泰州市2017年考试录用公务员和参照管理单位工作人员拟录用人员公示(二).xls
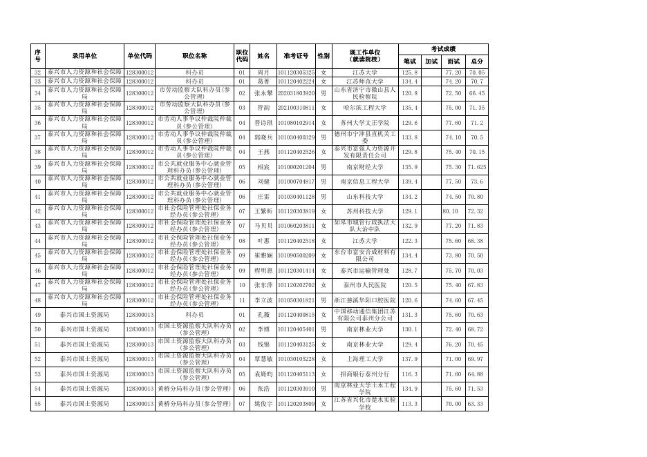
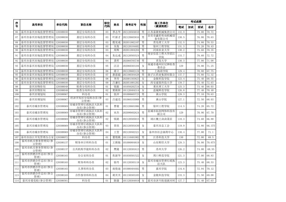
泰州市2017年考试录用公务员和参照管理单位工作人员拟录用人员公示(二) 序 号 录用单位 单位代码 职位名称 职位 代码 姓名 准考证号 性别 男 女 女 男 女 男 女 男 女 女 1 2 3 4 5 6 7 8 9 10 医药高新区明珠街道办事处 120100801 医药高新区寺巷街道办事处 120100802 医药高新区沿江街道办事处 120100803 泰兴市发展和改革委员会 128300002 泰兴市发展和改革委员会 128300002 泰兴市发展和改革委员会 128300002 泰兴市经济和信息化委员会 128300003 泰兴市经济和信息化委员会 128300003 泰兴市经济和信息化委员会 128300003 泰兴市经济和信息化委员会 128300003 科员 科员 科员 办公室科办员 国民经济综合科科办员 社会发展科科办员 办公室科办员 经济运行科科办员 电力能源科科办员 财务审计科科办员 90 01 01 01 02 03 01 02 03 04 徐 林 徐 慧 王瑞瑛 李博 朱文炜 张阳 吴茜 高英峰 吕佳 马懿兰 3 03120900206 30312090272 39 03120800516 101030304010 101040203904 101060107516 101120301801 101031105718 101040408424 101130503312 11 泰兴市经济和信息化委员会 128300003 行业管理科科办员 05 徐潇 101120303715 男 101000101418 女 现工作单位 (就读院校) 考试成绩 笔试 加试 面试 总分 淮阴师范学院 南京农业大学 南京大学 中央司法警官学校 江苏师范大学 江苏恒盛物流有限公司 苏州大学 华中农业大学 苏州大学 山东工商学院 恒泰保险经纪有限公司 泰州分公司 江苏第二师范学校 扬州市江都区真武镇人 民政府民政办公室 江苏大学 扬州大学 泰兴市产品质量综合检 验检测中心 徐州工程学院 江苏省东海县环境卫生 管理处 泰兴市黄桥镇刘陈社区 服务中心 南京审计大学 重庆邮电大学 山东省临沂市公安局兰 山分局站前派出所 华北电力大学 南昌大学 哈尔滨学院 齐鲁工业大学 130.3 139.8 141.8 140.9 133.3 134.3 129.9 137.5 127.7 137 76.2 75.8 73.6 75.20 75.30 75.10 76.30 75.20 74.40 72.80 70.68 72.85 72.25 72.83 70.97 71.13 70.63 71.975 69.13 70.65 125.2 78.50 70.55 121.8 75.10 68.00 142.2 76.60 73.85 138.4 142.1 75.80 79.08 72.50 75.06 127.8 73.30 68.60 143.1 78.10 74.82 132.1 73.58 69.81 132.4 68.52 67.36 140 131.6 72.50 75.10 71.25 70.45 124.5 76.50 69.375 128 136.2 135.5 130.2 73.50 72.22 74.50 75.32 68.75 70.16 71.125 70.21 12 泰兴市教育局 128300004 基础教育科科办员 01 朱玥 13 泰兴市教育局 128300004 纪检监察室科办员 02 魏倩雯 101100105702 女 14 15 泰兴市民政局 泰兴市民政局 128300009 128300009 科办员 科办员 01 02 高彩娟 101120400214 女 周杰 101120304307 男 16 泰兴市民政局 128300009 科办员 03 王靖 17 泰兴市司法局 128300010 科办员 01 李心灵 101031001019 女 18 泰兴市司法局 128300010 基层司法所科办员 02 刘海燕 202070601712 女 19 泰兴市司法局 128300010 基层司法所科办员 02 徐波 20 21 泰兴市司法局 泰兴市司法局 128300010 128300010 基层司法所科办员 基层司法所科办员 03 03 顾梦颖 202120104322 女 万俊辉 202001201725 女 22 泰兴市司法局 128300010 基层司法所科办员 03 田梦琪 202032002114 女 23 24 25 26 泰兴市司法局 泰兴市财政局 泰兴市财政局 泰兴市财政局 128300010 128300011 128300011 128300011 03 01 02 02 朱涵雅 熊加盛 赵昀婷 崔晓宇 202120600910 101000404502 101000800212 101031201717 27 泰兴市财政局 03 薛娅 101030703518 女 河北金融学院 130.3 75.26 70.21 28 泰兴市财政局 04 孙伊冰 101070100202 女 山东理工大学 134 78.30 72.65 29 泰兴市财政局 05 洪燕云 101120303010 女 南京信息工程大学 137 74.00 71.25 30 泰兴市财政局 05 吕婧雯 101120305918 女 泰州市财会干部教育中 心 134.7 74.10 70.725 31 泰兴市财政局 05 李青华 101120300321 女 兴化市临城镇审计站 132.6 71.40 68.85 基层司法所科办员 科办员 科办员 科办员 市农业发展基金管理中心科 128300011 办员(参公管理) 市财政局预算编制审核中心 128300011 科办员(参公管理) 市财政国库集中收付中心科 128300011 办员(参公管理) 市财政国库集中收付中心科 128300011 办员(参公管理) 市财政国库集中收付中心科 128300011 办员(参公管理) 101120301322 女 202120504920 男 女 男 女 女 序 号 32 33 34 35 36 37 38 39 40 41 42 43 44 45 46 47 48 录用单位 单位代码 职位名称 泰兴市人力资源和社会保障 128300012 科办员 局 泰兴市人力资源和社会保障 128300012 科办员 局 泰兴市人力资源和社会保障 市劳动监察大队科办员(参 128300012 局 公管理) 泰兴市人力资源和社会保障 市劳动监察大队科办员(参 128300012 局 公管理) 泰兴市人力资源和社会保障 市劳动人事争议仲裁院仲裁 128300012 局 员(参公管理) 泰兴市人力资源和社会保障 市劳动人事争议仲裁院仲裁 128300012 局 员(参公管理) 泰兴市人力资源和社会保障 市劳动人事争议仲裁院仲裁 128300012 局 员(参公管理) 泰兴市人力资源和社会保障 市公共就业服务中心就业管 128300012 局 理科办员(参公管理) 泰兴市人力资源和社会保障 市公共就业服务中心就业管 128300012 局 理科办员(参公管理) 泰兴市人力资源和社会保障 市公共就业服务中心就业管 128300012 局 理科办员(参公管理) 泰兴市人力资源和社会保障 市社会保险管理处社保业务 128300012 局 经办员(参公管理) 泰兴市人力资源和社会保障 市社会保险管理处社保业务 128300012 局 经办员(参公管理) 泰兴市人力资源和社会保障 市社会保险管理处社保业务 128300012 局 经办员(参公管理) 泰兴市人力资源和社会保障 市社会保险管理处社保业务 128300012 局 经办员(参公管理) 泰兴市人力资源和社会保障 市社会保险管理处社保业务 128300012 局 经办员(参公管理) 泰兴市人力资源和社会保障 市社会保险管理处社保业务 128300012 局 经办员(参公管理) 泰兴市人力资源和社会保障 市社会保险管理处社保业务 128300012 局 经办员(参公管理) 科办员 职位 代码 姓名 01 01 周月 葛菁 02 张永攀 202031803920 男 03 管韵 准考证号 性别 101120305325 女 101120402224 女 考试成绩 笔试 加试 面试 总分 江苏大学 江苏师范大学 山东省济宁市微山县人 民检察院 125.8 134.4 77.20 74.20 70.05 70.7 120.8 72.50 66.45 202100310811 女 哈尔滨工程大学 135.4 75.00 71.35 04 晋诗琪 101080102914 女 苏州大学文正学院 129.6 77.60 71.2 04 郭晓兵 101030400329 男 133.8 74.10 70.5 04 王燕 101120402526 女 129.8 75.40 70.15 05 相宸 101000201204 男 南京财经大学 135.9 75.30 71.625 06 刘健 101000704817 男 南京信息工程大学 139.4 77.50 73.6 06 庄雷 101030401128 男 山东科技大学 134.2 74.50 70.80 07 王繁昕 101120303819 女 苏州科技大学 129.1 80.10 72.32 07 马贝贝 101060203811 女 如皋市城管行政执法大 队大治中队 132.9 77.20 71.83 08 叶惠 江苏大学 122.3 75.60 68.38 09 崔雅娴 101090500209 女 东台市富安合成材料有 限公司 134.4 73.80 70.50 09 程明惠 101120301414 女 泰兴市运输管理处 128.7 75.70 70.03 10 张东萍 101120202702 女 泰州市人民医院 120.5 75.40 67.83 11 李立波 101050301821 男 浙江慈溪华阳口腔医院 120.6 74.60 67.45 01 孔薇 101120400815 女 中国移动通信集团江苏 有限公司泰州分公司 131.3 75.60 70.63 02 李博 101120405401 男 南京林业大学 130.1 72.40 68.72 03 钱锦 101120403125 女 南京林业大学 129.4 76.20 70.45 04 覃慧敏 101030105228 女 上海理工大学 137.9 71.00 69.97 05 袁旖昀 101120405113 女 招商银行泰州分行 116.3 71.60 64.88 134.9 75.60 71.53 113.3 70.00 63.33 101120402518 女 49 泰兴市国土资源局 128300013 50 泰兴市国土资源局 128300013 51 泰兴市国土资源局 52 泰兴市国土资源局 53 泰兴市国土资源局 54 泰兴市国土资源局 128300013 黄桥分局科办员(参公管理) 06 张浩 55 泰兴市国土资源局 128300013 黄桥分局科办员(参公管理) 07 姚俊宇 101120203809 女 市国土资源监察大队科办员 (参公管理) 市国土资源监察大队科办员 128300013 (参公管理) 市国土资源监察大队科办员 128300013 (参公管理) 市国土资源监察大队科办员 128300013 (参公管理) 现工作单位 (就读院校) 101120303910 男 德州市宁津县直机关工 委 泰兴市富强人力资源开 发有限责任公司 南京林业大学土木工程 学院 江苏省兴化市楚水实验 学校 序 号 录用单位 单位代码 56 泰兴市国土资源局 128300013 57 泰兴市国土资源局 58 泰兴市国土资源局 农产品加工园区分局科办员 (参公管理) 农产品加工园区分局科办员 128300013 (参公管理) 128300013 广陵分局科办员(参公管理) 59 泰兴市国土资源局 60 考试成绩 职位 代码 姓名 性别 现工作单位 (就读院校) 笔试 08 李炎君 101120202310 女 泰兴市洋思中学 09 袁祥 101120102027 男 10 张珏 101080300712 女 128300013 广陵分局科办员(参公管理) 11 宋世荣 101120406024 男 泰兴市国土资源局 128300013 宣堡分局科办员(参公管理) 13 王筠 61 泰兴市国土资源局 128300013 宣堡分局科办员(参公管理) 14 张丽萍 101120302624 女 62 63 64 65 泰兴市住房和城乡建设局 泰兴市交通运输局 泰兴市水务局 泰兴市水务局 128300014 128300015 128300016 128300016 01 01 01 01 黄嘉思 陈志强 沈辉 钱蓓蕾 101120402210 101030406923 101120403505 101120201001 02 徐波 202050802120 男 03 崔文庆 202120602510 女 01 02 03 王莉 李忠 丁慧 04 王荣奇 101000700307 男 06 孙年富 101000709929 男 01 宋莹泽 101000304728 女 01 袁冬杰 202120602629 男 02 顾阳 01 孙文静 101120407124 女 02 张旭 202001000213 女 02 王娇 66 67 68 69 70 71 72 73 74 75 76 77 78 79 80 81 82 83 84 85 职位名称 办公室科办员 办公室网络管理员 科办员 科办员 市水政监察大队科办员(参 泰兴市水务局 128300016 公管理) 市水政监察大队科办员(参 泰兴市水务局 128300016 公管理) 泰兴市农业委员会 128300017 科技教育科科办员 泰兴市农业委员会 128300017 农产品质量安全监管科科办 员 泰兴市农业委员会 128300017 办公室科办员 市农业资源开发局土地治理 泰兴市农业委员会 128300017 项目科科办员(参公管理) 市农业机械管理局科办员( 泰兴市农业委员会 128300017 参公管理) 泰兴市商务局 128300018 科办员 市文化行政综合执法大队科 泰兴市文化广电新闻出版局 128300019 办员(参公管理) 市文化行政综合执法大队科 泰兴市文化广电新闻出版局 128300019 办员(参公管理) 泰兴市卫生和计划生育委员 128300020 科办员 会 泰兴市卫生和计划生育委员 市卫生监督所科办员(参公 128300020 会 管理) 泰兴市卫生和计划生育委员 市卫生监督所科办员(参公 128300020 会 管理) 泰兴市卫生和计划生育委员 市卫生监督所科办员(参公 128300020 会 管理) 泰兴市卫生和计划生育委员 市卫生监督所科办员(参公 128300020 会 管理) 泰兴市审计局 128300022 科办员 泰兴市泰兴市场监督管理局 128300030 基层分局科办员 泰兴市泰兴市场监督管理局 128300030 基层分局科办员 泰兴市泰兴市场监督管理局 128300030 基层分局科办员 泰兴市泰兴市场监督管理局 128300030 基层分局科办员 准考证号 面试 总分 123.9 74.30 68.13 120.4 73.60 66.90 120.2 72.80 66.45 128.1 76.40 70.22 128.1 76.40 70.22 116.8 74.60 66.50 133.5 139.5 136.1 126.7 77.00 75.80 75.60 70.80 71.88 72.78 71.82 67.08 133.1 73.30 69.92 106.6 77.20 65.25 130.9 129.4 122.9 77.90 78.40 74.60 71.68 71.55 68.03 126 78.10 70.55 131.1 75.20 70.38 138.1 77.60 73.32 118 73.00 66.00 114.1 72.60 64.82 124 72.60 67.30 皖南医学院 120.9 73.60 67.03 202120603524 女 泰兴市新街卫生院 119.7 75.80 67.83 02 苏宇姣 202001203915 女 南京中医药大学 121.7 71.60 66.22 03 朱云杏 202120603916 女 常州大学 132 81.20 73.60 01 01 01 02 02 蔡琴 殷明非 罗嘉明 郭慧 黄语涵 南京财经大学 江南大学 江西农业大学 江苏大学 南京工业大学浦江学院 138.8 133.8 128.7 135.8 131.7 75.00 73.40 72.80 81.10 78.70 72.20 70.15 68.57 74.50 72.28 101120204020 男 女 男 男 女 101030406420 女 101120100711 男 101120201115 女 202120500819 女 101050202614 202021106025 202001105805 202001301926 202001200622 女 男 男 女 女 兴化市戴南镇规划建设 局 江苏省盱眙县环保局 中铁大桥局集团第二工 程有限公司 扬中市土地储备中心 泰州市海陵区城北街道 北山社区 兴化市周庄镇江孙庄 南京工程学院 扬州市邗江区水利局 东台市绿化养护所 萧山区农机水利局 安徽省合肥市包河区芜 湖路街道城管中心 山东理工大学 扬州大学 古溪镇横垛社区居委会 江苏省核工业二七二地 质大队 芜湖市三山区市场监管 稽查大队 中国农业大学 江苏省泰兴市黄桥工业 园区管委会 泰兴市公共服务热线中 心 泰兴市人民检察院 加试 序 号 录用单位 单位代码 职位名称 职位 代码 姓名 准考证号 性别 86 泰兴市泰兴市场监督管理局 128300030 基层分局科办员 03 季志华 202120504810 男 87 泰兴市泰兴市场监督管理局 128300030 基层分局科办员 03 叶新才 202120603816 男 88 89 90 泰兴市泰兴市场监督管理局 128300030 泰兴市泰兴市场监督管理局 128300030 泰兴市泰兴市场监督管理局 128300030 基层分局科办员 基层分局科办员 基层分局科办员 03 03 03 殷宪成 202031902107 男 吴俊 202120104402 男 周辉 202031804204 男 91 泰兴市泰兴市场监督管理局 128300030 基层分局科办员 04 朱达成 202120503524 男 92 泰兴市泰兴市场监督管理局 128300030 基层分局科办员 04 龚哲 202060705730 男 93 泰兴市泰兴市场监督管理局 128300030 基层分局科办员 05 汪洁 202060303104 女 94 95 96 97 98 99 100 泰兴市泰兴市场监督管理局 128300030 泰兴市泰兴市场监督管理局 128300030 泰兴市泰兴市场监督管理局 128300030 泰兴市泰兴市场监督管理局 128300030 泰兴市物价局 128300048 泰兴市物价局 128300048 泰兴市规划局 128300067 06 07 08 09 01 02 01 蒋立 惠恩毅 李玲 吕谦红 钱银 窦旖妍 张冲 202120602124 202100304428 202001303823 202051001202 101050202724 101120404314 101000603723 03 吕建亮 101060103008 男 01 曹骏 02 101 102 103 104 105 106 107 108 109 110 111 112 113 114 基层分局科办员 基层分局科办员 基层分局科办员 基层分局科办员 检查分局科办员 检查分局科办员 科办员 经济开发区分局科办员(参 泰兴市规划局 128300067 公管理) 市城市管理行政执法大队科 泰兴市城市管理局 128300069 办员(参公管理) 市城市管理行政执法大队科 泰兴市城市管理局 128300069 办员(参公管理) 市城市管理行政执法大队科 泰兴市城市管理局 128300069 办员(参公管理) 市城市管理行政执法大队科 泰兴市城市管理局 128300069 办员(参公管理) 市城市管理行政执法大队科 泰兴市城市管理局 128300069 办员(参公管理) 泰兴市沿江开发管理办公室 128300072 科办员 泰兴市机关事务管理局(参 128300137 财务审计科科办员 公管理) 泰兴市机关事务管理局(参 128300137 公共机构节能科科办员 公管理) 泰兴市供销合作总社(参公 128300165 办公室科办员 管理) 泰兴市供销合作总社(参公 128300165 财务科科办员 管理) 泰兴市供销合作总社(参公 128300165 人事科科办员 管理) 泰兴市供销合作总社(参公 128300165 合作指导科科办员 管理) 泰兴市委党校(参公管理) 128300581 科办员 现工作单位 (就读院校) 考试成绩 笔试 加试 面试 总分 江苏泰隆机械集团公司 自贡市鑫彩传动机械设 备有限公司 青岛理工大学 徐州工程学院 河南农业大学 南京信息工程大学滨江 学院 青岛大学 南通市通州区纪律检查 委员会 上海商学院 扬子江药业集团有限公 司 金陵科技学院 西安建筑科技大学 重庆理工大学 盐城师范学院 黄山学院 132.9 75.00 70.72 130.5 76.00 70.63 132.5 131.3 130.2 74.80 75.20 75.60 70.53 70.43 70.35 133.7 78.60 72.72 130.3 77.00 71.08 129 78.00 71.25 129.4 137.7 123.4 139.7 125.3 126.8 128.3 70.80 75.80 75.40 75.40 73.40 77.40 77.10 67.75 72.32 68.55 72.63 68.03 70.40 70.63 黄山学院 127.1 72.50 68.03 202120601006 男 徐州工程学院 114.5 74.20 65.72 宋杰 202090602624 男 盐城市拓创网络科技有 限公司 129 70.90 67.70 02 钱铭 202120505015 男 靖江魏王卤卤菜店 118.3 74.60 66.88 03 常欣 202120501630 女 泰兴市总工会 119.9 72.80 66.375 04 王莹 202120502321 女 泰州市社会福利中心 130.4 77.00 71.1 01 董艳桃 101110401902 男 江苏科技大学 130 72.00 68.5 01 王旖旎 101000804819 女 山东财经大学 128.3 76.00 70.075 02 樊捷 苏州大学 126.2 74.00 68.55 01 焦新华 101030501522 女 周口师范学院 121.3 77.00 68.83 02 徐丹 泰兴市城市管理行政执 法大队 123.3 75.40 68.53 03 南俊迪 101000404402 男 嘉兴学院 134.6 72.94 70.12 04 胡贝贝 101130303103 女 金陵科技学院 133.3 71.50 69.08 01 陈捷 泰兴市济川街道渡河村 127.7 71.40 67.63 男 男 女 女 女 女 男 101120301613 男 101120303118 女 101120304919 女 序 号 录用单位 单位代码 职位名称 职位 代码 姓名 115 泰兴市委党校(参公管理) 128300581 科办员 03 石优星 101060104810 男 准考证号 性别 现工作单位 (就读院校) 南通市如东县袁庄镇小 康村 考试成绩 笔试 135.6 加试 面试 总分 78.60 73.2

泰州市2017年考试录用公务员和参照管理单位工作人员拟录用人员公示(二).xls



