秦岭文库(kunmingchi.com)你想要的内容这里独有!

期货、期权基础交易规则汇总表(2023.10.20).xlsx

鸭力与鸡情4 页 37.626 KB下载文档
期货、期权基础交易规则汇总表(2023.10.20).xlsx期货、期权基础交易规则汇总表(2023.10.20).xlsx期货、期权基础交易规则汇总表(2023.10.20).xlsx期货、期权基础交易规则汇总表(2023.10.20).xlsx
当前文档共4页 下载后继续阅读

期货、期权基础交易规则汇总表(2023.10.20).xlsx

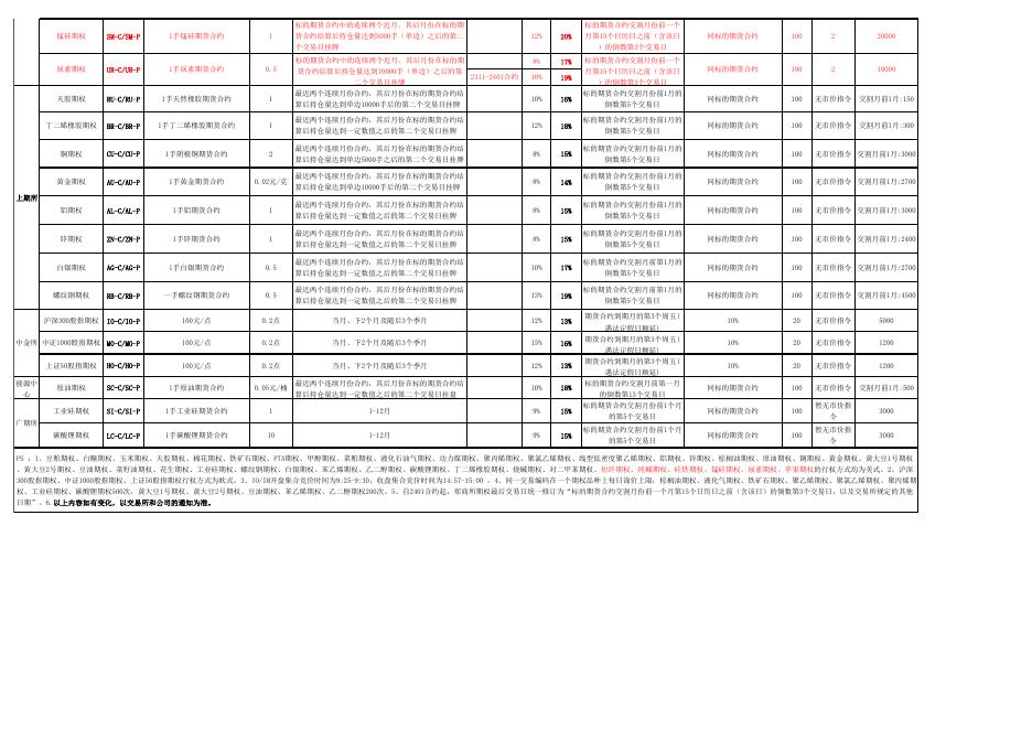
期货交易品种交易细则表(2023.10.20.) 交 易 品种代码 代码 所 大 商 所 商 所 (元/吨) 合约月份 最后交易日 涨跌停板结算后保证 最大委托 交割月限仓 交割单 金 量(手/次) (单位:手) ) 交易所 公司 D1 D2 D3 D1 D2 D3 限价 市价 A 10 1 1,3,5,7,9,11 8% 12% 6% 9% 11% 11% 13% 13% 1000 1000 2500 1手 黄大豆二号 B 10 1 1-12月 8% 13% 6% 9% 11% 11% 13% 13% 1000 1000 1500 100手 胶合板 BB 500张 0.05元/张 1-12月 40% 60% 5% 8% 10% 20% 20% 20% 1000 1000 20 1手 玉米 C 10 1 1,3,5,7,9,11 8% 12% 6% 9% 11% 11% 13% 13% 2000 2000 5000 1手 玉米淀粉 CS 10 1元/吨 1,3,5,7,9,11 6% 10% 5% 8% 10% 10% 12% 12% 1000 1000 1500 1手 纤维板 FB 10立方米 0.5元/米3 1-12月 10% 40% 5% 8% 10% 10% 12% 12% 1000 1000 100 1手 铁矿石 I 100 0.5 1-12月 13% 19% 11% 14% 16% 16% 18% 18% 1000 1000 2000 100手 焦炭 J 100 0.5 1-12月 20% 25% 15% 18% 20% 20% 22% 22% 500 500 300 100手 合约交割月份的第10个交易日 临近交割月首次提保 位 黄大豆一号 除L/V/PP外,其他品种 交割月前1月第十五个交易日起:10% 交割月份第一个交易日:20% (4月15日起执行) 焦煤 JM 60 0.5 1-12月 20% 25% 15% 18% 20% 20% 22% 22% 1000 1000 500 10手 塑料(聚乙烯) L 5 1 1-12月 7% 12% 6% 9% 11% 11% 13% 13% 1000 1000 1000 1手 豆粕 M 10 1 1,3,5,7,8,9,11,12 7% 12% 6% 9% 11% 11% 13% 13% 1000 1000 2500 1手 棕榈油 P 10 2 1-12月 8% 13% 7% 10% 12% 12% 14% 14% 1000 1000 500 1手 聚丙烯 PP 5 1 1-12月 7% 12% 6% 9% 11% 11% 13% 13% 1000 1000 2500 1手 L/V/PP品种(2022年4月15日起执行): 粳米 RR 10 1元/吨 1-12月 6% 13% 5% 8% 10% 10% 12% 12% 1000 1000 1000 1手 交割月份第一个交易日:20% 聚氯乙烯 V 5 1 1-12月 7% 12% 6% 9% 11% 11% 13% 13% 1000 1000 2500 1手 豆油 Y 10 2 1,3,5,7,8,9,11,12 7% 13% 6% 9% 11% 11% 13% 13% 1000 1000 1000 1手 苯乙烯 EB 5 1元/吨 1-12月 8% 13% 7% 10% 12% 12% 14% 14% 1000 1000 1000 1手 乙二醇 EG 10 1元/吨 1-12月 8% 13% 7% 10% 12% 12% 14% 14% 1000 1000 1000 1手 鸡蛋 JD 5 1元/500kg 1-12月 8% 14% 6% 9% 11% 11% 13% 13% 300 300 20 1手 生猪 LH 液化石油气 PG 动力煤 ZC 苹果 AP 棉花 郑 手) 涨跌停板(涨跌幅± 保证金 交易单位(吨/ 最小变动价 16 5 1,3,5,7,9,11 20 1元/吨 100 0.2 合约月份倒数第4个交易日 7月5, 8% 12% 6% 9% 11% 11% 13% 13% 50 50 1-12月 8% 13% 7% 10% 12% 12% 14% 14% 1000 1000 500 1手 1-12月 12% 20% 50% 53% 10% 13% 16% 15% 18% 18% 50 10 200 200手 2310-2409合约 交割月第5个交易日 非7月10 调整为15%,自交割月份第八个交易日起的套期保值交易 保证金水平维持20%不变 1手 10 1 1,3,4,5,10,11,12 10% 16% 9% 12% 15% 14% 17% 17% 1000 200 20 2手 5 5 1,3,5,7,9,11 7% 13% 6% 9% 12% 11% 14% 14% 1000 200 800 8手 2311/2401合约 12% 18% 10% 13% 16% 15% 18% 18% 1000 200 800 8手 2403/2405合约 9% 15% 8% 11% 14% 13% 16% 16% 1000 200 800 8手 CF 自交割月份第一个交易日起的套期保值交易保证金水平 红枣 CJ 5 5 1,3,5,7,9,12 12% 18% 10% 13% 16% 15% 18% 18% 100 20 10 1手 除CJ外,其他品种 棉纱 CY 5 5 1-12月 7% 25% 6% 9% 12% 11% 14% 14% 1000 200 100 4手 交割月前一月第16个日历日至交割月前一月最后一个日 玻璃 FG 20 1 1-12月 12% 23% 10% 13% 16% 15% 18% 18% 1000 200 1000 1手 历日期间的交易日: 10%; 粳稻 JR 20 1 1,3,5,7,9,11 15% 40% 7% 10% 13% 12% 15% 15% 1000 200 500 1手 交割月份:20% 晚籼稻 LR 20 1 1,3,5,7,9,11 15% 40% 7% 10% 13% 12% 15% 15% 1000 200 500 1手 10 1 1-12月 8% 15% 7% 10% 13% 12% 15% 15% 1000 200 1000 1手 10% 17% 8% 11% 14% 13% 16% 16% 1000 200 1000 1手 甲醇 MA 菜籽油 OI 10 1 1,3,5,7,9,11 9% 16% 8% 11% 14% 13% 16% 16% 1000 200 1000 1手 短纤 PF 5 2 1-12月 8% 15% 7% 10% 13% 12% 15% 15% 1000 200 300 1手 普通小麦 PM 50 1 1,3,5,7,9,11 15% 25% 7% 10% 13% 12% 15% 15% 1000 200 200 1手 花生仁 PK 5 2 1,3,4,10,11,12 8% 15% 7% 10% 13% 12% 15% 15% 1000 200 100 1手 对二甲苯 PX 5 2 1-12月 12% 23% 10% 13% 16% 15% 18% 18% 1000 200 1000 1手 早籼稻 RI 20 1 1,3,5,7,9,11 15% 25% 7% 10% 13% 12% 15% 15% 1000 200 400 1手 菜籽粕 RM 10 1 1,3,5,7,8,9,11 9% 16% 8% 11% 14% 13% 16% 16% 1000 200 1000 1手 油菜籽 RS 10 1 7,8,9,11 20% 60% 10% 13% 16% 20% 20% 20% 1000 200 500 1手 20 1 1-12月 12% 23% 10% 13% 16% 15% 18% 18% 1000 200 800 1手 20% 23% 10% 13% 16% 15% 18% 18% 1000 200 800 1手 日历日期间的交易日:10%; 2401合约 合约交割月份的第10个交易日 CJ、PX: 交割月前一月第1个日历日至交割月前一1个月第 15 个 纯碱 SA 硅铁 SF 5 2 1-12月 12% 20% 10% 13% 16% 15% 18% 18% 1000 200 500 1手 交割月前一月第16个日历日至交割月前一月最后一个日 锰硅 SM 5 2 1-12月 12% 20% 10% 13% 16% 15% 18% 18% 1000 200 2000 1手 历日期间的交易日: 15%; 10 1 1,3,5,7,9,11 7% 12% 6% 9% 12% 11% 14% 14% 1000 200 1000 1手 交割月份:20% 15% 20% 8% 11% 14% 13% 16% 16% 1000 200 1000 1手 12% 23% 10% 13% 16% 15% 18% 18% 1000 200 50 1手 白砂糖 SR 烧碱 SH 2311-2312合约 2311合约 30 1 1-12月 日历日期间的交易日:10%; 交割月前一月第16个日历日至交割月前一月最后一个日 历日期间的交易日: 15%; 交 易 品种代码 代码 所 精对苯二甲酸 TA 保证金 交易单位(吨/ 最小变动价 手) (元/吨) 5 2 20 1 涨跌停板(涨跌幅± 合约月份 最后交易日 涨跌停板结算后保证 ) 交易所 公司 D1 1-12月 7% 14% 1-12月 8% 17% 10% 金 最大委托 交割月限仓 交割单 交割月份:20% 量(手/次) (单位:手) 位 D2 D3 D1 D2 D3 限价 市价 6% 9% 12% 11% 14% 14% 1000 200 5000 1手 7% 10% 13% 12% 15% 16% 1000 200 1000 1手 19% 8% 11% 14% 13% 16% 16% 1000 200 1000 1手 1000 200 100 1手 2手 尿素 UR 强麦 WH 20 1 1,3,5,7,9,11 15% 25% 7% 10% 13% 12% 15% 15% 白银 AG 15千克/手 1元/千克 1-12月 9% 16% 7% 10% 12% 12% 14% 14% 900 2311-2401合约 铝 AL 5 5 1-12月 8% 14% 6% 9% 11% 11% 13% 13% 1000 5手 氧化铝 AO 20吨/手 1 1-12月 9% 15% 7% 10% 12% 12% 14% 14% 600 15手 黄金 AU 1000克/手 0.02元/克 8% 14% 6% 9% 11% 11% 13% 13% 900 3手 丁二烯橡胶 BR 5 5 12% 18% 10% 13% 15% 15% 17% 17% 60 2手 10% 18% 8% 11% 13% 13% 15% 15% 500 1手 6% 9% 11% 11% 13% 13% 1000 5手 最近3个连续月份及最近13个 月内的双月 1-12月 最近1-12个月为连续月份以 石油沥青 BU 10 1 上 铜 CU 5 10 1-12月 8% 15% 期 热轧卷板 HC 10 1 1-12月 7% 13% 5% 8% 10% 10% 12% 12% 1800 30手 镍 NI 1 10 1-12月 12% 20% 10% 13% 15% 15% 17% 17% 600 6手 铅 PB 5 5 1-12月 8% 14% 6% 9% 11% 11% 13% 13% 600 5手 螺纹钢 RB 10 1 1-12月 7% 13% 5% 8% 10% 10% 12% 12% 900 30手 天然橡胶 RU 10 5 1,3-11月 8% 14% 6% 9% 11% 11% 13% 13% 50 1手 锡 SN 1 10 1-12月 12% 21% 10% 13% 15% 15% 17% 17% 200 2手 漂针浆 SP 10 2 1-12月 8% 14% 6% 9% 11% 11% 13% 13% 300 2手 不锈钢 SS 5 5 1-12月 7% 13% 5% 8% 10% 10% 12% 12% 360 12手 线材 WR 10 1 1-12月 9% 20% 7% 10% 12% 12% 14% 14% 360 30手 锌 ZN 5 5 1-12月 8% 14% 6% 9% 11% 11% 13% 13% 800 5手 燃料油 FU 10 1 1-12月 10% 18% 8% 11% 13% 13% 15% 15% 500 1手 集运指数(欧线) EC 50元/点 0.1点 2、4、6、8、10、12月 12% 23% 10% 13% 15% 15% 17% 17% 500 低硫燃料油 LU 10 1 1-12月 10% 18% 8% 11% 13% 13% 15% 15% 500 原油 SC 1000桶/手 0.1元/桶 10% 18% 8% 11% 13% 13% 15% 15% 500 20号胶 NR 10 5 1-12月 8% 14% 交割月份的15日(节假日顺延;或能源 6% 9% 11% 11% 13% 13% 国际铜 BC 5 10 1-12月 8% 15% 中心临时调整) 6% 9% 11% 11% 13% 13% 沪深300指数 IF 300元/点 0.2点 12% 13% 10% 12% 20 上证 50指数 IH 300元/点 0.2点 12% 13% 到期月份的第3个周五(遇法定假日顺 10% 12% 20 中证500指数 IC 200元/点 0.2点 14% 15% 延) 10% 14% 中证1000指数 IM 200元/点 0.2点 15% 16% 10% 2年期国债 TS 20000元/点 0.005元 0.5% 1.0% 5年期国债 TF 10000元/点 0.005元 1.2% 1.7% 10年期国债 T 10000元/点 0.005元 2% 2.5% 30年期国债 TL 10000元/点 0.01元 3.5% 4.0% 工业硅 si 5 5 9% 15% 所 能 源 中 心 中 金 所 广 及随后四个季月 1-12个月连续月份及随后八 个季月 当月、下月及随后两个季月 最近三个季月(3月、6月、9 月、12月中的最近三个月循 环) 1-12月 期 所 交割月15日(节假日顺延) 合约月前一月的最后1个交易日 交割月最后一个开展期货交易的周一 (节假日顺延) 交割月前1月的最后1个交易日 合约到期月第2个周五 500 无市价 指令 详见限仓限 额表 1手 lc 1 50 1-12月 9% 15% 除FU外,其他品种 交割月前第一月的第一个交易日起:10% 交割月份第一个交易日起:15% 最后交易日前2个交易日起:20% FU: 交割月前第二月的第10个交易日起10% 交割月前第一月的第10个交易日起15% 最后交易日前2个交易日起20% 最后交易日前第7个交易日起20%;最后交易日前2个交易 日起30% 500 1手 500 1手 易日起20% 500 200 10手 交割月前1月的第1个交易日起10%;交割月第1个交易日起 500 700 5手 15%;最后交易日前2个交易日起20% 10 5000 1手 不做调整 10 1200 1手 不做调整 20 10 1200 1手 不做调整 15% 20 10 1200 1手 不做调整 0.5% 0.5% 50 30 600 1手 交割月之前的两个交易日起1% 1.2% 1.2% 50 30 600 1手 交割月之前的两个交易日起2% 2% 2.0% 50 30 1200 1手 交割月之前的两个交易日起3% 3.5% 3.5% 50 30 600 1手 交割月之前的两个交易日起5% 交割月前1个月第15个交易日起 10%; 无市价 指令 7% 10% 12% 12% 14% 14% 1000 1000 200 1手 7% 10% 12% 12% 14% 14% 1000 1000 300 1手 交割月前1月的第1个交易日起10%;最后交易日前2个交 交割月第1个交易日起 20% 合约月份的第10个交易日 碳酸锂 临近交割月首次提保 PS :1.大连、郑州不允许自然人进入交割月;上期所和能源中心个人客户持仓退出节点调整为“最后交易日前第五个交易日收盘”(2311合约起);中金所未通过国债托管账户审核的客户最后交易日为国债期货合约交割月前2个交易日。2.成交量和持仓量是按单边计算。3.上期所和能源 中心无市价指令;中金所仅近月(当月及下月)有市价指令,后两个季月合约无市价指令;大商所和郑商所有市价指令。4.大商所交割月品种涨跌幅最低为±6%;IF、IH、IC、IM、EC最后交易日涨跌幅为±20% 。 5、IF、IH、IC、IM交易时间为9:30-11:30和13:00-15:00,TF、T、TS、TL 交易时间为9:30-11:30和13:00-15:15;TF、T、TS、TL、FG、CF、SF、SM、JR、PM、ZC、AP、WH、SR、MA、CY、CJ、UR最后交易日交易时间11:30停止。6、股指合约的当日结算价为合约最后1小时成交价格按照成交量的加权平均价,交割结算价为最后交易日标的指数最后2小时的算术平均 价。7、20230712起,红枣期货合约交易指令每次最小开仓下单量恢复为1手;20220308当晚夜盘交易起,动力煤期货合约交易指令每次最小开仓下单量调整为4手;20220505起普麦期货合约交易指令每次最小开仓下单量调整为10手;20220510起,强麦、早籼稻、粳稻及晚籼稻期货合约交 易指令每次最小开仓下单量调整为10手;20230829夜盘时起,纯碱期货2309及2310合约交易指令每次最小开仓下单量调整为4手。8、以上内容如有变化,以交易所和公司的通知为准。 期权交易品种交易细则表(2023.10.20.) 交易所 品种代码 交易单位/合约乘数 最小变动价 合约月份 (元/吨) 保证金比例 最后交易日(同到期日) 交易所 公司 涨跌停板 涨跌停板结 最大委托 (涨跌幅±) 算后保证金 量(手/次) D1 D1 D2 D3 D2 D3 限价 市价 限仓(单位:手) 玉米期权 C-C/C-P 1手(10吨)玉米期货合约 0.5 1,3,5,7,9,11 8% 12% 同标的期货合约 2000 无市价指令 40000 豆粕期权 M-C/M-P 1手(10吨)豆粕期货合约 0.5 1,3,5,7,8,9,11,12 7% 12% 同标的期货合约 1000 无市价指令 40000 铁矿石期权 I-C/I-P 1手(100吨)铁矿石期货合约 0.1 1-12月 13% 19% 同标的期货合约 1000 无市价指令 40000 PG-C/PG-P 1手(20吨)液化石油气期货合约 0.2 1-12月 8% 13% 同标的期货合约 1000 无市价指令 8000 聚丙烯期权 PP-C/PP-P 1手(5吨)聚丙烯期货合约 0.5 1-12月 7% 12% 同标的期货合约 1000 无市价指令 20000 棕榈油期权 P-C/P-P 1手(10吨)棕榈油期货合约 0.5 1-12月 8% 13% 同标的期货合约 1000 无市价指令 10000 聚氯乙烯期权 V-C/V-P 1手(5吨)聚氯乙烯期货合约 0.5 1-12月 7% 12% 同标的期货合约 1000 无市价指令 20000 塑料(聚乙烯)期权 L-C/L-P 1手(5吨)聚乙烯期货合约 0.5 1-12月 7% 12% 同标的期货合约 1000 无市价指令 10000 黄大豆1号期权 A-C/A-P 1手(10吨)黄大豆1号期货合约 0.5 1,3,5,7,9,11 12% 16% 同标的期货合约 1000 无市价指令 15000 黄大豆2号期权 B-C/LB-P 1手(10吨)黄大豆2号期货合约 0.5 1-12月 9% 14% 同标的期货合约 1000 无市价指令 20000 同标的期货合约 1000 无市价指令 20000 液化石油气期权 大商所 代码 标的期货合约交割月份前一个 月的第5个交易日 标的期货合约交割月份前一个 豆油期权 Y-C/Y-P 1手(10吨)豆油期货合约 0.5 1,3,5,7,8,9,11,12 7% 13% 乙二醇期权 EG-C/EG-P 1手(10吨)乙二醇期货合约 0.5 1-12月 8% 13% 同标的期货合约 1000 无市价指令 8000 苯乙烯期权 EB-C/EB-P 1手(5吨)苯乙烯期货合约 0.5 1-12月 8% 13% 同标的期货合约 1000 无市价指令 12000 7% 13% 同标的期货合约 100 2 20000 2311/2401合约 9% 15% 7% 12% 2311合约 15% 20% 同标的期货合约 100 2 30000 1-12月 7% 14% 同标的期货合约 100 2 30000 1-12月 8% 15% 同标的期货合约 100 2 30000 9% 16% 同标的期货合约 100 2 10000 棉花期权 CF-C/CF-P 1手一号棉花期货合约 1 1,3,5,7,9,11 标的期货合约中的连续两个近月,其后月份在标的期 白糖期权 SR-C/SR-P 1手(10吨)白糖期货合约 0.5 PTA期权 TA-C/TA-P 1手PTA合约 0.5 甲醇期权 MA-C/MA-P 1手甲醇合约 0.5 菜籽油期权 OI-C/OI-P 1手菜籽油期货合约 0.5 月的第5个交易日 货合约结算后持仓量达到5000手(单边)之后的第二 个交易日挂牌 标的期货合约中的连续两个近月,其后月份在标的期 货合约结算后持仓量达到5000手(单边)之后的第二 个交易日挂牌 标的期货合约交割月份前1月的 第3个交易日 标的期货合约中的连续两个近月,其后月份在标的期 花生期权 PK-C/PK-P 1手花生期货合约 0.5 货合约结算后持仓量达到5000手(单边)之后的第二 8% 15% 同标的期货合约 100 2 3000 货合约结算后持仓量达到5000手(单边)之后的第二 9% 16% 同标的期货合约 100 2 20000 个交易日挂牌 标的期货合约中的连续两个近月,其后月份在标的期 12% 20% 同标的期货合约 100 2 2000 50% 53% 12% 23% 同标的期货合约 100 2 5000 同标的期货合约 100 2 1000 同标的期货合约 100 2 3000 同标的期货合约 100 2 10000 同标的期货合约 100 2 20000 同标的期货合约 100 2 10000 个交易日挂牌 标的期货合约中的连续两个近月,其后月份在标的期 菜粕期权 动力煤期权 RM-C/RM-P ZC-C/ZC-P 1手菜粕合约 1手动力煤期货合约 0.5 0.1 货合约结算后持仓量达到10000手(单边)之后的第 2311-2410合约 二个交易日挂牌 标的期货合约中的连续两个近月,其后月份在标的期 对二甲苯期权 PX-C/PX-P 1手对二甲苯期货合约 0.5 郑商所 标的期货合约交割月份前两个 货合约结算后持仓量达到10000手(单边)之后的第 二个交易日挂牌 日)的倒数第3个交易日 标的期货合约中的连续两个近月,其后月份在标的期 苹果期权 AP-C/AP-P 1手鲜苹果期货合约 0.5 标的期货合约交割月份前两个 货合约结算后持仓量达到5000手(单边)之后的第二 10% 16% 个交易日挂牌 SH-C/SH-P 1手烧碱期货合约 0.5 标的期货合约交割月份前一个 9% 货合约结算后持仓量达到10000手(单边)之后的第 17% 二个交易日挂牌 PF-C/PF-P 1手涤纶短纤期货合约 0.5 标的期货合约交割月份前一个 8% 货合约结算后持仓量达到10000手(单边)之后的第 15% 二个交易日挂牌 SA-C/SA-P 1手纯碱期货合约 0.5 12% 23% 20% 23% 12% 20% 货合约结算后持仓量达到10000手(单边)之后的第 二个交易日挂牌 SF-C/SF-P 1手硅铁期货合约 1 货合约结算后持仓量达到5000手(单边)之后的第二 个交易日挂牌 标的期货合约交割月份前一个 月第15个日历日之前(含该日 2311-2312合约 标的期货合约中的连续两个近月,其后月份在标的期 硅铁期权 月第15个日历日之前(含该日 )的倒数第3个交易日 标的期货合约中的连续两个近月,其后月份在标的期 纯碱期权 月第15个日历日之前(含该日 )的倒数第3个交易日 标的期货合约中的连续两个近月,其后月份在标的期 短纤期权 月最后一个日历日之前(含该 日)的倒数第3个交易日 标的期货合约中的连续两个近月,其后月份在标的期 烧碱期权 月最后一个日历日之前(含该 )的倒数第3个交易日 标的期货合约交割月份前一个 月第15个日历日之前(含该日 )的倒数第3个交易日 标的期货合约中的连续两个近月,其后月份在标的期 锰硅期权 SM-C/SM-P 1手锰硅期货合约 1 标的期货合约交割月份前一个 货合约结算后持仓量达到5000手(单边)之后的第二 12% 20% 个交易日挂牌 UR-C/UR-P 1手尿素期货合约 0.5 货合约结算后持仓量达到10000手(单边)之后的第 二个交易日挂牌 最近两个连续月份合约,其后月份在标的期货合约结 2311-2401合约 8% 17% 10% 19% 10% 16% 12% 18% 8% 15% 8% 14% 8% 15% 8% 15% 10% 17% 13% 19% 天胶期权 RU-C/RU-P 1手天然橡胶期货合约 1 丁二烯橡胶期权 BR-C/BR-P 1手丁二烯橡胶期货合约 1 铜期权 CU-C/CU-P 1手阴极铜期货合约 2 黄金期权 AU-C/AU-P 1手黄金期货合约 0.02元/克 铝期权 AL-C/AL-P 1手铝期货合约 1 锌期权 ZN-C/ZN-P 1手锌期货合约 1 白银期权 AG-C/AG-P 1手白银期货合约 0.5 螺纹钢期权 RB-C/RB-P 一手螺纹钢期货合约 0.5 沪深300股指期权 IO-C/IO-P 100元/点 0.2点 当月、下2个月及随后3个季月 12% 13% 中金所 中证1000股指期权 MO-C/MO-P 100元/点 0.2点 当月、下2个月及随后3个季月 15% 16% 当月、下2个月及随后3个季月 12% 13% 10% 18% 上期所 能源中 心 同标的期货合约 100 2 20000 同标的期货合约 100 2 10000 同标的期货合约 100 无市价指令 交割月前1月:150 同标的期货合约 100 无市价指令 交割月前1月:300 同标的期货合约 100 无市价指令 交割月前1月:3000 同标的期货合约 100 无市价指令 交割月前1月:2700 同标的期货合约 100 无市价指令 交割月前1月:3000 同标的期货合约 100 无市价指令 交割月前1月:2400 同标的期货合约 100 无市价指令 交割月前1月:2700 同标的期货合约 100 无市价指令 交割月前1月:4500 10% 20 无市价指令 5000 10% 20 无市价指令 1200 10% 20 无市价指令 1200 同标的期货合约 100 无市价指令 交割月前1月:500 同标的期货合约 100 同标的期货合约 100 )的倒数第3个交易日 标的期货合约中的连续两个近月,其后月份在标的期 尿素期权 月第15个日历日之前(含该日 算后持仓量达到单边10000手后的第二个交易日挂牌 最近两个连续月份合约,其后月份在标的期货合约结 算后持仓量达到一定数值之后的第二个交易日挂牌 最近两个连续月份合约,其后月份在标的期货合约结 算后持仓量达到单边5000手之后的第二个交易日挂牌 最近两个连续月份合约,其后月份在标的期货合约结 算后持仓量达到单边10000手后的第二个交易日挂牌 最近两个连续月份合约,其后月份在标的期货合约结 算后持仓量达到一定数值之后的第二个交易日挂牌 最近两个连续月份合约,其后月份在标的期货合约结 算后持仓量达到一定数值之后的第二个交易日挂牌 最近两个连续月份合约,其后月份在标的期货合约结 算后持仓量达到一定数值之后的第二个交易日挂牌 最近两个连续月份合约,其后月份在标的期货合约结 算后持仓量达到一定数值之后的第二个交易日挂牌 上证50股指期权 HO-C/HO-P 100元/点 0.2点 原油期权 SC-C/SC-P 1手原油期货合约 0.05元/桶 工业硅期权 SI-C/SI-P 1手工业硅期货合约 1 1-12月 9% 15% 碳酸锂期权 LC-C/LC-P 1手碳酸锂期货合约 10 1-12月 9% 15% 最近两个连续月份合约,其后月份在标的期货合约结 算后持仓量达到一定数值之后的第二个交易日挂盘 广期所 标的期货合约交割月份前一个 月第15个日历日之前(含该日 )的倒数第3个交易日 标的期货合约交割月份前1月的 倒数第5个交易日 标的期货合约交割月份前1月的 倒数第5个交易日 标的期货合约交割月份前1月的 倒数第5个交易日 标的期货合约交割月份前1月的 倒数第5个交易日 标的期货合约交割月份前1月的 倒数第5个交易日 标的期货合约交割月份前1月的 倒数第5个交易日 标的期货合约交割月前第1月的 倒数第5个交易日 标的期货合约交割月前第1月的 倒数第5个交易日 期货合约到期月的第3个周五( 遇法定假日顺延) 期货合约到期月的第3个周五( 遇法定假日顺延) 期货合约到期月的第3个周五( 遇法定假日顺延) 标的期货合约交割月前第一月 的倒数第13个交易日 标的期货合约交割月份前1个月 的第5个交易日 标的期货合约交割月份前1个月 的第5个交易日 暂无市价指 令 暂无市价指 令 3000 3000 PS :1、豆粕期权、白糖期权、玉米期权、天胶期权、棉花期权、铁矿石期权、PTA期权、甲醇期权、菜粕期权、液化石油气期权、动力煤期权、聚丙烯期权、聚氯乙烯期权、线型低密度聚乙烯期权、铝期权、锌期权、棕榈油期权、原油期权、铜期权、黄金期权、黄大豆1号期权 、黄大豆2号期权、豆油期权、菜籽油期权、花生期权、工业硅期权、螺纹钢期权、白银期权、苯乙烯期权、乙二醇期权、碳酸锂期权、丁二烯橡胶期权、烧碱期权、对二甲苯期权、短纤期权、纯碱期权、硅铁期权、锰硅期权、尿素期权、苹果期权的行权方式均为美式。2、沪深 300股指期权、中证1000股指期权、上证50股指期权行权方式为欧式。3、IO/IM开盘集合竞价时间为9:25-9:30,收盘集合竞价时间为14:57-15:00 。4、同一交易编码在一个期权品种上每日询价上限:棕榈油期权、液化气期权、铁矿石期权、聚乙烯期权、聚氯乙烯期权、聚丙烯期 权、工业硅期权、碳酸锂期权500次,黄大豆1号期权、黄大豆2号期权、豆油期权、苯乙烯期权、乙二醇期权200次。5、自2401合约起,郑商所期权最后交易日统一修订为“标的期货合约交割月份前一个月第15个日历日之前(含该日)的倒数第3个交易日,以及交易所规定的其他 日期”。6.以上内容如有变化,以交易所和公司的通知为准。

相关文章