连山分局2023年4月份双随机公示情况表.pdf
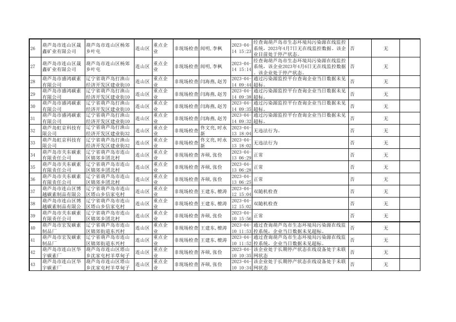
2023年连山分局4月明细 填报单位:连山分局 批准人:谷振峰 审核人:刘绍霆 填报人:齐硕 联系电话:2159050 2023年5月1日 监督 是否发 发现违法 序 所属 检查 任务类 检查时 污染源名称 污染源地址 检查人 现场检查结论 现违法 行为查处 号 区县 对象 型 间 行为 情况 类型 葫芦岛市连山区新 辽宁省葫芦岛市连山 重点企 岳潇潇,李艳 2023-04- 经过污染源在线监控系统查询,该企业4月 1 2 3 4 5 业铁合金有限公司 葫芦岛市连山区新 业铁合金有限公司 葫芦岛市连山区新 业铁合金有限公司 葫芦岛市连山区新 业铁合金有限公司 葫芦岛市连山区新 业铁合金有限公司 区新台门镇佟屯村 辽宁省葫芦岛市连山 区新台门镇佟屯村 辽宁省葫芦岛市连山 区新台门镇佟屯村 辽宁省葫芦岛市连山 区新台门镇佟屯村 辽宁省葫芦岛市连山 区新台门镇佟屯村 连山区 业 重点企 连山区 业 重点企 连山区 业 重点企 连山区 业 重点企 连山区 业 非现场检查 丽 岳潇潇,李艳 非现场检查 丽 岳潇潇,李艳 非现场检查 丽 岳潇潇,李艳 非现场检查 丽 岳潇潇,李艳 非现场检查 丽 6 葫芦岛市东晟碳素 辽宁省葫芦岛市连山 厂 区沙河营乡南王屯村 连山区 重点企 业 非现场检查 刘继刚,李占 营 7 葫芦岛市东晟碳素 辽宁省葫芦岛市连山 厂 区沙河营乡南王屯村 连山区 重点企 业 非现场检查 刘继刚,李占 营 8 葫芦岛市连山区兴化 国电葫芦岛润泽热 路27-5号楼B/葫芦岛 力有限公司 市龙港中央商务区的 西南部 连山区 重点企 业 非现场检查 刘继刚,李占 营 连山区 重点企 业 非现场检查 刘继刚,李占 营 9 葫芦岛市连山区兴化 国电葫芦岛润泽热 路27-5号楼B/葫芦岛 力有限公司 市龙港中央商务区的 西南部 24 12:08 10日污染源在线数据无异常。 2023-04- 经污染源在线线监控系统查询,该企业4月9 24 12:06 日在线数据无异常。 2023-04该企业4月8日污染源在线数据无异常。 24 12:03 2023-04- 经过污染源在线系统检查,该企业4月7日污 24 11:59 染源数据无异常。 2023-04- 经过污染源在线监测系统检查,该企业4月6 24 11:54 日在线数据无异常 非现场检查,经执法人员在辽宁省重点排污 单位在线监控系统查询,该企业在该时间段 2023-04自动监控数据正常,并且执法人员经过电话 23 09:11 沟通的方式与企业取得联系,告知企业负责 人密切关注在线数据情况,发现异常数据及 时报告及时解决。 非现场检查,经执法人员在辽宁省重点排污 单位在线监控系统查询,该企业在该时间段 2023-04自动监控数据正常,并且执法人员经过电话 23 09:10 沟通的方式与企业取得联系,告知企业负责 人密切关注在线数据情况,发现异常数据及 时报告及时解决。 非现场检查,经执法人员在辽宁省重点排污 单位在线监控系统查询,该企业在该时间段 2023-04自动监控数据正常,并且执法人员经过电话 23 09:08 沟通的方式与企业取得联系,告知企业负责 人密切关注在线数据情况,发现异常数据及 时报告及时解决。 经过执法人员在葫芦岛市生态环境局污染源 2023-04在线监控系统输入该企业名称后,未发现该 23 09:06 企业存在超标排污行为。 否 无 否 无 否 无 否 无 否 无 否 无 否 无 否 无 否 无 备注 10 11 12 13 14 15 16 17 18 19 20 21 22 23 24 25 葫芦岛荣达实业有 限公司 葫芦岛荣达实业有 限公司 葫芦岛中水水务有 限公司打渔山污水 处理厂 葫芦岛中水水务有 限公司打渔山污水 处理厂 葫芦岛中水水务有 限公司打渔山污水 处理厂 葫芦岛中水水务有 限公司打渔山污水 处理厂 葫芦岛市连山区锰 业有限公司 葫芦岛市连山区锰 业有限公司 葫芦岛市医用垃圾 处理中心 葫芦岛市医用垃圾 处理中心 葫芦岛市机械轧辊 制造有限公司 葫芦岛市连山区众 力合金厂 葫芦岛市连山区众 力合金厂 葫芦岛市机械轧辊 制造有限公司 辽宁省葫芦岛市连山 区锦郊乡团北村 辽宁省葫芦岛市连山 区锦郊乡团北村 辽宁省葫芦岛市连山 区连山河大街亿达欣 园小区1期2号楼1-2 层C门市 辽宁省葫芦岛市连山 区连山河大街亿达欣 园小区1期2号楼1-2 层C门市 辽宁省葫芦岛市连山 区连山河大街亿达欣 园小区1期2号楼1-2 层C门市 辽宁省葫芦岛市连山 区连山河大街亿达欣 园小区1期2号楼1-2 层C门市 辽宁省葫芦岛市连山 区寺儿堡镇后瓦庙子 村 辽宁省葫芦岛市连山 区寺儿堡镇后瓦庙子 村 辽宁省葫芦岛市连山 区塔山乡信家屯村 辽宁省葫芦岛市连山 区塔山乡信家屯村 辽宁省葫芦岛市连山 区沙河营乡马道村台 子沟 辽宁省葫芦岛市连山 区寺儿堡镇老边村 辽宁省葫芦岛市连山 区寺儿堡镇老边村 辽宁省葫芦岛市连山 区沙河营乡马道村台 子沟 葫芦岛市连山化工 葫芦岛市连山区沙河 厂 营乡东官沟村 葫芦岛市连山化工 葫芦岛市连山区沙河 厂 营乡东官沟村 重点企 业 重点企 连山区 业 连山区 2023-04- 通过在线数据查询,该企业在线数据正常, 否 20 15:05 未发现异常。 2023-04- 通过在线数据查询,该企业在线数据正常, 非现场检查 刘绍霆,罗韬 否 20 15:03 未发现异常。 非现场检查 刘绍霆,罗韬 无 无 连山区 重点企 业 非现场检查 刘绍霆,罗韬 2023-04- 通过在线数据进行查询,该企业在线数据正 否 20 14:59 常,未发现违法行为。 无 连山区 重点企 业 非现场检查 刘绍霆,罗韬 2023-04- 通过在线数据查询,该企业在线数据正常, 否 20 14:57 未发现违法行为。 无 连山区 重点企 业 非现场检查 刘绍霆,罗韬 2023-04- 通过在线数据查询,该企业在线数据正常, 否 20 14:54 未发现违法行为。 无 连山区 重点企 业 非现场检查 刘绍霆,罗韬 2023-04- 通过在线数据查询,该企业在线数据正常, 否 20 14:52 未发现违法行为。 无 重点企 业 重点企 连山区 业 重点企 连山区 业 重点企 连山区 业 重点企 连山区 业 重点企 连山区 业 重点企 连山区 业 重点企 连山区 业 连山区 连山区 重点企 业 连山区 重点企 业 2023-0419 10:36 2023-04非现场检查 付余,温化冰 19 10:35 2023-04非现场检查 付余,温化冰 19 10:34 2023-04非现场检查 付余,温化冰 19 10:34 2023-04- 经在线监控系统检查,该企业无超标排放现 非现场检查 董彬,刘军 18 08:41 象发生。 2023-04- 经在线监控系统检查,该企业无超标排放现 非现场检查 董彬,刘军 18 08:39 象发生。 2023-04- 经在线监控系统检查,该企业无超标排放现 非现场检查 董彬,刘军 18 08:38 象发生。 2023-04- 经在线监控系统检查,该企业无超标排放现 非现场检查 董彬,刘军 18 08:36 象发生。 经查询葫芦岛市生态环境局污染源在线监控 2023-04非现场检查 闻明,李枫 系统,2023年4月4日无在线监控数据。该企 14 15:34 业目前处于停产状态。 经查询葫芦岛市生态环境局污染源在线监控 2023-04非现场检查 闻明,李枫 系统,无2023年4月3日在线监控数据。该企 14 15:29 业目前处于停产状态。 非现场检查 付余,温化冰 否 无 否 无 否 无 否 无 否 无 否 无 否 无 否 无 否 无 否 无 26 葫芦岛市连山区晟 葫芦岛市连山区杨郊 鑫矿业有限公司 乡叶屯 连山区 重点企 业 非现场检查 闻明,李枫 27 葫芦岛市连山区晟 葫芦岛市连山区杨郊 鑫矿业有限公司 乡叶屯 连山区 重点企 业 非现场检查 闻明,李枫 28 29 30 31 32 33 34 35 36 37 38 39 40 41 42 43 葫芦岛市盛鸿碳素 有限公司 葫芦岛市盛鸿碳素 有限公司 葫芦岛市盛鸿碳素 有限公司 葫芦岛市盛鸿碳素 有限公司 葫芦岛虹京科技有 限公司 葫芦岛虹京科技有 限公司 葫芦岛市关东碳素 有限责任公司 葫芦岛市关东碳素 有限责任公司 葫芦岛市关东碳素 有限责任公司 葫芦岛市连山区博 越碳素制品有限公 司 葫芦岛市连山区博 越碳素制品有限公 司 葫芦岛市关东碳素 有限责任公司 葫芦岛市宏发碳素 制品厂 葫芦岛市宏发碳素 制品厂 葫芦岛市连山区华 宇碳素厂 葫芦岛市连山区华 宇碳素厂 辽宁省葫芦岛打渔山 经济开发区建业街10 号 辽宁省葫芦岛打渔山 经济开发区建业街10 号 辽宁省葫芦岛打渔山 经济开发区建业街10 号 辽宁省葫芦岛打渔山 经济开发区建业街10 号 辽宁省葫芦岛打渔山 经济开发区建业街32 号 辽宁省葫芦岛打渔山 经济开发区建业街32 号 辽宁省葫芦岛市连山 区锦郊乡团北村 辽宁省葫芦岛市连山 区锦郊乡团北村 辽宁省葫芦岛市连山 区锦郊乡团北村 辽宁省葫芦岛市连山 区塔山乡信家屯村 辽宁省葫芦岛市连山 区塔山乡信家屯村 辽宁省葫芦岛市连山 区锦郊乡团北村 辽宁省葫芦岛市连山 区锦郊街道东兴村 辽宁省葫芦岛市连山 区锦郊街道东兴村 葫芦岛市连山区塔山 乡沈家屯村羊草甸子 屯 葫芦岛市连山区塔山 乡沈家屯村羊草甸子 屯 重点企 业 重点企 连山区 业 重点企 连山区 业 重点企 连山区 业 重点企 连山区 业 重点企 连山区 业 重点企 连山区 业 重点企 连山区 业 重点企 连山区 业 重点企 连山区 业 重点企 连山区 业 重点企 连山区 业 重点企 连山区 业 重点企 连山区 业 重点企 连山区 业 重点企 连山区 业 连山区 非现场检查 闫海燕,赵芳 非现场检查 闫海燕,赵芳 非现场检查 闫海燕,赵芳 非现场检查 闫海燕,赵芳 佟文亮,时永 新 佟文亮,时永 非现场检查 新 非现场检查 非现场检查 齐硕,张俭 非现场检查 齐硕,张俭 非现场检查 齐硕,张俭 非现场检查 王建东,檀涛 非现场检查 王建东,檀涛 非现场检查 齐硕,张俭 非现场检查 王建东,檀涛 非现场检查 王建东,檀涛 非现场检查 齐硕,张俭 非现场检查 齐硕,张俭 经查询葫芦岛市生态环境局污染源在线监控 2023-04系统,2023年4月7日无在线监控数据。该企 14 15:23 业目前处于停产状态。 经查询葫芦岛市生态环境局污染源在线监控 2023-04系统,该企业2023年4月6日无在线监控数据 14 15:14 。该企业处于停产状态。 2023-04- 通过污染源监控平台查询企业当日数据未见 14 09:44 超标。 2023-04- 通过污染源监控平台查询企业当日数据未见 14 09:38 超标。 2023-04- 通过污染源监控平台查询企业当日数据未见 14 09:35 超标。 2023-04- 通过污染源监控平台查询企业当日数据未见 14 09:32 超标。 2023-04无违法行为。 13 18:04 2023-04无违法行为 13 18:02 2023-04正常 13 06:29 2023-04正常 13 06:28 2023-04正常 13 06:25 2023-04双随机检查 12 15:04 2023-04双随机检查 12 15:02 2023-04正常 10 15:56 2023-04- 通过查询葫芦岛市生态环境局污染源在线监 10 11:53 控系统,企业当日数据未见超标。 2023-04- 通过查询葫芦岛市生态环境局污染源在线监 10 11:52 控系统,企业当日数据未见超标。 2023-04- 该企业处于长期停产状态在线设备处于未联 10 10:35 网状态 2023-04- 该企业处于长期停产状态在线设备处于未联 10 10:34 网状态 否 无 否 无 否 无 否 无 否 无 否 无 否 无 否 无 否 无 否 无 否 无 否 无 否 无 否 无 否 无 否 无 否 无 否 无 44 45 46 葫芦岛市连山区华 宇碳素厂 葫芦岛市连山区华 宇碳素厂 葫芦岛市连山区华 宇碳素厂 葫芦岛市连山区塔山 乡沈家屯村羊草甸子 屯 葫芦岛市连山区塔山 乡沈家屯村羊草甸子 屯 葫芦岛市连山区塔山 乡沈家屯村羊草甸子 屯 辽宁省葫芦岛市连山 葫芦岛中水水务有 区连山河大街亿达欣 限公司打渔山污水 园小区1期2号楼1-2 处理厂 层C门市 重点企 业 重点企 连山区 业 重点企 连山区 业 连山区 非现场检查 齐硕,张俭 非现场检查 齐硕,张俭 非现场检查 齐硕,张俭 连山区 重点企 业 非现场检查 佟文亮,时永 新 48 辽宁省葫芦岛市连山 葫芦岛中水水务有 区连山河大街亿达欣 限公司打渔山污水 园小区1期2号楼1-2 处理厂 层C门市 连山区 重点企 业 非现场检查 佟文亮,时永 新 49 葫芦岛市连山区塔山 葫芦岛市指竹碳素 乡三义庙村102国道 有限公司 438公里处 连山区 重点企 业 非现场检查 贾玉明,李耀 衡 50 葫芦岛市连山区塔山 葫芦岛市指竹碳素 乡三义庙村102国道 有限公司 438公里处 连山区 重点企 业 非现场检查 贾玉明,李耀 衡 51 辽宁顺隆炭素集团 辽宁省葫芦岛市连山 有限公司 区寺儿卜镇后瓦村 连山区 重点企 业 非现场检查 贾玉明,李耀 衡 52 辽宁顺隆炭素集团 辽宁省葫芦岛市连山 有限公司 区寺儿卜镇后瓦村 连山区 重点企 业 非现场检查 贾玉明,李耀 衡 连山区 重点企 业 非现场检查 闫海燕,赵芳 47 53 葫芦岛市盛鸿碳素 辽宁省葫芦岛打渔山 经济开发区建业街10 有限公司 号 2023-04- 该企业处于长期停产状态在线设备处于未联 10 10:33 网状态 2023-04- 该企业处于长期停产状态在线设备处于未联 10 10:29 网状态 2023-04- 该企业处于长期停产状态,在线设备处于未 10 10:27 联网状态 非现场检查,经执法人员在辽宁省重点排污 单位在线监控系统查询,该企业在该时间段 2023-04自动监控数据正常,并且执法人员经过电话 10 10:23 沟通的方式与企业取得联系,告知企业负责 人密切关注在线数据情况,发现异常数据及 时报告及时解决。 非现场检查,经执法人员在辽宁省重点排污 单位在线监控系统查询,该企业在该时间段 2023-04自动监控数据正常,并且执法人员经过电话 10 10:21 沟通的方式与企业取得联系,告知企业负责 人密切关注在线数据情况,发现异常数据及 时报告及时解决。 非现场检查,经执法人员在辽宁省重点排污 单位在线监控系统查询,该企业在该时间段 2023-04自动监控数据正常,并且执法人员经过电话 10 10:18 沟通的方式与企业取得联系,告知企业负责 人密切关注在线数据情况,发现异常数据及 时报告及时解决。 非现场检查,经执法人员在辽宁省重点排污 单位在线监控系统查询,该企业在该时间段 2023-04自动监控数据正常,并且执法人员经过电话 10 10:17 沟通的方式与企业取得联系,告知企业负责 人密切关注在线数据情况,发现异常数据及 时报告及时解决。 非现场检查,经执法人员在辽宁省重点排污 单位在线监控系统查询,该企业在该时间段 2023-04自动监控数据正常,并且执法人员经过电话 10 10:15 沟通的方式与企业取得联系,告知企业负责 人密切关注在线数据情况,发现异常数据及 时报告及时解决。 非现场检查,经执法人员在辽宁省重点排污 单位在线监控系统查询,该企业在该时间段 2023-04自动监控数据正常,并且执法人员经过电话 10 10:13 沟通的方式与企业取得联系,告知企业负责 人密切关注在线数据情况,发现异常数据及 时报告及时解决。 2023-04- 通过污染源监控平台查询企业当日数据未见 10 09:35 超标。 否 无 否 无 否 无 否 无 否 无 否 无 否 无 否 无 否 无 否 无 54 55 56 57 58 59 60 61 62 63 渤海水泥(葫芦 岛)有限公司 渤海水泥(葫芦 岛)有限公司 渤海水泥(葫芦 岛)有限公司 渤海水泥(葫芦 岛)有限公司 渤海水泥(葫芦 岛)有限公司 葫芦岛市关东碳素 有限责任公司 葫芦岛市关东碳素 有限责任公司 辽宁省葫芦岛市连山 区寺儿堡镇寺北村 辽宁省葫芦岛市连山 区寺儿堡镇寺北村 辽宁省葫芦岛市连山 区寺儿堡镇寺北村 辽宁省葫芦岛市连山 区寺儿堡镇寺北村 辽宁省葫芦岛市连山 区寺儿堡镇寺北村 辽宁省葫芦岛市连山 区锦郊乡团北村 辽宁省葫芦岛市连山 区锦郊乡团北村 葫芦岛市连山区打渔 辽宁瑞博斯科技发 山泵业产业园区建业 展有限公司 大街北侧、人民路东 路 葫芦岛鸿鑫机械制 打渔山园区渔山路49 造有限公司 号 葫芦岛市连山区沙河 葫芦岛富源科技有 营乡上坡子村汇通宝 限公司 塔后面 重点企 业 重点企 连山区 业 重点企 连山区 业 重点企 连山区 业 重点企 连山区 业 重点企 连山区 业 重点企 连山区 业 连山区 非现场检查 闫海燕,赵芳 非现场检查 闫海燕,赵芳 非现场检查 闫海燕,赵芳 非现场检查 闫海燕,赵芳 非现场检查 闫海燕,赵芳 非现场检查 齐硕,张俭 非现场检查 齐硕,张俭 2023-04- 通过网上污染源监控平台检查,查询该企业 10 09:28 当日数据未见超标。 2023-04- 通过网上污染源监控平台检查,查询该企业 10 09:23 当日数据未见超标。 2023-04- 通过网上污染源监控平台检查,查询企业当 10 09:18 日数据正常。 2023-04- 通过网上污染源监控平台检查,查询企业当 10 09:03 日数据未见超标。 2023-04- 通过网上污染源监控平台检查,查询企业当 10 08:52 日数据未见超标。 2023-04正常 07 14:56 2023-04正常 07 14:54 否 无 否 无 否 无 否 无 否 无 否 无 否 无 连山区 一般企 业 双随机现场 董彬,刘军 检查 2023-04未发现违法行为 25 12:52 否 无 连山区 一般企 业 双随机现场 董彬,刘军 检查 2023-04未发现违法行为 25 12:45 否 无 连山区 一般企 业 双随机现场 闻明,李枫 检查 2023-04- 经现场检查,该企业有排污许可证,202023 14:57 8-14至2023-8-23,在有效期内。 否 无 否 无 否 无 否 无 否 无 64 辽宁省葫芦岛市连山 葫芦岛市连山区东 区沙河营南王屯村北 泰合金厂 侧 一般企 连山区 业 65 辽宁省葫芦岛打渔山 葫芦岛虹京科技有 经济开发区建业街32 限公司 号 连山区 重点企 业 66 辽宁省葫芦岛市连山 葫芦岛富原燃料油 区塔山乡三义庙村笊 储运有限公司 笠山东50米 连山区 一般企 业 67 葫芦岛市连山区众 辽宁省葫芦岛市连山 力合金厂 区寺儿堡镇老边村 连山区 重点企 业 现场检查,该企业环保手续齐全,环保设施 双随机现场 刘继刚,李占 2023-04- 正常运行,日常严格按照环评批复及环评文 检查 营 21 14:18 件中的要求落实各项环保措施,现场检查时 未发现环境违法行为。 现场检查,该企业环保手续齐全,环保设施 双随机现场 刘继刚,李占 2023-04- 正常运行,日常严格按照环评批复及环评文 检查 营 21 14:07 件中的要求落实各项环保措施,现场检查时 未发现环境违法行为。 现场检查,该企业环保手续齐全,环保设施 双随机现场 刘继刚,李占 2023-04- 正常运行,日常严格按照环评批复及环评文 检查 营 21 13:53 件中的要求落实各项环保措施,现场检查时 未发现环境违法行为。 现场检查,该企业环保手续齐全,环保设施 双随机现场 刘继刚,李占 2023-04- 正常运行,日常严格按照环评批复及环评文 检查 营 21 13:42 件中的要求落实各项环保措施,现场检查时 未发现环境违法行为。 68 69 70 71 72 73 74 75 76 77 78 79 80 81 82 83 84 渤海水泥(葫芦 岛)有限公司 辽宁省葫芦岛市连山 区寺儿堡镇寺北村 葫芦岛市连山区中 葫芦岛市连山区站前 医院 街胜利路3号 辽宁省葫芦岛市连山 葫芦岛中水水务有 区连山河大街亿达欣 限公司打渔山污水 园小区1期2号楼1-2 处理厂 层C门市 葫芦岛市连山区博 辽宁省葫芦岛市连山 越碳素制品有限公 区塔山乡信家屯村 司 连山区杨郊乡兴旺 辽宁省葫芦岛市连山 碎石加工厂 区杨郊乡松树卯村 葫芦岛市机械轧辊 辽宁省葫芦岛市连山 区沙河营乡马道村台 制造有限公司 子沟 葫芦岛市连山区金 葫芦岛市连山区塔山 铭碳素厂 乡三义庙村 葫芦岛市东晟碳素 辽宁省葫芦岛市连山 厂 区沙河营乡南王屯村 葫芦岛市连山区焱 辽宁省葫芦岛市连山 鑫碳素有限公司 区塔山乡老官卜村 辽宁省葫芦岛市连山 葫芦岛市连山区宏 区沙河营乡钟赵屯村 达石化厂 村民委员会后侧 辽宁金帝科技有限 辽宁省葫芦岛市打渔 公司 山经济开发区同德路 22号 葫芦岛市连山区华 葫芦岛市连山区塔山 乡沈家屯村羊草甸子 宇碳素厂 屯 葫芦岛华源科技有 辽宁省葫芦岛打渔山 限公司 园区建业街77号 葫芦岛市俊超金属 辽宁省葫芦岛市连山 有限公司 区寺儿堡镇老边村 葫芦岛市连山区焱 辽宁省葫芦岛市连山 鑫碳素有限公司 区塔山乡老官卜村 辽宁省葫芦岛市连山 葫芦岛市中心医院 区连山大街15号 连山区杨郊乡洪臣 葫芦岛市连山区杨郊 碎石加工厂 乡松树卯村 连山区 重点企 业 连山区 重点企 业 连山区 重点企 业 重点企 业 一般企 连山区 业 重点企 连山区 业 重点企 连山区 业 重点企 连山区 业 重点企 连山区 业 连山区 连山区 一般企 业 一般企 业 重点企 连山区 业 一般企 连山区 业 一般企 连山区 业 重点企 连山区 业 重点企 连山区 业 一般企 连山区 业 连山区 该企业位于连山区寺儿堡镇,环保手续齐 双随机现场 2023-04刘绍霆,罗韬 全,配套防治污染设施运转正常,现场检查 检查 21 13:34 时该企业正在生产,未发现违法行为。 双随机现场 2023-04闻明,李枫 经现场检查,未发现该医院有违法行为。 检查 21 11:00 该企业位于连山区打渔山经济开发区,主要 双随机现场 2023-04- 处理打渔山经济开发区及南票新区居民生活 刘绍霆,罗韬 检查 21 09:45 污水,该企业环保手续齐全。现场检查时, 在线数据正常,未发现违法行为。 双随机现场 徐绪炎,谢国 2023-04现场检查该企业未发现环境违法行为 检查 军 19 11:04 双随机现场 徐绪炎,谢国 2023-04现场检查该企业未发现环境违法行为 检查 军 19 11:02 双随机现场 徐绪炎,谢国 2023-04现场检查该企业未发现环境违法行为 检查 军 19 10:59 双随机现场 徐绪炎,谢国 2023-04该企业停产多年 检查 军 19 10:57 双随机现场 2023-04- 现场检查该企业处于停产状态,现场检查该 王建东,檀涛 检查 18 14:03 企业无人。 双随机现场 2023-04- 现场检查该企业处于停产状态,现场检查企 王建东,檀涛 检查 18 13:59 业无人 否 无 否 无 否 无 否 无 否 无 否 无 否 无 否 无 否 无 双随机现场 2023-04- 执法人员现场检查了该企业的环评报告、审 王建东,檀涛 否 检查 17 14:27 批、验收、排污许可及污染设施正常运行。 无 双随机现场 佟文亮,时永 检查 新 双随机现场 佟文亮,时永 检查 新 双随机现场 闻明,李枫 检查 双随机现场 闻明,李枫 检查 双随机现场 温化冰,付余 检查 双随机现场 王建东,檀涛 检查 双随机现场 佟文亮,时永 检查 新 2023-04该企业排污许可证已取得,无违法行为。 17 13:27 2023-04该企业已停产 17 13:24 2023-04经现场检查,未发现该企业存在违法行为。 14 14:50 2023-04经现场检查,未发现该企业有违法行为。 14 10:40 2023-04- 该企业正在生产,环保手续齐全,环保设施 12 16:03 运行正常,未发现环境违法问题。 2023-04现场检查环评报告、审批验收手续齐全。 12 15:15 2023-04- 现场检查该企业处于停产状态,企业现场检 10 15:13 查无人 否 无 否 无 否 无 否 无 否 无 否 无 否 无 85 86 87 88 89 90 91 葫芦岛市连山区晟 葫芦岛市连山区杨郊 鑫矿业有限公司 乡叶屯 辽宁葫芦岛连山区葫 连山区沙河营乡兴 芦岛市连山区沙河营 旺工业用沙加工厂 乡东官沟村 葫芦岛市连山区锰 辽宁省葫芦岛市连山 区寺儿堡镇后瓦庙子 业有限公司 村 葫芦岛市天天食业 辽宁省葫芦岛市连山 有限公司 区刘台子村 葫芦岛市连山化工 葫芦岛市连山区沙河 厂 营乡东官沟村 辽宁省葫芦岛市连山 葫芦岛市连山区宏 区沙河营乡钟赵屯村 达石化厂 村民委员会后侧 辽宁顺隆炭素集团 辽宁省葫芦岛市连山 有限公司 区寺儿卜镇后瓦村 连山区 一般企 业 双随机现场 贾玉明,李耀 2023-04- 现场检查该企业处于停产状态,企业现场无 否 检查 衡 10 15:10 人。 无 连山区 一般企 业 双随机现场 2023-04- 该企业停产,环保手续齐全,未发现环境违 温化冰,付余 否 检查 10 12:15 法问题。 无 重点企 业 一般企 连山区 业 重点企 连山区 业 连山区 双随机现场 贾玉明,李耀 检查 衡 双随机现场 佟文亮,时永 检查 新 双随机现场 贾玉明,李耀 检查 衡 2023-04- 现场检查该企业处于长期停产状态,企业现 否 10 10:38 场无人。 2023-04- 现场检查该企业处于停产状态,企业现场无 否 10 10:25 人。 2023-04- 现场检查该企业处于停产状态,企业现场无 否 10 10:09 人。 无 无 无 连山区 重点企 业 双随机现场 2023-04- 该企业正在生产,环保手续齐全,环保设施 温化冰,付余 否 检查 09 10:20 运行正常,未发现环境违法问题。 无 连山区 重点企 业 双随机现场 2023-04- 该企业正在生产,环保手续齐全,环保设施 温化冰,付余 否 检查 09 10:19 运行正常,未发现环境违法问题。 无

连山分局2023年4月份双随机公示情况表.pdf




