秦岭文库(kunmingchi.com)你想要的内容这里独有!
登录
注册
首页
最新文档
热门文章
关于我
免责声明
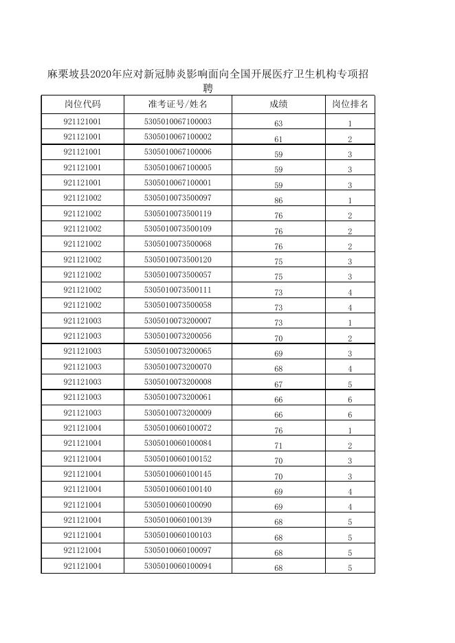
麻栗坡县2020年应对新冠肺炎影响面向全国开展医疗卫生机构专项招聘优秀高校毕业生拟进入资格复审人员名单.xlsx
10024次阅读
共2页
上传时间:2023-07-05 21:01:05
南海区关工委简报(2022年8月第十一期)1.pdf
10024次阅读
共21页
上传时间:2023-07-04 19:03:00
灵活就业人员社会保险补贴流程图.doc
10024次阅读
共1页
上传时间:2023-07-04 14:02:59
点击下载PDF版.pdf
10024次阅读
共15页
上传时间:2023-07-03 01:02:12
2018年度原潍坊市知识产权局部门决算.pdf
10024次阅读
共30页
上传时间:2023-07-02 16:03:01
盛元卫士(福建)保安服务有限公司 单一部门“双随机、一公开”抽查实地核查记录表(保安和守押公司).doc
10024次阅读
共2页
上传时间:2023-06-30 13:01:24
罗源县2020年重点建设项目8月进度跟踪表.xls
10024次阅读
共6页
上传时间:2023-06-30 10:04:28
附件3:院所设立离岸孵化器奖励资金申请表.docx
10024次阅读
共2页
上传时间:2023-06-29 13:03:17
枣庄市医疗器械网络销售信息表 (幸福人大药房连锁(山东)有限公司山亭香港街店 ).docx
10024次阅读
共1页
上传时间:2023-06-27 11:03:03
2019年度邵武市纪委部门预算.pdf
10024次阅读
共11页
上传时间:2023-06-23 06:03:25
首页
800
801
802
803
804
末页
×
信息