神木市教育和体育局2022年部门综合预算公开报表.xls
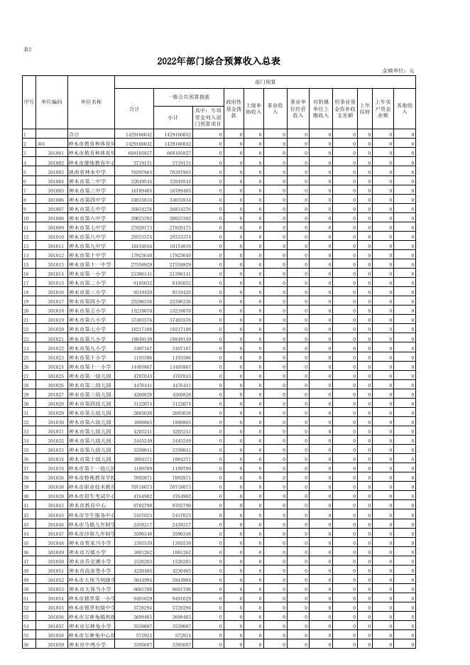
附件1: 2022年部门综合预算公开报表 部门名称:神木市教育和体育局 保密审查情况: 部门主要负责人审签情况: 目录 序号 表格名称 是否空表 表1 2022年部门综合预算收支总表 否 表2 2022年部门综合预算收入总表 否 表3 2022年部门综合预算支出总表 否 表4 2022年部门综合预算财政拨款收支总表 否 表5 2022年部门综合预算一般公共预算支出明细表(按功能科目分) 否 表6 2022年部门综合预算一般公共预算基本支出明细表(按支出经济分类科目) 否 表7 2022年部门综合预算一般公共预算基本支出明细表(按支出功能分类科目) 否 表8 2022年部门综合预算一般公共预算基本支出明细表(按支出经济分类科目-不含上年结转) 否 表9 2022年部门综合预算政府性基金收支表(不含上年结转) 是 表10 2022年部门综合预算专项业务经费支出表 否 表11 2022部门综合预算财政拨款结转资金支出表 是 表12 2022年部门综合预算政府采购(资产配置、购买服务)预算表(不含上年结转) 否 表13 2022年部门综合预算一般公共预算拨款“三公”经费及会议费、培训费支出预算表 (不含上年结转) 否 公开空表理由 不涉及 不涉及 表1 2022年部门综合预算收支总表 金额单位:元 收 序号 项 1 一、部门预算 2 1、财政拨款 3 4 入 支 目 (1)一般公共预算拨款 预算数 支出功能分科目(按大类) 1429166042.00 一、部门预算 预算数 1429166042.00 部门预算支出经济科目(按大类 ) 一、部门预算 出 预算数 1429166042.00 政府预算支出经济分类科目( 按大类) 一、部门预算 预算数 1429166042.00 1429166042.00 1、一般公共服务支出 0.00 1、人员经费和公用经费支出 757455642.00 1、机关工资福利支出 125365601.00 1429166042.00 2、外交支出 0.00 (1)工资福利支出 619824336.00 2、机关商品和服务支出 473954999.00 0.00 3、国防支出 0.00 (2)商品和服务支出 111735287.00 3、机关资本性支出(一) 12080600.00 0.00 (3)对个人和家庭的补助 25896019.00 4、机关资本性支出(二) 0.00 0.00 5、对事业单位经常性补助 729425823.00 其中:专项资金列入部门预算的项目 5 (2)政府性基金拨款 0.00 4、公共安全支出 6 (3)国有资本经营预算收入 0.00 5、教育支出 1297438256.00 7 2、上级补助收入 0.00 6、科学技术支出 2、专项业务经费支出 671710400.00 6、对事业单位资本性补助 0.00 8 3、事业收入 0.00 7、文化旅游体育与传媒支出 3294737.00 (1)工资福利支出 123500000.00 7、对企业补助 0.00 0.00 8、社会保障和就业支出 83930768.00 (2)商品和服务支出 473686800.00 8、对企业资本性支出 0.00 (3)对个人和家庭补助 62443000.00 9、对个人和家庭的补助 88339019.00 9 其中:纳入财政专户管理的收费 0.00 (4)资本性支出 10 4、事业单位经营收入 0.00 9、社会保险基金支出 0.00 11 5、附属单位上缴收入 0.00 10、卫生健康支出 0.00 (4)债务利息及费用支出 0.00 10、对社会保障基金补助 0.00 12 6、其他收入 0.00 11、节能环保支出 0.00 (5)资本性支出(基本建设) 0.00 11、债务利息及费用支出 0.00 13 12、城乡社区支出 0.00 (6)资本性支出 12080600.00 12、债务还本支出 0.00 14 13、农林水支出 0.00 (7)对企业补助(基本建设) 0.00 13、转移性支出 0.00 15 14、交通运输支出 0.00 (8)对企业补助 0.00 14、预备费及预留 0.00 16 15、资源勘探工业信息等支出 0.00 (9)对社会保障基金补助 0.00 15、其他支出 0.00 17 16、商业服务业等支出 0.00 (10)其他支出 0.00 18 17、金融支出 0.00 3、上缴上级支出 0.00 19 18、援助其他地区支出 0.00 4、事业单位经营支出 0.00 20 19、自然资源海洋气象等支出 0.00 5、对附属单位补助支出 0.00 21 20、住房保障支出 22 21、粮油物资储备支出 0.00 23 22、国有资本经营预算支出 0.00 24 23、灾害防治及应急管理支出 0.00 25 24、预备费 0.00 26 25、其他支出 0.00 27 26、转移性支出 0.00 28 27、债务还本支出 0.00 29 28、债务付息支出 0.00 30 29、债务发行费用支出 0.00 44502281.00 31 32 33 本年收入合计 34 用事业基金弥补收支差额 0.00 结转下年 0.00 结转下年 0.00 结转下年 0.00 35 上年实户资金余额 0.00 未安排支出的实户资金 0.00 未安排支出的实户资金 0.00 未安排支出的实户资金 0.00 36 上年结转 0.00 37 其中:财政拨款资金结转 38 非财政拨款资金结余 1429166042.00 本年支出合计 1429166042.00 本年支出合计 1429166042.00 本年支出合计 1429166042.00 0.00 0.00 39 40 收入总计 1429166042.00 支出总计 1429166042.00 支出总计 1429166042.00 支出总计 1429166042.00 表2 2022年部门综合预算收入总表 金额单位:元 部门预算 序号 单位编码 一般公共预算拨款 单位名称 合计 小计 1 政府性 上级补 其中:专项 基金拨 助收入 款 资金列入部 门预算项目 事业收 入 事业单 位经营 收入 对附属 单位上 缴收入 用事业基 上年实 上年 金弥补收 户资金 结转 支差额 余额 其他收 入 合计 1429166042 1429166042 0 0 0 0 0 0 0 0 0 0 神木市教育和体育局 1429166042 1429166042 0 0 0 0 0 0 0 0 0 0 3 301001 神木市教育和体育局 668105827 668105827 0 0 0 0 0 0 0 0 0 0 4 301002 神木市继续教育中心 3719131 3719131 0 0 0 0 0 0 0 0 0 0 5 301003 陕西省神木中学 70397865 70397865 0 0 0 0 0 0 0 0 0 0 6 301004 神木市第二中学 32049544 32049544 0 0 0 0 0 0 0 0 0 0 7 301005 神木市第三中学 16789405 16789405 0 0 0 0 0 0 0 0 0 0 8 301006 神木市第四中学 34035834 34035834 0 0 0 0 0 0 0 0 0 0 9 301007 神木市第五中学 26834276 26834276 0 0 0 0 0 0 0 0 0 0 10 301008 神木市第六中学 20023392 20023392 0 0 0 0 0 0 0 0 0 0 11 301009 神木市第七中学 27820173 27820173 0 0 0 0 0 0 0 0 0 0 12 301010 神木市第八中学 29333374 29333374 0 0 0 0 0 0 0 0 0 0 13 301011 神木市第九中学 10154016 10154016 0 0 0 0 0 0 0 0 0 0 14 301012 神木市第十中学 17923640 17923640 0 0 0 0 0 0 0 0 0 0 15 301013 神木市第十一中学 27558929 27558929 0 0 0 0 0 0 0 0 0 0 16 301014 神木市第一小学 21386141 21386141 0 0 0 0 0 0 0 0 0 0 17 301015 神木市第二小学 8105032 8105032 0 0 0 0 0 0 0 0 0 0 18 301016 神木市第三小学 9319420 9319420 0 0 0 0 0 0 0 0 0 0 19 301017 神木市第四小学 25396336 25396336 0 0 0 0 0 0 0 0 0 0 20 301018 神木市第五小学 15218070 15218070 0 0 0 0 0 0 0 0 0 0 21 301019 神木市第六小学 37403576 37403576 0 0 0 0 0 0 0 0 0 0 22 301020 神木市第七小学 18217108 18217108 0 0 0 0 0 0 0 0 0 0 23 301021 神木市第八小学 18849149 18849149 0 0 0 0 0 0 0 0 0 0 24 301022 神木市第九小学 3497167 3497167 0 0 0 0 0 0 0 0 0 0 25 301023 神木市第十小学 1193506 1193506 0 0 0 0 0 0 0 0 0 0 26 301024 神木市第十一小学 14405867 14405867 0 0 0 0 0 0 0 0 0 0 27 301025 神木市第一幼儿园 4707043 4707043 0 0 0 0 0 0 0 0 0 0 28 301026 神木市第二幼儿园 4476441 4476441 0 0 0 0 0 0 0 0 0 0 29 301027 神木市第三幼儿园 4260828 4260828 0 0 0 0 0 0 0 0 0 0 30 301028 神木市第四幼儿园 3122074 3122074 0 0 0 0 0 0 0 0 0 0 31 301029 神木市第五幼儿园 2685038 2685038 0 0 0 0 0 0 0 0 0 0 32 301030 神木市第六幼儿园 1880865 1880865 0 0 0 0 0 0 0 0 0 0 33 301031 神木市第七幼儿园 4203241 4203241 0 0 0 0 0 0 0 0 0 0 34 301032 神木市第八幼儿园 3445249 3445249 0 0 0 0 0 0 0 0 0 0 35 301033 神木市第九幼儿园 3359041 3359041 0 0 0 0 0 0 0 0 0 0 36 301034 神木市第十幼儿园 1094371 1094371 0 0 0 0 0 0 0 0 0 0 37 301035 神木市第十一幼儿园 1189709 1189709 0 0 0 0 0 0 0 0 0 0 38 301036 神木市特殊教育学校 7092871 7092871 0 0 0 0 0 0 0 0 0 0 39 301038 神木市职业技术教育中心 70718073 70718073 0 0 0 0 0 0 0 0 0 0 40 301039 神木市招生考试中心 4764902 4764902 0 0 0 0 0 0 0 0 0 0 41 301043 神木市教育中心 8702790 8702790 0 0 0 0 0 0 0 0 0 0 42 301045 神木市学生服务中心 2437023 2437023 0 0 0 0 0 0 0 0 0 0 43 301046 神木市马镇九年制学校 2458217 2458217 0 0 0 0 0 0 0 0 0 0 44 301047 神木市沙峁九年制学校 3590348 3590348 0 0 0 0 0 0 0 0 0 0 45 301048 神木市贺家川小学 1393539 1393539 0 0 0 0 0 0 0 0 0 0 46 301049 神木市万镇小学 1001262 1001262 0 0 0 0 0 0 0 0 0 0 47 301050 神木市乔岔滩小学 1526203 1526203 0 0 0 0 0 0 0 0 0 0 48 301051 神木市高家堡小学 4230485 4230485 0 0 0 0 0 0 0 0 0 0 49 301052 神木市大保当初级中学 5944994 5944994 0 0 0 0 0 0 0 0 0 0 50 301053 神木市大保当小学 8601708 8601708 0 0 0 0 0 0 0 0 0 0 51 301054 神木市锦界第一小学 9491029 9491029 0 0 0 0 0 0 0 0 0 0 52 301055 神木市锦界初级中学 5728294 5728294 0 0 0 0 0 0 0 0 0 0 53 301056 神木市尔林兔镇初级中学 3699403 3699403 0 0 0 0 0 0 0 0 0 0 54 301057 神木市尔林兔小学 3539087 3539087 0 0 0 0 0 0 0 0 0 0 55 301058 神木市尔林兔中心幼儿园 572924 572924 0 0 0 0 0 0 0 0 0 0 56 301059 神木市中鸡小学 3395607 3395607 0 0 0 0 0 0 0 0 0 0 2 301 57 301060 神木市中鸡初级中学 1401717 1401717 0 0 0 0 0 0 0 0 0 0 58 301061 神木市中鸡幼儿园 1147300 1147300 0 0 0 0 0 0 0 0 0 0 59 301062 神木市孙家岔九年制学校 8495810 8495810 0 0 0 0 0 0 0 0 0 0 60 301063 神木市刘石畔小学 2201111 2201111 0 0 0 0 0 0 0 0 0 0 61 301064 神木市孙家岔幼儿园 724353 724353 0 0 0 0 0 0 0 0 0 0 62 301065 神木市栏杆堡九年制学校 2255031 2255031 0 0 0 0 0 0 0 0 0 0 63 301066 神木市店塔初级中学 5099791 5099791 0 0 0 0 0 0 0 0 0 0 64 301067 神木市店塔第一小学 7811280 7811280 0 0 0 0 0 0 0 0 0 0 65 301068 神木市神华铁路小学 1174127 1174127 0 0 0 0 0 0 0 0 0 0 66 301069 神木市店塔幼儿园 1227055 1227055 0 0 0 0 0 0 0 0 0 0 67 301070 神木市西沟小学 1217331 1217331 0 0 0 0 0 0 0 0 0 0 68 301071 神木市永兴九年制学校 2921616 2921616 0 0 0 0 0 0 0 0 0 0 69 301072 神木市体育中心 3761969 3761969 0 0 0 0 0 0 0 0 0 0 70 301073 神木市第十二小学 8383196 8383196 0 0 0 0 0 0 0 0 0 0 71 301074 神木市第十三小学 6224824 6224824 0 0 0 0 0 0 0 0 0 0 72 301075 神木市锦界第一幼儿园 1671561 1671561 0 0 0 0 0 0 0 0 0 0 73 301076 神木市锦界第二小学 4516085 4516085 0 0 0 0 0 0 0 0 0 0 74 301077 神木市大保当第一幼儿园 887107 887107 0 0 0 0 0 0 0 0 0 0 75 301078 神木市教育质量评估监测中心 1771543 1771543 0 0 0 0 0 0 0 0 0 0 76 301079 神木市第十二幼儿园 3528831 3528831 0 0 0 0 0 0 0 0 0 0 77 301080 神木市第十三中学 5145390 5145390 0 0 0 0 0 0 0 0 0 0 78 301081 神木市第一中学 12924877 12924877 0 0 0 0 0 0 0 0 0 0 79 301082 神木市第十四幼儿园 455700 455700 0 0 0 0 0 0 0 0 0 0 80 301083 神木市第十六幼儿园 413700 413700 0 0 0 0 0 0 0 0 0 0 81 301084 神木市第十七幼儿园 534500 534500 0 0 0 0 0 0 0 0 0 0 82 301085 神木市第十五幼儿园 283500 283500 0 0 0 0 0 0 0 0 0 0 83 301086 神木市第十三幼儿园 277200 277200 0 0 0 0 0 0 0 0 0 0 84 301087 神木市第十八幼儿园 420000 420000 0 0 0 0 0 0 0 0 0 0 85 301088 神木市第十九幼儿园 319300 319300 0 0 0 0 0 0 0 0 0 0 86 301089 神木市第十四小学 252500 252500 0 0 0 0 0 0 0 0 0 0 87 301090 神木市第十四中学 403700 403700 0 0 0 0 0 0 0 0 0 0 88 301091 神木市第二十幼儿园 264600 264600 0 0 0 0 0 0 0 0 0 0 表3 2022年部门综合预算支出总表 金额单位:元 部门预算 公共预算拨款 序 号 单位编码 1 2 301 单位名称 合计 小计 其中:专 项资金列 入部门预 算的项目 政府性基 金拨款 事业收 入 事业单位 经营收入 对附属 单位上 缴收入 上年实户 资金余额 其他收 入 上年结转 合计 1429166042 1429166042 0 0 0 0 0 0 0 0 神木市教育和体育局 1429166042 1429166042 0 0 0 0 0 0 0 0 668105827 668105827 0 0 0 0 0 0 0 0 3 301001 神木市教育和体育局 4 301002 神木市继续教育中心 3719131 3719131 0 0 0 0 0 0 0 0 5 301003 陕西省神木中学 70397865 70397865 0 0 0 0 0 0 0 0 6 301004 神木市第二中学 32049544 32049544 0 0 0 0 0 0 0 0 7 301005 神木市第三中学 16789405 16789405 0 0 0 0 0 0 0 0 8 301006 神木市第四中学 34035834 34035834 0 0 0 0 0 0 0 0 9 301007 神木市第五中学 26834276 26834276 0 0 0 0 0 0 0 0 10 301008 神木市第六中学 20023392 20023392 0 0 0 0 0 0 0 0 11 301009 神木市第七中学 27820173 27820173 0 0 0 0 0 0 0 0 12 301010 神木市第八中学 29333374 29333374 0 0 0 0 0 0 0 0 13 301011 神木市第九中学 10154016 10154016 0 0 0 0 0 0 0 0 14 301012 神木市第十中学 17923640 17923640 0 0 0 0 0 0 0 0 15 301013 神木市第十一中学 27558929 27558929 0 0 0 0 0 0 0 0 16 301014 神木市第一小学 21386141 21386141 0 0 0 0 0 0 0 0 17 301015 神木市第二小学 8105032 8105032 0 0 0 0 0 0 0 0 18 301016 神木市第三小学 9319420 9319420 0 0 0 0 0 0 0 0 19 301017 神木市第四小学 25396336 25396336 0 0 0 0 0 0 0 0 20 301018 神木市第五小学 15218070 15218070 0 0 0 0 0 0 0 0 21 301019 神木市第六小学 37403576 37403576 0 0 0 0 0 0 0 0 22 301020 神木市第七小学 18217108 18217108 0 0 0 0 0 0 0 0 23 301021 神木市第八小学 18849149 18849149 0 0 0 0 0 0 0 0 24 301022 神木市第九小学 3497167 3497167 0 0 0 0 0 0 0 0 25 301023 神木市第十小学 1193506 1193506 0 0 0 0 0 0 0 0 26 301024 神木市第十一小学 14405867 14405867 0 0 0 0 0 0 0 0 27 301025 神木市第一幼儿园 4707043 4707043 0 0 0 0 0 0 0 0 28 301026 神木市第二幼儿园 4476441 4476441 0 0 0 0 0 0 0 0 29 301027 神木市第三幼儿园 4260828 4260828 0 0 0 0 0 0 0 0 30 301028 神木市第四幼儿园 3122074 3122074 0 0 0 0 0 0 0 0 31 301029 神木市第五幼儿园 2685038 2685038 0 0 0 0 0 0 0 0 32 301030 神木市第六幼儿园 1880865 1880865 0 0 0 0 0 0 0 0 33 301031 神木市第七幼儿园 4203241 4203241 0 0 0 0 0 0 0 0 34 301032 神木市第八幼儿园 3445249 3445249 0 0 0 0 0 0 0 0 35 301033 神木市第九幼儿园 3359041 3359041 0 0 0 0 0 0 0 0 36 301034 神木市第十幼儿园 1094371 1094371 0 0 0 0 0 0 0 0 37 301035 神木市第十一幼儿园 1189709 1189709 0 0 0 0 0 0 0 0 38 301036 神木市特殊教育学校 7092871 7092871 0 0 0 0 0 0 0 0 39 301038 神木市职业技术教育中心 70718073 70718073 0 0 0 0 0 0 0 0 40 301039 神木市招生考试中心 4764902 4764902 0 0 0 0 0 0 0 0 41 301043 神木市教育中心 8702790 8702790 0 0 0 0 0 0 0 0 42 301045 神木市学生服务中心 2437023 2437023 0 0 0 0 0 0 0 0 43 301046 神木市马镇九年制学校 2458217 2458217 0 0 0 0 0 0 0 0 44 301047 神木市沙峁九年制学校 3590348 3590348 0 0 0 0 0 0 0 0 45 301048 神木市贺家川小学 1393539 1393539 0 0 0 0 0 0 0 0 46 301049 神木市万镇小学 1001262 1001262 0 0 0 0 0 0 0 0 47 301050 神木市乔岔滩小学 1526203 1526203 0 0 0 0 0 0 0 0 48 301051 神木市高家堡小学 4230485 4230485 0 0 0 0 0 0 0 0 49 301052 神木市大保当初级中学 5944994 5944994 0 0 0 0 0 0 0 0 50 301053 神木市大保当小学 8601708 8601708 0 0 0 0 0 0 0 0 51 301054 神木市锦界第一小学 9491029 9491029 0 0 0 0 0 0 0 0 52 301055 神木市锦界初级中学 5728294 5728294 0 0 0 0 0 0 0 0 53 301056 神木市尔林兔镇初级中学 3699403 3699403 0 0 0 0 0 0 0 0 54 301057 神木市尔林兔小学 3539087 3539087 0 0 0 0 0 0 0 0 55 301058 神木市尔林兔中心幼儿园 572924 572924 0 0 0 0 0 0 0 0 56 301059 神木市中鸡小学 3395607 3395607 0 0 0 0 0 0 0 0 57 301060 神木市中鸡初级中学 1401717 1401717 0 0 0 0 0 0 0 0 58 301061 神木市中鸡幼儿园 1147300 1147300 0 0 0 0 0 0 0 0 59 301062 神木市孙家岔九年制学校 8495810 8495810 0 0 0 0 0 0 0 0 60 301063 神木市刘石畔小学 2201111 2201111 0 0 0 0 0 0 0 0 61 301064 神木市孙家岔幼儿园 724353 724353 0 0 0 0 0 0 0 0 62 301065 神木市栏杆堡九年制学校 2255031 2255031 0 0 0 0 0 0 0 0 63 301066 神木市店塔初级中学 5099791 5099791 0 0 0 0 0 0 0 0 64 301067 神木市店塔第一小学 7811280 7811280 0 0 0 0 0 0 0 0 65 301068 神木市神华铁路小学 1174127 1174127 0 0 0 0 0 0 0 0 66 301069 神木市店塔幼儿园 1227055 1227055 0 0 0 0 0 0 0 0 67 301070 神木市西沟小学 1217331 1217331 0 0 0 0 0 0 0 0 68 301071 神木市永兴九年制学校 2921616 2921616 0 0 0 0 0 0 0 0 69 301072 神木市体育中心 3761969 3761969 0 0 0 0 0 0 0 0 70 301073 神木市第十二小学 8383196 8383196 0 0 0 0 0 0 0 0 71 301074 神木市第十三小学 6224824 6224824 0 0 0 0 0 0 0 0 72 301075 神木市锦界第一幼儿园 1671561 1671561 0 0 0 0 0 0 0 0 73 301076 神木市锦界第二小学 4516085 4516085 0 0 0 0 0 0 0 0 74 301077 神木市大保当第一幼儿园 887107 887107 0 0 0 0 0 0 0 0 75 301078 神木市教育质量评估监测中心 1771543 1771543 0 0 0 0 0 0 0 0 76 301079 神木市第十二幼儿园 3528831 3528831 0 0 0 0 0 0 0 0 77 301080 神木市第十三中学 5145390 5145390 0 0 0 0 0 0 0 0 78 301081 神木市第一中学 12924877 12924877 0 0 0 0 0 0 0 0 79 301082 神木市第十四幼儿园 455700 455700 0 0 0 0 0 0 0 0 80 301083 神木市第十六幼儿园 413700 413700 0 0 0 0 0 0 0 0 81 301084 神木市第十七幼儿园 534500 534500 0 0 0 0 0 0 0 0 82 301085 神木市第十五幼儿园 283500 283500 0 0 0 0 0 0 0 0 83 301086 神木市第十三幼儿园 277200 277200 0 0 0 0 0 0 0 0 84 301087 神木市第十八幼儿园 420000 420000 0 0 0 0 0 0 0 0 85 301088 神木市第十九幼儿园 319300 319300 0 0 0 0 0 0 0 0 86 301089 神木市第十四小学 252500 252500 0 0 0 0 0 0 0 0 87 301090 神木市第十四中学 403700 403700 0 0 0 0 0 0 0 0 88 301091 神木市第二十幼儿园 264600 264600 0 0 0 0 0 0 0 0 表4 2022年部门综合预算财政拨款收支总表 金额单位:元 序号 1 2 3 4 5 6 7 8 9 10 11 12 13 14 15 16 17 18 19 20 21 22 23 24 25 26 27 28 29 30 31 32 33 34 35 36 37 收 项 入 目 预算数 支 支出功能分科目(按大类) 预算数 部门预算支出经济科目(按大类) 出 预算数 政府预算支出经济科目(按大类) 预算数 一、财政拨款 1429166042.00 一、财政拨款 1429166042.00 一、财政拨款 1429166042.00 一、财政拨款 1429166042.00 1、一般公共预算拨款1429166042.00 1、一般公共服务支出 0.00 1、人员经费和公用经费支出 757455642.00 1、机关工资福利支出 125365601.00 其中:专项资金列入部门预算的项目 0.00 2、外交支出 0.00 (1)工资福利支出 619824336.00 2、机关商品和服务支出 473954999.00 2、政府性基金拨款 0.00 3、国防支出 0.00 (2)商品和服务支出 111735287.00 3、机关资本性支出(一) 12080600.00 3、国有资本经营预算收入 0.00 4、公共安全支出 0.00 (3)对个人和家庭的补助 25896019.00 4、机关资本性支出(二) 0.00 5、教育支出 1297438256.00 (4)资本性支出 0.00 5、对事业单位经常性补助 729425823.00 6、科学技术支出 0.00 2、专项业务经费支出 671710400.00 6、对事业单位资本性补助 0.00 7、文化旅游体育与传媒支出3294737.00 (1)工资福利支出 123500000.00 7、对企业补助 0.00 8、社会保障和就业支出 83930768.00 (2)商品和服务支出 473686800.00 8、对企业资本性支出 0.00 9、社会保险基金支出 0.00 (3)对个人和家庭补助 62443000.00 9、对个人和家庭的补助 88339019.00 10、卫生健康支出 0.00 (4)债务利息及费用支出 0.00 10、对社会保障基金补助 0.00 11、节能环保支出 0.00 (5)资本性支出(基本建设)0.00 11、债务利息及费用支出 0.00 12、城乡社区支出 0.00 (6)资本性支出 12080600.00 12、债务还本支出 0.00 13、农林水支出 0.00 (7)对企业补助(基本建设)0.00 13、转移性支出 0.00 14、交通运输支出 0.00 (8)对企业补助 0.00 14、预备费及预留 0.00 15、资源勘探工业信息等支出 0.00 (9)对社会保障基金补助 0.00 15、其他支出 0.00 16、商业服务业等支出 0.00 (10)其他支出 0.00 17、金融支出 0.00 3、上缴上级支出 0.00 18、援助其他地区支出 0.00 4、事业单位经营支出 0.00 19、自然资源海洋气象等支出 0.00 5、对附属单位补助支出 0.00 20、住房保障支出 44502281.00 21、粮油物资储备支出 0.00 22、国有资本经营预算支出 0.00 23、灾害防治及应急管理支出 0.00 24、预备费 0.00 25、其他支出 0.00 26、转移性支出 0.00 27、债务还本支出 0.00 28、债务付息支出 0.00 29、债务发行费用支出 0.00 本年收入合计 上年结转 1429166042.00 本年支出合计 0.00 结转下年 1429166042.00 本年支出合计 0.00 结转下年 1429166042.00 本年支出合计 0.00 结转下年 1429166042.00 0.00 收入总计 1429166042.00 支出总计 1429166042.00 支出总计 1429166042.00 支出总计 1429166042.00 表5 2022年部门综合预算一般公共预算支出明细表(按功能科目分) 金额单位:元 序 号 1 2 功能科目编码 合计 201 3 20199 4 5 功能科目名称 2019999 205 6 20501 合计 人员经费支出 公用经费支出 专项业务经费支出 备注 1429166042 645781928 111673714 671710400 一般公共服务支出 0 0 0 0 其他一般公共服务支出 0 0 0 0 其他一般公共服务支出 0 0 0 0 教育支出 1297438256 515657663 111470193 670310400 教育管理事务 668232910 12700322 104368288 551164300 1903441 1588642 314799 0 7 2050101 行政运行 8 2050102 一般行政管理事务 551164300 0 0 551164300 9 2050199 其他教育管理事务支出 115165169 11111680 104053489 0 普通教育 546247822 443090506 5856716 97300600 10 20502 11 2050201 学前教育 42665949 26891633 438216 15336100 12 2050202 小学教育 198015104 175892006 2684298 19438800 13 2050203 初中教育 192599304 167633856 1959148 23006300 14 2050204 高中教育 112967465 72673011 775054 39519400 职业教育 58344496 46976764 523732 10844000 中等职业教育 58344496 46976764 523732 10844000 特殊教育 6250760 3897777 31483 2321500 特殊学校教育 6250760 3897777 31483 2321500 进修及培训 3381547 1289336 92211 2000000 教师进修 3381547 1289336 92211 2000000 其他教育支出 14980721 7702958 597763 6680000 其他教育支出 14980721 7702958 597763 6680000 文化旅游体育与传媒支出 3294737 1691216 203521 1400000 体育 3294737 1691216 203521 1400000 体育场馆 3294737 1691216 203521 1400000 社会保障和就业支出 83930768 83930768 0 0 15 16 17 18 19 20 21 22 20503 2050302 20507 2050701 20508 2050801 20599 2059999 23 207 24 25 20703 2070307 26 208 27 行政事业单位养老支出 83930768 83930768 0 0 28 20805 2080505 机关事业单位基本养老保险缴费支出 56015305 56015305 0 0 29 2080506 机关事业单位职业年金缴费支出 27915463 27915463 0 0 住房保障支出 44502281 44502281 0 0 住房改革支出 44502281 44502281 0 0 住房公积金 44502281 44502281 0 0 30 221 31 32 22102 2210201 表6 2022年部门综合预算一般公共预算支出明细表(按经济分类科目分) 金额单位:元 序 号 部门经济科 目编码 1 2 301 部门经济科目名称 政府经济科 目编码 政府经济科目名 称 合计 人员经费支出 公用经费支出 专项业务经费支出 合计 1429166042 645781928 111673714 671710400 工资福利支出 743324336 619824336 0 123500000 871548 871548 0 0 3 30101 基本工资 50101 工资奖金津补贴 4 30101 基本工资 50501 工资福利支出 261342594 261342594 0 0 5 30102 津贴补贴 50101 工资奖金津补贴 330000 330000 0 0 6 30102 津贴补贴 50501 工资福利支出 39404722 39404722 0 0 7 30103 奖金 50101 工资奖金津补贴 55269 55269 0 0 8 30103 奖金 50501 工资福利支出 14132600 14132600 0 0 9 30107 绩效工资 50501 工资福利支出 104292768 104292768 0 0 10 30108 机关事业单位基本养老保险缴费 50102 社会保障缴费 184400 184400 0 0 11 30108 机关事业单位基本养老保险缴费 50501 工资福利支出 55984870 55984870 0 0 12 30109 职业年金缴费 50102 社会保障缴费 92200 92200 0 0 13 30109 职业年金缴费 50501 工资福利支出 28114630 28114630 0 0 14 30110 职工基本医疗保险缴费 50102 社会保障缴费 136782 136782 0 0 15 30110 职工基本医疗保险缴费 50501 工资福利支出 43041253 43041253 0 0 16 30112 其他社会保障缴费 50102 社会保障缴费 9612 9612 0 0 17 30112 其他社会保障缴费 50501 工资福利支出 6455999 6455999 0 0 18 30113 住房公积金 50103 住房公积金 144186 144186 0 0 19 30113 住房公积金 50501 工资福利支出 44396553 44396553 0 0 20 30199 其他工资福利支出 50199 其他工资福利支出 123541604 41604 0 123500000 21 30199 其他工资福利支出 50501 工资福利支出 20792746 20792746 0 0 585422087 61573 111673714 473686800 120000 0 120000 0 22 302 商品和服务支出 23 30201 办公费 50201 办公经费 24 30201 办公费 50502 商品和服务支出 49457900 0 775500 48682400 25 30202 印刷费 50502 商品和服务支出 355000 0 0 355000 26 30205 水费 50502 商品和服务支出 5000 0 5000 0 27 30206 电费 50502 商品和服务支出 305000 0 5000 300000 28 30207 邮电费 50201 办公经费 10000 0 10000 0 29 30208 取暖费 50201 办公经费 12122400 0 0 12122400 30 30209 物业管理费 50502 商品和服务支出 1100000 0 0 1100000 31 30211 差旅费 50201 办公经费 70000 0 70000 0 32 30211 差旅费 50502 商品和服务支出 130000 0 10000 120000 33 30213 维修(护)费 50209 维修(护)费 4488600 0 0 4488600 34 30213 维修(护)费 50502 商品和服务支出 100000 0 0 100000 35 30214 租赁费 50201 办公经费 6353800 0 0 6353800 36 30216 培训费 50203 培训费 13600000 0 0 13600000 37 30216 培训费 50502 商品和服务支出 6000000 0 0 6000000 38 30218 专用材料费 50204 专用材料购置费 5300000 0 0 5300000 39 30226 劳务费 50502 商品和服务支出 1826400 0 0 1826400 40 30227 委托业务费 50205 委托业务费 128281500 0 103999500 24282000 41 30228 工会经费 50201 办公经费 19599 0 19599 0 42 30228 工会经费 50502 商品和服务支出 6358862 0 6358862 0 43 30229 福利费 50502 商品和服务支出 61573 61573 0 0 44 30231 公务用车运行维护费 50502 商品和服务支出 60000 0 60000 0 45 30239 其他交通费用 50201 办公经费 85200 0 85200 0 46 30239 其他交通费用 50502 商品和服务支出 30000 0 30000 0 47 30299 其他商品和服务支出 50299 其他商品和服务支出 303503900 0 10000 303493900 48 30299 其他商品和服务支出 50502 商品和服务支出 45677353 0 115053 45562300 88339019 25896019 0 62443000 49 303 对个人和家庭的补助 50 30301 离休费 50905 离退休费 566833 566833 0 0 51 30302 退休费 50905 离退休费 119256 119256 0 0 52 30303 退职(役)费 50905 离退休费 1136436 1136436 0 0 53 30304 抚恤金 50901 社会福利和救助 40080 40080 0 0 54 30305 生活补助 50901 社会福利和救助 13130803 12630803 0 500000 55 30307 医疗费补助 50901 社会福利和救助 1577065 1577065 0 0 56 30308 助学金 50902 助学金 1500000 0 0 1500000 57 30309 奖励金 50901 社会福利和救助 33800000 0 0 33800000 58 30399 其他对个人和家庭的补助50999 其他对个人和家庭补助 36468546 9825546 0 26643000 12080600 0 0 12080600 12080600 0 0 12080600 59 310 60 资本性支出 31003 专用设备购置 50306 设备购置 备注 表7 2022年部门综合预算一般公共预算基本支出明细表(按功能科目分) 金额单位:元 序 号 功能科目编码 1 2 合计 201 3 20199 4 5 功能科目名称 2019999 205 6 20501 合计 人员经费支出 公用经费支出 备注 757455642 645781928 111673714 一般公共服务支出 0 0 0 其他一般公共服务支出 0 0 0 其他一般公共服务支出 0 0 0 教育支出 627127856 515657663 111470193 教育管理事务 117068610 12700322 104368288 1903441 1588642 314799 0 0 0 7 2050101 行政运行 8 2050102 一般行政管理事务 9 2050199 其他教育管理事务支出 115165169 11111680 104053489 普通教育 448947222 443090506 5856716 10 20502 11 2050201 学前教育 27329849 26891633 438216 12 2050202 小学教育 178576304 175892006 2684298 13 2050203 初中教育 169593004 167633856 1959148 14 2050204 高中教育 73448065 72673011 775054 职业教育 47500496 46976764 523732 中等职业教育 47500496 46976764 523732 特殊教育 3929260 3897777 31483 特殊学校教育 3929260 3897777 31483 进修及培训 1381547 1289336 92211 教师进修 1381547 1289336 92211 其他教育支出 8300721 7702958 597763 其他教育支出 8300721 7702958 597763 文化旅游体育与传媒支出 1894737 1691216 203521 体育 1894737 1691216 203521 体育场馆 1894737 1691216 203521 社会保障和就业支出 83930768 83930768 0 行政事业单位养老支出 83930768 83930768 0 15 20503 16 2050302 17 20507 18 2050701 19 20508 20 2050801 21 20599 22 23 2059999 207 24 20703 25 26 2070307 208 27 20805 28 2080505 机关事业单位基本养老保险缴费支出 56015305 56015305 0 29 2080506 机关事业单位职业年金缴费支出 27915463 27915463 0 住房保障支出 44502281 44502281 0 住房改革支出 44502281 44502281 0 住房公积金 44502281 44502281 0 30 31 32 221 22102 2210201 表8 2022年部门综合预算一般公共预算基本支出明细表(按支出经济分类科目-不含上年结转) 金额单位:元 序 部门经济科 号 目编码 1 2 部门经济科目名称 合计 301 政府经 济科目 编码 政府经济科目名 称 工资福利支出 人员经费支出 公用经费支 出 757455642 645781928 111673714 619824336 619824336 0 871548 871548 0 261342594 261342594 0 合计 3 30101 基本工资 50101 工资奖金津补贴 4 30101 基本工资 50501 工资福利支出 5 30102 津贴补贴 50101 工资奖金津补贴 330000 330000 0 6 30102 津贴补贴 50501 工资福利支出 39404722 39404722 0 7 30103 奖金 50101 工资奖金津补贴 55269 55269 0 8 30103 奖金 50501 工资福利支出 14132600 14132600 0 9 30107 绩效工资 50501 工资福利支出 104292768 104292768 0 10 30108 机关事业单位基本养老保险缴费50102 社会保障缴费 184400 184400 0 11 30108 机关事业单位基本养老保险缴费50501 工资福利支出 55984870 55984870 0 12 30109 职业年金缴费 50102 社会保障缴费 92200 92200 0 13 30109 职业年金缴费 50501 工资福利支出 28114630 28114630 0 14 30110 职工基本医疗保险缴费 50102 社会保障缴费 136782 136782 0 15 30110 职工基本医疗保险缴费 50501 工资福利支出 43041253 43041253 0 16 30112 其他社会保障缴费 50102 社会保障缴费 9612 9612 0 17 30112 其他社会保障缴费 50501 工资福利支出 6455999 6455999 0 18 30113 住房公积金 50103 住房公积金 144186 144186 0 19 30113 住房公积金 50501 工资福利支出 44396553 44396553 0 20 30199 其他工资福利支出 50199 其他工资福利支出 41604 41604 0 21 30199 其他工资福利支出 50501 工资福利支出 20792746 20792746 0 111735287 61573 111673714 22 302 商品和服务支出 23 30201 办公费 50201 办公经费 120000 0 120000 24 30201 办公费 50502 商品和服务支出 775500 0 775500 25 30202 印刷费 50502 商品和服务支出 0 0 0 26 30205 水费 50502 商品和服务支出 5000 0 5000 27 30206 电费 50502 商品和服务支出 5000 0 5000 28 30207 邮电费 50201 办公经费 10000 0 10000 29 30207 邮电费 50502 商品和服务支出 0 0 0 30 30208 取暖费 50201 办公经费 0 0 0 31 30209 物业管理费 50502 商品和服务支出 0 0 0 32 30211 差旅费 50201 办公经费 70000 0 70000 33 30211 差旅费 50502 商品和服务支出 10000 0 10000 34 30213 维修(护)费 50209 维修(护)费 0 0 0 35 30213 维修(护)费 50502 商品和服务支出 0 0 0 36 30214 租赁费 50201 办公经费 0 0 0 37 30216 培训费 50203 培训费 0 0 0 38 30216 培训费 50502 商品和服务支出 0 0 0 39 30218 专用材料费 50204 专用材料购置费 0 0 0 40 30224 被装购置费 50204 专用材料购置费 0 0 0 41 30226 劳务费 50205 委托业务费 0 0 0 42 30226 劳务费 50502 商品和服务支出 0 0 0 43 30227 委托业务费 50205 委托业务费 103999500 0 103999500 44 30228 工会经费 50201 办公经费 19599 0 19599 备注 45 30228 工会经费 50502 商品和服务支出 6358862 0 6358862 46 30229 福利费 50502 商品和服务支出 61573 61573 0 47 30231 公务用车运行维护费 50502 商品和服务支出 60000 0 60000 48 30239 其他交通费用 50201 办公经费 85200 0 85200 49 30239 其他交通费用 50502 商品和服务支出 30000 0 30000 50 30299 其他商品和服务支出 50299 其他商品和服务支出 10000 0 10000 51 30299 其他商品和服务支出 50502 商品和服务支出 115053 0 115053 25896019 25896019 0 52 303 对个人和家庭的补助 53 30301 离休费 50905 离退休费 566833 566833 0 54 30302 退休费 50905 离退休费 119256 119256 0 55 30303 退职(役)费 50905 离退休费 1136436 1136436 0 56 30304 抚恤金 50901 社会福利和救助 40080 40080 0 57 30305 生活补助 50901 社会福利和救助 12630803 12630803 0 58 30307 医疗费补助 50901 社会福利和救助 1577065 1577065 0 59 30308 助学金 50902 助学金 0 0 0 60 30309 奖励金 50901 社会福利和救助 0 0 0 61 30399 其他对个人和家庭的补助 50999 其他对个人和家庭补助 9825546 9825546 0 0 0 0 62 310 资本性支出 63 31002 办公设备购置 50601 资本性支出(一) 0 0 0 64 31003 专用设备购置 50306 设备购置 0 0 0 65 31003 专用设备购置 50601 资本性支出(一) 0 0 0 66 31005 基础设施建设 50302 基础设施建设 0 0 0 67 31099 其他资本性支出 50399 其他资本性支出 0 0 0 0 0 0 0 0 0 68 399 69 其他支出 39999 其他支出 59999 其他支出 表9 2022年部门综合预算政府性基金收支表(不含上年结转) 金额单位:元 序 号 1 收 项 入 目 预算数 一、政府性基金拨款 0.00 支 支出功能分类科目(按大类 ) 一、科学技术支出 预算数 0.00 部门预算支出经济分类科 目(按大类) 出 预算数 一、人员经费和公用经费支出 0.00 政府预算支出经济分类 科目(按大类) 预算数 一、机关工资福利支出 0.00 表10 2022年部门综合预算专项业务经费支出表 金额单位:元 序号 单位编码 1 单位(项目)名称 项目金额 项目简介 合计 671710400 全额 671710400 神木市教育和体育局 551164300 4 专用项目 551164300 5 教育专项资金 551164300 6 2022年夏秋季学生校服 5300000 全市义务阶段继续实行“零收费”政策,每年春秋季开学,为小学一年级、四年级和初中一年级学生免费提供一套校服 7 北师大神木学校相关费用 15000000 色的区域性标准化品牌学校,提高神木市教育发展水平质量。我方向北师大支付筹备经费及开办运行经费等 8 第四中学、第七中学教师绩效考核奖金 6000000 万元(四中300万、七中300万) 2 3 1 301001 神木市人民政府 北京师范大学教育集团合作办学协议书,充分利用北京师范大学在基础教育方面的资源优势,打造独具特 为了全面推动我市高中教育优质发展,平衡高教师绩效考核奖励,激励四中、七中教师教书育人积极性,审请每年安排600 1、根据省市文件承接全国比赛,参加省、市各类比赛。2、为提高全民健身意识及全民体育素质,启动全民健身示范市的 创建。3、为提高全市积极向上健康的体育形象举办神木市马拉松比赛、环湖自行车赛、神马公路自行车赛、汽摩大赛、横 6600000 渡红碱淖游泳等金牌赛事 现有公办幼儿园34所,在园幼儿14660人,在编在岗公办教师456人(含辅导员320人),按国家核定的师生比1:6计算,短 19500000 缺教师1987人,缺编教师占用大量保教经费,幼儿园经费严重短缺。 6353800 为保证学校信息技术教育正常进行,向网络运营商进行光纤租赁,通过招标由电信、联通、移动公司为学校网络进行服务 。 实行教师工资绩效改革,将原来4000万元的教师绩效考核奖金提高到教师工资总额的15%,中共神木市委、神木市人民政府 9 各项体育赛事活动经费 10 公办幼儿园临聘教师工资补助 11 基础教育专网租赁费 12 教师绩效考核专项资金 98000000 《关于推动神木教育高质量发展的意见》神发【2018】22号 13 教师奖励金2 5000000 每年安排500万元用于奖励优秀教师、模范班主任、先进教育工作者、学科带头人及教育类各项获奖类型的奖励 14 教师专项培训经费2 13600000 局根据培训需求,自主组织教师培训。 15 教学名师和教育人才专项奖励经费 2000000 参照神木市委“名师工程”引进人才激励标准,每年安排200万元专项资金用于本市教学名师和教育人才奖励 16 教育质量提升奖 11400000 每年安排1200万元,对高考、中考成绩突出的学校、教师、学生以及考核优秀的学校给予奖励 17 农村寄宿制学校贫困学生课后服务费 26580000 根据(榆办发【2021】13号)文件精神,农村寄宿制学校、家庭经济困难学生课后服务费由县本级财政承担 18 青少年近视筛查屈光建档专项经费 19 神木市乡村教师突出贡献奖 为了有效预防儿童青少年近视、减少弱视、斜视及儿童盲。屈光不正等视力残疾发生,,神木市人民政府《关于印发建立 残疾儿童少年康复救助制度的实施意见的通知》(神政发【2019】10号)对全市所有学生、适龄幼儿进行视力筛查,建立 3900000 学生视力屈光档案 对在乡村学校任教20年以上且作出突出贡献的在职乡村教师进行表彰奖励,每年组织一次申报评选,每次评选10--20人, 400000 每年奖励2万元 20 神木星光学校(福港美心理咨询公司) 2840000 对有严重不良行为或不予刑事处罚的未成年人进行教育矫治的专门学校 21 师生校园方责任保险 2082000 为教师及学生购买校园方责任保险 22 十五年免费教育经费2 238453900 、维修等商品服务支出) 23 西安康桥合作办学相关经费2 23850000 儿园6万班),支付费用管理周期时间为当年9月1日至下一年的8月1日(即一个完整的教学年度 ) 24 校园后勤人员补助经费 4590000 学校及幼儿园后勤人员专项经费 25 星光学校教职工和各类临聘人员工资及伙食补助 500000 成,于2001年1月15日开始招生并运行,根据政府合作办学协议临聘人员工资由市财政支付.并给予伙食补助 落实教师年度培训经费不低于学校公用经费预算总额的5%的政策同,市财政每年安排2000万元教师专项培训费,由市教体 学前教育、义务教育、高中教育全免费,实行教育零收费。(用于学校、幼儿园的办公、差费、煤水电、劳务、设备购置 我方每年向西郊康桥集团支付合作办学的委托管理费,委托管理费管好实际班额计算(初中10万元/班,小学8万元/班,幼 星光学校有教职工由借调在编教师、公安局驻派人员,保安公司选派人员、西安福港美心理团队和学校临聘人员五部分组 26 行政事业单位取暖费(2021)2022 12122400 神木市公共财政事务所《关于下达2021年各镇、街办、行政事业单位供热费计划资金的通知》 27 学校幼儿园保安经费 15460000 为学校配备专职保安,确保师生人身及校园财产安全。 28 巡考系统维护费 120000 财政每年安排15万元用于中高考巡考系统维护 29 研学旅行专项经费 7000000 市财政每年安排700万元研学旅行专项经费,创新研学旅行专项方式,提升学生研学水平 30 幼儿园“以奖代补”专项经费 5000000 落实专项补助资金,每年设立500万元扶持资金,用于扶持普惠性民办幼儿园发展 31 中小学劳动教育实践活动经费 3000000 成良好劳动习惯,提高创造性劳动能力,促进教育质量综合发展。 32 中小学幼儿园燃气锅炉低氮燃烧改造专项资金 4368600 进行低氮燃烧改造。 根据文件要求,对小学高年级(4-6)和初中(7-9)学生进行劳动教育实践活动,提升引导学生树立正确劳动价值观、形 依据《神木市人民政府办公室关于开展燃烧锅炉低氮燃烧改造工作的通知》对列入改造任务清单的学校和幼儿园燃气锅炉 33 中小学智慧校园建设专项资金2022 根据教育部关与印发《教育信息化2.0行动计划》的文件精神,我市启动智慧校园示范市建设,对第十一中学、第六小学、 第十一小学等三所义教育学校进行试点建设,采购安装管理软件,PC客户端、数据分析系统,交互平板,互动教学软件, 12080600 录播教室,校园无线网络等:安装智能题库、多媒体一体机、集控平台、智慧课堂管控系统、POE8中交换机等 34 驻村第一书记、干部和工作队经费 63000 为切实解决重点乡村选派的驻村第一书记和工作队后顾之忧,激励担当作为,巩固拓展脱贫攻坚成果,全面推进乡村振兴 35 神木市继续教育中心 2000000 36 专用项目 2000000 37 其他 2000000 38 教师培训专项经费 2000000 培训我市新任教师、校园长外出培训、中小学教师技能大赛、送教下乡基层骨干教师培训及各类骨干教师外出培 陕西省神木中学 31523200 40 专用项目 31523200 41 其他 31523200 42 2022年名校建设教师量化奖金 11000000 ,按月进行量化考核,并足额及时发放量化奖金,把教师待遇落到实处。 43 2022年学校行政运行管理经费 8520000 校园绿化工作,保障后勤管理服务日常工作、改善办学条件,为师生营造良好学习环境,按时缴纳水电费,保障学校正常 44 高考质量提升考核奖励金 4000000 核,全面提升教学质量,严格执行奖励激励机制,按照神木中学高考奖金细则,把教师待遇落到实处。 45 教师培训及校际合作经费 通过与国内外知名高中实施自主联盟办学,建立联合发展长效机制,积极开展全方位、宽领域、多层次的合作交流。通过 交流培训、购买服务等方式,引进联盟学校先进管理经验、先进教学方法、优秀科研成果等优质教育资源,实现校际全面 4000000 融合,助推神木中学建成全省知名品牌示范高中。 46 免费教育经费 4003200 高中教育全免费,实行教育零收费。(用于学校的办公、差费、煤水电、劳务、设备购置、维修等商品服务支出) 神木市第二中学 1666500 48 专用项目 1666500 49 - 专用项目 1666500 39 301002 301003 对全体教师实行岗位目标责任考核,进一步优化教师结构,严格执行奖励激励机制,按照神木中学教师量化奖金奖励细则 为提高行政运行管理效率,临时聘用教师灶灶务人员及后勤人员共16人,并委托物业公司负责学校卫生清洁、校园安保、 运转。 本年度高考一本上线率较上年度有所上升,到2024年达到88%,力争实现清华北大零突破。对全体教师实行岗位目标责任考 47 301004 50 免费教育经费 1666500 初中教育全免费,实行教育零收费。(用于学校的办公、差费、煤水电、劳务、设备购置、维修等商品服务支出) 神木市第三中学 2094900 52 专用项目 2094900 53 - 专用项目 2094900 51 301005 54 55 56 301006 免费教育经费 2094900 学前教育、中小学教育全免费,实行教育零收费。(用于学校的办公、差费、煤水电、劳务、设备购置、维修等商品服务 神木市第四中学 4172300 专用项目 4172300 支出) 57 其他 4172300 58 免费教育经费 4172300 高中教育全免费,实行教育零收费。(用于学校的办公、差费、煤水电、劳务、设备购置、维修等商品服务支出) 神木市第五中学 2043300 60 专用项目 2043300 61 公益事业保障经费 2043300 免费教育经费 2043300 小学、初中教育全免费,实行教育零收费。(用于学校的办公、差费、煤水电、劳务、设备购置、维修等商品服务支出) 神木市第六中学 1697500 64 专用项目 1697500 65 公益事业保障经费 1697500 66 免费教育经费 1697500 九年义务教育全免费,实行教育零收费。(用于学校的办公、差费、煤水电、劳务、设备购置、维修等商品服务支出) 神木市第七中学 3823900 68 专用项目 3823900 69 公益事业保障经费 3823900 70 免费教育经费 3823900 高中教育全免费,实行教育零收费。(用于学校的办公、差费、煤水电、劳务、设备购置、维修等商品服务支出) 神木市第八中学 1876300 72 专用项目 1876300 73 公益事业保障经费 1876300 74 15年免费教育经费 1876300 初中教育全免费,实行教育零收费。(用于学校的办公、差费、煤水电、劳务、设备购置、维修等商品服务支出) 神木市第九中学 581200 76 专用项目 581200 77 公益事业保障经费 581200 78 免费教育经费 581200 学前教育、中小学教育全免费,实行教育零收费。(用于学校的办公、差旅、煤水电、劳务、设备购置、维修等商品服务 神木市第十中学 1241800 80 专用项目 1241800 81 公益事业保障经费 1241800 82 免费教育经费(幼儿园) 203700 学前教育全免费,实行教育零收费。(用于学校的办公、差费、煤水电、劳务、设备购置、维修等商品服务支出) 83 免费教育经费(中小学) 1038100 小学、初中教育全免费,实行教育零收费。(用于学校的办公、差费、煤水电、劳务、设备购置、维修等商品服务支出) 神木市第十一中学 2968500 85 专用项目 2968500 86 公益事业保障经费 2968500 87 免费教育经费 2968500 义务教育全免费,实行教育零收费。(用于学校的办公、差费、煤水电、劳务、设备购置、维修等商品服务支出) 神木市第一小学 1255500 89 专用项目 1255500 90 公益事业保障经费 1255500 91 免费教育经费 1255500 小学教育全免费,实行教育零收费。(用于学校的办公、差费、煤水电、劳务、设备购置、维修等商品服务支出 神木市第二小学 333500 59 301007 62 63 67 71 75 79 84 88 92 301008 301009 301010 301011 301012 301013 301014 301015 支出) 93 专用项目 333500 94 公益事业保障经费 333500 95 免费教育经费 333500 小学教育全免费,实行教育零收费。(用于学校的办公、差费、煤水电、劳务、设备购置、维修等商品服务支出) 神木市第三小学 436100 97 专用项目 436100 98 公益事业保障经费 436100 99 免费教育经费 436100 小学教育全免费,实行教育零收费。(用于学校的办公、差费、煤水电、劳务、设备购置、维修等商品服务支出) 神木市第四小学 2016500 101 专用项目 2016500 102 - 专用项目 2016500 96 100 301016 301017 103 免费教育经费 2016500 小学教育全免费,实行教育零收费。(用于学校的办公、差费、煤水电、劳务、设备购置、维修等商品服务支出) 神木市第五小学 599000 105 专用项目 599000 106 其他 599000 107 免费教育经费 599000 小学教育全免费,实行教育零收费。(用于学校的办公、差旅、煤水电、设备购置、维修等商品服务支出) 神木市第六小学 2133900 109 专用项目 2133900 110 公益事业保障经费 2133900 111 免费教育经费 2133900 小学教育全免费,实行教育零收费。(用于学校的办公、差费、煤水电、劳务、设备购置、维修等商品服务支出) 神木市第七小学 862700 113 专用项目 862700 114 公益事业保障经费 862700 115 免费教育经费 862700 小学教育全免费,实行教育零收费。(用于学校的办公、差费、煤水电、劳务、设备购置、维修等商品服务支出) 神木市第八小学 1218600 117 专用项目 1218600 118 公益事业保障经费 1218600 119 免费教育经费 1218600 小学教育全免费,实行教育零收费。(用于学校的办公、差费、煤水电、劳务、设备购置、维修等商品服务支出) 神木市第九小学 291600 121 专用项目 291600 122 公益事业保障经费 291600 123 免费教育经费 291600 小学教育全免费,实行教育零收费。(用于学校的办公、差费、煤水电、劳务、设备购置、维修等商品服务支出) 神木市第十一小学 1152000 125 专用项目 1152000 126 公益事业保障经费 1152000 127 免费教育经费 1152000 小学教育全免费,实行教育零收费。(用于学校的办公、差费、水电、劳务、设备购置、维修等商品服务支出) 神木市第一幼儿园 1161400 104 108 112 116 120 124 128 301018 301019 301020 301021 301022 301024 301025 129 专用项目 1161400 130 公益事业保障经费 1161400 131 塞上欣苑幼儿园免费教育经费 532400 学前教育全免费,实行教育零收费。(用于学校的办公、差费、煤水电、劳务、设备购置、维修等商品服务支出) 132 神木市第一幼儿园免费教育经费 629000 学前教育全免费,实行教育收费。(用于学校的办公、差费、煤水电、劳务、设备购置、维修等商品服务支出) 神木市第二幼儿园 1116200 134 专用项目 1116200 135 教育专项资金 1116200 136 免费教育经费 1116200 学前教育全免费,实行教育零收费。(用于学校的办公、差费、煤水电、劳务、设备购置、维修等商品服务支出) 神木市第三幼儿园 886300 138 专用项目 886300 139 公益事业保障经费 886300 140 免费教育经费 505100 学前教育全免费,实行教育零收费。(用于学校的办公、差费、煤水电、劳务、设备购置、维修等商品服务支出) 141 免费教育经费(仕嘉名苑幼儿园) 381200 学前教育全免费,实行教育零收费。(用于学校的办公、差费、煤水电、劳务、设备购置、维修等商品服务支出) 神木市第四幼儿园 677300 143 专用项目 677300 144 - 专用项目 275100 133 137 142 301026 301027 301028 145 免费教育经费(神木四幼) 275100 学前教育全免费,实行教育零收费。(用于学校的办公、差费、煤水电、劳务、设备购置、维修等商品服务支出) 146 公益事业保障经费 402200 147 免费教育经费(麟州华府幼儿园) 402200 学前教育全免费,实行教育零收费。(用于学校的办公、差费、煤水电、劳务、设备购置、维修等商品服务支出) 神木市第五幼儿园 580700 149 专用项目 580700 150 公益事业保障经费 580700 151 免费教育经费 580700 学前教育全免费,实行教育零收费。(用于学校的办公、差费、煤水电、劳务、设备购置、维修等商品服务支出) 神木市第六幼儿园 489300 153 专用项目 489300 154 公益事业保障经费 489300 155 免费教育经费 489300 学前教育全免费,实行教育零收费。(用于学校的办公、差费、煤水电、劳务、设备购置、维修等商品服务支出) 神木市第七幼儿园 1710500 157 专用项目 1710500 158 教育专项资金 1710500 159 免费教育经费 974400 服务支出) 160 职中附属幼儿园免费教育经费 736100 学前教育全免费,实行教育零收费。(用于学校的办公、差费、煤水电、劳务、设备购置、维修等商品服务支出) 神木市第八幼儿园 1138200 162 专用项目 1138200 163 公益事业保障经费 1138200 164 免费教育经费 921900 学前教育全免费,实行教育零收费。(用于学校的办公、差费、煤水电、劳务、设备购置、维修等商品服务支出) 148 152 156 301029 301030 301031 学前教育全免费,实行教育零收费。(关于幼儿园的办公,差费水电天然气,教职工工资劳务费设备购置费,维修等商品 161 301032 165 免费教育经费(祥福) 216300 学前教育全免费,实行教育零收费。(用于学校的办公、差费、煤水电、劳务、设备购置、维修等商品服务支出) 神木市第九幼儿园 914600 167 专用项目 914600 168 公益事业保障经费 914600 169 免费教育经费 914600 学前教育全免费,实行教育零收费(用于学校的办公,差费煤水电费,劳务,设备购置,维修等服务支出) 166 170 301033 神木市第十幼儿园 380100 171 专用项目 380100 172 公益事业保障经费 380100 173 免费教育经费 380100 学前教育全免费,实行教育零收费。(用于学校的办公、差费、煤水电、劳务、设备购置、维修等商品服务支出) 神木市第十一幼儿园 400100 175 专用项目 400100 176 公益事业保障经费 400100 177 免费教育经费 400100 学前教育全免费,实行教育零收费。(用于学校的办公、差费、煤水电、劳务、设备购置、维修等商品服务支出) 神木市特殊教育学校 2321500 179 专用项目 2321500 180 公益事业保障经费 921500 181 免费教育经费 921500 特殊教育全免费,实行教育零收费。(用于学校的办公、差费、煤水电、劳务、设备购置、维修等商品服务支出) 182 其他 1400000 183 特殊教育专项经费(20212022年) 1400000 作开展支出。 神木市职业技术教育中心 10844000 185 专用项目 10844000 186 公益事业保障经费 10844000 187 免费教育经费 10844000 职业高中教育全免费,实行教育零收费。(用于学校的办公、差费、煤水电、劳务、设备购置、维修等商品服务支出) 神木市招生考试中心 3600000 189 专用项目 3600000 190 其他 3600000 191 初、高中学业水平考试专项工作经费 600000 审查、组织实施考试、成绩公布等工作所需经费。高中学业水平考试于3月底完成,初中学业水平考试于8月底完成。 192 高考外语听力模拟演练专项工作经费 400000 项目主要是模拟演练的组织实施以及听力设备的调试与更换,计划在高考前完成。 193 中、高考专项工作经费 2000000 志愿填报、录取、建档等工作所需经费,为保证中、高考顺利实施,设此专项,确保平安考试,计划于12月底完成。 194 中考体育考试专项工作经费 600000 的报名、资格审查、现场考试、成绩上报等工作。计划于5月底前完成。 神木市教育中心 1500000 196 专用项目 1500000 197 教育专项资金 900000 198 “一师一优课、一课一名师”活动评审费 200000 我市500名教师500节参与优课评选,从中选出240节参加省级评选。 174 178 301034 301035 301036 为了进一步提升特殊教育学校的教学环境以及教学水平,保障残疾人受教育的权利,作为建设特殊教育学校校园文化的工 184 188 301038 301039 初、高中学业水平考试是考生在初、高中阶段学业水平的监测,是高中毕业证取得的有力依据,主要是考生的报名、资格 高考外语听力考试存在一定的特殊性,组织难度较大,需在正式高考前进行1—2次模拟演练,确保听力考试万无一失。本 中、高考事关千家万户,必须有财政的支持方可组织实施,本项目主要用于考生报名、资格审查、组织考试、考生体检、 中考体育考试于2016年起将成绩记入中考总分,每年需组织为期十天左右的体育测试,所需经费由财政列支,主要是考生 195 301043 199 理化生实验和信息技术操作考试经费 300000 高二年级、八、九年级进行理化生实验考试,8年级进行信息技术考试。超过8000人参与考试。 200 全市学科能力竞赛专项经费 200000 需经费由当地财政列支,计划将于9月底前完成。 201 网络设备维护费用 200000 时维护。 202 其他 600000 203 规范汉字听写大会等“三会”活动经费 200000 ,计划于12月底前全部完成。 204 考试教研专项经费 400000 人能力,服务教育管理决策,加强基础教育理论、政策和实践研究,提高教育决策的科学化水平。计划年底完成 神木市学生服务中心 380000 206 专用项目 380000 207 其他 380000 208 城区学校监控中心维护、技术保障费 150000 校园安全管理和应急指挥体系建设。 平安校园、绿色校园等创建经费 坚持“立德树人”为导向,以培育和践行社会主义核心价值观为核心,以建设优良校风、教风、学风为重点,以优化校园 育人环境为基础,以开展健康向上的校园文化活动为载体,发挥学校师生的主体作用,深入挖掘校园文化内涵,全面加强 校园文化建设。绿色文明校园、校园文化示范学校(幼儿园)创建春季学期进行;平安校园、后勤精细化管理师范学校( 80000 幼儿园)创建秋季学期进行。学校开展创建,学生服务中心组织验收。 学生资助工作经费 150000 学生资助专项工作,主要承担全市学前、义务、普通高中和中职等学生资助工作,国家生源地信用助学贷款的发放和回收 神木市马镇九年制学校 33700 212 专用项目 33700 213 公益事业保障经费 33700 214 免费教育经费 33700 小学教育全免费,实行教育零收费。(用于学校的办公、差费、煤水电、劳务、设备购置、维修等商品服务支出) 神木市沙峁九年制学校 210400 216 专用项目 210400 217 公益事业保障经费 210400 218 十五年免费教育经费 210400 小学、初中教育全免费,实行教育零收费。(用于学校的办公、差费、煤水电、劳务、设备购置、维修等商品服务支出) 神木市贺家川小学 36900 220 专用项目 36900 221 公益事业保障经费 36900 222 免费教育经费 36900 小学教育全免费,实行教育零收费。(用于学校的办公、差费、煤水电、劳务、设备购置、维修等商品服务支出) 神木市乔岔滩小学 38800 224 专用项目 38800 225 公益事业保障经费 38800 226 免费教育经费 38800 小学教育全免费,实行教育零收费。 神木市高家堡小学 156000 228 专用项目 156000 229 公益事业保障经费 156000 230 免费教育经费 156000 小学教育全免费,实行教育零收费。(用于学校的办公、差费、煤水电、劳务、设备购置、维修等商品服务支出) 该项目为深化教育教学改革,加强教师队伍建设,促进教师专业发展。榆林市总工会、教育局要求每年举行一次初赛,所 近年来,由于教育系统网络机房设备老化,配电系统.UPS电源.空调.新风系统等需要及时维护更新,根据需要每年进行及 本项目加强经典诵读和规范汉字书写教育,提高学生文化素养,传承中华优秀文化,每年举办三次活动,经费由财政列支 该项目服务学校教育教学,引领课程改革,提高教育教学质量,服务教师专业成长,指导教师改进教学方式,提高教书育 205 301045 监控中心设立于青少年活动中心,定期进行维护维修和技术保障工作,进一步规范食堂管理,实施有效监督,加强本年度 209 210 211 215 219 223 227 301046 301047 301048 301050 301051 231 神木市大保当初级中学 984400 232 专用项目 984400 233 公益事业保障经费 984400 234 免费教育经费 984400 初中教育全免费,实行教育零收费。(用于学校的办公、差费、煤水电、劳务、设备购置、维修等商品服务支出) 神木市大保当小学 1718900 236 专用项目 1718900 237 公益事业保障经费 1718900 238 免费教育经费 1718900 小学教育全免费,实行教育零收费。(用于学校的办公、差费、煤水电、劳务、设备购置、维修等商品服务支出) 神木市锦界第一小学 1634500 240 专用项目 1634500 241 公益事业保障经费 1634500 242 免费教育经费 1634500 小学教育全免费,实行教育零收费。(用于学校的办公、差费、煤水电、劳务、设备购置、维修、营养餐等商品服务支出 神木市锦界初级中学 1463400 244 专用项目 1463400 245 公益事业保障经费 1463400 246 免费教育经费 1463400 等商品服务支出) 神木市尔林兔镇初级中学 427500 248 专用项目 427500 249 2022年城乡义务教育经费 427500 250 免费教育经费 427500 初中教育全免费,实行教育零收费。(用于学校的办公、差费、煤水电、劳务、设备购置、维修等商品服务支出) 神木市尔林兔小学 557700 252 专用项目 557700 253 公益事业保障经费 557700 254 免费教育经费 557700 小学教育全免费,实行教育零收费。(用于学校的办公、差费、煤水电、劳务、设备购置、维修等商品服务支出) 神木市尔林兔中心幼儿园 287700 256 专用项目 287700 257 公益事业保障经费 287700 258 免费教育经费 287700 学前教育全免费,实行教育零收费。(用于学校的办公、差费、煤水电、劳务、设备购置、维修等商品服务支出) 神木市中鸡小学 413100 260 专用项目 413100 261 公益事业保障经费 413100 262 免费教育经费 413100 小学教育全免费,实行教育零收费。(用于学校的办公、差费、煤水电、劳务、设备购置、维修等商品服务支出) 神木市中鸡初级中学 118900 264 专用项目 118900 265 公益事业保障经费 118900 235 239 243 301052 301053 301054 301055 ) 初中教育全免费,实行教育零收费。(用于学校的办公、差费、煤水电、劳务、设备购置、维修、学生生活补助、营养餐 247 251 255 259 263 301056 301057 301058 301059 301060 初中教育全免费,实行教育零收费。(用于学校的办公、差费、煤水电、劳务、设备购置、维修生活补助、营养餐等商品 266 267 118900 服务支出) 神木市中鸡幼儿园 202700 268 专用项目 202700 269 公益事业保障经费 202700 270 免费教育经费 202700 学前教育全免费,实行教育零收费。(用于学校的办公、差费、煤水电、劳务、设备购置、维修等商品服务支出) 神木市孙家岔九年制学校 806900 272 专用项目 806900 273 公益事业保障经费 806900 274 十五年免费教育经费 806900 小学、初中教育全免费,实行教育零收费。(用于学校的办公、差费、煤水电、劳务、设备购置、维修等商品服务支出) 神木市刘石畔小学 366900 276 专用项目 366900 277 公益事业保障经费 366900 278 免费教育经费 226900 小学教育全免费,实行教育零收费。(用于学校的办公、差费、煤水电、劳务、设备购置、维修等商品服务支出) 279 学前免费教育经费 140000 学前教育全免费,实行教育零收费。(用于学校的办公、差费、煤水电、劳务、设备购置、维修等商品服务支出) 神木市孙家岔幼儿园 151200 281 专用项目 151200 282 - 专用项目 151200 271 275 280 301061 免费教育经费 301062 301063 301064 283 2022年免费教育经费 151200 幼儿教育全免费,实行教育零收费。(用于学校的办公、差费、煤水电、劳务、设备购置、维修等商品服务支出) 神木市栏杆堡九年制学校 36900 285 专用项目 36900 286 公益事业保障经费 36900 287 免费教育经费 36900 小学教育全免费,实行教育零收费。(用于学校的办公、差费、煤水电、劳务、设备购置、维修等商品服务支出) 284 288 301065 神木市店塔初级中学 1109000 289 专用项目 1109000 290 公益事业保障经费 1109000 291 免费教育经费 1109000 义务教育全免费,实行教育零收费。(用于学校、幼儿园的办公、差旅费、煤水电、劳务、设备购置、维修等商品服务支 神木市店塔第一小学 675000 293 专用项目 675000 294 公益事业保障经费 675000 295 2022年免费教育经费 675000 小学教育全免费,实行教育零收费。(用于学校的办公、差费、煤水电、劳务、设备购置、维修等商品服务支出) 神木市神华铁路小学 107400 297 专用项目 107400 298 公益事业保障经费 107400 299 免费教育经费 107400 小学教育全免费,实行教育零收费。(用于学校的办公、差费、水电、劳务、设备购置、维修等商品服务支出) 神木市店塔幼儿园 244700 专用项目 244700 292 296 300 301 301066 301067 301068 301069 出) 302 公益事业保障经费 244700 303 2022年免费教育经费 244700 幼儿教育全免费,实行教育零收费。(用于学校的办公、差费、煤水电、劳务、设备购置、维修等商品服务支出) 神木市西沟小学 129100 305 专用项目 129100 306 公益事业保障经费 129100 免费教育经费 129100 小学教育全免费,实行教育零收费。(用于学校的办公、差费、煤水电、劳务、设备购置、维修等商品服务支出) 神木市永兴九年制学校 174700 309 专用项目 174700 310 公益事业保障经费 174700 311 十五年免费教育经费 174700 小学。初中教育全麻烦,实施教育零收费。(用于学校的办公,煤水电,劳务,设备购置,维修等商品服务支出) 神木市体育中心 1400000 313 专用项目 1400000 314 其他 1400000 315 水电及日常运行维护费 300000 用于体育场馆运行中的正常水电费缴纳,设备维护费用 316 物业费 1100000 用于体育场馆物业管理费 神木市第十二小学 1005300 318 专用项目 1005300 319 公益事业保障经费 1005300 320 免费教育经费 1005300 小学教育全免费,实行教育零收费。(用于学校的办公、差费、煤水电、劳务、设备购置、维修等商品服务支出) 神木市第十三小学 575600 322 专用项目 575600 323 公益事业保障经费 575600 324 免费教育经费 575600 小学教育全免费,实行教育零收费。(用于学校的办公、差费、煤水电、劳务、设备购置、维修等商品服务支出) 神木市锦界第一幼儿园 831600 326 专用项目 831600 327 公益事业保障经费 831600 328 锦界二幼免费教育经费 365400 学前教育全免费,实行教育零收费。(用于学校的办公、差费、煤水电、劳务、设备购置、维修等商品服务支出) 329 免费教育经费 466200 学前教育全免费,实行教育零收费。(用于学校的办公、差费、煤水电、劳务、设备购置、维修等商品服务支出) 神木市锦界第二小学 1401100 331 专用项目 1401100 332 公益事业保障经费 1401100 333 免费教育经费 1401100 等商品服务支出) 神木市大保当第一幼儿园 519800 335 专用项目 519800 336 公益事业保障经费 519800 337 免费教育经费 519800 学前教育全免费,实行教育零收费。(用于学校的办公、差费、煤水电、劳务、设备购置、维修等商品服务支出) 304 301070 307 308 312 317 321 325 330 301071 301072 301073 301074 301075 301076 小学教育全免费,实行教育零收费。(用于学校的办公、差费、煤水电、劳务、设备购置、维修、学生生活补助、营养餐 334 301077 338 神木市教育质量评估监测中心 1200000 339 专用项目 1200000 340 教育督导专项经费 1200000 341 2022教育督导专项经费 1200000 2022年督导专项经费,为全市的教育、教学督导工作提供保障。 神木市第十二幼儿园 675200 343 专用项目 675200 344 公益事业保障经费 675200 345 免费教育经费 675200 学前教育全免费,实行教育零收费。(用于学校的办公、差费、煤水电、劳务、设备购置、维修等商品服务支出) 神木市第十三中学 1526800 347 专用项目 1526800 348 公益事业保障经费 1526800 349 免费教育经费 1526800 养餐等商品服务支出) 神木市第一中学 1610600 351 专用项目 1610600 352 教育专项资金 1610600 353 免费义务教育经费 1610600 初中、高中教育全免费,实行教育零收费。(用于学校的办公、差旅、煤水电、劳务、设备购置、维修等商品服务支出) 神木市第十四幼儿园 455700 355 专用项目 455700 356 教育专项资金 455700 357 免费教育经费 455700 学前教育全免费,实行教育零收费。(用于学校的办公、差费、煤水电、劳务、设备购置、维修等商品服务支出) 神木市第十六幼儿园 413700 359 专用项目 413700 360 公益事业保障经费 413700 361 免费教育经费 413700 学前教育全免费,实行教育零收费。(用于学校的办公、差费、煤水电、劳务、设备购置、维修等商品服务支出) 神木市第十七幼儿园 534500 363 专用项目 534500 364 教育专项资金 534500 365 免费教育经费 534500 学前教育全免费,实行教育零收费。(用于学校的办公、差费、煤水电、劳务、设备购置、维修等商品服务支出) 神木市第十五幼儿园 283500 367 专用项目 283500 368 公益事业保障经费 283500 369 免费教育经费 283500 学前教育全免费,实行教育零收费。(用于学校的办公、差费、煤水电、劳务、设备购置、维修等商品服务支出) 神木市第十三幼儿园 277200 371 专用项目 277200 372 教育专项资金 277200 373 免费教育经费 277200 学前教育全免费、实行教育零收费。(用于学校的办公、差费、煤水电、劳务、设备购置、维修等商品服务支出) 342 346 301078 301079 301080 九年义务教育全免费,实行教育零收费。(用于学校的办公、差费、煤水电、劳务、设备购置、维修、学生生活补助、营 350 354 358 362 366 370 301081 301082 301083 301084 301085 301086 374 神木市第十八幼儿园 420000 375 专用项目 420000 376 公益事业保障经费 420000 377 免费教育经费 420000 学前教育全免费,实行教育零收费。(用于学校的办公、差费、煤水电、劳务、设备购置、维修等商品服务支出) 神木市第十九幼儿园 319300 379 专用项目 319300 380 公益事业保障经费 319300 381 红柠幼儿园免费教育经费 167000 幼儿教育全免费,实行教育零收费。(用于学校的办公、差费、煤水电、劳务、设备购置、维修等商品服务支出) 382 免费教育经费 152300 幼儿教育全免费,实行教育零收费。(用于学校的办公、差旅、煤水电、劳务、设备购置、维修等商品服务支出) 神木市第十四小学 252500 384 专用项目 252500 385 其他 252500 386 免费教育经费 252500 小学教育全免费,实行教育零收费。(用于学校的办公、差费、煤水电、劳务、设备购置、维修等商品服务支出) 神木市第十四中学 403700 388 专用项目 403700 389 公益事业保障经费 403700 390 免费教育经费 384800 九年义务教育全免费,实行教育零收费。(用于学校的办公、差费、煤水电、劳务、设备购置、维修等商品服务支出) 391 学前免费教育经费 18900 学前教育全免费,实行教育零收费。(用于学校的办公、差费、煤水电、劳务、设备购置、维修等商品服务支出) 神木市第二十幼儿园 264600 393 专用项目 264600 394 公益事业保障经费 264600 395 免费教育经费 264600 学前教育全免费,实行教育零收费。(用于学校的办公、差费、煤水电、劳务、设备购置、维修等商品服务支出) 378 383 387 392 301087 301088 301089 301090 301091 表11 2022部门综合预算财政拨款结转资金支出表 金额单位:元 序号 预算单位代 码 预算单位名称 预算项目名称 金额 功能分类科 功能分类科目名 政府经济分类科目 政府经济分类科目 目代码 称 代码 名称 项目类别 资金性质 备注 表12 2022年部门综合预算政府采购(资产配置、购买服务)预算表(不含上年结转) 金额单位:元 科目编码 序号 类 款 单位编码 采购项目 项 205 20501 2E+06 205 20501 2E+06 205 20501 2E+06 205 20501 2E+06 205 20501 2E+06 采购目录 购买服务内容 规格型号 数量 部门预算支出经 政府预算支出经济 济科目编码 分类科目编码 类 2022年夏秋季学生校 服购置费 中小学幼儿园燃气锅 炉低氮燃烧改造专项 资金 中小学智慧校园建设 专项资金 购买师生校园方责任 保险经费 校园网光纤租赁服务 专项经费 款 类 款 实施采购 时间 预算金额 530.00 436.86 1208.06 208.20 635.38 说明 表13 2022年部门综合预算一般公共预算拨款“三公”经费、会议费、培训费表(不含上年结转) 金额单位:元 2021年 2022年 一般公共预算拨款安排的“三公”经费预算 一般公共预算拨款安排的“三公”经费预算 公务用车购置及运行维护费 序 号 单位编码 单位名称 合计 小计 1 因公出国 (境)费 用 公务接待 费 一般公共预算拨款安排的“三公”经费预算 公务用车购置及运行维护费 培训 费 会议费 公务 用车 公务用车运 购置 行费 费 小计 增减变化情况 合计 小计 因公出国 (境)费 用 公务接待 费 公务用车购置及运行维护费 会议费 培训费 合计 公务 用车 公务用车运 购置 行费 费 小计 小计 因公出国 (境)费 用 公务接待 费 会议费 培训费 公务 用车 公务用车 购置 运行费 费 小计 合计 60000 60000 0 0 60000 0 60000 0 0 19660000 60000 0 0 60000 0 60000 0 19600000 19600000 0 0 0 0 0 0 0 19600000 神木市教育和体育局 60000 60000 0 0 60000 0 60000 0 0 19660000 60000 0 0 60000 0 60000 0 19600000 19600000 0 0 0 0 0 0 0 19600000 3 301001 神木市教育和体育局 0 0 0 0 0 0 0 0 0 13600000 0 0 0 0 0 0 0 13600000 13600000 0 0 0 0 0 0 0 13600000 4 301002 神木市继续教育中心 0 0 0 0 0 0 0 0 0 2000000 0 0 0 0 0 0 0 2000000 2000000 0 0 0 0 0 0 0 2000000 5 301003 陕西省神木中学 0 0 0 0 0 0 0 0 0 4000000 0 0 0 0 0 0 0 4000000 4000000 0 0 0 0 0 0 0 4000000 6 301004 神木市第二中学 0 0 0 0 0 0 0 0 0 0 0 0 0 0 0 0 0 0 0 0 0 0 0 0 0 0 0 7 301005 神木市第三中学 0 0 0 0 0 0 0 0 0 0 0 0 0 0 0 0 0 0 0 0 0 0 0 0 0 0 0 8 301006 神木市第四中学 0 0 0 0 0 0 0 0 0 0 0 0 0 0 0 0 0 0 0 0 0 0 0 0 0 0 0 9 301007 神木市第五中学 0 0 0 0 0 0 0 0 0 0 0 0 0 0 0 0 0 0 0 0 0 0 0 0 0 0 0 10 301008 神木市第六中学 0 0 0 0 0 0 0 0 0 0 0 0 0 0 0 0 0 0 0 0 0 0 0 0 0 0 0 11 301009 神木市第七中学 30000 30000 0 0 30000 0 30000 0 0 30000 30000 0 0 30000 0 30000 0 0 0 0 0 0 0 0 0 0 0 12 301010 神木市第八中学 0 0 0 0 0 0 0 0 0 0 0 0 0 0 0 0 0 0 0 0 0 0 0 0 0 0 0 13 301011 神木市第九中学 0 0 0 0 0 0 0 0 0 0 0 0 0 0 0 0 0 0 0 0 0 0 0 0 0 0 0 14 301012 神木市第十中学 0 0 0 0 0 0 0 0 0 0 0 0 0 0 0 0 0 0 0 0 0 0 0 0 0 0 0 15 301013 神木市第十一中学 0 0 0 0 0 0 0 0 0 0 0 0 0 0 0 0 0 0 0 0 0 0 0 0 0 0 0 16 301014 神木市第一小学 0 0 0 0 0 0 0 0 0 0 0 0 0 0 0 0 0 0 0 0 0 0 0 0 0 0 0 17 301015 神木市第二小学 0 0 0 0 0 0 0 0 0 0 0 0 0 0 0 0 0 0 0 0 0 0 0 0 0 0 0 18 301016 神木市第三小学 0 0 0 0 0 0 0 0 0 0 0 0 0 0 0 0 0 0 0 0 0 0 0 0 0 0 0 19 301017 神木市第四小学 0 0 0 0 0 0 0 0 0 0 0 0 0 0 0 0 0 0 0 0 0 0 0 0 0 0 0 20 301018 神木市第五小学 0 0 0 0 0 0 0 0 0 0 0 0 0 0 0 0 0 0 0 0 0 0 0 0 0 0 0 21 301019 神木市第六小学 0 0 0 0 0 0 0 0 0 0 0 0 0 0 0 0 0 0 0 0 0 0 0 0 0 0 0 22 301020 神木市第七小学 0 0 0 0 0 0 0 0 0 0 0 0 0 0 0 0 0 0 0 0 0 0 0 0 0 0 0 23 301021 神木市第八小学 0 0 0 0 0 0 0 0 0 0 0 0 0 0 0 0 0 0 0 0 0 0 0 0 0 0 0 24 301022 神木市第九小学 0 0 0 0 0 0 0 0 0 0 0 0 0 0 0 0 0 0 0 0 0 0 0 0 0 0 0 25 301023 神木市第十小学 0 0 0 0 0 0 0 0 0 0 0 0 0 0 0 0 0 0 0 0 0 0 0 0 0 0 0 26 301024 神木市第十一小学 0 0 0 0 0 0 0 0 0 0 0 0 0 0 0 0 0 0 0 0 0 0 0 0 0 0 0 27 301025 神木市第一幼儿园 0 0 0 0 0 0 0 0 0 0 0 0 0 0 0 0 0 0 0 0 0 0 0 0 0 0 0 28 301026 神木市第二幼儿园 0 0 0 0 0 0 0 0 0 0 0 0 0 0 0 0 0 0 0 0 0 0 0 0 0 0 0 29 301027 神木市第三幼儿园 0 0 0 0 0 0 0 0 0 0 0 0 0 0 0 0 0 0 0 0 0 0 0 0 0 0 0 30 301028 神木市第四幼儿园 0 0 0 0 0 0 0 0 0 0 0 0 0 0 0 0 0 0 0 0 0 0 0 0 0 0 0 31 301029 神木市第五幼儿园 0 0 0 0 0 0 0 0 0 0 0 0 0 0 0 0 0 0 0 0 0 0 0 0 0 0 0 32 301030 神木市第六幼儿园 0 0 0 0 0 0 0 0 0 0 0 0 0 0 0 0 0 0 0 0 0 0 0 0 0 0 0 33 301031 神木市第七幼儿园 0 0 0 0 0 0 0 0 0 0 0 0 0 0 0 0 0 0 0 0 0 0 0 0 0 0 0 34 301032 神木市第八幼儿园 0 0 0 0 0 0 0 0 0 0 0 0 0 0 0 0 0 0 0 0 0 0 0 0 0 0 0 35 301033 神木市第九幼儿园 0 0 0 0 0 0 0 0 0 0 0 0 0 0 0 0 0 0 0 0 0 0 0 0 0 0 0 36 301034 神木市第十幼儿园 0 0 0 0 0 0 0 0 0 0 0 0 0 0 0 0 0 0 0 0 0 0 0 0 0 0 0 37 301035 神木市第十一幼儿园 0 0 0 0 0 0 0 0 0 0 0 0 0 0 0 0 0 0 0 0 0 0 0 0 0 0 0 38 301036 神木市特殊教育学校 0 0 0 0 0 0 0 0 0 0 0 0 0 0 0 0 0 0 0 0 0 0 0 0 0 0 0 39 301038 神木市职业技术教育中心 30000 30000 0 0 30000 0 30000 0 0 30000 30000 0 0 30000 0 30000 0 0 0 0 0 0 0 0 0 0 0 40 301039 神木市招生考试中心 0 0 0 0 0 0 0 0 0 0 0 0 0 0 0 0 0 0 0 0 0 0 0 0 0 0 0 41 301043 神木市教育中心 0 0 0 0 0 0 0 0 0 0 0 0 0 0 0 0 0 0 0 0 0 0 0 0 0 0 0 2 301 42 301045 神木市学生服务中心 0 0 0 0 0 0 0 0 0 0 0 0 0 0 0 0 0 0 0 0 0 0 0 0 0 0 0 43 301046 神木市马镇九年制学校 0 0 0 0 0 0 0 0 0 0 0 0 0 0 0 0 0 0 0 0 0 0 0 0 0 0 0 44 301047 神木市沙峁九年制学校 0 0 0 0 0 0 0 0 0 0 0 0 0 0 0 0 0 0 0 0 0 0 0 0 0 0 0 45 301048 神木市贺家川小学 0 0 0 0 0 0 0 0 0 0 0 0 0 0 0 0 0 0 0 0 0 0 0 0 0 0 0 46 301049 神木市万镇小学 0 0 0 0 0 0 0 0 0 0 0 0 0 0 0 0 0 0 0 0 0 0 0 0 0 0 0 47 301050 神木市乔岔滩小学 0 0 0 0 0 0 0 0 0 0 0 0 0 0 0 0 0 0 0 0 0 0 0 0 0 0 0 48 301051 神木市高家堡小学 0 0 0 0 0 0 0 0 0 0 0 0 0 0 0 0 0 0 0 0 0 0 0 0 0 0 0 49 301052 神木市大保当初级中学 0 0 0 0 0 0 0 0 0 0 0 0 0 0 0 0 0 0 0 0 0 0 0 0 0 0 0 50 301053 神木市大保当小学 0 0 0 0 0 0 0 0 0 0 0 0 0 0 0 0 0 0 0 0 0 0 0 0 0 0 0 51 301054 神木市锦界第一小学 0 0 0 0 0 0 0 0 0 0 0 0 0 0 0 0 0 0 0 0 0 0 0 0 0 0 0 52 301055 神木市锦界初级中学 0 0 0 0 0 0 0 0 0 0 0 0 0 0 0 0 0 0 0 0 0 0 0 0 0 0 0 53 301056 神木市尔林兔镇初级中学 0 0 0 0 0 0 0 0 0 0 0 0 0 0 0 0 0 0 0 0 0 0 0 0 0 0 0 54 301057 神木市尔林兔小学 0 0 0 0 0 0 0 0 0 0 0 0 0 0 0 0 0 0 0 0 0 0 0 0 0 0 0 55 301058 神木市尔林兔中心幼儿园 0 0 0 0 0 0 0 0 0 0 0 0 0 0 0 0 0 0 0 0 0 0 0 0 0 0 0 56 301059 神木市中鸡小学 0 0 0 0 0 0 0 0 0 0 0 0 0 0 0 0 0 0 0 0 0 0 0 0 0 0 0 57 301060 神木市中鸡初级中学 0 0 0 0 0 0 0 0 0 0 0 0 0 0 0 0 0 0 0 0 0 0 0 0 0 0 0 58 301061 神木市中鸡幼儿园 0 0 0 0 0 0 0 0 0 0 0 0 0 0 0 0 0 0 0 0 0 0 0 0 0 0 0 59 301062 神木市孙家岔九年制学校 0 0 0 0 0 0 0 0 0 0 0 0 0 0 0 0 0 0 0 0 0 0 0 0 0 0 0 60 301063 神木市刘石畔小学 0 0 0 0 0 0 0 0 0 0 0 0 0 0 0 0 0 0 0 0 0 0 0 0 0 0 0 61 301064 神木市孙家岔幼儿园 0 0 0 0 0 0 0 0 0 0 0 0 0 0 0 0 0 0 0 0 0 0 0 0 0 0 0 62 301065 神木市栏杆堡九年制学校 0 0 0 0 0 0 0 0 0 0 0 0 0 0 0 0 0 0 0 0 0 0 0 0 0 0 0 63 301066 神木市店塔初级中学 0 0 0 0 0 0 0 0 0 0 0 0 0 0 0 0 0 0 0 0 0 0 0 0 0 0 0 64 301067 神木市店塔第一小学 0 0 0 0 0 0 0 0 0 0 0 0 0 0 0 0 0 0 0 0 0 0 0 0 0 0 0 65 301068 神木市神华铁路小学 0 0 0 0 0 0 0 0 0 0 0 0 0 0 0 0 0 0 0 0 0 0 0 0 0 0 0 66 301069 神木市店塔幼儿园 0 0 0 0 0 0 0 0 0 0 0 0 0 0 0 0 0 0 0 0 0 0 0 0 0 0 0 67 301070 神木市西沟小学 0 0 0 0 0 0 0 0 0 0 0 0 0 0 0 0 0 0 0 0 0 0 0 0 0 0 0 68 301071 神木市永兴九年制学校 0 0 0 0 0 0 0 0 0 0 0 0 0 0 0 0 0 0 0 0 0 0 0 0 0 0 0 69 301072 神木市体育中心 0 0 0 0 0 0 0 0 0 0 0 0 0 0 0 0 0 0 0 0 0 0 0 0 0 0 0 70 301073 神木市第十二小学 0 0 0 0 0 0 0 0 0 0 0 0 0 0 0 0 0 0 0 0 0 0 0 0 0 0 0 71 301074 神木市第十三小学 0 0 0 0 0 0 0 0 0 0 0 0 0 0 0 0 0 0 0 0 0 0 0 0 0 0 0 72 301075 神木市锦界第一幼儿园 0 0 0 0 0 0 0 0 0 0 0 0 0 0 0 0 0 0 0 0 0 0 0 0 0 0 0 73 301076 神木市锦界第二小学 0 0 0 0 0 0 0 0 0 0 0 0 0 0 0 0 0 0 0 0 0 0 0 0 0 0 0 74 301077 神木市大保当第一幼儿园 0 0 0 0 0 0 0 0 0 0 0 0 0 0 0 0 0 0 0 0 0 0 0 0 0 0 0 75 301078 神木市教育质量评估监测中心 0 0 0 0 0 0 0 0 0 0 0 0 0 0 0 0 0 0 0 0 0 0 0 0 0 0 0 76 301079 神木市第十二幼儿园 0 0 0 0 0 0 0 0 0 0 0 0 0 0 0 0 0 0 0 0 0 0 0 0 0 0 0 77 301080 神木市第十三中学 0 0 0 0 0 0 0 0 0 0 0 0 0 0 0 0 0 0 0 0 0 0 0 0 0 0 0 78 301081 神木市第一中学 0 0 0 0 0 0 0 0 0 0 0 0 0 0 0 0 0 0 0 0 0 0 0 0 0 0 0 79 301082 神木市第十四幼儿园 0 0 0 0 0 0 0 0 0 0 0 0 0 0 0 0 0 0 0 0 0 0 0 0 0 0 0 80 301083 神木市第十六幼儿园 0 0 0 0 0 0 0 0 0 0 0 0 0 0 0 0 0 0 0 0 0 0 0 0 0 0 0 81 301084 神木市第十七幼儿园 0 0 0 0 0 0 0 0 0 0 0 0 0 0 0 0 0 0 0 0 0 0 0 0 0 0 0 82 301085 神木市第十五幼儿园 0 0 0 0 0 0 0 0 0 0 0 0 0 0 0 0 0 0 0 0 0 0 0 0 0 0 0 83 301086 神木市第十三幼儿园 0 0 0 0 0 0 0 0 0 0 0 0 0 0 0 0 0 0 0 0 0 0 0 0 0 0 0 84 301087 神木市第十八幼儿园 0 0 0 0 0 0 0 0 0 0 0 0 0 0 0 0 0 0 0 0 0 0 0 0 0 0 0 85 301088 神木市第十九幼儿园 0 0 0 0 0 0 0 0 0 0 0 0 0 0 0 0 0 0 0 0 0 0 0 0 0 0 0 86 301089 神木市第十四小学 0 0 0 0 0 0 0 0 0 0 0 0 0 0 0 0 0 0 0 0 0 0 0 0 0 0 0 87 301090 神木市第十四中学 0 0 0 0 0 0 0 0 0 0 0 0 0 0 0 0 0 0 0 0 0 0 0 0 0 0 0 88 301091 神木市第二十幼儿园 0 0 0 0 0 0 0 0 0 0 0 0 0 0 0 0 0 0 0 0 0 0 0 0 0 0 0

神木市教育和体育局2022年部门综合预算公开报表.xls




