴江区 盛泽镇机关 02 一级科员 1 陈慧如 女 303001604202 136.10 74.60 71.33 2 吴江区 盛泽镇机关 02 一级科员 1 张蕾 女 303540301011 138.40 72.40 70.80 3 吴江区 盛泽镇机关 03 基层市场监管一级科员 1 陈鲁 男 303540302330 147.10 74.40 73.98 1 吴江区 盛泽镇机关 03 基层市场监管一级科员 1 庄舒青 男 303100805213 144.30 72.36 72.26 2 进入体检 进入体检 进入体检 进入体检 进入体检 进入体检 吴江区 盛泽镇机关 03 基层市场监管一级科员 1 陈振亚 男 303033203622 142.00 69.74 70.37 3 吴江区 盛泽镇机关 04 基层市场监管一级科员 1 钟健 男 303540301410 147.60 74.58 74.19 1 吴江区 盛泽镇机关 04 基层市场监管一级科员 1 邓芳 女 303001606605 143.60 75.92 73.86 2 吴江区 盛泽镇机关 04 基层市场监管一级科员 1 刘涛 男 303540303603 142.10 75.80 73.43 3 吴江区 盛泽镇机关 90 一级科员 1 沈晨斌 男 303540302128 127.90 78.42 71.19 1 吴江区 盛泽镇机关 90 一级科员 1 缪鹏 男 303001605924 131.70 73.80 69.83 2 吴江区 盛泽镇机关 90 一级科员 1 李思慧 女 303540302719 126.20 73.06 68.08 3 吴江区 东太湖旅游度假区管委会 01 基层市场监管一级科员 1 朱俊杰 男 303540301616 146.60 75.40 74.35 1 吴江区 东太湖旅游度假区管委会 01 基层市场监管一级科员 1 尤吉 男 303540301115 144.90 75.40 73.93 2 吴江区 东太湖旅游度假区管委会 01 基层市场监管一级科员 1 周明园 男 303540301824 147.70 68.60 71.23 3 吴江区 东太湖旅游度假区管委会 90 基层市场监管一级科员 1 邱汉峰 男 303540302810 131.70 74.70 70.28 1 吴江区 东太湖旅游度假区管委会 90 基层市场监管一级科员 1 费梦佳 男 303540300316 124.00 73.80 67.90 2 吴江区 东太湖旅游度假区管委会 90 基层市场监管一级科员 1 潘晓峰 男 303540301326 125.20 72.10 67.35 3 吴江区 七都镇机关 01 基层市场监管一级科员 1 温鸿斌 男 303001601221 144.20 70.60 71.35 1 吴江区 七都镇机关 01 基层市场监管一级科员 1 李佳佳 女 303001605124 139.50 65.30 67.53 2 吴江区 七都镇机关 01 基层市场监管一级科员 1 金霜叶 女 303540300805 136.10 64.60 66.33 3 吴江区 桃源镇机关 01 司法所一级科员 1 潘晓华 女 303540302426 128.00 76.70 70.35 1 吴江区 桃源镇机关 01 司法所一级科员 1 吴霞 女 303540303724 133.10 72.80 69.68 2 吴江区 桃源镇机关 01 司法所一级科员 1 唐琦逸 女 303540301525 131.20 72.60 69.10 3 进入体检 进入体检 进入体检 进入体检 进入体检 进入体检 吴江区 桃源镇机关 02 基层市场监管一级科员 1 颜倚天 男 303540302604 145.20 73.40 73.00 1 吴江区 桃源镇机关 02 基层市场监管一级科员 1 章晓云 男 303540303812 141.70 74.90 72.88 2 吴江区 桃源镇机关 02 基层市场监管一级科员 1 周忻予 男 303540301029 142.70 72.90 72.13 3 吴江区 震泽镇机关 01 基层市场监管一级科员 1 潘诗怡 女 303540302727 127.60 74.70 69.25 1 吴江区 震泽镇机关 01 基层市场监管一级科员 1 庄纯瑜 女 303540302816 128.50 72.00 68.13 2 吴江区 震泽镇机关 01 基层市场监管一级科员 1 茅婷婷 女 303540301007 129.10 69.20 66.88 3 吴江区 平望镇机关 01 司法所一级科员 1 袁浩 男 303540303821 130.80 缺考 吴江区 平望镇机关 01 司法所一级科员 1 窦亚庆 男 303540301508 142.00 70.90 70.95 1 吴江区 平望镇机关 01 司法所一级科员 1 郝一凡 男 303540301716 131.90 75.60 70.78 2 吴江区 平望镇机关 90 基层市场监管一级科员 1 罗骏 男 303540302022 140.70 78.10 74.23 1 吴江区 平望镇机关 90 基层市场监管一级科员 1 陈子健 男 303130808526 140.40 73.86 72.03 2 吴江区 平望镇机关 90 基层市场监管一级科员 1 侯雪原 女 303111102315 125.10 68.60 65.58 3 吴江区 江陵街道办事处 01 司法所一级科员 1 王赵欣 女 303540301928 151.50 79.10 77.43 1 吴江区 江陵街道办事处 01 司法所一级科员 1 李莹莹 女 303540303924 134.40 74.90 71.05 2 吴江区 江陵街道办事处 01 司法所一级科员 1 金诗凡 女 303540301026 136.20 70.90 69.50 3 吴江区 横扇街道办事处 01 司法所一级科员 1 张文杰 男 303540302413 119.70 72.20 66.03 1 吴江区 横扇街道办事处 01 司法所一级科员 1 雷桐 男 303540302412 114.10 68.60 62.83 2 常熟市 市发改委 01 一级科员 1 王百川 男 101510110109 140.40 63.20 66.70 2 常熟市 市发改委 01 一级科员 1 张莹莹 女 101070107126 137.20 71.40 70.00 1 进入体检 进入体检 进入体检 进入体检 进入体检 进入体检 进入体检 常熟市 市发改委 01 一级科员 1 刘明珠 女 101510102626 136.80 缺考 常熟市 市发改委 02 一级科员 1 李炳秋 男 101000606516 142.70 77.60 74.48 1 常熟市 市发改委 02 一级科员 1 王颖琪 女 101510103314 139.60 67.20 68.50 3 常熟市 市发改委 02 一级科员 1 汤文娟 女 101510108902 138.90 77.40 73.43 2 常熟市 市工信局 01 一级科员 1 钱阳 男 101510104821 140.00 77.10 73.55 1 常熟市 市工信局 01 一级科员 1 李建章 男 101510108429 133.90 57.40 常熟市 市工信局 01 一级科员 1 苏婧杨 女 101510106502 133.30 79.50 73.08 2 常熟市 市工信局 02 一级科员 1 徐诗音 女 101510109612 139.30 71.00 70.33 1 常熟市 市工信局 02 一级科员 1 陈滢冰 女 101510108730 138.70 68.06 68.71 3 常熟市 市工信局 02 一级科员 1 邹英子 女 101510104804 134.20 71.00 69.05 2 常熟市 市科技局 01 一级科员 1 李寒 女 101510102405 144.00 74.14 73.07 1 常熟市 市科技局 01 一级科员 1 刘洋 女 101510107019 142.60 72.64 71.97 2 常熟市 市科技局 01 一级科员 1 韦雄骅 男 101510100804 138.30 64.80 66.98 3 常熟市 市财政局 01 1 徐建 男 101510108706 133.10 72.94 69.75 1 常熟市 市财政局 01 1 钱宇杰 男 101510100805 128.40 73.80 69.00 2 常熟市 市财政局 01 1 汪劲 男 101510101910 126.80 67.00 65.20 3 常熟市 市财政局 02 1 马亦君 女 101510108024 139.00 74.12 71.81 1 常熟市 市财政局 02 1 吴玥 女 101510105417 136.60 70.48 69.39 2 常熟市 市财政局 02 财政稽查大队一级科员( 参照管理) 财政稽查大队一级科员( 参照管理) 财政稽查大队一级科员( 参照管理) 财政稽查大队一级科员( 参照管理) 财政稽查大队一级科员( 参照管理) 财政稽查大队一级科员( 参照管理) 1 姚心怡 女 101510106828 135.00 67.60 67.55 3 进入体检 进入体检 进入体检 进入体检 进入体检 进入体检 人力资源管理服务中心一 级科员(参照管理) 人力资源管理服务中心一 级科员(参照管理) 人力资源管理服务中心一 级科员(参照管理) 社保中心一级科员(参照 管理) 社保中心一级科员(参照 管理) 社保中心一级科员(参照 管理) 社保中心一级科员(参照 管理) 社保中心一级科员(参照 管理) 社保中心一级科员(参照 管理) 社保中心一级科员(参照 管理) 社保中心一级科员(参照 管理) 社保中心一级科员(参照 管理) 社保中心一级科员(参照 管理) 社保中心一级科员(参照 管理) 社保中心一级科员(参照 管理) 社保中心一级科员(参照 管理) 1 任波 男 101510102327 131.90 73.40 69.68 1 1 周晨筱 女 101510100902 129.80 72.40 68.65 2 1 姚芳婷 女 101510101129 129.40 69.70 67.20 3 1 曹正毅 男 101510103902 142.50 74.20 72.73 1 1 孙海涛 男 101510101505 140.40 27.50 1 叶超峰 男 101510102014 140.40 70.36 70.28 2 1 孙仪凡 女 101510107330 138.80 74.80 72.10 1 1 杨帆 女 101510107206 138.70 74.70 72.03 2 1 叶璐 女 101510101425 137.70 68.30 68.58 3 1 高星 女 101510106308 136.90 72.10 70.28 1 1 陶琦 女 101510100315 136.10 72.36 70.21 2 1 曹颖叶 女 101510103414 134.10 69.86 68.46 3 1 李文韬 男 101510107215 125.00 70.16 66.33 1 1 袁豪 男 101510102401 123.30 71.00 66.33 2 1 朱许君 男 101510102915 122.80 68.90 65.15 3 1 马静雯 女 101510102321 115.90 70.00 63.98 1 进入体检 01 一级科员 1 蔡霈 男 101510104525 135.10 70.40 68.98 1 进入体检 常熟市 市资源规划局 01 一级科员 1 陶子安 男 101000501316 130.60 72.20 68.75 2 常熟市 市资源规划局 01 一级科员 1 刘云峰 男 101110702523 130.40 72.20 68.70 3 常熟市 市人社局 01 常熟市 市人社局 01 常熟市 市人社局 01 常熟市 市人社局 02 常熟市 市人社局 02 常熟市 市人社局 02 常熟市 市人社局 03 常熟市 市人社局 03 常熟市 市人社局 03 常熟市 市人社局 04 常熟市 市人社局 04 常熟市 市人社局 04 常熟市 市人社局 90 常熟市 市人社局 90 常熟市 市人社局 90 常熟市 市人社局 91 常熟市 市资源规划局 进入体检 进入体检 进入体检 进入体检 进入体检 常熟市 市资源规划局 01 一级科员 1 王婕 女 101510105113 130.40 72.20 68.70 4 常熟市 市资源规划局 02 一级科员 1 邵嘉怡 女 101510101411 136.30 73.50 70.83 2 常熟市 市资源规划局 02 一级科员 1 陈泓倩 女 101510103915 136.10 73.90 70.98 1 常熟市 市资源规划局 02 一级科员 1 徐冲 男 101080804127 135.10 64.60 66.08 3 常熟市 市资源规划局 03 1 赵泽天 男 101510104018 139.50 71.94 70.85 1 常熟市 市资源规划局 03 1 张旭升 男 101510102930 136.90 67.50 67.98 2 常熟市 市资源规划局 03 1 马晓煜 男 101510106212 135.30 67.52 67.59 3 常熟市 市资源规划局 04 1 顾肖依 女 101510106027 136.20 71.66 69.88 1 常熟市 市资源规划局 04 1 卢灵雁 女 101000600112 132.70 71.64 69.00 2 常熟市 市资源规划局 04 1 张昕妍 女 101510108421 130.40 71.30 68.25 3 常熟市 市资源规划局 05 1 盛宇清 女 101510101215 143.30 72.06 71.86 1 常熟市 市资源规划局 05 1 陆蓓 女 101510103928 131.80 68.80 67.35 3 常熟市 市资源规划局 05 1 刘雪平 女 101510107729 125.40 74.22 68.46 2 常熟市 市资源规划局 60 1 高艺伟 女 101030900919 141.40 缺考 常熟市 市资源规划局 60 1 张悦 女 101030302822 133.80 73.64 70.27 1 常熟市 市资源规划局 60 1 朱浩杰 男 101510106002 132.10 68.90 67.48 2 常熟市 市资源规划局 61 1 曹心悦 女 101510106328 131.30 68.10 66.88 1 常熟市 市资源规划局 61 1 刘福杰 女 101510101427 123.60 69.02 65.41 2 常熟市 市资源规划局 61 基层分局一级科员(参照 管理) 基层分局一级科员(参照 管理) 基层分局一级科员(参照 管理) 基层分局一级科员(参照 管理) 基层分局一级科员(参照 管理) 基层分局一级科员(参照 管理) 基层分局一级科员(参照 管理) 基层分局一级科员(参照 管理) 基层分局一级科员(参照 管理) 基层分局一级科员(参照 管理) 基层分局一级科员(参照 管理) 基层分局一级科员(参照 管理) 基层分局一级科员(参照 管理) 基层分局一级科员(参照 管理) 基层分局一级科员(参照 管理) 1 沈思琴 女 101510101522 122.90 缺考 进入体检 进入体检 进入体检 进入体检 进入体检 进入体检 基层分局一级科员(参照 管理) 基层分局一级科员(参照 管理) 基层分局一级科员(参照 管理) 1 俞金慧 女 101510109812 133.80 68.90 67.90 1 1 缪红 女 101510110217 127.50 66.60 65.18 2 1 陈晟 男 101510106227 123.90 66.50 64.23 3 01 一级科员 1 季飘婷 女 101510107722 137.10 69.72 69.14 2 常熟市 市住建局 01 一级科员 1 原聪搏 男 101510105802 136.60 74.32 71.31 1 常熟市 市住建局 01 一级科员 1 黄昊 女 101510104029 135.30 67.82 67.74 3 常熟市 市住建局 02 1 周礼兵 男 101510104006 129.80 74.40 69.65 1 常熟市 市住建局 02 1 过诚 男 101510103211 129.70 63.82 64.34 3 常熟市 市住建局 02 城市建设监察大队一级科 员(参照管理) 城市建设监察大队一级科 员(参照管理) 城市建设监察大队一级科 员(参照管理) 1 宋佳伟 男 101510110226 125.60 70.12 66.46 2 常熟市 市交通局 01 一级科员 2 武林 男 101030105014 142.60 71.40 71.35 1 常熟市 市交通局 01 一级科员 2 章若晨 男 101510102114 140.80 68.60 69.50 3 常熟市 市交通局 01 一级科员 2 张泽炜 男 101510103518 140.50 72.20 71.23 2 常熟市 市交通局 01 一级科员 2 季苏瑶 女 101060400118 140.10 68.30 69.18 4 常熟市 市交通局 01 一级科员 2 陶可儿 女 101510100504 138.30 69.10 69.13 5 常熟市 市水务局 01 一级科员 1 钱玉杰 男 101510103710 142.80 72.60 72.00 1 进入体检 常熟市 市水务局 01 一级科员 1 黎洋 男 101510101208 137.20 缺考 常熟市 市水务局 01 一级科员 1 秦畅 男 101510106927 135.40 缺考 常熟市 市水务局 02 一级科员 1 左宇琦 女 101510103914 140.50 73.20 71.73 1 进入体检 常熟市 市水务局 02 一级科员 1 刘星宇 女 101030104927 134.80 缺考 常熟市 市资源规划局 90 常熟市 市资源规划局 90 常熟市 市资源规划局 90 常熟市 市住建局 进入体检 进入体检 进入体检 进入体检 进入体检 常熟市 市水务局 02 一级科员 1 蒋姣 女 101000709804 130.70 68.40 66.88 3 常熟市 市水务局 02 一级科员 1 李真真 女 101001001321 130.70 70.00 67.68 2 常熟市 市农业农村局 01 1 郭婷 女 101000511121 138.50 72.24 70.75 2 常熟市 市农业农村局 01 1 刘莎 女 101001000215 138.10 70.14 69.60 3 常熟市 市农业农村局 01 1 刘翘楚 女 101000505317 137.20 73.86 71.23 1 进入体检 常熟市 市文广旅局 01 1 陈小凡 男 202510200621 127.80 70.00 66.95 1 进入体检 常熟市 市文广旅局 01 1 李健保 男 202510203020 114.50 缺考 常熟市 市文广旅局 01 1 张凯成 男 202510201125 106.30 63.50 58.33 2 常熟市 市卫健委 01 1 沈彤 男 202510200715 133.30 65.24 65.95 2 常熟市 市卫健委 01 1 杨之毅 男 202510201114 132.40 71.34 68.77 1 常熟市 市卫健委 01 农村经营管理指导站一级 科员(参照管理) 农村经营管理指导站一级 科员(参照管理) 农村经营管理指导站一级 科员(参照管理) 文化市场综合执法大队一 级行政执法员(参照管理 ) 文化市场综合执法大队一 级行政执法员(参照管理 ) 文化市场综合执法大队一 级行政执法员(参照管理 ) 卫生监督所一级行政执法 员(参照管理) 卫生监督所一级行政执法 员(参照管理) 卫生监督所一级行政执法 员(参照管理) 1 鲁纪元 男 202032501505 128.30 缺考 常熟市 市审计局 01 一级科员 1 狄文冬 男 101510101906 132.30 71.00 68.58 2 常熟市 市审计局 01 一级科员 1 谭育成 男 101510109319 132.20 72.28 69.19 1 进入体检 常熟市 市审计局 01 一级科员 1 张学晨 男 101510105012 128.80 54.82 常熟市 市审计局 02 一级科员 1 王天歌 女 101510110428 147.50 77.14 75.45 1 进入体检 常熟市 市审计局 02 一级科员 1 范紫仪 女 101510102910 136.60 68.20 68.25 3 常熟市 市审计局 02 一级科员 1 周钰雯 女 101510101901 136.40 75.42 71.81 2 常熟市 市审计局 03 一级科员 1 孙颖杰 女 101000407301 132.10 67.90 66.98 3 常熟市 市审计局 03 一级科员 1 夏怡菲 女 101510108101 131.40 73.66 69.68 1 进入体检 进入体检 常熟市 市审计局 03 一级科员 1 戴城 女 101510103814 129.80 71.66 68.28 2 常熟市 市市场监管局 01 一级行政执法员 1 沈洁 女 202510200118 143.60 70.90 71.35 1 常熟市 市市场监管局 01 一级行政执法员 1 霍医国 女 202090700828 138.20 69.10 69.10 3 常熟市 市市场监管局 01 一级行政执法员 1 朱晓妍 女 202510201925 135.50 71.80 69.78 2 常熟市 市市场监管局 02 一级行政执法员 1 张哲 男 202510203315 135.60 69.80 68.80 3 常熟市 市市场监管局 02 一级行政执法员 1 吴顺 男 202510201904 134.40 72.50 69.85 2 常熟市 市市场监管局 02 一级行政执法员 1 邹晓 男 202510203324 134.20 73.00 70.05 1 进入体检 常熟市 市市场监管局 03 一级行政执法员 1 王金逸 男 202510201802 136.40 71.70 69.95 1 进入体检 常熟市 市市场监管局 03 一级行政执法员 1 王笑寒 男 202111000723 135.60 68.30 68.05 2 常熟市 市市场监管局 03 一级行政执法员 1 刘欣悦 女 202510200203 133.60 68.30 67.55 3 常熟市 市市场监管局 04 一级行政执法员 1 陈少逸 男 202510202208 133.10 72.10 69.33 1 常熟市 市市场监管局 04 一级行政执法员 1 陆剑阳 男 202510202324 132.90 66.10 66.28 2 常熟市 市市场监管局 04 一级行政执法员 1 陆子豪 男 202510200519 132.00 53.00 常熟市 市市场监管局 05 一级行政执法员 1 于京梅 女 202001300313 138.30 69.60 69.38 2 常熟市 市市场监管局 05 一级行政执法员 1 栾晓飞 女 202070701318 136.20 69.80 68.95 3 常熟市 市市场监管局 05 一级行政执法员 1 陆丹婷 女 202510202407 135.90 74.00 70.98 1 进入体检 常熟市 市市场监管局 06 1 陈启航 男 202510200608 130.10 67.20 66.13 1 进入体检 常熟市 市市场监管局 06 1 颜子昂 男 202510203330 122.60 66.50 63.90 3 常熟市 市市场监管局 06 1 钱逸鑫 男 202510202220 122.50 67.70 64.48 2 质量技术监督稽查大队一 级行政执法员(参照管理 ) 质量技术监督稽查大队一 级行政执法员(参照管理 ) 质量技术监督稽查大队一 级行政执法员(参照管理 ) 进入体检 进入体检 常熟市 市市场监管局 07 常熟市 市市场监管局 07 常熟市 市市场监管局 07 常熟市 市应急局 01 质量技术监督稽查大队一 级行政执法员(参照管理 ) 质量技术监督稽查大队一 级行政执法员(参照管理 ) 质量技术监督稽查大队一 级行政执法员(参照管理 ) 一级行政执法员 常熟市 市应急局 01 常熟市 市应急局 1 史云姣 女 202510202012 135.40 73.72 70.71 1 1 阮思喻 男 202001300610 132.70 72.90 69.63 2 1 向宏明 男 202040604619 129.10 72.84 68.70 3 1 曹丽珠 女 202510202321 135.80 76.40 72.15 1 一级行政执法员 1 华明昀 女 202510200827 135.30 73.50 70.58 2 01 一级行政执法员 1 杨颖佳 女 202510203306 133.50 67.20 66.98 3 常熟市 市应急局 02 2 张玮 男 202510201323 136.10 75.36 71.71 1 进入体检 常熟市 市应急局 02 2 王康健 男 202510200704 126.40 73.80 68.50 2 进入体检 常熟市 市应急局 02 2 周俊枫 男 202510202026 125.10 68.46 65.51 5 常熟市 市应急局 02 2 邱燚锋 男 202510203210 125.10 72.92 67.74 4 常熟市 市应急局 02 2 朱凯新 男 202510201011 123.50 63.90 62.83 6 常熟市 市应急局 02 2 蔡正聪 男 202510200619 123.40 74.50 68.10 3 常熟市 市应急局 03 1 徐嘉炜 男 202510202427 133.70 72.40 69.63 3 常熟市 市应急局 03 1 潘加祺 男 202510200213 133.20 73.56 70.08 2 常熟市 市应急局 03 1 沈俊 男 202510200422 130.30 75.26 70.21 1 进入体检 常熟市 市应急局 04 1 黄东 男 202510202730 125.30 71.96 67.31 1 进入体检 常熟市 市应急局 04 1 朱强强 男 202510202329 123.40 70.66 66.18 2 常熟市 市应急局 04 1 蔡宇 男 202510200223 120.70 71.48 65.92 3 常熟市 市应急局 05 安全生产监察大队一级行 政执法员(参照管理) 安全生产监察大队一级行 政执法员(参照管理) 安全生产监察大队一级行 政执法员(参照管理) 安全生产监察大队一级行 政执法员(参照管理) 安全生产监察大队一级行 政执法员(参照管理) 安全生产监察大队一级行 政执法员(参照管理) 安全生产监察大队一级行 政执法员(参照管理) 安全生产监察大队一级行 政执法员(参照管理) 安全生产监察大队一级行 政执法员(参照管理) 安全生产监察大队一级行 政执法员(参照管理) 安全生产监察大队一级行 政执法员(参照管理) 安全生产监察大队一级行 政执法员(参照管理) 安全生产监察大队一级行 政执法员(参照管理) 2 顾一凡 男 202510202003 139.90 68.62 69.29 3 进入体检 进入体检 安全生产监察大队一级行 政执法员(参照管理) 安全生产监察大队一级行 政执法员(参照管理) 安全生产监察大队一级行 政执法员(参照管理) 安全生产监察大队一级行 政执法员(参照管理) 安全生产监察大队一级行 政执法员(参照管理) 安全生产监察大队一级行 政执法员(参照管理) 安全生产监察大队一级行 政执法员(参照管理) 安全生产监察大队一级行 政执法员(参照管理) 2 朱安荻 男 202510202725 133.80 69.58 68.24 4 2 戴敏达 男 202510200809 132.30 65.76 65.96 5 2 姚顺杰 男 202001205426 131.80 73.76 69.83 2 进入体检 2 杨阳 男 202510202006 131.40 缺考 2 庞湃枫 男 202510200429 130.80 76.80 71.10 1 进入体检 1 包易成 男 202001305711 142.90 70.62 71.04 1 进入体检 1 裴建建 男 202001301107 130.50 71.48 68.37 2 1 叶晶 女 202001304717 127.20 69.52 66.56 3 01 一级科员 1 张建伟 男 101510110009 135.30 64.46 66.06 3 常熟市 市金融监管局 01 一级科员 1 孟祥发 男 101031200217 134.40 72.62 69.91 1 常熟市 市金融监管局 01 一级科员 1 谷海星 男 101510102326 132.70 72.44 69.40 2 常熟市 市金融监管局 02 一级科员 1 崔玉琳 女 101510101211 138.60 缺考 常熟市 市金融监管局 02 一级科员 1 李颜渝 女 101510100529 136.30 缺考 常熟市 市金融监管局 02 一级科员 1 丁畅 女 101000610628 132.30 69.08 67.62 1 进入体检 常熟市 市医保局 01 一级科员 1 唐怡玲 女 101510104722 138.10 71.20 70.13 1 进入体检 常熟市 市医保局 01 一级科员 1 陆怡霜 女 101510102002 135.30 69.80 68.73 2 常熟市 市医保局 01 一级科员 1 韩靓如 女 101510104227 132.10 68.12 67.09 3 常熟市 市医保局 02 一级科员 1 蒋馨怡 女 101000502723 145.90 67.54 70.25 1 常熟市 市医保局 02 一级科员 1 凌佳胤 女 101510100821 135.00 65.72 66.61 2 常熟市 市应急局 05 常熟市 市应急局 05 常熟市 市应急局 05 常熟市 市应急局 05 常熟市 市应急局 05 常熟市 市应急局 60 常熟市 市应急局 60 常熟市 市应急局 60 常熟市 市金融监管局 进入体检 进入体检 常熟市 市医保局 02 一级科员 1 李雪妍 女 101510103230 134.30 63.90 65.53 3 常熟市 市供销社(参照管理) 01 一级科员 1 顾佳强 男 101510107811 146.20 65.94 69.52 3 常熟市 市供销社(参照管理) 01 一级科员 1 金永伟 男 101510102124 141.40 77.50 74.10 1 常熟市 市供销社(参照管理) 01 一级科员 1 冯岩 男 101510101720 133.70 72.44 69.65 2 常熟市 市供销社(参照管理) 02 一级科员 1 季雨昕 女 101510106719 145.70 72.20 72.53 1 常熟市 市供销社(参照管理) 02 一级科员 1 钱宸 女 101510103019 139.80 68.88 69.39 3 常熟市 市供销社(参照管理) 02 一级科员 1 潘怡缘 女 101510108508 139.60 69.08 69.44 2 常熟市 市城管局 01 1 钱涛 男 202510200703 137.70 73.70 71.28 1 常熟市 市城管局 01 1 花启峰 男 202510201305 132.70 71.70 69.03 2 常熟市 市城管局 01 1 沈逸帆 男 202510201916 131.80 66.60 66.25 3 常熟市 市城管局 02 1 周圣嘉 男 202510201502 131.10 71.40 68.48 2 常熟市 市城管局 02 1 潘士卫 男 202510201912 128.80 缺考 常熟市 市城管局 02 1 叶枝啸 男 202510200930 126.70 74.50 68.93 1 常熟市 市城管局 03 1 宋鹏挺 男 202510203416 133.10 73.00 69.78 2 常熟市 市城管局 03 1 彭辉 男 202001302817 130.40 76.00 70.60 1 常熟市 市城管局 03 1 杜林航 男 202510202228 129.40 69.30 67.00 3 常熟市 市城管局 60 1 沈双盈 女 202510202110 139.30 70.10 69.88 1 常熟市 市城管局 60 1 齐玉玲 女 202100608203 131.60 72.20 69.00 2 常熟市 市城管局 60 城管执法大队一级行政执 法员(参照管理) 城管执法大队一级行政执 法员(参照管理) 城管执法大队一级行政执 法员(参照管理) 城管执法大队一级行政执 法员(参照管理) 城管执法大队一级行政执 法员(参照管理) 城管执法大队一级行政执 法员(参照管理) 城管执法大队一级行政执 法员(参照管理) 城管执法大队一级行政执 法员(参照管理) 城管执法大队一级行政执 法员(参照管理) 城管执法大队一级行政执 法员(参照管理) 城管执法大队一级行政执 法员(参照管理) 城管执法大队一级行政执 法员(参照管理) 1 祝怡倩 女 202510201909 126.60 72.10 67.70 3 进入体检 进入体检 进入体检 进入体检 进入体检 进入体检 城管执法大队一级行政执 法员(参照管理) 城管执法大队一级行政执 法员(参照管理) 城管执法大队一级行政执 法员(参照管理) 城管执法大队一级行政执 法员(参照管理) 城管执法大队一级行政执 法员(参照管理) 城管执法大队一级行政执 法员(参照管理) 2 顾明月 女 202510201425 123.90 77.00 69.48 1 进入体检 2 徐千雪 女 202510201827 121.60 70.60 65.70 2 进入体检 2 苏榕 男 202510202425 121.10 70.00 65.28 4 2 范兆宇 男 202510202614 116.90 72.20 65.33 3 2 吕梦梦 女 202081104516 114.60 70.80 64.05 5 2 丰澄珠 女 202510203214 114.50 68.50 62.88 6 01 一级科员 1 沈亚秋 女 101510101015 138.00 67.46 68.23 2 01 一级科员 1 周贝贝 女 101100100412 137.80 66.08 67.49 3 01 一级科员 1 孙丽娟 女 101510106229 137.10 70.44 69.50 1 进入体检 02 一级科员 1 李慧 女 101510101704 141.10 67.86 69.21 1 进入体检 02 一级科员 1 袁琴 女 101510100613 134.20 71.22 69.16 2 02 一级科员 1 汤静怡 女 101510104515 131.40 72.18 68.94 3 常熟市 市委宣传部 01 一级科员 1 高禹 男 101510108327 143.40 72.90 72.30 1 常熟市 市委宣传部 01 一级科员 1 薛璐 女 101510102123 134.50 69.60 68.43 2 常熟市 市委宣传部 01 一级科员 1 王智源 男 101510110114 128.20 67.30 65.70 3 常熟市 市委宣传部 02 一级科员 1 徐鹏 男 101000503930 136.30 缺考 常熟市 市委宣传部 02 一级科员 1 祝贵君 男 101510102720 133.50 70.40 68.58 1 常熟市 市委宣传部 02 一级科员 1 沈虤 男 101510108126 132.20 70.90 68.50 2 常熟市 市委宣传部 03 一级科员 1 张紫薇 女 101060100113 138.70 73.90 71.63 1 常熟市 市城管局 90 常熟市 市城管局 90 常熟市 市城管局 90 常熟市 市城管局 90 常熟市 市城管局 90 常熟市 市城管局 90 常熟市 常熟市 常熟市 常熟市 常熟市 常熟市 常熟虞山文化旅游度假区 管理办公室 常熟虞山文化旅游度假区 管理办公室 常熟虞山文化旅游度假区 管理办公室 常熟虞山文化旅游度假区 管理办公室 常熟虞山文化旅游度假区 管理办公室 常熟虞山文化旅游度假区 管理办公室 进入体检 进入体检 进入体检 常熟市 市委宣传部 03 一级科员 1 陈天颖 女 101060108312 130.30 缺考 常熟市 市委宣传部 03 一级科员 1 邹孝恒 女 101510107815 128.10 67.90 65.98 2 常熟市 市委统战部 01 一级科员 1 邵静 女 101510103713 139.50 70.90 70.33 1 常熟市 市委统战部 01 一级科员 1 张佳雯 女 101510107816 137.80 71.70 70.30 2 常熟市 市委统战部 01 一级科员 1 陈晨 女 101510104415 136.40 70.00 69.10 3 常熟市 市委统战部 02 1 殷凯妍 女 101510101917 140.90 73.20 71.83 1 常熟市 市委统战部 02 1 毛晶晶 女 101510100718 139.80 68.30 69.10 2 常熟市 市委统战部 02 民主党派服务中心一级科 员(参照管理) 民主党派服务中心一级科 员(参照管理) 民主党派服务中心一级科 员(参照管理) 1 周忆倩 女 101510103214 138.90 68.00 68.73 3 常熟市 市委政法委 01 一级科员 1 施寅杰 男 101510110012 145.70 71.40 72.13 1 常熟市 市委政法委 01 一级科员 1 金晗昕 男 101510107825 139.50 71.36 70.56 2 常熟市 市委政法委 01 一级科员 1 金嵩 男 101510109526 137.30 70.90 69.78 3 常熟市 市委政法委 02 一级科员 1 张晓 女 101510102110 141.60 66.70 68.75 2 常熟市 市委政法委 02 一级科员 1 柳丹丹 女 101510108814 137.90 缺考 常熟市 市委政法委 02 一级科员 1 张晨昕 女 101510110119 135.90 75.50 71.73 1 进入体检 常熟市 市法院 01 司法警察 1 王瑞珍 女 202001300716 129.00 74.02 69.26 1 进入体检 常熟市 市法院 01 司法警察 1 蒋明翰 男 202510200919 120.00 72.34 66.17 2 常熟市 市法院 01 司法警察 1 曹佳佳 女 202001305525 119.80 68.18 64.04 3 常熟市 市法院 70 五级法官助理 3 邓家豪 男 101510110102 139.20 72.10 70.85 1 进入体检 常熟市 市法院 70 五级法官助理 3 徐超 男 101510102611 130.70 71.00 68.18 3 进入体检 进入体检 进入体检 进入体检 常熟市 市法院 70 五级法官助理 3 姜野 男 101510108626 127.50 74.40 69.08 2 常熟市 市法院 70 五级法官助理 3 刘达 男 101510109002 125.70 57.00 常熟市 市法院 70 五级法官助理 3 曹宇 男 101510105115 118.50 64.00 61.63 8 常熟市 市法院 70 五级法官助理 3 王凯杰 男 101510103618 118.40 67.60 63.40 6 常熟市 市法院 70 五级法官助理 3 程龙 男 101510104009 118.40 66.90 63.05 7 常熟市 市法院 70 五级法官助理 3 徐少华 男 101510109725 118.00 74.10 66.55 4 常熟市 市法院 70 五级法官助理 3 阮方 男 101510109010 114.20 69.90 63.50 5 常熟市 市法院 71 五级法官助理 1 陈仪茜 女 101510108109 137.50 73.10 70.93 1 常熟市 市法院 71 五级法官助理 1 花之璇 女 101510106329 134.20 67.60 67.35 3 常熟市 市法院 71 五级法官助理 1 张奇 女 101001000322 133.90 70.70 68.83 2 常熟市 市检察院 01 一级科员 1 祝梦蝶 女 101510106422 138.80 69.30 69.35 3 常熟市 市检察院 01 一级科员 1 金梦晰 女 101510102715 135.80 75.80 71.85 1 常熟市 市检察院 01 一级科员 1 黄赟涵 女 101510103608 133.40 74.30 70.50 2 常熟市 市检察院 75 五级检察官助理 1 戴正 男 101510102923 133.30 78.80 72.73 1 常熟市 市检察院 75 五级检察官助理 1 吴海 男 101000706118 130.40 73.40 69.30 2 常熟市 市检察院 76 五级检察官助理 1 孙吉尔 女 101510107913 144.20 72.30 72.20 2 常熟市 市检察院 76 五级检察官助理 1 沈丽 女 101510107627 137.90 77.30 73.13 1 常熟市 市检察院 76 五级检察官助理 1 王家璐 女 101510109709 132.50 71.80 69.03 3 常熟市 团市委 60 一级科员 1 张成 女 101080601125 138.40 74.30 71.75 1 进入体检 进入体检 进入体检 进入体检 进入体检 进入体检 常熟市 团市委 60 一级科员 1 丁莹莹 女 101000413327 135.50 71.90 69.83 2 常熟市 团市委 60 一级科员 1 丛晓涵 女 101510102821 135.40 67.86 67.78 3 常熟市 市档案馆(参照管理) 01 一级科员 1 杨美琪 女 101100103028 143.70 73.24 72.55 1 常熟市 市档案馆(参照管理) 01 一级科员 1 戴颖玲 女 101510103129 133.70 74.32 70.59 2 常熟市 市档案馆(参照管理) 01 一级科员 1 姚佳苑 女 101510107819 131.20 64.66 65.13 3 常熟市 市委巡察办 01 一级科员 1 徐英子 女 101510108613 142.50 71.56 71.41 2 常熟市 市委巡察办 01 一级科员 1 顾哲铭 女 101510101627 141.90 74.02 72.49 1 常熟市 市委巡察办 01 一级科员 1 陈倩婷 女 101510109825 139.50 72.46 71.11 3 常熟市 市委巡察办 02 一级科员 1 姚晨 男 101510103002 134.00 74.06 70.53 1 常熟市 市委巡察办 02 一级科员 1 王轲 男 101000707415 133.10 68.50 67.53 3 常熟市 市委巡察办 02 一级科员 1 卢柏志 男 101000712021 132.00 70.60 68.30 2 常熟市 碧溪街道办事处 01 一级科员 1 徐璐 女 303510300923 136.10 66.10 67.08 3 常熟市 碧溪街道办事处 01 一级科员 1 钱忆晨 女 303510301511 134.30 67.90 67.53 1 常熟市 碧溪街道办事处 01 一级科员 1 汤冬瑜 女 303510307113 132.70 68.50 67.43 2 常熟市 碧溪街道办事处 02 一级科员 1 郭子敏 女 303022106627 133.50 67.66 67.21 3 常熟市 碧溪街道办事处 02 一级科员 1 胥怡哲 女 303510304619 131.70 70.90 68.38 2 常熟市 碧溪街道办事处 02 一级科员 1 杨冰冰 女 303510305601 130.30 72.44 68.80 1 进入体检 常熟市 碧溪街道办事处 90 一级科员 1 李奕文 男 303081502305 141.80 73.20 72.05 1 进入体检 常熟市 碧溪街道办事处 90 一级科员 1 周倩妮 女 303510300716 124.00 68.00 65.00 2 进入体检 进入体检 进入体检 进入体检 常熟市 碧溪街道办事处 90 一级科员 1 徐丹 女 303510302708 123.80 65.76 63.83 3 常熟市 东南街道办事处 01 一级科员 1 韦晓莲 女 303510300611 150.00 72.70 73.85 1 常熟市 东南街道办事处 01 一级科员 1 高澄 男 303510306121 149.10 69.80 72.18 2 常熟市 东南街道办事处 01 一级科员 1 张施超 男 303510301010 143.80 65.50 68.70 3 常熟市 东南街道办事处 02 一级科员 1 刘捷 男 303510306320 142.00 71.06 71.03 2 常熟市 东南街道办事处 02 一级科员 1 韩晓佳 男 303510304821 141.30 74.80 72.73 1 常熟市 东南街道办事处 02 一级科员 1 张家权 男 303510304307 139.30 70.50 70.08 3 常熟市 梅李镇机关 01 一级科员 1 张鑫浩 男 303510302124 142.40 75.20 73.20 2 常熟市 梅李镇机关 01 一级科员 1 杨晓澄 男 303510303504 142.20 76.00 73.55 1 常熟市 梅李镇机关 01 一级科员 1 金雨航 男 303510302220 140.30 71.50 70.83 3 常熟市 梅李镇机关 02 一级科员 1 王璞 女 303510306125 144.80 77.60 75.00 1 常熟市 梅李镇机关 02 一级科员 1 沈悦涵 女 303510302315 139.20 70.80 70.20 2 常熟市 梅李镇机关 02 一级科员 1 邹丽娟 女 303033502905 139.00 70.30 69.90 3 常熟市 海虞镇机关 01 一级科员 1 陈明明 女 303510303124 140.00 65.20 67.60 3 常熟市 海虞镇机关 01 一级科员 1 王叶贝 女 303510302303 138.10 68.64 68.85 2 常熟市 海虞镇机关 01 一级科员 1 桑爱梅 女 303510306927 137.10 73.90 71.23 1 进入体检 常熟市 海虞镇机关 02 一级科员 1 季崟斐 女 303510302127 145.50 72.80 72.78 1 进入体检 常熟市 海虞镇机关 02 一级科员 1 刘祥龙 男 303001604106 140.10 69.10 69.58 2 常熟市 海虞镇机关 02 一级科员 1 杨向荣 男 303510306801 139.80 63.80 66.85 3 进入体检 进入体检 进入体检 进入体检 常熟市 海虞镇机关 90 一级科员 1 顾裔 男 303510303325 140.70 72.20 71.28 1 常熟市 海虞镇机关 90 一级科员 1 袁楚楚 女 303033002216 139.50 70.60 70.18 2 常熟市 海虞镇机关 90 一级科员 1 孔颖 女 303091001719 120.60 64.80 62.55 3 常熟市 辛庄镇机关 01 一级科员 1 吕一航 男 303510303620 143.60 72.70 72.25 1 常熟市 辛庄镇机关 01 一级科员 1 徐进华 男 303510304218 142.40 69.06 70.13 2 常熟市 辛庄镇机关 01 一级科员 1 费佳益 男 303510301827 140.30 69.40 69.78 3 常熟市 辛庄镇机关 02 一级科员 1 徐辰雨 女 303510307125 143.30 66.00 68.83 3 常熟市 辛庄镇机关 02 一级科员 1 陈超 女 303510300717 143.10 71.90 71.73 2 常熟市 辛庄镇机关 02 一级科员 1 顾月娟 女 303510306319 140.20 75.74 72.92 1 进入体检 常熟市 辛庄镇机关 03 一级科员 1 朱梦晨 女 303510304121 140.70 71.12 70.74 1 进入体检 常熟市 辛庄镇机关 03 一级科员 1 邹文达 男 303510306808 132.90 70.04 68.25 2 常熟市 辛庄镇机关 03 一级科员 1 任良才 男 303510304105 131.50 68.80 67.28 3 常熟市 辛庄镇机关 90 一级科员 1 钱健 男 303510302323 130.10 67.44 66.25 2 常熟市 辛庄镇机关 90 一级科员 1 陈炫孔 男 303001702508 127.10 71.12 67.34 1 常熟市 辛庄镇机关 90 一级科员 1 谢顺杰 男 303510307024 120.40 70.28 65.24 3 常熟市 支塘镇机关 01 一级科员 1 鞠巧玉 女 303510306130 137.00 72.30 70.40 1 常熟市 支塘镇机关 01 一级科员 1 赵倩 女 303510303120 134.20 71.40 69.25 2 常熟市 支塘镇机关 01 一级科员 1 韩宇婷 女 303510302710 130.50 70.70 67.98 3 常熟市 支塘镇机关 02 一级科员 1 沈涛 男 303510307110 117.60 71.00 64.90 1 进入体检 进入体检 进入体检 进入体检 进入体检 常熟市 支塘镇机关 02 一级科员 1 胡子文 男 303510305230 117.20 65.20 61.90 2 常熟市 支塘镇机关 03 一级科员 1 钟癸源 男 303001603101 141.90 70.64 70.80 2 常熟市 支塘镇机关 03 一级科员 1 陈亮 男 303001700106 132.30 67.60 66.88 3 常熟市 支塘镇机关 03 一级科员 1 黄浦 男 303510306606 127.60 77.90 70.85 1 进入体检 常熟市 支塘镇机关 04 一级科员 1 晏时皓 女 303510307020 146.10 74.30 73.68 1 进入体检 常熟市 支塘镇机关 04 一级科员 1 宋晨榆 女 303061505314 137.90 22.70 常熟市 支塘镇机关 04 一级科员 1 陈珏 女 303510306216 132.60 67.50 66.90 2 常熟市 支塘镇机关 98 一级科员 1 陈晓雯 女 303510301917 105.80 67.60 60.25 1 进入体检 常熟市 尚湖镇机关 01 一级科员 1 吴娟 女 303510306015 141.60 74.20 72.50 1 进入体检 常熟市 尚湖镇机关 01 一级科员 1 方欣 女 303510303018 134.50 71.50 69.38 2 常熟市 尚湖镇机关 01 一级科员 1 闫发聪 女 303510305805 128.60 缺考 常熟市 尚湖镇机关 02 一级科员 1 沈金婷 女 303510301410 142.00 69.70 70.35 2 常熟市 尚湖镇机关 02 一级科员 1 邵志文 男 303510303715 140.30 71.30 70.73 1 常熟市 尚湖镇机关 02 一级科员 1 翁栗 女 303510304724 139.20 69.80 69.70 3 常熟市 尚湖镇机关 03 一级科员 1 周方俊 男 303001606714 140.00 72.70 71.35 1 常熟市 尚湖镇机关 03 一级科员 1 惠喆 男 303510305626 138.90 72.20 70.83 2 常熟市 尚湖镇机关 03 一级科员 1 王晓龙 男 303510306621 134.90 64.20 65.83 3 常熟市 尚湖镇机关 04 一级科员 1 周振琪 男 303510303411 143.70 70.00 70.93 2 常熟市 尚湖镇机关 04 一级科员 1 叶彧辛 男 303510305308 143.40 74.60 73.15 1 进入体检 进入体检 进入体检 常熟市 尚湖镇机关 04 一级科员 1 王凯晨 男 303510300928 136.70 72.00 70.18 3 常熟市 尚湖镇机关 98 一级科员 1 袁静 女 303510303602 115.00 69.60 63.55 1 常熟市 尚湖镇机关 98 一级科员 1 钱莉娜 女 303510305727 106.10 67.50 60.28 2 常熟市 尚湖镇机关 98 一级科员 1 薛晓 男 303510303509 104.30 64.70 58.43 3 常熟市 市下辖乡镇机关 01 司法所一级科员 1 归梦春 女 303510300630 130.50 74.90 70.08 1 常熟市 市下辖乡镇机关 01 司法所一级科员 1 顾瑜 女 303510301915 129.20 73.14 68.87 2 常熟市 市下辖乡镇机关 01 司法所一级科员 1 陈思怡 女 303510301614 125.90 72.30 67.63 3 常熟市 市下辖乡镇机关 02 司法所一级科员 1 邵乾 男 303510302110 129.30 72.82 68.74 1 常熟市 市下辖乡镇机关 02 司法所一级科员 1 李晓波 男 303510302226 128.30 71.30 67.73 2 常熟市 市下辖乡镇机关 02 司法所一级科员 1 黄晓雄 男 303510300924 127.40 69.00 66.35 3 常熟市 市下辖乡镇机关 03 财政分局(所)一级科员 2 朱佳丰 男 303510300408 148.50 65.70 69.98 3 常熟市 市下辖乡镇机关 03 财政分局(所)一级科员 2 陈俊杰 男 303510301211 145.80 68.10 70.50 2 进入体检 常熟市 市下辖乡镇机关 03 财政分局(所)一级科员 2 王亦圣 男 303510300426 143.30 69.50 70.58 1 进入体检 常熟市 市下辖乡镇机关 03 财政分局(所)一级科员 2 邵佳程 男 303510300608 141.10 65.90 68.23 6 常熟市 市下辖乡镇机关 03 财政分局(所)一级科员 2 王哲 男 303510306223 141.00 68.56 69.53 4 常熟市 市下辖乡镇机关 03 财政分局(所)一级科员 2 周任琪 男 303510304224 138.30 69.20 69.18 5 常熟市 市下辖乡镇机关 04 财政分局(所)一级科员 2 章佳悦 女 303510301923 147.80 73.70 73.80 1 进入体检 常熟市 市下辖乡镇机关 04 财政分局(所)一级科员 2 戴思家 女 303510301208 143.30 69.10 70.38 2 进入体检 常熟市 市下辖乡镇机关 04 财政分局(所)一级科员 2 顾雪花 女 303510303027 139.90 66.10 68.03 6 进入体检 进入体检 进入体检 常熟市 市下辖乡镇机关 04 财政分局(所)一级科员 2 李弌玚 女 303510301927 139.00 67.90 68.70 4 常熟市 市下辖乡镇机关 04 财政分局(所)一级科员 2 唐明雅 女 303510304528 137.90 71.60 70.28 3 常熟市 市下辖乡镇机关 04 财政分局(所)一级科员 2 卢晨昕 女 303510306502 137.20 68.30 68.45 5 常熟市 市下辖乡镇机关 05 基层市场监管一级科员 1 顾夏月 女 303510302730 136.80 69.74 69.07 3 常熟市 市下辖乡镇机关 05 基层市场监管一级科员 1 姚余佳 女 303510304303 135.20 70.70 69.15 2 常熟市 市下辖乡镇机关 05 基层市场监管一级科员 1 钱曦 女 303510305023 133.70 71.74 69.30 1 进入体检 常熟市 市下辖乡镇机关 06 基层市场监管一级科员 1 沈梦兰 女 303510302721 140.40 68.36 69.28 1 进入体检 常熟市 市下辖乡镇机关 06 基层市场监管一级科员 1 卢婧霞 女 303001601110 135.40 70.20 68.95 2 常熟市 市下辖乡镇机关 06 基层市场监管一级科员 1 王婷 女 303001605228 132.90 缺考 常熟市 市下辖乡镇机关 07 基层市场监管一级科员 2 王振羽 男 303510302509 143.90 73.80 72.88 1 常熟市 市下辖乡镇机关 07 基层市场监管一级科员 2 沈蕾 女 303510300315 142.20 71.70 71.40 3 常熟市 市下辖乡镇机关 07 基层市场监管一级科员 2 陈旻骁 女 303510301212 139.80 73.50 71.70 2 常熟市 市下辖乡镇机关 07 基层市场监管一级科员 2 施雨欣 女 303510305701 136.80 69.00 68.70 6 常熟市 市下辖乡镇机关 07 基层市场监管一级科员 2 张馨 女 303001603024 136.70 73.30 70.83 4 常熟市 市下辖乡镇机关 07 基层市场监管一级科员 2 孙陈洁 女 303510302722 136.50 72.60 70.43 5 常熟市 市下辖乡镇机关 08 基层市场监管一级科员 2 王嵘 男 303510302820 142.70 72.10 71.73 1 常熟市 市下辖乡镇机关 08 基层市场监管一级科员 2 陈雅琦 女 303001605828 139.40 70.90 70.30 3 常熟市 市下辖乡镇机关 08 基层市场监管一级科员 2 王鑫鑫 男 303510306229 138.70 72.26 70.81 2 常熟市 市下辖乡镇机关 08 基层市场监管一级科员 2 刘军子 男 303510302703 138.70 67.90 68.63 6 进入体检 进入体检 进入体检 进入体检 常熟市 市下辖乡镇机关 08 基层市场监管一级科员 2 张朦 男 303510306515 135.70 70.60 69.23 4 常熟市 市下辖乡镇机关 08 基层市场监管一级科员 2 蒋嘉顺 男 303100700911 135.70 70.46 69.16 5 常熟市 市下辖乡镇机关 09 基层市场监管一级科员 1 唐琴花 女 303510300623 138.50 71.70 70.48 1 常熟市 市下辖乡镇机关 09 基层市场监管一级科员 1 姜琳 女 303510301215 133.20 71.00 68.80 2 常熟市 市下辖乡镇机关 09 基层市场监管一级科员 1 刘畅 男 303510303727 132.00 70.60 68.30 3 常熟市 市下辖乡镇机关 10 基层市场监管一级科员 1 谢梓然 男 303510301023 148.80 79.50 76.95 1 常熟市 市下辖乡镇机关 10 基层市场监管一级科员 1 朱海洋 男 303510301928 140.80 71.40 70.90 2 常熟市 市下辖乡镇机关 10 基层市场监管一级科员 1 周子杰 男 303510301201 140.70 70.80 70.58 3 常熟市 市下辖乡镇机关 11 基层市场监管一级科员 1 朱慧彬 女 303510301709 141.20 74.80 72.70 1 常熟市 市下辖乡镇机关 11 基层市场监管一级科员 1 周南茜 女 303510301617 133.50 69.80 68.28 3 常熟市 市下辖乡镇机关 11 基层市场监管一级科员 1 钱怡 女 303510303720 131.90 72.00 68.98 2 常熟市 市下辖乡镇机关 12 基层市场监管一级科员 1 周润杰 男 303510301508 141.20 75.20 72.90 1 常熟市 市下辖乡镇机关 12 基层市场监管一级科员 1 任祎炜 男 303510300409 133.90 75.30 71.13 2 常熟市 市下辖乡镇机关 12 基层市场监管一级科员 1 杨丹 男 303510306820 126.20 73.10 68.10 3 常熟市 市下辖乡镇机关 13 基层市场监管一级科员 1 刘子恒 男 303510304130 143.20 69.60 70.60 3 常熟市 市下辖乡镇机关 13 基层市场监管一级科员 1 陆家耀 男 303510302028 141.70 73.70 72.28 2 常熟市 市下辖乡镇机关 13 基层市场监管一级科员 1 陆嘉诚 男 303510301622 140.80 77.00 73.70 1 进入体检 常熟市 市下辖乡镇机关 14 基层市场监管一级科员 1 唐梦倩 女 303510304019 139.60 75.20 72.50 1 进入体检 常熟市 市下辖乡镇机关 14 基层市场监管一级科员 1 沈逸芊 女 303510305804 136.80 72.40 70.40 2 进入体检 进入体检 进入体检 进入体检 常熟市 市下辖乡镇机关 14 基层市场监管一级科员 1 沈翌婷 女 303510301529 133.30 72.00 69.33 3 常熟市 市下辖乡镇机关 15 基层市场监管一级科员 1 钱军 男 303510301109 138.70 72.08 70.72 1 常熟市 市下辖乡镇机关 15 基层市场监管一级科员 1 沈刚 男 303510303315 132.10 69.86 67.96 2 常熟市 市下辖乡镇机关 15 基层市场监管一级科员 1 姚雨晨 男 303510304411 128.80 69.48 66.94 3 常熟市 市下辖乡镇机关 16 基层市场监管一级科员 1 徐煜宇 男 303510304823 144.80 72.28 72.34 1 常熟市 市下辖乡镇机关 16 基层市场监管一级科员 1 韩宜辰 男 303510304606 138.00 70.42 69.71 2 常熟市 市下辖乡镇机关 16 基层市场监管一级科员 1 陈凯 男 303510303802 137.60 69.74 69.27 3 常熟市 市下辖乡镇机关 60 基层市场监管一级科员 1 连浩哲 男 303510305720 151.70 缺考 常熟市 市下辖乡镇机关 60 基层市场监管一级科员 1 刘建军 男 303041000818 143.70 缺考 常熟市 市下辖乡镇机关 60 基层市场监管一级科员 1 高铭希 男 303001700607 143.40 66.26 68.98 1 进入体检 常熟市 市下辖乡镇机关 61 基层市场监管一级科员 2 顾逸如 女 303510305714 150.00 74.00 74.50 1 进入体检 常熟市 市下辖乡镇机关 61 基层市场监管一级科员 2 温佳妮 女 303510305902 137.40 74.00 71.35 2 进入体检 常熟市 市下辖乡镇机关 61 基层市场监管一级科员 2 孙运 女 303001601420 135.60 69.50 68.65 3 常熟市 市下辖乡镇机关 61 基层市场监管一级科员 2 周秦洵 女 303510303726 132.10 69.70 67.88 4 常熟市 市下辖乡镇机关 61 基层市场监管一级科员 2 顾晨阳 男 303091004830 131.10 66.80 66.18 6 常熟市 市下辖乡镇机关 61 基层市场监管一级科员 2 姜梦银 女 303111405112 127.80 70.30 67.10 5 常熟市 市下辖乡镇机关 90 基层市场监管一级科员 2 周晓芳 女 303510302107 137.90 74.20 71.58 1 进入体检 常熟市 市下辖乡镇机关 90 基层市场监管一级科员 2 张竞 男 303033000906 136.20 72.30 70.20 2 进入体检 常熟市 市下辖乡镇机关 90 基层市场监管一级科员 2 马小涯 女 303510302405 128.60 75.80 70.05 3 进入体检 进入体检 常熟市 市下辖乡镇机关 90 基层市场监管一级科员 2 谈洁 女 303510303025 125.20 77.30 69.95 4 常熟市 市下辖乡镇机关 90 基层市场监管一级科员 2 黄燕 女 303510304716 125.00 71.70 67.10 5 常熟市 市下辖乡镇机关 90 基层市场监管一级科员 2 李丽 女 303510301509 122.00 64.20 62.60 6 张家港 市 张家港 市 张家港 市 张家港 市 张家港 市 张家港 市 张家港 市 张家港 市 张家港 市 张家港 市 张家港 市 张家港 市 张家港 市 张家港 市 张家港 市 张家港 市 市应急管理局 01 一级行政执法员 1 栾超 男 202520203621 132.40 76.40 71.30 1 市应急管理局 01 一级行政执法员 1 钱艺 女 202520203718 130.80 73.40 69.40 2 市应急管理局 01 一级行政执法员 1 缪德载 男 202520204626 128.50 70.80 67.53 3 市应急管理局 02 一级行政执法员 1 袁宜信 男 202001303103 138.50 70.20 69.72 2 市应急管理局 02 一级行政执法员 1 张昊 男 202032400517 137.20 74.00 71.30 1 进入体检 市应急管理局 02 一级行政执法员 1 陈光硕 男 202032802125 131.50 缺考 市应急管理局 03 1 庄运 男 202520200804 119.90 73.40 66.67 1 进入体检 市应急管理局 03 1 陈天宇 男 202520201821 119.50 72.00 65.88 2 市应急管理局 03 1 邱恒 男 202520203014 118.40 68.40 63.80 3 市应急管理局 60 1 娄连琴 女 202520204414 128.10 75.80 69.92 1 市应急管理局 60 1 池梦婕 女 202520200427 124.40 缺考 市应急管理局 60 安全生产监察大队一级行 政执法员(参照管理) 安全生产监察大队一级行 政执法员(参照管理) 安全生产监察大队一级行 政执法员(参照管理) 安全生产监察大队一级行 政执法员(参照管理) 安全生产监察大队一级行 政执法员(参照管理) 安全生产监察大队一级行 政执法员(参照管理) 1 潘莘荟 女 202520204020 119.40 65.00 62.35 2 市公安局 01 相应职级警员 2 王喆 男 204081300630 59.63 67.20 63.41 1 市公安局 01 相应职级警员 2 季文逸 男 204021800306 58.89 65.80 62.34 3 市公安局 01 相应职级警员 2 严豪 男 204021800225 57.44 68.60 63.02 2 进入体检 市公安局 02 相应职级警员 1 甄鑫 男 204021808926 57.73 69.40 63.56 1 进入体检 进入体检 进入体检 进入体检 张家港 市 张家港 市 张家港 市 张家港 市 张家港 市 张家港 市 张家港 市 张家港 市 张家港 市 张家港 市 张家港 市 张家港 市 张家港 市 张家港 市 张家港 市 张家港 市 张家港 市 张家港 市 张家港 市 市公安局 03 相应职级警员 1 曹秋宇 女 204021805403 58.56 69.80 64.18 1 进入体检 市公安局 04 相应职级警员 2 施欣鑫 男 204021805503 67.03 68.00 67.52 2 进入体检 市公安局 04 相应职级警员 2 张滔 男 204021808009 64.95 75.40 70.17 1 进入体检 市公安局 04 相应职级警员 2 高航 男 204001500806 64.76 69.40 67.08 3 市公安局 04 相应职级警员 2 许明磊 男 204021806424 63.26 68.60 65.93 6 市公安局 04 相应职级警员 2 侯海容 男 204021803728 62.75 69.80 66.28 5 市公安局 04 相应职级警员 2 戚石林 男 204081306512 62.39 71.60 67.00 4 市公安局 05 相应职级警员 1 何洁 女 204021800910 68.25 69.00 68.63 3 市公安局 05 相应职级警员 1 张梦蝶 女 204021807518 66.51 72.60 69.56 2 市公安局 05 相应职级警员 1 陈芸 女 204021807310 65.91 74.40 70.16 1 市公安局 06 相应职级警员 3 刘壮 男 204021809603 64.08 67.20 65.64 5 市公安局 06 相应职级警员 3 苏晓林 男 204021807301 63.89 67.60 65.75 3 进入体检 市公安局 06 相应职级警员 3 金家瑶 男 204021803712 62.57 71.20 66.89 1 进入体检 市公安局 06 相应职级警员 3 项飞 男 204021808014 61.70 69.80 65.75 2 进入体检 市公安局 06 相应职级警员 3 黄嘉伟 男 204021800127 61.69 69.60 65.64 4 市公安局 06 相应职级警员 3 江峰 男 204021807412 60.35 64.20 62.27 7 市公安局 06 相应职级警员 3 蔡昊鹏 男 204001402319 60.15 缺考 市公安局 06 相应职级警员 3 樊阳 男 204021806826 59.38 66.60 62.99 6 市公安局 06 相应职级警员 3 卜一晨 男 204021808402 58.75 62.20 60.48 8 进入体检 张家港 市 张家港 市 张家港 市 张家港 市 张家港 市 张家港 市 张家港 市 张家港 市 张家港 市 张家港 市 张家港 市 张家港 市 张家港 市 张家港 市 张家港 市 张家港 市 张家港 市 张家港 市 张家港 市 市公安局 07 相应职级警员 2 姜家麒 男 204021806510 66.13 64.80 65.47 2 进入体检 市公安局 07 相应职级警员 2 高琪 男 204021801205 63.85 74.20 69.03 1 进入体检 市公安局 07 相应职级警员 2 常潇 男 204021803718 60.51 66.60 63.55 3 市公安局 07 相应职级警员 2 庞浩 男 204021800730 59.71 63.40 61.55 5 市公安局 07 相应职级警员 2 施理文 男 204021801817 59.70 64.80 62.25 4 市公安局 07 相应职级警员 2 徐天然 男 204021805924 58.62 59.80 市公安局 08 相应职级警员 1 张婷婷 女 204021801910 63.53 71.20 67.36 2 市公安局 08 相应职级警员 1 陈之瑶 女 204021807309 62.82 74.40 68.61 1 市公安局 08 相应职级警员 1 熊慧玲 女 204001402108 62.12 69.00 65.56 3 市人社局 02 2 季玲怡 女 202520202020 134.00 68.00 67.50 2 进入体检 市人社局 02 2 李佩钰 女 202520200425 133.30 77.00 71.83 1 进入体检 市人社局 02 2 景驰赢 女 202520205012 131.60 62.80 64.30 3 市人社局 02 2 汪玲 女 202100501918 124.40 缺考 市人社局 02 2 伍佳怡 女 202520201003 124.20 57.60 市人社局 02 2 张晔晔 女 202520202803 124.20 59.40 市人社局 03 1 郑国强 男 202520201323 127.00 68.20 65.85 1 进入体检 市人社局 03 1 谭福全 男 202520201216 118.60 缺考 市人社局 03 劳动监察大队一级行政执 法员(参照管理) 劳动监察大队一级行政执 法员(参照管理) 劳动监察大队一级行政执 法员(参照管理) 劳动监察大队一级行政执 法员(参照管理) 劳动监察大队一级行政执 法员(参照管理) 劳动监察大队一级行政执 法员(参照管理) 劳动监察大队一级行政执 法员(参照管理) 劳动监察大队一级行政执 法员(参照管理) 劳动监察大队一级行政执 法员(参照管理) 1 杨喻翔 男 202520204914 118.60 缺考 市市场监督管理局 01 一级行政执法员 1 张炜宸 男 202520203222 144.90 72.20 72.33 1 进入体检 进入体检 张家港 市 张家港 市 张家港 市 张家港 市 张家港 市 张家港 市 张家港 市 张家港 市 张家港 市 张家港 市 张家港 市 张家港 市 张家港 市 张家港 市 张家港 市 张家港 市 张家港 市 张家港 市 张家港 市 市市场监督管理局 01 一级行政执法员 1 夏昊 男 202520200405 142.40 69.40 70.30 3 市市场监督管理局 01 一级行政执法员 1 顾意 男 202520201914 139.80 72.60 71.25 2 市市场监督管理局 02 一级行政执法员 1 黄晨 女 202520202324 141.20 76.20 73.40 1 市市场监督管理局 02 一级行政执法员 1 孙淼 女 202520203320 137.70 缺考 市市场监督管理局 02 一级行政执法员 1 王博览 女 202520200423 135.20 69.20 68.40 2 市市场监督管理局 03 一级行政执法员 1 沈唐辉 男 202001201415 138.50 70.00 69.63 2 市市场监督管理局 03 一级行政执法员 1 杨源 男 202520202502 131.10 76.80 71.17 1 市市场监督管理局 03 一级行政执法员 1 林刘兵 男 202520200506 130.40 70.20 67.70 3 市市场监督管理局 60 一级行政执法员 2 王浩浩 男 202001205116 136.70 74.80 71.58 2 进入体检 市市场监督管理局 60 一级行政执法员 2 任亚东 男 202520204818 136.00 缺考 市市场监督管理局 60 一级行政执法员 2 邵玉灿 男 202520200204 134.90 79.60 73.53 1 进入体检 市市场监督管理局 60 一级行政执法员 2 张芸 女 202100602630 132.80 72.00 69.20 3 市市场监督管理局 60 一级行政执法员 2 朱少杰 男 202001200409 130.80 缺考 市市场监督管理局 60 一级行政执法员 2 雷一帆 男 202520202712 129.60 缺考 市市场监督管理局 61 一级行政执法员 1 徐一楷 男 202520204616 136.60 72.20 70.25 1 市市场监督管理局 61 一级行政执法员 1 崔曙光 男 202001300722 129.30 缺考 市市场监督管理局 61 一级行政执法员 1 印飞 男 202520201001 123.60 缺考 市市场监督管理局 62 2 李家 男 202520201430 133.20 71.20 68.90 3 市市场监督管理局 62 2 柏阳 男 202520203629 132.40 74.20 70.20 1 质量技术监督稽查大队一 级行政执法员(参照管理 ) 质量技术监督稽查大队一 级行政执法员(参照管理 ) 进入体检 进入体检 进入体检 进入体检 张家港 市 张家港 市 张家港 市 张家港 市 张家港 市 张家港 市 张家港 市 张家港 市 张家港 市 张家港 市 张家港 市 张家港 市 张家港 市 张家港 市 张家港 市 张家港 市 张家港 市 张家港 市 张家港 市 市市场监督管理局 62 市市场监督管理局 62 市市场监督管理局 62 市市场监督管理局 62 市市场监督管理局 63 市市场监督管理局 63 市市场监督管理局 63 市市场监督管理局 64 市市场监督管理局 90 市市场监督管理局 90 市市场监督管理局 90 市文体广旅局 01 市文体广旅局 01 市文体广旅局 01 市卫健委 01 市卫健委 01 市卫健委 01 市卫健委 02 市卫健委 02 质量技术监督稽查大队一 级行政执法员(参照管理 ) 质量技术监督稽查大队一 级行政执法员(参照管理 ) 质量技术监督稽查大队一 级行政执法员(参照管理 ) 质量技术监督稽查大队一 级行政执法员(参照管理 ) 质量技术监督稽查大队一 级行政执法员(参照管理 ) 质量技术监督稽查大队一 级行政执法员(参照管理 ) 质量技术监督稽查大队一 级行政执法员(参照管理 ) 质量技术监督稽查大队一 级行政执法员(参照管理 ) 质量技术监督稽查大队一 级行政执法员(参照管理 ) 质量技术监督稽查大队一 级行政执法员(参照管理 ) 质量技术监督稽查大队一 级行政执法员(参照管理 ) 文化市场综合执法大队一 级行政执法员(参照管理 ) 文化市场综合执法大队一 级行政执法员(参照管理 ) 文化市场综合执法大队一 级行政执法员(参照管理 ) 卫生监督所一级行政执法 员(参照管理) 卫生监督所一级行政执法 员(参照管理) 卫生监督所一级行政执法 员(参照管理) 卫生监督所一级行政执法 员(参照管理) 卫生监督所一级行政执法 员(参照管理) 2 吴斐 男 202001301015 131.40 72.20 68.95 2 2 孙维佳 女 202040604718 130.80 66.00 65.70 6 2 孙苏雅 女 202001303704 128.90 68.80 66.63 5 2 李沛珂 男 202520201222 128.30 70.00 67.08 4 1 杨伟枞 男 202001200429 137.40 71.80 70.25 1 1 胡晨 男 202021502212 132.00 66.40 66.20 2 1 潘泳江 男 202021603707 118.80 48.20 1 黄文杰 男 202120705601 105.90 61.40 57.17 1 进入体检 1 徐阳 女 202070702019 130.20 72.00 68.55 1 进入体检 1 沈瞳 女 202021301616 123.20 72.60 67.10 2 1 张瑶山 男 202070607127 116.60 69.40 63.85 3 1 宓怡诺 女 202520200925 140.20 76.10 73.10 1 1 钱玢洁 女 202520205013 137.90 68.40 68.67 3 1 周璐 女 202520201002 136.90 70.20 69.33 2 1 齐家玮 男 202001206929 126.40 70.40 66.80 1 1 孟程 男 202520204526 123.20 67.60 64.60 2 1 张金虎 男 202520204718 122.40 56.80 1 陆璇 女 202520200720 132.80 72.60 69.50 1 1 朱敏 女 202520201109 125.40 73.20 67.95 2 进入体检 进入体检 进入体检 进入体检 进入体检 张家港 市 张家港 市 张家港 市 张家港 市 张家港 市 张家港 市 张家港 市 张家港 市 张家港 市 张家港 市 张家港 市 张家港 市 张家港 市 张家港 市 张家港 市 张家港 市 张家港 市 张家港 市 张家港 市 市卫健委 02 市卫健委 60 市卫健委 60 市卫健委 61 市卫健委 61 市卫健委 61 市卫健委 62 市卫健委 62 市卫健委 62 市农业农村局 02 市农业农村局 02 市农业农村局 02 市农业农村局 03 市农业农村局 03 市农业农村局 03 市农业农村局 04 市农业农村局 04 市农业农村局 04 市农业农村局 05 卫生监督所一级行政执法 员(参照管理) 卫生监督所一级行政执法 员(参照管理) 卫生监督所一级行政执法 员(参照管理) 卫生监督所一级行政执法 员(参照管理) 卫生监督所一级行政执法 员(参照管理) 卫生监督所一级行政执法 员(参照管理) 卫生监督所一级行政执法 员(参照管理) 卫生监督所一级行政执法 员(参照管理) 卫生监督所一级行政执法 员(参照管理) 农业综合行政执法大队一 级行政执法员(参照管理 ) 农业综合行政执法大队一 级行政执法员(参照管理 ) 农业综合行政执法大队一 级行政执法员(参照管理 ) 农业综合行政执法大队一 级行政执法员(参照管理 ) 农业综合行政执法大队一 级行政执法员(参照管理 ) 农业综合行政执法大队一 级行政执法员(参照管理 ) 农业综合行政执法大队一 级行政执法员(参照管理 ) 农业综合行政执法大队一 级行政执法员(参照管理 ) 农业综合行政执法大队一 级行政执法员(参照管理 ) 农业综合行政执法大队一 级行政执法员(参照管理 ) 1 刘怡 女 202520203722 121.00 73.40 66.95 3 1 徐寅博 男 202520200905 128.30 67.80 65.97 1 1 余秋夫 男 202520204410 119.70 缺考 1 景辰洋 女 202001307807 132.70 缺考 1 汤静 女 202520201123 128.90 70.40 67.42 2 1 周子期 男 202520200128 128.10 71.00 67.53 1 进入体检 1 陶怡舟 女 202520202002 125.60 70.80 66.80 1 进入体检 1 朱璇 女 202032800110 125.40 缺考 1 柏萌 女 202001302504 124.40 缺考 1 杨文杰 男 202520201705 133.60 69.00 67.90 2 1 黄昕 男 202520200104 129.30 76.40 70.53 1 1 汤博 男 202520201521 126.10 70.00 66.53 3 1 王俊慧 女 202520204322 136.10 71.40 69.72 3 1 季明烨 女 202040603211 135.40 73.60 70.65 2 1 马晓雯 女 202520203703 135.10 77.40 72.47 1 1 蒋乙聪 男 202520202922 137.10 66.40 67.47 3 1 袁胜伟 男 202520204314 134.70 68.60 67.97 2 1 周哲铭 男 202520201606 134.60 73.80 70.55 1 进入体检 1 袁缘 女 202520201018 131.40 71.20 68.45 1 进入体检 进入体检 进入体检 进入体检 张家港 市 张家港 市 张家港 市 张家港 市 张家港 市 张家港 市 张家港 市 张家港 市 张家港 市 张家港 市 张家港 市 张家港 市 张家港 市 张家港 市 张家港 市 张家港 市 张家港 市 张家港 市 张家港 市 市农业农村局 05 市农业农村局 05 市农业农村局 60 市农业农村局 60 市农业农村局 60 市农业农村局 90 市农业农村局 90 市城管局 01 农业综合行政执法大队一 级行政执法员(参照管理 ) 农业综合行政执法大队一 级行政执法员(参照管理 ) 农业综合行政执法大队一 级行政执法员(参照管理 ) 农业综合行政执法大队一 级行政执法员(参照管理 ) 农业综合行政执法大队一 级行政执法员(参照管理 ) 农业综合行政执法大队一 级行政执法员(参照管理 ) 农业综合行政执法大队一 级行政执法员(参照管理 ) 一级行政执法员 市城管局 01 市城管局 1 钱萌希 女 202520203925 128.80 70.20 67.30 2 1 黄迅翱 男 202520200829 127.30 61.60 62.63 3 1 李腾 男 202100606115 128.60 71.40 67.85 2 1 段锴 男 202100606106 127.60 75.00 69.40 1 进入体检 1 赵威 男 202110803603 121.50 缺考 1 周婷 女 202120704921 109.40 76.00 65.35 1 进入体检 1 郭剑雄 男 202520202206 106.90 72.20 62.83 2 1 赵钰婷 女 202520204525 139.60 71.20 70.50 1 一级行政执法员 1 孙靳巧 女 202021303018 138.70 缺考 01 一级行政执法员 1 许志平 女 202520204417 127.50 75.40 69.58 2 市城管局 02 一级行政执法员 1 张燕 女 202520200827 133.40 75.00 70.85 1 市城管局 02 一级行政执法员 1 王世一 女 202520202917 127.20 73.80 68.70 2 市城管局 02 一级行政执法员 1 张骞 男 202520204401 119.80 73.00 66.45 3 市城管局 03 1 吴鑫智 男 202520200520 139.70 69.40 69.63 3 市城管局 03 1 肖慧婷 女 202520204723 139.00 74.20 71.85 1 市城管局 03 1 孙玮泽 男 202520203714 137.20 71.40 70.00 2 市城管局 04 1 肖雄 男 202520201426 130.80 70.40 67.90 1 市城管局 04 1 钱佳佳 女 202520204117 126.30 66.00 64.58 2 市城管局 04 城管执法大队一级行政执 法员(参照管理) 城管执法大队一级行政执 法员(参照管理) 城管执法大队一级行政执 法员(参照管理) 城管执法大队一级行政执 法员(参照管理) 城管执法大队一级行政执 法员(参照管理) 城管执法大队一级行政执 法员(参照管理) 1 冯腾杰 男 202520202014 117.90 63.70 61.33 3 进入体检 进入体检 进入体检 进入体检 张家港 市 张家港 市 张家港 市 张家港 市 张家港 市 张家港 市 张家港 市 张家港 市 张家港 市 张家港 市 张家港 市 张家港 市 张家港 市 张家港 市 张家港 市 张家港 市 张家港 市 张家港 市 张家港 市 市城管局 05 市城管局 05 市城管局 05 市城管局 05 市城管局 05 市城管局 05 市城管局 06 市城管局 06 市城管局 06 市城管局 06 市城管局 06 市城管局 06 市城管局 07 市城管局 07 市城管局 07 市城管局 08 市城管局 08 市城管局 08 市城管局 09 城管执法大队一级行政执 法员(参照管理) 城管执法大队一级行政执 法员(参照管理) 城管执法大队一级行政执 法员(参照管理) 城管执法大队一级行政执 法员(参照管理) 城管执法大队一级行政执 法员(参照管理) 城管执法大队一级行政执 法员(参照管理) 城管执法大队一级行政执 法员(参照管理) 城管执法大队一级行政执 法员(参照管理) 城管执法大队一级行政执 法员(参照管理) 城管执法大队一级行政执 法员(参照管理) 城管执法大队一级行政执 法员(参照管理) 城管执法大队一级行政执 法员(参照管理) 城管执法大队一级行政执 法员(参照管理) 城管执法大队一级行政执 法员(参照管理) 城管执法大队一级行政执 法员(参照管理) 城管执法大队一级行政执 法员(参照管理) 城管执法大队一级行政执 法员(参照管理) 城管执法大队一级行政执 法员(参照管理) 城管执法大队一级行政执 法员(参照管理) 2 李峰 男 202520200608 139.90 76.80 73.38 1 进入体检 2 王化东 男 202520200622 137.80 74.40 71.65 2 进入体检 2 成聪毅 男 202520204713 130.80 缺考 2 项阳 男 202520203704 129.50 75.20 69.97 4 2 王勇 男 202520202812 128.30 76.20 70.17 3 2 余佳鹏 男 202520201124 127.80 73.60 68.75 5 2 张颖媛 女 202520204608 131.70 75.80 70.83 1 2 王婷 女 202520201517 129.30 69.10 66.88 5 2 张亚飞 女 202032505427 126.50 缺考 2 刘冰清 女 202520202603 125.20 72.90 67.75 4 2 刘佳琳 女 202520202224 125.10 77.30 69.92 2 2 顾超 女 202520204815 124.30 75.00 68.58 3 1 赵雷钧 男 202520204716 134.80 76.60 72.00 1 1 杨杰 男 202520202427 133.60 70.10 68.45 3 1 张宇飞 男 202520202927 132.40 71.60 68.90 2 1 倪杰 女 202520201414 130.60 74.20 69.75 1 1 邹蓉 女 202520204518 129.60 73.80 69.30 3 1 刘雯菲 女 202520201605 128.50 74.90 69.58 2 2 赵嘉浩 男 202520202918 133.50 73.60 70.17 3 进入体检 进入体检 进入体检 进入体检 张家港 市 张家港 市 张家港 市 张家港 市 张家港 市 张家港 市 张家港 市 张家港 市 张家港 市 张家港 市 张家港 市 张家港 市 张家港 市 张家港 市 张家港 市 张家港 市 张家港 市 张家港 市 张家港 市 市城管局 09 市城管局 09 市城管局 09 市城管局 09 市城管局 09 市城管局 60 市城管局 60 市城管局 60 市城管局 90 市城管局 90 市城管局 90 市城管局 90 市城管局 90 市城管局 90 市城管局 91 市城管局 91 市城管局 91 市城管局 91 市城管局 91 城管执法大队一级行政执 法员(参照管理) 城管执法大队一级行政执 法员(参照管理) 城管执法大队一级行政执 法员(参照管理) 城管执法大队一级行政执 法员(参照管理) 城管执法大队一级行政执 法员(参照管理) 城管执法大队一级行政执 法员(参照管理) 城管执法大队一级行政执 法员(参照管理) 城管执法大队一级行政执 法员(参照管理) 城管执法大队一级行政执 法员(参照管理) 城管执法大队一级行政执 法员(参照管理) 城管执法大队一级行政执 法员(参照管理) 城管执法大队一级行政执 法员(参照管理) 城管执法大队一级行政执 法员(参照管理) 城管执法大队一级行政执 法员(参照管理) 城管执法大队一级行政执 法员(参照管理) 城管执法大队一级行政执 法员(参照管理) 城管执法大队一级行政执 法员(参照管理) 城管执法大队一级行政执 法员(参照管理) 城管执法大队一级行政执 法员(参照管理) 2 李哲菡 男 202520202801 132.30 74.70 70.42 1 2 邵聪 男 202001306605 129.70 71.20 68.03 5 2 汪轶伟 男 202520201214 129.60 75.90 70.35 2 2 郭煜诚 男 202520203923 129.00 71.20 67.85 6 2 高晓波 男 202520203830 127.10 75.80 69.67 4 1 王毓谦 男 202001201606 136.10 70.60 69.33 1 1 曹飞洋 女 202520201207 128.70 70.20 67.28 3 1 陆清妍 女 202520202626 128.60 73.00 68.65 2 3 单新琪 男 202081002623 130.00 71.20 68.10 2 3 徐涛 男 202520205123 129.20 68.00 66.30 4 3 张亮 男 202070700707 126.80 74.20 68.80 1 进入体检 3 魏良杰 男 202081102619 122.50 74.00 67.63 3 进入体检 3 朱遥遥 男 202520203308 115.50 72.60 65.17 5 3 杨家诚 男 202130504725 115.20 65.80 61.70 6 2 朱之红 女 202520201126 123.90 71.00 66.47 2 进入体检 2 潘盼盼 女 202001302810 123.50 72.20 66.97 1 进入体检 2 徐林 男 202120704905 121.40 71.20 65.95 3 2 陆静 女 202520202314 119.10 64.60 62.08 5 2 朱健蓉 女 202520200623 116.60 70.40 64.35 4 进入体检 进入体检 进入体检 进入体检 张家港 市 张家港 市 张家港 市 张家港 市 张家港 市 张家港 市 张家港 市 张家港 市 张家港 市 张家港 市 张家港 市 张家港 市 张家港 市 张家港 市 张家港 市 张家港 市 张家港 市 张家港 市 张家港 市 市科技局 01 一级科员 1 陆文怡 女 101520101810 135.30 70.40 69.03 3 市科技局 01 一级科员 1 冯巧岚 女 101020101811 132.20 72.00 69.05 2 市科技局 01 一级科员 1 赵云蕾 女 101520101808 131.20 72.80 69.20 1 市商务局 01 一级科员 1 潘晓菲 女 101520104420 133.00 71.60 69.05 2 市商务局 01 一级科员 1 胡宇航 男 101030902225 132.70 67.20 66.78 3 市商务局 01 一级科员 1 徐刚 男 101032002728 131.10 74.60 70.08 1 进入体检 市商务局 02 一级科员 1 张炜 女 101000409215 140.50 缺考 市商务局 02 一级科员 1 邵广涵 女 101110100303 139.30 78.60 74.13 1 进入体检 市商务局 02 一级科员 1 高雯茜 女 101520101512 134.00 75.20 71.10 2 市财政局 60 一级科员 1 卞雨晴 女 101000409506 144.00 75.80 73.90 1 市财政局 60 一级科员 1 张婷 女 101520100417 142.80 74.20 72.80 2 市财政局 60 一级科员 1 苗馨 女 101520101619 141.40 73.40 72.05 3 市农业农村局 01 一级科员 1 夏欢 女 101520102402 137.70 70.40 69.63 3 市农业农村局 01 一级科员 1 翟春花 女 101520101330 135.00 74.60 71.05 1 市农业农村局 01 一级科员 1 徐磊 男 101520100718 135.00 73.00 70.25 2 市法院 01 一级科员 1 许梓祺 男 101520103709 138.90 73.80 71.63 1 市法院 01 一级科员 1 戴红蕾 女 101520101109 135.50 69.00 68.38 3 市法院 01 一级科员 1 茅春元 女 101520102710 128.10 74.80 69.42 2 市法院 70 五级法官助理 1 高昊 男 101520104303 133.30 77.00 71.83 1 进入体检 进入体检 进入体检 进入体检 进入体检 张家港 市 张家港 市 张家港 市 张家港 市 张家港 市 张家港 市 张家港 市 张家港 市 张家港 市 张家港 市 张家港 市 张家港 市 张家港 市 张家港 市 张家港 市 张家港 市 张家港 市 张家港 市 张家港 市 市法院 70 五级法官助理 1 张振隆 男 101520104702 133.00 69.60 68.05 2 市法院 71 五级法官助理 2 杨楠 女 101520104817 137.70 72.60 70.72 2 进入体检 市法院 71 五级法官助理 2 刘诗程 女 101520101009 137.00 76.20 72.35 1 进入体检 市法院 71 五级法官助理 2 马蕊 女 101110104315 133.60 72.60 69.70 3 市法院 71 五级法官助理 2 任志平 男 101520100104 131.20 缺考 市法院 71 五级法官助理 2 齐祥森 男 101520101907 130.30 67.60 66.38 5 市法院 71 五级法官助理 2 何莹萍 女 101020806301 130.20 71.40 68.25 4 市委统战部 01 1 丁以泓 女 101520100204 138.80 74.40 71.90 1 市委统战部 01 1 缪佳琳 女 101520100622 135.70 74.40 71.13 2 市委统战部 01 民主党派服务中心一级科 员(参照管理) 民主党派服务中心一级科 员(参照管理) 民主党派服务中心一级科 员(参照管理) 1 吕梦溪 女 101000509210 132.90 71.40 68.92 3 市委党校(参照管理) 01 一级科员 1 徐菁 女 101520103820 136.10 73.20 70.63 3 市委党校(参照管理) 01 一级科员 1 张梦丝 女 101520101011 135.50 78.20 72.97 1 市委党校(参照管理) 01 一级科员 1 沈锋 男 101520103502 134.60 76.60 71.95 2 市委党校(参照管理) 60 一级科员 1 周靖 男 101520100206 131.60 缺考 市委党校(参照管理) 60 一级科员 1 吴子旋 女 101520102822 125.10 70.00 66.28 2 市委党校(参照管理) 60 一级科员 1 张文妍 女 101520100510 124.90 70.20 66.33 1 进入体检 市统计局 01 一级科员 1 胡群 女 101000512716 150.10 75.00 75.03 1 进入体检 市统计局 01 一级科员 1 金旭晔 女 101520101015 139.80 74.80 72.35 2 市统计局 01 一级科员 1 高惠姣 女 101520101830 137.40 69.60 69.15 3 进入体检 进入体检 张家港 市 张家港 市 张家港 市 张家港 市 张家港 市 张家港 市 张家港 市 张家港 市 张家港 市 张家港 市 张家港 市 张家港 市 张家港 市 张家港 市 张家港 市 张家港 市 张家港 市 张家港 市 张家港 市 市统计局 02 一级科员 1 周宇航 男 101520103721 140.30 75.60 72.88 1 市统计局 02 一级科员 1 王宇晨 男 101520102520 136.70 74.20 71.28 2 市统计局 02 一级科员 1 陆志毅 男 101520100403 128.00 63.60 63.80 3 市档案馆(参照管理) 01 一级科员 1 倪乾航 男 101520100810 147.50 74.40 74.08 1 市档案馆(参照管理) 01 一级科员 1 陈歆玺 女 101520103916 136.90 74.60 71.53 3 市档案馆(参照管理) 01 一级科员 1 张洸恺 男 101520102829 136.70 77.80 73.08 2 市检察院 75 五级检察官助理 1 孟悦 女 101520102214 138.00 72.60 70.80 3 市检察院 75 五级检察官助理 1 侯沁莹 女 101520101427 136.10 74.40 71.22 2 市检察院 75 五级检察官助理 1 顾菲 女 101520101128 133.50 76.00 71.38 1 进入体检 市检察院 76 五级检察官助理 2 尹天 男 101520101607 140.40 70.00 70.10 2 进入体检 市检察院 76 五级检察官助理 2 翟宇航 男 101520104322 136.90 70.40 69.42 3 市检察院 76 五级检察官助理 2 周泽蓥 男 101520100909 134.30 71.00 69.08 4 市检察院 76 五级检察官助理 2 刘战涛 男 101520101303 127.90 63.60 63.77 6 市检察院 76 五级检察官助理 2 马永杰 男 101520102324 127.50 76.60 70.17 1 市检察院 76 五级检察官助理 2 袁晓磊 男 101520104626 124.90 67.60 65.03 5 市行政审批局 01 一级科员 1 王润秋 男 101520103704 139.40 72.80 71.25 1 市行政审批局 01 一级科员 1 丁子昂 男 101520102118 138.80 69.40 69.40 3 市行政审批局 01 一级科员 1 周梦欣 女 101520102225 138.10 70.00 69.53 2 市医疗保障局 01 一级科员 1 张晶 女 101520101305 129.80 70.20 67.55 2 进入体检 进入体检 进入体检 进入体检 张家港 市 张家港 市 张家港 市 张家港 市 张家港 市 张家港 市 张家港 市 张家港 市 张家港 市 张家港 市 张家港 市 张家港 市 张家港 市 张家港 市 张家港 市 张家港 市 张家港 市 张家港 市 张家港 市 市医疗保障局 01 一级科员 1 季聪慧 女 101520101309 128.90 70.80 67.63 1 市医疗保障局 01 一级科员 1 沈纪伟 男 101520104628 128.20 63.40 63.75 3 市水务局 01 一级科员 1 袁俊慧 女 101060302327 150.00 73.40 74.20 1 市水务局 01 一级科员 1 孙忠义 男 101520100519 144.60 73.40 72.85 2 市水务局 01 一级科员 1 陆静怡 女 101520101816 140.30 70.60 70.38 3 市水务局 02 1 高佳元 男 101520100111 132.00 69.60 67.80 2 市水务局 02 1 沈耿涛 男 101520104520 130.70 76.80 71.08 1 市水务局 02 1 匡骏 男 101520100626 127.80 69.80 66.85 3 市水务局 60 1 徐心怡 女 101520103327 140.40 72.80 71.50 1 市水务局 60 1 林希文 女 101000703409 135.60 66.60 67.20 3 市水务局 60 水政监察大队一级科员( 参照管理) 水政监察大队一级科员( 参照管理) 水政监察大队一级科员( 参照管理) 水政监察大队一级科员( 参照管理) 水政监察大队一级科员( 参照管理) 水政监察大队一级科员( 参照管理) 1 沈雨蝶 女 101520101601 134.20 70.60 68.85 2 市国有资产管理中心 (参照管理) 市国有资产管理中心 (参照管理) 60 一级科员 1 陶佳琳 女 101000503421 141.80 73.20 72.05 1 进入体检 60 一级科员 1 陈晨 男 101520100609 127.70 缺考 市信访局 01 一级科员 1 胡士家 男 101520104629 137.10 73.50 71.03 1 进入体检 市信访局 01 一级科员 1 肖海云 男 101520104724 130.10 70.90 67.97 2 市信访局 01 一级科员 1 吴小龙 男 101520101730 129.30 缺考 市民政局 01 一级科员 1 唐玮 女 101520101327 140.80 76.60 73.50 1 市民政局 01 一级科员 1 李昂 男 101520100330 139.00 69.20 69.35 3 市民政局 01 一级科员 1 王欢 女 101000512512 135.00 73.00 70.25 2 进入体检 进入体检 进入体检 进入体检 进入体检 张家港 市 张家港 市 张家港 市 张家港 市 张家港 市 张家港 市 张家港 市 张家港 市 张家港 市 张家港 市 张家港 市 张家港 市 张家港 市 张家港 市 张家港 市 张家港 市 张家港 市 张家港 市 张家港 市 市民政局 01 一级科员 1 徐悦 女 101000603518 135.00 缺考 市住建局 01 1 黄骏 男 101520100630 136.90 71.00 69.72 2 市住建局 01 1 严诚予 男 101520103706 136.60 73.20 70.75 1 市住建局 01 1 张威 女 101520101922 136.30 70.60 69.38 3 市人社局 01 1 包悦 女 101520101616 135.30 70.40 69.03 2 市人社局 01 1 顾梦娇 女 101520101914 133.00 73.90 70.20 1 市人社局 01 1 刘晓晨 女 101520104224 131.30 65.80 65.72 3 市人社局 04 1 朱燕薇 女 101520101518 128.60 77.20 70.75 1 市人社局 04 1 孙文仪 女 101520100127 125.70 77.40 70.13 2 市人社局 04 1 赵芳华 女 101520101116 124.90 76.40 69.42 3 市人社局 90 1 蒋文韬 男 101520104007 119.70 70.40 65.13 1 市人社局 90 1 尚宇 男 101130204916 119.40 69.20 64.45 2 市人社局 90 建设监察大队一级科员( 参照管理) 建设监察大队一级科员( 参照管理) 建设监察大队一级科员( 参照管理) 人力资源管理服务中心一 级科员(参照管理) 人力资源管理服务中心一 级科员(参照管理) 人力资源管理服务中心一 级科员(参照管理) 劳动人事争议仲裁院一级 科员(参照管理) 劳动人事争议仲裁院一级 科员(参照管理) 劳动人事争议仲裁院一级 科员(参照管理) 人力资源管理服务中心一 级科员(参照管理) 人力资源管理服务中心一 级科员(参照管理) 人力资源管理服务中心一 级科员(参照管理) 1 张馨文 女 101070103527 119.10 68.40 63.98 3 市红十字会 01 一级科员 1 袁梦丹 女 101520101802 130.20 71.60 68.35 3 市红十字会 01 一级科员 1 沈瑢 女 101520102020 129.70 74.60 69.72 1 市红十字会 01 一级科员 1 褚雅静 女 101520103501 129.50 74.00 69.38 2 市自然资源和规划局 01 1 黄勇 男 101520103322 137.90 70.80 69.88 1 市自然资源和规划局 01 1 章帅 男 101520102511 135.10 65.80 66.67 3 市自然资源和规划局 01 基层自然资源所一级科员 (参照管理) 基层自然资源所一级科员 (参照管理) 基层自然资源所一级科员 (参照管理) 1 陈浩 男 101000513919 131.90 70.00 67.97 2 进入体检 进入体检 进入体检 进入体检 进入体检 进入体检 张家港 市 张家港 市 张家港 市 张家港 市 张家港 市 张家港 市 张家港 市 张家港 市 张家港 市 张家港 市 张家港 市 张家港 市 张家港 市 张家港 市 张家港 市 张家港 市 张家港 市 张家港 市 张家港 市 基层自然资源所一级科员 (参照管理) 基层自然资源所一级科员 (参照管理) 基层自然资源所一级科员 (参照管理) 基层自然资源所一级科员 (参照管理) 基层自然资源所一级科员 (参照管理) 基层自然资源所一级科员 (参照管理) 基层自然资源所一级科员 (参照管理) 基层自然资源所一级科员 (参照管理) 基层自然资源所一级科员 (参照管理) 基层自然资源所一级科员 (参照管理) 基层自然资源所一级科员 (参照管理) 1 王珅 男 101520101314 131.90 缺考 1 许梦娇 女 101520102816 151.70 74.80 1 顾倩莹 女 101520104623 143.40 59.40 1 蒋晓玲 女 101520102201 141.40 1 严佳 女 1 周海 1 01 市纪委监委 市自然资源和规划局 01 市自然资源和规划局 02 市自然资源和规划局 02 市自然资源和规划局 02 市自然资源和规划局 03 市自然资源和规划局 03 市自然资源和规划局 03 市自然资源和规划局 60 市自然资源和规划局 60 市自然资源和规划局 60 市自然资源和规划局 90 市纪委监委 75.33 1 60.80 65.75 2 101520103914 143.00 74.40 72.95 1 男 101520102701 135.90 70.40 69.17 2 王哲 女 101520100713 135.80 65.00 66.45 3 1 陈苏伟 男 101520100604 132.60 72.60 69.45 1 1 焦意茜 女 101520102413 123.60 73.00 67.40 2 1 张亮 女 101000506015 123.50 67.40 64.58 3 1 李雅梅 女 101520101508 115.20 72.60 65.10 1 进入体检 一级科员 1 董昊 男 101080803106 140.40 78.20 74.20 1 进入体检 01 一级科员 1 周永威 男 101520100812 136.00 70.40 69.20 2 市纪委监委 01 一级科员 1 王彬 男 101030702614 132.70 71.20 68.78 3 市纪委监委 02 一级科员 1 余源 女 101000511118 137.10 70.20 69.38 2 市纪委监委 02 一级科员 1 屈琳 女 101520101514 136.40 74.20 71.20 1 市纪委监委 02 一级科员 1 陈家希 女 101520103908 129.50 73.40 69.08 3 市纪委监委 03 一级科员 1 杨琰 男 101000413007 144.50 缺考 市纪委监委 03 一级科员 1 饶泽伟 男 101000402724 139.30 70.80 70.22 1 进入体检 进入体检 进入体检 进入体检 进入体检 张家港 市 张家港 市 张家港 市 张家港 市 张家港 市 张家港 市 张家港 市 张家港 市 张家港 市 张家港 市 张家港 市 张家港 市 张家港 市 张家港 市 张家港 市 张家港 市 张家港 市 张家港 市 张家港 市 市纪委监委 03 一级科员 1 许志煌 男 101000601015 126.40 65.80 64.50 2 市纪委监委 04 一级科员 1 周嘉宇 男 101000500325 134.80 缺考 市纪委监委 04 一级科员 1 章珺奕 男 101000901322 128.30 缺考 市纪委监委 04 一级科员 1 薛业枭 男 101080702115 127.30 64.80 64.22 1 进入体检 市纪委监委 60 一级科员 1 孙方旻 男 101520103713 128.80 71.20 67.80 1 进入体检 市纪委监委 60 一级科员 1 刘大千 男 101000403302 126.50 68.40 65.83 2 市纪委监委 60 一级科员 1 刘光明 男 101520102429 120.90 68.20 64.33 3 市纪委监委 61 一级科员 1 赵越 男 101520104219 139.90 77.20 73.58 1 市纪委监委 61 一级科员 1 黄雨欣 女 101020501415 135.80 缺考 市纪委监委 61 一级科员 1 陆子怡 女 101520103517 128.60 76.40 70.35 2 杨舍镇机关 01 一级科员 1 施震林 男 303520105710 160.40 80.20 80.20 1 杨舍镇机关 01 一级科员 1 邵彬彬 女 303520108930 144.00 66.70 69.35 3 杨舍镇机关 01 一级科员 1 吴娟 女 303520107201 143.00 70.50 71.00 2 杨舍镇机关 02 司法所一级科员 1 李军 男 303520107325 142.90 71.10 71.28 2 杨舍镇机关 02 司法所一级科员 1 张莺 女 303520105314 140.00 72.90 71.45 1 杨舍镇机关 02 司法所一级科员 1 陈佳敏 女 303520105319 138.50 68.70 68.97 3 杨舍镇机关 90 一级科员 1 张雯洁 女 303520108703 145.70 70.30 71.58 1 杨舍镇机关 90 一级科员 1 邓黎杰 男 303022103406 141.00 70.40 70.45 2 杨舍镇机关 90 一级科员 1 张煜珩 男 303520108729 126.40 74.00 68.60 3 进入体检 进入体检 进入体检 进入体检 张家港 市 张家港 市 张家港 市 张家港 市 张家港 市 张家港 市 张家港 市 张家港 市 张家港 市 张家港 市 张家港 市 张家港 市 张家港 市 张家港 市 张家港 市 张家港 市 张家港 市 张家港 市 张家港 市 凤凰镇机关 01 一级科员 1 钱徐海 男 303520105418 148.30 71.90 73.03 1 凤凰镇机关 01 一级科员 1 谢明敏 男 303520105828 146.90 68.40 70.92 3 凤凰镇机关 01 一级科员 1 陈其业 男 303520105220 144.00 71.60 71.80 2 凤凰镇机关 02 一级科员 1 张炯敏 女 303520108904 141.20 71.40 71.00 1 凤凰镇机关 02 一级科员 1 王婉頔 女 303520108918 140.20 71.30 70.70 2 凤凰镇机关 02 一级科员 1 史慧 女 303520106518 138.00 67.80 68.40 3 凤凰镇机关 03 一级科员 1 华静 女 303520105914 137.10 71.30 69.92 1 凤凰镇机关 03 一级科员 1 许佩琦 女 303520108121 133.80 69.20 68.05 3 凤凰镇机关 03 一级科员 1 缪志浩 男 303520107007 133.50 69.90 68.33 2 大新镇机关 01 一级科员 1 倪卓 女 303520108314 153.00 75.20 75.85 2 大新镇机关 01 一级科员 1 余彩虹 女 303520108627 151.50 78.60 77.17 1 大新镇机关 01 一级科员 1 陈越 女 303520108425 142.10 67.20 69.13 3 金港街道办事处 01 一级科员 1 雷金叶 女 303001607103 136.70 72.00 70.17 1 进入体检 金港街道办事处 01 一级科员 1 顾舒茗 女 303520107402 134.60 缺考 金港街道办事处 01 一级科员 1 黄莹玉 女 303001703002 124.70 缺考 金港街道办事处 02 一级科员 1 严海英 女 303520105823 138.90 74.20 71.83 1 进入体检 金港街道办事处 02 一级科员 1 李银霞 女 303520107104 137.70 69.40 69.13 3 金港街道办事处 02 一级科员 1 范雨纯 女 303520108402 136.10 72.00 70.03 2 德积街道办事处 01 一级科员 1 朱敏妍 女 303100702424 142.60 73.40 72.35 2 进入体检 进入体检 进入体检 进入体检 张家港 市 张家港 市 张家港 市 张家港 市 张家港 市 张家港 市 张家港 市 张家港 市 张家港 市 张家港 市 德积街道办事处 01 一级科员 1 范宇朦 女 303520106329 141.80 66.80 68.85 3 德积街道办事处 01 一级科员 1 张恒 男 303520106725 140.90 74.60 72.53 1 进入体检 德积街道办事处 60 一级科员 1 赵慧鸣 女 303520108228 146.20 76.80 74.95 1 进入体检 德积街道办事处 60 一级科员 1 钱咏沂 女 303520108605 134.60 72.00 69.65 2 德积街道办事处 60 一级科员 1 顾筱钰 女 303001603003 127.70 62.40 63.13 3 后塍街道办事处 01 一级科员 1 倪家慧 女 303520105305 146.10 74.60 73.83 1 后塍街道办事处 01 一级科员 1 钱强 男 303520108923 145.30 74.20 73.42 2 后塍街道办事处 01 一级科员 1 杜志超 男 303520106609 142.80 74.20 72.80 3 后塍街道办事处 90 一级科员 1 张颖 男 303520105616 123.70 68.00 64.92 1 后塍街道办事处 90 一级科员 1 张英 女 303520108701 116.00 71.00 64.50 2 昆山市 市政府办(外事办) 01 一级科员 1 陈陆言 女 101530200130 144.50 0.00 昆山市 市政府办(外事办) 01 一级科员 1 戴紫嫣 女 101530105707 142.20 68.00 69.55 2 昆山市 市政府办(外事办) 01 一级科员 1 钱菲 女 101000701323 141.30 75.20 72.92 1 进入体检 昆山市 市政府办(外事办) 02 一级科员 1 张田 男 101530105013 141.30 0.00 昆山市 市政府办(外事办) 02 一级科员 1 邹雅雯 女 101031601104 140.10 78.00 74.03 1 进入体检 昆山市 市政府办(外事办) 02 一级科员 1 蒋娜 女 101530102326 135.10 75.60 71.58 2 昆山市 市财政局 01 2 汪世杰 男 101530201218 141.20 73.50 72.05 1 进入体检 昆山市 市财政局 01 2 李江枫 男 101530104029 139.30 72.30 70.97 2 进入体检 昆山市 市财政局 01 财政稽查大队一级科员( 参照管理) 财政稽查大队一级科员( 参照管理) 财政稽查大队一级科员( 参照管理) 2 李皓 男 101530200909 136.60 71.60 69.95 5 进入体检 进入体检 财政稽查大队一级科员( 参照管理) 财政稽查大队一级科员( 参照管理) 财政稽查大队一级科员( 参照管理) 财政稽查大队一级科员( 参照管理) 财政稽查大队一级科员( 参照管理) 财政稽查大队一级科员( 参照管理) 财政稽查大队一级科员( 参照管理) 财政稽查大队一级科员( 参照管理) 财政稽查大队一级科员( 参照管理) 国库支付中心一级科员( 参照管理) 国库支付中心一级科员( 参照管理) 国库支付中心一级科员( 参照管理) 2 龚文宽 男 101530100716 136.40 73.10 2 钟磊 男 101530202101 136.10 0.00 2 赵书权 男 101530203509 134.90 2 栾孟洋 女 2 顾颖婷 2 01 昆山市 市人社局 昆山市 市财政局 01 70.65 3 昆山市 市财政局 01 昆山市 市财政局 01 72.80 70.13 4 昆山市 市财政局 02 101530103112 141.90 73.40 72.17 4 昆山市 市财政局 02 女 101530103409 139.00 76.80 73.15 2 昆山市 市财政局 02 张懿 女 101530105708 138.00 74.80 71.90 5 昆山市 市财政局 02 2 郭玉琳 女 101530201405 137.90 18.20 昆山市 市财政局 02 2 孙佳培 女 101020802504 136.90 80.40 74.42 1 昆山市 市财政局 02 2 时燕菲 女 101530204429 136.60 76.40 72.35 3 昆山市 市财政局 03 1 黄欢 女 101530101924 138.90 73.80 71.63 2 昆山市 市财政局 03 1 朱雯婷 女 101530203711 136.90 76.00 72.22 1 昆山市 市财政局 03 1 刘冰如 女 101530106007 135.50 72.90 70.33 3 昆山市 市人社局 一级科员 1 王晓敏 女 101020404028 146.40 73.40 73.30 1 01 一级科员 1 孟惠普 女 101530201201 131.80 76.20 71.05 2 昆山市 市人社局 02 一级科员 1 朱与安 男 101110102014 139.40 76.20 72.95 1 进入体检 昆山市 市人社局 02 一级科员 1 郑比男 女 101530203823 137.80 0.00 昆山市 市人社局 02 一级科员 1 高邢榕 女 101000709826 125.00 0.00 昆山市 市人社局 03 1 曹日嘉 男 101530103711 144.10 77.60 74.83 1 进入体检 昆山市 市人社局 03 人力资源管理服务中心一 级科员(参照管理) 人力资源管理服务中心一 级科员(参照管理) 1 王润青 男 101530103617 134.70 70.60 68.97 2 进入体检 进入体检 进入体检 进入体检 昆山市 市人社局 03 昆山市 市人社局 04 昆山市 市人社局 04 昆山市 市人社局 04 昆山市 市人社局 05 昆山市 市人社局 05 昆山市 市人社局 05 昆山市 市人社局 06 昆山市 市人社局 06 昆山市 市人社局 06 昆山市 市人社局 07 昆山市 市人社局 07 昆山市 市人社局 07 昆山市 市人社局 08 昆山市 市人社局 08 昆山市 市人社局 08 昆山市 市人社局 90 昆山市 市人社局 90 昆山市 市人社局 90 人力资源管理服务中心一 级科员(参照管理) 人力资源管理服务中心一 级科员(参照管理) 人力资源管理服务中心一 级科员(参照管理) 人力资源管理服务中心一 级科员(参照管理) 人力资源管理服务中心一 级科员(参照管理) 人力资源管理服务中心一 级科员(参照管理) 人力资源管理服务中心一 级科员(参照管理) 人力资源管理服务中心一 级科员(参照管理) 人力资源管理服务中心一 级科员(参照管理) 人力资源管理服务中心一 级科员(参照管理) 人力资源管理服务中心一 级科员(参照管理) 人力资源管理服务中心一 级科员(参照管理) 人力资源管理服务中心一 级科员(参照管理) 社保中心一级科员(参照 管理) 社保中心一级科员(参照 管理) 社保中心一级科员(参照 管理) 社保中心一级科员(参照 管理) 社保中心一级科员(参照 管理) 社保中心一级科员(参照 管理) 1 常治国 男 101530203204 130.10 0.00 1 薛丽玲 女 101530101808 140.60 75.40 72.85 2 1 胡颖 女 101530103914 139.00 77.20 73.35 1 1 潘德惠 女 101530104211 135.80 73.20 70.55 3 1 沈宇 男 101530203810 127.50 73.60 68.67 1 1 王靖 男 101530101903 124.70 68.60 65.47 2 1 关亚军 男 101530102805 121.20 66.00 63.30 3 1 俞玲玲 女 101530102920 142.50 72.20 71.72 2 1 曹艺伟 女 101530201925 133.40 76.80 71.75 1 1 房凡懿 女 101530202219 131.20 0.00 1 黄小青 男 101100305120 143.90 0.00 1 汪世元 男 101000512413 141.50 69.00 69.88 2 1 蒋毅阳 男 101530105008 140.10 71.00 70.53 1 进入体检 1 蒋媛媛 女 101530103616 135.30 74.00 70.83 1 进入体检 1 吴一波 男 101100303122 134.90 73.10 70.28 2 1 俞博涛 男 101530201714 134.60 71.00 69.15 3 1 杨洁俗 女 101000408501 121.80 61.20 61.05 3 1 吴昊轩 男 101530204302 119.60 65.60 62.70 1 1 王生光 男 101070204424 116.80 64.60 61.50 2 进入体检 进入体检 进入体检 进入体检 昆山市 市住建局 01 一级科员 1 翁卢晖 男 101000701921 148.00 61.20 67.60 3 昆山市 市住建局 01 一级科员 1 张金生 男 101530202209 141.30 74.40 72.53 1 昆山市 市住建局 01 一级科员 1 谷时雨 男 101530201404 138.40 72.00 70.60 2 昆山市 市住建局 02 一级科员 1 葛蘇慧 女 101060603113 140.70 71.60 70.97 1 昆山市 市住建局 02 一级科员 1 宋宛亭 女 101030800114 138.10 71.00 70.03 2 昆山市 市住建局 02 一级科员 1 刘楷文 女 101070108826 136.90 0.00 昆山市 市水务局 01 1 翟恒帅 男 101530203210 134.60 72.60 69.95 2 昆山市 市水务局 01 1 卫敏 女 101000407327 133.20 76.00 71.30 1 昆山市 市水务局 01 1 杨婷 女 101001001517 132.80 69.00 67.70 3 昆山市 市水务局 02 1 龚志浩 男 101100303805 139.00 71.20 70.35 1 昆山市 市水务局 02 1 杨敏生 男 101530100503 121.50 76.00 68.38 2 昆山市 市水务局 02 1 杜航航 男 101530101623 120.90 0.00 昆山市 市水务局 90 1 朱文杰 男 101530104601 144.10 70.60 71.33 1 昆山市 市水务局 90 1 沈沁悦 女 101530204001 126.00 68.80 65.90 2 昆山市 市水务局 90 水政监察大队一级科员( 参照管理) 水政监察大队一级科员( 参照管理) 水政监察大队一级科员( 参照管理) 水政监察大队一级科员( 参照管理) 水政监察大队一级科员( 参照管理) 水政监察大队一级科员( 参照管理) 水政监察大队一级科员( 参照管理) 水政监察大队一级科员( 参照管理) 水政监察大队一级科员( 参照管理) 1 胡明秋 女 101530104228 115.50 68.60 63.17 3 昆山市 市自然资源和规划局 01 一级科员 1 房志恒 男 101000502704 140.10 76.20 73.13 1 昆山市 市自然资源和规划局 01 一级科员 1 邱建华 男 101020303527 136.80 72.00 70.20 2 昆山市 市自然资源和规划局 01 一级科员 1 周仁杰 男 101530102513 135.10 70.00 68.78 4 昆山市 市自然资源和规划局 01 一级科员 1 张津铭 男 101530105717 135.10 70.40 68.97 3 进入体检 进入体检 进入体检 进入体检 进入体检 进入体检 昆山市 市自然资源和规划局 02 一级科员 1 刘彦欣 女 101530201501 146.10 74.20 73.63 1 昆山市 市自然资源和规划局 02 一级科员 1 雷权欢 女 101000700920 140.90 69.60 70.03 3 昆山市 市自然资源和规划局 02 一级科员 1 李思嘉 女 101001003622 140.50 74.00 72.13 2 昆山市 市自然资源和规划局 04 1 韩笑 女 101000404216 134.80 71.40 69.40 2 昆山市 市自然资源和规划局 04 1 乔小菊 女 101530101901 133.50 74.00 70.38 1 昆山市 市自然资源和规划局 04 基层分局所一级科员(参 照管理) 基层分局所一级科员(参 照管理) 基层分局所一级科员(参 照管理) 1 陈建芳 女 101530202109 133.10 70.60 68.58 3 昆山市 市自然资源和规划局 60 一级科员 1 周珂旭 女 101530204407 143.10 73.60 72.58 1 昆山市 市自然资源和规划局 60 一级科员 1 唐晨馨 男 101530102519 141.30 72.20 71.42 2 昆山市 市自然资源和规划局 60 一级科员 1 徐迎雪 女 101000503127 137.20 69.80 69.20 3 昆山市 市自然资源和规划局 61 1 包逸帆 男 101530105306 144.40 72.40 72.30 2 昆山市 市自然资源和规划局 61 1 赵利锋 男 101530102124 143.10 71.00 71.28 3 昆山市 市自然资源和规划局 61 1 胡治中 男 101530204224 141.40 75.20 72.95 1 昆山市 市卫健委 01 1 褚斌 男 101530204519 140.40 72.20 71.20 2 昆山市 市卫健委 01 1 陈家文 男 101530100506 139.20 70.20 69.90 3 昆山市 市卫健委 01 1 冯沛之 男 101530102608 136.10 75.80 71.92 1 进入体检 昆山市 市卫健委 02 1 周梦倩 女 101530105614 134.30 78.00 72.58 1 进入体检 昆山市 市卫健委 02 1 杨楠 女 101530103822 133.70 75.60 71.22 2 昆山市 市卫健委 02 基层分局所一级科员(参 照管理) 基层分局所一级科员(参 照管理) 基层分局所一级科员(参 照管理) 城乡卫生指导中心一级科 员(参照管理) 城乡卫生指导中心一级科 员(参照管理) 城乡卫生指导中心一级科 员(参照管理) 城乡卫生指导中心一级科 员(参照管理) 城乡卫生指导中心一级科 员(参照管理) 城乡卫生指导中心一级科 员(参照管理) 1 李姿悦 女 101530105201 133.50 58.40 昆山市 市供销总社(参照管理) 01 一级科员 1 徐浩伦 男 101530103815 141.60 74.60 72.70 1 进入体检 进入体检 进入体检 进入体检 进入体检 昆山市 市供销总社(参照管理) 01 一级科员 1 马欣 男 101530200516 136.80 68.60 68.50 3 昆山市 市供销总社(参照管理) 01 一级科员 1 严阳 男 101530201807 132.50 71.00 68.63 2 昆山市 市供销总社(参照管理) 02 一级科员 1 李志玲 女 101530202921 139.20 73.00 71.30 1 昆山市 市供销总社(参照管理) 02 一级科员 1 郭万超 女 101530106024 134.00 73.20 70.10 3 昆山市 市供销总社(参照管理) 02 一级科员 1 成蓉蓉 女 101530101204 133.60 74.40 70.60 2 昆山市 市档案馆(参照管理) 01 一级科员 1 杨蕾 女 101530200923 140.80 71.80 71.10 1 昆山市 市档案馆(参照管理) 01 一级科员 1 葛冯格 女 101530102307 136.80 72.00 70.20 2 昆山市 市档案馆(参照管理) 01 一级科员 1 李愆 男 101530101518 136.70 62.20 65.28 3 昆山市 市档案馆(参照管理) 02 一级科员 1 夏徐忻 女 101530103330 146.90 73.70 73.58 1 昆山市 市档案馆(参照管理) 02 一级科员 1 张烁 女 101530200515 145.30 47.20 昆山市 市档案馆(参照管理) 02 一级科员 1 刘畅 女 101530203912 139.20 68.00 68.80 2 昆山市 市纪委监委 01 一级科员 1 吴黎红 女 101530203724 134.20 76.40 71.75 1 昆山市 市纪委监委 01 一级科员 1 黄明燕 女 101530204524 128.50 71.00 67.63 2 昆山市 市纪委监委 01 一级科员 1 侯童 女 101100100223 127.30 67.20 65.42 3 昆山市 市纪委监委 02 一级科员 4 徐佳成 男 101530200730 143.30 72.30 71.97 1 进入体检 昆山市 市纪委监委 02 一级科员 4 张宇飞 男 101031201406 140.60 71.80 71.05 2 进入体检 昆山市 市纪委监委 02 一级科员 4 章昱 男 101000804202 133.50 0.00 昆山市 市纪委监委 02 一级科员 4 朱鹏飞 男 101530105015 133.10 71.40 68.97 5 昆山市 市纪委监委 02 一级科员 4 张琪贤 男 101530100208 132.40 73.40 69.80 3 进入体检 进入体检 进入体检 进入体检 进入体检 昆山市 市纪委监委 02 一级科员 4 张梓恒 男 101530105409 131.90 0.00 昆山市 市纪委监委 02 一级科员 4 钱琪澄 男 101530100521 130.80 69.30 67.35 6 昆山市 市纪委监委 02 一级科员 4 窦家宝 男 101530101123 130.60 69.10 67.20 8 昆山市 市纪委监委 02 一级科员 4 闫昭贤 男 101530102624 130.50 69.40 67.33 7 昆山市 市纪委监委 02 一级科员 4 苏嘉辉 男 101530200108 130.10 68.00 66.53 9 昆山市 市纪委监委 02 一级科员 4 杨坤 男 101530204411 129.70 0.00 昆山市 市纪委监委 02 一级科员 4 朱佳文 男 101530105327 129.70 74.60 69.72 4 进入体检 昆山市 市纪委监委 03 一级科员 3 孙瑞瑞 女 101001002802 141.80 0.00 昆山市 市纪委监委 03 一级科员 3 薛聪颖 女 101530100802 136.40 70.00 69.10 1 进入体检 昆山市 市纪委监委 03 一级科员 3 陈美如 女 101000601419 133.10 69.20 67.88 4 昆山市 市纪委监委 03 一级科员 3 蒋百惠 女 101000702327 132.60 69.50 67.90 3 昆山市 市纪委监委 03 一级科员 3 陈方英 女 101530102004 132.00 68.60 67.30 6 昆山市 市纪委监委 03 一级科员 3 毛子瑜 女 101530202802 131.70 68.80 67.33 5 昆山市 市纪委监委 03 一级科员 3 郑欣 女 101000901406 131.00 68.90 67.20 7 昆山市 市纪委监委 03 一级科员 3 杜欣怡 女 101000608127 130.20 0.00 昆山市 市纪委监委 03 一级科员 3 张昕怡 女 101530104308 128.40 73.60 68.90 2 进入体检 昆山市 市交通局 01 一级科员 1 李严 男 101530100115 142.20 78.60 74.85 1 进入体检 昆山市 市交通局 01 一级科员 1 刘英文 男 101530203908 140.30 76.30 73.22 2 昆山市 市交通局 01 一级科员 1 周小杰 男 101530203005 137.50 0.00 进入体检 昆山市 市委台办 01 一级科员 1 徐朝阳 男 101031503807 143.70 71.00 71.42 3 昆山市 市委台办 01 一级科员 1 徐辉 男 101530103215 141.90 72.40 71.67 2 昆山市 市委台办 01 一级科员 1 宋兆润 男 101530105718 135.80 76.40 72.15 1 昆山市 市委台办 02 一级科员 1 李承仪 女 101530102628 142.10 72.80 71.92 2 昆山市 市委台办 02 一级科员 1 朱怡婧 女 101530202906 139.30 74.40 72.03 1 昆山市 市委台办 02 一级科员 1 陈诚 女 101530103824 138.50 74.60 71.92 2 昆山市 市委台办 02 一级科员 1 耿秀苑 女 101530100305 138.50 71.50 70.38 4 昆山市 市委巡察机构 01 一级科员 1 张源 女 101530204507 148.20 0.00 昆山市 市委巡察机构 01 一级科员 1 黄曈瑄 女 101530106019 143.90 78.20 75.08 1 昆山市 市委巡察机构 01 一级科员 1 黄淑娴 女 101530202306 140.20 70.90 70.50 2 昆山市 市委巡察机构 02 一级科员 1 顾荣 男 101530102222 126.70 68.40 65.88 3 昆山市 市委巡察机构 02 一级科员 1 汪文彬 男 101530102011 125.70 69.00 65.92 2 昆山市 市委巡察机构 02 一级科员 1 杨晓伟 男 101530106017 124.50 74.80 68.53 1 进入体检 昆山市 市委巡察机构 03 一级科员 1 邹婧 女 101000710514 138.70 78.90 74.13 1 进入体检 昆山市 市委巡察机构 03 一级科员 1 阎小凡 女 101000405021 132.60 68.40 67.35 3 昆山市 市委巡察机构 03 一级科员 1 张赟 女 101530203420 132.20 77.10 71.60 2 昆山市 市法院 70 五级法官助理 2 周天丞 男 101530201708 147.40 72.60 73.15 1 进入体检 昆山市 市法院 70 五级法官助理 2 董辰 男 101090110719 133.20 72.60 69.60 2 进入体检 昆山市 市法院 70 五级法官助理 2 何凌洋 男 101530103428 132.50 0.00 进入体检 进入体检 进入体检 昆山市 市法院 70 五级法官助理 2 张天成 男 101530102502 129.90 70.60 67.78 3 昆山市 市法院 70 五级法官助理 2 赵胤 男 101000400104 128.60 0.00 昆山市 市法院 70 五级法官助理 2 凌晨 男 101530201923 126.50 0.00 昆山市 市法院 71 五级法官助理 2 马梦宇 女 101530104425 144.40 0.00 昆山市 市法院 71 五级法官助理 2 李潇絮 女 101530204022 134.80 77.00 72.20 1 进入体检 昆山市 市法院 71 五级法官助理 2 吕晓娟 女 101000511114 134.20 75.60 71.35 2 进入体检 昆山市 市法院 71 五级法官助理 2 邹瑞丽 女 101530101209 133.70 72.40 69.63 3 昆山市 市法院 71 五级法官助理 2 张添添 女 101530104512 132.20 0.00 昆山市 市法院 71 五级法官助理 2 王之梦 女 101530103708 130.60 69.20 67.25 4 昆山市 市检察院 01 一级科员 1 葛梦桐 女 101530104128 159.00 74.00 76.75 1 昆山市 市检察院 01 一级科员 1 徐婉婷 女 101530101307 135.10 75.80 71.67 2 昆山市 市检察院 01 一级科员 1 张馨彤 女 101530201724 133.30 74.80 70.72 3 昆山市 市检察院 75 五级检察官助理 1 王浩然 男 101530201519 131.90 0.00 昆山市 市检察院 75 五级检察官助理 1 周宇 男 101530202216 129.30 69.80 67.22 1 昆山市 市检察院 75 五级检察官助理 1 孙涛 男 101530105314 129.00 65.00 64.75 2 昆山市 市检察院 76 五级检察官助理 1 邵佳妍 女 101530101126 140.50 70.60 70.42 2 昆山市 市检察院 76 五级检察官助理 1 颜思语 女 101000600315 137.30 71.60 70.13 3 昆山市 市检察院 76 五级检察官助理 1 王康宁 女 101530103612 136.30 74.60 71.38 1 进入体检 昆山市 市农业农村局 01 2 李思南 男 202530303106 140.50 73.60 71.92 1 进入体检 农业综合行政执法大队一 级行政执法员(参照管理 ) 进入体检 进入体检 昆山市 市农业农村局 01 昆山市 市农业农村局 01 昆山市 市农业农村局 01 昆山市 市农业农村局 01 昆山市 市农业农村局 01 昆山市 市农业农村局 02 昆山市 市农业农村局 02 昆山市 市农业农村局 02 昆山市 市农业农村局 90 昆山市 市农业农村局 90 昆山市 市农业农村局 90 昆山市 市公安局 01 农业综合行政执法大队一 级行政执法员(参照管理 ) 农业综合行政执法大队一 级行政执法员(参照管理 ) 农业综合行政执法大队一 级行政执法员(参照管理 ) 农业综合行政执法大队一 级行政执法员(参照管理 ) 农业综合行政执法大队一 级行政执法员(参照管理 ) 农业综合行政执法大队一 级行政执法员(参照管理 ) 农业综合行政执法大队一 级行政执法员(参照管理 ) 农业综合行政执法大队一 级行政执法员(参照管理 ) 农业综合行政执法大队一 级行政执法员(参照管理 ) 农业综合行政执法大队一 级行政执法员(参照管理 ) 农业综合行政执法大队一 级行政执法员(参照管理 ) 相应职级警员 昆山市 市公安局 01 昆山市 市公安局 2 张盛坤 男 202530302515 137.50 69.80 69.28 3 2 王宇磊 男 202530301121 137.40 70.90 69.80 2 2 邵冬仪 男 202530301126 135.80 65.90 66.90 5 2 庄闻天 男 202530300911 133.40 67.80 67.25 4 2 陈盼潘 男 202530300827 133.20 0.00 1 王瑜 女 202021501026 119.90 72.20 66.08 1 1 李敏娅 女 202530302119 109.00 63.90 59.20 3 1 陆佳颖 女 202530302618 105.90 66.50 59.73 2 1 邱殿凯 男 202530302321 123.70 0.00 1 孙晶晶 女 202530301528 123.10 71.70 66.63 1 1 赵娟 女 202530300313 118.90 73.40 66.42 2 1 顾健 男 204021808726 57.28 67.80 62.54 1 相应职级警员 1 吴昊 男 204021807730 56.68 64.70 60.69 3 01 相应职级警员 1 沈晨 男 204021807816 56.56 68.10 62.33 2 昆山市 市公安局 02 相应职级警员 1 赵媛媛 女 204021807411 67.98 72.50 70.24 1 昆山市 市公安局 02 相应职级警员 1 陈铃 女 204021808330 60.82 70.50 65.66 3 昆山市 市公安局 02 相应职级警员 1 谢婧扬 女 204021801514 59.09 74.10 66.59 2 昆山市 市公安局 03 相应职级警员 2 王顺尧 男 204021805710 59.39 69.80 64.59 1 进入体检 昆山市 市公安局 03 相应职级警员 2 唐济宇 男 204021803323 58.35 67.30 62.83 2 进入体检 进入体检 进入体检 进入体检 进入体检 进入体检 昆山市 市公安局 04 相应职级警员 1 孔欣洛 男 204001401202 60.33 72.20 66.27 3 昆山市 市公安局 04 相应职级警员 1 王宇杰 男 204021801513 59.79 73.70 66.75 1 昆山市 市公安局 04 相应职级警员 1 夏嘉铭 男 204021808228 57.80 74.80 66.30 2 昆山市 市公安局 05 相应职级警员 4 徐晓斌 男 204021808317 66.45 73.40 69.92 1 进入体检 昆山市 市公安局 05 相应职级警员 4 马天龙 男 204021804914 64.75 73.10 68.92 3 进入体检 昆山市 市公安局 05 相应职级警员 4 孙翌航 男 204001403814 64.10 74.00 69.05 2 进入体检 昆山市 市公安局 05 相应职级警员 4 刘守信 男 204001507221 62.96 66.50 64.73 11 昆山市 市公安局 05 相应职级警员 4 丁怡然 男 204021809609 62.30 73.50 67.90 4 昆山市 市公安局 05 相应职级警员 4 唐孟 男 204081205023 62.27 72.00 67.14 6 昆山市 市公安局 05 相应职级警员 4 陈国宏 男 204001407001 62.21 70.80 66.50 7 昆山市 市公安局 05 相应职级警员 4 张仁琦 男 204021801227 61.16 73.70 67.43 5 昆山市 市公安局 05 相应职级警员 4 朱程佳 男 204021804630 60.94 68.60 64.77 10 昆山市 市公安局 05 相应职级警员 4 陶荣 男 204021803127 60.86 70.40 65.63 8 昆山市 市公安局 05 相应职级警员 4 张乾峰 男 204021802423 60.26 0.00 昆山市 市公安局 05 相应职级警员 4 姜昕 男 204021801411 59.95 69.80 64.88 9 昆山市 市公安局 06 相应职级警员 2 汤孜希 女 204021806129 67.85 75.60 71.72 1 昆山市 市公安局 06 相应职级警员 2 周易 女 204021808021 65.63 73.60 69.61 3 昆山市 市公安局 06 相应职级警员 2 时奕萍 女 204021801426 65.35 70.80 68.08 5 昆山市 市公安局 06 相应职级警员 2 谢小萌 女 204021801416 64.14 77.00 70.57 2 进入体检 进入体检 进入体检 进入体检 昆山市 市公安局 06 相应职级警员 2 熊仪军 女 204021801321 63.02 70.40 66.71 6 昆山市 市公安局 06 相应职级警员 2 陈晨 女 204081205613 62.49 74.20 68.34 4 昆山市 市文体广旅局 01 2 沈强 男 202530302328 136.10 76.00 72.03 1 进入体检 昆山市 市文体广旅局 01 2 王永伟 男 202530301712 134.00 74.60 70.80 2 进入体检 昆山市 市文体广旅局 01 2 吴凯平 男 202530300401 127.00 73.40 68.45 3 昆山市 市文体广旅局 01 2 刘庸 男 202530300328 125.00 71.20 66.85 4 昆山市 市文体广旅局 01 2 吴钰文 男 202530300706 124.60 67.00 64.65 5 昆山市 市文体广旅局 01 2 苏国星 男 202530303029 122.20 64.40 62.75 6 昆山市 市文体广旅局 02 1 刘倩 女 202530302306 140.30 78.40 74.28 1 昆山市 市文体广旅局 02 1 陈佳 女 202530300625 132.00 74.80 70.40 2 昆山市 市文体广旅局 02 1 金花 女 202530300223 131.70 73.40 69.63 3 昆山市 市文体广旅局 90 1 王健瑛 男 202001203525 124.90 71.80 67.13 1 昆山市 市文体广旅局 90 1 高河维 男 202530301716 121.20 62.20 61.40 2 昆山市 市文体广旅局 90 1 张烨 男 202530302408 119.00 0.00 昆山市 市卫健委 03 1 马胜旗 女 202530300630 145.30 71.60 72.13 1 昆山市 市卫健委 03 1 任鑫悦 女 202530302112 136.30 0.00 昆山市 市卫健委 03 1 陆依岭 女 202530301725 134.70 71.40 69.38 2 昆山市 市卫健委 60 2 蓝挺曦 男 202530301809 130.10 74.00 69.53 1 进入体检 昆山市 市卫健委 60 2 杨广志 男 202001205630 126.30 73.00 68.08 2 进入体检 文化市场综合执法大队一 级行政执法员(参照管理 ) 文化市场综合执法大队一 级行政执法员(参照管理 ) 文化市场综合执法大队一 级行政执法员(参照管理 ) 文化市场综合执法大队一 级行政执法员(参照管理 ) 文化市场综合执法大队一 级行政执法员(参照管理 ) 文化市场综合执法大队一 级行政执法员(参照管理 ) 文化市场综合执法大队一 级行政执法员(参照管理 ) 文化市场综合执法大队一 级行政执法员(参照管理 ) 文化市场综合执法大队一 级行政执法员(参照管理 ) 文化市场综合执法大队一 级行政执法员(参照管理 ) 文化市场综合执法大队一 级行政执法员(参照管理 ) 文化市场综合执法大队一 级行政执法员(参照管理 ) 卫生监督所一级行政执法 员(参照管理) 卫生监督所一级行政执法 员(参照管理) 卫生监督所一级行政执法 员(参照管理) 卫生监督所一级行政执法 员(参照管理) 卫生监督所一级行政执法 员(参照管理) 进入体检 进入体检 进入体检 卫生监督所一级行政执法 员(参照管理) 卫生监督所一级行政执法 员(参照管理) 卫生监督所一级行政执法 员(参照管理) 卫生监督所一级行政执法 员(参照管理) 卫生监督所一级行政执法 员(参照管理) 卫生监督所一级行政执法 员(参照管理) 2 刘希冲 男 202530302824 122.60 67.20 64.25 4 2 许锐 男 202090802229 121.20 74.20 67.40 3 2 沈晓铖 男 202530302827 112.50 0.00 1 陆星怡 女 202001301124 125.00 70.00 66.25 1 1 张凌云 女 202530301520 114.20 0.00 1 翁羽 女 202021605819 112.50 0.00 01 一级行政执法员 1 肖菊春 男 202530300616 135.10 64.60 66.08 3 昆山市 市应急管理局 01 一级行政执法员 1 谢将安 男 202530302016 132.30 72.00 69.08 2 昆山市 市应急管理局 01 一级行政执法员 1 褚扬 女 202530301022 127.60 76.00 69.90 1 进入体检 昆山市 市应急管理局 01 一级行政执法员 1 沈中芹 女 202001206428 127.60 0.00 昆山市 市应急管理局 02 一级行政执法员 1 黄旭安 男 202040610008 133.20 73.60 70.10 1 进入体检 昆山市 市应急管理局 02 一级行政执法员 1 杨鹏 男 202530302014 129.30 49.80 昆山市 市应急管理局 02 一级行政执法员 1 张杰 男 202032800218 125.30 72.80 67.72 2 昆山市 市应急管理局 03 1 张营 女 202530302816 137.20 79.20 73.90 1 昆山市 市应急管理局 03 1 赵斯鹏 男 202530300124 132.30 71.40 68.78 2 昆山市 市应急管理局 03 1 沈彬彬 女 202530302213 130.90 71.60 68.53 3 昆山市 市应急管理局 04 1 王钧渤 男 202530300607 128.30 74.00 69.08 1 昆山市 市应急管理局 04 1 孙乐 男 202530301701 127.70 69.00 66.42 2 昆山市 市应急管理局 04 安全生产监察大队一级行 政执法员(参照管理) 安全生产监察大队一级行 政执法员(参照管理) 安全生产监察大队一级行 政执法员(参照管理) 安全生产监察大队一级行 政执法员(参照管理) 安全生产监察大队一级行 政执法员(参照管理) 安全生产监察大队一级行 政执法员(参照管理) 1 杨兆 男 202061301115 127.40 67.80 65.75 3 昆山市 市卫健委 60 昆山市 市卫健委 60 昆山市 市卫健委 60 昆山市 市卫健委 61 昆山市 市卫健委 61 昆山市 市卫健委 61 昆山市 市应急管理局 进入体检 进入体检 进入体检 昆山市 市城管局 01 昆山市 市城管局 01 昆山市 市城管局 01 昆山市 市城管局 02 昆山市 市城管局 02 昆山市 市城管局 02 昆山市 市城管局 03 昆山市 市城管局 03 昆山市 市城管局 03 昆山市 市城管局 04 昆山市 市城管局 04 昆山市 市城管局 04 昆山市 市城管局 05 昆山市 市城管局 05 昆山市 市城管局 05 昆山市 市城管局 90 昆山市 市城管局 90 昆山市 市城管局 90 太仓市 市工信局 01 城管执法大队一级行政执 法员(参照管理) 城管执法大队一级行政执 法员(参照管理) 城管执法大队一级行政执 法员(参照管理) 城管执法大队一级行政执 法员(参照管理) 城管执法大队一级行政执 法员(参照管理) 城管执法大队一级行政执 法员(参照管理) 城管执法大队一级行政执 法员(参照管理) 城管执法大队一级行政执 法员(参照管理) 城管执法大队一级行政执 法员(参照管理) 城管执法大队一级行政执 法员(参照管理) 城管执法大队一级行政执 法员(参照管理) 城管执法大队一级行政执 法员(参照管理) 城管执法大队一级行政执 法员(参照管理) 城管执法大队一级行政执 法员(参照管理) 城管执法大队一级行政执 法员(参照管理) 城管执法大队一级行政执 法员(参照管理) 城管执法大队一级行政执 法员(参照管理) 城管执法大队一级行政执 法员(参照管理) 1 冯少华 男 202530302505 128.40 67.80 66.00 2 1 杨健 男 202530300801 128.30 70.40 67.28 1 1 钱沈超 男 202530301209 124.70 64.80 63.58 3 1 谭资元 男 202001300304 129.80 64.00 64.45 2 1 黄帅 男 202530302927 127.20 69.00 66.30 1 1 高汉文 男 202530302206 125.80 65.60 64.25 3 1 翁丽娟 女 202530300723 142.10 72.00 71.53 1 1 牛娇 女 202530301115 137.50 74.20 71.47 2 1 许嘉懿 女 202530302615 136.10 71.20 69.63 3 1 陆佳晨 女 202530301305 131.80 70.00 67.95 1 1 陆思怡 女 202530302905 129.40 66.20 65.45 3 1 石程程 女 202530302324 128.50 71.60 67.92 2 1 蔡陈静 女 202001301828 147.20 70.80 72.20 2 1 王燕 女 202530301322 141.40 68.40 69.55 3 1 沈逸文 女 202530300905 139.30 75.80 72.72 1 1 龚磊 男 202530301008 121.30 60.40 60.52 2 1 姚春燕 女 202530302601 116.80 66.40 62.40 1 进入体检 1 江帆 男 202530302001 108.00 0.00 一级科员 1 张文瀚 男 101550102829 145.70 75.30 74.08 1 进入体检 进入体检 进入体检 进入体检 进入体检 进入体检 太仓市 市工信局 01 一级科员 1 冯志龙 男 101550102208 137.00 72.40 70.45 2 太仓市 市工信局 01 一级科员 1 罗凌晨 男 101550103430 136.80 69.70 69.05 3 太仓市 市工信局 02 一级科员 1 董良 女 101550100308 151.60 79.20 77.50 1 太仓市 市工信局 02 一级科员 1 蒋绮 女 101550100317 139.60 73.90 71.85 2 太仓市 市工信局 02 一级科员 1 沈一唯 女 101550102015 137.70 74.50 71.68 3 太仓市 市公安局 01 相应职级警员 3 张羽达 男 204021809623 62.24 79.40 70.82 1 进入体检 太仓市 市公安局 01 相应职级警员 3 杨晨 男 204021805016 62.96 75.00 68.98 2 进入体检 太仓市 市公安局 01 相应职级警员 3 沈鑫晨 男 204021804501 60.41 77.20 68.81 3 进入体检 太仓市 市公安局 01 相应职级警员 3 李元浩 男 204001403218 61.18 76.40 68.79 4 太仓市 市公安局 01 相应职级警员 3 李冠楠 男 204001403018 61.44 75.20 68.32 5 太仓市 市公安局 01 相应职级警员 3 吴奕恺 男 204021804624 63.63 72.40 68.02 6 太仓市 市公安局 01 相应职级警员 3 丁晨宇 男 204021804608 60.63 69.80 65.22 7 太仓市 市公安局 01 相应职级警员 3 贾翔顺 男 204021802521 61.24 67.20 64.22 8 太仓市 市公安局 01 相应职级警员 3 李天阳 男 204001504813 59.75 缺考 太仓市 市公安局 02 相应职级警员 1 周伟 男 204021802614 59.99 72.00 66.00 1 进入体检 太仓市 市公安局 02 相应职级警员 1 张思民 男 204001502426 60.20 缺考 太仓市 市公安局 03 相应职级警员 2 陶万树 男 204120700102 68.84 74.20 71.52 1 进入体检 太仓市 市公安局 03 相应职级警员 2 姜冉 男 204001406508 65.34 71.00 68.17 2 进入体检 太仓市 市公安局 03 相应职级警员 2 徐琛沣 男 204021809209 62.99 73.00 68.00 3 进入体检 太仓市 市公安局 03 相应职级警员 2 郝冬冬 男 204021804926 64.97 67.40 66.19 4 太仓市 市公安局 03 相应职级警员 2 顾友佳 男 204021806126 62.80 69.00 65.90 5 太仓市 市公安局 03 相应职级警员 2 潘峰 男 204021803209 61.35 69.20 65.28 6 太仓市 市公安局 04 相应职级警员 4 戴志文 男 204021805621 61.37 78.40 69.89 1 进入体检 太仓市 市公安局 04 相应职级警员 4 章其琛 男 204021809429 62.82 73.60 68.21 2 进入体检 太仓市 市公安局 04 相应职级警员 4 朱烨 男 204021808106 63.71 72.50 68.11 3 进入体检 太仓市 市公安局 04 相应职级警员 4 张博政 男 204081205513 59.43 72.40 65.92 4 进入体检 太仓市 市公安局 04 相应职级警员 4 方瀚青 男 204021800220 59.12 72.00 65.56 5 太仓市 市公安局 04 相应职级警员 4 唐潇俊 男 204021806910 55.71 65.80 60.76 6 太仓市 市公安局 04 相应职级警员 4 吴晨飞 男 204021806222 58.34 0.00 太仓市 市公安局 04 相应职级警员 4 孙承龙 男 204081202720 61.53 缺考 太仓市 市公安局 05 相应职级警员 3 刘笑彤 女 204001501309 65.57 78.10 71.84 1 进入体检 太仓市 市公安局 05 相应职级警员 3 陶桉柠 女 204021806805 68.37 74.90 71.64 2 进入体检 太仓市 市公安局 05 相应职级警员 3 金傲 女 204021808624 63.35 77.10 70.23 3 进入体检 太仓市 市公安局 05 相应职级警员 3 李姣 女 204021801625 61.73 76.80 69.27 4 太仓市 市公安局 05 相应职级警员 3 孙梦婷 女 204021806227 62.67 71.90 67.29 5 太仓市 市公安局 05 相应职级警员 3 陈逸凡 女 204001507502 61.62 71.70 66.66 6 太仓市 市公安局 05 相应职级警员 3 唐曼曼 女 204021800628 60.66 71.00 65.83 7 太仓市 市公安局 05 相应职级警员 3 钱雨晴 女 204001500820 61.60 70.00 65.80 8 太仓市 市公安局 05 相应职级警员 3 张云秀 女 204021808004 58.92 16.40 太仓市 市公安局 06 相应职级警员 5 王敏达 男 204021801314 65.80 77.80 71.80 1 进入体检 太仓市 市公安局 06 相应职级警员 5 严宇鹏 男 204021805623 67.49 73.80 70.65 2 进入体检 太仓市 市公安局 06 相应职级警员 5 李兴雨 男 204081203012 66.08 74.20 70.14 3 进入体检 太仓市 市公安局 06 相应职级警员 5 李佳程 男 204001504403 62.44 74.20 68.32 4 进入体检 太仓市 市公安局 06 相应职级警员 5 张毅磊 男 204021807812 63.88 71.20 67.54 5 进入体检 太仓市 市公安局 06 相应职级警员 5 曲明 男 204021807113 63.73 71.20 67.47 6 太仓市 市公安局 06 相应职级警员 5 谢洋洋 男 204021802523 62.18 72.00 67.09 7 太仓市 市公安局 06 相应职级警员 5 黄梓杰 男 204001406010 62.45 70.40 66.43 8 太仓市 市公安局 06 相应职级警员 5 何亮 男 204021800123 59.38 73.20 66.29 9 太仓市 市公安局 06 相应职级警员 5 杨碧川 男 204021805725 60.89 71.40 66.15 10 太仓市 市公安局 06 相应职级警员 5 秦汉 男 204021807713 62.66 68.60 65.63 11 太仓市 市公安局 06 相应职级警员 5 顾云杰 男 204001502130 61.34 69.80 65.57 12 太仓市 市公安局 06 相应职级警员 5 高吴晓 男 204021801313 58.16 71.40 64.78 13 太仓市 市公安局 06 相应职级警员 5 陆林武 男 204021808212 57.98 67.00 62.49 14 太仓市 市公安局 06 相应职级警员 5 张唯捷 男 204021801020 59.34 64.20 61.77 15 太仓市 市财政局 01 一级科员 1 蒋金倩 女 101550104101 139.70 72.80 71.33 1 太仓市 市财政局 01 一级科员 1 曹宇婷 女 101550105013 136.50 71.90 70.08 2 太仓市 市财政局 01 一级科员 1 赵文 女 101550104515 134.70 71.70 69.53 3 进入体检 太仓市 市财政局 60 一级科员 1 任平玖 男 101550102327 143.20 70.70 71.15 1 太仓市 市财政局 60 一级科员 1 王之风 男 101060304924 140.50 71.70 70.98 2 太仓市 市财政局 60 一级科员 1 王子贤 男 101550101117 139.70 69.20 69.53 3 太仓市 市财政局 61 一级科员 1 吴卓云 女 101000707809 142.20 70.90 71.00 1 太仓市 市财政局 61 一级科员 1 缪冰颖 女 101550102218 139.90 71.10 70.53 2 太仓市 市财政局 61 一级科员 1 周阿华 女 101550104422 143.90 缺考 太仓市 市人社局 01 一级科员 1 杨明山 男 101030205002 138.90 76.60 73.03 1 太仓市 市人社局 01 一级科员 1 陈哲能 男 101550102803 133.00 70.00 68.25 2 太仓市 市人社局 01 一级科员 1 熊子豪 男 101550100708 141.00 缺考 太仓市 市人社局 02 一级科员 1 龚琰 女 101550104327 139.50 70.40 70.08 1 太仓市 市人社局 02 一级科员 1 陈留美慧 女 101550101218 137.10 69.00 68.78 2 太仓市 市人社局 02 一级科员 1 杨阳 女 101000609630 135.20 67.20 67.40 3 太仓市 市人社局 60 1 钟雨 女 101110702818 136.00 74.80 71.40 1 太仓市 市人社局 60 1 周梦琦 女 101000900328 140.10 71.20 70.63 2 太仓市 市人社局 60 社保中心一级科员(参照 管理) 社保中心一级科员(参照 管理) 社保中心一级科员(参照 管理) 1 韦峡怡 女 101110403302 136.60 71.30 69.80 3 太仓市 市自然资源和规划局 01 一级科员 1 韩心怡 女 101550101430 142.50 75.30 73.28 1 太仓市 市自然资源和规划局 01 一级科员 1 周倩 女 101550100329 140.40 74.64 72.42 2 太仓市 市自然资源和规划局 01 一级科员 1 马嘉琪 女 101550104518 139.90 69.00 69.48 3 太仓市 市自然资源和规划局 02 基层分局一级科员(参照 管理) 3 李宗倍 男 101550100424 148.70 76.50 75.43 1 进入体检 进入体检 进入体检 进入体检 进入体检 进入体检 进入体检 太仓市 市自然资源和规划局 02 太仓市 市自然资源和规划局 02 太仓市 市自然资源和规划局 02 太仓市 市自然资源和规划局 02 太仓市 市自然资源和规划局 02 太仓市 市自然资源和规划局 02 太仓市 市自然资源和规划局 02 太仓市 市自然资源和规划局 02 太仓市 市自然资源和规划局 03 太仓市 市自然资源和规划局 03 太仓市 市自然资源和规划局 03 太仓市 市自然资源和规划局 03 太仓市 市自然资源和规划局 03 太仓市 市自然资源和规划局 03 太仓市 市自然资源和规划局 03 太仓市 市自然资源和规划局 03 太仓市 市自然资源和规划局 03 太仓市 市自然资源和规划局 60 太仓市 市自然资源和规划局 60 基层分局一级科员(参照 管理) 基层分局一级科员(参照 管理) 基层分局一级科员(参照 管理) 基层分局一级科员(参照 管理) 基层分局一级科员(参照 管理) 基层分局一级科员(参照 管理) 基层分局一级科员(参照 管理) 基层分局一级科员(参照 管理) 基层分局一级科员(参照 管理) 基层分局一级科员(参照 管理) 基层分局一级科员(参照 管理) 基层分局一级科员(参照 管理) 基层分局一级科员(参照 管理) 基层分局一级科员(参照 管理) 基层分局一级科员(参照 管理) 基层分局一级科员(参照 管理) 基层分局一级科员(参照 管理) 基层分局一级科员(参照 管理) 基层分局一级科员(参照 管理) 3 龚轶韬 男 101550102121 137.30 76.60 72.63 2 进入体检 3 劳英杰 男 101550100112 141.90 72.00 71.48 3 进入体检 3 徐康 男 101550105109 142.50 71.20 71.23 4 3 孙逸飞 男 101550102205 135.20 73.54 70.57 5 3 许夫遥 男 101550100709 136.50 70.68 69.47 6 3 赵建川 男 101100105526 135.30 69.46 68.56 7 3 钱小晨 男 101000710006 138.50 66.32 67.79 8 3 徐俊 男 101550100924 134.10 66.12 66.59 9 3 王丹 女 101550104501 143.30 74.60 73.13 1 进入体检 3 徐萌 女 101550104509 140.20 72.90 71.50 2 进入体检 3 高雅静 女 101550102903 137.80 67.86 68.38 3 进入体检 3 莫子苗 女 101550102010 131.10 70.40 67.98 4 3 孙华 女 101550102723 130.80 69.60 67.50 5 3 王子龙 男 101550102230 134.20 66.06 66.58 6 3 钱炜 男 101000502509 131.70 66.60 66.23 7 3 邱琳 女 101550103803 130.40 66.24 65.72 8 3 杨金花 女 101020102627 131.60 64.50 65.15 9 1 李彦 女 101000603120 137.60 74.40 71.60 1 1 邹涵宇 女 101550104911 136.10 73.00 70.53 2 进入体检 太仓市 市自然资源和规划局 60 基层分局一级科员(参照 管理) 1 何湲 女 101000503229 134.60 缺考 太仓市 市交通局 01 一级科员 1 孙陈 男 101550104427 141.90 75.30 73.13 1 太仓市 市交通局 01 一级科员 1 陆志明 男 101550103417 142.00 74.30 72.65 2 太仓市 市交通局 01 一级科员 1 陈续 男 101000711527 134.30 67.50 67.33 3 太仓市 市交通局 02 一级科员 1 沙梦雨 女 101120604118 136.50 76.30 72.28 1 太仓市 市交通局 02 一级科员 1 杨偲偲 女 101550103605 136.30 74.40 71.28 2 太仓市 市交通局 02 一级科员 1 白祥瑞 女 101000901813 134.10 68.60 67.83 3 太仓市 市农业农村局 01 一级科员 1 薛天涵 男 101550103726 140.50 76.40 73.33 1 太仓市 市农业农村局 01 一级科员 1 沈博凡 男 101000705812 136.20 75.60 71.85 2 太仓市 市农业农村局 01 一级科员 1 俞家陆 女 101550105006 144.60 缺考 太仓市 市农业农村局 02 一级科员 1 刘凯 男 101070504626 123.90 75.00 68.48 1 太仓市 市农业农村局 02 一级科员 1 张佳佳 女 101001101212 127.60 72.70 68.25 2 太仓市 市农业农村局 02 一级科员 1 李霄 男 101100207323 125.60 缺考 太仓市 市农业农村局 03 1 徐冬晖 男 202550105906 142.50 72.70 71.98 1 太仓市 市农业农村局 03 1 钱英明 男 202550106819 114.50 67.80 62.53 2 太仓市 市农业农村局 03 1 徐翔宇 男 202550105613 116.80 缺考 太仓市 市农业农村局 90 1 何军 男 202550106301 109.90 70.50 62.73 1 太仓市 市农业农村局 90 农业综合执法大队一级行 政执法员(参照管理) 农业综合执法大队一级行 政执法员(参照管理) 农业综合执法大队一级行 政执法员(参照管理) 农业综合执法大队一级行 政执法员(参照管理) 农业综合执法大队一级行 政执法员(参照管理) 1 杨晓唐 男 202550106411 110.00 69.90 62.45 2 太仓市 市商务局 01 一级科员 1 戴晓伟 男 101550100806 133.30 76.00 71.33 1 进入体检 进入体检 进入体检 进入体检 进入体检 进入体检 进入体检 太仓市 市商务局 01 一级科员 1 马长青 女 101550105203 131.80 70.20 68.05 2 太仓市 市商务局 01 一级科员 1 黄正成 男 101550104619 133.10 68.20 67.38 3 太仓市 市文体广旅局 01 一级科员 1 邹军 男 101110204315 138.30 77.00 73.08 1 太仓市 市文体广旅局 01 一级科员 1 庞桢易 男 101550101211 133.30 73.40 70.03 2 太仓市 市文体广旅局 01 一级科员 1 陆云 男 101550103114 137.00 71.00 69.75 3 太仓市 市文体广旅局 02 一级科员 1 高焕 女 101550103609 136.50 73.80 71.03 1 太仓市 市文体广旅局 02 一级科员 1 张文洁 女 101550100418 137.10 72.40 70.48 2 太仓市 市文体广旅局 02 一级科员 1 王佳慧 女 101550102217 132.40 70.40 68.30 3 太仓市 市文体广旅局 03 1 朱晓逸 女 202550105418 136.10 76.90 72.48 1 太仓市 市文体广旅局 03 1 王静怡 女 202550106701 137.30 72.70 70.68 2 太仓市 市文体广旅局 03 1 张靖钰 女 202550106227 134.20 72.20 69.65 3 太仓市 市文体广旅局 04 1 贾清源 男 202550105728 135.90 76.70 72.33 1 太仓市 市文体广旅局 04 1 王亿 男 202550105708 135.60 74.40 71.10 2 太仓市 市文体广旅局 04 1 吴宇 男 202550107110 134.90 71.30 69.38 3 太仓市 市卫健委 01 文化市场综合执法大队一 级行政执法员(参照管理 ) 文化市场综合执法大队一 级行政执法员(参照管理 ) 文化市场综合执法大队一 级行政执法员(参照管理 ) 文化市场综合执法大队一 级行政执法员(参照管理 ) 文化市场综合执法大队一 级行政执法员(参照管理 ) 文化市场综合执法大队一 级行政执法员(参照管理 ) 一级科员 1 孔金金 女 101070112410 134.00 72.20 69.60 1 太仓市 市卫健委 01 一级科员 1 周莉 女 101000802413 122.10 71.40 66.23 2 太仓市 市卫健委 01 一级科员 1 张蕾 女 101550104806 116.00 缺考 太仓市 市审计局 01 一级科员 1 张贝尔 女 101550103902 145.80 76.20 74.55 1 太仓市 市审计局 01 一级科员 1 杨诗怡 女 101550102504 145.20 72.40 72.50 2 进入体检 进入体检 进入体检 进入体检 进入体检 进入体检 太仓市 市审计局 01 一级科员 1 顾雨兰 女 101000609411 144.90 69.60 71.03 3 太仓市 市统计局 01 一级科员 1 张伊杨 女 101550101224 142.40 76.60 73.90 1 太仓市 市统计局 01 一级科员 1 顾欣益 女 101550102317 139.90 74.00 71.98 2 太仓市 市统计局 01 一级科员 1 黄芬芬 女 101550101921 139.80 70.80 70.35 3 太仓市 市应急局 01 一级行政执法员 1 王兮 男 202550105511 140.90 71.60 71.03 1 太仓市 市应急局 01 一级行政执法员 1 杨致贤 男 202550106507 131.10 68.40 66.98 2 太仓市 市应急局 01 一级行政执法员 1 韩鑫淼 男 202550106425 135.50 缺考 太仓市 市应急局 02 一级行政执法员 1 吴洋洋 女 202110803022 139.80 70.40 70.15 1 太仓市 市应急局 02 一级行政执法员 1 杨娜娜 女 202550106017 132.40 74.00 70.10 2 太仓市 市应急局 02 一级行政执法员 1 蔡逸凡 男 202550105528 132.80 69.20 67.80 3 太仓市 市应急局 03 1 吴国辉 男 202550106409 131.40 76.80 71.25 1 太仓市 市应急局 03 1 冯天朝 男 202550106202 131.50 70.40 68.08 2 太仓市 市应急局 03 1 戴益磊 男 202550107120 124.40 64.80 63.50 3 太仓市 市应急局 04 1 褚珺豪 男 202550106603 132.50 72.60 69.43 1 太仓市 市应急局 04 1 姜楠 男 202550106926 129.60 72.80 68.80 2 太仓市 市应急局 04 安全生产监察大队一级行 政执法员(参照管理) 安全生产监察大队一级行 政执法员(参照管理) 安全生产监察大队一级行 政执法员(参照管理) 安全生产监察大队一级行 政执法员(参照管理) 安全生产监察大队一级行 政执法员(参照管理) 安全生产监察大队一级行 政执法员(参照管理) 1 翁思皓 男 202550107007 131.60 65.00 65.40 3 太仓市 市信访局 90 一级科员 1 王帅 男 101070304618 128.20 71.80 67.95 1 太仓市 市信访局 90 一级科员 1 崔中清 男 101080605817 119.80 72.20 66.05 2 太仓市 市信访局 90 一级科员 1 胡颖杭 女 101080402627 116.90 72.00 65.23 3 进入体检 进入体检 进入体检 进入体检 进入体检 进入体检 太仓市 市城管局 01 太仓市 市城管局 01 太仓市 市城管局 01 太仓市 市城管局 02 太仓市 市城管局 02 太仓市 市城管局 02 太仓市 市城管局 03 太仓市 市城管局 03 太仓市 市城管局 03 太仓市 市城管局 04 太仓市 市城管局 04 太仓市 市城管局 04 太仓市 市城管局 05 太仓市 市城管局 05 太仓市 市城管局 05 太仓市 市城管局 06 太仓市 市城管局 06 太仓市 市城管局 06 太仓市 市城管局 07 城管执法大队一级行政执 法员(参照管理) 城管执法大队一级行政执 法员(参照管理) 城管执法大队一级行政执 法员(参照管理) 城管执法大队一级行政执 法员(参照管理) 城管执法大队一级行政执 法员(参照管理) 城管执法大队一级行政执 法员(参照管理) 城管执法大队一级行政执 法员(参照管理) 城管执法大队一级行政执 法员(参照管理) 城管执法大队一级行政执 法员(参照管理) 城管执法大队一级行政执 法员(参照管理) 城管执法大队一级行政执 法员(参照管理) 城管执法大队一级行政执 法员(参照管理) 城管执法大队一级行政执 法员(参照管理) 城管执法大队一级行政执 法员(参照管理) 城管执法大队一级行政执 法员(参照管理) 城管执法大队一级行政执 法员(参照管理) 城管执法大队一级行政执 法员(参照管理) 城管执法大队一级行政执 法员(参照管理) 城管执法大队一级行政执 法员(参照管理) 1 周思磊 男 202550105924 134.60 77.60 72.45 1 1 沈愉旸 男 202550106720 132.60 72.20 69.25 2 1 王俊威 男 202550106522 130.50 69.00 67.13 3 1 朱婷 女 202550106715 133.30 77.40 72.03 1 1 刘婷婷 女 202550106609 131.50 73.20 69.48 2 1 徐静丹 女 202550105712 131.10 71.40 68.48 3 1 皇甫玥 女 202550106108 129.50 73.80 69.28 1 1 谢梦薇 女 202550106121 128.60 70.40 67.35 2 1 刘颖 女 202550106318 125.30 70.80 66.73 3 1 沈家俊 男 202550106009 132.30 71.80 68.98 1 1 司杰 男 202550106509 125.40 72.00 67.35 2 1 王东冬 男 202550106218 126.10 71.40 67.23 3 1 殷嘉利 女 202550105405 135.90 74.00 70.98 1 1 杜艳艳 女 202550106417 130.60 74.80 70.05 2 1 武依琳 女 202550106710 130.20 69.40 67.25 3 1 吴敏杰 男 202550106004 130.70 71.20 68.28 1 1 顾晔 男 202550105918 128.00 71.60 67.80 2 1 韩志杰 男 202550106814 124.10 67.80 64.93 3 1 夏晨曦 女 202550105625 129.80 72.20 68.55 1 进入体检 进入体检 进入体检 进入体检 进入体检 进入体检 进入体检 城管执法大队一级行政执 法员(参照管理) 城管执法大队一级行政执 法员(参照管理) 城管执法大队一级行政执 法员(参照管理) 城管执法大队一级行政执 法员(参照管理) 城管执法大队一级行政执 法员(参照管理) 1 周祈昕 女 202550105908 126.30 69.20 66.18 2 1 刘少芬 女 202001202227 131.60 65.16 65.48 3 1 唐龙喜 男 202081103901 116.90 68.00 63.23 1 1 王星辰 男 202550105630 118.10 66.76 62.91 2 1 范舒宇 男 202550106002 120.10 49.60 70 五级法官助理 3 袁行重 男 101000411305 131.70 77.40 71.63 1 进入体检 太仓市 市法院 70 五级法官助理 3 陈源 男 101550102221 125.80 79.00 70.95 2 进入体检 太仓市 市法院 70 五级法官助理 3 奚天泽 男 101020801704 132.30 72.00 69.08 3 进入体检 太仓市 市法院 70 五级法官助理 3 陈宇伦 男 101550103608 121.50 72.60 66.68 4 太仓市 市法院 70 五级法官助理 3 王帅 男 101020602325 120.30 73.20 66.68 5 太仓市 市法院 70 五级法官助理 3 齐镇宇 男 101550103226 124.80 68.20 65.30 6 太仓市 市法院 70 五级法官助理 3 喻飞 男 101000804021 135.60 缺考 太仓市 市法院 71 五级法官助理 3 仝梦宇 女 101550104005 131.80 78.00 71.95 1 进入体检 太仓市 市法院 71 五级法官助理 3 虞琪琪 女 101550104325 140.50 72.20 71.23 2 进入体检 太仓市 市法院 71 五级法官助理 3 聂文琪 女 101550105108 130.30 74.40 69.78 3 进入体检 太仓市 市法院 71 五级法官助理 3 郁春艳 女 101550101113 131.50 73.20 69.48 4 太仓市 市法院 71 五级法官助理 3 卢晓燕 女 101000509926 129.30 73.00 68.83 5 太仓市 市法院 71 五级法官助理 3 魏钧一 女 101000510012 129.60 59.80 太仓市 市法院 71 五级法官助理 3 王君怡 女 101550104720 135.60 缺考 太仓市 市城管局 07 太仓市 市城管局 07 太仓市 市城管局 60 太仓市 市城管局 60 太仓市 市城管局 60 太仓市 市法院 进入体检 太仓市 市法院 71 五级法官助理 3 杨汝玲 女 101550105113 133.10 缺考 太仓市 市法院 71 五级法官助理 3 段甜甜 女 101550104409 129.00 缺考 太仓市 市检察院 75 五级检察官助理 2 刘海涛 男 101550102028 135.70 76.00 71.93 1 进入体检 太仓市 市检察院 75 五级检察官助理 2 刘培森 男 101550101204 134.00 74.80 70.90 2 进入体检 太仓市 市检察院 75 五级检察官助理 2 刘相彬 男 101031201828 127.30 69.60 66.63 3 太仓市 市检察院 76 五级检察官助理 1 王吟秋 女 101090104406 130.80 75.80 70.60 1 进入体检 太仓市 市检察院 76 五级检察官助理 1 李露荣 女 101000711722 114.10 缺考 太仓市 城厢镇机关 01 一级科员 1 高少岚 女 303550200107 141.90 75.20 73.08 1 进入体检 太仓市 城厢镇机关 01 一级科员 1 贾忱灿 女 303001601011 136.50 75.00 71.63 2 太仓市 城厢镇机关 01 一级科员 1 朱凯立 男 303550202705 139.50 69.00 69.38 3 太仓市 城厢镇机关 02 一级科员 1 罗晓枫 男 303550200430 144.30 77.00 74.58 1 太仓市 城厢镇机关 02 一级科员 1 俞锦宸 男 303550202024 142.80 69.80 70.60 2 太仓市 城厢镇机关 02 一级科员 1 张益腾 男 303022205302 138.70 缺考 太仓市 沙溪镇机关 01 一级科员 1 胡圆皓 男 303550203704 130.30 73.30 69.23 1 太仓市 沙溪镇机关 01 一级科员 1 潘能 男 303550202427 131.50 69.80 67.78 2 太仓市 沙溪镇机关 01 一级科员 1 张平辉 男 303550202416 125.10 65.40 63.98 3 太仓市 沙溪镇机关 02 一级科员 1 喻星 女 303550200804 148.10 72.40 73.23 1 太仓市 沙溪镇机关 02 一级科员 1 朱静雯 女 303550201828 137.70 72.20 70.53 2 太仓市 沙溪镇机关 02 一级科员 1 何灿云 女 303550201620 139.50 67.80 68.78 3 进入体检 进入体检 进入体检 太仓市 沙溪镇机关 03 一级科员 1 陶子豪 男 303081505325 139.90 69.70 69.83 1 太仓市 沙溪镇机关 03 一级科员 1 汪峰 男 303550201718 135.90 69.30 68.63 2 太仓市 沙溪镇机关 03 一级科员 1 王拂兵 男 303550203722 136.30 66.62 67.39 3 太仓市 沙溪镇机关 04 一级科员 1 黄须珺 女 303550204516 136.90 71.50 69.98 1 太仓市 沙溪镇机关 04 一级科员 1 王维佳 女 303550202315 131.60 70.30 68.05 2 太仓市 沙溪镇机关 04 一级科员 1 沙晓蕾 女 303550202627 128.40 61.30 62.75 3 太仓市 沙溪镇机关 60 一级科员 1 毛祎程 男 303550201425 150.20 70.40 72.75 1 太仓市 沙溪镇机关 60 一级科员 1 苏俊康 男 303001603609 138.90 64.60 67.03 2 太仓市 沙溪镇机关 60 一级科员 1 唐志成 男 303001600405 138.10 62.90 65.98 3 太仓市 沙溪镇机关 90 一级科员 1 徐珠春 女 303550200416 138.80 73.20 71.30 1 太仓市 沙溪镇机关 90 一级科员 1 马倩 女 303550201814 122.70 65.80 63.58 2 太仓市 沙溪镇机关 90 一级科员 1 张金金 女 303091103701 121.20 缺考 太仓市 浏河镇机关 01 一级科员 1 唐颖慧 女 303550203723 136.30 75.20 71.68 1 太仓市 浏河镇机关 01 一级科员 1 顾军卫 男 303550204416 134.70 75.40 71.38 2 太仓市 浏河镇机关 01 一级科员 1 吴舜伟 男 303550203719 137.10 72.40 70.48 3 太仓市 浏河镇机关 02 一级科员 1 曾宇佳 女 303550201406 140.10 76.20 73.13 1 太仓市 浏河镇机关 02 一级科员 1 杨欢 男 303550204115 138.50 74.60 71.93 2 太仓市 浏河镇机关 02 一级科员 1 叶伟鹏 女 303550202212 138.60 73.00 71.15 3 太仓市 浮桥镇机关 01 一级科员 2 盛志杰 男 303550202001 141.80 73.40 72.15 1 进入体检 进入体检 进入体检 进入体检 进入体检 进入体检 进入体检 太仓市 浮桥镇机关 01 一级科员 2 李晨阳 男 303070804715 141.00 72.00 71.25 2 太仓市 浮桥镇机关 01 一级科员 2 邓鹏 男 303550201325 137.30 72.40 70.53 3 太仓市 浮桥镇机关 01 一级科员 2 沈杰 男 303550203604 142.00 69.30 70.15 4 太仓市 浮桥镇机关 01 一级科员 2 陈嘉毅 男 303001603001 137.30 68.60 68.63 5 太仓市 浮桥镇机关 01 一级科员 2 颜陈豪 男 303550204423 137.70 68.20 68.53 6 太仓市 浮桥镇机关 02 一级科员 2 马文洁 女 303550200622 142.40 77.80 74.50 1 进入体检 太仓市 浮桥镇机关 02 一级科员 2 俞桢 女 303550200629 140.80 75.00 72.70 2 进入体检 太仓市 浮桥镇机关 02 一级科员 2 沈雯茜 女 303550202804 151.50 69.40 72.58 3 太仓市 浮桥镇机关 02 一级科员 2 曹雅蕾 女 303550200901 143.80 73.00 72.45 4 太仓市 浮桥镇机关 02 一级科员 2 李妍 女 303550203309 143.00 71.20 71.35 5 太仓市 浮桥镇机关 02 一级科员 2 徐相杰 女 303001606217 138.50 69.40 69.33 6 太仓市 璜泾镇机关 01 一级科员 1 李晓华 男 303550204524 133.20 72.20 69.40 1 太仓市 璜泾镇机关 01 一级科员 1 屈晨 男 303550203205 128.30 72.60 68.38 2 太仓市 璜泾镇机关 01 一级科员 1 李建勲 男 303550202617 129.10 68.40 66.48 3 太仓市 璜泾镇机关 98 一级科员 1 吴莉芳 女 303550202205 111.50 69.80 62.78 1 进入体检 太仓市 双凤镇机关 01 一级科员 1 范晓斌 男 303550203916 145.60 75.40 74.10 1 进入体检 太仓市 双凤镇机关 01 一级科员 1 张晨曦 男 303550202628 142.30 73.40 72.28 2 太仓市 双凤镇机关 01 一级科员 1 陆骊晨 男 303550204219 138.90 73.40 71.43 3 太仓市 双凤镇机关 02 一级科员 1 陆玥熠 女 303550204004 147.30 76.20 74.93 1 进入体检 进入体检 进入体检 太仓市 双凤镇机关 02 一级科员 1 李梦婷 女 303550203228 147.10 75.40 74.48 2 太仓市 双凤镇机关 02 一级科员 1 杨芸 女 303550203724 136.60 73.60 70.95 3 太仓市 双凤镇机关 03 一级科员 1 陆思文 男 303550203514 138.60 71.80 70.55 1 太仓市 双凤镇机关 03 一级科员 1 杨佳锦 男 303550204327 139.70 70.40 70.13 2 太仓市 双凤镇机关 03 一级科员 1 钱伟宇 男 303550204225 132.40 71.40 68.80 3 太仓市 下辖乡镇机关 01 财政分局(所)一级科员 1 杨英杰 男 303550204429 147.70 75.00 74.43 1 太仓市 下辖乡镇机关 01 财政分局(所)一级科员 1 李昱庆 男 303550200128 145.20 75.80 74.20 2 太仓市 下辖乡镇机关 01 财政分局(所)一级科员 1 倪骏 男 303550201125 142.10 72.06 71.56 3 太仓市 下辖乡镇机关 02 财政分局(所)一级科员 1 曹炀 女 303550202318 141.50 79.40 75.08 1 太仓市 下辖乡镇机关 02 财政分局(所)一级科员 1 陆倩芸 女 303550201314 146.30 72.56 72.86 2 太仓市 下辖乡镇机关 02 财政分局(所)一级科员 1 唐艳红 女 303550202117 141.80 73.00 71.95 3 太仓市 下辖乡镇机关 03 基层市场监管一级科员 1 朱晨 男 303550203318 142.40 74.90 73.05 1 太仓市 下辖乡镇机关 03 基层市场监管一级科员 1 李志豪 男 303550203507 139.80 72.28 71.09 2 太仓市 下辖乡镇机关 03 基层市场监管一级科员 1 孙源泽 男 303001702807 139.10 缺考 太仓市 下辖乡镇机关 04 基层市场监管一级科员 1 李佳蔓 女 303550200604 138.80 78.90 74.15 1 太仓市 下辖乡镇机关 04 基层市场监管一级科员 1 周汨洱 女 303550204328 135.20 79.40 73.50 2 太仓市 下辖乡镇机关 04 基层市场监管一级科员 1 沈新慧 女 303550201508 136.10 77.30 72.68 3 太仓市 下辖乡镇机关 05 基层市场监管一级科员 2 徐毅文 男 303550202912 143.40 78.70 75.20 1 进入体检 太仓市 下辖乡镇机关 05 基层市场监管一级科员 2 赵雪莹 女 303022100511 141.70 78.60 74.73 2 进入体检 进入体检 进入体检 进入体检 进入体检 进入体检 太仓市 下辖乡镇机关 05 基层市场监管一级科员 2 熊婷 女 303100700715 140.30 75.70 72.93 3 太仓市 下辖乡镇机关 05 基层市场监管一级科员 2 吴诸琰 女 303001602905 142.60 73.60 72.45 4 太仓市 下辖乡镇机关 05 基层市场监管一级科员 2 方舒寒 女 303550201415 143.10 73.06 72.31 5 太仓市 下辖乡镇机关 05 基层市场监管一级科员 2 郑昕 女 303550200921 135.80 缺考 太仓市 下辖乡镇机关 06 基层市场监管一级科员 1 江杰鸣 男 303550202620 142.80 77.06 74.23 1 太仓市 下辖乡镇机关 06 基层市场监管一级科员 1 张恒根 男 303033200417 142.50 74.70 72.98 2 太仓市 下辖乡镇机关 06 基层市场监管一级科员 1 张成 男 303550202601 138.70 75.60 72.48 3 太仓市 下辖乡镇机关 07 基层市场监管一级科员 1 翟言宇 男 303550200114 147.20 77.00 75.30 1 太仓市 下辖乡镇机关 07 基层市场监管一级科员 1 钱益铖 男 303550204614 149.30 72.20 73.43 2 太仓市 下辖乡镇机关 07 基层市场监管一级科员 1 顾泓巍 男 303550203001 140.40 73.40 71.80 3 太仓市 下辖乡镇机关 08 基层市场监管一级科员 1 谢佩 男 303550204217 141.10 75.20 72.88 1 太仓市 下辖乡镇机关 08 基层市场监管一级科员 1 严绮琪 女 303550203924 139.00 73.20 71.35 2 太仓市 下辖乡镇机关 08 基层市场监管一级科员 1 刘洁舲 女 303550201223 135.70 73.80 70.83 3 太仓市 下辖乡镇机关 90 基层市场监管一级科员 1 王鹏尧 男 303033403001 131.30 72.46 69.06 1 太仓市 下辖乡镇机关 90 基层市场监管一级科员 1 王浩宇 男 303091105107 134.90 67.10 67.28 2 太仓市 下辖乡镇机关 90 基层市场监管一级科员 1 杨楷纶 男 303550200808 126.40 70.40 66.80 3 太仓市 下辖乡镇机关 91 财政分局(所)一级科员 1 杨丹 女 303550200517 139.10 67.50 68.53 1 太仓市 下辖乡镇机关 91 财政分局(所)一级科员 1 赵影 女 303091001918 123.30 68.20 64.93 2 进入体检 进入体检 进入体检 进入体检 进入体检

苏州市2022年度考录公务员面试成绩公示(吴江 常熟 张家港 昆山 太仓).xlsx 




