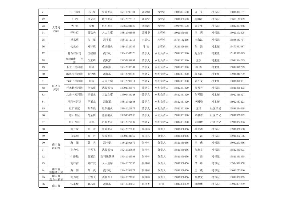
抚顺市2022年度防汛抗旱责任人签名表.xls
附件2 表1: 防汛抗旱责任人签名表 序号 市、县 行政 责任人 抚顺市 高键 联系电话 技术 责任人 职务 联系电话 防汛抢 险责任 人 职务 联系电话 抗旱应 急责任 人 市委副书记 13934404400 、市长 刘弋 市水务局局 长 13904138588 王端礼 应急局局 长 13941390057 郭爱民 职务 职务 联系电话 水务局副局 15541301888 长 清原县 1 清原县 吴振宇 县长 17704133666 赵磊 水务局长 13704934843 关发国 应急局长 15104133777 张同军 副主任 13942370618 2 清原镇 杨光 镇长 15898311201 范世鹏 水利站长 13941352333 丁家鹏 副镇长 13394234139 丁家鹏 副镇长 13394234139 3 英额门镇 尉鹏辉 镇长 18004936366 徐美 水利负责人 13942313599 王强 武装部长 13898301988 李建华 4 草市镇 王兴君 书记兼镇长 13942399005 高永强 负责人 13304130112 张永 副镇长 13238138878 张永 董 宇 副乡长 15841367588 5 枸乃甸乡 赵 徐全生 朱宝君 农业负责人 18841350881 武装部长 15141322521 水利 负责人 13842386206 贾众鑫 应急办负 责人 武装部长 15724689966 夏云琦 武装部长 13904938865 13314139875 王艳生 农业站长 15842377499 18241389888 张玉强 13236959997 刘威 水利站负责 18241389888 人 农业负责人 13904136018 迪 乡长 15724683399 农业负责人 13904232166 副镇长 13238138878 6 敖家堡乡 申灵玉 乡长 13470539001 付海波 水利负责人 15141336908 席朕 7 北三家镇 丁聪 镇长 15898346015 刘笑飞 水利站长 13904231075 赵宏伟 8 大苏河乡 刘兆峰 党委书记 13394227555 朱猛 副乡长 15841311113 张玉强 9 红透山镇 辛言广 镇长 13644134333 吴学义 水利负责人 15842361320 代玉峰 水利站负 责人 副镇长 10 南口前镇 李 镇 长 15040824345 张林林 负责人 15841360456 袁凤雷 副镇长 13841332265 袁凤雷 副镇长 13841332265 11 南山城镇 刘立鲲 镇长 13842379188 王忠利 负责人 15104138678 康顺 副镇长 13842378801 康顺 副镇长 13842378801 12 土口子乡 林大鹏 乡 长 15842310445 13470593008 王微 武装部长 18241329899 王玉坤 副乡长 13941384686 13 湾甸子镇 李 镇 长 15898399693 水利站负责 人 张艳玲 站员 18940377133 宋博 人大主席 13942351711 肖云海 14 夏家堡镇 盖天泽 镇长 18004931777 雷永东 水利站站员 13614231863 林长青 武装 部长 15898379009 陈志强 水利站负责 13941308920 人 副镇长 13104231199 15 大孤家镇 黄蕊 镇长 15842330101 牟兴龙 水利站负责 人 13204132764 赵琨 副镇长 13942302886 孙秀媛 农业负责人 13841343626 王世野 县水务局局 长 13304137733 邱宝文 县应急管 理局局长 18642355598 邱宝文 县应急管理 18642355598 局局长 高忠 县应急局 局长 13841337667 王宏新 县水务局副 13841301898 局长 王建华 区应急管 理局局长 15004130031 王新征 区农业农村 18104230111 局副局长 1 抚顺县 张 娜 响 军 县委常委 17504234666 张冲 抚顺县 新宾县 1 新宾满族 自治县 李有功 副县长 13322129969 晁先华 县水务局局 长 13322129133 东洲区 1 东洲区 赵效飞 区长 18940310033 孟宪勇 区农业农村 局局长 13842300049 新抚区 1 1 新抚区 望花区 苏丹 张泰 区长 区长 13332120102 15668561931 姜臣 刘铁 农业农村局 局长 18524130009 常务副区长 18641308088 刘庚申 应急局局 长 18904930000 赵辉 农业农村局 13941359733 副局长 岳增波 应急局局 长 13324234777 李鹏威 农业农村局 13898323399 局长 吴丽书 局长 15042368009 乔义君 望花区 新宾县 顺城区 高岩 副区长 18642350525 李闯 主任 18241300333 副局长 13841363799 表2: 江河堤段防汛责任人签名表 序号 河流名称 区段 行政 责任人 浑河 城市 高键 务 联系电话 技术 责任人 市委副书记 、市长 13934404400 刘弋 职 务 联系电话 抢险 责任人 职 务 联系电话 水务局局长 13904138588 王端礼 应急局局长 13941390057 职 清原县 1 2 3 4 5 6 7 8 清原镇 英额河 清原镇 黄旗沟河 清原镇 古城河 清原镇 红河 清原镇 浑河 清原镇 海洋河 椴木沟下湖段 任波 人大主席 13842393173 金有恒 水利站员 15842364677 舒丽华 村书记、主任 13841302832 黄旗沟村四组 张瀚文 综治委员 15541360591 金有恒 水利站员 15842364677 聂长江 村书记、主任 13904933540 吴家沟村长岭屯 组 四道河村河南道 口--五道河弯道 马前寨村道口-拦河闸上 工业园区对过河 右岸 王健 副书记 15041379696 金有恒 水利站员 15842364677 韩丽霞 村书记、主任 15141328782 赵飞 副镇长 15134111761 范世鹏 水利站长 13941352333 刘毅 村书记、主任 13898331832 赵飞 副镇长 15134111761 范世鹏 水利站长 13941352333 姜鹤 村书记、主任 13500432468 郑德仁 副镇长 13942395959 范世鹏 水利站长 13941352333 王仁萍 村书记、主任 15842376626 太平--新立屯段 丁家鹏 副镇长 13394234139 范世鹏 水利站长 13941352333 杨大勇 村书记、主任 13842371810 阿尔当--西山嘴 段 丁家鹏 副镇长 13394234139 范世鹏 水利站长 13941352333 杨宝秋 村书记、主任 13842375161 9 英额门 杨 雷 镇书记 18940310006 李文友 村书记 13942311908 明杨 民兵连长 14704137878 10 孤山子 葛晓明 副书记 13941300601 王 岩 村主任 13942395689 刘喜刚 民兵连长 13942393810 长春屯 杜 娟 宣传委员 15941399288 刘 刚 村书记 18242326888 卞志猛 民兵连长 18241344462 12 丁家街 葛晓明 副书记 13941300601 王生友 村书记 13050194051 张傅君 民兵连长 15241335026 13 幸 姜 雪 综治委员 13842372505 姬英华 村书记 13941312777 张瑞腾 民兵连长 18241343671 14 崔庄子 宋云涛 副镇长 15842322333 白成斌 村书记 13204255538 唐永刚 民兵连长 13591563457 转湘湖 王 强 武装部长 13898301988 于青良 村书记 13904239973 周 磊 民兵连长 13470525165 大林子 赵阳 党委委员 15141329991 闫 耳 村书记 13188287127 邵 健 民兵连长 13842362988 长春屯 杜 娟 宣传委员 15941399288 刘 刚 村书记 18242326888 刘 刚 村书记 18242326888 孤山子石庙子组 葛晓明 副书记 13941300601 王 岩 村书记 13942395689 刘喜刚 民兵连长 13942393810 草市村护村堤 张永 副镇长 13238138878 高永强 负责人 13941371186 张庆华 村书记 15141322111 水帘洞村 董程 党委委员 15041369937 金星 水利员 13238138876 白连成 村书记 15898345375 11 15 英额门镇 英额河 英额门镇清 河 16 17 18 19 20 英额门镇 西砬门河 英额门镇 秀水甸河 草市镇 西河 草市镇 水帘洞河 福 21 线金厂段 贾众鑫 武装部长 15141322521 何东民 村书记、主任 13470566951 何东民 村书记、主任 13470566951 枸乃甸段 潘 新 宣传委员 13904238596 田青山 村书记、主任 15842366979 田青山 村书记、主任 15842366979 侯窝棚段 曲浩文 统战委员 15134106699 侯 宁 村书记、主任 15668594120 侯 宁 村书记、主任 15668594120 北大林段 刘士德 人大主席 13470565959 孟繁财 村书记、主任 13904238282 孟繁财 村书记、主任 13904238282 朱家堡段 孙贵才 综治委员 13332134411 赵维权 村书记、主任 15941399461 赵维权 村书记、主任 15941399461 枸乃甸乡 柴 河 枸乃甸乡 井家沟河 枸乃甸乡 筐子沟河 中心屯段 董 宇 副乡长 15841367588 陈焕义 村书记、主任 15041365768 陈焕义 村书记、主任 15041365768 井家沟段 姚 庆 副书记 15141368394 刘运平 村书记、主任 15941363800 刘运平 村书记、主任 15941363800 筐子沟段 张 玲 副乡长 18041310125 刘立书 村书记、主任 15898346096 刘立书 村书记、主任 15898346096 敖家堡 大东沟村西 堡河 西堡 张健 组织委员 18841342610 沈德仁 村书记 15842363399 惠新春 小组长 1514133902 林场 张健 组织委员 18841342610 沈德仁 村书记 15842363399 张作斌 林场主任 13050167049 敖家堡 大东沟村湾 沟河 湾沟 张健 组织委员 18841342610 沈德仁 村书记 15842363399 李君 党员 15242309838 东街 张健 组织委员 18841342610 谢清海 村副书记 15898340578 阚兴丰 小组长 18941385195 敖家堡 大东沟村马 路沟河 马路沟河 张健 组织委员 18841342610 谢清海 村副书记 15898340578 孙士甲 党员 13942390853 北堡段 张健 组织委员 18841342610 谢清海 村副书记 15898340578 张云坤 小组长 1342370327 35 小莱河河 侯方伟 副乡长 13942380836 胡景发 村书记 15176950777 高忠生 小组长 15041377307 36 佟家沟河 侯方伟 副乡长 13942380836 胡景发 村书记 15176950777 李福国 水管员 13904239197 东组河 侯方伟 副乡长 13942380836 胡景发 村书记 15176950777 高延涛 小组长 15041344688 油匠沟 侯方伟 副乡长 13942380836 秦玉江 村副书记 13941308167 刘香 小组长 15898341458 39 小夹皮沟 侯方伟 副乡长 13942380836 秦玉江 村副书记 13941308167 杜文 小组长 15604137601 40 水库下游 侯方伟 副乡长 13942380836 秦玉江 村副书记 13941308167 武占海 小组长 15604130357 22 枸乃甸乡 枸乃甸河 23 24 25 26 27 28 29 30 31 32 33 34 37 38 枸乃甸乡 小孤家河 敖家堡 于家堡村于 家堡河 41 敖家堡 马家沟村马 家沟河 全段 马佳 综治委员 13904937818 马军 村书记 15941335988 程立阶 小组长 13050105045 42 敖家堡 马家沟村五 棵杨树河 全段 马佳 综治委员 13904937818 李宝林 村副书记 15941334688 唐文杰 小组长 13941331329 全段 马佳 综治委员 13904937818 常杰 村报账员 13470563652 魏忠海 小组长 15041370756 小堡段 吴德财 副乡长 13941302223 张延兵 村副书记 18241327705 乔进华 党员 13904232938 43 44 敖家堡 马家沟村大 院桥下河 敖家堡 敖石哈村敖 石哈河 45 敖家堡 敖石哈村敖 石哈河 46 51 敖家堡 台沟村台沟 敖家堡 河 大莱河村南 敖家堡 河 大莱河村冷 敖家堡 沟河 大莱河村台 沟河 敖家堡 52 大莱河村北 河 47 48 49 50 53 54 55 敖家堡 小莱河村莱 河背河 56 57 58 敖家堡 小莱河村小 莱河河 59 60 61 62 63 64 65 66 敖家堡 夹皮沟村黑 敖家堡 牛河 夹皮沟村小 敖家堡 夹皮河 村大东沟河 敖家堡 村大于沟河 北三家 浑河 北三家 树基沟河 67 敖石哈段 吴德财 副乡长 13941302223 冯海龙 村书记 13804130205 张其双 小组长 13614238389 杨树沟段 吴德财 副乡长 13941302223 冯海龙 村书记 13804130205 杨军 小组长 53485177 全段 夏云琦 武装部长 13904938865 张延龙 村书记 15141320640 郭洪伟 村报账员 13470567168 中段 王凯旋 副书记 15898307539 马毓斌 村书记 15714239288 初会生 小组长 53488034 上段 王凯旋 副书记 15898307539 马毓斌 村书记 15714239288 李凤才 小组长 53488200 上段 王凯旋 副书记 15898307539 马毓斌 村书记 15714239288 李士华 小组长 53488309 上段 王凯旋 副书记 15898307539 聂景海 村副书记 13470565106 迟永升 小组长 53488458 下段 王凯旋 副书记 15898307539 聂景海 村副书记 13470565106 曲洪涛 小组长 53488002 南岔 孙红英 统战委员 18841324518 张学伟 村副书记 1524235768 李世祥 小组长 1390423309 北岔 孙红英 统战委员 18841324518 张学伟 村副书记 1524235768 王金平 小组长 1319413136 中街 孙红英 统战委员 18841324518 张学伟 村副书记 1524235768 闫世伟 小组长 15842369948 将军堡 孙红英 统战委员 18841324518 张学伟 村副书记 1524235768 孙业文 小组长 13470527606 南组 孙红英 统战委员 18841324518 马兴春 村书记 13941370885 赵国成 小组长 1384237840 中组 孙红英 统战委员 18841324518 马兴春 村书记 13941370885 于志财 小组长 1394239680 北组 孙红英 统战委员 18841324518 马兴春 村书记 13941370885 张小艳 小组长 1325274423 桥下 黄美苓 宣传委员 15241318900 殷国良 村副书记 13842372895 高荣友 小组长 13470561418 中段 黄美苓 宣传委员 15241318900 殷国良 村副书记 13842372895 高荣友 小组长 13470561418 大东沟河段 郎福人 人大主席 15241348811 高松 村书记 13942348969 厉强 小组长 13842373202 黑牛河段 郎福人 人大主席 15241348811 孙志平 村副书记 13941352046 肖永安 小组长 13019667741 双河段 吕明奇 组织委员 18302452419 邹凯 村书记 18588241234 邹凯 村书记 18588241234 北三家段 吴琼 宣传委员 15041348881 那丽 村书记 15042352886 那丽 村书记 15042352886 黑石木段(左右 岸) 周春丽 政法 13904233633 陈玉久 水管员 13514133615 王英俊 村书记 15941341637 和 庆 王春光 武装部长 13942389598 宋爱国 水管员 15841382502 彭广庆 村书记 15941365312 大苏河 吕树伟 副乡长 18641314119 安学斌 水管员 13942348063 毛景栋 村书记 13842361492 小苏河 万明 党委副书记 18341322999 周新东 水管员 13470527185 李宝剑 村书记 15242362602 南天门 李俊芝 副乡长 18642379177 杨景志 水管员 15042366265 朱永顺 村书记 15941368589 大苏河 68 69 70 大苏河 红河 71 三十道河 高 燕 党委委员 15541396181 陈晓明 水管员 15040824600 陈 旻 村书记 15041313187 72 长 沙 柳金双 政法委员 13842372110 刘志发 水管员 15841362528 杨国江 村书记 13364133999 大 堡 金姗 组织委员 15566084680 刘洪海 水管员 13904937598 周亮生 村书记 15842371986 平岭后 韩铁夫 人大主席 15841366565 谭国华 水管员 15041379365 王 莉 村书记 15041370505 75 杨家店 朱 猛 副乡长 15841311113 宋显仁 水管员 13704132436 宋余江 村书记 15898383777 76 钓鱼台 郑诗祺 政法委员 15141323337 肖 浪 水管员 18241326448 张 洁 村主任 13470561087 77 苍石村河道 任成刚 副书记 15041367376 吴学义 水利负责人 15842361320 赵兰华 村主任 15141338695 73 74 大苏河 沙河 78 红透山村 道 河 代玉峰 副镇长 13236959997 吴学义 水利负责人 15842361320 王振 村主任 13942314225 79 下大卜村河道 田琳 副镇长 15842335147 吴学义 水利负责人 15842361320 祁 军 村主任 15842397799 80 沿水沟村河道 祁亚威 副镇长 13842393933 吴学义 水利负责人 15842361320 鞠振江 村主任 13941340799 81 六家子村河道 田雪 人大主席 13942390511 吴学义 水利负责人 15842361320 姜冬文 村主任 13841390951 栏木桥村河道 刘长库 武装部长 13904936576 吴学义 水利负责人 15842361320 张秀芳 村书记 13841396403 83 北杂木村河道 王福忠 工会主席 13500433048 吴学义 水利负责人 15842361320 张再刚 村主任 13942346327 84 沔阳村河道 单玉杰 副镇长 15841382638 吴学义 水利负责人 15842361320 李国峰 村主任 13942357423 85 红矿社区 张吉晨 组织委员 18841321877 吴学义 水利负责人 15842361320 王洋 社区书记 15898394098 86 苍石社区 马金国 党委委员 15898306056 吴学义 水利负责人 15842361320 朱淑香 社区书记 15841360622 87 红山社区 刘学 宣传委员 13842379547 吴学义 水利负责人 15842361320 关丽敏 社区书记 18941327363 88 南三家 谢 意 党委委员 15842376746 张林林 负责人 15841360456 单井鑫 村书记 13941320568 89 白草甸 张 丹 党委委员 13904934562 张林林 负责人 15841360456 张 洋 村书记 15941362166 海 黄 爽 副书记 13842391677 张林林 负责人 15841360456 王 虎 村书记 13082273666 高力屯 王雪飞 武装部长 15241327888 张林林 负责人 15841360456 张忠文 村书记 13842369003 92 什排地 曹玉昌 副科级领导 15941346598 张林林 负责人 15841360456 胡 伟 村书记 15841360335 93 南口前 郑广友 人大主席 13941371350 张林林 负责人 15841360456 谭 峰 村书记 13904938958 海 黄 爽 副书记 13842391677 张林林 负责人 15841360456 王 虎 村书记 13082273666 高力屯 王雪飞 武装部长 15241327888 张林林 负责人 15841360456 张忠文 村书记 13842369003 张家堡 袁凤雷 副镇长 13841332265 商玮岑 站员 15842365099 刘海鹰 村书记 13942364239 82 90 91 94 95 96 红透山 浑河 南口前 海阳河 南口前 海阳茨沟河 南口前 高力屯霸王 沟河 南口前 耿家堡河 阳 阳 97 98 99 100 101 102 103 104 105 南口前 耿家堡河 阳 程桂芬 副镇长 15841325755 商玮岑 站员 15842365099 刘世海 村书记 13941347792 南口前 张家堡大东 沟河 南口前 康家堡河 张家堡 袁凤雷 副镇长 13841332265 商玮岑 站员 15842365099 刘海鹰 村书记 13942364239 暖泉子 沙世宇 副科级领导 13942367447 商玮岑 站员 15842365099 岳士民 村书记 13804236966 康家堡 张 骞 党委委员 18741302815 商玮岑 站员 15842365099 孙 莉 村书记 13942302139 南口前 王家堡西北 南口前 沟河 王家堡罗坎 甸河 南口前 王家堡河 王家堡 王 巍 副镇长 13842362655 徐 明 站员 18940332200 王建民 村书记 13942302270 王家堡 王 巍 副镇长 13842362655 徐 明 站员 18940332200 王建民 村书记 13942302270 王家堡 王 巍 副镇长 13842362655 徐 明 站员 18940332200 王建民 村书记 13942302270 北口前 任向文 党委委员 13019655310 徐 明 站员 18940332200 焦维民 村书记 13841302459 南口前 十八道岭河 十八道岭 刘 奇 纪检书记 13614133232 徐 明 站员 18940332200 蔡 军 村书记 18941385598 浑河北口前段 任向文 党委委员 13019655310 徐 明 站员 18940332200 焦维民 村书记 13841302459 浑河南口前段 郑广友 人大主席 13941371350 徐 明 站员 18940332200 谭 峰 村书记 13904938958 浑河十八道岭段 刘 奇 纪检书记 13614133232 徐 明 站员 18940332200 蔡 军 村书记 18941385598 浑河向阳段 程桂芬 副镇长 15841325755 徐 明 站员 18940332200 刘世海 村书记 13941347792 南山城村护村堤 刘静涛 副镇长 13942362598 王忠利 负责人 15104138678 刘静涛 副镇长 13942362598 甘井子河堤 宋延鸿 副书记 18642334501 解双喜 水利员 13842373178 宋延鸿 副书记 18642334501 杨树崴子小学河 堤 东庙村大蛤蟆塘 河堤 刘静涛 副镇长 13942362598 解双喜 水利员 13842373178 刘静涛 副镇长 13942362598 康顺 副镇长 13842378801 解双喜 水利员 13842373178 康顺 副镇长 13842378801 大北岔河堤 张波 人大主席 13304139201 徐勤忠 水利员 13030706778 张波 人大主席 13304139201 大枉沟河堤 张波 人大主席 13304139201 徐勤忠 水利员 13030706778 张波 人大主席 13304139201 三胜堡、半拉背 河堤 黑石头村北阳沟 河堤 张波 人大主席 13304139201 徐勤忠 水利员 13030706778 张波 人大主席 13304139201 曲志 武装部长 13904930266 左同荣 水利员 18241329809 曲志 武装部长 13904930266 苇塘沟河堤 陈新 党委委员 18242360600 郑德旭 水利员 15641368253 陈新 党委委员 18242360600 柴家店 周凤云 统战委员 15898346085 焦岩 经管站负责人 13898312233 吕鹏 村书记 13591539098 门 脸 解志强 副书记 13904233291 亓鲲 农科站负责人 15040828288 樊维国 村书记 15941345237 治 安 徐驰 人大主席 13322131151 张九杨 林业站负责人 15242322225 关庆辉 村主任 15898306222 北猴石 王微 武装部长 18241329899 仲维斗 交通负责人 15941327219 许长山 村主任 15141326291 106 107 108 南口前 浑河 109 110 111 112 113 114 115 116 117 118 119 120 121 122 南山城 前秧河 南山城 甘井子河 南山城 杨树崴子河 南山城 二道河 南山城 大北岔河 南山城 大枉沟河 南山城 半拉背河 南山城 姜家街河 南山城 苇塘沟河 土口子 柴家店 土口子 北大沟 土口子 马鹿沟 向 123 土口子 马鹿沟 石 阳 徐德新 副乡长 15842392567 张冲 水利站负责人 13470593008 乔仁江 村主任 13942395822 124 拐抹沟 范喜娇 宣传委员 13904233631 王云飞 卫健办负责人 13841336066 周洪泽 村书记 1594133858 125 土口子 王玉坤 副乡长 13941384686 徐焱 乡村振兴办负 责人 15842343789 宋英男 村书记 13322132223 荒 地 王羽 副乡长 13188271777 王晓琪 村政办负责人 13941308576 徐德民 村主任 13464432444 127 陈家沟 姜丽红 综治委员 15898347088 李洪哲 工业办负责人 13841336066 张维斌 村主任 13904939965 128 汪家沟 孟晓阳 组织委员 18841353535 翟春艳 人居环境办负 责人 18241322897 李坤 村主任 13841382032 李 镇 长 15898399693 肖云海 水利站负责人 13941308920 宋 博 人大主席 13942351711 126 129 130 土口子 清河 湾甸子 浑河 夏家堡 柴河流域 红河湾甸子段 响 夏家堡段 陈志强 副镇长 13104231199 雷永东 水利站站员 13614231863 林长青 武装部长 15898379009 高家砬子 陈亚利 村书记 13941376509 袁淑萍 包村干部 13470556799 陈亚利 村书记 13941376509 唐家屯 张凤林 村书记 13394234326 王希福 包村干部 15241319117 张凤林 村书记 13394234326 黄家屯 李国君 村书记 13204258686 狄秀玲 包村干部 15941322711 李国君 村书记 13204258686 134 刘小堡 顾亚秋 村书记 13130370444 巩丽莉 包村干部 15842362866 顾亚秋 村书记 13130370444 135 大地 白景涛 村副书记 15041362966 潘立新 包村干部 13841332789 白景涛 村副书记 15041362966 丁家堡 刘芳 村书记 13204256699 王香国 包村干部 13125523777 刘芳 村书记 13204256699 文家屯 杨海龙 村书记 15668540777 王怀国 包村干部 13188291177 杨海龙 村书记 15668540777 下坎子 谭宗仁 村书记 15242341789 赵国瑞 包村干部 13904238702 谭宗仁 村书记 15242341789 夏家堡 杨堡至赵堡 流域 杨家堡 吴俊龙 村书记 13942398847 闫 瑶 包村干部 13504231253 吴俊龙 村书记 13942398847 赵家堡 王成才 村书记 13904931696 肖阳 包村干部 18341320888 王成才 村书记 13904931696 夏家堡 马堡至下王 堡流域 马家堡 王宝富 村书记 13941303866 王守玲 包村干部 13470580631 王宝富 村书记 13941303866 下王堡 张永东 村书记 13204253388 王桂春 包村干部 15841325005 张永东 村书记 13204253388 143 金窝棚 周玉财 村书记 13130330226 付 强 包村干部 18241308844 周玉财 村书记 13130330226 144 马家店 潘振权 村书记 13842370188 王 亮 包村干部 15641392490 潘振权 村书记 13842370188 145 猴石 杨明慧 村书记 13284131233 袁凤祥 包村干部 13941371969 杨明慧 村书记 13284131233 146 湾龙背 王 岩 村书记 15898341419 孙美玲 包村干部 13841350608 王 岩 村书记 15898341419 金庄 王德勇 村书记 18241322978 雷永东 包村干部 13614231863 王德勇 村书记 18241322978 夏家堡 张忠军 村书记 15898347718 王道远 包村干部 13942367839 张忠军 村书记 15898347718 131 132 133 136 137 夏家堡 唐黄高、张 道沟流域 夏家堡 文丁大流域 138 139 140 141 142 147 148 夏家堡 金窝棚至小 孤家流域 夏家堡 金窝棚至小 孤家流域 149 袁家庙 张立刚 村书记 19841331688 刘福江 包村干部 18041311559 张立刚 村书记 19841331688 150 卜家屯 李雪峰 村书记 15898322838 范玲 包村干部 13904232558 李雪峰 村书记 15898322838 151 下老坎 高忠友 村书记 13470576074 陈忠有 包村干部 13842399929 高忠友 村书记 13470576074 152 红土庙 王振洲 村书记 15941331017 苏连成 包村干部 15504136105 王振洲 村书记 15941331017 153 小孤家 马春雨 村书记 15842360576 王太和 包村干部 13942306599 马春雨 村书记 15842360576 夏家堡 邱窝棚至贾 屯流域 邱窝棚 高成国 村书记 13204258099 孙子雯 包村干部 15242308948 高成国 村书记 13204258099 贾屯 张庆财 村书记 15841382408 金 辉 包村干部 13130351488 张庆财 村书记 15841382408 夏家堡 太平沟至天 桥流域 太平沟 尤士发 村副书记 15641357285 张庆东 包村干部 13904130929 尤士发 村副书记 15641357285 天桥 杜洪权 村书记 13470570888 王莅栋 包村干部 13130327322 杜洪权 村书记 13470570888 大孤家 清河 大孤家 二道沟河 大孤家 吊弓沟河 大孤家 増庆河 兴隆台清河干流 七组壕头北岸险 兴隆台碱厂河左 段 岸险段 吊弓沟河沟门段 南大坝道下 增庆河清河北段 两岸 赵琨 副镇长 13942302886 牟兴龙 水利站负责人 13204132764 于显斌 村书记 13941397567 赵琨 副镇长 13942302886 牟兴龙 水利站负责人 13204132764 于显斌 村书记 13941397567 赵爱慧 副镇长 13941377526 王晓丹 水利站员 13842027427 冯宝刚 村书记 13904936401 郭伟 人大主常 13514131248 刘英民 水利站员 13941371696 王亚明 村书记 18241319419 154 155 156 157 158 159 160 161 抚顺县 1 古城子河 2 石文镇八家子段 唐凤微 村书记 15898322818 张振刚 水管员 13941377598 唐凤微 村书记 15898322818 石文镇大堡段 王东 村副书记 13236951758 王平 水管员 13188250055 王东 村副书记 13236951758 3 大石河 石文镇大石段 王健 村书记 15041321888 王旭 水管员 13842393521 王健 村书记 15041321888 4 阁老河 石文镇阁老段 张宝玉 村书记 15842323955 杨林 水管员 13941397038 张宝玉 村书记 15842323955 5 马圈子河 马圈子乡金斗段 崔庆文 村书记 13504236781 杨树明 水利站站长 15898379599 田太文 村主任 13841306508 马圈子乡孤家子 段 马圈子乡马圈子 段 孟宪堔 村书记 13322137666 杨树明 水利站站长 15898379599 孟宪堔 村书记 13322137666 马玉东 村书记 13841391111 杨树明 水利站站长 15898379599 周迎春 村主任 18741390430 8 马圈子乡草盆段 李维国 村书记 13704933977 杨树明 水利站站长 15898379599 李维国 村书记 13704933977 9 马圈子乡西川段 聂长利 村书记 13942324588 杨树明 水利站站长 15898379599 郭伟 村主任 13384136470 10 马圈子乡太平段 孙继发 村书记 18841320132 杨树明 水利站站长 15898379599 孙继发 村书记 18841320132 海浪乡松树段 姚巍 副乡长 18624235955 卜凡 水利站员 15041392469 汤宪文 村主任 13841388858 海浪乡前楼段 姚巍 副乡长 18624235955 卜凡 水利站员 15041392469 张龙 村主任 15541391756 6 7 11 12 松树河 13 海浪乡上海浪段 白丽萍 副书记 13942386002 朱永艳 水利站员 18624235717 于宏 村主任 13842382628 14 海浪乡房申段 白丽萍 副书记 13942386002 朱永艳 水利站员 18624235717 王东华 村主任 13842362026 15 海浪乡下海浪段 白丽萍 副书记 13942386002 张振生 水利站员 15040840858 周春勇 村主任 13842393877 16 海浪乡转山段 白丽萍 副书记 13942386002 张振生 水利站员 15040840858 许洪文 村主任 15001844777 17 海浪乡杨木段 白丽萍 副书记 13942386002 张振生 水利站员 15040840858 温希玖 村主任 13942358343 海浪乡台沟段 肖英俊 副乡长 19904136800 李国维 水利站长 13904133418 尚德波 村主任 15041322900 海浪乡安家段 肖英俊 副乡长 19904136800 李国维 水利站长 13904133418 朱胜宏 村主任 18642355585 海浪乡邹家段 肖英俊 副乡长 19904136800 李国维 水利站长 13904133418 张振 村主任 13700133190 海浪乡果木段 肖英俊 副乡长 19904136800 李国维 水利站长 13904133418 李国华 村主任 13324232111 上马镇塔二丈段 宋国海 支部书记 13842336198 张作涛 支委委员 13050130495 艾宏伟 民兵连长 15841316727 上马镇洋湖河 林然 村主任 13942311415 陈岩 支部书记 13841304499 林然 村主任 13942311415 上马镇上马村 康书华 村主任 13470577221 王姝 支部书记 13042639990 康书华 村主任 13470577221 上马镇下马村 罗耀文 支部书记 13841371609 王家友 支委委员 13942385670 张喜凤 支委委员 13704937991 上马镇西古村 佟营 支部书记 15141357699 周晓明 报账员 13841385178 佟营 支部书记 15141357699 27 上马镇四家子村 庄忠明 支部书记 13842394828 韩宝石 副书记 13322131116 庄忠明 支部书记 13842394828 28 上马镇姚家村 苏成见 支部书记 15941338721 崔朋友 水管员 15041383070 苏成见 支部书记 15941338721 29 上马镇温道村 张文浩 支部书记 13019654733 祁利 水管员 13841352026 张文浩 支部书记 13019654733 30 上马镇台沟村 苗润达 支部书记 13841333233 王仁富 水管员 18741309888 苗润达 支部书记 13841333233 上马镇通什段 杨雪 支部书记 13591539949 闫金珠 水管员 15242313811 杨雪 支部书记 13591539949 32 上马镇坎木段 赵志玲 支部书记 15941353263 范兆富 水管员 13804137245 赵志玲 支部书记 15941353263 33 上马镇赵家段 刘国忠 支部书记 15898383003 赵兴军 副书记 15941358653 林立祥 水管员 18604236585 上马镇李家段 于文龙 村主任 15141323666 汪成喜 村委委员 13614937422 王朝振 支委委员 13941328689 上马镇油坊段 祁长虹 支部书记 13841300288 许益光 水管员 13700137058 姚斌 报账员 13704932688 上马镇窑沟段 刘伟 支部书记 13234132999 龚绍利 副书记 13898323789 刘义龙 报账员 15641326057 37 上马镇竖碑段 徐万新 支部书记 13082271177 王金萍 副书记 13188259268 徐万新 支部书记 13082271177 38 上马镇苍什段 杜学洋 支部书记 13841386648 柏俊萍 水管员 13081314991 杜学洋 支部书记 13841386648 18 杨木河 古城河 19 20 古城河 21 22 东洲河 23 24 上马河 25 26 31 34 社河 坎木河 李家河 35 36 百花河 39 东洲河 救兵镇山龙段 夏晖 副镇长 18641377000 张闯 水利站站长 13941387538 黄金凤 村书记 13942340639 救兵镇板城段 夏晖 副镇长 18641377000 张闯 水利站站长 13941387538 徐世友 村主任 18604235557 救兵镇通什段 李子豪 镇长 15504130007 张闯 水利站站长 13941387538 赵连军 村书记 18004138588 42 救兵镇王木段 程柳 副镇长 18642349557 张闯 水利站站长 13941387538 方孝斌 村书记 13842333999 43 社河 后安镇彰党河堤 后安-彰党 裴浚喆 政法委员 13591555959 李圣春 水管员 15898378368 李宝林 书记、主任 13704134808 44 后安镇同安河堤 张丽 宣传委员 13704932077 董晓明 水管员 15040813535 关 健 书记、主任 13842320659 后安镇曼首河堤 王华 副镇长 13842382233 孙 鹤 水管员 13942359501 李丛星 书记、主任 15040808080 后安镇佟庄河堤 王华 副镇长 13842382233 于滋益 水管员 13591545407 张喜林 书记、主任 15841311570 后安镇郑家河堤 丁 爽 副书记 15714136161 梁远程 水管员 13842394296 陈 书记、主任 15841375388 后安镇前安河堤 马明宇 人大主席 18642350045 石文凯 水管员 13204138784 49 后安镇后安河堤 魏颖慧 纪检书记 18624235580 田 军 水管员 13591555766 曹路清 村书记 张石吉 副书记 董凤波 王 村书记 村 鹏 主任 18642378046 15104137774 13941353537 15842355999 50 社河 后安镇腰堡河堤 五龙-后安 张福祝 副镇长 18642378393 鲍学军 水管员 13030715891 叶松艳 书记、主任 15841311968 51 后安镇五龙河堤 胡艳 组织委员 13841345627 李桂伦 水管员 15542771817 吴玉祥 书记、主任 13842392815 后安镇傲牛河堤 叶飞 副镇长 18641359128 张振国 水管员 13942300415 翟福德 书记、主任 15042388996 53 后安镇李家河堤 王浩 武装部长 18241315999 翟海宾 水管员 15842356558 张连双 书记、主任 15841356006 54 后安镇四道河堤 王竺 党委委员 15898356252 吴 波 水管员 13941330685 吴玉祥 书记、主任 13842349111 55 后安镇王家河堤 王浩 武装部长 18241315999 徐纯东 水管员 13942342047 刘云雷 书记、主任 13842360933 汤图乡占贝村 鲍士广 副乡长 18642321733 马祥文 水利站长 18642321706 苏彩秀 书记 17731747490 汤图乡河东村 鲍士广 副乡长 18642321733 马祥文 水利站长 18624321706 于长亮 书记 13700137042 汤图乡三块石 王大纲 乡长 13941355880 马祥文 水利站长 18642321706 曹州 书记 13030711678 59 汤图乡石棚子 王大纲 乡长 13941355880 马祥文 水利站长 18642321706 王玉金 书记 18041365678 60 汤图乡汤图 王大纲 乡长 13941355880 马祥文 水利站长 18642321706 刘凤清 书记 13841375288 61 汤图乡鲍家 王大纲 乡长 13941355880 马祥文 水利站长 18642321706 刘玉海 书记 15842357848 62 汤图乡百花 王大纲 乡长 13941355880 马祥文 水利站长 18642321706 刘启超 书记 13384135555 40 41 45 46 47 48 52 56 东洲河支流 社河 曼首-后安 社河 曼首-后安 社河 曼首-后安 社河 曼首-后安 社河 五龙上游 苏子河 57 58 百花河 爽 63 台堡河 峡河乡台堡段 刘洋 副乡长 18641349100 修维军 水管员 13188272999 刘新付 村书记 18642349577 64 眼望河 峡河乡眼望段 刘洋 副乡长 18641349100 王福庆 水管员 13236955700 于长敏 村书记 13050120326 65 峡河乡陡岭子段 刘洋 副乡长 18641349100 张喜昌 水管员 13942397556 赵志军 村书记 15041377999 66 峡河段 刘洋 副乡长 18641349100 张虎 水管员 43842302722 邓连权 村书记 15842359555 67 六家子河 峡河乡六家子段 关英顺 副书记 13029260555 徐跃平 水管员 15141352733 徐荣纯 村书记 13624236678 68 小林河 峡河乡大房子段 关英顺 副书记 13029260555 郭锐 水管员 13081341996 王风华 村书记 18841357009 69 峡河乡杜家段 关英顺 副书记 13029260555 刘纯海 水管员 13700139477 于文阁 村书记 18841357011 70 峡河乡小林段 关英顺 副书记 13029260555 高兴春 水管员 13019658859 鄂威 村书记 13224132345 71 峡河乡三家子段 关英顺 副书记 13029260555 郭士福 水管员 13704931902 邓玉国 村书记 18642349588 峡河乡胜子段 崔明侠 副乡长 13841333567 窦明 水管员 15040835052 赵闯 村书记 15941388392 水利站长 13941317779 吴文印 村书记 13942307955 前进 关德仁 村书记 13904133238 民主 赵抵非 村书记 13941383002 和平汉 张爱军 村书记 13504235555 茶棚 张万义 村书记 13804931996 刘鲜 朴凤花 村书记 13019650965 兰汉 高云飞 村书记 13942383037 拨卜沟 初志伟 村书记 15141345169 达子营 隋立军 村书记 15141335567 网户 赵 丹 村书记 15898357799 纪纯杰 村书记 15941372896 后仓 李勇 村书记 15941325051 砬嘴 刘志华 村书记 13804934391 秋木 戴清高 村书记 13804935877 黄旗 杨春华 村书记 13804931601 五里 白雪 村书记 13125517011 民主 赵抵非 村书记 13941383002 72 胜子河 新宾县 1 2 新宾镇苏子 河 五里河 五付甲 石碑 赵维海 赵维海 镇长 镇长 13942372001 13942372001 隗野 金辉 水利站员 13841313545 3 4 5 6 刘家河 网户河 照阳河 前进东河沟 郝家 匡广清 村书记 13942372119 佟家 夏君飞 村书记 13050151234 尹家 时福永 村书记 15841379728 刘汉 傅永祥 村书记 13942352778 刘鲜 朴凤花 村书记 13019650965 吕 顺 村书记 13804931355 向阳 张秀华 村书记 15242309333 网户 赵 丹 村书记 15898357799 张 杰 村书记 13804237491 照阳 朱立兵 村书记 13842335810 下坎 高恒阳 村书记 15541307370 兰汉 高云飞 村书记 13942383037 关德仁 村书记 13904133238 关德仁 村书记 13904133238 林子头 关家 前进 赵维海 赵维海 赵维海 镇长 镇长 镇长 13942372001 13942372001 刘秀萍 刘秀萍 隗野 水利站员 水利站员 水利站长 13804237133 13804237133 13941317779 赵维海 镇长 7 13942372001 13942372001 隗野 水利站长 13941317779 前进南河沟 前进 赵维海 苏子河 红升村 王栋栋 乡长 13804232600 栗权 站长 18341347888 王忠文 村书记 18741350999 关家村 王栋栋 乡长 13804232600 栗权 站长 18341347888 王丽娟 村书记 13081346831 张家村 王栋栋 乡长 13804232600 栗权 站长 18341347888 谷峰 村书记 13804233709 白旗村 王栋栋 乡长 13804232600 栗权 站长 18341347888 于凤平 村书记 13842379486 8 旺清河 旧门村 王栋栋 乡长 13804232600 栗权 站长 18341347888 王国强 村书记 13842384222 9 永陵金岗河 金岗村 赵伟 书记 13504233916 孙炜 水利站站员 13842332577 刘纯雨 村书记 13204245666 10 二道河 二道村 赵伟 书记 13504233916 孙炜 水利站站员 13842332577 夏永亮 村书记 13841377766 11 苏子河、二 道河 赫图阿拉村 赵伟 书记 13504233916 孙炜 水利站站员 13842332577 罗天成 村书记 13504233526 12 苏子河 红旗村 赵伟 书记 13504233916 刘亚军 水利站站长 13941350693 王亚斌 村书记 13841351652 前进村 赵伟 书记 13504233916 刘亚军 水利站站长 13941350693 张志富 村书记 13842370666 团结村 赵伟 书记 13504233916 刘亚军 水利站站长 13941350693 段春永 村书记 13624234019 蔬菜村 赵伟 书记 13504233916 刘亚军 水利站站长 13941350693 赵宾伟 村书记 13504133883 13 14 15 嘉禾河 御带河 富尔江 旺清河 头道堡 赵伟 书记 13504233916 孙洪彬 水利站站员 15898325809 刘 利 村书记 13130323999 嘉禾村 赵伟 书记 13504233916 孙洪彬 水利站站员 15898325809 崔贵生 村书记 13941353221 五道村 赵伟 书记 13504233916 孙洪彬 水利站站员 15898325809 佟野 村书记 15042376000 后堡村 赵伟 书记 13504233916 孙炜 水利站站员 13842332577 高玉军 村书记 13804939922 鲜村 赵伟 书记 13504233916 孙炜 水利站站员 13842332577 金仙俊 村书记 15842379932 头道砬村 赵伟 书记 13504233916 孙炜 水利站站员 13842332577 张茂全 村书记 15898339669 横山子 付桂香 镇长 15141389888 万森 站长 13941317657 赵忠清 村书记村主任 一肩挑 村书记村主任 一肩挑 村书记村主任 一肩挑 村书记村主任 一肩挑 村书记村主任 一肩挑 村书记村主任 一肩挑 村书记村主任 一肩挑 村书记村主任 一肩挑 村书记村主任 一肩挑 15668557677 旺汉 镇长 万森 站长 13941317657 詹德利 东汉村 镇长 万森 站长 13941317657 马跃虎 万森 站长 13941317657 隗祥海 大河东 16 镇长 15141389888 付桂香 金星 镇长 李哲 13130356335 13104931111 13591575798 13470520311 17 头道沟河 杨木沟 付桂香 镇长 15141389888 万森 站长 13941317657 薛兴华 18 大荒沟河 南北岔 付桂香 镇长 15141389888 万森 站长 13941317657 丁艳秀 夹河北河 旺鲜村 付桂香 镇长 15141389888 万森 站长 13941317657 李哲 夹河北村 付桂香 镇长 15141389888 万森 站长 13941317657 赵忠清 红庙子查家村 赵景波 乡长 13841335522 张宏扬 站长 13804931699 王志军 村长 15898356195 长岭子村 李炳旭 村长 13704137777 红庙子村 柯福铁 村长 13804937975 五道沟村 都基东 村长 13252751888 英汉村 孟凡德 村长 13050170998 四道沟村 刘 岩 村长 13804938881 19 20 巨流河 13942371122 13841368755 13470520311 15668557677 21 朝阳河 老戏场村 赵景波 乡长 13841335522 张宏扬 站长 13804931699 兰世伟 村长 15841371113 22 西岔河 西岔村 赵景波 乡长 13841335522 张宏扬 站长 13804931699 孙龙 村长 13942339889 23 二道沟河 英鲜村 赵景波 乡长 13841335522 张宏扬 站长 13804931699 徐玉明 村长 13804233567 24 大东岔河 南四平村 赵景波 乡长 13841335522 张宏扬 站长 13804931699 孙洋 村长 15242358008 25 富尔江 响水河子村 王义 乡长 15842376669 毛双龙 站长 13614138975 孙德龙 村书记 15841373411 26 双鲜河 双砬子村 王义 乡长 15842376669 毛双龙 站长 13614138975 王国林 村书记 13942352381 双鲜村 王义 乡长 15842376669 毛双龙 站长 13614138975 金太明 村书记 15241301711 富江村 王义 乡长 15842376669 毛双龙 站长 13614138975 李万惠 村书记 13841321533 上围子村 王义 乡长 15842376669 毛双龙 站长 13614138975 刘小海 村书记 15041343909 下围子村 王义 乡长 15842376669 毛双龙 站长 13614138975 李向君 村书记 13188299093 双砬子村 王义 乡长 15842376669 毛双龙 站长 13614138975 王国林 村书记 13942352381 双鲜村 王义 乡长 15842376669 毛双龙 站长 13614138975 金太明 村书记 15241301711 27 响水河 东腰堡村 王义 乡长 15842376669 毛双龙 站长 13614138975 吴黎勇 村书记 13591536169 28 三道沟河 三道沟屯 王义 乡长 15842376669 毛双龙 站长 13614138975 孙德龙 村书记 15841373411 29 小荒沟河 小荒沟屯 王义 乡长 15842376669 毛双龙 站长 13614138975 孙德龙 村书记 15841373411 30 巨流河 富江西屯 王义 乡长 15842376669 毛双龙 站长 13614138975 李万惠 村书记 13841321533 31 富尔江 火石村区段 曲春雨 乡长 13941390968 陈大伟 水利站长 13841351771 杨连国 13841349816 火石村二道阳岔 河 火石村三道阳岔 河 曲春雨 乡长 13941390968 陈大伟 水利站长 13841351771 杨连国 曲春雨 乡长 13941390968 陈大伟 水利站长 13841351771 杨连国 宝汤村区段 曲春雨 乡长 13941390968 陈大伟 水利站长 13841351771 曹文明 宝汤村中心河 曲春雨 乡长 13941390968 陈大伟 水利站长 13841351771 曹文明 冯家村英河子 曲春雨 乡长 13941390968 陈大伟 水利站长 13841351771 洪光 冯家村湾沟河 曲春雨 乡长 13941390968 陈大伟 水利站长 13841351771 洪光 冯家村幸福河 曲春雨 乡长 13941390968 陈大伟 水利站长 13841351771 洪光 冯家村幸福富尔 江段 曲春雨 乡长 13941390968 陈大伟 水利站长 13841351771 洪光 北旺清村段 曲春雨 乡长 13941390968 陈大伟 水利站长 13841351771 吴新楠 北旺清村中心河 曲春雨 乡长 13941390968 陈大伟 水利站长 13841351771 吴新楠 北旺清村西河 曲春雨 乡长 13941390968 陈大伟 水利站长 13841351771 吴新楠 北旺清村西南河 曲春雨 乡长 13941390968 陈大伟 水利站长 13841351771 吴新楠 善道村段 曲春雨 乡长 13941390968 陈大伟 水利站长 13841351771 谷帅 善道村西沟河 曲春雨 乡长 13941390968 陈大伟 水利站长 13841351771 谷帅 村书记兼村主 任 村书记兼村主 任 村书记兼村主 任 村书记兼村主 任 村书记兼村主 任 村书记兼村主 任 村书记兼村主 任 村书记兼村主 任 村书记兼村主 任 村书记兼村主 任 村书记兼村主 任 村书记兼村主 任 村书记兼村主 任 村书记兼村主 任 村书记兼村主 任 32 旺清河 13841349816 13841349816 13941355227 13941355227 13704935427 13704935427 13704935427 13704935427 13470524133 13470524133 13470524133 13470524133 15941307111 15941307111 33 34 35 二道子河 富尔江 双鲜河 村书记兼村主 任 村书记兼村主 任 杨树村段 曲春雨 乡长 13941390968 陈大伟 水利站长 13841351771 张志龙 杨树村边沟河 曲春雨 乡长 13941390968 陈大伟 水利站长 13841351771 张志龙 榆树村 刘爽 乡长 15842329511 夏春忠 站长 13704932081 赵亚斌 红石村 刘爽 乡长 15842329511 夏春忠 站长 13704932081 李根 红旗村 刘爽 乡长 15842329511 夏春忠 站长 13704932081 董宪利 蔡家村 刘爽 乡长 15842329511 夏春忠 站长 13704932081 蔡振平 边外村 刘爽 乡长 15842329511 夏春忠 站长 13704932081 张秋颖 何家村 刘爽 乡长 15842329511 夏春忠 站长 13704932081 王宪海 罗圈村 刘爽 乡长 15842329511 夏春忠 站长 13704932081 扬永峰 哈山村 刘爽 乡长 15842329511 夏春忠 站长 13704932081 陈永强 彭家村 刘爽 乡长 15842329511 夏春忠 站长 13704932081 冯克海 都督村 刘爽 乡长 15842329511 夏春忠 站长 13704932081 王世清 样子沟村 刘爽 乡长 15842329511 夏春忠 站长 13704932081 刘忠仁 岔路子村 刘爽 乡长 15842329511 夏春忠 站长 13704932081 张仲波 响水河子村 王义 乡长 15842376669 毛双龙 站长 13614138975 孙德龙 村书记 15841373411 双砬子村 王义 乡长 15842376669 毛双龙 站长 13614138975 王国林 村书记 13942352381 双鲜村 王义 乡长 15842376669 毛双龙 站长 13614138975 金太明 村书记 15241301711 富江村 王义 乡长 15842376669 毛双龙 站长 13614138975 李万惠 村书记 13841321533 上围子村 王义 乡长 15842376669 毛双龙 站长 13614138975 刘小海 村书记 15041343909 下围子村 王义 乡长 15842376669 毛双龙 站长 13614138975 李向君 村书记 13188299093 双砬子村 王义 乡长 15842376669 毛双龙 站长 13614138975 王国林 村书记 13942352381 双鲜村 王义 乡长 15842376669 毛双龙 站长 13614138975 金太明 村书记 15241301711 村书记 村书记 村书记 村书记 村书记 村书记 村书记 村书记 村书记 村书记 村书记 村书记 13842313357 13842313357 13804238553 15141305877 13841395806 13942379466 18242326655 15242317979 13188266669 15841376367 13470599055 15241302858 13842363773 13841346377 36 响水河 东腰堡村 王义 乡长 15842376669 毛双龙 站长 13614138975 吴黎勇 村书记 13591536169 37 三道沟河 三道沟屯 王义 乡长 15842376669 毛双龙 站长 13614138975 孙德龙 村书记 15841373411 38 小荒沟河 小荒沟屯 王义 乡长 15842376669 毛双龙 站长 13614138975 孙德龙 村书记 15841373411 38 巨流河 富江西屯 王义 乡长 15842376669 毛双龙 站长 13614138975 李万惠 村书记 13841321533 40 太子河 苇子峪 林云峰 镇 长 13841306496 王赫 水利站站长 18242334422 王东旭 武装部部长 13188251818 41 下夹河乡太 子河 岗东村 大背屯段 盖 斌 乡长 13842350016 周绍君 站长 13841342830 刘兴华 村书记 13842317768 岗东段 盖 斌 乡长 13842350016 周绍君 站长 13841342830 刘兴华 村书记 13842317768 下夹河段 盖 斌 乡长 13842350016 周绍君 站长 13841342830 武 伟 村书记 13804239775 支家村 崴子段 盖 斌 乡长 13842350016 周绍君 站长 13841342830 谢廷魁 村书记 15134132019 支家村支家段 盖 斌 乡长 13842350016 周绍君 站长 13841342830 谢廷魁 村书记 15134132019 支家村马路屯段 盖 斌 乡长 13842350016 周绍君 站长 13841342830 谢廷魁 村书记 15134132019 双河村双河-太 子河段 盖 斌 乡长 13842350016 周绍君 站长 13841342830 孙贺 村书记 18641362456 平河村小夹河段 盖 斌 乡长 13842350016 周绍君 站长 13841342830 张志富 村书记 14741275678 双台子段 盖 斌 乡长 13842350016 周绍君 站长 13841342830 马 龙 村书记 18524142000 松树河段 盖 斌 乡长 13842350016 周绍君 站长 13841342830 张明思 村书记 13942373122 下夹河村段 盖 斌 乡长 13842350016 周绍君 站长 13841342830 武 伟 村书记 13804239775 42 43 双河河 松树河 44 大央河 岗东河段 盖 斌 乡长 13842350016 周绍君 站长 13841342830 刘兴华 村书记 13842317768 45 木奇镇水手 河 乱碴石 关泰鹏 镇长 15241303258 孙柏江 站长 15842370277 韩秀国 书记 13841345131 二道穿心河 关泰鹏 镇长 15241303258 孙柏江 站长 15842370277 韩秀国 书记 13841345131 三道关河 关泰鹏 镇长 15241303258 孙柏江 站长 15842370277 韩秀国 书记 13841345131 水手穿心河 关泰鹏 镇长 15241303258 孙柏江 站长 15842370277 韩秀国 书记 13841345131 台沟河 关泰鹏 镇长 15241303258 孙柏江 站长 15842370277 刘树民 书记 15898277511 半道子河 关泰鹏 镇长 15241303258 孙柏江 站长 15842370277 吴树林 会计 15941366753 河西 关泰鹏 镇长 15241303258 孙柏江 站长 15842370277 刘树民 书记 15898277511 镇内后河 关泰鹏 镇长 15241303258 孙柏江 站长 15842370277 胡金城 组长 15898313779 福来沟河 关泰鹏 镇长 15241303258 孙柏江 站长 15842370277 邵福文 组长 13804235162 东站后河 关泰鹏 镇长 15241303258 孙柏江 站长 15842370277 秦建国 书记 15242319118 台沟河 关泰鹏 镇长 15241303258 孙柏江 站长 15842370277 刘长波 组长 18741333811 南杂木村 马明 镇长 18104230246 刘占涛 水利站 13504233721 解惠元 南杂木村书记 13904939313 沈长春 榔头沟村书记 15041363666 46 47 48 木奇河 东站河 朝阳河 榔头沟村 朝阳村 付刚 朝阳村书记 13841346335 国道旁村 杨连禹 国道旁村书记 13841329252 聂尔库村 乔彦飞 聂耳库村书记 15242354777 49 转湾子河、 邱皮沟河 转湾子村 马明 镇长 18104230246 刘占涛 水利站长 13504233721 吴兴江 转湾子村书记 15898344851 50 浑河 南杂木 马明 镇长 18104230246 刘占涛 水利站长 13504233721 解惠元 南杂木村书记 13904939313 区农业农村局 局长 区农业农村局 局长 区农业农村局 局长 区农业农村局 局长 区农业农村局 局长 区农业农村局 局长 区农业农村局 局长 13842300049 王建华 15004130031 13842300049 王建华 13842300049 王建华 13842300049 王建华 13842300049 王建华 13842300049 王建华 13842300049 王建华 区应急管理局 局长 区应急管理局 局长 区应急管理局 局长 区应急管理局 局长 区应急管理局 局长 区应急管理局 局长 区应急管理局 局长 农业农村局局 长 农业农村局局 长 18524130009 刘庚申 应急局局长 18904930000 18524130009 刘庚申 应急局局长 18904930000 东洲区 1 2 3 浑河 章党河 东洲河 东洲区 赵效飞 区长 18940310033 孟宪勇 章党段 张岳 章党镇镇长 13130345929 孟宪勇 哈达段 梁培禄 哈达镇镇长 19804130606 孟宪勇 章党街道段 丁象伟 主任 15842380474 孟宪勇 碾盘段 李恒志 乡长 15042371638 孟宪勇 东洲街道段 吴士义 主任 18940354466 孟宪勇 搭连街道段 郭 主任 18642380662 孟宪勇 晨 15004130031 15004130031 15004130031 15004130031 15004130031 15004130031 新抚区 1 新抚区 苏丹 区长 13332120102 姜臣 2 新抚区 高永宏 18841300080 姜臣 3 千金乡 张鸿顺 胜利经济开 发区管委会 副主任 副乡长 18641375979 张鸿顺 副乡长 18641375979 张鸿顺 副乡长 18641375979 荒地段 张思雯 村主任 18642323310 张思雯 村主任 18642323310 张思雯 主任 18642323310 5 路家段 纪文学 村主任 15841383000 纪文学 村主任 15841383000 张庆国 副主任 13591541292 6 英德段 郑笑琦 村主任 18642381316 郑笑琦 村主任 18642381316 董永顺 副主任 13591530618 7 新抚区 吴云龙 区委常委、 常务副区长 15304238777 姜臣 农业农村局局 长 18524130009 刘庚申 应急局局长 18904930000 8 千金乡 张恒 副主任 15041333433 张恒 副主任 15041333433 张恒 副主任 15041333433 9 千金段 李明 村主任 13841351666 李明 村主任 13841351666 刘述斌 副主任 15842392929 丁家段 王春梅 村主任 136441335977 王春梅 村主任 136441335977 王晓玲 副主任 13384133131 11 后邓段 王大勇 村主任 13154131858 王大勇 村主任 13154131858 王连斌 副主任 13941313651 12 前邓段 王海涛 村主任 13019652964 王海涛 村主任 13019652964 邵国振 副书记 13624133248 4 10 新抚区 荒地河 千金河 13 唐力段 李胜会 村主任 13941364160 李胜会 村主任 13941364160 李胜会 主任 13941364160 14 新抚区 张璐 区委常委、 副区长 13841333998 姜臣 农业农村局局 长 18524130009 刘庚申 应急局局长 18904930000 千金乡 石宏伟 副乡长 15242377717 石宏伟 副乡长 15242377717 石宏伟 副乡长 15242377717 16 郎士段 吴显丰 村主任 13700130211 吴显丰 村主任 13700130211 康学文 副主任 13081317519 17 高家段 刘永亮 村主任 15941378872 刘永亮 村主任 15941378872 祝金龙 副书记 17127686678 18 新抚区 韩旭 副区长 18641330200 姜臣 农业农村局局 长 18524130009 刘庚申 应急局局长 18904930000 19 站前街道 历晓龙 主任 15904134155 王强 副主任 15242321955 历晓龙 主任 15904134155 20 元雪社区段 吴丹 社区书记 13104137051 吴丹 社区书记 13104137051 吴丹 社区书记 13104137051 21 联通社区段 李瑞娜 社区书记 18641315710 李瑞娜 社区书记 18641315710 李瑞娜 社区书记 18641315710 22 万达社区段 安然 社区书记 15841321270 安然 社区书记 15841321270 安然 社区书记 15841321270 23 福民街道 赵鹏 主任 13470556122 郝金岭 副主任 15641352696 赵鹏 主任 13470556122 24 千抚社区段 丁郁娟 社区书记 15841313919 丁郁娟 社区书记 15841313919 丁郁娟 社区书记 15841313919 25 星月社区段 李俊峰 社区书记 15541368887 李俊峰 社区书记 15541368887 李俊峰 社区书记 15541368887 26 园丁社区段 崔壮 社区书记 13009254842 崔壮 社区书记 13009254842 崔壮 社区书记 13009254842 27 福民路社区段 王霞 社区书记 15642000345 王霞 社区书记 15642000345 王霞 社区书记 15642000345 28 永安台街道 李旭 主任 15041368080 李泽明 副主任 18641365333 李旭 主任 15041368080 友谊社区 李伟 社区书记 19904131089 李伟 社区书记 19904131089 李伟 社区书记 19904131089 30 新抚街道段 刘艳 主任 18941380133 孙士营 副主任 13942350295 刘艳 主任 18941380133 31 新顺段 刘雅梅 社区书记 13130310151 刘雅梅 社区书记 13130310151 刘雅梅 社区书记 13130310151 32 安居段 侯丽娟 社区书记 15041339069 侯丽娟 社区书记 15041339069 侯丽娟 社区书记 15041339069 33 双桥段 孟金花 社区书记 13904131338 孟金花 社区书记 13904131338 孟金花 社区书记 13904131338 34 榆林街道 王若飞 主任 13700130984 于海洋 副主任 18641319333 王若飞 主任 13700130984 35 浑河(万新社区 段) 浑河(新东社区 段) 浑河(榆林路社 区段) 浑河(水源社区 段) 凤 社区书记 13842354071 申 凤 社区书记 13842354071 申 凤 社区书记 13842354071 史一辰 社区书记 18641319596 史一辰 社区书记 18641319596 史一辰 社区书记 18641319596 赵 晴 社区书记 13591566733 赵 晴 社区书记 13591566733 赵 晴 社区书记 13591566733 霍 炎 社区书记 13898334828 霍 炎 社区书记 13898334828 霍 炎 社区书记 13898334828 15 郎士河 29 36 37 38 浑河 申 浑河(华龙社区 段) 浑河(凤翔社区 段) 李薇薇 社区书记 13904139377 李薇薇 社区书记 13904139377 李薇薇 社区书记 13904139377 侯 莹 社区书记 18940388711 侯 社区书记 18940388711 侯 莹 社区书记 18940388711 新抚区 田野 副区长 15841318182 姜臣 农业农村局局 长 18524130009 刘庚申 应急局局长 18904930000 榆林街道 王若飞 主任 13700130984 于海洋 副主任 18641319333 王若飞 主任 13700130984 张 强 村书记 13394237000 张 强 村书记 13394237000 张 强 村书记 13394237000 兰仁慧 村书记 18841342959 兰仁慧 村书记 18841342959 兰仁慧 村书记 18841342959 新抚区 李春明 副区长 15842311999 姜臣 农业农村局局 长 18524130009 刘庚申 应急局局长 18904930000 新抚街道段 刘艳 主任 18941380133 孙士营 副主任 13942350295 刘艳 主任 18941380133 47 大官段 王亚龙 社区书记 13009261381 王亚龙 社区书记 13009261381 王亚龙 社区书记 13009261381 48 新抚区 庞茂林 13804137577 姜臣 农业农村局局 长 18524130009 刘庚申 应急局局长 18904930000 刘山街道 翟梓丞 胜利开发区 管委会常务 副主任 主任 15842355752 李娜 副主任 18841366621 翟梓丞 主任 15842355752 李静 社区书记 13500434969 李静 社区书记 13500434969 李静 社区书记 13500434969 王密凤 社区书记 15841351430 王密凤 社区书记 15841351430 王密凤 社区书记 15841351430 文鲜亮 社区书记 15040832682 文鲜亮 社区书记 15040832682 文鲜亮 社区书记 15040832682 李秀杰 社区书记 13841358892 李秀杰 社区书记 13841358892 李秀杰 社区书记 13841358892 殷海媛 社区书记 13130332332 殷海媛 社区书记 13130332332 殷海媛 社区书记 13130332332 贾莉 社区书记 13700138608 贾莉 社区书记 13700138608 贾莉 社区书记 13700138608 农业农村局局 长 13898323399 岳增波 应急局局长 13324234777 冯英锴 副主任 15504131957 许辉 主任 13841380058 聂立鑫 社区书记 聂立鑫 社区书记 39 40 41 42 海新河 43 44 45 46 49 50 51 52 53 54 古城子河 榆林河-海新河 段(万新村段) 榆林河-海新河 段(榆林村段) 杨柏人工河湖边 社区段 杨柏人工河三利 社区段 杨柏人工河 杨柏人工河蝴蝶 楼社区段 杨柏人工河欣洲 社区段 刘山河新刘山社 区段 刘山河盛地社区 段 莹 望花区 1 古城子河 望花区 张泰 区长 15668561931 李鹏威 顺城区 1 将军段 许辉 主任 2 工行社区 聂立鑫 社区书记 3 环卫社区 马艳 社区书记 15841375809 马艳 社区书记 15841375809 马艳 社区书记 15841375809 4 长春 王琳 主任 13500433063 康超 副主任 17741320111 王琳 主任 13500433063 弘升社区 刘伟 社区书记 13942304795 刘伟 社区书记 13942304795 刘伟 社区书记 13942304795 5 浑河 13841380058 15841355935 15841355935 15841355935 6 华南社区 李静 社区书记 15941367036 李静 社区书记 15941367036 李静 社区书记 15941367036 7 西戈段 房桂芝 书记 18241301397 李衍明 委员 13804938178 李庆涛 委员 13019661239 8 顺城区前甸镇 康健 镇长 13624133999 王浩 林水站长 13066661203 康健 镇长 13624133999 9 临江社区 于兴民 街道主任 13842317791 李连山 城管科科长 13898343188 王姝 社区书记 13841381951 10 将军 许辉 主任 13841380058 冯英锴 副主任 15504131957 许辉 主任 13841380058 11 亦工社区 田静 社区书记 15040806633 田静 社区书记 15040806633 田静 社区书记 15040806633 顺达社区 李龙秋 社区书记 15841355973 李龙秋 社区书记 15841355973 李龙秋 社区书记 15841355973 远方社区 马文龙 社区书记 18642348576 马文龙 社区书记 18642348576 马文龙 社区书记 18642348576 14 北山社区 王艳华 社区书记 15841375856 王艳华 社区书记 15841375856 王艳华 社区书记 15841375856 15 远洋城社区 白秀丽 社区书记 13504134575 白秀丽 社区书记 13504134575 白秀丽 社区书记 13504134575 16 长春街道 王琳 主任 13500433063 王琳 主任 13500433063 王琳 主任 13500433063 上头村 王峰 村书记 15641360423 王峰 村书记 15641360423 王峰 村书记 15641360423 18 台山村 王海洋 村书记 13942358158 王海洋 村书记 13942358158 王海洋 村书记 13942358158 19 长春街道 王琳 主任 13500433063 王琳 主任 13500433063 王琳 主任 13500433063 20 银川社区 郭玉梅 社区书记 13842336088 郭玉梅 社区书记 13842336088 郭玉梅 社区书记 13842336088 21 兰桥社区 朱丹 社区书记 18642308662 朱丹 社区书记 18642308662 朱丹 社区书记 18642308662 22 东方社区 李洪华 社区书记 15842333366 李洪华 社区书记 15842333366 李洪华 社区书记 15842333366 23 顺福社区 佟艳 社区书记 15041308207 佟艳 社区书记 15041308207 佟艳 社区书记 15041308207 24 站东社区 王拥 社区书记 18642308699 王拥 社区书记 18642308699 王拥 社区书记 18642308699 25 顺大社区 魏忠军 社区书记 15842316058 魏忠军 社区书记 15842316058 魏忠军 社区书记 15842316058 26 弘升社区 刘伟 社区书记 13942304795 刘伟 社区书记 13942304795 刘伟 社区书记 13942304795 华南社区 李静 社区书记 15941367036 李静 社区书记 15941367036 李静 社区书记 15941367036 北关新村段 陈征 书记 15941313978 耿传增 委员 13941346963 金英善 委员 13842346657 29 四家子、房身段 韩友军 书记 13941313909 王福顺 主任 13941377907 于洋 委员 13464435020 30 黄旗段 何宝香 书记 15941383001 吴玉昌 主任 18241333303 张永新 委员 15842389857 31 龚家段 刘君 书记 13841300186 郭春龙 委员 15242356888 郑继学 委员 15241334441 32 砖台村段 曹永芳 村书记 13941366216 曹永芳 村书记 13941366216 曹永芳 村书记 13941366216 33 会元村段 张志伟 村主任 13941309977 张志伟 村主任 13941309977 张志伟 村主任 13941309977 34 兴安村段 张帅 村主任 13154236999 张帅 村主任 13154236999 张帅 村主任 13154236999 35 马金村段 孙立 村书记 13942358742 孙立 村书记 13942358742 孙立 村书记 13942358742 36 高山社区 于兴民 街道主任 13842317791 李连山 城管科科长 13898343188 李娜 社区书记 18241373873 长春 王琳 主任 13500433063 王琳 主任 13500433063 王琳 主任 13500433063 三家子、中二、 靠山、鲍家 大柳 康健 镇长 13624133999 李铁军 政法委员 15904135285 郭建如 副镇长 13842390361 佟旭功 村书记 13504238033 佟旭功 村书记 13504238033 佟旭功 村书记 13504238033 40 靠山村 刘丽荣 村书记 13081341380 刘丽荣 村书记 13081341380 刘丽荣 村书记 13081341380 41 鲍家村 贾丹 村书记 13841333168 贾丹 村书记 13841333168 贾丹 村书记 13841333168 42 连岛段 李广奎 书记 15042368166 何洪义 主任 15898323980 王 委员 15941317829 12 13 17 27 28 37 将军河 詹家河 抚西河 施家河 38 39 鲍家河 绪 43 河里仁段 王郭计 书记 15042382828 崔玉滨 主任 15134134146 王郭计 书记 15042382828 44 方晓段 蒋桂英 书记 13941395158 刘红 主任 15841331777 胡波 委员 13942345873 孤家子段 英连华 书记 1571336796 陶雅兰 主任 13591548138 陶成孝 委员 13842317448 46 马前村段 张湘江 村书记 15042350860 张湘江 村书记 15042350860 张湘江 村书记 15042350860 47 金花村段 王旭 村主任 13130338131 王旭 村主任 13130338131 王旭 村主任 13130338131 48 黄金村段 吕秉红 村主任 15898395666 吕秉红 村主任 15898395666 吕秉红 村主任 15898395666 尹传喜 书记 15841352759 唐庆山 主任 15668516666 马建军 委员 13591543372 中二村 佟常奎 村书记 13941343477 佟常奎 村书记 13941343477 佟常奎 村书记 13941343477 李其村 费成龙 村书记 15241303999 费成龙 村书记 15241303999 费成龙 村书记 15241303999 大道 金成哲 村书记 13304238329 金成哲 村书记 13304238329 金成哲 村书记 13304238329 45 莲岛河 49 英石河 50 中二河 51 52 李其河 英石河段 53 两家子河 三家子村 葛志刚 村书记 15898328777 葛志刚 村书记 15898328777 葛志刚 村书记 15898328777 54 门进河 门进村 佟恒越 村书记 13591558839 佟恒越 村书记 13591558839 佟恒越 村书记 13591558839 55 关岭河 关岭村 王 凯 村书记 15242718088 王 凯 村书记 15242718088 王 凯 村书记 15242718088 56 前甸河 前甸村 周新满 村书记 13700139137 周新满 村书记 13700139137 周新满 村书记 13700139137 57 小碾盘河 全段 吕秉红 村主任 15898395666 吕秉红 村主任 15898395666 吕秉红 村主任 15898395666 58 三道河 全段 柏长利 村主任 13514137275 柏长利 村主任 13514137275 柏长利 村主任 13514137275 59 孤家子河 康乐河 刘鑫 村主任 15042383883 刘鑫 村主任 15042383883 刘鑫 村主任 15042383883 60 康乐河 全段 刘鑫 村主任 15042383883 刘鑫 村主任 15042383883 刘鑫 村主任 15042383883 61 葛布街道 王野 副主任 13514130977 王野 副主任 13514130977 王野 副主任 13514130977 62 远航社区 刘尚俊 社区书记 13050114255 刘尚俊 社区书记 13050114255 刘尚俊 社区书记 13050114255 63 商业社区 夏红 社区书记 15041345224 夏红 社区书记 15041345224 夏红 社区书记 15041345224 后葛南社区 蒋伶 社区书记 15041344366 蒋伶 社区书记 15041344366 蒋伶 社区书记 15041344366 65 后葛北社区 申丽丽 社区书记 13942335671 申丽丽 社区书记 13942335671 申丽丽 社区书记 13942335671 66 北街社区 孙雅丽 社区书记 13050186103 孙雅丽 社区书记 13050186103 孙雅丽 社区书记 13050186103 67 南街社区 周翠娟 社区书记 13224135499 周翠娟 社区书记 13224135499 周翠娟 社区书记 13224135499 葛布街道 王野 副主任 13514130977 王野 副主任 13514130977 王野 副主任 13514130977 新地社区 吴凤云 社区书记 15241309105 吴凤云 社区书记 15241309105 吴凤云 社区书记 15241309105 64 68 69 葛布西河 葛布东河 表3: 水库防汛责任人签名表 序号 水库 名称 水库类型 (按库容划 分) 行政 责任人 职 务 联系电话 技术 责任人 职 务 联系电话 巡查 责任人 职 务 联系电话 1 关山水库 中型 蒲信子 副市级领导 干部 13842355767 刘弋 局长 13904138588 谷志勇 董事长 13841361888 清原县 水库管理所副所 13904930343 长 水库管理所所长 13904935992 1 小孤家水库 中型 杜渐 副县长 18641363666 孙学军 副局长 13942307266 叶岩 2 后楼水库 中型 杜渐 副县长 18641363666 张同军 副主任 13904935992 张银良 3 红河水库 中型 杜渐 副县长 18641363666 孙学军 副局长 13942307266 靳忠义 技术员 15842339797 4 英额门 东砬门 敖家堡 于家堡水库 大苏河 南天门水库 南口前 海阳 湾甸子 小(一) 汪加欢 副县长 13842380707 纪世业 副所长 13904231752 刘士忠 技术员 15841382359 小(一) 杜渐 副县长 18641363666 付海波 水利站负责人 15141336908 郭永军 库管员 15242357860 小(一) 杜渐 副县长 18641363666 张玉强 水利站负责人 18241389888 王远峰 库管员 18841310369 小(一) 杜渐 副县长 18641363666 张林林 水利站负责人 15841360456 王 龙 库管员 13942319628 小(一) 杜渐 副县长 18641363666 张艳玲 18940377133 巩维东 库管员 18241329513 小(一) 汪加欢 副县长 13842380707 高永强 水利站负责人 13304130112 穆保霖 库管员 15724686888 小(一) 汪加欢 副县长 13842380707 高永强 水利站负责人 13304130112 孙大伟 库管员 13238138910 小(一) 汪加欢 副县长 13842380707 王忠利 水利站负责人 15104138678 刘兆瑜 库管员 18242342268 小(一) 闫军 副县长 15941316888 张冲 水利站负责人 13470593008 矫震 库管员 13942393682 小(一) 闫军 副县长 15941316888 牟兴龙 水利站负责人 13204132764 王立洲 库管员 13842303594 小(一) 闫军 副县长 15941316888 牟兴龙 水利站负责人 13204132764 马喜波 库管员 13842303476 小(一) 汪加欢 副县长 13842380707 纪世业 13904231752 刘士忠 技术员 15841382359 小(二) 董加春 人大主席 13504132055 高永强 水利站负责人 13304130112 乔玉茂 库管员 15041368661 小(二) 董加春 人大主席 13504132055 高永强 水利站负责人 13304130112 颜丙志 库管员 13470527126 小(二) 王强 武装部长 13898301988 于青良 13904239973 于清斌 库管员 15842377600 小(二) 李宝国 调研员 13941312406 高永强 水利站负责人 13304130112 王云龙 库管员 13941360217 小(二) 张 永 副镇长 13238138878 金星 水利员 13238138876 任志刚 库管员 13204252828 小(二) 高 明 组织委员 17614230403 金星 水利员 13238138876 郭启伟 库管员 15134111287 小(二) 邵荣强 副书记 18604236001 金星 水利员 13238138876 周丹 库管员 13314134549 5 6 7 8 9 10 11 12 13 14 15 16 17 18 19 20 21 22 二道沟水库 草市 刘大房水库 草市 赵家街水库 南山城 前秧水库 土口子 北大沟 大孤家 王大堡 大孤家 水库 大甘河 水库 金家水库 草市 上甸子水库 草市 富丰屯水库 英额门 转湘湖 草市 六队水库 草市 二洼水库 草市 小城子水库 草市 东岗水库 水利员 副所长 村书记 23 24 25 26 27 28 29 30 31 32 33 34 35 36 37 38 39 40 41 42 43 44 45 46 47 48 草市 大窝棚水库 草市 粘泥岭水库 草市 大板河水库 草市 小板河水库 草市 双井沟水库 草市 甘井沟水库 草市 太平沟水库 草市 王油房水库 北三家 黑石木水库 南山城 黑河水库 南山城 蚂蚁沟水库 南山城 康家街水库 南山城 大泉眼水库 南山城 三道河水库 南山城 胜利水库 南山城 二道河水库 南山城 中堡水库 南山城 上堡水库 南山城 下堡水库 南山城 甘井子水库 土口子 柴家店 土口子 吴家沟 土口子 哈家沟 湾甸子 砍椽沟水库 夏家堡 腰岭沟水库 夏家堡 安家沟水库 小(二) 金晓燕 副镇长 15242306677 金星 水利员 13238138876 陈秀金 库管员 13904238893 小(二) 赵 军 中心主任 18241334477 金星 水利员 13238138876 徐文杰 库管员 15141379399 小(二) 王亚南 副镇长 18241310606 张学义 水利员 13942370581 徐闯 库管员 15041371209 小(二) 王亚南 副镇长 18241310606 张学义 水利员 13942370581 苏 永 库管员 13942316775 小(二) 王亚南 副镇长 18241310606 张学义 水利员 13942370581 王玉良 库管员 18241374508 小(二) 王亚南 副镇长 18241310606 张学义 水利员 13942370581 王忠臣 库管员 15842374756 小(二) 王成龙 武装部长 13941300451 张学义 水利员 13942370581 孙文 库管员 13804002788 小(二) 王成龙 武装部长 13941300451 张学义 水利员 13942370581 张利君 库管员 15242311176 小(二) 丁聪 镇长 15898346015 刘笑飞 水利站长 13904231075 孟子龙 库管员 15566433363 小(二) 刘静涛 副镇长 13942362598 徐勤忠 水利员 13030706778 王玉斌 库管员 13942370427 小(二) 刘静涛 副镇长 13942362598 徐勤忠 水利员 13030706778 任国峰 库管员 15668529518 小(二) 刘静涛 副镇长 13942362598 徐勤忠 水利员 13030706778 洪德发 库管员 13614237289 小(二) 宋延鸿 副书记 18642334501 郑德旭 水利员 15641368253 李德全 库管员 15241312971 小(二) 康顺 副镇长 13842378801 郑德旭 水利员 15641368253 俞志春 库管员 13591565828 小(二) 康顺 副镇长 13842378801 左同荣 水利员 18241329809 朱崇祥 库管员 13941380767 小(二) 康顺 副镇长 13842378801 左同荣 水利员 18241329809 宁绍斌 库管员 15242319231 小(二) 周常红 副镇长 13942303068 解双喜 水利员 13842373178 黄海川 库管员 15898305906 小(二) 周常红 副镇长 13942303068 解双喜 水利员 13842373178 周立新 库管员 18341348012 小(二) 周常红 副镇长 13942303068 解双喜 水利员 13842373178 刘建国 库管员 13470517071 小(二) 宋延鸿 副书记 18642334501 解双喜 水利员 13842373178 武昌盛 库管员 13942398548 小(二) 解志强 副书记 13904233291 周风云 统战委员 15898346085 吕然 库管员 13614239222 小(二) 王玉坤 副乡长 13941384686 刘杰 林业站员 18004932585 李志刚 库管员 13842377862 小(二) 徐德新 副乡长 15842392567 杨连才 水利站员 13842371955 李志勇 库管员 13942330912 小(二) 王 刚 副镇长 15941349066 肖云海 水利站负责人 13941308920 张兴伟 库管员 13904232706 小(二) 郁霞 副镇长 13941374561 刘福坤 水利站站员 18041311521 刘德福 库管员 15842360130 小(二) 林长青 武装部长 15898379009 单宝玲 水利站站员 15504136108 程庆波 库管员 15941331230 夏家堡 天桥水库 大孤家 放牛沟 大孤家 水库 罗圈沟 大孤家 水库 一面山 水库 小(二) 王道林 副镇长 13470511246 雷永东 水利站站员 13614231863 韩振刚 库管员 15941333602 小(二) 郭伟 人大 主席 13514131248 王晓丹 13842027427 朱纯生 库管员 15141381408 小(二) 赵琨 副镇长 13942302886 王晓丹 水利站 站员 水利站 站员 13842027427 孙振生 库管员 15941367507 小(二) 赵新宇 副镇长 15840833888 刘英民 水利站员 13941371696 王登攀 库管员 13942395057 1 腰 堡 中型 王晓影 常务副县长 13842385333 黄业辉 徐玉环 党委书记 18642350508 2 前 安 小(一) 王晓影 常务副县长 13842385333 黄琳娜 水利事物服务 13841349334 中心副主任 水利站长 13704931533 关锋 镇长 13941350527 水利事物服务 13941338871 中心职员 水利站长 13841378658 田成岩 党委书记 13324132000 吴庆鹏 镇长 18641313123 13841378658 朱志远 副镇长 18641335553 水利事物服务 13941337897 中心职员 水利站 长 13941387538 张英泽 党委书记 18641384333 李子豪 镇长 15504130007 49 50 51 52 抚顺县 3 英 守 中型 张军 县委常委 13504135466 刘放 4 官 山 小(一) 张军 县委常委 13504135466 季荣权 5 通 士 小(二) 朱志远 副镇长 18641335553 季荣权 6 虎 台 小(一) 姚世军 副县长 13940402006 高鹏 7 通 什 小(二) 李子豪 镇长 15504130007 张 闯 8 大西沟 小(二) 夏晖 副镇长 18641377000 张振波 水利员 13842391030 夏 晖 副镇长 18641377000 9 洋 湖 小(一) 孙洪文 副县长 18642378999 肖春辉 水利站长 13842390855 佟军 库管员 13804132215 10 油 房 小(二) 尹红家 镇长 18841359898 肖春辉 水利站长 13842390855 祁文栋 库管员 13841396289 11 眼 望 小(一) 姚世军 副县长 13940402006 赵耀海 水利站长 18642349551 刘祥宝 党委书记 18642380357 12 夏 家 小(一) 姚世军 副县长 13940402006 崔明佳 水利站员 13030715763 刘凯 乡长 18642340123 13 草 盆 小(一) 王晓影 常务副县长 13842385333 杨树明 水利站长 15895379599 李舒君 乡长 18841350189 14 东 沟 小(一) 王晓影 常务副县长 13842385333 杨树明 水利站长 15895379599 赵东方 党委书记 18642350773 15 康 大 小(一) 张军 县委常委 13504135466 李国维 水利站长 13904133418 徐铁骥 乡长 18242331877 16 豆子沟 小(二) 曹飞 党委委员 15898378610 朱永艳 水利站员 18624235717 曹飞 党委委员 15898378610 17 花红沟 小(二) 肖英俊 副乡长 13942388569 张振生 水利站员 15040840858 肖英俊 副乡长 13942388569 18 房 申 小(二) 姚巍 副乡长 18624235955 卜凡 水利站员 15041392469 姚巍 副乡长 18624235955 19 三块石 小(一) 孙洪文 副县长 18642378999 马祥文 水利站长 13941316626 王大纲 乡长 13941355880 水利站长 新宾县 1 红升水库 中型 李有功 副县长 13322129969 郭 鹏 副局长 13942321258 王铁虎 经 理 13470599440 2 夹河北水库 小(I) 李有功 副县长 13322129969 郝松国 经理 15242386788 郝 鑫 库管员 15841371068 3 六道水库 小(I) 李有功 副县长 13322129969 陈大伟 站长 13841351771 孙 刚 库管员 13842318100 4 火石水库 小(I) 李有功 副县长 13322129969 陈大伟 站长 13841351771 杜俊财 库管员 13804932237 5 查家水库 小(I) 李有功 副县长 13322129969 张宏扬 站长 13804931699 周延平 库管员 15242323371 6 砬咀水库 小(I) 孟庆光 13504231231 金 辉 站员 13841313545 王兴跃 库管员 13941395761 7 莫家沟水库 小(I) 孟庆光 县委常委、 副县长 县委常委、 13504231231 金 辉 站员 13841313545 梁永刚 库管员 13941399433 副县长 县委常委、 副县长 县委常委、 13504231231 隗 野 站长 13941317779 匡庆权 库管员 13841370226 13504231231 刘秀萍 站员 13804237133 关成良 库管员 13941301926 副县长 县委常委、 副县长 县委常委、 13504231231 刘秀萍 站员 13804237133 张秋宝 库管员 13604132225 13504231231 孙 站员 13842332577 贾红升 库管员 13804939433 8 李家水库 小(I) 孟庆光 9 林子头水库 小(I) 孟庆光 10 大块地水库 小(I) 孟庆光 11 头道砬子水库 小(I) 孟庆光 副县长 炜 12 白家水库 小(I) 孟庆光 13 皇寺水库 小(I) 孟庆光 14 龙头水库 小(I) 孟庆光 15 红石水库 小(I) 孟庆光 16 得胜水库 小(I) 孟庆光 17 徐大沟水库 小(I) 程佩林 县委常委、 副县长 县委常委、 13504231231 刘亚军 站长 13941350693 姜延峰 库管员 13841390339 13504231231 孙洪彬 站员 15898325809 蒋喜军 库管员 13704137435 副县长 县委常委、 副县长 县委常委、 13504231231 刘亚军 站长 13941350693 高荣波 库管员 13804930980 13504231231 夏春忠 站长 13704932081 程 勇 库管员 13942383791 副县长 县委常委、 副县长 县委常委、 13504231231 衣洪波 站长 15898320277 陈秀光 库管员 13841312895 13394130066 赵景伟 站长 13941317966 所友德 库管员 15040816711 13394130066 王德臣 站长 13842370218 何忠君 库管员 15841363367 13942372001 杨月娥 站员 15242378906 黄春文 库管员 13470515623 18 关门砬子水库 小(I) 程佩林 19 刘家水库 小(Ⅱ) 赵维海 副县长 县委常委、 副县长 镇长 20 尹家水库 小(Ⅱ) 赵维海 镇长 13942372001 隗 野 站长 13941317779 吴金伟 库管员 15041334679 21 红旗沟水库 小(Ⅱ) 赵维海 镇长 13942372001 隗 野 站长 13941317779 张 建 库管员 15841373933 22 瓦子沟水库 小(Ⅱ) 赵伟 书记 13504233916 孙洪彬 站员 15898325809 沈海亮 库管员 15041301181 23 砬子沟水库 小(Ⅱ) 曲春雨 乡长 13941390968 崔明海 站员 13804930797 贾 财 库管员 13804137208 24 苇塘沟水库 小(Ⅱ) 赵景波 乡长 13841335522 张宏扬 站长 13804931699 张纯礼 库管员 15941314462 25 库仓沟水库 小(Ⅱ) 赵景波 乡长 13841335522 张宏扬 站长 13804931699 赵世波 库管员 15042363738 26 朝阳水库 小(Ⅱ) 赵景波 乡长 13841335522 张宏扬 站长 13804931699 陆长青 库管员 13842398177 27 三八水库 小(Ⅱ) 付桂香 镇长 15141389888 万 站长 13941317657 李光杰 库管员 13842394299 森 东洲区 1 黄金水库 小一型 张岳 章党镇镇长 13130345929 王绪刚 水利站长 13942313300 王强 水库库管员 13154233653 哈达镇党委 书记 哈达镇镇长 13842377735 王宝海 水利站长 18741306196 李强 库管员 13941322157 19804130606 王宝海 水利站长 18741306196 赵玉忠 库管员 13704936793 13384137988 赵玉文 水利站员 13704931766 张延东 库管员 15242314156 18642380027 孙国霞 水利站长 15141358896 王汝浩 库管员 13898316444 2 上年水库 小一 刘鹏飞 3 小寨子水库 小二 梁培禄 4 林家沟水库 小二 祁绍勇 5 兰山水库 小二 郭子豪 哈达镇副镇 长 兰山乡乡长 顺城区 1 台山水库 小(一)型 高树斌 副区长 13904132876 乔义君 副局长 13841363799 王海洋 村书记 13942358158 2 公家水库 小(一)型 王森林 区委常委 13500430055 乔义君 副局长 13841363799 葛志刚 村书记 15898328777 小(一)型 高岩 副区长 18642350525 乔义君 副局长 13841363799 礼少宇 主任 13942336822 3 上寺水库 4 上头水库 小(二)型 石秀颖 副镇长 13841378289 王浩 水利站长 13066661203 王峰 村书记 15641360423 5 太平水库 小(二)型 郭建如 副镇长 13842390361 王浩 水利站长 13066661203 葛志刚 村书记 15898328777 小(二)型 王学国 乡长 15841310047 赵刚 水利站负责人 13804236511 高崇 库管员 15141385999 6 龚家水库 表4: 农村水电站防汛责任人签名表 序号 市、 县 电站名 行政 称 责任人 职务 联系电话 电站法定 代表人 职务 联系电话 技术 责任人 职务 联系电话 巡查 责任人 职务 联系 电话 清原县 清原县 转水湖 朱 猛 副乡长 15841311113 宋培权 经理 13998270506 张玉强 水利站负 责人 18241389888 韩伟才 组长 15241313457 南山城 镇 前秧电站 康顺 副镇长 13842378801 王忠利 水利站负 责人 15104138678 徐勤忠 水利员 13030706778 解双喜 水利员 13842373178 清原县 金家电站 陈志强 副镇长 13104231199 纪世业 副所长 13904231752 石璟 工程师 15241320777 刘士忠 1 抚顺县 2 抚顺县 腰堡水库 电站 虎台水库 电站 1 2 3 15841382359 抚顺县 徐玉环 镇党委书记 18642350508 黄业辉 负责人 13841349334 黄业辉 负责人 13841349334 孙兴旺 报讯员 15141385609 张英泽 镇党委书记 18642350518 张闯 所长 13941387538 高鹏 水利事务 服务中心 部长 13941337897 赵鑫龙 库管员 13841354121 新宾县 1 2 3 4 5 6 7 10 抚顺市 新宾县 抚顺市 新宾县 抚顺市 新宾县 抚顺市 新宾县 抚顺市 新宾县 抚顺市 新宾县 抚顺市 新宾县 新宾满族 自治县红 新宾满族 升水力发 自治县旧 电有限公 新宾满族 门水力发 司 自治县弘 电有限公 新宾满族 官电站 司 自治县鑫 抚顺华尊 格泰电站 水能开发 华能辽宁 有限公司 清洁能源 胜利电站 辽宁穆家 有限责任 水库发电 公司苏子 有限责任 河水电厂 公司 王栋栋 红升乡人民 18104933369 政府 乡长 红升乡人民 王栋栋 18104933369 政府 乡长 盖斌 下夹河乡人 13842350016 民政府 乡 下夹河乡人 长 盖斌 13842350016 民政府 乡 长 涛冶 上夹河镇人 13941398222 民政府 镇 长 涛冶 上夹河镇人 13941398222 民政府 镇 长 涛冶 上夹河镇人 13941398222 民政府 镇 长 张志远 总经理 15841363977 张志远 总经理 15841363977 赵广彬 副经理 13804937529 郝松国 总经理 15242386788 郝松国 总经理 15242379399 赵鹏 监事 15242379399 李树田 法定代表 人 法定代表 人 18845955999 李树奎 站长 18604148696 王凤义 副站长 18341403233 18604041363 张晓均 站长 13190485380 朱文胜 副站长 13009225700 刘长财 总经理 13904147895 宗运泽 站长 13394433322 王波 副站长 13942413855 李忠 副总经理 13324067443 白皓 厂长 15844643678 李帥含 值长 18642032336 刘宏斌 执行董事 18841316548 孙建华 董事长 15904005999 刘宏斌 执行董事 18841316548 朱晔琦 农村水电站法定代表人职责: 1、农村水电站法定代表人应当服从防汛抗旱指挥机构以及水行政主管部门的统一调度、指挥; 2、电站法定代表人对电站的防洪工程安全负总责; 3、组织技术责任人编制防洪预案、抢险预案,同时负责各项抢险措施的落实; 4、落实防汛经费和防汛物资储备; 5、组织相关人员对电站防洪工程进行安全检查,并落实调度运用方案。 农村水电站法定代表人职责: 1、农村水电站法定代表人应当服从防汛抗旱指挥机构以及水行政主管部门的统一调度、指挥; 2、电站法定代表人对电站的防洪工程安全负总责; 3、组织技术责任人编制防洪预案、抢险预案,同时负责各项抢险措施的落实; 4、落实防汛经费和防汛物资储备; 5、组织相关人员对电站防洪工程进行安全检查,并落实调度运用方案。 表5: 城市防洪防汛责任人签名表 序号 城市 名称 行政 责任人 职 务 联系电话 技术 责任人 职 务 联系电话 抢险 责任人 职 务 联系电话 1 抚顺市 高键 市委副书记、市 长 13934404400 刘弋 水务局局长 13904138588 王端礼 应急局局长 13941390057 2 清原县 高峰 副县长 15304248888 牛清亮 副局长 15541379567 于峰 局长 18641360568 1 新宾满族自治县 李有功 副县长 13322129969 王宏新 副局长 13841301898 高忠 局长 13841337667 3 东洲区 赵效飞 区长 18940310033 陶峰 住房和建乡建设 局副局长 15541308599 王建华 应急局局长 15004130031 4 新抚区 苏丹 区长 13332120102 唐民昇 住建局局长 13704933025 刘庚申 应急局局长 18904930000 5 望花区 张泰 区长 15668561931 孙长海 住建局局长 15898315777 岳增波 应急局局长 13324234777 6 顺城区 赵永强 副区长 15041339333 李春贵 副局长 19841301968 王敏 应急局局长 18904936388 注:此表包括市县两级城市防洪责任人。 表6: 防御山洪泥石流责任人签名表 序号 地点 行政 责任人 抚顺市 高键 职 务 市长 联系电话 技术 责任人 职 务 联系电话 抢险 责任人 职 务 联系电话 13934404400 夏红军 自然 资源 局局长 13604131766 王端礼 应急局局长 13941390057 清原县 清原镇镇西村顺山子及燕家 沟西沟 清原镇五里庙屠宰后山及五 里庙小组后山 郑德仁 副镇长 13942395959 范世鹏 水利站长 13941352333 赵喜文 村书记、主任 15242716788 王健 副书记 15041379696 金有恒 水利站员 15842364677 聂森波 社区书记、主任 13904931655 3 清原镇镇东五里庙北山崩塌 汤飞鸿 宣传委员 13904939577 金有恒 水利站员 15842364677 任宝福 村书记、主任 13941397968 4 清原镇镇东北山果园滑坡 汤飞鸿 宣传委员 13904939577 金有恒 水利站员 15842364677 任宝福 村书记、主任 13941397968 5 清原镇铁北社区红毛沟及棚 改二期后山 任波 人大主席 13842393173 金有恒 水利站员 15842364677 李冠丽 社区书记、主任 13591565955 6 清原镇中寨子团山南侧滑坡 于潜 组织委员 15668565628 范世鹏 水利站长 13941352333 王斌 村书记、主任 13898102026 7 清原镇吴家沟天桥沟滑坡 王健 副书记 15041379696 金有恒 水利站员 15842364677 韩丽霞 村书记、主任 15141328782 8 清原镇吴家沟一组、三组 王健 副书记 15041379696 金有恒 水利站员 15842364677 韩丽霞 村书记、主任 15141328782 9 清原镇腰站帽山公路崩塌 李国梁 副镇长 13904239523 金有恒 水利站员 15842364677 王大维 村书记、主任 13470529112 10 清原镇腰站长岭子公路崩塌 李国梁 副镇长 13904239523 金有恒 水利站员 15842364677 王大维 村书记、主任 13470529112 11 清原镇腰站村南排子组高春 岭家后山 李国梁 副镇长 13904239523 金有恒 水利站员 15842364677 王大维 村书记、主任 13470529112 12 清原镇长山堡南沟滑坡 李国梁 副镇长 13904239523 金有恒 水利站员 15842364677 李治才 村书记、主任 15134116999 13 清原镇长山堡孟旗沟向阳坑 口交叉处泥石流 清原镇长山堡地子沟北公路 崩塌 李国梁 副镇长 13904239523 金有恒 水利站员 15842364677 李治才 村书记、主任 15134116999 李国梁 副镇长 13904239523 金有恒 水利站员 15842364677 李治才 村书记、主任 15134116999 15 清原镇椴木沟七间房滑坡 任波 人大主席 13842393173 金有恒 水利站员 15842364677 舒丽华 村书记、主任 13841302832 16 清原镇椴木沟村小孤家组刘 家岗 清原镇猴石沟长七线猴石沟 段及小猴线猴石沟段(后窝 清原镇阿尔当金家沟公路崩 堡) 塌 任波 人大主席 13842393173 金有恒 水利站员 15842364677 舒丽华 村书记、主任 13841302832 常旭 武装部长 15941335575 金有恒 水利站员 15842364677 于祥才 村书记、主任 15241314990 丁家鹏 副镇长 13394234139 范世鹏 水利站长 13941352333 杨宝秋 村书记、主任 13842375161 1 2 14 17 18 清原镇阿尔当西大坎公路滑 坡 清原镇马前寨大沙沟武警西 山滑坡及高架桥东侧道北 清原镇站前街石灰石矿火药 库沟及车站西侧后沟车站后 清原镇四道河村进村路口小 泥坑(南台子) 路旁及九道河组、八股六组 清原镇新立屯村陡岭沟组( 组路)及双全组老庞家房后 英额门 虎脸子 英额门 砬子前双榆树北侧 英额门 砬子后后山 丁家鹏 副镇长 13394234139 范世鹏 水利站长 13941352333 杨宝秋 村书记、主任 13842375161 赵飞 副镇长 15134111761 范世鹏 水利站长 13941352333 姜鹤 村书记、主任 13500432468 任波 人大主席 13842393173 范世鹏 水利站长 13941352333 于晶 社区书记、主任 15898357788 赵飞 副镇长 15134111761 范世鹏 水利站长 13941352333 刘毅 村书记、主任 13898331832 丁家鹏 副镇长 13394234139 范世鹏 水利站长 13941352333 杨大勇 村书记、主任 13842371810 李文友 村书记 13942311908 李文友 村书记 13942311908 明杨 民兵连长 14704137878 单长文 村书记 18242398090 单长文 村书记 18242398090 王保国 民兵连长 15842370169 单长文 村书记 18242398090 单长文 村书记 18242398090 王保国 民兵连长 15842370169 27 草市镇 张永 副镇长 13238138878 高永强 负责人 13304130112 王成龙 武装部长 13941300451 28 枸乃甸乡 筐子沟村草庙子组 张 玲 副乡长 18041310125 刘立书 15898346096 刘立书 村书记、主任 15898346096 29 敖家堡乡 吴德财 乡政府副 乡长 13941302223 孙志凯 村书记、主 任 自然资源负 责人 13941349679 夏云琦 乡武装部长 13904938865 30 北三家 西堡 北三家 李家堡村大放牛沟西山 北三家 西大林村上二道路边 北三家 西大林村姜家坟沟 北三家 西大林村四道沟 北三家 西大林村季季沟 北三家 西大林村下大地下地 北三家 西大林村干沟门 北三家 西大林村尖山沟门 北三家 西大林村上二道沟林场果园 北三家 沟门 西大林村砬子沟 北三家 西大林村东偏道 北三家 树基沟村树基沟 北三家 树基沟村土窝棚 吴琼 宣传委员 15041348881 赵永刚 民兵连长 13904936120 那丽 村书记 15042352886 刘艳秋 党委委员 15041364488 刘欣铖 民兵连长 13842360246 韩春阳 村书记 15941341637 吴 迪 副书记 13470511855 孟繁成 民兵连长 15668576907 孟令国 村书记 13372847272 吴 迪 副书记 13470511855 孟繁成 民兵连长 15668576907 孟令国 村书记 13372847272 吴 迪 副书记 13470511855 孟繁成 民兵连长 15668576907 孟令国 村书记 13372847272 吴 迪 副书记 13470511855 孟繁成 民兵连长 15668576907 孟令国 村书记 13372847272 吴 迪 副书记 13470511855 孟繁成 民兵连长 15668576907 孟令国 村书记 13372847272 吴 迪 副书记 13470511855 孟繁成 民兵连长 15668576907 孟令国 村书记 13372847272 吴 迪 副书记 13470511855 孟繁成 民兵连长 15668576907 孟令国 村书记 13372847272 吴 迪 副书记 13470511855 孟繁成 民兵连长 15668576907 孟令国 村书记 13372847272 吴 迪 副书记 13470511855 孟繁成 民兵连长 15668576907 孟令国 村书记 13372847272 吴 迪 副书记 13470511855 孟繁成 民兵连长 15668576907 孟令国 村书记 13372847272 吕绍明 副镇长 13942391693 石宝国 村书记 13842373279 石宝国 村书记 13842373279 吕绍明 副镇长 13942391693 石宝国 村书记 13842373279 石宝国 村书记 13842373279 19 20 21 22 23 24 25 26 31 32 33 34 35 36 37 38 39 40 41 42 43 44 45 46 47 48 49 50 北三家 肖家堡村草甸组金维仁家房 北三家 后 肖家堡村二组后小沟 北三家 肖家堡村三组姚明臣房后 北三家 肖家堡村五组井转弯道 北三家 肖家堡村杨坟沟 北三家 肖家堡村石人沟 北三家 下寨子村东三道沟 史 平 副镇长 13050112966 赵景伟 民兵连长 13941332701 孙军 村书记 13898331178 史 平 副镇长 13050112966 赵景伟 民兵连长 13941332701 孙军 村书记 13898331178 史 平 副镇长 13050112966 赵景伟 民兵连长 13941332701 孙军 村书记 13898331178 史 平 副镇长 13050112966 赵景伟 民兵连长 13941332701 孙军 村书记 13898331178 史 平 副镇长 13050112966 赵景伟 民兵连长 13941332701 孙军 村书记 13898331178 史 平 副镇长 13050112966 赵景伟 民兵连长 13941332701 孙军 村书记 13898331178 孟 彤 副 镇 长 13842368655 温超 民兵连长 13188298949 温超 村书记 13188298949 51 上菸沟村刘志福家后山 韩继明 人大主席 13904238122 王洪光 民兵连长 15134111088 杨秀清 村书记 15904138152 52 北三家 李德才东山 北三家 黑石木村西街后山 北三家 黑石木西街 大苏河 和庆 韩继明 人大主席 13904238122 王洪光 民兵连长 15134111088 杨秀清 村书记 15904138152 周春丽 政法委员 13904233633 吕维丰 民兵连长 15041319077 王英俊 村书记 13470512678 周春丽 政法委员 13904233633 吕维丰 民兵连长 15041319077 王英俊 村书记 13470512678 王春光 武装部长 13942389598 宋爱国 水管员 15841382502 彭广庆 村书记 15941365312 56 大苏河 吕树伟 副乡长 18641314119 安学斌 水管员 13942348063 毛景栋 村书记 13842361492 57 小苏河 万 明 党委副书 记 18341322999 周新东 水管员 13470527185 李宝剑 村书记 15242362602 58 大苏河 南天门 大苏河 三十道河 大苏河 长沙 大苏河 大堡 大苏河 平岭后 大苏河 杨家店 大苏河 钓鱼台 李俊芝 副乡长 18642379177 杨景志 水管员 15042366265 朱永顺 村书记 15941368589 高 燕 党委委员 15541396181 陈晓明 水管员 15040824600 陈 旻 村书记 15041313187 柳金双 政法委员 13842372110 刘志发 水管员 15841362528 杨国江 村书记 13364133999 金 姗 组织委员 15566084680 刘洪海 水管员 13904937598 周亮生 村书记 15842371986 韩铁夫 人大主席 15841366565 谭国华 水管员 15041379365 王 莉 村书记 15041370505 朱 猛 副乡长 15841311113 宋显仁 水管员 13704132436 宋余江 村书记 15898383777 郑诗祺 宣传委员 15141323337 肖 浪 水管员 18241326448 张 洁 村书记 13470561087 65 红透山村 代玉峰 副镇长 13236959997 吴学义 水利负责人 15842361320 王振 村主任 13942314225 66 南口前 谭 峰 村书记 18641326099 聂大伟 18041320002 谭 峰 村书记 18641326099 67 南口前 南三家 南口前 白草甸 单井鑫 村书记 13941320568 聂大伟 18041320002 单井鑫 村书记 13941320568 张 村书记 15941362166 聂大伟 北三家国土 资源所所长 北三家国土 资源所所长 北三家国土 资源所所长 18041320002 张 村书记 15941362166 53 54 55 59 60 61 62 63 64 68 洋 洋 南口前 海 阳 南口前 高力屯 南口前 什排地 南口前 北口前 南口前 王家堡 南口前 十八道岭 南口前 向 阳 南口前 张家堡 南口前 暖泉子 南口前 康家堡 王 79 80 69 70 71 72 73 74 75 76 77 78 81 82 83 90 91 92 村书记 13082273666 18041320002 张忠文 村书记 13842369003 18041320002 胡 伟 村书记 15841360335 18041320002 焦维民 村书记 13841302459 18041320002 王建民 村书记 13942302270 18041320002 蔡 军 村书记 18941385598 18041320002 刘世海 村书记 13941347792 18041320002 刘海鹰 村书记 13942364239 18041320002 岳士民 村书记 13804236966 18041320002 孙 莉 村书记 13942302139 王忠利 负责人 15104138678 曲志 武装部长 13904930266 15898346085 焦岩 13898312233 吕鹏 村书记 13591539098 宣传委员 13904233631 王云飞 13841336066 周洪泽 村书记 1594133858 徐德新 副乡长 15842392567 张冲 经管站负责 人 卫健办负责 人 水利站负责 人 13470593008 乔仁江 村主任 13942395822 王微 武装部长 18241329899 仲维斗 交通负责人 15941327219 赵德友 村副书记 18004136700 李 镇 长 15898399693 肖云海 13941308920 宋 博 人大主席 13942351711 林长青 武装部长 15898379009 王太和 13942306599 马春雨 村书记 15842360576 崔洋 综治委员 13941309700 付 18241308844 周玉财 村书记 13130330226 孙振宇 人大主席 13204257555 王香国 水利站负责 人 综合执法负 责人 林业站负责 人 劳动保障负 责人 13125523777 刘芳 村书记 13204256699 陈志强 统战委员 13104231199 赵国瑞 农业站站员 13904238702 谭宗仁 村书记 15242341789 孙振宇 人大主席 13204257555 潘立新 农业站站员 13841332789 白景涛 村副书记 15041362966 崔洋 综治委员 13941309700 付 18241308844 周玉财 村书记 13130330226 冷艾格 宣传委员 13942316627 王守玲 13470580631 王宝富 村书记 13941303866 李鹏程 组织委员 13942312378 牟兴龙 林业站负责 人 退役军人负 责人 水利站负责 人 13204132764 冯宝刚 村书记 13904936401 张忠文 村书记 13842369003 聂大伟 胡 伟 村书记 15841360335 聂大伟 焦维民 村书记 13841302459 聂大伟 王建民 村书记 13942302270 聂大伟 蔡 军 村书记 18941385598 聂大伟 刘世海 村书记 13941347792 聂大伟 刘海鹰 村书记 13942364239 聂大伟 岳士民 村书记 13804236966 聂大伟 孙 莉 村书记 13942302139 聂大伟 南山城镇 康顺 副镇长 13842378801 土口子 柴家店后山 土口子 拐抹沟后山 土口子 石阳南台子后山 土口子 四合东山 周凤云 统战委员 范喜娇 夏家堡 北崴子后山 夏家堡 马家店铁矿尾矿坝 夏家堡 丁堡铁矿尾矿坝 夏家堡 荒沟硫化铁矿尾矿坝 夏家堡 新立屯锌矿尾矿坝 夏家堡 金窝棚岭铁矿尾矿坝 夏家堡 马家堡后山 大孤家 刘家沟村刘家沟屯 89 虎 聂大伟 85 88 王 13082273666 湾甸子镇 87 18041320002 村书记 84 86 北三家国土 资源所所长 北三家国土 资源所所长 北三家国土 资源所所长 北三家国土 资源所所长 北三家国土 资源所所长 北三家国土 资源所所长 北三家国土 资源所所长 北三家国土 资源所所长 北三家国土 资源所所长 北三家国土 资源所所长 虎 响 强 强 抚顺县 抚顺县汤图乡占贝村小黄沟 养牛场 苏彩秀 村书记主任 15832703111 王伦 技术负责 13842365402 县交通局 马祥武 13841323015 汤图乡庄稼村西围子13#后山 肇涛 村书记 13842305687 王伦 技术负责 13842365402 县交通局 马祥武 13841323015 抚顺县马圈子乡马圈子村松 树组 马玉东 村书记 13841391111 王伦 技术负责 13842365402 县交通局 李广成 18642341633 马圈子乡金斗村东沟组 崔庆文 村书记 13504236781 王伦 技术负责 13842365402 县交通局 李广成 18642341633 抚顺县马圈子乡草盆村北沟 李维国 村书记 13704933977 王伦 技术负责 13842365402 县交通局 李广成 18642341633 抚顺县后安镇彰党村 李宝林 村书记 13704134808 王伦 技术负责 13842365402 县交通局 孙恒坤 18642378119 抚顺县后安镇腰堡村坟营沟 、后山、杨家沟、下古组黑 抚顺县后安镇佟庄子村三块 炭沟 石景区 叶松艳 村书记 15841311968 王伦 技术负责 13842365402 县交通局 孙恒坤 18642378119 刘敬喜 管委会主 任 13700134355 王伦 技术负责 13842365402 县交通局 孙恒坤 18642378119 抚顺县救兵镇山龙村东沟 黄金凤 村书记 13942340639 王伦 技术负责 13842365402 县交通局 孟祥君 18642305777 抚顺县救兵镇板城村 徐世友 村主任 18604235557 王伦 技术负责 13842365402 县交通局 孟祥君 18642305777 抚顺县峡河乡小林村512台 鄂 威 村书记主任 13224132345 王伦 技术负责 13842365402 县交通局 王 杰 18642349531 新宾县 新宾县新宾镇照阳村死孩子 沟 新宾县新宾镇黄旗村黄旗西 沟 新宾县北四平乡北四平村滨 河路 赵维海 镇长 13942372001 朱立兵 村干部 55010051 赵维海 镇长 13942372001 关爱军 村干部 55045806 曲春雨 乡长 13941390968 江成 村干部 15141379666 4 新宾县北四平乡冯家村后山 曲春雨 乡长 13941390968 洪光 村干部 13704935427 5 新宾县木奇镇小洛村马凤沟 组 新宾县永陵镇夏园村关家组 西山 新宾县永陵镇羊祭台村一组 (三道沟) 新宾县永陵镇羊祭台村一组 戴家堡子组(四道沟) 关泰鹏 镇长 15241303258 王贵龙 村干部 15604933287 冯英才 镇长 15842372377 李艳辉 村干部 13804238638 冯英才 镇长 15842372377 卢杨 村干部 15041349157 冯英才 镇长 15842372377 卢杨 村干部 15041349157 9 新宾县木奇镇上房申村北沟 关泰鹏 镇长 15241303258 孙永刚 村干部 13841395889 10 新宾县木奇镇北沟村四平组 (棒槌园子) 新宾县永陵镇嘉禾村嘉禾小 学东沟 苇子峪镇后沟村北沟(卫生 院) 关泰鹏 镇长 15241303258 杨旭 村干部 15134132900 冯英才 镇长 15842372377 马中华 村干部 13941398571 林云峰 镇 长 13841306496 刘祝 村干部 15842308988 林云峰 镇 长 13841306496 张明浩 村干部 13841390320 1 2 3 6 7 8 11 12 13 苇子峪镇蛤蟆沟村西山 王伦 辽宁省第十 地质大队环 境站技术负 责 13842365402 14 响水河乡响水河村3组4组 王义 乡长 15842376669 孙德龙 村干部 15841373411 15 红庙子乡老黑沟村 赵景波 乡长 13841335522 刘岩 村干部 15241325678 16 新宾县平顶山镇小甸子村桦 树二阳沟 杨红军 镇长 13941317688 张岳 村干部 13842381837 17 大四平镇草盆小学后山 李兴哲 镇长 15041351333 崔德伟 村干部 18741356877 18 新宾镇尹家(碱场沟后山) 赵维海 镇长 13942372001 隗 野 水利站站长 13941317779 时福永 村书记 15841379728 19 尹家(荒地沟后山) 赵维海 镇长 13942372001 隗 野 水利站站长 13941317779 时福永 村书记 15841379728 20 榛子岭 王栋栋 乡长 13804232600 栗权 水利站站长 18341347888 谷峰 村书记 13804233709 21 新宾县永陵镇夏园村关家组 西山 新宾县永陵镇羊祭台村一组 (三道沟) 新宾县永陵镇羊祭台村一组 戴家堡子组(四道沟) 赵伟 镇书记 13504233916 王伦 13842365402 富强 村书记 13842384128 赵伟 镇书记 13504233916 王伦 13842365402 卢杨 村书记 15041349157 赵伟 镇书记 13504233916 王伦 13842365402 卢杨 村书记 15041349157 24 四道沟老黑沟 赵景波 乡长 13841335522 张宏扬 辽宁省第十 地质大队环 辽宁省第十 境站技术负 地质大队环 责 辽宁省第十 境站技术负 地质大队环 责 境站技术负 站长 责 13804931699 刘岩 村长 15241325678 25 红庙子小学 赵景波 乡长 13841335522 张宏扬 站长 13804931699 王雪峰 校长 15904137677 26 红庙子中学 赵景波 乡长 13841335522 张宏扬 站长 13804931699 王金华 校长 13842363091 27 响水河子乡上围子村 王义 乡长 15842376669 毛双龙 水利站长 13614138975 刘小海 村书记 15041343909 28 响水河子乡东腰堡村 王义 乡长 15842376669 毛双龙 水利站长 13614138975 吴黎勇 村书记 13591536169 29 响水河子乡双汉村 王义 乡长 15842376669 毛双龙 水利站长 13614138975 王国林 村书记 13942352381 30 响水河子乡富江村 王义 乡长 15842376669 毛双龙 水利站长 13614138975 李万惠 村书记 13841321533 31 响水河子乡响汉村 王义 乡长 15842376669 毛双龙 水利站长 13614138975 孙德龙 村书记 15841373411 32 榆树 刘爽 乡长 15842329511 夏春忠 水利站站长 13704932081 李峰 武装部长 15641378096 33 新宾县平顶山镇小甸子村桦 树二阳沟 杨红军 镇长 13941317688 王伦 13842365402 张跃 村干部 15898369806 34 大四平镇草盆小学后山 富玉斌 镇长 13841313077 王伦 13842365403 崔德伟 村干部 18741356877 35 苇子峪镇 林云峰 镇 长 13841306496 王赫 辽宁省第十 地质大队环 辽宁省第十 境站技术负 地质大队环 责 境站技术负 水利站长 责 18242334422 王东旭 武装部长 13188251818 36 于家村民委员会 林云峰 镇 长 13841306496 王赫 水利站长 18242334422 王欣 村书记、村主任 13941391212 37 甸边子村民委员会 林云峰 镇 长 13841306496 王赫 水利站长 18242334422 王仁刚 村书记、村主任 15141326118 38 小哪吽村民委员会 林云峰 镇 长 13841306496 王赫 水利站长 18242334422 孟庆明 村书记、村主任 15841372755 22 23 39 苇子峪村民委员会 林云峰 镇 长 13841306496 王赫 水利站长 18242334422 刘祝 村书记、村主任 15842308988 40 杉松村民委员会 林云峰 镇 长 13841306496 王赫 水利站长 18242334422 刘艳敏 村书记、村主任 13942351759 41 大堡村民委员会 林云峰 镇 长 13841306496 王赫 水利站长 18242334422 翟淑华 村书记、村主任 13841394697 42 富家村民委员会 林云峰 镇 长 13841306496 王赫 水利站长 18242334422 徐国文 村书记、村主任 13252751717 43 小堡村民委员会 林云峰 镇 长 13841306496 王赫 水利站长 18242334422 田伟俊 村书记、村主任 13130340378 44 三道关村民委员会 林云峰 镇 长 13841306496 王赫 水利站长 18242334422 李存 村书记、村主任 15841362200 45 下夹河岗东村 大背--三道段 盖 斌 乡长 13842350016 周绍君 水利站站长 13841342830 刘兴华 村书记 13842317768 46 岗东村北道屯 盖 斌 乡长 13842350016 周绍君 水利站站长 13841342830 刘兴华 村书记 13842317768 47 下夹河段 盖 斌 乡长 13842350016 周绍君 水利站站长 13841342830 武 伟 村书记 13804239775 48 支家村 崴子屯 盖 斌 乡长 13842350016 周绍君 水利站站长 13841342830 谢廷魁 村书记 15134132019 49 支家村支家屯 盖 斌 乡长 13842350016 周绍君 水利站站长 13841342830 谢廷魁 村书记 15134132019 50 支家村马路屯 盖 斌 乡长 13842350016 周绍君 水利站站长 13841342830 谢廷魁 村书记 15134132019 51 支家村金抛沟 盖 斌 乡长 13842350016 周绍君 水利站站长 13841342830 谢廷魁 村书记 15134132019 52 新宾县木奇镇上房申村北沟 关泰鹏 镇长 15241303258 王伦 13842365402 王德智 村干部 55160149 53 新宾县木奇镇北沟村四平组 (棒槌园子) 关泰鹏 镇长 15241303258 王伦 13842365402 杨旭 村干部 15134132900 54 南杂木村 辽宁省第十 地质大队环 辽宁省第十 境站技术负 地质大队环 责 境站技术负 责 解惠元 南杂木村书记 13904939313 55 榔头沟村 沈长春 榔头沟村书记 15041363666 56 朝阳村 付刚 朝阳村书记 13841346335 马明 镇长 18104230246 刘占涛 水利站 13504233721 57 国道旁村 杨连禹 国道旁村书记 13841329252 58 聂尔库村 乔彦飞 聂耳库村书记 15242354777 59 转湾子村 吴兴江 转湾子村书记 15898344851 13842300049 王建华 应急局局长 15004130031 18524130009 刘庚申 应急局局长 18904930000 东洲区 1 东洲区 赵效飞 区长 18940310033 孟宪勇 农业农村局 局长 新抚区 1 新抚区 苏丹 区长 13332120102 姜臣 农业农村局 局长 望花区 1 望花区 张泰 区长 15668561931 刘铁 常务副区长 18641308088 岳增波 应急局局长 13324234777 闫峰 局长 57503841 闫峰 顺城区 顺城 区 赵永强 副区长 150413393 33 赵永强 局长 57503841 重要经济目标防汛责任人签名表 序号 县、经济目标名称 行政 责任人 职 务 联系电话 技术 责任人 职 务 联系电话 抢险 责任人 职 务 联系电话 清原县 1 2 3 4 5 6 7 8 9 10 11 12 13 14 15 16 枸乃甸 锦宇隆矿业 枸乃甸 有限公司 东兴矿业 下甸子铁矿 枸乃甸 宏印矿业 有限公司 枸乃甸 筐子沟文化生态旅游有 限公司 敖家堡乡 南口前 清原满族自治县宝山矿 业有限公司 南口前 清原满族自治县森源食 品有限公司 南口前 清原满族自治县森宇木 业有限公司 南口前 抚顺祥利来酒业有限公 南口前 司 抚顺三方金属铸造有限 公司 南口前 抚顺市乐乐食品有限公 司 夏家堡 丁堡铁矿 夏家堡 荒沟硫化铁矿 夏家堡 新立屯锌矿 夏家堡 忠正海发矿业 夏家堡 抚顺市清原助剂厂 王楠 党委 书记 13504231855 王安国 企业负责人 15842363368 徐玉廷 安全部长 15242364577 赵 迪 乡长 15724683399 胡晓东 矿长 15104815222 辛继鸿 安全部长 15141321587 董 宇 副乡长 15841367588 马金富 企业负责人 18254962036 马金富 企业负责人 18254962036 姚 副书记 15141368394 尹 丽 13188294858 李 岩 办公室主任 18504132827 申灵玉 乡政府乡长 13470539001 吴德财 乡政府副乡长 13941302223 夏云琦 乡武装部长 13904938865 刘 奇 纪检书记 13614133232 何毅 安监办负责人 18904135588 薛博 总经理 18678917161 王 巍 副镇长 13842362655 何毅 安监办负责人 18904135588 孙绍国 总经理 18041313555 郑广友 人大主席 13941371350 何毅 安监办负责人 18904135588 张佐民 总经理 13942325555 任向文 党委委员 13019655310 何毅 安监办负责人 18904135588 郝兆来 总经理 13941302978 任向文 党委委员 13019655310 何毅 安监办负责人 18904135588 邹华明 总经理 13665630537 沙世宇 副科级干部 13942367447 何毅 安监办负责人 18904135588 王水泉 总经理 15041366377 孙振宇 人大主席 13204257555 兰公恂 矿长 13704134885 王怀国 工业办负责人 13188291177 孙振宇 人大主席 13204257555 李 伟 副矿长 13904137018 王怀国 工业办负责人 13188291177 孙振宇 人大主席 13204257555 裴勇 副矿长 15931585888 王怀国 工业办负责人 13188291177 崔洋 综治委员 13941309700 董振波 副矿长 13470510774 王亮 应急办负责人 15641392490 王道林 副镇长 13470511246 于 副厂长 13104137979 王亮 应急办负责人 15641392490 庆 经 淼 理 抚顺县 1 景毛铁矿 孙广学 总经理 15802462227 唐彤 副镇长 17614131678 孙广学 总经理 15802462227 2 金马铁矿 王勇 副乡长 15041317111 李东辉 矿长 13842377798 李东辉 矿长 13842377798 3 金牛铁矿 张英泽 党委书记 18641384333 朱福生 矿长 15898330979 张国良 村书记 18641301531 4 马郡城铁矿 张英泽 党委书记 18641384333 耿东财 安全科科长 13842360276 周英俊 村书记 15841338000 5 明珠矿业1 李子豪 镇长 15504130007 李海英 矿长 18741394333 那东玲 村书记 13384233099 6 明珠矿业2 李子豪 镇长 15504130007 李海英 矿长 18741394333 那东玲 村书记 13384233099 7 马郡城尾矿库大东 李子豪 镇长 15504130007 关亚文 矿长 15841348828 那东玲 村书记 13384233099 8 立盛矿业 李魁玉 人大主席 18642350699 王静臣 矿长 15842369888 那东玲 村书记 13384233099 9 欣鑫矿业1 李子豪 镇长 15504130007 韩大海 办公室主任 18641975229 那东玲 村书记 13384233099 10 金泰铁矿 李魁玉 人大主席 18642350699 陈贺伟 法人 15040843323 颜世英 村书记 15504136237 11 华航矿业 李魁玉 人大主席 18642350699 李海英 矿长 18741394333 那东玲 村书记 13384233099 12 三块石森林公园 关锋 镇长 13941350527 刘敬喜 公园主任 13700134355 张喜林 村书记、主任 15841311570 叶飞 副镇长 18641359128 赵 凯 经 理 15942308887 赵 凯 经 理 15942308887 叶飞 副镇长 18641359128 王国江 经 理 18241381456 王国江 经 理 18241381456 叶飞 副镇长 18641359128 李 强 经 理 13050191782 李 强 经 理 13050191782 叶飞 副镇长 18641359128 卢英利 经 理 13304230608 卢英利 经 理 13304230608 叶飞 副镇长 18641359128 唐洪伟 经 理 15842389088 唐洪伟 经 理 15842389088 叶飞 副镇长 18641359128 刘天峰 经 理 13354237636 刘天峰 经 理 13354237636 13 14 15 16 17 18 辽宁三友农业生物科技 有限公司 抚顺江东中药材种植有 限公司 抚顺市坤鹏食用菌有限 公司 抚顺市春风中药材有限 公司 抚顺华伟中药业有限公 司 抚顺合晟食用菌科技有 限公司 19 天成工业用布厂 张健 人大主席 13050152077 李国维 水利站长 13904133418 平淑静 法人 13514139898 20 天舜环保公司 张健 人大主席 13050152077 李国维 水利站长 13904133418 平淑静 法人 13514139898 21 防爆电器厂 张健 人大主席 13050152077 李国维 水利站长 13904133418 刘宪仁 法人 13804131380 22 双兴公司 刘洋 副乡长 18641349100 邹广辉 安监办主任 15804130789 李明旭 队长 13804936307 23 峡河矿厂 刘洋 副乡长 18641349100 邹广辉 安监办主任 15804130789 王浩 队长 13842315858 24 台堡矿厂 刘洋 副乡长 18641349100 修维宝 安全员 13842327179 王浩 队长 13842315858 25 胜子矿厂 刘洋 副乡长 18641349100 张明利 安全员 15842320567 刘新洪 队长 13470538967 26 双兴采矿场 刘洋 副乡长 18641349100 朱建伟 安全员 13238101599 何洋 队长 15641327887 27 源丰铁矿 王大纲 乡长 13941355880 傲军 技术员 13050123177 胡金平 矿长 13604131777 28 塔二丈铁矿 祝贵武 副镇长 18642370913 项勇 矿长 13941374873 项勇 矿长 13941374873 29 洋湖铁矿 祝贵武 副镇长 18642370913 李晓东 矿长 13591553659 李晓东 矿长 13591553659 30 上马铁矿 姚萍 综治委员 13941352996 李涛 主任 13904931667 李涛 主任 13904931667 31 永利铁矿 李平 统战委员 15941359551 尚尔迟 矿长 18941363333 尚尔迟 矿长 18941363333 32 崟鼎铁矿 赵光宇 人大主席 13841376690 马列 矿长 13624201201 马列 矿长 13624201201 33 申源铁矿 赵光宇 人大主席 13841376690 黄延秋 安全员 13941325329 黄延秋 安全员 13941325329 新宾县 1 红升乡生态基地 王栋栋 乡长 13804232600 孟淼 经理 15941310295 谷峰 村书记 13804233709 2 错草大棚 赵伟 书记 13504233916 刘亚军 水利站站长 13941350693 尤明仁 村书记 13941333785 3 下夹河村木耳基地 乡长 13842350016 武伟 经理 13804239775 武伟 村书记 13804239775 盖 斌 4 工业园区 马明 镇长 18104230246 刘占涛 水利站 13504233721 杨君超 企业办主任 15040823001 5 木材市场 马明 镇长 18104230246 刘占涛 水利站 13504233721 马绍伟 木材市场办主任 13804237405 副局长 13842379998 宋威龙 局长 57503769 顺城区 1 顺城区 鲁永强 副区长 57503627 赵冶非 表8: 重要中小学校防汛责任人签名表 序号 县、学校名称 行政 责任人 职 务 联系电话 技术 责任人 职 务 联系电话 抢险 责任人 职 务 联系电话 清原县 1 清原满族自治县马前寨小 2 汤飞鸿 宣传委员 13904939577 范世鹏 水利站长 13941352333 张丽光 校长 13050196129 清原县铁北小学 汤飞鸿 宣传委员 13904939577 范世鹏 水利站长 13941352333 王福学 校长 13394227758 3 清原镇逸夫中心小学 汤飞鸿 宣传委员 13904939577 范世鹏 水利站长 13941352333 邵立贵 校长 15841328383 4 清原县天桥小学 汤飞鸿 宣传委员 13904939577 范世鹏 水利站长 13941352333 王素华 校长 13942361018 5 英额门 庞淑玲 副校长 13942302266 庞淑玲 副校长 13942302266 盖玉成 副校长 13904931040 张秋艳 副校长 13942333658 张秋艳 副校长 13942333658 姬玉明 辅导员 13500432897 6 学 中学 英额门 小学 7 草市中学 张永 副镇长 13238138878 高永强 负责人 13304130112 关宏 校长 13942397277 8 草市小学 王成龙 武装部长 13941300451 金星 水利员 13238138876 聂柏诚 校长 13904935060 9 枸乃甸 张 玲 副乡长 18041310125 刘 宇 校长 13942393357 董文利 副校长 15841396988 10 敖家堡小学 齐惠鹏 校长 13050126186 姜文斌 主任 13238138575 逄立忠 副主任 13842377680 11 北三家中学 林海阳 校长 13842302646 牛铁 副校长 15842370977 程远军 总务干事 139043935917 12 北三家镇中心校 赵忠启 校长 13841343257 张剑波 副校长 13364131807 包忠 组长 13942394098 13 大苏河中心小学 葛晓华 校长 15841382008 孙喜斌 书记 15941348628 胡洪良 副校长 15941365679 14 红透山镇中学 马金国 党委委员 15898306056 吴学义 水利负责人 15842361320 王大权 校长 15842367088 15 红透山镇中心小学 马金国 党委委员 15898306056 吴学义 水利负责人 15842361320 王艳华 校长 15841396166 16 南口前 程桂芬 副镇长 15841325755 张林林 负责人 15841360456 王瑞文 校长 13504231363 程桂芬 副镇长 15841325755 徐明 站员 18940332200 陶庆国 校长 18341322277 刘立鲲 镇长 13842379188 王忠利 负责人 15104138678 刘立鲲 镇长 13842379188 宋延鸿 副书记 18642334501 解双喜 水利员 13842373178 宋延鸿 副书记 18642334501 刘静涛 副镇长 13942362598 徐勤忠 水利员 13030706778 刘静涛 副镇长 13942362598 17 18 19 20 中心校 小学 南口前 中学 南山城 镇学校 南山城 甘井子学校 南山城 杨树崴子小学 21 土口子中学 王微 武装部长 18241329899 张海波 副校长 13322131376 孙长军 校长 13238138535 22 土口子中心校 王微 武装部长 18241329899 王贵成 主任 13394239655 刘树宝 校长 15141322972 土口子 王微 武装部长 18241329899 于正人 教师 13224132396 王 校长 13904238419 王 刚 副镇长 15941349066 郭华 教育助理 15041377860 陆存森 后勤主任 13942318862 王 刚 副镇长 15941349066 郭华 教育助理 15041377860 李云飞 负责人 13842336908 郁霞 副镇长 13941374561 那振东 副校长 13154133811 李树海 校长 13941347588 郁霞 副镇长 13941374561 李春盈 教师 13238138531 赵秋晨 校长 15604936480 23 24 25 26 27 治安小学 湾甸子 中心小学 湾甸子 大边沟小学 夏家堡 中心校 夏家堡 猴石小学 辉 28 29 30 31 32 33 34 夏家堡 文屯小学 夏家堡 中学 大孤家 小学 大孤家 兴隆台小学 大孤家 王大堡联校 大孤家 中学 大孤家 松树咀小学 郁霞 副镇长 13941374561 祝万生 教师 13904235309 李德强 校长 13364139897 郁霞 副镇长 13941374561 王凤军 副校长 13104236335 白 钢 校长 13904237977 梁晓彤 宣传委员 18841346170 刘英民 水利站员 13941371696 聂柏成 校长 13904935060 赵 琨 副镇长 13942302886 王晓丹 水利站站员 13842027427 杨迎春 校长 13238138599 赵爱慧 副镇长 13941377526 牟兴龙 水利站负责人 13204132764 柳春阳 校长 15641364658 赵孝君 副书记 13941370677 刘英民 水利站员 13941371696 李 震 校长 13050181618 赵新宇 副镇长 13942391009 王晓丹 水利站站员 13842027427 赵洪志 校长 13942350695 抚顺县 1 海浪乡中心校 柴勇 政法委员 15842327356 李国维 水利站长 13904133418 李明辉 校长 15941340688 2 海浪乡邹家分校 柴勇 政法委员 15842327356 李国维 水利站长 13904133418 李明辉 校长 15941340688 3 石文镇九年一贯制学校 姜辉 副镇长 18841355330 王会涛 校长 19975926999 王会涛 校长 19975926999 4 救兵镇九年一贯制学校 关丽娜 党委委员 18624139199 张闯 水利站站长 13941387538 王惠涛 校长 13942383789 5 马圈子乡九年一贯制学校 王勇 政府副乡长 15041317111 杨树明 水利站站长 15898379599 徐峰 校长 15042351626 6 上马镇九年一贯制学校 吕明芳 副镇长 13904136289 曹思军 校长 13470535155 曹思军 校长 13470535155 7 汤图乡九年一贯制学校 佟德志 副乡长 18642321713 赵锋 校长助理 13704130127 张炎 校长 15040836676 8 峡河乡九年一贯制学校 季云山 宣传委员 18642355509 王庆林 校长 15641324803 李华东 教师 15842335516 9 后安镇九年一贯制学校 关锋 镇长 13941350527 黄波 校长 13941391259 黄波 校长 13941391259 新宾县 1 北四平乡小学 曲春雨 乡长 13941390968 陈大伟 站长 13841351771 杨启武 校长 13842332711 2 北四平乡中学 曲春雨 乡长 13941390968 陈大伟 站长 13841351771 武志 校长 13941391882 3 大四平镇小学 富玉斌 镇长 13841313077 赵景伟 水利站站长 13941317966 程远峰 校长 15241301799 4 大四平镇中学 富玉斌 镇长 13841313077 赵景伟 水利站站长 13941317966 孟宪也 校长 15841321207 5 红庙子乡九年一贯制学校 赵景波 乡长 13841335522 张宏扬 水利站站长 13804931699 王雪峰 校长 15904137677 6 红庙子乡小学部 赵景波 乡长 13841335522 张宏扬 水利站站长 13804931699 马革堂 小学校长 13942371056 7 红庙子乡中学部 赵景波 乡长 13841335522 张宏扬 水利站站长 13804931699 王金华 中学校长 13842363091 8 红升乡小学 王栋栋 乡长 13804232600 罗林 校长 13941383465 罗林 校长 13941383465 9 木奇镇九年一贯制学校 关泰鹏 镇长 15241303258 孙佰江 水利站站长 15842370277 王艳民 中心校校长 13941397585 10 平顶山镇小学 赵兴光 副镇长 13942346880 王德臣 水利站长 13842370218 赵德玉 校长 13842379898 11 平顶山镇中学 杨红军 镇长 13941317688 王德臣 水利站长 13842370218 那海强 校长 13804231009 12 上夹河镇马尔墩小学 涛冶 镇长 13941398222 衣洪波 水利站站长 15898320277 李沥 校长 13194137799 13 上夹河镇中心小学 涛冶 镇长 13941398222 衣波 水利站站长 15898320277 赵勇 校长 13904233290 14 上夹河镇中学 涛冶 镇长 13941398222 衣波 水利站长 15898320277 刘四海 校长 13130359390 15 实验小学 王东宾 副镇长 13841351717 隗野 水利站长 13941317779 王伟 校长 13941396277 16 旺清门镇中心小学 付桂香 镇长 15141389888 万森 水利站站长 13941317657 张明 校长 13804233906 17 旺清门镇中学 付桂香 镇长 15141389888 万森 水利站站长 13941317657 刘喜君 校长 15642025789 18 苇子峪镇中心小学 林云峰 镇长 13841306496 王赫 水利站站长 18242334422 张德伟 校长 13252751999 19 苇子峪镇中学 林云峰 镇长 13841306496 王赫 水利站站长 18242334422 李振东 校长 15541307006 20 下夹河乡九年一贯制学校 孟慧 副乡长 13841394138 周绍军 水利站站长 13841342830 赵晓 校长 13804230609 21 响水河乡学校 王义 乡长 15842376669 毛双龙 水利站长 13614138975 赵连成 校长 13104235577 22 新宾满族自治县高级中学 李威鹏 校长 13941351373 丁 巳 德育主任 13804939098 李威鹏 校长 13941351373 23 新宾一中 杨光 副校长 13942346007 孙相运 主任 15041348077 王永成 校长 13842363123 24 新宾镇中心小学 赵维海 镇长 13942372001 隗野 水利站长 13941317779 徐海涛 校长 13941392766 25 新宾中等职业技术学院 崔景浩 校长 13804935377 富群 主任 13704131900 路辉 校长 15841376161 26 永陵镇满族小学 赵伟 书记 13504233916 刘亚军 站长 13941350693 黄志勇 校长 13804239133 27 永陵镇中学 赵伟 书记 13504233916 刘亚军 水利站长 13941350693 米庆伟 校长 13942309185 28 榆树乡中心小学 刘爽 乡长 15842329511 夏春忠 水利站长 13704932081 许永德 校长 13804231921 29 榆树乡中学 刘爽 乡长 15842329511 夏春忠 水利站长 13704932081 陈亚民 中学校长 13470520155 张忠国 教育办主任 18241373999 秦立春 小学校长 13941399930 韩友智 中学校长 15566319898 30 南杂木中小学 31 新宾镇尹家小学 32 新宾满族自治县下夹河乡 中心校 马明 镇长 18104230246 刘占涛 水利站长 13504233721 赵维海 镇 长 13942372001 崔仁娟 教师 15841394945 张英伟 教师 55041206 盖 乡长 13842350016 赵晓 校长 13804230609 李根荣 安全校长 13804934317 斌 东洲区 1 二十一中学 张爽 副区长 18641368188 杨克群 党支部书记 15641380105 万东明 副校长 13941394413 2 34中学 张爽 副区长 18641368188 李旭升 校长 15841326199 李晓 校长助理 15941338087 3 东洲中学 张爽 副区长 18641368188 欧晓丽 校长 15841324766 席伟 副校长 15941353933 4 24中学 张爽 副区长 18641368188 王贵平 校长 18241347766 刘量 副校长 15941358600 5 进修附中 张爽 副区长 18641368188 史宏忠 校长 13009248112 周磊 校长助理 15141388977 6 平山中学 张爽 副区长 18641368188 史克利 校长 13941309267 张光大 后勤主任 13082282067 7 章党实验学校 张爽 副区长 18641368188 王德群 校长 15504134455 李国浩 校长助理 13082280623 8 哈达九年一贯制学校 张爽 副区长 18641368188 佟克俭 校长 18940389001 杨卫东 校长助理 19904136455 9 章党镇九年一贯制学校 张爽 副区长 18641368188 曲志宏 校长兼书记 13604135829 黄德华 副校长 13941371880 10 兰山九年一贯制学校 张爽 副区长 18641368188 吴玉多 校长 15724682266 广伟生 后勤主任 13644135637 11 6409小学 张爽 副区长 18641368188 郭丹 副校长 18940317829 康百强 后勤主任 13324238427 12 章党一校 张爽 副区长 18641368188 李普森 校长 13841306796 时娇 校长助理 15841331717 13 德才小学 张爽 副区长 18641368188 校长 15041380966 闫明霞 副校长 13842301855 李丽红 14 东洲二校 张爽 副区长 18641368188 张元鑫 校长 13942320505 谢成立 副校长 13841350180 15 实小学分校 张爽 副区长 18641368188 胡建军 校长 15040837577 王长海 办公室主任 13104238148 16 龙凤小学 张爽 副区长 18641368188 王贵平 校长 18241347766 冯恩忠 副校长 15104131996 17 新屯小学 张爽 副区长 18641368188 张昱艳 校长 13941355228 朴影 校长助理 13604132590 18 万新二校 张爽 副区长 18641368188 张国昌 校长 13941386629 高忠海 信息主任 13624133990 19 虎南路小学 张爽 副区长 18641368188 李迪 校长 15842329024 金春英 副校长 13941352049 20 平山小学 张爽 副区长 18641368188 侯东莉 校长 15042369095 张庆伟 后勤主任 15040828421 21 碾盘中心校 张爽 副区长 18641368188 张金微 校长 13009244377 聂东红 校长助理 18642342730 新抚区 1 新抚区公园一校 韩旭 副区长 18641330200 邵虹 工会主席 18741370727 金晖 主任 15042387505 2 新抚区新抚一校 韩旭 副区长 18641330200 魏群 副校长 13942383840 赵美 主任 15242328899 3 新抚区胜利中心小学 韩旭 副区长 18641330200 罗纯静 副校长 15041302632 栗闯 主任 18242339939 4 抚顺市育才中学 韩旭 副区长 18641330200 孟繁勇 副校长 15104136267 那名 主任 15941305665 5 新抚区大官小学 韩旭 副区长 18641330200 刘晓红 副校长 13941395005 裴国鑫 主任 13841371945 6 新抚区南台小学 韩旭 副区长 18641330200 魏东 副书记 13904135533 李晶林 主任 15104136116 7 新抚区东一路小学 韩旭 副区长 18641330200 钱悦 工会主席 15004137166 裴霞 主任 13898334727 8 新抚区新抚附小 韩旭 副区长 18641330200 王满 副校长 13654134488 孟旭 主任 15104135559 9 新抚区千金乡中心小学 韩旭 副区长 18641330200 朱秀芝 工会主席 15941390891 牟常健 主任 15898399573 10 新抚区胜利中学 韩旭 副区长 18641330200 张立国 副校长 13514139010 刘占京 主任 15898311900 11 新抚区南阳小学 韩旭 副区长 18641330200 杨琳 工会主席 15104136003 刘峰 主任 13898314640 12 新抚区千金小学 韩旭 副区长 18641330200 李桂香 工会主席 13898306636 王继红 主任 13842355064 13 抚顺市第22中学 韩旭 副区长 18641330200 哈阳 副书记 13704132869 潘子轶 主任 13898300567 14 抚顺市第19中学 韩旭 副区长 18641330200 赵太民 副书记 15104136601 信坤 主任 15104136711 15 新抚区民主小学 韩旭 副区长 18641330200 郭宾 副校长 15841358777 黄静 安全主任 13614233566 16 新抚区育才小学 韩旭 副区长 18641330200 金明 副校长 15842302288 吴洋 主任 13704133168 17 抚顺市第50中学 韩旭 副区长 18641330200 邢易明 副校长 15724696966 李斌 主任 13591555505 18 新抚区华园中学 韩旭 副区长 18641330200 刘刚 副校长 13591557867 刘刚 主任 13591557867 19 新抚区北台小学 韩旭 副区长 18641330200 吕娜 副书记 13942325766 王英第 安全主任 13898336661 20 新抚区西十路小学 韩旭 副区长 18641330200 张旭辉 副书记 15941348008 刘萍 主任 13941381732 望花区 1 望花区教育局 李娜 副区长 13841360070 蒋志岩 局长 13700136622 马岩 副局长 18804131608 2 十八中学联盟校(18校区 李娜 副区长 13841360070 金嘉旺 校长 13842388721 周善平 副校长 15141307053 李娜 副区长 13841360070 金嘉旺 校长 13842388721 王利波 副校长 15898312353 3 ) 十八中学联盟校(30校区 ) 4 40中学 李娜 副区长 13841360070 王静 校长 13942318790 贾春元 副校长 13504137709 5 立志中学 李娜 副区长 13841360070 杨忠魁 校长 18940141555 景丽霞 副校长 13314131766 6 8中 李娜 副区长 13841360070 冯淑春 校长 15998313759 王忠林 副校长 13591576929 7 42中学 李娜 副区长 13841360070 谭胤 校长 13700135528 徐刚 副校长 15141366315 8 五十六中 李娜 副区长 13841360070 姜祥立 校长 15042359858 孟祥伟 副校长 13604134612 9 雷锋中学 李娜 副区长 13841360070 李静 校长 13842388740 田秀勇 副校长 15042359903 10 抚顺市望花区新星初级中 李娜 副区长 13841360070 邵敏 校长 18904230055 于凤梅 副校长 18940385057 11 27中学 李娜 副区长 13841360070 白菊 校长 13704139922 崔凯 副校长 15241318787 12 塔峪镇中心小学 李娜 副区长 13841360070 刘继海 校长 13842388781 王丽萍 副校长 15941318729 13 望花区古城子二校 李娜 副区长 13841360070 刘佰良 校长 13842388778 王飞 副校长 13942320633 14 望花区雷锋第二小学 李娜 副区长 13841360070 王丽华 校长 赵丹 副校长 15 望花区光明小学校 李娜 副区长 13841360070 韩冰 校长 13842358 266 13841303027 于守华 党支部书记 15842396 566 13842388747 16 逸夫小学 李娜 副区长 13841360070 郎卫红 校长 13842306088 徐岩 副校长 15842310922 17 望花区中心小学 李娜 副区长 13841360070 佟瑞芹 校长 13842388748 杨宇红 副校长 18741356566 18 八纬路小学 李娜 副区长 13841360070 翁琦 校长 13842388711 赵欣威 副校长 15041311116 19 抚顺市望花区海城小学 李娜 副区长 13841360070 郭徽 校长 15141366917 王玉洋 副校长 13841300883 20 富邦小学 李娜 副区长 13841360070 崔若武 校长 13842388759 王殿忠 主任 15841340512 21 雷锋小学 李娜 副区长 13841360070 樊玉洁 校长 138 4238 8750 王安基 副校长 135 0413 2530 22 望花区青少年素质实践基 李娜 副区长 13841360070 黄海泓 校长 15141366299 杜树信 副校长 13842388770 学 地 顺城区 1 抚顺市第二十五中 沈会懿 副区长 18642326007 李玉波 主任 13470516621 周鸿儒 主任 15004136488 2 抚顺城一校 沈会懿 副区长 18642326007 周辉 校安办主任 15842333318 周辉 校安办主任 15842333318 3 抚顺城三校 沈会懿 副区长 18642326007 何凤琳 工会主席 13470554095 关凤志 主任 15941304385 4 抚顺城四校 沈会懿 副区长 18642326007 汪静 工会主席 15904137457 赵天 后勤主任 15904137258 5 十五中学 沈会懿 副区长 18642326007 殷晓飞 总务主任 15104139158 赵志国 总务主任 18641350178 6 抚顺市第二十三中学 沈会懿 副区长 18642326007 邢树仁 德育主任 13942318699 王涛 总务主任 15842397895 7 顺城中心小学 沈会懿 副区长 18642326007 常立东 安全主任 15641322233 郭家淮 总务副主任 18940358181 8 新华二校 沈会懿 副区长 18642326007 崔玉双 工会主席 13898336288 苏秋明 安全主任 13842381822 9 新华一校 沈会懿 副区长 18642326007 门萍 工会主席 13274237177 路冬雪 总务主任 15904136288 10 顺城区实验小学 沈会懿 副区长 18642326007 商华 总务主任 15904137233 王鹏 总务副主任 13624133798 11 顺城区长春学校 沈会懿 副区长 18642326007 鲍明言 后勤主任 13842316408 王亮 校安办主任 15841385570 12 顺城区前甸镇大柳九年一 沈会懿 副区长 18642326007 王声飚 副校长 15304131607 张宝金 副主任 15042368689 沈会懿 副区长 18642326007 于维臣 工会主席 13941320401 张明亮 校安办副主任 15904137501 13 贯制学校 抚顺市顺城区大自然小学 校 14 顺城区会元学校 沈会懿 副区长 18642326007 祝祺 校安办主任 15104133500 王化宇 总务主任 13941331959 15 抚顺远洋实验学校 沈会懿 副区长 18642326007 鲍雪菲 校安办 主任 15004136996 王猛 后勤主任 13941336599 16 葛布一校 沈会懿 副区长 18642326007 汪洋 工会主席 15904135367 董屹 总务主任 15904135468 17 佳化学校 沈会懿 副区长 18642326007 张福彪 后勤主任 13470562261 刘建民 德育主任 15104133527 18 将军一校 沈会懿 副区长 18642326007 刘颖 后勤主任 15904137448 杨俊友 后勤副主任 13904136373 19 将军二校 沈会懿 副区长 18642326007 马烈 校安办主任 15842311658 马烈 校安办主任 15842311658 20 将军三校 沈会懿 副区长 18642326007 张玉梅 工会主席 15904137375 李俊昶 安保主任 15904137327 21 抚顺市第二十六中学 沈会懿 副区长 18642326007 袁洪斌 总务主任 13009262977 祝锋 校安办主任 13841361012 22 抚顺市第四十一中学 沈会懿 副区长 18642326007 王春红 校安办主任 15004136895 刘冬梅 后勤主任 15004136733 表9: 橡胶坝运行管理责任人签名表 序号 县、橡胶坝名 称 行政 责任人 职 务 联系电话 技术 责任人 职 务 联系电话 抢险 责任人 职 务 联系电话 城区段 王祥平 中心副主任 13942390959 金力新 闸坝部技术责 任人 13842339399 杜翀 闸坝部部长 13841321997 清原县 1 2 3 4 5 6 7 8 9 10 11 12 清原县县城橡胶坝 清原镇 中寨子橡胶坝 清原镇 马前寨拦河闸 敖家堡 于家堡水库橡胶坝 敖家堡 于家堡拦河闸 敖家堡 大东沟拦河闸 敖家堡 大莱河拦河闸 敖家堡 佟家沟拦河闸 敖家堡 夹皮沟拦河闸 北三家拦河闸 红透山 门坎哨橡胶坝 红透山 北杂木拦河闸 13 南三家下川拦河闸 14 海阳1号拦河闸 15 海阳2号拦河闸 王凤娟 水务局正科 干部 13941352686 徐平 清原镇河道管 理所所长 13842367866 孙业刚 丁家鹏 副镇长 13394234139 范世鹏 水利站长 13941352333 王斌 丁家鹏 副镇长 13394234139 范世鹏 水利站长 13941352333 姜鹤 13941302223 付海波 水利负责人 15141336908 胡景发 村书记 15176950777 13941302223 付海波 水利负责人 15141336908 胡景发 村书记 15176950777 13941302223 付海波 水利负责人 15141336908 高松 村书记 13942348969 13941302223 付海波 水利负责人 15141336908 马毓斌 村书记 15714239288 13941302223 付海波 水利负责人 15141336908 胡景发 村书记 15176950777 13941302223 付海波 水利负责人 15141336908 徐延光 村书记 15898356917 吴德财 吴德财 吴德财 吴德财 吴德财 吴德财 史 乡政府副乡 长 乡政府副乡 长 乡政府副乡 长 乡政府副乡 长 乡政府副乡 长 乡政府副乡 长 清原镇河道 管理所副所 长 村书记、主 任 村书记、主 任 13130363755 13898102026 13500432468 平 副镇长 13050112966 刘笑飞 水利站长 13904231075 赵永刚 民兵连长 13904936120 代玉峰 副镇长 13236959997 吴学义 水利负责人 15842361320 王振 村主任 13942314225 王福忠 工会主席 13500433048 吴学义 水利负责人 15842361320 张再刚 村主任 13942346327 沙世宇 政法委员 13942367447 张林林 水利站负责人 15841360456 单井鑫 村主任 13941320568 赵迪 副书记 15724683399 张林林 水利站负责人 15841360456 马熙奎 村主任 13614234007 16 18 19 20 21 22 23 24 25 高力屯村东卜拦河 闸 南口前 什排地村高河门前 拦河闸 南口前 村1号拦河闸 南口前 村3号拦河闸 王家堡村黄金堡拦 河闸 南口前 向阳六十垅地拦河 闸 大苏河 沙河子拦河闸 南山城 南小堡8号闸 大孤家 松树嘴拦河闸 刘英华 宣传委员 13394139079 张林林 水利站负责人 15841360456 金元焦 村主任 15134119501 曹玉昌 副镇长 15941346598 张林林 水利站负责人 15841360456 胡 伟 村主任 15841360335 曹玉昌 副镇长 15941346598 张林林 水利站负责人 15841360456 谭 峰 村主任 13904938958 郑广友 人大主席 13941371350 张林林 水利站负责人 15841360456 王建民 村书记 13942302270 曾振 副镇长 18604231205 张林林 水利站负责人 15841360456 刘世海 村主任 13941347792 朱 猛 副乡长 15841311113 张玉强 水利站负责人 18241389888 郭太宇 组长 18241323771 康顺 副镇长 13842378801 王忠利 负责人 15104138678 徐勤忠 水利员 13030706778 赵新宇 副镇长 13942391009 牟兴龙 水利站负责人 13204132764 贾峰 村书记 13604137239 水利站长 13941387538 李文鹏 村书记 13591539378 抚顺县 小东橡胶坝 李子豪 镇长 15504130007 张闯 新宾县 1 永陵橡胶坝 赵伟 书记 13504233916 刘亚军 水利站长 13941350693 周源 武装部长 15141346336 2 永陵西堡橡胶坝 赵伟 书记 13504233916 刘亚军 水利站长 13941350693 周源 武装部长 15141346336 3 永陵老城橡胶坝 赵伟 书记 13504233916 刘亚军 水利站长 13941350693 周源 武装部长 15141346336 4 建洲橡胶坝 王佐昆 副局长 13841393600 朱明伟 江河公司经理 13904234880 王金龙 5 和平橡胶坝 王佐昆 副局长 13841393600 朱明伟 江河公司经理 13904234880 王金龙 6 新城橡胶坝 王佐昆 副局长 13841393600 朱明伟 江河公司经理 13904234880 王金龙 7 茶棚橡胶坝 王佐昆 副局长 13841393600 朱明伟 江河公司经理 13904234880 王金龙 8 建新橡胶坝 王佐昆 副局长 13841393600 朱明伟 江河公司经理 13904234880 王金龙 9 衍水拦河闸 王佐昆 副局长 13841393600 朱明伟 江河公司经理 13904234880 王金龙 江河公司副 经理 江河公司副 经理 江河公司副 经理 江河公司副 经理 江河公司副 经理 江河公司副 经理 13841311456 13841311456 13841311456 13841311456 13841311456 13841311456 表10: 防台风责任人签名表 序号 市、县 行政 责任人 抚顺市 高键 务 联系电话 技术 责任人 市委副书记 、市长 13934404400 刘弋 职 职 务 联系电话 水务局局长 13904138588 抢险 责任人 王端礼 职 务 联系电话 应急局局长 13941390057 清原县 1 敖家堡乡 申灵玉 乡政府乡长 13470539001 吴德财 乡政府副乡长 13941302223 夏云琦 乡武装部长 13904938865 2 红透山镇 辛言广 镇长 13644134333 吴学义 水利负责人 15842361320 代玉峰 副镇长 13236959997 3 大苏河乡 刘兆峰 党委书记 13394227555 朱 猛 副乡长 15841311113 张玉强 水利站负责人 18241389888 4 南山城镇 刘立鲲 镇长 13842379188 王忠利 负责人 15104138678 康顺 副镇长 13842378801 5 英额门镇 杨雷 党委书记 18940310006 王强 武装部长 13898301988 徐美 水利负责人 13942313599 6 草市镇 王兴君 书记兼镇长 13942399005 高永强 负责人 13304130112 张永 副镇长 13238138878 7 南口前 谭 村书记 18641326099 王方平 农业站负责人 13364139965 谭 峰 村书记 18641326099 峰 抚顺县 1 海浪乡 徐铁骥 乡长 18242331877 李国维 水利站长 13904133418 姚巍 武装部长 18624235955 2 松树村 曹飞 党委委员 15898378610 李国维 水利站长 13904133418 汤宪文 村主任 13841388858 3 前楼村 曹飞 党委委员 15898378610 李国维 水利站长 13904133418 张龙 村主任 15541391756 4 房申村 曹飞 党委委员 15898378610 李国维 水利站长 13904133418 王东华 村主任 13842362026 5 杨木村 曹飞 党委委员 15898378610 李国维 水利站长 13904133418 温希玖 村主任 13942358343 6 转山村 曹飞 党委委员 15898378610 李国维 水利站长 13904133418 许洪文 村主任 15001844777 7 下海浪村 曹飞 党委委员 15898378610 李国维 水利站长 13904133418 周春勇 村主任 13842393877 8 上海浪村 曹飞 党委委员 15898378610 李国维 水利站长 13904133418 于宏 村主任 13842382628 9 台沟村 曹飞 党委委员 15898378610 李国维 水利站长 13904133418 尚德波 村主任 15041322900 10 安家村 曹飞 党委委员 15898378610 李国维 水利站长 13904133418 朱胜宏 村主任 18642355585 11 邹家村 曹飞 党委委员 15898378610 李国维 水利站长 13904133418 张振 村主任 13700133190 12 果木村 曹飞 党委委员 15898378610 李国维 水利站长 13904133418 李国华 村主任 13324232111 13 石文镇 吴庆鹏 镇长 18641313123 朱志远 副镇长 18641335553 董寅骥 武装部长 13354229866 14 石文村 高亮 村主任 15668537111 夏吉山 村水管员 13842383580 王永存 村副书记 13941380659 15 大石村 王健 村书记 15041321888 王旭 村水管员 13842393521 王学财 村副书记 13238131885 16 毛公村 邵威 村书记 13842340005 赵绪莹 村水管员 18741351999 王凤龙 村副书记 13842340008 17 苏子村 王兴杰 村主任 13342137579 郭忠阳 村水管员 13029269900 郭丽辉 村副书记 15898306277 18 瓦房村 郭绍锋 村副书记 13898304067 郭景海 村水管员 15040845458 郭绍锋 村副书记 13898304067 19 连刀村 刘凤君 村书记 13188256591 刘乾 村水管员 13591544033 刘 天 村副书记 13842393249 20 大堡村 姚龙泉 村主任 18904139333 王平 村水管员 13188250055 王 东 村副书记 13236951758 21 八家子村 唐凤微 村书记 15898322818 张振刚 村水管员 13941377598 张洪旭 村副主任 13614934889 22 英守村 于世阳 村书记 13942329788 胡东文 村水管员 13941343637 郭宏伟 村主任 18841329699 23 养树村 王军 村书记 13941388848 彭永权 村水管员 13942344367 王 帅 村副书记 18242353593 24 景家村 赵伟 村主任 15041388009 王志刚 村水管员 15941311193 金 英 村副书记 15841340815 25 官山村 宋恒刚 村书记 13700131169 佟庆柏 村水管员 15242302867 宋恒刚 村书记 13700131169 26 三家子村 赵世衡 村书记 13591561111 刘金鑫 村水管员 13130369769 赵世衡 村书记 13591561111 27 栗子村 韩禄 村副书记 13841344435 唐英 村水管员 13081315287 赵宗明 村副书记 15241309688 28 阁老村 张宝玉 村书记 15842323955 杨林 村水管员 13941397038 张 颖 村副书记 15141356800 29 救兵镇 李子豪 镇长 15504130007 张闯 水利站站长 13941387538 夏晖 副镇长 18641377000 30 山龙村 刘丽成 副镇长 18604230456 依洪波 水管员 13898300622 黄金凤 村书记 13942340639 31 五牛村 刘丽成 副镇长 18604230456 姚健 水管员 15842387864 张国良 村书记 18641301531 32 板城村 赵小彤 宣传委员 18841259925 丛光 水管员 13804136822 徐世友 村书记 18604235557 33 救兵村 孙刚 武装部长 18642349611 李彬 水管员 13941329745 李越 村书记 15641307000 34 马郡村 孙刚 武装部长 18642349611 赵凤娟 水管员 13942380417 周英俊 村书记 15841338000 35 石门村 祁双妹 组织委员 18641366328 赵国权 水管员 15141386186 赵喜财 村书记 13050171733 36 后腰村 夏晖 副镇长 18641377000 王宇 水管员 13704936604 王艳香 村书记 13081318376 37 通什村 薛星 综治委员 18642380365 吴兴力 水管员 18241359234 赵连军 村书记 18004138588 38 王木村 李魁玉 程柳 人大主席 副镇长 18642350699 18642349557 崔岩 水管员 15242302858 方孝斌 村书记 13842333999 39 康西村 夏晖 副镇长 18641377000 唐洪宇 水管员 15641310505 刘莉 村书记 15668555228 40 小东村 关丽那 党委委员 18624139199 汤朔 水管员 15704137771 李文鹏 村书记 13591539378 41 大东村 村德浩 党委副书记 18642355700 那浩 水管员 13842333171 那东玲 村书记 13384233099 42 马鲜村 村德浩 党委副书记 18642355700 李森林 水管员 15604136349 颜世英 村书记 15504136237 43 马和村 谭菊 纪委书记 13700134233 庞金生 水管员 15841311341 遇铁军 村书记 18242374912 44 马圈子乡 李舒君 政府乡长 18841350189 杨树明 水利站站长 15898379599 王勇 副乡长 15041317111 45 金斗村 李舒君 政府乡长 18841350189 杨树明 水利站站长 15898379599 崔庆文 村书记 13504236781 46 孤家子村 李舒君 政府乡长 18841350189 杨树明 水利站站长 15898379599 孟宪堔 村书记 13322137666 47 马圈子村 李舒君 政府乡长 18841350189 杨树明 水利站站长 15898379599 马玉东 村书记 13841391111 48 草盆村 李舒君 政府乡长 18841350189 杨树明 水利站站长 15898379599 李维国 村书记 13704933977 49 西川村 李舒君 政府乡长 18841350189 杨树明 水利站站长 15898379599 聂长利 村书记 13942324588 50 太平村 李舒君 政府乡长 18841350189 杨树明 水利站站长 15898379599 孙继发 村书记 18841320132 51 上马镇 尹红家 镇长 18841359898 肖春辉 水利站长 13842390855 杨广春 副镇长 13700136339 52 塔二丈村 宋国海 村书记 13842336198 张作涛 支委委员 13050130495 艾宏伟 民兵连长 15841316727 53 洋湖村 林然 村主任 13942311415 陈岩 村书记 13841304499 林然 村主任 13942311415 54 上马村 康书华 村主任 13470577221 王姝 村书记 13042639990 康书华 村主任 13470577221 55 下马村 罗耀文 村书记 13841371609 王家友 支委委员 13942385670 张喜凤 支委委员 13704937991 56 西古村 佟营 村书记 15141357699 周晓明 报账员 13841385178 佟营 村书记 15141357699 57 四家子村 庄忠明 村书记 13842394828 韩宝石 副书记 13322131116 庄忠明 村书记 13842394828 58 姚家村 苏成见 村书记 15941338721 崔朋友 水管员 15041383070 苏成见 村书记 15941338721 59 温道村 张文浩 村书记 13019654733 祁利 水管员 13841352026 张文浩 村书记 13019654733 60 台沟村 苗润达 村书记 13841333233 王仁富 水管员 18741309888 苗润达 村书记 13841333233 61 通什村 杨雪 村书记 13591539949 闫金珠 水管员 15242313811 杨雪 村书记 13591539949 62 坎木村 赵志玲 村书记 15941353263 范兆富 水管员 13804137245 赵志玲 村书记 15941353263 63 赵家村 刘国忠 村书记 15898383003 赵兴军 副书记 15941358653 林立祥 水管员 18604236585 64 李家村 于文龙 村主任 15141323666 汪成喜 村委委员 13614937422 王朝振 支委委员 13941328689 65 油坊村 祁长虹 村书记 13841300288 许益光 水管员 13700137058 姚斌 报账员 13704932688 66 窑沟村 刘伟 村书记 13234132999 龚绍利 副书记 13898323789 刘义龙 报账员 15641326057 67 竖碑村 徐万新 村书记 13082271177 王金萍 副书记 13188259268 徐万新 村书记 13082271177 68 苍什村 杜学洋 村书记 13841386648 柏俊萍 水管员 13081314991 杜学洋 村书记 13841386648 69 汤图乡 王大纲 乡长 13941355880 马祥文 水利站长 18642321706 鲍士广 副乡长 18642321733 70 百花村 鲍士广 副乡长 18642321733 王恩海 水管员 18340344564 刘启超 书记 13384135555 71 鲍家村 李博华 组织委员 13188260066 鲍士波 水管员 13304131039 刘玉海 书记 15842357848 72 汤图村 崔海静 政法委员 18642321727 车万州 水管员 13364230111 刘凤清 书记 13841375288 73 石棚子村 贺金凤 党委委员 18241310344 韩雪清 水管员 15041319508 王玉金 书记 18042365678 74 三块石村 孙淑华 副书记 18642321736 曹长文 水管员 13304131039 曹州 书记 13030711678 75 龙凤村 何驰 纪委书记 18642349607 王长虹 水管员 13081314807 肇恒启 书记 13384135253 76 庄稼村 金凤海 统战委员 13704935302 姜焕富 水管员 13081323406 肇涛 书记 13842305687 77 占贝村 付传家 宣传委员 13390439888 谷三亮 水管员 15041316356 苏彩秀 书记 17731747490 78 河东村 臧情 副乡长 18642370565 谷怀国 水管员 15898378400 于长亮 书记 13700137042 79 峡河乡 刘凯 乡长 18642340123 赵耀海 水利站长 18841357246 崔明侠 副乡长 13841333567 80 台堡村 刘凯 乡长 18642340123 张新 党委委员 18642349525 刘新付 村主任 18642349577 81 眼望村 刘凯 乡长 18642340123 刘洋 副乡长 18641349100 于长敏 村主任 13050120326 82 陡岭子村 刘凯 乡长 18642340123 邹吉芬 综治委员兼妇 联 18642349572 赵志军 村主任 15041377999 83 峡河村 刘凯 乡长 18642340123 刘军 人大主席 18642359333 邓连权 村主任 15842359555 84 六家子村 刘凯 乡长 18642340123 王东博 纪委书记 15941353866 徐荣存 村主任 13624236678 85 三家子村 刘凯 乡长 18642340123 关英顺 副书记 13029260555 邓玉国 村主任 18642349588 86 小林村 刘凯 乡长 18642340123 高源 武装部长 18524131139 鄂威 村主任 13224132345 87 杜家村 刘凯 乡长 18642340123 季云山 宣传委员 18642355509 于文阁 村主任 18841357011 88 大房子村 刘凯 乡长 18642340123 王琳琳 组织委员 18841357169 王风华 村主任 18841357009 89 胜子村 刘凯 乡长 18642340123 崔明侠 副乡长 13841333567 赵闯 村主任 15941388392 90 后安镇 关 镇长 13941350527 黄琳娜 站 长 13704931533 马明宇 人大主席 18642350045 91 后安村 魏颖慧 纪检书记 18624235580 田 军 水管员 13591555766 董凤波 王鹏 村书记 村主任 13941353537 15842355999 92 同安村 张丽 宣传委员 13704932077 董晓明 水管员 15040813535 关 书记、主任 13842320659 93 前安村 马明宇 人大主席 18642350045 石文凯 水管员 13204138784 曹路清 张石吉 村书记 副书记 18642378046 15104137774 94 彰党村 裴浚喆 政法委员 13591555959 李圣春 水管员 15898378368 李宝林 书记、主任 13704134808 95 馒首村 王华 副镇长 13842382233 孙 鹤 水管员 13942359501 李丛星 书记、主任 15040808080 96 佟庄村 王华 副镇长 13842382233 于滋益 水管员 13591545407 张喜林 书记、主任 15841311570 97 郑家村 丁爽 副书记 15714136161 梁远程 水管员 13842394296 陈 爽 书记、主任 15841375388 98 李家村 王浩 武装部长 18241315999 翟海宾 水管员 15842356558 张连双 书记、主任 15841356006 99 王家村 王浩 武装部长 18241315999 徐纯东 水管员 13942342047 刘云雷 书记、主任 13842360933 100 四道村 王竺 党委委员 15898356252 吴 波 水管员 13941330685 吴玉祥 书记、主任 13842349111 101 五龙村 胡艳 组织委员 13841345627 李桂伦 水管员 15542771817 吴玉祥 书记、主任 13842392815 102 腰堡村 张福祝 副镇长 18642378393 鲍学军 水管员 13030715891 叶松艳 书记、主任 15841311968 103 傲牛村 叶飞 副镇长 18641359128 张振国 水管员 13942300415 翟福德 书记、主任 15042388996 13841301898 孔祥鹏 人武部部长 15904231788 13842300049 王建华 应急局局长 15004130031 18524130009 刘庚申 应急局局长 18904930000 18641308088 岳增波 应急局局长 13324234777 锋 健 新宾县 新宾满族 自治县 李有功 副县长 13322129969 王宏新 副局长 东洲区 1 东洲区 赵效飞 区长 18940310033 孟宪勇 农业农村局局 长 新抚区 1 新抚区 苏丹 区长 13332120102 姜臣 农业农村局局 长 望花区 1 望花区 张泰 区长 15668561931 刘铁 常务副区长 表11: 乡(镇、街道)、村(社区)防汛抗旱责任人签名 序号 名称(驻地) 行政区划代码 行政责任人 职务 电话号码 固定电话 手机 清原县 清原县 210423000000 吴振宇 县长 一 清原镇 210423100000 杨光 53056002 15898311201 1 阿尔当村 210423100219 杨宝秋 53516836 13842375161 2 马前寨村 210423100213 姜鹤 镇长 村书记、主 任 村书记、主 53040423 13500432468 任 村书记、主 任 村书记、主 53051922 13470529112 53053487 13130343789 任 村书记、主 任 村书记、主 53172190 13842371810 53051031 15141328782 任 村书记、主 任 村书记、主 53042474 15134116999 53022010 15242716788 任 村书记、主 任 村书记、主 53023132 13842341228 53042569 13841302832 任 村书记、主 任 村书记、主 53042188 13904933540 53042198 15241314990 任 村书记、主 任 村书记、主 53566508 15842376626 53172477 13898331832 任 村书记、主 任 村书记、主 53041956 13898102026 53023406 13941397968 任 社区书记、 主任 社区书记、 53034607 15898357788 53034692 18242311567 主任 社区书记、 主任 社区书记、 53034620 13904234390 53034621 13904931655 主任 社区书记、 主任 社区书记、 53023182 13009258615 53034635 13942313517 53052745 15141333266 53061678 13591565955 53148413 18004936366 3 腰站村 210423100205 王大维 4 古城村 210423100216 刘兆奎 5 新立屯村 210423100220 杨大勇 6 吴家沟村 210423100215 韩丽霞 7 长山堡村 210423100218 李治才 8 镇西村 210423100201 赵喜文 9 前进村 210423100210 赵丽华 10 椴木沟村 210423100209 舒丽华 11 黄旗沟村 210423100222 聂长江 12 猴石沟村 210423100223 于祥才 13 斗虎屯村 210423100203 王仁萍 14 四道河村 210423100224 刘毅 15 中寨村 210423100214 王斌 16 镇东村 210423100225 任宝福 17 天桥社区 210423100009000 于晶 18 三环社区 210423100011000 王静 19 东园社区 210423100010000 孙华 20 白云社区 210423100008000 聂森波 21 红河社区 210423100014000 王胜男 22 兴隆社区 210423100007000 高淑萍 23 桥南社区 210423100013000 张萍 24 铁北社区 210423100012000 李冠丽 主任 社区书记、 主任 社区书记、 17704133666 二 英额门镇 210423104001 尉鹏辉 主任 镇长 1 英额门村 210423104202 李文友 村书记 13942311908 2 长春屯村 210423104204 刘 村书记 18242326888 刚 3 幸福村 210423104205 姬英华 村书记 13941312777 4 新民屯村 210423104207 周洪江 村书记 13941372630 5 大林子村 210423104209 闫耳 村书记 13188287127 6 崔庄子村 210423104210 白成斌 村书记 13204255538 7 转湘湖村 210423104211 于青良 村书记 13904239973 8 孤山子村 210423104212 王 岩 村书记 15841382127 9 丁家街村 210423104213 王生友 村书记 13050194051 10 大石沟村 210423104216 单长文 村书记 18242398090 11 椽子沟村 210423104217 季忠英 村书记 13842372081 12 柳木桥村 210423104218 王刚 村书记 13470561425 13 湾龙背村 210423104220 韩玉勤 村书记 13942397995 三 草市镇 11210423001419030Q 王兴君 书记兼镇长 1 草市村 54210423594815740F 张庆华 村书记 15141322111 2 小城子村 54210423394007909X 孙宝海 村书记 13842372480 3 赵家街村 54210423394007730R 孙大伟 村书记 13238138910 4 双井沟村 54210423394007757H 张 勇 村书记 13842378530 5 关家街村 542104233940077737 王仁贤 村书记 13942384225 6 大板河村 54210423594844517N 朱阳锁 村书记 13470565200 7 东大道村 542104233940077069 张传仁 村书记 13842379566 8 上甸子村 54210423394007976U 谷成利 村书记 13841350529 9 泡子沿村 54210423394007853T 潘阳 村书记 13188279211 10 长兴村 54210423594829114B 田野 村书记 13241332961 11 三道背村 54210423394007642B 李 闯 村书记 15841382178 12 太平沟村 542104233940078375 王树霞 村书记 15042365507 13 水帘洞村 5421042339400779XR 白连成 村书记 15898345375 14 二洼村 54210423394007490Y 李 伟 村书记 13204252828 15 粘泥岭村 54210423729089855B 景丽影 村书记 13842381282 16 大窝棚村 54210423394007570J 段东亮 村书记 13941309297 四 枸乃甸乡 210423208000 赵 迪 53675003 15724683399 1 中心屯村 210423208209 陈焕义 53666026 15041365768 2 枸乃甸村 210423208201 田青山 乡长 村书记、主 任 村书记、主 53675044 15842366979 任 村书记、主 任 村书记、主 53675075 13470566951 任 村书记、主 任 村书记、主 53665239 15668594120 53677264 15941399461 3 线金厂村 210423208202 何东民 4 井家沟村 210423208204 刘运平 5 侯窝棚村 210423208203 侯 宁 6 朱家卜村 210423208207 赵维权 7 北大林村 210423208208 孟繁财 8 筐子沟村 210423208205 刘立书 任 村书记、主 任 村书记、主任 53152003 13942399005 15941363800 13904238282 53677023 15898346096 五 敖家堡乡 210423206000 申灵玉 乡长 13470539001 1 敖石哈村 210423206201 冯海龙 村书记 13804130205 2 马家沟村 210423206202 马军 村书记 15941362100 3 大东沟村 210423206203 沈德仁 村书记 15842363399 4 小莱河村 210423206204 马兴春 村书记 13941370885 5 大莱河村 210423206205 马毓斌 村书记 15714239288 6 台沟村 210423206206 张延龙 村书记 15141320640 7 夹皮沟村 210423206207 徐延光 村书记 15898356917 8 敖家堡村 210423206208 高松 村书记 13942348969 9 于家堡村 210423206209 胡景发 村书记 15176950777 六 北三家镇 210423204000 丁聪 镇长 1 下寨子村 210423204205 温超 村书记 13188298949 2 双河村 210423204204 邹凯 村书记 18588241234 3 上烟沟村 210423204203 杨秀清 村书记 15904138152 4 黑石木村 210423204212 王英俊 村书记 13470512678 5 北三家村 210423204201 那丽 村书记 15042352886 6 肖家卜村 210423204207 孙军 村书记 13898331178 7 树基沟村 210423204208 石宝国 村书记 13842373279 8 西大林村 210423204209 孟令国 村书记 13372847272 9 李家卜村 210423204210 韩春阳 村书记 15941341637 10 牛肺沟村 210423204211 孙泉 村书记 13604134138 七 大苏河乡 210423207000 刘兆峰 乡长 1 和庆村 54210423A43950084X 彭广庆 村书记 2 大苏河村 54210423A439500688 毛景栋 村书记 3 小苏河村 54210423A4395005X8 李宝剑 村书记 4 南天门村 54210423A43950041G 朱永顺 村书记 53463001 15941368589 5 三十道河村 54210423A43950092Q 陈 旻 村书记 53463003 15041313187 6 长沙村 54210423A43950105E 杨国江 村书记 53483045 13364133999 7 大堡村 54210423A43950025T 周亮生 村书记 53580385 15842371956 8 平岭后村 54210423A439500170 王 莉 村书记 53580047 15041370505 9 杨家店村 54210423A439501139 宋余江 村书记 53483050 15898383777 10 钓鱼台村 54210423A439500763 张 洁 村书记 53483056 13470561087 八 红透山镇 210423101000 辛言广 镇长 53262112 13644134333 1 苍石村 210423101000 赵兰华 村主任 53262179 15141338695 2 红透山村 210423101000 王振 村主任 53365999 13236959997 3 下大堡村 210423101000 祁 军 村主任 53508333 15842397799 4 沿水沟村 210423101000 鞠振江 村主任 53242111 13941340799 53260006 53483002 15898346015 13394227555 15941365312 53483042 13842361492 15242362602 5 六家子村 210423101000 姜冬文 村主任 53261002 13841390951 6 栏木桥村 210423101000 张秀芳 村书记 13841396403 7 北杂木村 210423101000 张再刚 村主任 13942346327 8 沔阳村 210423101000 李国峰 村主任 53253069 13942357423 9 红矿社区 210423101000 王洋 社区书记 15898394098 10 苍石社区 210423101000 朱淑香 社区书记 53263329 53261456 11 红山社区 210423101000 关丽敏 社区书记 53272278 18941327363 九 南口前镇 210423105000 李 娜 镇 长 53266116 15040824345 1 南口前 210423105207 谭 峰 村书记 18641326099 2 南三家 210423105215 单井鑫 村书记 13941320568 3 白草甸 210423105216 张 洋 村书记 15941362166 4 海 阳 210423105202 王 虎 村书记 13082273666 5 高力屯 210423105205 张忠文 村书记 13842369003 6 什排地 210423105206 胡 伟 村书记 15841360335 7 北口前 210423105208 焦维民 村书记 13841302459 8 王家堡 210423105209 王建民 村书记 13942302270 9 十八道岭 210423105210 蔡 军 村书记 18941385598 10 向 阳 210423105211 刘世海 村书记 13941347792 11 张家堡 210423105215 刘海鹰 村书记 13942364239 12 暖泉子 210423105213 岳士民 村书记 13804236966 13 康家堡 210423105204 孙 莉 村书记 13942302139 十 南山城镇 210423106001 刘立鲲 镇长 13842379188 1 大北岔村 210423106201 孔令霞 村书记 13591564866 2 大枉沟村 210423106202 黄广琴 村书记 18841353734 3 三胜堡村 210423106203 李 峰 村书记 13188278703 4 苇塘沟村 210423106206 吕 舰 村书记 15141347222 5 甘井子村 210423106207 王 锐 村书记 15898379929 6 中堡村 214023106208 李春禄 村书记 13504232214 7 南山城村 210423106209 杨 明 村书记 13842381889 8 朝鲜族村 210423106210 梁 君 村书记 13904139192 9 东五里堡村 201423106212 张 雷 村书记 15842332518 10 三道岭村 201423106213 王国柱 副书记 15842336390 11 靠山屯村 201423106215 黄试江 村书记 13188290185 12 南小堡村 210423106216 白凤涛 村书记 15941367858 13 龙头堡村 214023106220 黄德刚 村书记 13942392866 14 二道河村 214023106221 陈立春 村书记 15241315457 15 太平甸村 201423106222 孙艳成 村书记 15041341830 15841360622 16 东庙村 214023106223 袁福萍 村书记 13591563835 17 三道河村 214023106226 丁希文 村书记 15714134666 18 大秧上堡村 214023106228 赵友富 村书记 15242312999 19 杨树崴村 214023106231 王艳平 村书记 13204253663 20 九道沟村 210423106232 赵青团 村书记 13842348001 21 四道碱场村 210423106236 赵同金 村书记 13842379712 22 黑石头村 210423106237 丁希忠 村书记 15842371137 23 秀水甸村 214023106241 祝 贺 村书记 18241311212 24 下堡村 214023106244 赵宏伟 村书记 15041322699 十一 土口子乡 210423203000 林大鹏 乡长 15842310445 1 柴家店村 210423203212 周凤云 统战委员 15898346085 2 门 脸 村 210423203209 解志强 副书记 13904233291 3 拐抹沟村 210423203214 范喜娇 宣传委员 13904233631 4 土口子村 210423203211 王玉坤 副乡长 13941384686 5 治 安 村 210423203202 徐驰 人大主席 13322131151 6 荒 地 村 210423203205 王羽 副乡长 13188271777 7 陈家沟村 210423203207 姜丽红 综治委员 15898347088 8 汪家沟村 210423203210 孟晓阳 组织委员 18841353535 9 北猴石村 210423203219 王微 武装部长 18241329899 10 石 阳 村 210423203204 徐德新 副乡长 15842392567 十二 湾甸子镇 210423107000 李 响 镇 长 15898399693 1 湾甸子村 潘学军 村书记 13941308468 2 砍椽沟村 210423107217121 210423107203220 孙安文 村书记 13941374837 3 尖山子村 210423107204220 苏学全 村书记 13470513769 4 大那路村 210423107206220 王兴朋 村书记 15041370243 5 红树沟村 210423107205220 林 锋 村书记 13904934205 6 得胜村 210423107212220 王宝军 村书记 13470592752 7 大庙村 210423107207220 王 岩 村书记 13352137625 8 风道村 210423107215220 何恩孝 村书记 15041372597 9 大边沟村 杨爱国 村书记 13394234117 10 龙头村 210423107214220 210423107202220 耿艳玲 村书记 15041387866 11 七道河村 210423107216220 卢献清 村书记 13804132700 十三 夏家堡镇 210423109000 盖天泽 镇长 18004931777 1 夏家堡社区 210423109001 王希福 书记 15241319117 2 刘小堡村 210423109202 顾亚秋 村书记 13130370444 3 高砬子村 210423109204 陈亚利 村书记 13941376509 4 唐家屯村 210423109205 张凤林 村书记 13394234326 5 黄家屯村 210423109206 李国军 村书记 13204258686 6 文家屯村 210423109207 杨海龙 村书记 15668540777 7 卜家屯村 210423109208 李雪峰 村书记 15898322838 8 大地村 210423109209 白景涛 村副书记 15041362966 9 袁家庙村 210423109210 张立刚 村书记 19841331688 10 丁家堡村 210423109211 刘 芳 村书记 13204256699 11 赵家堡村 210423109212 王成财 村书记 13904931696 12 杨家堡村 210423109214 吴俊龙 村书记 13942398847 13 马家堡村 210423109216 王宝富 村书记 13941303866 14 下坎子村 210423109217 谭宗仁 村书记 15242341789 15 金家窝棚村 210423109220 周玉财 村书记 13130330226 16 马家店村 210423109221 潘振权 村书记 13842370188 17 猴石村 210423109223 杨明慧 村书记 13284131233 18 金庄村 210423109224 王德勇 村书记 15841385338 19 天桥村 210423109225 杜宏权 村书记 15842375398 20 太平沟村 210423109226 尤士发 村副书记 15641357285 21 湾龙背村 210423109227 王 岩 村书记 15898341419 22 下老坎村 210423109228 高忠有 村书记 13470576074 23 红土庙村 210423109230 王振洲 村书记 15941331017 24 邱窝棚村 210423109231 高成国 村书记 13204258099 25 贾屯村 210423109232 张庆财 村书记 15841382408 26 小孤家村 210423109233 马春雨 村书记 15842360576 27 下王堡村 210423109234 张永东 村书记 13204253388 28 夏家堡村 210423109236 张忠军 村书记 15898347718 十四 大孤家镇 210423108000 黄蕊 镇长 15842330101 1 湾龙泡村 210423108202 王玉彪 村书记 15842332230 2 一面山村 210423108201 卢炳新 村书记 13842370525 3 半拉山村 210423108203 左殿虎 村书记 13942395158 4 大孤家村 210423108219 张利 村书记 18241331899 5 清河北村 210423108206 王亚明 村书记 18241319419 6 泉眼头村 210423108211 罗骅 村书记 18904231311 7 刘家沟村 210423108208 冯宝刚 村书记 13904936401 8 王大堡村 210423108218 王世兴 村书记 15041315759 9 王小堡村 210423108210 卢维华 村书记 13842375129 10 松树嘴村 210423108212 贾峰 村书记 13604137239 11 大甘河村 210423108213 刘善文 村书记 13904233488 12 小甘河村 210423108215 刘芝国 村书记 13941374938 13 兴隆台村 210423108216 于显斌 村书记 13941397567 抚顺县 1 海浪乡 210421211000 徐铁骥 乡长 18242331877 2 下海浪村 210421211201 汤宪文 村支书 13841388858 3 上海浪村 210421211203 张龙 村支书 15541391756 4 转山村 210421211205 王东华 村支书 13842362026 5 杨木村 210421211207 温希玖 村支书 13942358343 6 房申村 210421211209 许洪文 村支书 15001844777 7 前楼村 210421211211 周春勇 村支书 13842393877 8 松树村 210421211212 于宏 村支书 13842382628 9 邹家村 210421211217 尚德波 村支书 15041322900 10 台沟村 210421211219 朱胜宏 村支书 18642355585 11 安家村 210421211222 张振 村支书 13700133190 12 果木村 210421211225 李国华 村支书 13324232111 13 石文镇 210421101000 吴庆鹏 镇长 54807702 18641313123 14 石文社区 210421101001 张玉斌 书记 54801219 13304932777 15 栗子村 210421101201 韩禄 村主任 13841344435 16 大石村 210421101204 王健 村书记 15041321888 17 瓦房村 210421101207 郭绍锋 村副书记 13898304067 18 苏子村 210421101208 郭丽辉 村副书记 15898306277 19 英守村 210421101210 于世阳 村书记 13942329788 20 三家子村 210421101211 赵世衡 村书记 13591561111 21 官山村 210421101212 宋恒刚 村书记 13700131169 22 连刀外村 210421101215 刘凤君 村书记 13188256591 23 养树村 210421101216 王军 村书记 13941388848 24 毛公村 210421101218 邵威 村书记 13842340005 25 景家村 210421101219 金英 村副书记 15841340815 26 八家子村 210421101222 唐凤微 村书记 15898322818 27 大堡村 210421101226 王东 村副书记 13236951758 28 阁老村 210421101227 张宝玉 村书记 15842323955 29 石文村 210421101229 高亮 村主任 15668537111 30 救兵镇 210421106000 李子豪 镇长 15504130007 31 救兵村 210421106201 李越 村书记 15641307000 32 通什村 210421106202 赵连军 村书记 18004138588 33 后腰村 210421106205 王艳香 村书记 13081318376 34 石门村 210421106206 赵喜财 村书记 13050171733 35 马郡村 210421106208 周英俊 村书记 15841338000 36 五牛村 210421106210 张国良 村书记 18641301531 37 山龙村 210421106212 黄金凤 村书记 13942340639 38 板城村 210421106216 徐世友 村书记 18604235557 39 马鲜村 210421106221 颜世英 村书记 15504136237 40 小东村 210421106222 李文鹏 村书记 13591539378 41 马和村 210421106223 遇铁军 村书记 18242374912 42 大东村 210421106224 那东玲 村书记 13384233099 43 康西村 210421106226 刘莉 村书记 15668555228 44 王木村 210421106227 方孝斌 村书记 13842333999 45 马圈子乡 210421204000 李舒君 乡长 46 金斗村 210421204207 崔庆文 村书记 13504236781 47 孤家子村 210421204205 孟宪堔 村书记 13322137666 48 马圈子村 210421204201 马玉东 村书记 13841391111 49 草盆村 210421204204 李维国 村书记 13704933977 50 西川村 210421204202 聂长利 村书记 13942324588 51 太平村 210421204203 孙继发 村书记 18841320132 52 上马镇 210421105000 尹红家 镇长 53 塔二丈村 210421105205 宋国海 村书记 13842336198 54 洋湖村 210421105207 林然 村主任 13942311415 55 上马村 210421105210 康书华 村主任 13470577221 56 下马村 210421105209 罗耀文 村书记 13841371609 57 西古村 210421105213 佟营 村书记 15141357699 58 四家子村 210421105214 庄忠明 村书记 13842394828 59 姚家村 210421105216 苏成见 村书记 15941338721 60 温道村 210421105201 张文浩 村书记 13019654733 61 台沟村 210421105219 苗润达 村书记 13841333233 62 通什村 210421105237 杨雪 村书记 13591539949 63 坎木村 210421105233 赵志玲 村书记 15941353263 64 赵家村 210421105234 刘国忠 村书记 15898383003 65 李家村 210421105225 于文龙 村主任 15141323666 66 油坊村 210421105226 祁长虹 村书记 13841300288 67 窑沟村 210421105228 刘伟 村书记 13234132999 68 竖碑村 210421105229 徐万新 村书记 13082271177 69 苍什村 210421105231 杜学洋 村书记 13841386648 70 汤图乡 210421216000 王大纲 乡长 13941355880 71 百花村 210421216210 刘启超 书记 13384135555 72 鲍家村 210421216211 刘玉海 书记 15842357848 54043043 54088458 18841350189 18841359898 73 汤图村 210421216209 刘凤清 书记 13841375288 74 石棚子村 210421216203 王玉金 书记 18041365678 75 三块石村 210421216201 曹州 书记 13030711678 76 龙凤村 21042121604 肇恒启 书记 13384135253 77 庄稼村 2102121605 肇涛 书记 13842305687 78 占贝村 21042121607 苏彩秀 书记 17731747490 79 河东村 21042121608 于长亮 书记 13700137042 80 峡河乡 210421209000 刘凯 乡长 18642340123 81 峡河村 210421209201 邓连权 村主任 15842359555 82 台堡村 210421209203 刘新付 村主任 18642349577 83 眼望村 210421209204 于长敏 村主任 13050120326 84 陡岭子村 210421209211 赵志军 村主任 15041377999 85 六家子村 210421209206 徐荣存 村主任 13624236678 86 三家子村 210421209207 邓玉国 村主任 18642349588 87 小林村 210421209208 鄂威 村主任 13224132345 88 杜家村 210421209209 于文阁 村主任 18841357011 89 大房子村 210421209210 王风华 村主任 18841357009 90 胜子村 210421209214 赵闯 村主任 15941388392 91 后安镇 210421102000 关 92 后安村 210421102001 董凤波 王鹏 93 同安村 210421102202 13941350527 13941353537 15842355999 13842320659 94 前安村 210421102201 95 彰党村 210421102203 关 健 曹路清 张石吉 李宝林 镇长 村书记 村主任 书记、主任 村书记 副书记 书记、主任 18642378046 15104137774 13704134808 96 馒首村 210421102211 李丛星 书记、主任 15040808080 97 佟庄村 210421102210 张喜林 书记、主任 15841311570 98 郑家村 210421102208 陈 爽 书记、主任 15841375388 99 李家村 210421102218 张连双 书记、主任 15841356006 100 王家村 210421102216 刘云雷 书记、主任 13842360933 101 四道村 210421102215 吴玉祥 书记、主任 13842349111 102 五龙村 210421102214 吴玉祥 书记、主任 13842392815 103 腰堡村 210421102213 叶松艳 书记、主任 15841311968 104 傲牛村 210421102221 翟福德 书记、主任 15042388996 锋 新宾县 1 新宾镇 210422100000 赵维海 镇长 55690003 13942372001 2 民主社区居委会 210422100001 黄海涛 社书记 55023695 13804937580 3 和平社区居委会 210422100002 孙 焱 社书记 55023956 13941396229 4 前进社区居委会 210422100003 关琳琳 社书记 55023896 15041356877 5 胜利社区居委会 210422100004 白玉莹 社书记 55029946 13470522966 6 建新社区居委会 210422100005 董秀娥 社书记 55020291 13842325277 7 五副甲村民委员会 210422100201 吴文印 村书记 无 13942307955 8 前进村民委员会 210422100202 关德仁 村书记 55022157 13904133238 9 胜利村民委员会 210422100204 殷志远 村书记 无 13470529123 10 胜利朝鲜族村民委员会 210422100205 黄玉纯 村书记 无 13238139889 11 和平汉村民委员会 210422100207 张爱军 村书记 无 13504235555 12 民主村民委员会 210422100208 赵抵非 村书记 55063066 13941383002 13 八宝村民委员会 210422100210 常静国 村书记 无 13942332777 14 砬嘴村民委员会 210422100211 刘志华 村书记 无 13804934391 15 后仓村民委员会 210422100212 李勇 村书记 无 15941325051 16 石碑村民委员会 210422100213 纪纯杰 村书记 无 15941372896 17 黄旗村民委员会 210422100215 杨春华 村书记 无 13804931601 18 秋木村民委员会 210422100216 戴清高 村书记 无 13804935877 19 五里村民委员会 210422100217 白雪 村书记 无 13125517011 20 照阳村民委员会 210422100218 朱立兵 村书记 无 13842335810 21 下坎村民委员会 210422100219 高恒阳 村书记 无 15541307370 22 和平蔬菜村民委员会 210422100220 党大蕊 村书记 无 13941367578 23 兰旗朝村民委员会 210422100224 安永哲 村书记 无 15842368360 24 兰旗村民委员会 210422100223 高云飞 村书记 无 13942383037 25 刘家村民委员会 210422100225 傅永祥 村书记 无 13942352778 26 刘朝村民委员会 210422100226 朴风花 村书记 无 13019650965 27 尹家村民委员会 210422100227 时福永 村书记 无 15841379728 28 佟家村民委员会 210422100228 夏君飞 村书记 无 13050151234 29 郝家村民委员会 210422100229 匡广清 村书记 无 13942372119 30 达子营村民委员会 210422100231 隋立军 村书记 无 15141335567 31 拨堡沟村民委员会 210422100232 初志伟 村书记 无 15141345169 32 网户村民委员会 210422100233 赵 丹 村书记 无 15898357799 33 向阳村民委员会 210422100234 张秀华 村书记 无 15242309333 34 林子头村民委员会 210422100235 吕 顺 村书记 无 13804931355 35 茶棚村民委员会 210422100237 张万义 村书记 无 13804931996 36 关家村民委员会 210422100238 张 杰 村书记 无 13804237491 37 红旗沟村民委员会 210422100239 何清洋 村书记 无 15041359161 38 红升乡 210422202000 王栋栋 乡长 无 13804232600 39 红升村 210422202205 王忠文 村书记 无 18741350999 40 白旗村 210422202208 于凤平 村书记 无 13842379486 41 张家村 210422202206 谷峰 村书记 无 13804233709 42 关家村 210422202207 王丽娟 村书记 无 13081346831 43 南蜂蜜沟村 210422202204 赵秀雅 村书记 无 13654232555 44 北蜂蜜沟村 210422202203 黄艳峰 村书记 无 13841373500 45 旧门村 210422202201 王国强 村书记 无 13842384222 46 永陵镇 210422102000 赵伟 书记 无 13504233916 47 龙岗社区居委会 210422102001 栾 玲 社区主任 55171331 13898336499 48 凤仪社区居委会 210422102002 陈 卓 社区主任 55171373 15042385083 49 东钢社区居委会 210422102003 张泽福 社区主任 无 13942346565 50 红旗村民委员会 210422102201 王亚斌 村书记 55155695 13841351652 51 前进村民委员会 210422102202 张志富 村书记 无 13842370666 52 蔬菜村民委员会 210422102203 赵宾伟 村书记 无 13504133883 53 后堡村民委员会 210422102204 高玉军 村书记 无 13804939922 54 头道砬子村民委员会 210422102206 张茂全 村书记 无 15898339669 55 错草村民委员会 210422102207 尤明仁 村书记 无 13941333785 56 老城村民委员会 210422102208 罗天成 村书记 无 13504233526 57 永陵朝鲜村民委员会 210422102210 金仙俊 村书记 55155192 15842379932 58 二道河村民委员会 210422102211 夏永亮 村书记 55154176 13841377766 59 金岗村民委员会 210422102213 刘纯雨 村书记 无 13204245666 60 色家村民委员会 210422102214 王成波 村书记 55145119 13942372203 61 那家村民委员会 210422102215 杨德友 村书记 55145999 18641389111 62 李家村民委员会 210422102216 李铁成 村书记 55145589 13841399796 63 腰堡村民委员会 210422102218 黄志强 村书记 55146153 15141306066 64 头道堡村民委员会 210422102219 刘 利 村书记 55253555 13130323999 65 嘉禾村民委员会 210422102220 崔贵生 村书记 55144685 13941353221 66 驿马村民委员会 210422102221 关福利 村书记 55148128 15041331060 67 五道堡村民委员会 210422102222 佟野 村书记 无 15042376000 68 西堡村民委员会 210422102223 郭明 村书记 无 15842377111 69 大和睦村民委员会 210422102225 白安勇 村书记 无 15141395000 70 下房子村民委员会 210422102228 马俊俭 村书记 无 15041363999 71 夏园村民委员会 210422102231 富强 村书记 无 13842384128 72 团结村民委员会 210422102232 段春永 村书记 无 13624234019 73 羊祭台村民委员会 210422102233 卢 杨 村书记 无 15041349157 74 陡岭村民委员会 210422102234 吴春雷 村书记 无 13841377425 75 旺清门镇政府 210422101 付桂香 55372002 15141389888 76 旺清门镇旺汉村委员会 210422101213 121 詹德利 无 13130356335 77 旺清门镇旺鲜村委员会 210422101201 122 李哲 镇长 村书记村主 任一肩挑 村书记村主 无 13470520311 任一肩挑 村书记村主 任一肩挑 无 13104931111 78 旺清门镇东汉村委员会 210422101202 220 马跃虎 村书记村主 任一肩挑 村书记村主 无 13252757655 无 15668557677 任一肩挑 村书记村主 任一肩挑 村书记村主 无 13591575798 无 13942371122 无 15141312186 丁艳秀 任一肩挑 村书记村主 任一肩挑 村书记村主 无 13841368577 210422204000 赵景波 任一肩挑 乡长 55377002 13841335522 红庙子乡南四平村委员 会 红庙子乡老戏场村委员 210422204207 赵景波 乡长 55377002 13841335522 210422204206 赵景波 乡长 55377002 13841335522 会 红庙子乡查家村委员会 红庙子乡长岭子村委员 会 红庙子乡红庙子村委员 210422204201 赵景波 乡长 55377002 13841335522 210422204202 赵景波 乡长 55377002 13841335522 210422204204 赵景波 乡长 55377002 13841335522 会 红庙子乡五道沟村委员 会 红庙子乡英盈村委员会 210422204208 赵景波 乡长 55377002 13841335522 210422204209 赵景波 乡长 55377002 13841335522 210422204210 赵景波 乡长 55377002 13841335522 210422204212 赵景波 乡长 55377002 13841335522 95 红庙子乡英鲜村委员会 红庙子乡四道沟村委员 会 红庙子乡西岔村委员会 210422204213 赵景波 乡长 55377002 13841335522 96 响水河子乡 210422203200 王义 乡长 55375002 15842376669 97 响水河村 210422203206 孙德龙 村书记 无 15841373411 98 响鲜村 210422203207 公映花 村书记 无 15041355019 99 东腰堡村 210422203208 吴黎勇 村书记 无 13591536169 100 双砬子村 210422203202 王国林 村书记 无 13942352381 101 双鲜村 210422203203 金太明 村书记 无 15241301711 102 上围子村 210422203204 刘小海 村书记 无 15041343909 103 下围子村 210422203205 李向军 村书记 无 13188299093 104 富江村 210422203201 李万惠 村书记 无 13841321533 105 北四平乡 210422205 曲春雨 55393002 13941390968 106 火石村 210422205201220 杨连国 无 13841349816 107 宝汤村 210422205202220 曹文明 乡 长 村书记兼村 主任 村书记兼村 无 13941355227 主任 村书记兼村 主任 村书记兼村 无 13704935427 无 15941307111 主任 村书记兼村 主任 村书记兼村 无 15141379666 无 13842313357 无 13470524133 无 15842329511 79 80 81 82 83 84 85 86 87 88 89 90 91 92 93 94 旺清门镇东鲜村委员会 旺清门镇夹河北村委员 会 旺清门镇蜂蜜沟村委员 210422101203 220 金勇哲 210422101205 220 赵忠清 210422101207 220 隗祥海 会 旺清门镇头道沟村委员 会 旺清门镇江南村委员会 210422101209 220 薛兴华 210422101211 220 张增友 旺清门镇大荒沟村委员 会 红庙子乡政府 210422101212 220 108 冯家村 210422205203220 洪光 109 善道村 210422205205220 谷帅 110 北四平村 210422205206210 姜程 111 杨树村 210422205207220 张志龙 112 北旺清村 210422205209220 吴新楠 113 榆树乡 210422207 刘爽 主任 村书记兼村 主任 乡长 114 榆树村民委员会 210422207201 赵亚斌 村书记 无 13804238553 115 红石村民委员会 210422207204 李根 村书记 无 15141305877 116 红旗村民委员会 210422207205 董宪利 村书记 无 13841395806 117 蔡家利民委员会 210422207208 蔡振平 村书记 无 13942379466 118 边外村民委员会 210422207209 张秋颖 村书记 无 18242326655 119 何家村民委员会 210422207210 王宪海 村书记 无 15242317979 120 罗圈村民委员会 210422207213 扬永峰 村书记 无 13188266669 121 哈山村民委员会· 210422207214 陈永强 村书记 无 15841376367 122 彭家村民委员会 210422207215 冯克海 村书记 无 13470599055 123 都督村民委员会 210422207216 王世清 村书记 无 15241302858 124 样子沟村民委员会 210422207217 刘忠仁 村书记 无 13842363773 125 岔路子村民委员会 210422207218 张仲波 村书记 无 13841346377 126 平顶山镇 210422103 杨红军 镇长 55482009 13941317688 127 平顶山镇 210422103 刘宴君 副镇长 无 13125522555 128 平顶山村 210422103218 谢云戈 村书记 无 18642368388 129 黄岗子村 210422103201 王忠利 村书记 无 13804930218 130 小甸子村 210422103203 张跃 村书记 无 15898369806 131 下青村 210422103205 唐丽娟 村书记 无 13614133027 132 上青村 210422103206 宋玉杰 村书记 无 15041387073 133 李家村 210422103207 张景森 村书记 无 13841391475 134 櫈厂村 210422103208 张子霞 村书记 无 15041340145 135 杨家村 210422103212 冯勇 村书记 无 15841364198 136 大东沟村 210422103214 陆伟业 村书记 无 13898317897 137 杉木厂村 210422103213 王儒 村书记 无 15842336755 138 东瓜岭村 210422103216 程模利 村书记 无 15041341618 139 大甸子村 210422103209 李进东 村书记 无 18241365566 140 大琵琶村 210422103210 于海申 村书记 无 15041332543 141 赵家村 210422103215 韩有余 村书记 无 15842363998 142 西安村 210422103211 刘志远 村书记 无 15042397444 143 大四平镇 210422104000 富玉斌 镇长 无 13841313077 144 小四平村 210422104201 李金铎 村书记 无 13470522202 145 东升村 210422104202 吴金峰 村书记 无 18802442999 146 样尔沟村 210422104203 张 瑜 村书记 无 13470596566 147 马架子村 210422104205 王永辉 村书记 无 13591570676 148 徐甸子村 210422104206 杨永民 村书记 无 15842338766 149 东小堡村 210422104207 于俊海 村书记 无 13624139444 150 草盆村 210422104208 李艳多 村书记 无 15041342529 151 皇木场村 210422104209 王成东 村书记 无 13604131366 152 龙湾村 210422104212 于成太 村书记 无 13804232388 153 四方台村 210422104213 李春凯 村书记 无 13804230202 154 大四平村 210422104214 杨玉红 村书记 无 15141389685 155 苇子峪镇 210422105 林云峰 无 13841306496 156 于家村民委员会 210422105212 220 王欣 无 13941391212 157 甸边子村民委员会 210422105217 220 王仁刚 镇 长 村书记、村 主任 村书记、村 无 15141326118 主任 村书记、村 主任 村书记、村 无 15841372755 无 15842308988 主任 村书记、村 主任 村书记、村 无 13942351759 无 13841394697 主任 村书记、村 主任 村书记、村 无 13252751717 无 13130340378 主任 村书记、村 主任 乡长 无 15841362200 55587056 13842350016 158 小哪吽村民委员会 210422105220 220 孟庆明 159 苇子峪村民委员会 210422105208 121 刘祝 160 杉松村民委员会 210422105214 220 刘艳敏 161 大堡村民委员会 210422105202 220 翟淑华 162 富家村民委员会 210422105206 220 徐国文 163 小堡村民委员会 210422105204 220 田伟俊 164 三道关村民委员会 210422105201 220 李存 165 下夹河乡 210422208 盖 166 下夹河乡 210422208 谷玉麟 副乡长 55587056 13804931223 167 双台子村委会 210422208215 220 马 龙 村书记 无 18524142000 168 松树村委会 210422208213 220 张明思 村书记 无 13942373122 169 下夹河村委会 210422208211 220 武 伟 村书记 无 13804239775 170 岗东村委会 210422208208 210 刘兴华 村书记 无 13842317768 171 河南村委会 210422208210 220 李芝冲 村书记 无 15941314085 172 双河村委会 210422208206 220 孙 贺 村书记 无 18641362456 173 平河村委会 210422208204 220 张志富 村书记 无 14741275678 174 支家村委会 210422208201 220 谢廷魁 村书记 无 15134132019 175 木奇镇 210422106 关泰鹏 镇长 无 15241303258 176 房申村委会 210422106219 220 王德志 村书记 55160149 13941392049 177 大洛村委会 210422106201 220 邢占友 村书记 55160001 15668501618 178 赵家村委会 210422106205 220 潘景瑜 村书记 无 13842361626 179 下湾子村委会 210422106206 220 耿春峰 村书记 55161178 15242383555 180 韩家村委会 210422106207 220 王雷 村书记 无 13842311570 181 下营子村委会 210422106203 220 宋志邦 村书记 55150012 15041385658 182 小洛村委会 210422106218 220 吴志军 村书记 无 13841365683 183 木家村委会 210422106216 220 侯晓波 村书记 55150669 15898329650 184 水手村委会 210422106215 220 韩秀国 村书记 55165711 13841345131 185 木奇村委会 210422106210 121 刘树民 村书记 55164569 15898377511 186 东站村委会 210422106211 122 秦建国 村书记 55164179 15242319118 187 北沟村委会 210422106214 220 许加军 村书记 55167016 13942378079 188 上夹河镇 210422108 王海洋 副镇长 55276294 13842390447 189 大堡村 210422108203 220 刘海东 村主任 无 15041377866 斌 190 马尔墩村 210422108202 220 苏泉海 村主任 无 13941350838 191 五龙村 210422108201 220 孙若广 村主任 无 13470595338 192 上夹河村 210422108213121 宋宝军 村主任 55276012 15041364999 193 腰站村 210422108204 220 王春龙 村主任 无 13030702577 194 胜利村 210422108205 220 富玉伟 村主任 无 13941396881 195 古楼村 210422108206 220 谷怀春 村主任 无 15941377886 196 河西村 210422108207 220 何福儒 村主任 无 13841324463 197 南嘉禾村 210422108209 220 吴连刚 村主任 无 13354136111 198 徐家村 210422108210 220 刘德荣 村主任 无 15841370880 199 吕家村 210422108212 220 卢浩 村主任 无 13804933463 200 南杂木镇 210422109 马明 镇长 55260301 13504137158 201 南杂木村 210422109208 122 解惠元 书记 55260534 13904939313 202 榔头沟村 210422109206 220 沈长春 书记 55268499 15041363666 203 朝阳村 210422109202 220 付刚 书记 无 13841346335 204 国道旁村 210422109204 220 杨连禹 书记 无 13841329252 205 聂尔库村 210422109205 220 乔彦飞 书记 55265340 15242354777 206 转湾子村 210422109207 220 吴兴江 书记 55250282 15898344851 207 车站社区 210422109004 121 刘野 书记 55261643 13514132459 208 建设社区 210422109002 121 李阳 书记 55062330 13941388779 209 富强社区 210422109003 121 孔庆岩 书记 55260312 13841391750 政府乡长 54046013 18642380027 东洲区 1 兰山乡 210421215000 郭子豪 2 金家村 210421125201 佟 光 村书记兼主任 3 五味村 210421125202 季秋月 村书记兼主任 4 紫花村 210421125203 吴全顺 村书记兼主任 5 簸箕村 210421125204 石玉范 村书记兼主任 54011453 15641360190 6 兰山村 210421125205 刘宽友 村书记兼主任 54046688 15641360177 7 关家村 210421125206 崔宝忠 村书记兼主任 54164977 15641310139 8 新农村 210421125207 邓长俭 村书记兼主任 54011663 15641310152 9 章党镇政府 210421103000 张岳 镇长 13130345929 10 章党镇二伙洛村 210403103218 张庆辉 村书记 13841366983 11 章党镇洼子村 210403103217 李学武 村书记 13188276999 12 章党镇高丽村 210403103214 孙魁元 村书记 13154133868 13 章党镇榆树村 210403103213 杨雨 村书记 18741306027 14 章党镇营盘村 210403103212 周绍平 村书记 13704932454 15 章党镇驿马村 210403103211 王凤文 村书记 13941308472 16 章党镇石门岭村 210403103210 王志禄 村书记 13081334567 13842396990 56323946 15042362345 17304133315 17 章党镇万金屯村 21040310319 白金萍 村书记 13470570111 18 章党镇邱家村 210403103201 程辉 村书记 13704934069 19 章党镇上鲜程 210403103205 崔相哲 村书记 1384230777 20 章党镇上汉村 210403103203 周丽春 村书记 13941330417 21 章党镇黄金村 210403103207 张绍军 村书记 13082276064 22 章党镇森源社区 周玉坤 社区书记 13704935294 23 哈达镇 210403101000 梁培禄 镇长 19804130606 24 下哈达村 210403101201 吴耀杰 书记 18741306188 25 关山村 210403101205 时庆雨 书记 13342133151 26 上哈达村 210403101204 佟明成 书记 13384131668 27 河清村 210403101206 杜 强 书记 15566309666 28 长岭子村 210403101208 金秀丰 书记 18841367413 29 窑沟村 210403101207 张东旭 书记 18741306022 30 东沟村 210403101203 吴丽 书记 18741306151 31 下年村 210403101213 金成刚 书记 15941351788 32 富尔哈村 210403101212 倪宝才 书记 15898387567 33 古塘村 210403101209 李才明 书记 13081320197 34 上年村 210403101210 李立新 书记 13236955899 35 小寨子村 210403101211 佟丽新 书记 18741306228 36 阿及村 210403101202 王秀梅 书记 15242344550 37 碾盘乡政府 210403202000 李恒志 乡 长 15641308638 38 平山村 210403202202 李景荣 书记、主任 54317530 13324232888 39 萝卜坎村 210403202203 周志成 书记、主任 54410416 13504136657 40 碾盘村 210403202207 王 石 书记、主任 54410115 13842348363 41 关口村 210403202209 李高鑫 书记、主任 54113777 18241347055 42 石富村 210403202210 王秋月 书记、主任 43 营城村 210403202211 祁 妍 书记、主任 54164958 13154134321 44 张甸村 210403202212 范明龙 书 记 54628616 13942333123 45 张鲜村 210403202213 崔永浩 书 记 54633609 13050151760 46 元龙村 210403202214 刘 强 书记、主任 47 新太河村 210403202215 李 然 书记、主任 48 武嘉村 210403202216 吴艳霞 书记、主任 13470582809 49 东洲村 210403202217 李长瑞 书记、主任 13332139988 50 龙凤村 210403202218 李家宁 书记、主任 51 新龙村 210403202219 邓秀珍 书记、主任 52 员工村 210403202220 王建龙 书记、主任 52566530 15141384567 53 甲邦村 210403202221 王祥松 书记、主任 57401858 13841306369 18641312669 13942308657 58595916 58058260 18518480272 13841337219 13470589678 54 章党街道办事处 210403012000 丁象伟 街道主任 54610829 15842380474 55 章党街道天湖社区 210403012001 陈丽 社区书记 58595008 15104134873 56 章党街道粮库社区 210403012010 庞静 社区书记 54610673 15041332166 57 章党街道河西社区 210403012005 袁安香 社区书记 54610763 18904231508 58 章党街道河东社区 210403012004 王晓楠 社区书记 54610973 13504130711 59 章党街道火电社区 210403012007 孙晶 社区书记 54610173 15042377730 60 章党街道抚东社区 210403012003 焦玉红 社区书记 54072605 13842316459 61 章党街道章汉村 210403012201 秦希科 村书记 54611336 13842314088 62 章党街道章鲜村 210403012202 赵哲奎 村书记、主任 63 东洲街道办事处 210403002000 吴士义 街道主任 54627199 18940354466 64 东洲街道金南社区 210403002001 马庆国 社区书记 54620181 15641380652 65 东洲街道金秋社区 210403002002 郭 鸿 社区书记 54620185 15641380687 66 东洲街道向阳社区 210403002003 路菁杰 社区书记 54620195 15604938536 67 东洲街道北安社区 210403002006 李惠瑶 社区书记 54620189 15641380659 68 东洲街道绥阳社区 210403002007 多艳秋 社区书记 54620187 18904232698 69 东洲街道阿金社区 210403002008 马欣彤 社区书记 54620180 13841385436 70 东洲街道乙烯社区 210403002010 曹 乐 社区书记 54620196 15041357570 71 东洲街道腈纶社区 210403002011 徐 丹 社区书记 54620197 15641380663 72 东洲街道油机社区 210403002012 宋 湧 社区书记 54620191 15842314833 73 东洲街道含情园社区 210403002013 张健萍 社区书记 54620186 15641397257 74 东洲街道五满意社区 210403002014 李 娜 社区书记 54620190 13842389949 75 东洲街道新太河社区 210403002016 王 鹏 社区书记 54620193 13604138334 76 东洲街道张甸社区 210403003 于 岩 社区书记 54620117 15141321616 77 东洲街道幸福社区 李 娜 社区书记 54620198 13842387328 78 搭连街道办事处 210403004000 郭晨 主任 18241305002 18642380662 79 搭连街道新安社区 210403004002 宗 翠 社区书记 18241305021 13942358769 80 搭连街道佳源社区 210403004003 王 丽 社区书记 18241305023 15698939906 81 搭连电修塔湾社区 210403004005 韩 伟 社区书记 18241305026 18241305077 82 搭连街道新苑社区 210403004007 蒋 锐 社区书记 18241305022 18940387899 83 搭连街道塔湾社区 210403004009 郭宇阳 社区书记 18241305025 17640071127 84 龙凤街道办事处 210403005000 张 伟 办事处主任 58693298 13352131555 85 龙祥社区居民委员会 210403005001 朱云华 社区书记 15641335855 86 政通社区居民委员会 210403005002 韩玉梅 社区书记 15842309558 87 锦山社区居民委员会 210403005003 崔玉深 社区书记 15242733829 88 海新社区居民委员会 210403005004 陈文杰 社区书记 13104233366 89 凤顺社区居民委员会 210403005006 王君颖 社区书记 13941307095 90 茨沟社区居民委员会 210403005007 张秋芳 社区书记 15642052278 15842352100 91 兴龙社区居民委员会 210403005008 纪 斌 社区书记 15241339309 92 龙腾社区居民委员会 210403005009 王凤娟 社区书记 15698932245 93 中汇社区居民委员会 210403005012 杜广云 社区书记 13104131133 94 新屯街道办事处 210403006000 单秋松 街道主任 54702764 13942305016 95 新屯街道莫地社区 210303006006 王雅君 社区书记 54700794 15941358900 96 新屯街道新和社区 210403006010 赵彬彬 社区书记 54700402 15841319686 97 新屯街道南岭社区 210403006005 董文丽 社区书记 54700804 15041395900 98 新屯街道河西社区 210403006003 佟维红 社区书记 54700914 15941358233 99 新屯街道启运社区 210403006002 李静景 社区书记 54700247 18241378000 100 新屯街道东泰社区 210403006007 李 爽 社区书记 54700854 15841316606 101 新屯街道河东社区 210403006009 张红菊 社区书记 54700604 13841346665 102 万新街道办事处 210403007000 宋健 街道主任 58038199 13125510889 103 万新街道虎万路社区 210403007004 宋燕飞 社区书记 58605286 13941370939 104 万新街道东山社区 210403007005 邓蕾 社区书记 58605257 13842301315 105 万新街道万顺社区 210403007006 王淑华 社区书记 58603852 13322123027 106 万新街道万中社区 210403007007 彭云龙 社区书记 58603842 13134130110 107 万新街道万达社区 210403007008 于宏 社区书记 58605209 13941369688 108 万新街道万福社区 210403007009 李佳翼 社区书记 58605202 15241330202 109 老虎台街道 21040300800 李芳芳 街道主任 51482434 15104134805 110 老虎台街道矿前社区 210403008001 李华 社区书记 54782844 15040803010 111 老虎台街道虎北社区 210403008002 张秀 社区书记 54681055 15841332490 112 老虎台街道虎南社区 210403008003 罗继红 社区书记 54682054 15641380791 113 老虎台街道虎东社区 210403008004 陈霞 社区书记 54782594 15641380793 114 老虎台街道安厦社区 210403008007 刘洋 社区书记 54782535 15040820922 115 老虎台街道惠民社区 210403008009 张玉华 社区书记 54782351 15641380792 116 老虎台街道栗华社区 210403009001 齐虹 社区书记 15641380911 117 老虎台街道东山社区 210403009002 于碧华 社区书记 15641325610 118 老虎台街道西山社区 210403009003 元雪 社区书记 13125522061 119 老虎台街道栗园社区 210403009004 祝桂玲 社区书记 54302071 15641380915 新抚区 1 站前街道办事处 210402001000 历晓龙 主任 52788121 15904134155 2 站前街道办事处 210402001000 王强 副主任 52788123 15242321955 3 站前街道万达社区 210402001001 安然 书记 52788141 15841321270 4 站前街道东八路社区 210402001002 梁萍 书记 52788135 13514138886 5 站前街道民主路社区 210402001003 潘学军 书记 52788133 13081345677 6 站前街道联通社区 210402001005 李瑞娜 书记 52788143 18641315710 7 站前街道育才社区 210402001006 盛长九 书记 52788139 13050199192 8 站前街道商业城社区 210402001007 鞠晓洁 书记 52788137 13019667007 9 站前街道解放路社区 210402001008 高聪 书记 52788136 18641333920 10 站前街道西九路社区 210402001009 胡亚菲 书记 52535259 13624231698 11 站前街道东三路社区 210402001010 佟铭 书记 52788132 15641350866 12 站前街道富平社区 210402001011 纪杰 书记 52788140 18642353712 13 站前街道西一路社区 210402001012 季宝凤 书记 52787212 15641314938 14 站前街道千金社区 210402001013 吴丹 书记 52787215 13942355409 15 站前街道乐园社区 210402001014 胡晓莹 书记 52787216 18641337737 16 站前街道元雪社区 210402001015 吴丹 书记 52787211 13104137051 17 站前街道白云社区 210402001020 王丽凤 书记 52787213 13050160939 18 福民街道办事处 210402005000 赵鹏 主任 58583951 13470556122 19 福民街道办事处 210402005000 郝金岭 副主任 58583955 15641352696 20 福民街道福民路社区 210402005001 王霞 社区书记 58184671 15642000345 21 福民街道宏宇社区 210402005003 王彦平 社区书记 58184675 15642838282 22 福民街道铁北社区 210402005004 江虹 社区书记 58184676 13941359434 23 福民街道星月社区 210402005005 李俊峰 社区书记 58184672 15541368887 24 福民街道永达社区 210402005006 张雪莲 社区书记 58583964 18641335757 25 福民街道园丁社区 210402005009 崔壮 社区书记 58583965 13009254842 26 福民街道千抚社区 210402005011 丁郁娟 社区书记 58184673 15841313919 27 新抚街道办事处 210402007000 刘艳 主任 52300021 18941380133 28 新抚街道办事处 210402007000 孙士营 副主任 52300027 13942350295 29 新抚街道新顺社区 210402007001 刘雅梅 社区书记 52300052 13130310151 30 新抚街道平安社区 210402007003 毕宇华 社区书记 52300051 18641388817 31 新抚街道化塑社区 210402007004 孙雪娇 社区书记 52300057 15642038277 32 新抚街道建新社区 210402007006 张坤 社区书记 52300053 18741308831 33 新抚街道大官社区 210402007007 王亚龙 社区书记 52300058 13009261381 34 新抚街道双桥社区 210402007008 孟金花 社区书记 52300056 13804131338 35 新抚街道安居社区 210402007009 侯丽娟 社区书记 52300055 15041339069 36 新抚街道月牙岛社区 210402007010 王昆 社区书记 52300059 13009269370 37 榆林街道办事处 210402009000 王若飞 街道主任 58158002 13700130984 榆林街道办事处 210402009000 于海洋 副主任 58158005 18641319333 38 榆林街道榆林路社区 210402009001 赵晴 社区书记 52421954 13591566733 39 榆林街道万新社区 210402009003 申凤 社区书记 52440817 13842354071 40 榆林街道新东社区 210402009004 史一辰 社区书记 52403917 18641319596 41 榆林街道丽翠社区 210402009005 刘晓泽 社区书记 52440852 13504132858 42 榆林街道凤翔社区 210402009006 侯莹 社区书记 52440858 18940388711 43 榆林街道凤东社区 210402009007 王司思 社区书记 52440856 15504132699 44 榆林街道三合社区 210402009008 洪亮 社区书记 52440857 18841346651 45 榆林街道华龙社区 210402009009 李薇薇 社区书记 52440859 13904139377 46 榆林街道公园社区 210402009010 张红梅 社区书记 52440851 13130304077 47 榆林街道水源社区 210402009011 霍焱 社区书记 52440855 13898334828 48 榆林街道万新村 210402009201 张强 村书记 52531668 13394237000 49 榆林街道榆林村 210402009202 兰仁慧 村书记 52426684 18841342959 50 永安台街道办事处 210402011000 李旭 主任 52649002 15041368080 51 永安台街道办事处 210402011000 李泽明 副主任 52649008 18641365333 52 永安台街道友谊社区 210402011003 李伟 书记 52649013 19904131089 53 永安台街道永宁社区 210402011004 樊东旭 书记 52649009 19904135586 54 永安台街道迎宾社区 210402011005 张蕊 书记 52649012 13504130331 55 永安台街道南台社区 210402011006 于秀娟 书记 52649011 19904131009 56 永安台街道北台社区 210402011008 尹晓梅 书记 52649008 19904131055 57 永安台街道西公园社区 210402011009 刘威威 书记 52676220 19904135579 58 永安台街道南苑社区 210402011010 王文杰 书记 52800862 13130319388 59 台南嘉苑社区 210402011011 张成杰 书记 52660376 15941317000 60 永安台街道安运社区 210402011012 王妍 书记 52609881 13030705313 61 永安台街道南阳社区 210402011013 张志红 书记 52663810 13941368025 62 永安台街道学苑社区 210402011014 王清晨 书记 52800861 18642309989 63 刘山街道欣洲社区 210402019004 李秀杰 社区书记 54262001 13841358892 64 刘山街道安泰社区 210402019007 谢淑珍 社区书记 54262020 13514139755 65 刘山街道盛地社区 210402019010 贾莉 社区书记 54206508 13700138608 66 刘山街道新刘山社区 210402019012 殷海媛 社区书记 54262002 13130332332 67 刘山街道简易房社区 210402019013 吕学芹 社区书记 54262003 13942358052 68 刘山街道蝴蝶楼社 210402019014 文鲜亮 社区书记 54262006 15040832682 69 刘山街道湖边社区 210402019015 李静 社区书记 54260072 13500434969 70 刘山街道十一厂住宅社区 210402019016 王淑云 社区书记 54260071 15898308933 71 刘山街道花园社区 210402019017 孙波 社区书记 54260073 15141357575 72 刘山街道三利社区 210402019018 王密凤 社区书记 54260075 15841351430 73 刘山街道办事处 210402019999 翟梓丞 主任 54261006 15842355752 74 刘山街道办事处 210402019999 李娜 副主任 54261003 18841366621 75 千金乡政府 210402200000 金 剑 乡长 58617702 13842322297 76 千金乡荒地村 210402200201 张思雯 村主任 54109766 18642323310 77 千金乡路家村 210402200202 纪文学 村主任 54101805 15841383000 78 千金乡英德村 210402200203 郑笑琦 村主任 54100212 18642381316 79 千金乡千金村 210402200204 李明 村主任 54100588 13841351666 80 千金乡后邓村 210402200206 王大勇 村主任 54107051 13154131858 81 千金乡前邓村 210402200207 王海涛 村主任 54107228 13019652964 82 千金乡唐力村 210402200209 李胜会 村主任 83 千金乡高家村 210402200210 刘永亮 村主任 54108299 15941378872 84 千金乡郎士村 210402200212 吴显丰 村主任 54108388 13700132011 85 千金乡丁家村 210402200213 王春梅 村主任 54118080 13644135977 86 千金乡花园村 210402200214 赵 坤 村主任 52589919 13941388898 13941364160 望花区 1 朴屯街道办事处 210404006000 康莉 主任 58304182 15841388257 2 岫岩社区 210404006003 王琳 书记 58338120 13394138896 3 天成社区 210404006004 王莹 书记 58338102 15141363958 4 古田社区 210404006005 佟安 书记 58338123 13941363365 5 中海直社区 210404006006 周丽丽 书记 58061613 15841388681 6 油三社区 210404006007 李凤云 书记 58338106 13470597224 7 辽阳社区 210404006008 曹文静 书记 58304180 13842333953 8 盖平社区 210404006009 李宏 书记 58338108 13841334500 9 红星社区 210404006010 关冰 书记 58338109 13942334165 10 海城社区 210404006001 廖姝娟 书记 58061612 13082279566 11 丹北社区 210404006002 郎赛 书记 58061627 13941304805 12 演武街道办事处 210404007000 宋大勇 街道主任 58304208 13504131239 13 小南沟社区 210404007001 张崇 社区书记 56521018 13942376876 14 热电社区 210404007002 张立军 社区书记 56521017 15724696033 15 武道村 210404007201 刘忠斌 村书记 18841351507 16 演武村 210404007202 陈艳 村书记 13470576733 17 小演武村 210404007203 孙彦林 村书记 15842378719 18 千台社区 210404008001 黄宪胜 社区书记 58610507 18741301665 19 旭升社区 210404008002 朱冰洋 社区书记 58610507 15841374344 20 晶花社区 210404008003 张伟 社区书记 58610505 13644135527 21 五老社区 210404008004 张杰 社区书记 58610503 13704137929 22 盘北社区 210404008005 韩宁 社区书记 58610501 13591558056 23 东立社区 210404008007 曹玉辉 社区书记 58610502 18741301655 24 古城社区 210404009001 徐秀香 社区书记 58610506 18741301773 25 中心社区 210404009004 王桂芝 社区书记 58610508 15242355489 26 河东社区 210404009005 曲琦 社区书记 58610509 13842343787 27 盘南社区 210404008005 张茜 社区书记 58610500 15904132520 28 工农街道办事处 210404002000 董志宏 街道书记 02456091560 15242348333 29 煤研西社区 210404002001 赵丽曼 主任 02458608217 15242333187 30 合金社区 210404002003 唐艳 主任 02458608215 15904132958 31 耐火社区 210404002004 郭晓雪 主任 15724698689 13504130225 32 东丰社区 210404002005 李佳 主任 15724698698 13841377992 33 三宝社区 210404002008 姜轶 主任 02458608216 18241399199 34 西丰社区 210404002009 冯春秀 主任 02458608218 15842343202 35 北厚社区 210404002010 李莉 主任 02458031291 18041316981 36 八纬路社区 210404002011 王宏 主任 15724698685 13130318581 37 田园社区 210404002012 王秀英 主任 02458032055 13898348692 38 金新社区 210404002013 石崴 主任 02458031327 13942357930 39 青台子社区 210404002014 陈蕊 主任 02458073707 13941328876 40 工汉村 210404002201 常艳芳 主任 02456791896 13081336088 41 工鲜村 210404002202 朱翠丹 主任 15724698681 18941364999 42 和平街道办事处 210404004000 李艳辉 办事处主任 58217980 18642392733 43 南一社区 210404004001 于冬梅 社区书记 58338301 13942355101 44 宏钢社区 210404004003 李云 社区书记 58338302 13804131877 45 辽中社区 210404004007 马军 社区书记 58338312 15641388895 46 信合社区 210404004006 王祥文 社区书记 58338306 13591573068 47 朝阳社区 210404004005 荆雪 社区书记 58338305 13942347800 48 嘉园社区 210404004011 何心 社区书记 58338303 15841388022 49 和顺社区 210404004009 张雪 社区书记 58338308 13941367755 50 雷锋社区 210404004010 吴振华 社区书记 58338310 15941398266 51 开源社区 210404004008 王鑫 社区书记 58338307 15141307877 52 昌图社区 210404004001 宋桂香 社区书记 58338311 15941397057 53 洗化社区 210404004013 蒋明 社区书记 15724698767 15941300980 54 昌盛社区 210404004012 黄慧敏 社区书记 15724698766 15841388577 55 建设街道办事处 210404003000 安洪菲 街道主任 18804130055 56 油院社区 210404003001 谭楠 社区书记 13604135567 57 煤研社区 210404003002 吕娜 社区书记 15242323721 58 铁岭社区 210404003003 魏鸿雁 社区书记 15842344004 59 建设社区 210404003004 马凤军 社区书记 13704139248 60 机修社区 210404003005 杜颖 社区书记 15641393121 61 锦州社区 210404003006 薄岩 社区书记 18741373939 62 新钢社区 210404003007 苗悦 社区书记 13942329485 63 建平社区 210404003008 赵松 社区书记 13942326388 64 本溪社区 210404003009 周金玲 社区书记 13942319952 65 建新社区 210404003010 陈洁 社区书记 15641333896 66 万众社区 210404003011 刘娇 社区书记 15134113362 67 金石社区 210404003012 窦娟 社区书记 15040849567 68 光明街道办事处 210404005000 王硕 街道主任 15941325199 69 铝北社区 210404005001 佟雯 社区书记 13591565400 70 红光社区 210404005002 李英华 社区书记 15841388656 71 曙光社区 210404005005 李梦晗 社区书记 13009248881 72 晨光社区 210404005007 杜程林 社区书记 15040820338 73 春光社区 210404005004 宋莉 社区书记 18241341555 74 兴光社区 210404005003 雷宇 社区书记 18242313833 75 光明社区 210404005006 韩丹 社区书记 13500437408 76 凤城社区 210404005008 李巍 社区书记 18741396888 77 台安社区 210404005009 王丽娜 社区书记 13941369055 78 油研社区 210404005010 刘姝 社区书记 13898322992 79 乐园社区 210404005011 高昂 社区书记 15842339233 80 灯塔社区 210404005012 于薇 社区书记 13941345134 81 玫瑰城社区 210404005013 金威 社区书记 15042386777 82 塔峪镇 210404101000 李兰兰 镇 长 15841356906 83 塔峪村 210404101204 邢 建 村书记 13841332866 84 五老村 210404101217 逯苗苗 村书记 15641319606 85 汪良村 210404101216 白静海 村书记 13942371882 86 程家村 210404101201 程旭升 村书记 13841357809 87 和平村 210404101202 王荣欣 村书记 15134124932 88 塔鲜村 210404101215 辛容吉 村书记 13904137222 89 后二道村 210404101205 刘星源 村书记 15242301515 90 前二道村 210404101206 王国林 村书记 13842374794 91 后孤家子村 210404101208 周文波 村书记 13941380450 92 前孤家子村 210404101207 查福贺 村书记 13644135666 93 肖家村 210404101213 张跃民 村书记 13842393633 94 英家村 210404101211 英 莉 村书记 15941318961 95 小泗村 210404101212 赵长相 村书记 13942374394 96 大甸子村 210404101210 李亚军 村书记 13941364000 97 山城子村 210404101209 李 村书记 13284137912 月 顺城区 长春街道 210411002000 王琳 主任 024-57710002 13500433063 1 新华街道办事处 210411005000 阴瑞晶 街道主任 024-53887702 13942353123 2 华南社区 210411005001 李静 社区书记 024-57812246 15941367036 3 银川社区 210411005002 郭玉梅 社区书记 024-57521606 13842336088 4 华盛社区 210411005003 张仲凤 社区书记 024-53887731 13842310690 5 乾安社区 210411005004 于秀艳 社区书记 024-53887730 13104131017 6 戎馨社区 210411005005 金玲 社区书记 024-53887733 13614136662 7 天竺社区 210411005006 柳洁 社区书记 024-53872355 18642308667 8 兰桥社区 210411005007 朱丹 社区书记 024-53887738 18642308662 9 蓝天社区 210411005009 石军 社区书记 024-53887735 13104231948 10 站东社区 210411005010 王拥 社区书记 024-53887736 18642308699 11 顺大社区 210411005012 魏忠军 社区书记 024-53872369 15842316058 12 弘升社区 210411001001 刘伟 社区书记 15724698553 13942304795 13 东方社区 210411001002 李洪华 社区书记 15724698558 15842333366 14 泽麟社区 210411001003 王晓瑞 社区书记 15724698557 15941348026 15 顺新社区 210411001004 佟晓霞 社区书记 15714232626 13342133319 16 顺福社区 210411001005 佟艳 社区书记 15724687188 15041308207 17 机电社区 210411001006 白雪 社区书记 15714233131 15041311322 18 抚顺城街道办事处 210411007 于兴民 办事处主任 53885502 13842317791 19 新城社区 210411007 金晓梅 社区书记 53885513 15104133913 20 贵德社区 210411007 孟丽娜 社区书记 53885515 15104133915 21 高山社区 210411007 李娜 社区书记 57893800 18642378665 22 民族社区 210411007 姚凤国 社区书记 53885523 15104133917 23 北关社区 210411007 郝秀赤 社区书记 53876744 13898331853 24 永大社区 210411007 刘喜英 社区书记 53885525 15104133921 25 锁阳社区 210411007 王娟 社区书记 52572378 13704930034 26 永安社区 210411007 刘欣 社区书记 53885522 15104133986 27 北站社区 210411007 高彤 社区书记 53885519 15698946645 28 兴业社区 210411007 王琪 社区书记 53885526 15104133926 29 南关社区 210411007 朱敏 社区书记 57893800 13470552798 30 临江社区 210411007 王姝 社区书记 53886039 13050196766 31 安怡社区 210411007 王平华 社区书记 53834376 15104133916 32 将军堡街道 210411007 许辉 办事处主任 无 13841380058 33 八厂社区 210411004001 刘 晶 社区书记 57709943 13470578500 34 建安社区 210411004002 胡遵红 社区书记 57800164 15841326433 35 辉南社区 210411004003 刘佳楠 社区书记 57800104 15841355963 36 矿灯社区 210411004006 王玲莉 社区书记 15330856437 13898330518 37 水泥社区 210411004008 孟凡虎 社区书记 57800214 15641398048 38 梅河社区 210411004010 林威 社区书记 57800294 15841375850 39 工行社区 210411004011 聂立鑫 社区书记 57709945 15841355935 40 汽贸社区 210411004013 张秀红 社区书记 57800789 15841375910 41 远方社区 210411004014 马文龙 社区书记 57135141 18642348576 42 辑安社区 210411004016 邓秀珍 社区书记 15330856410 15904136896 43 亦工社区 210411004017 田静 社区书记 57715440 15040806633 44 顺达社区 210411004018 李龙秋 社区书记 57190452 15841355973 45 移通社区 210411004019 李琳 社区书记 15330856417 15841375839 46 环卫社区 210411004021 马艳 社区书记 57711081 15841375809 47 北山社区 210411004022 王艳华 社区书记 57800114 15841375856 48 远洋城社区 210411004023 白秀丽 社区书记 53771547 13504134575 49 河北乡人民政府 210411201 王学国 乡长 024-57857780 15841310047 50 莲岛村 210411201207 何洪义 主任 024-56108066 15898323980 51 里仁村 210411201205 崔玉滨 主任 15134134146 15134134146 52 新区村 210411201217 董继义 主任 024-57101056 13704936568 53 方晓村 210411201203 刘红 主任 024-58342345 15841331777 54 戈布村 210411201220 关德华 书记主任 024-57101757 15504131596 55 北关新村 210411201216 陈征 书记主任 024-57673941 15941313978 56 东华村 210411201201 关慧芝 主任 13081316831 13081316831 57 英石村 210411201219 唐庆山 主任 024-57126655 15668516666 58 孤家子村 210411201208 陶雅兰 主任 024-56109478 13591548138 59 四家子村 210411201211 王福顺 主任 024-54180722 13941377907 60 黄旗村 210411201209 吴玉昌 主任 024-54180369 18241333303 61 西戈村 210411201218 房桂芝 书记主任 024-57103656 18241301397 62 龚家村 210411201215 刘君 书记 024-54180918 13841300186 63 顺城区前甸镇 210411201215 康健 镇长 无 13624133999 64 上头村 210421103231 王峰 村书记 无 15641360423 65 中二村 210421103228 佟常奎 村书记 无 13941343477 66 大柳 210421103220 佟旭功 村书记 无 13504238033 67 李其村 210421103221 费成龙 村书记 无 15241303999 68 三家子村 210421103224 葛志刚 村书记 无 15898328777 69 门进村 210421103235 佟恒越 村书记 无 13591558839 70 关岭村 210411102215 王 凯 村书记 无 15242718088 71 前甸村 210411102214 周新满 村书记 无 13700139137 72 靠山村 210411102203 刘丽荣 村书记 无 13081341380 73 鲍家村 210411102207 贾丹 村书记 无 13841333168 74 台山村 210411102205 王海洋 村书记 无 13942358158 75 詹家村 210411102211 詹真龙 村书记 无 15941359376 76 大道 210411102202 金成哲 村书记 无 13304238329 77 二鲜 郑仙淑 村书记 无 18041322383 78 前兴社区 210411102209 55210411MEA058404C 徐雷 书记 无 13898301543 79 启东社区 55210411MEA058383U 许杰 书记 无 15841336521 80 汇华社区 穆添龙 书记 无 13842311169 东华园社区 55210411MEA0583676 55210411MEA0583751 81 王迪锋 书记 无 13644139698 82 石化社区 55210411MEA058391N 钟雪 书记 无 18904239595 83 会元乡 210411205 刘宝军 乡长 54078063 13904137166 84 马金村 210411205201 孙立 村书记 无 13942358742 85 兴安村 210411205202 张帅 村主任 无 13154236999 86 会元村 210411205203 张志伟 村主任 无 13941309977 87 马前村 210411205206 张湘江 村书记 无 15042350860 88 黄金村 210411205208 吕秉红 村主任 无 15898395666 89 康乐村 210411205213 刘鑫 村主任 无 15042383883 90 三道村 210411205218 刘庆彬 村书记 无 13841361533 91 砖台村 210411205215 曹永芳 村书记 无 13941366216 92 金花村 210411205204 王旭 村主任 无 13130338131 93 葛布街道办事处 210411003000 王野 副主任 53970602 13514130977 94 格林社区 210411003001 刘敏 社区书记 无 13500436072 95 远航社区 210411003004 刘尚俊 社区书记 53895215 13050114255 96 商业社区 210411003002 夏红 社区书记 53868731 15041345224 97 阳光社区 210411003006 钟国琴 社区书记 53895219 13591539699 98 后葛南社区 210411003008 蒋伶 社区书记 57826332 15041344366 99 后葛北社区 210411003007 申丽丽 社区书记 58099972 13942335671 100 西葛南社区 210411003010 张文理 社区书记 53868695 13042641871 101 西葛北社区 210411003009 王晓杰 社区书记 53895220 15842399149 102 新地社区 210411003016 吴凤云 社区书记 53867802 15241309105 103 北街社区 210411003017 孙雅丽 社区书记 无 13050186103 104 南街社区 210411003015 周翠娟 社区书记 58072800 13224135499 105 辽勘社区 210411003014 刘慧 社区书记 58055120 15841328486 106 香墅湾社区 210411003016 郭玉梅 社区书记 无 13942344687

抚顺市2022年度防汛抗旱责任人签名表.xls




