安居型商品房已选房源公示(04月25日12时更新).xls
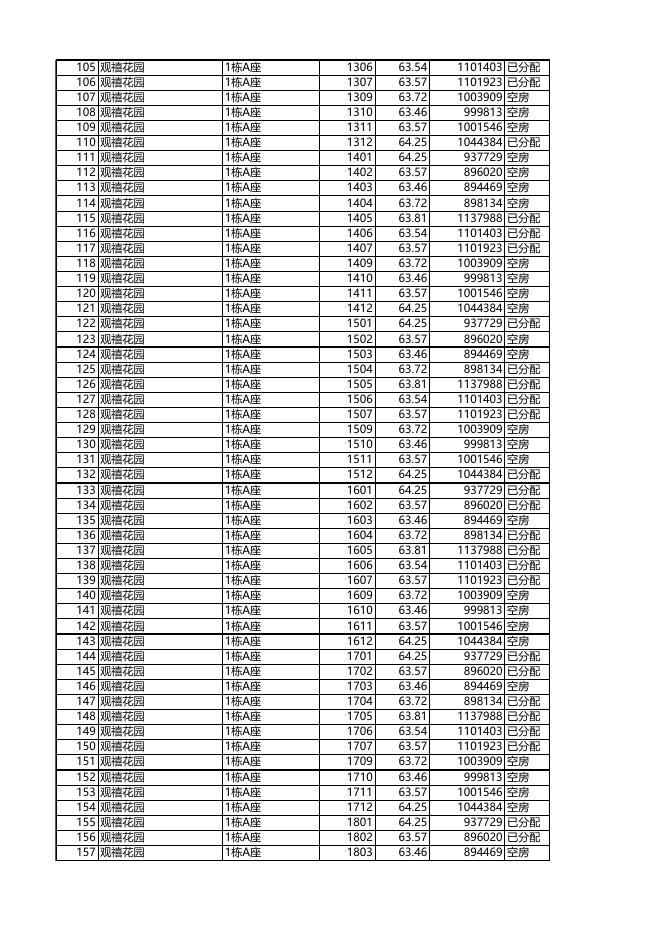
安居型商品房已选房源公示(04月25日12时更新) 序号 1 观禧花园 2 观禧花园 3 观禧花园 4 观禧花园 5 观禧花园 6 观禧花园 7 观禧花园 8 观禧花园 9 观禧花园 10 观禧花园 11 观禧花园 12 观禧花园 13 观禧花园 14 观禧花园 15 观禧花园 16 观禧花园 17 观禧花园 18 观禧花园 19 观禧花园 20 观禧花园 21 观禧花园 22 观禧花园 23 观禧花园 24 观禧花园 25 观禧花园 26 观禧花园 27 观禧花园 28 观禧花园 29 观禧花园 30 观禧花园 31 观禧花园 32 观禧花园 33 观禧花园 34 观禧花园 35 观禧花园 36 观禧花园 37 观禧花园 38 观禧花园 39 观禧花园 40 观禧花园 41 观禧花园 42 观禧花园 43 观禧花园 44 观禧花园 45 观禧花园 46 观禧花园 47 观禧花园 48 观禧花园 49 观禧花园 50 观禧花园 51 观禧花园 住宅区 栋 1栋A座 1栋A座 1栋A座 1栋A座 1栋A座 1栋A座 1栋A座 1栋A座 1栋A座 1栋A座 1栋A座 1栋A座 1栋A座 1栋A座 1栋A座 1栋A座 1栋A座 1栋A座 1栋A座 1栋A座 1栋A座 1栋A座 1栋A座 1栋A座 1栋A座 1栋A座 1栋A座 1栋A座 1栋A座 1栋A座 1栋A座 1栋A座 1栋A座 1栋A座 1栋A座 1栋A座 1栋A座 1栋A座 1栋A座 1栋A座 1栋A座 1栋A座 1栋A座 1栋A座 1栋A座 1栋A座 1栋A座 1栋A座 1栋A座 1栋A座 1栋A座 房号 401 402 403 404 405 406 407 409 410 411 412 501 502 503 504 505 506 507 509 510 511 512 601 602 603 604 605 606 607 609 610 611 612 701 702 703 704 705 706 707 709 710 711 712 801 802 803 804 805 806 807 面积 房价 状态 63.94 63.28 63.45 63.54 63.56 63.47 63.31 63.54 63.49 63.28 63.93 63.94 63.28 63.45 63.54 63.56 63.47 63.31 63.54 63.49 63.28 63.93 63.94 63.28 63.45 63.54 63.56 63.47 63.31 63.54 63.49 63.28 63.93 63.94 63.28 63.45 63.54 63.56 63.47 63.31 63.54 63.49 63.28 63.93 63.94 63.28 63.45 63.54 63.56 63.47 63.31 901235 空房 860292 空房 862603 空房 863827 空房 1101750 已分配 1068454 空房 1065761 空房 956595 空房 955842 空房 965337 空房 1007218 空房 901235 空房 860292 空房 862603 空房 863827 空房 1101750 已分配 1068454 空房 1065761 空房 969303 空房 968540 空房 965337 空房 1007218 空房 901235 空房 860292 空房 862603 空房 863827 空房 1101750 已分配 1068454 空房 1065761 已分配 969303 空房 968540 空房 965337 空房 1007218 空房 901235 已分配 860292 空房 862603 空房 863827 已分配 1101750 已分配 1068454 已分配 1065761 已分配 969303 空房 968540 空房 965337 空房 1007218 空房 901235 已分配 860292 空房 862603 空房 863827 已分配 1101750 已分配 1068454 已分配 1065761 已分配 52 观禧花园 53 观禧花园 54 观禧花园 55 观禧花园 56 观禧花园 57 观禧花园 58 观禧花园 59 观禧花园 60 观禧花园 61 观禧花园 62 观禧花园 63 观禧花园 64 观禧花园 65 观禧花园 66 观禧花园 67 观禧花园 68 观禧花园 69 观禧花园 70 观禧花园 71 观禧花园 72 观禧花园 73 观禧花园 74 观禧花园 75 观禧花园 76 观禧花园 77 观禧花园 78 观禧花园 79 观禧花园 80 观禧花园 81 观禧花园 82 观禧花园 83 观禧花园 84 观禧花园 85 观禧花园 86 观禧花园 87 观禧花园 88 观禧花园 89 观禧花园 90 观禧花园 91 观禧花园 92 观禧花园 93 观禧花园 94 观禧花园 95 观禧花园 96 观禧花园 97 观禧花园 98 观禧花园 99 观禧花园 100 观禧花园 101 观禧花园 102 观禧花园 103 观禧花园 104 观禧花园 1栋A座 1栋A座 1栋A座 1栋A座 1栋A座 1栋A座 1栋A座 1栋A座 1栋A座 1栋A座 1栋A座 1栋A座 1栋A座 1栋A座 1栋A座 1栋A座 1栋A座 1栋A座 1栋A座 1栋A座 1栋A座 1栋A座 1栋A座 1栋A座 1栋A座 1栋A座 1栋A座 1栋A座 1栋A座 1栋A座 1栋A座 1栋A座 1栋A座 1栋A座 1栋A座 1栋A座 1栋A座 1栋A座 1栋A座 1栋A座 1栋A座 1栋A座 1栋A座 1栋A座 1栋A座 1栋A座 1栋A座 1栋A座 1栋A座 1栋A座 1栋A座 1栋A座 1栋A座 809 810 811 812 901 902 903 904 905 906 907 909 910 911 912 1001 1002 1003 1004 1005 1006 1007 1009 1010 1011 1012 1101 1102 1103 1104 1105 1106 1107 1109 1110 1111 1112 1201 1202 1203 1204 1205 1206 1207 1209 1210 1211 1212 1301 1302 1303 1304 1305 63.54 63.49 63.28 63.93 63.94 63.28 63.45 63.54 63.56 63.47 63.31 63.54 63.49 63.28 63.93 63.94 63.28 63.45 63.54 63.56 63.47 63.31 63.54 63.49 63.28 63.93 64.25 63.57 63.46 63.72 63.81 63.54 63.57 63.72 63.46 63.57 64.25 64.25 63.57 63.46 63.72 63.81 63.54 63.57 63.72 63.46 63.57 64.25 64.25 63.57 63.46 63.72 63.81 969303 空房 968540 空房 965337 空房 1007218 空房 901235 已分配 860292 空房 862603 空房 863827 已分配 1101750 已分配 1068454 已分配 1065761 已分配 969303 空房 968540 空房 965337 空房 1007218 空房 901235 已分配 860292 已分配 862603 已分配 863827 已分配 1101750 已分配 1068454 已分配 1065761 已分配 969303 空房 968540 空房 965337 空房 1007218 空房 937729 空房 896020 已分配 894469 空房 898134 空房 1137988 已分配 1101403 已分配 1101923 已分配 1003909 空房 999813 空房 1001546 空房 1044384 空房 937729 空房 896020 已分配 894469 空房 898134 已分配 1137988 已分配 1101403 已分配 1101923 已分配 1003909 空房 999813 空房 1001546 空房 1044384 空房 937729 空房 896020 空房 894469 空房 898134 空房 1137988 已分配 105 观禧花园 106 观禧花园 107 观禧花园 108 观禧花园 109 观禧花园 110 观禧花园 111 观禧花园 112 观禧花园 113 观禧花园 114 观禧花园 115 观禧花园 116 观禧花园 117 观禧花园 118 观禧花园 119 观禧花园 120 观禧花园 121 观禧花园 122 观禧花园 123 观禧花园 124 观禧花园 125 观禧花园 126 观禧花园 127 观禧花园 128 观禧花园 129 观禧花园 130 观禧花园 131 观禧花园 132 观禧花园 133 观禧花园 134 观禧花园 135 观禧花园 136 观禧花园 137 观禧花园 138 观禧花园 139 观禧花园 140 观禧花园 141 观禧花园 142 观禧花园 143 观禧花园 144 观禧花园 145 观禧花园 146 观禧花园 147 观禧花园 148 观禧花园 149 观禧花园 150 观禧花园 151 观禧花园 152 观禧花园 153 观禧花园 154 观禧花园 155 观禧花园 156 观禧花园 157 观禧花园 1栋A座 1栋A座 1栋A座 1栋A座 1栋A座 1栋A座 1栋A座 1栋A座 1栋A座 1栋A座 1栋A座 1栋A座 1栋A座 1栋A座 1栋A座 1栋A座 1栋A座 1栋A座 1栋A座 1栋A座 1栋A座 1栋A座 1栋A座 1栋A座 1栋A座 1栋A座 1栋A座 1栋A座 1栋A座 1栋A座 1栋A座 1栋A座 1栋A座 1栋A座 1栋A座 1栋A座 1栋A座 1栋A座 1栋A座 1栋A座 1栋A座 1栋A座 1栋A座 1栋A座 1栋A座 1栋A座 1栋A座 1栋A座 1栋A座 1栋A座 1栋A座 1栋A座 1栋A座 1306 1307 1309 1310 1311 1312 1401 1402 1403 1404 1405 1406 1407 1409 1410 1411 1412 1501 1502 1503 1504 1505 1506 1507 1509 1510 1511 1512 1601 1602 1603 1604 1605 1606 1607 1609 1610 1611 1612 1701 1702 1703 1704 1705 1706 1707 1709 1710 1711 1712 1801 1802 1803 63.54 63.57 63.72 63.46 63.57 64.25 64.25 63.57 63.46 63.72 63.81 63.54 63.57 63.72 63.46 63.57 64.25 64.25 63.57 63.46 63.72 63.81 63.54 63.57 63.72 63.46 63.57 64.25 64.25 63.57 63.46 63.72 63.81 63.54 63.57 63.72 63.46 63.57 64.25 64.25 63.57 63.46 63.72 63.81 63.54 63.57 63.72 63.46 63.57 64.25 64.25 63.57 63.46 1101403 已分配 1101923 已分配 1003909 空房 999813 空房 1001546 空房 1044384 已分配 937729 空房 896020 空房 894469 空房 898134 空房 1137988 已分配 1101403 已分配 1101923 已分配 1003909 空房 999813 空房 1001546 空房 1044384 空房 937729 已分配 896020 空房 894469 空房 898134 已分配 1137988 已分配 1101403 已分配 1101923 已分配 1003909 空房 999813 空房 1001546 空房 1044384 已分配 937729 已分配 896020 已分配 894469 空房 898134 已分配 1137988 已分配 1101403 已分配 1101923 已分配 1003909 空房 999813 空房 1001546 空房 1044384 空房 937729 已分配 896020 已分配 894469 空房 898134 已分配 1137988 已分配 1101403 已分配 1101923 已分配 1003909 空房 999813 空房 1001546 空房 1044384 空房 937729 已分配 896020 已分配 894469 空房 158 观禧花园 159 观禧花园 160 观禧花园 161 观禧花园 162 观禧花园 163 观禧花园 164 观禧花园 165 观禧花园 166 观禧花园 167 观禧花园 168 观禧花园 169 观禧花园 170 观禧花园 171 观禧花园 172 观禧花园 173 观禧花园 174 观禧花园 175 观禧花园 176 观禧花园 177 观禧花园 178 观禧花园 179 观禧花园 180 观禧花园 181 观禧花园 182 观禧花园 183 观禧花园 184 观禧花园 185 观禧花园 186 观禧花园 187 观禧花园 188 观禧花园 189 观禧花园 190 观禧花园 191 观禧花园 192 观禧花园 193 观禧花园 194 观禧花园 195 观禧花园 196 观禧花园 197 观禧花园 198 观禧花园 199 观禧花园 200 观禧花园 201 观禧花园 202 观禧花园 203 观禧花园 204 观禧花园 205 观禧花园 206 观禧花园 207 观禧花园 208 观禧花园 209 观禧花园 210 观禧花园 1栋A座 1栋A座 1栋A座 1栋A座 1栋A座 1栋A座 1栋A座 1栋A座 1栋A座 1栋A座 1栋A座 1栋A座 1栋A座 1栋A座 1栋A座 1栋A座 1栋A座 1栋A座 1栋A座 1栋A座 1栋A座 1栋A座 1栋A座 1栋A座 1栋A座 1栋A座 1栋A座 1栋A座 1栋A座 1栋A座 1栋A座 1栋A座 1栋A座 1栋A座 1栋A座 1栋A座 1栋A座 1栋A座 1栋A座 1栋A座 1栋A座 1栋A座 1栋A座 1栋A座 1栋A座 1栋A座 1栋A座 1栋A座 1栋A座 1栋A座 1栋A座 1栋A座 1栋A座 1804 1805 1806 1807 1809 1810 1811 1812 1901 1902 1903 1904 1905 1906 1907 1909 1910 1911 1912 2001 2002 2003 2004 2005 2006 2007 2009 2010 2011 2012 2101 2102 2103 2104 2105 2106 2107 2109 2110 2111 2112 2201 2202 2203 2204 2205 2206 2207 2209 2210 2211 2212 2301 63.72 63.81 63.54 63.57 63.72 63.46 63.57 64.25 64.25 63.57 63.46 63.72 63.81 63.54 63.57 63.72 63.46 63.57 64.25 64.25 63.57 63.46 63.72 63.81 63.54 63.57 63.72 63.46 63.57 64.25 64.25 63.57 63.46 63.72 63.81 63.54 63.57 63.72 63.46 63.57 64.25 64.25 63.57 63.46 63.72 63.81 63.54 63.57 63.72 63.46 63.57 64.25 64.25 898134 已分配 1137988 已分配 1101403 已分配 1101923 已分配 1003909 空房 999813 已分配 1001546 空房 1044384 空房 937729 已分配 896020 已分配 894469 空房 898134 已分配 1137988 已分配 1101403 已分配 1101923 已分配 1003909 空房 999813 空房 1001546 空房 1044384 已分配 937729 已分配 896020 已分配 894469 空房 898134 已分配 1137988 已分配 1101403 已分配 1101923 已分配 1003909 空房 999813 已分配 1001546 空房 1044384 已分配 963429 空房 921448 空房 919853 空房 923622 空房 1163512 已分配 1126819 已分配 1127351 已分配 1029397 空房 1025197 空房 1026974 空房 1070084 已分配 963429 已分配 921448 已分配 919853 空房 923622 已分配 1163512 已分配 1126819 已分配 1127351 已分配 1029397 空房 1025197 空房 1026974 空房 1070084 已分配 963429 已分配 211 观禧花园 212 观禧花园 213 观禧花园 214 观禧花园 215 观禧花园 216 观禧花园 217 观禧花园 218 观禧花园 219 观禧花园 220 观禧花园 221 观禧花园 222 观禧花园 223 观禧花园 224 观禧花园 225 观禧花园 226 观禧花园 227 观禧花园 228 观禧花园 229 观禧花园 230 观禧花园 231 观禧花园 232 观禧花园 233 观禧花园 234 观禧花园 235 观禧花园 236 观禧花园 237 观禧花园 238 观禧花园 239 观禧花园 240 观禧花园 241 观禧花园 242 观禧花园 243 观禧花园 244 观禧花园 245 观禧花园 246 观禧花园 247 观禧花园 248 观禧花园 249 观禧花园 250 观禧花园 251 观禧花园 252 观禧花园 253 观禧花园 254 观禧花园 255 观禧花园 256 观禧花园 257 观禧花园 258 观禧花园 259 观禧花园 260 观禧花园 261 观禧花园 262 观禧花园 263 观禧花园 1栋A座 1栋A座 1栋A座 1栋A座 1栋A座 1栋A座 1栋A座 1栋A座 1栋A座 1栋A座 1栋A座 1栋A座 1栋A座 1栋A座 1栋A座 1栋A座 1栋A座 1栋A座 1栋A座 1栋A座 1栋A座 1栋A座 1栋A座 1栋A座 1栋A座 1栋A座 1栋A座 1栋A座 1栋A座 1栋A座 1栋A座 1栋A座 1栋A座 1栋A座 1栋A座 1栋A座 1栋A座 1栋A座 1栋A座 1栋A座 1栋A座 1栋A座 1栋A座 1栋A座 1栋A座 1栋A座 1栋A座 1栋A座 1栋A座 1栋A座 1栋A座 1栋A座 1栋A座 2302 2303 2304 2305 2306 2307 2309 2310 2311 2312 2401 2402 2403 2404 2405 2406 2407 2409 2410 2411 2412 2501 2502 2503 2504 2505 2506 2507 2509 2510 2511 2512 2601 2602 2603 2604 2605 2606 2607 2609 2610 2611 2612 2701 2702 2703 2704 2705 2706 2707 2709 2710 2711 63.57 63.46 63.72 63.81 63.54 63.57 63.72 63.46 63.57 64.25 64.25 63.57 63.46 63.72 63.81 63.54 63.57 63.72 63.46 63.57 64.25 64.25 63.57 63.46 63.72 63.81 63.54 63.57 63.72 63.46 63.57 64.25 64.25 63.57 63.46 63.72 63.81 63.54 63.57 63.72 63.46 63.57 64.25 64.25 63.57 63.46 63.72 63.81 63.54 63.57 63.72 63.46 63.57 921448 空房 919853 空房 923622 已分配 1163512 已分配 1126819 已分配 1127351 已分配 1029397 空房 1025197 空房 1026974 空房 1070084 空房 963429 已分配 921448 空房 919853 空房 923622 空房 1163512 已分配 1126819 已分配 1127351 已分配 1029397 空房 1025197 空房 1026974 空房 1070084 空房 963429 已分配 921448 空房 919853 空房 923622 空房 1163512 已分配 1126819 已分配 1127351 已分配 1029397 空房 1025197 已分配 1026974 空房 1070084 已分配 963429 已分配 921448 已分配 919853 已分配 923622 空房 1163512 已分配 1126819 已分配 1127351 已分配 1029397 空房 1025197 空房 1026974 空房 1070084 已分配 963429 已分配 921448 空房 919853 空房 923622 空房 1163512 已分配 1126819 已分配 1127351 已分配 1029397 空房 1025197 空房 1026974 空房 264 观禧花园 265 观禧花园 266 观禧花园 267 观禧花园 268 观禧花园 269 观禧花园 270 观禧花园 271 观禧花园 272 观禧花园 273 观禧花园 274 观禧花园 275 观禧花园 276 观禧花园 277 观禧花园 278 观禧花园 279 观禧花园 280 观禧花园 281 观禧花园 282 观禧花园 283 观禧花园 284 观禧花园 285 观禧花园 286 观禧花园 287 观禧花园 288 观禧花园 289 观禧花园 290 观禧花园 291 观禧花园 292 观禧花园 293 观禧花园 294 观禧花园 295 观禧花园 296 观禧花园 297 观禧花园 298 观禧花园 299 观禧花园 300 观禧花园 301 观禧花园 302 观禧花园 303 观禧花园 304 观禧花园 305 观禧花园 306 观禧花园 307 观禧花园 308 观禧花园 309 观禧花园 310 观禧花园 311 观禧花园 312 观禧花园 313 观禧花园 314 观禧花园 315 观禧花园 316 观禧花园 1栋A座 1栋A座 1栋A座 1栋A座 1栋A座 1栋A座 1栋A座 1栋A座 1栋A座 1栋A座 1栋A座 1栋A座 1栋A座 1栋A座 1栋A座 1栋A座 1栋A座 1栋A座 1栋A座 1栋A座 1栋A座 1栋A座 1栋A座 1栋A座 1栋A座 1栋A座 1栋A座 1栋A座 1栋A座 1栋A座 1栋A座 1栋A座 1栋A座 1栋A座 1栋A座 1栋A座 1栋A座 1栋A座 1栋A座 1栋A座 1栋A座 1栋A座 1栋A座 1栋A座 1栋A座 1栋A座 1栋A座 1栋A座 1栋A座 1栋A座 1栋A座 1栋A座 1栋A座 2712 2801 2802 2803 2804 2805 2806 2807 2809 2810 2811 2812 2901 2902 2903 2904 2905 2906 2907 2909 2910 2911 2912 3001 3002 3003 3004 3005 3006 3007 3009 3010 3011 3012 3101 3102 3103 3104 3105 3106 3107 3109 3110 3111 3112 3201 3202 3203 3204 3205 3206 3207 3209 64.25 64.25 63.57 63.46 63.72 63.81 63.54 63.57 63.72 63.46 63.57 64.25 64.25 63.57 63.46 63.72 63.81 63.54 63.57 63.72 63.46 63.57 64.25 64.25 63.57 63.46 63.72 63.81 63.54 63.57 63.72 63.46 63.57 64.25 64.25 63.57 63.46 63.72 63.81 63.54 63.57 63.72 63.46 63.57 64.25 64.25 63.57 63.46 63.72 63.81 63.54 63.57 63.72 1070084 已分配 963429 已分配 921448 空房 919853 空房 923622 空房 1163512 已分配 1126819 已分配 1127351 已分配 1029397 空房 1025197 空房 1026974 空房 1070084 已分配 963429 已分配 921448 空房 919853 已分配 923622 已分配 1163512 已分配 1126819 已分配 1127351 已分配 1029397 空房 1025197 空房 1026974 空房 1070084 已分配 963429 已分配 921448 已分配 919853 空房 923622 空房 1163512 已分配 1126819 已分配 1127351 已分配 1029397 空房 1025197 空房 1026974 空房 1070084 已分配 963429 已分配 921448 空房 919853 空房 923622 空房 1163512 已分配 1126819 已分配 1127351 已分配 1029397 空房 1025197 空房 1026974 空房 1070084 已分配 963429 已分配 921448 空房 919853 空房 923622 空房 1163512 已分配 1126819 已分配 1127351 已分配 1029397 空房 317 观禧花园 318 观禧花园 319 观禧花园 320 观禧花园 321 观禧花园 322 观禧花园 323 观禧花园 324 观禧花园 325 观禧花园 326 观禧花园 327 观禧花园 328 观禧花园 329 观禧花园 330 观禧花园 331 观禧花园 332 观禧花园 333 观禧花园 334 观禧花园 335 观禧花园 336 观禧花园 337 观禧花园 338 观禧花园 339 观禧花园 340 观禧花园 341 观禧花园 342 观禧花园 343 观禧花园 344 观禧花园 345 观禧花园 346 观禧花园 347 观禧花园 348 观禧花园 349 观禧花园 350 观禧花园 351 观禧花园 352 观禧花园 353 观禧花园 354 观禧花园 355 观禧花园 356 观禧花园 357 观禧花园 358 观禧花园 359 观禧花园 360 观禧花园 361 观禧花园 362 观禧花园 363 观禧花园 364 观禧花园 365 观禧花园 366 观禧花园 367 观禧花园 368 观禧花园 369 观禧花园 1栋A座 1栋A座 1栋A座 1栋A座 1栋A座 1栋A座 1栋A座 1栋A座 1栋A座 1栋A座 1栋A座 1栋A座 1栋A座 1栋A座 1栋B座 1栋B座 1栋B座 1栋B座 1栋B座 1栋B座 1栋B座 1栋B座 1栋B座 1栋B座 1栋B座 1栋B座 1栋B座 1栋B座 1栋B座 1栋B座 1栋B座 1栋B座 1栋B座 1栋B座 1栋B座 1栋B座 1栋B座 1栋B座 1栋B座 1栋B座 1栋B座 1栋B座 1栋B座 1栋B座 1栋B座 1栋B座 1栋B座 1栋B座 1栋B座 1栋B座 1栋B座 1栋B座 1栋B座 3210 3211 3212 3301 3302 3303 3304 3305 3306 3307 3309 3310 3311 3312 401 402 403 404 405 406 407 409 410 411 412 501 502 503 504 505 506 507 509 510 511 512 601 602 603 604 605 606 607 609 610 611 612 701 702 703 704 705 706 63.46 63.57 64.25 64.25 63.57 63.46 63.72 63.81 63.54 63.57 63.72 63.46 63.57 64.25 64.15 63.49 63.66 63.75 63.76 63.68 63.51 63.75 63.7 63.48 64.14 64.15 63.49 63.66 63.75 63.76 63.68 63.51 63.75 63.7 63.48 64.14 64.15 63.49 63.66 63.75 63.76 63.68 63.51 63.75 63.7 63.48 64.14 64.15 63.49 63.66 63.75 63.76 63.68 1025197 空房 1026974 空房 1070084 已分配 963429 空房 921448 空房 919853 空房 923622 空房 1163512 已分配 1126819 已分配 1127351 已分配 1029397 空房 1025197 空房 1026974 空房 1070084 空房 981367 空房 939526 空房 942041 空房 949748 空房 1012254 空房 985512 空房 982881 空房 852402 空房 851733 空房 848792 空房 889686 空房 981367 空房 939526 空房 942041 空房 949748 空房 1012254 空房 985512 空房 982881 空房 852402 空房 851733 空房 848792 空房 889686 空房 981367 空房 939526 空房 942041 空房 943373 空房 1012254 空房 985512 空房 982881 空房 852402 空房 851733 空房 848792 空房 889686 已分配 987782 空房 945875 空房 948407 空房 943373 空房 1018630 空房 985512 空房 370 观禧花园 371 观禧花园 372 观禧花园 373 观禧花园 374 观禧花园 375 观禧花园 376 观禧花园 377 观禧花园 378 观禧花园 379 观禧花园 380 观禧花园 381 观禧花园 382 观禧花园 383 观禧花园 384 观禧花园 385 观禧花园 386 观禧花园 387 观禧花园 388 观禧花园 389 观禧花园 390 观禧花园 391 观禧花园 392 观禧花园 393 观禧花园 394 观禧花园 395 观禧花园 396 观禧花园 397 观禧花园 398 观禧花园 399 观禧花园 400 观禧花园 401 观禧花园 402 观禧花园 403 观禧花园 404 观禧花园 405 观禧花园 406 观禧花园 407 观禧花园 408 观禧花园 409 观禧花园 410 观禧花园 411 观禧花园 412 观禧花园 413 观禧花园 414 观禧花园 415 观禧花园 416 观禧花园 417 观禧花园 418 观禧花园 419 观禧花园 420 观禧花园 421 观禧花园 422 观禧花园 1栋B座 1栋B座 1栋B座 1栋B座 1栋B座 1栋B座 1栋B座 1栋B座 1栋B座 1栋B座 1栋B座 1栋B座 1栋B座 1栋B座 1栋B座 1栋B座 1栋B座 1栋B座 1栋B座 1栋B座 1栋B座 1栋B座 1栋B座 1栋B座 1栋B座 1栋B座 1栋B座 1栋B座 1栋B座 1栋B座 1栋B座 1栋B座 1栋B座 1栋B座 1栋B座 1栋B座 1栋B座 1栋B座 1栋B座 1栋B座 1栋B座 1栋B座 1栋B座 1栋B座 1栋B座 1栋B座 1栋B座 1栋B座 1栋B座 1栋B座 1栋B座 1栋B座 1栋B座 707 709 710 711 712 801 802 803 804 805 806 807 809 810 811 812 901 902 903 904 905 906 907 909 910 911 912 1001 1002 1003 1004 1005 1006 1007 1009 1010 1011 1012 1101 1102 1103 1104 1105 1106 1107 1109 1110 1111 1112 1201 1202 1203 1204 63.51 63.75 63.7 63.48 64.14 64.15 63.49 63.66 63.75 63.76 63.68 63.51 63.75 63.7 63.48 64.14 64.15 63.49 63.66 63.75 63.76 63.68 63.51 63.75 63.7 63.48 64.14 64.15 63.49 63.66 63.75 63.76 63.68 63.51 63.75 63.7 63.48 64.14 64.46 63.78 63.66 63.93 64.01 63.75 63.78 63.93 63.66 63.78 64.46 64.46 63.78 63.66 63.93 982881 空房 852402 空房 851733 空房 848792 空房 889686 已分配 987782 空房 945875 空房 948407 空房 943373 空房 1018630 已分配 985512 空房 982881 空房 852402 空房 851733 空房 848792 空房 889686 已分配 987782 空房 945875 空房 948407 空房 949748 空房 1018630 已分配 985512 已分配 982881 空房 852402 空房 851733 空房 848792 空房 889686 已分配 987782 空房 945875 空房 948407 空房 949748 空房 1018630 已分配 985512 已分配 982881 已分配 852402 已分配 851733 已分配 848792 已分配 889686 已分配 1024786 空房 982085 空房 980237 空房 984395 空房 1054629 已分配 1018470 空房 1018950 空房 886774 空房 883028 空房 884693 空房 926355 空房 1024786 空房 982085 空房 980237 空房 984395 空房 423 观禧花园 424 观禧花园 425 观禧花园 426 观禧花园 427 观禧花园 428 观禧花园 429 观禧花园 430 观禧花园 431 观禧花园 432 观禧花园 433 观禧花园 434 观禧花园 435 观禧花园 436 观禧花园 437 观禧花园 438 观禧花园 439 观禧花园 440 观禧花园 441 观禧花园 442 观禧花园 443 观禧花园 444 观禧花园 445 观禧花园 446 观禧花园 447 观禧花园 448 观禧花园 449 观禧花园 450 观禧花园 451 观禧花园 452 观禧花园 453 观禧花园 454 观禧花园 455 观禧花园 456 观禧花园 457 观禧花园 458 观禧花园 459 观禧花园 460 观禧花园 461 观禧花园 462 观禧花园 463 观禧花园 464 观禧花园 465 观禧花园 466 观禧花园 467 观禧花园 468 观禧花园 469 观禧花园 470 观禧花园 471 观禧花园 472 观禧花园 473 观禧花园 474 观禧花园 475 观禧花园 1栋B座 1栋B座 1栋B座 1栋B座 1栋B座 1栋B座 1栋B座 1栋B座 1栋B座 1栋B座 1栋B座 1栋B座 1栋B座 1栋B座 1栋B座 1栋B座 1栋B座 1栋B座 1栋B座 1栋B座 1栋B座 1栋B座 1栋B座 1栋B座 1栋B座 1栋B座 1栋B座 1栋B座 1栋B座 1栋B座 1栋B座 1栋B座 1栋B座 1栋B座 1栋B座 1栋B座 1栋B座 1栋B座 1栋B座 1栋B座 1栋B座 1栋B座 1栋B座 1栋B座 1栋B座 1栋B座 1栋B座 1栋B座 1栋B座 1栋B座 1栋B座 1栋B座 1栋B座 1205 1206 1207 1209 1210 1211 1212 1301 1302 1303 1304 1305 1306 1307 1309 1310 1311 1312 1401 1402 1403 1404 1405 1406 1407 1409 1410 1411 1412 1501 1502 1503 1504 1505 1506 1507 1509 1510 1511 1512 1601 1602 1603 1604 1605 1606 1607 1609 1610 1611 1612 1701 1702 64.01 63.75 63.78 63.93 63.66 63.78 64.46 64.46 63.78 63.66 63.93 64.01 63.75 63.78 63.93 63.66 63.78 64.46 64.46 63.78 63.66 63.93 64.01 63.75 63.78 63.93 63.66 63.78 64.46 64.46 63.78 63.66 63.93 64.01 63.75 63.78 63.93 63.66 63.78 64.46 64.46 63.78 63.66 63.93 64.01 63.75 63.78 63.93 63.66 63.78 64.46 64.46 63.78 1054629 已分配 1018470 空房 1018950 已分配 886774 空房 883028 空房 884693 空房 926355 空房 1024786 空房 982085 空房 980237 空房 984395 空房 1054629 已分配 1018470 空房 1018950 空房 886774 已分配 883028 空房 884693 空房 926355 已分配 1024786 空房 982085 空房 980237 空房 984395 空房 1054629 已分配 1018470 空房 1018950 空房 886774 已分配 883028 空房 884693 空房 926355 空房 1024786 空房 982085 空房 980237 空房 984395 空房 1054629 已分配 1018470 空房 1018950 已分配 886774 空房 883028 空房 884693 已分配 926355 空房 1024786 空房 982085 空房 980237 空房 984395 空房 1054629 已分配 1018470 已分配 1018950 已分配 886774 空房 883028 空房 884693 空房 926355 已分配 1024786 空房 982085 空房 476 观禧花园 477 观禧花园 478 观禧花园 479 观禧花园 480 观禧花园 481 观禧花园 482 观禧花园 483 观禧花园 484 观禧花园 485 观禧花园 486 观禧花园 487 观禧花园 488 观禧花园 489 观禧花园 490 观禧花园 491 观禧花园 492 观禧花园 493 观禧花园 494 观禧花园 495 观禧花园 496 观禧花园 497 观禧花园 498 观禧花园 499 观禧花园 500 观禧花园 501 观禧花园 502 观禧花园 503 观禧花园 504 观禧花园 505 观禧花园 506 观禧花园 507 观禧花园 508 观禧花园 509 观禧花园 510 观禧花园 511 观禧花园 512 观禧花园 513 观禧花园 514 观禧花园 515 观禧花园 516 观禧花园 517 观禧花园 518 观禧花园 519 观禧花园 520 观禧花园 521 观禧花园 522 观禧花园 523 观禧花园 524 观禧花园 525 观禧花园 526 观禧花园 527 观禧花园 528 观禧花园 1栋B座 1栋B座 1栋B座 1栋B座 1栋B座 1栋B座 1栋B座 1栋B座 1栋B座 1栋B座 1栋B座 1栋B座 1栋B座 1栋B座 1栋B座 1栋B座 1栋B座 1栋B座 1栋B座 1栋B座 1栋B座 1栋B座 1栋B座 1栋B座 1栋B座 1栋B座 1栋B座 1栋B座 1栋B座 1栋B座 1栋B座 1栋B座 1栋B座 1栋B座 1栋B座 1栋B座 1栋B座 1栋B座 1栋B座 1栋B座 1栋B座 1栋B座 1栋B座 1栋B座 1栋B座 1栋B座 1栋B座 1栋B座 1栋B座 1栋B座 1栋B座 1栋B座 1栋B座 1703 1704 1705 1706 1707 1709 1710 1711 1712 1801 1802 1803 1804 1805 1806 1807 1809 1810 1811 1812 1901 1902 1903 1904 1905 1906 1907 1909 1910 1911 1912 2001 2002 2003 2004 2005 2006 2007 2009 2010 2011 2012 2101 2102 2103 2104 2105 2106 2107 2109 2110 2111 2112 63.66 63.93 64.01 63.75 63.78 63.93 63.66 63.78 64.46 64.46 63.78 63.66 63.93 64.01 63.75 63.78 63.93 63.66 63.78 64.46 64.46 63.78 63.66 63.93 64.01 63.75 63.78 63.93 63.66 63.78 64.46 64.46 63.78 63.66 63.93 64.01 63.75 63.78 63.93 63.66 63.78 64.46 64.46 63.78 63.66 63.93 64.01 63.75 63.78 63.93 63.66 63.78 64.46 980237 空房 984395 空房 1054629 已分配 1018470 空房 1018950 已分配 886774 空房 883028 空房 884693 空房 926355 空房 1024786 空房 982085 空房 980237 空房 984395 空房 1054629 已分配 1018470 空房 1018950 空房 886774 空房 883028 空房 884693 空房 926355 空房 1024786 空房 982085 空房 980237 空房 984395 空房 1054629 已分配 1018470 已分配 1018950 已分配 886774 空房 883028 空房 884693 空房 926355 已分配 1024786 已分配 982085 空房 980237 空房 984395 空房 1054629 已分配 1018470 已分配 1018950 已分配 886774 空房 883028 已分配 884693 空房 926355 已分配 1050570 空房 1007597 空房 1005701 空房 1009967 空房 1080233 已分配 1043970 空房 1044462 已分配 912346 空房 908492 空房 910205 空房 952139 空房 529 观禧花园 530 观禧花园 531 观禧花园 532 观禧花园 533 观禧花园 534 观禧花园 535 观禧花园 536 观禧花园 537 观禧花园 538 观禧花园 539 观禧花园 540 观禧花园 541 观禧花园 542 观禧花园 543 观禧花园 544 观禧花园 545 观禧花园 546 观禧花园 547 观禧花园 548 观禧花园 549 观禧花园 550 观禧花园 551 观禧花园 552 观禧花园 553 观禧花园 554 观禧花园 555 观禧花园 556 观禧花园 557 观禧花园 558 观禧花园 559 观禧花园 560 观禧花园 561 观禧花园 562 观禧花园 563 观禧花园 564 观禧花园 565 观禧花园 566 观禧花园 567 观禧花园 568 观禧花园 569 观禧花园 570 观禧花园 571 观禧花园 572 观禧花园 573 观禧花园 574 观禧花园 575 观禧花园 576 观禧花园 577 观禧花园 578 观禧花园 579 观禧花园 580 观禧花园 581 观禧花园 1栋B座 1栋B座 1栋B座 1栋B座 1栋B座 1栋B座 1栋B座 1栋B座 1栋B座 1栋B座 1栋B座 1栋B座 1栋B座 1栋B座 1栋B座 1栋B座 1栋B座 1栋B座 1栋B座 1栋B座 1栋B座 1栋B座 1栋B座 1栋B座 1栋B座 1栋B座 1栋B座 1栋B座 1栋B座 1栋B座 1栋B座 1栋B座 1栋B座 1栋B座 1栋B座 1栋B座 1栋B座 1栋B座 1栋B座 1栋B座 1栋B座 1栋B座 1栋B座 1栋B座 1栋B座 1栋B座 1栋B座 1栋B座 1栋B座 1栋B座 1栋B座 1栋B座 1栋B座 2201 2202 2203 2204 2205 2206 2207 2209 2210 2211 2212 2301 2302 2303 2304 2305 2306 2307 2309 2310 2311 2312 2401 2402 2403 2404 2405 2406 2407 2409 2410 2411 2412 2501 2502 2503 2504 2505 2506 2507 2509 2510 2511 2512 2601 2602 2603 2604 2605 2606 2607 2609 2610 64.46 63.78 63.66 63.93 64.01 63.75 63.78 63.93 63.66 63.78 64.46 64.46 63.78 63.66 63.93 64.01 63.75 63.78 63.93 63.66 63.78 64.46 64.46 63.78 63.66 63.93 64.01 63.75 63.78 63.93 63.66 63.78 64.46 64.46 63.78 63.66 63.93 64.01 63.75 63.78 63.93 63.66 63.78 64.46 64.46 63.78 63.66 63.93 64.01 63.75 63.78 63.93 63.66 1050570 空房 1007597 空房 1005701 空房 1009967 空房 1080233 已分配 1043970 空房 1044462 已分配 912346 空房 908492 空房 910205 空房 952139 空房 1050570 已分配 1007597 空房 1005701 空房 1009967 空房 1080233 已分配 1043970 空房 1044462 已分配 912346 空房 908492 空房 910205 空房 952139 已分配 1050570 空房 1007597 空房 1005701 空房 1009967 空房 1080233 已分配 1043970 空房 1044462 空房 912346 空房 908492 空房 910205 空房 952139 空房 1050570 空房 1007597 空房 1005701 空房 1009967 空房 1080233 已分配 1043970 空房 1044462 已分配 912346 空房 908492 空房 910205 空房 952139 空房 1050570 空房 1007597 空房 1005701 空房 1009967 空房 1080233 已分配 1043970 已分配 1044462 已分配 912346 空房 908492 空房 582 观禧花园 583 观禧花园 584 观禧花园 585 观禧花园 586 观禧花园 587 观禧花园 588 观禧花园 589 观禧花园 590 观禧花园 591 观禧花园 592 观禧花园 593 观禧花园 594 观禧花园 595 观禧花园 596 观禧花园 597 观禧花园 598 观禧花园 599 观禧花园 600 观禧花园 601 观禧花园 602 观禧花园 603 观禧花园 604 观禧花园 605 观禧花园 606 观禧花园 607 观禧花园 608 观禧花园 609 观禧花园 610 观禧花园 611 观禧花园 612 观禧花园 613 观禧花园 614 观禧花园 615 观禧花园 616 观禧花园 617 观禧花园 618 观禧花园 619 观禧花园 620 观禧花园 621 观禧花园 622 观禧花园 623 观禧花园 624 观禧花园 625 观禧花园 626 观禧花园 627 观禧花园 628 观禧花园 629 观禧花园 630 观禧花园 631 观禧花园 632 观禧花园 633 观禧花园 634 观禧花园 1栋B座 1栋B座 1栋B座 1栋B座 1栋B座 1栋B座 1栋B座 1栋B座 1栋B座 1栋B座 1栋B座 1栋B座 1栋B座 1栋B座 1栋B座 1栋B座 1栋B座 1栋B座 1栋B座 1栋B座 1栋B座 1栋B座 1栋B座 1栋B座 1栋B座 1栋B座 1栋B座 1栋B座 1栋B座 1栋B座 1栋B座 1栋B座 1栋B座 1栋B座 1栋B座 1栋B座 1栋B座 1栋B座 1栋B座 1栋B座 1栋B座 1栋B座 1栋B座 1栋B座 1栋B座 1栋B座 1栋B座 1栋B座 1栋B座 1栋B座 1栋B座 1栋B座 1栋B座 2611 2612 2701 2702 2703 2704 2705 2706 2707 2709 2710 2711 2712 2801 2802 2803 2804 2805 2806 2807 2809 2810 2811 2812 2901 2902 2903 2904 2905 2906 2907 2909 2910 2911 2912 3001 3002 3003 3004 3005 3006 3007 3009 3010 3011 3012 3101 3102 3103 3104 3105 3106 3107 63.78 64.46 64.46 63.78 63.66 63.93 64.01 63.75 63.78 63.93 63.66 63.78 64.46 64.46 63.78 63.66 63.93 64.01 63.75 63.78 63.93 63.66 63.78 64.46 64.46 63.78 63.66 63.93 64.01 63.75 63.78 63.93 63.66 63.78 64.46 64.46 63.78 63.66 63.93 64.01 63.75 63.78 63.93 63.66 63.78 64.46 64.46 63.78 63.66 63.93 64.01 63.75 63.78 910205 空房 952139 空房 1050570 空房 1007597 空房 1005701 空房 1009967 空房 1080233 已分配 1043970 空房 1044462 已分配 912346 空房 908492 空房 910205 空房 952139 空房 1050570 已分配 1007597 空房 1005701 空房 1009967 空房 1080233 已分配 1043970 空房 1044462 已分配 912346 空房 908492 空房 910205 空房 952139 已分配 1050570 已分配 1007597 空房 1005701 空房 1009967 空房 1080233 已分配 1043970 空房 1044462 已分配 912346 空房 908492 空房 910205 空房 952139 空房 1050570 已分配 1007597 空房 1005701 空房 1009967 空房 1080233 已分配 1043970 空房 1044462 空房 912346 空房 908492 空房 910205 空房 952139 空房 1050570 空房 1007597 空房 1005701 空房 1009967 空房 1080233 已分配 1043970 已分配 1044462 空房 635 观禧花园 636 观禧花园 637 观禧花园 638 观禧花园 639 观禧花园 640 观禧花园 641 观禧花园 642 观禧花园 643 观禧花园 644 观禧花园 645 观禧花园 646 观禧花园 647 观禧花园 648 观禧花园 649 观禧花园 650 观禧花园 651 观禧花园 652 观禧花园 653 观禧花园 654 观禧花园 655 观禧花园 656 观禧花园 657 观禧花园 658 观禧花园 659 观禧花园 660 观禧花园 661 观禧花园 662 观禧花园 663 观禧花园 664 观禧花园 665 观禧花园 666 观禧花园 667 观禧花园 668 观禧花园 669 观禧花园 670 观禧花园 671 观禧花园 672 观禧花园 673 观禧花园 674 观禧花园 675 观禧花园 676 观禧花园 677 观禧花园 678 观禧花园 679 观禧花园 680 观禧花园 681 观禧花园 682 观禧花园 683 观禧花园 684 观禧花园 685 观禧花园 686 观禧花园 687 观禧花园 1栋B座 1栋B座 1栋B座 1栋B座 1栋B座 1栋B座 1栋B座 1栋B座 1栋B座 1栋B座 1栋B座 1栋B座 1栋B座 1栋B座 1栋B座 1栋B座 1栋B座 1栋B座 1栋B座 1栋B座 1栋B座 1栋B座 1栋B座 1栋B座 1栋B座 1栋B座 1栋C座 1栋C座 1栋C座 1栋C座 1栋C座 1栋C座 1栋C座 1栋C座 1栋C座 1栋C座 1栋C座 1栋C座 1栋C座 1栋C座 1栋C座 1栋C座 1栋C座 1栋C座 1栋C座 1栋C座 1栋C座 1栋C座 1栋C座 1栋C座 1栋C座 1栋C座 1栋C座 3109 3110 3111 3112 3201 3202 3203 3204 3205 3206 3207 3209 3210 3211 3212 3301 3302 3303 3304 3305 3306 3307 3309 3310 3311 3312 401 402 404 405 406 407 408 409 410 501 502 504 505 506 507 508 509 510 601 602 604 605 606 607 608 609 610 63.93 63.66 63.78 64.46 64.46 63.78 63.66 63.93 64.01 63.75 63.78 63.93 63.66 63.78 64.46 64.46 63.78 63.66 63.93 64.01 63.75 63.78 63.93 63.66 63.78 64.46 67.53 67.15 67.38 67.58 67.58 67.58 67.72 67.15 67.53 67.53 67.15 67.38 67.58 67.58 67.58 67.72 67.15 67.53 67.53 67.15 67.38 67.58 67.58 67.58 67.72 67.15 67.53 912346 空房 908492 空房 910205 空房 952139 空房 1050570 已分配 1007597 空房 1005701 空房 1009967 空房 1080233 已分配 1043970 已分配 1044462 空房 912346 空房 908492 已分配 910205 空房 952139 空房 1050570 空房 1007597 空房 1005701 空房 1009967 空房 1080233 已分配 1043970 空房 1044462 空房 912346 空房 908492 空房 910205 空房 952139 空房 984183 空房 945070 空房 1018853 空房 1021878 空房 1021878 空房 1021878 空房 1057855 已分配 1029544 空房 1069135 空房 984183 空房 945070 空房 1018853 空房 1021878 空房 1021878 空房 1021878 空房 1057855 已分配 1029544 空房 1069135 已分配 984183 空房 945070 空房 1018853 空房 1021878 空房 1021878 已分配 1021878 已分配 1057855 已分配 1029544 空房 1069135 已分配 688 观禧花园 689 观禧花园 690 观禧花园 691 观禧花园 692 观禧花园 693 观禧花园 694 观禧花园 695 观禧花园 696 观禧花园 697 观禧花园 698 观禧花园 699 观禧花园 700 观禧花园 701 观禧花园 702 观禧花园 703 观禧花园 704 观禧花园 705 观禧花园 706 观禧花园 707 观禧花园 708 观禧花园 709 观禧花园 710 观禧花园 711 观禧花园 712 观禧花园 713 观禧花园 714 观禧花园 715 观禧花园 716 观禧花园 717 观禧花园 718 观禧花园 719 观禧花园 720 观禧花园 721 观禧花园 722 观禧花园 723 观禧花园 724 观禧花园 725 观禧花园 726 观禧花园 727 观禧花园 728 观禧花园 729 观禧花园 730 观禧花园 731 观禧花园 732 观禧花园 733 观禧花园 734 观禧花园 735 观禧花园 736 观禧花园 737 观禧花园 738 观禧花园 739 观禧花园 740 观禧花园 1栋C座 1栋C座 1栋C座 1栋C座 1栋C座 1栋C座 1栋C座 1栋C座 1栋C座 1栋C座 1栋C座 1栋C座 1栋C座 1栋C座 1栋C座 1栋C座 1栋C座 1栋C座 1栋C座 1栋C座 1栋C座 1栋C座 1栋C座 1栋C座 1栋C座 1栋C座 1栋C座 1栋C座 1栋C座 1栋C座 1栋C座 1栋C座 1栋C座 1栋C座 1栋C座 1栋C座 1栋C座 1栋C座 1栋C座 1栋C座 1栋C座 1栋C座 1栋C座 1栋C座 1栋C座 1栋C座 1栋C座 1栋C座 1栋C座 1栋C座 1栋C座 1栋C座 1栋C座 701 702 704 705 706 707 708 709 710 801 802 804 805 806 807 808 809 810 901 902 904 905 906 907 908 909 910 1001 1002 1004 1005 1006 1007 1008 1009 1010 1101 1102 1104 1105 1106 1107 1108 1109 1110 1201 1202 1204 1205 1206 1207 1208 1209 67.53 67.15 67.38 67.58 67.58 67.58 67.72 67.15 67.53 67.53 67.15 67.38 67.58 67.58 67.58 67.72 67.15 67.53 67.53 67.15 67.38 67.58 67.58 67.58 67.72 67.15 67.53 67.53 67.15 67.38 67.58 67.58 67.58 67.72 67.15 67.53 67.53 67.15 67.38 67.58 67.58 67.58 67.72 67.15 67.53 67.53 67.15 67.38 67.58 67.58 67.58 67.72 67.15 990936 空房 951785 空房 1018853 空房 1021878 空房 1021878 已分配 1021878 已分配 1057855 已分配 1029544 空房 1069135 已分配 990936 已分配 951785 空房 1018853 空房 1021878 已分配 1021878 已分配 1021878 已分配 1057855 已分配 1029544 已分配 1069135 已分配 990936 已分配 951785 空房 1018853 空房 1021878 已分配 1021878 已分配 1021878 已分配 1057855 已分配 1029544 已分配 1069135 已分配 990936 已分配 951785 空房 1018853 空房 1021878 已分配 1021878 已分配 1021878 已分配 1057855 已分配 1029544 已分配 1069135 已分配 1024701 已分配 985360 空房 1052543 空房 1055668 已分配 1055668 已分配 1055668 已分配 1091715 已分配 1063119 空房 1102900 已分配 1024701 已分配 985360 空房 1052543 空房 1055668 已分配 1055668 已分配 1055668 已分配 1091715 已分配 1063119 空房 741 观禧花园 742 观禧花园 743 观禧花园 744 观禧花园 745 观禧花园 746 观禧花园 747 观禧花园 748 观禧花园 749 观禧花园 750 观禧花园 751 观禧花园 752 观禧花园 753 观禧花园 754 观禧花园 755 观禧花园 756 观禧花园 757 观禧花园 758 观禧花园 759 观禧花园 760 观禧花园 761 观禧花园 762 观禧花园 763 观禧花园 764 观禧花园 765 观禧花园 766 观禧花园 767 观禧花园 768 观禧花园 769 观禧花园 770 观禧花园 771 观禧花园 772 观禧花园 773 观禧花园 774 观禧花园 775 观禧花园 776 观禧花园 777 观禧花园 778 观禧花园 779 观禧花园 780 观禧花园 781 观禧花园 782 观禧花园 783 观禧花园 784 观禧花园 785 观禧花园 786 观禧花园 787 观禧花园 788 观禧花园 789 观禧花园 790 观禧花园 791 观禧花园 792 观禧花园 793 观禧花园 1栋C座 1栋C座 1栋C座 1栋C座 1栋C座 1栋C座 1栋C座 1栋C座 1栋C座 1栋C座 1栋C座 1栋C座 1栋C座 1栋C座 1栋C座 1栋C座 1栋C座 1栋C座 1栋C座 1栋C座 1栋C座 1栋C座 1栋C座 1栋C座 1栋C座 1栋C座 1栋C座 1栋C座 1栋C座 1栋C座 1栋C座 1栋C座 1栋C座 1栋C座 1栋C座 1栋C座 1栋C座 1栋C座 1栋C座 1栋C座 1栋C座 1栋C座 1栋C座 1栋C座 1栋C座 1栋C座 1栋C座 1栋C座 1栋C座 1栋C座 1栋C座 1栋C座 1栋C座 1210 1301 1302 1304 1305 1306 1307 1308 1309 1310 1401 1402 1404 1405 1406 1407 1408 1409 1410 1501 1502 1504 1505 1506 1507 1508 1509 1510 1601 1602 1604 1605 1606 1607 1608 1609 1610 1701 1702 1704 1705 1706 1707 1708 1709 1710 1801 1802 1804 1805 1806 1807 1808 67.53 67.53 67.15 67.38 67.58 67.58 67.58 67.72 67.15 67.53 67.53 67.15 67.38 67.58 67.58 67.58 67.72 67.15 67.53 67.53 67.15 67.38 67.58 67.58 67.58 67.72 67.15 67.53 67.53 67.15 67.38 67.58 67.58 67.58 67.72 67.15 67.53 67.53 67.15 67.38 67.58 67.58 67.58 67.72 67.15 67.53 67.53 67.15 67.38 67.58 67.58 67.58 67.72 1102900 已分配 1024701 已分配 985360 空房 1052543 已分配 1055668 已分配 1055668 已分配 1055668 已分配 1091715 已分配 1063119 空房 1102900 已分配 1024701 已分配 985360 空房 1052543 已分配 1055668 已分配 1055668 已分配 1055668 已分配 1091715 已分配 1063119 空房 1102900 已分配 1024701 已分配 985360 空房 1052543 已分配 1055668 已分配 1055668 已分配 1055668 已分配 1091715 已分配 1063119 已分配 1102900 已分配 1024701 已分配 985360 已分配 1052543 已分配 1055668 已分配 1055668 已分配 1055668 已分配 1091715 已分配 1063119 已分配 1102900 已分配 1024701 已分配 985360 空房 1052543 已分配 1055668 已分配 1055668 已分配 1055668 已分配 1091715 已分配 1063119 已分配 1102900 已分配 1024701 已分配 985360 已分配 1052543 已分配 1055668 已分配 1055668 已分配 1055668 已分配 1091715 已分配 794 观禧花园 795 观禧花园 796 观禧花园 797 观禧花园 798 观禧花园 799 观禧花园 800 观禧花园 801 观禧花园 802 观禧花园 803 观禧花园 804 观禧花园 805 观禧花园 806 观禧花园 807 观禧花园 808 观禧花园 809 观禧花园 810 观禧花园 811 观禧花园 812 观禧花园 813 观禧花园 814 观禧花园 815 观禧花园 816 观禧花园 817 观禧花园 818 观禧花园 819 观禧花园 820 观禧花园 821 观禧花园 822 观禧花园 823 观禧花园 824 观禧花园 825 观禧花园 826 观禧花园 827 观禧花园 828 观禧花园 829 观禧花园 830 观禧花园 831 观禧花园 832 观禧花园 833 观禧花园 834 观禧花园 835 观禧花园 836 观禧花园 837 观禧花园 838 观禧花园 839 观禧花园 840 观禧花园 841 观禧花园 842 观禧花园 843 观禧花园 844 观禧花园 845 观禧花园 846 观禧花园 1栋C座 1栋C座 1栋C座 1栋C座 1栋C座 1栋C座 1栋C座 1栋C座 1栋C座 1栋C座 1栋C座 1栋C座 1栋C座 1栋C座 1栋C座 1栋C座 1栋C座 1栋C座 1栋C座 1栋C座 1栋C座 1栋C座 1栋C座 1栋C座 1栋C座 1栋C座 1栋C座 1栋C座 1栋C座 1栋C座 1栋C座 1栋C座 1栋C座 1栋C座 1栋C座 1栋C座 1栋C座 1栋C座 1栋C座 1栋C座 1栋C座 1栋C座 1栋C座 1栋C座 1栋C座 1栋C座 1栋C座 1栋C座 1栋C座 1栋C座 1栋C座 1栋C座 1栋C座 1809 1810 1901 1902 1904 1905 1906 1907 1908 1909 1910 2001 2002 2004 2005 2006 2007 2008 2009 2010 2101 2102 2104 2105 2106 2107 2108 2109 2110 2201 2202 2204 2205 2206 2207 2208 2209 2210 2301 2302 2304 2305 2306 2307 2308 2309 2310 2401 2402 2404 2405 2406 2407 67.15 67.53 67.53 67.15 67.38 67.58 67.58 67.58 67.72 67.15 67.53 67.53 67.15 67.38 67.58 67.58 67.58 67.72 67.15 67.53 67.53 67.15 67.38 67.58 67.58 67.58 67.72 67.15 67.53 67.53 67.15 67.38 67.58 67.58 67.58 67.72 67.15 67.53 67.53 67.15 67.38 67.58 67.58 67.58 67.72 67.15 67.53 67.59 67.28 67.23 67.55 67.55 67.55 1063119 已分配 1102900 已分配 1024701 已分配 985360 空房 1052543 已分配 1055668 已分配 1055668 已分配 1055668 已分配 1091715 已分配 1063119 已分配 1102900 已分配 1024701 已分配 985360 已分配 1052543 已分配 1055668 已分配 1055668 已分配 1055668 已分配 1091715 已分配 1063119 已分配 1102900 已分配 1051713 已分配 1012220 空房 1079495 已分配 1082700 已分配 1082700 已分配 1082700 已分配 1118803 已分配 1089979 已分配 1129912 已分配 1051713 已分配 1012220 空房 1079495 已分配 1082700 已分配 1082700 已分配 1082700 已分配 1118803 已分配 1089979 已分配 1129912 已分配 1051713 已分配 1012220 空房 1079495 已分配 1082700 已分配 1082700 已分配 1082700 已分配 1118803 已分配 1089979 空房 1129912 已分配 1052647 已分配 1014179 空房 1077092 空房 1082219 已分配 1082219 已分配 1082219 已分配 847 观禧花园 848 观禧花园 849 观禧花园 850 观禧花园 851 观禧花园 852 观禧花园 853 观禧花园 854 观禧花园 855 观禧花园 856 观禧花园 857 观禧花园 858 观禧花园 859 观禧花园 860 观禧花园 861 观禧花园 862 观禧花园 863 观禧花园 864 观禧花园 865 观禧花园 866 观禧花园 867 观禧花园 868 观禧花园 869 观禧花园 870 观禧花园 871 观禧花园 872 观禧花园 873 观禧花园 874 观禧花园 875 观禧花园 876 观禧花园 877 观禧花园 878 观禧花园 879 观禧花园 880 观禧花园 881 观禧花园 882 观禧花园 883 观禧花园 884 观禧花园 885 观禧花园 886 观禧花园 887 观禧花园 888 观禧花园 889 观禧花园 890 观禧花园 891 观禧花园 892 观禧花园 893 观禧花园 894 观禧花园 895 观禧花园 896 观禧花园 897 观禧花园 898 观禧花园 899 观禧花园 1栋C座 1栋C座 1栋C座 1栋C座 1栋C座 1栋C座 1栋C座 1栋C座 1栋C座 1栋C座 1栋C座 1栋C座 1栋C座 1栋C座 1栋C座 1栋C座 1栋C座 1栋C座 1栋C座 1栋C座 1栋C座 1栋C座 1栋C座 1栋C座 1栋C座 1栋C座 1栋C座 1栋C座 1栋C座 1栋C座 1栋C座 1栋C座 1栋C座 1栋C座 1栋C座 1栋C座 1栋C座 1栋C座 1栋C座 1栋C座 1栋C座 1栋C座 1栋C座 1栋C座 1栋C座 1栋C座 1栋C座 1栋C座 1栋C座 1栋C座 1栋C座 1栋C座 1栋C座 2408 2409 2410 2501 2502 2504 2505 2506 2507 2508 2509 2510 2601 2602 2604 2605 2606 2607 2608 2609 2610 2701 2702 2704 2705 2706 2707 2708 2709 2710 2801 2802 2804 2805 2806 2807 2808 2809 2810 2901 2902 2904 2905 2906 2907 2908 2909 2910 3001 3002 3004 3005 3006 67.69 67.28 67.59 67.59 67.28 67.23 67.55 67.55 67.55 67.69 67.28 67.59 67.59 67.28 67.23 67.55 67.55 67.55 67.69 67.28 67.59 67.59 67.28 67.23 67.55 67.55 67.55 67.69 67.28 67.59 67.59 67.28 67.23 67.55 67.55 67.55 67.69 67.28 67.59 67.59 67.28 67.23 67.55 67.55 67.55 67.69 67.28 67.59 67.59 67.28 67.23 67.55 67.55 1118307 已分配 1092089 空房 1130916 已分配 1052647 已分配 1014179 空房 1077092 已分配 1082219 已分配 1082219 已分配 1082219 已分配 1118307 已分配 1092089 已分配 1130916 已分配 1052647 已分配 1014179 空房 1077092 已分配 1082219 已分配 1082219 已分配 1082219 已分配 1118307 已分配 1092089 空房 1130916 已分配 1052647 已分配 1014179 空房 1077092 空房 1082219 已分配 1082219 已分配 1082219 已分配 1118307 已分配 1092089 已分配 1130916 已分配 1052647 已分配 1014179 空房 1077092 已分配 1082219 已分配 1082219 已分配 1082219 已分配 1118307 已分配 1092089 已分配 1130916 已分配 1052647 已分配 1014179 空房 1077092 已分配 1082219 已分配 1082219 已分配 1082219 已分配 1118307 已分配 1092089 空房 1130916 已分配 1052647 已分配 1014179 空房 1077092 已分配 1082219 已分配 1082219 已分配 900 观禧花园 901 观禧花园 902 观禧花园 903 观禧花园 904 观禧花园 905 观禧花园 906 观禧花园 907 观禧花园 908 观禧花园 909 观禧花园 910 观禧花园 911 观禧花园 912 观禧花园 913 观禧花园 914 观禧花园 915 观禧花园 916 观禧花园 917 观禧花园 918 观禧花园 919 观禧花园 920 观禧花园 921 观禧花园 922 观禧花园 923 观禧花园 924 观禧花园 925 观禧花园 926 观禧花园 927 观禧花园 928 观禧花园 929 观禧花园 930 观禧花园 931 观禧花园 932 观禧花园 933 观禧花园 934 观禧花园 935 观禧花园 936 观禧花园 937 观禧花园 938 观禧花园 939 观禧花园 940 观禧花园 941 观禧花园 942 观禧花园 943 观禧花园 944 观禧花园 945 观禧花园 946 观禧花园 947 观禧花园 948 观禧花园 949 观禧花园 950 观禧花园 951 观禧花园 952 观禧花园 1栋C座 1栋C座 1栋C座 1栋C座 1栋C座 1栋C座 1栋C座 1栋C座 1栋C座 1栋C座 1栋C座 1栋C座 1栋C座 1栋C座 1栋C座 1栋C座 1栋C座 1栋C座 1栋C座 1栋C座 1栋C座 1栋C座 1栋C座 1栋C座 1栋C座 1栋C座 1栋C座 1栋C座 1栋C座 1栋C座 1栋C座 2栋 2栋 2栋 2栋 2栋 2栋 2栋 2栋 2栋 2栋 2栋 2栋 2栋 2栋 2栋 2栋 2栋 2栋 2栋 2栋 2栋 2栋 3007 3008 3009 3010 3101 3102 3104 3105 3106 3107 3108 3109 3110 3201 3202 3204 3205 3206 3207 3208 3209 3210 3301 3302 3304 3305 3306 3307 3308 3309 3310 201 202 204 205 206 207 208 209 210 301 302 304 305 306 307 308 309 310 401 402 404 405 67.55 67.69 67.28 67.59 67.59 67.28 67.23 67.55 67.55 67.55 67.69 67.28 67.59 67.59 67.28 67.23 67.55 67.55 67.55 67.69 67.28 67.59 67.59 67.28 67.23 67.55 67.55 67.55 67.69 67.28 67.59 66.61 66.24 66.46 66.66 66.66 66.66 66.8 66.24 66.61 66.61 66.24 66.46 66.66 66.66 66.66 66.8 66.24 66.61 66.61 66.24 66.46 66.66 1082219 已分配 1118307 已分配 1092089 空房 1130916 已分配 1052647 已分配 1014179 已分配 1077092 空房 1082219 已分配 1082219 已分配 1082219 已分配 1118307 已分配 1092089 空房 1130916 已分配 1052647 已分配 1014179 已分配 1077092 空房 1082219 已分配 1082219 已分配 1082219 已分配 1118307 已分配 1092089 已分配 1130916 已分配 1052647 空房 1014179 空房 1077092 空房 1082219 空房 1082219 空房 1082219 空房 1118307 已分配 1092089 空房 1130916 已分配 964114 空房 925638 空房 955961 空房 958838 空房 958838 空房 958838 空房 994252 空房 823827 已分配 861734 已分配 964114 空房 925638 空房 955961 空房 958838 空房 958838 空房 958838 空房 994252 已分配 823827 已分配 861734 已分配 970775 空房 932262 空房 955961 空房 958838 空房 953 观禧花园 954 观禧花园 955 观禧花园 956 观禧花园 957 观禧花园 958 观禧花园 959 观禧花园 960 观禧花园 961 观禧花园 962 观禧花园 963 观禧花园 964 观禧花园 965 观禧花园 966 观禧花园 967 观禧花园 968 观禧花园 969 观禧花园 970 观禧花园 971 观禧花园 972 观禧花园 973 观禧花园 974 观禧花园 975 观禧花园 976 观禧花园 977 观禧花园 978 观禧花园 979 观禧花园 980 观禧花园 981 观禧花园 982 观禧花园 983 观禧花园 984 观禧花园 985 观禧花园 986 观禧花园 987 观禧花园 988 观禧花园 989 观禧花园 990 观禧花园 991 观禧花园 992 观禧花园 993 观禧花园 994 观禧花园 995 观禧花园 996 观禧花园 997 观禧花园 998 观禧花园 999 观禧花园 1000 观禧花园 1001 观禧花园 1002 观禧花园 1003 观禧花园 1004 观禧花园 1005 观禧花园 2栋 2栋 2栋 2栋 2栋 2栋 2栋 2栋 2栋 2栋 2栋 2栋 2栋 2栋 2栋 2栋 2栋 2栋 2栋 2栋 2栋 2栋 2栋 2栋 2栋 2栋 2栋 2栋 2栋 2栋 2栋 2栋 2栋 2栋 2栋 2栋 2栋 2栋 2栋 2栋 2栋 2栋 2栋 2栋 2栋 2栋 2栋 2栋 2栋 2栋 2栋 2栋 2栋 406 407 408 409 410 501 502 504 505 506 507 508 509 510 601 602 604 605 606 607 608 609 610 701 702 704 705 706 707 708 709 710 801 802 804 805 806 807 808 809 810 901 902 904 905 906 907 908 909 910 1001 1002 1004 66.66 66.66 66.8 66.24 66.61 66.61 66.24 66.46 66.66 66.66 66.66 66.8 66.24 66.61 66.61 66.24 66.46 66.66 66.66 66.66 66.8 66.24 66.61 66.61 66.24 66.46 66.66 66.66 66.66 66.8 66.24 66.61 66.61 66.24 66.46 66.66 66.66 66.66 66.8 66.24 66.61 66.61 66.24 66.46 66.66 66.66 66.66 66.8 66.24 66.61 66.61 66.24 66.46 958838 空房 958838 空房 994252 已分配 823827 已分配 861734 已分配 970775 空房 932262 空房 955961 空房 958838 空房 958838 空房 958838 空房 994252 已分配 823827 已分配 861734 已分配 970775 空房 932262 空房 955961 空房 958838 已分配 958838 已分配 958838 已分配 994252 已分配 823827 已分配 861734 已分配 977436 已分配 938886 空房 955961 空房 958838 已分配 958838 已分配 958838 已分配 994252 已分配 823827 已分配 861734 已分配 977436 已分配 938886 空房 955961 空房 958838 已分配 958838 已分配 958838 已分配 994252 已分配 823827 已分配 861734 已分配 977436 已分配 938886 已分配 955961 已分配 958838 已分配 958838 已分配 958838 已分配 994252 已分配 823827 已分配 861734 已分配 977436 已分配 938886 已分配 955961 已分配 1006 观禧花园 1007 观禧花园 1008 观禧花园 1009 观禧花园 1010 观禧花园 1011 观禧花园 1012 观禧花园 1013 观禧花园 1014 观禧花园 1015 观禧花园 1016 观禧花园 1017 观禧花园 1018 观禧花园 1019 观禧花园 1020 观禧花园 1021 观禧花园 1022 观禧花园 1023 观禧花园 1024 观禧花园 1025 观禧花园 1026 观禧花园 1027 观禧花园 1028 观禧花园 1029 观禧花园 1030 观禧花园 1031 观禧花园 1032 观禧花园 1033 观禧花园 1034 观禧花园 1035 观禧花园 1036 观禧花园 1037 观禧花园 1038 观禧花园 1039 观禧花园 1040 观禧花园 1041 观禧花园 1042 观禧花园 1043 观禧花园 1044 观禧花园 1045 观禧花园 1046 观禧花园 1047 观禧花园 1048 观禧花园 1049 观禧花园 1050 观禧花园 1051 观禧花园 1052 观禧花园 1053 观禧花园 1054 观禧花园 1055 观禧花园 1056 观禧花园 1057 观禧花园 1058 观禧花园 2栋 2栋 2栋 2栋 2栋 2栋 2栋 2栋 2栋 2栋 2栋 2栋 2栋 2栋 2栋 2栋 2栋 2栋 2栋 2栋 2栋 2栋 2栋 2栋 2栋 2栋 2栋 2栋 2栋 2栋 2栋 2栋 2栋 2栋 2栋 2栋 2栋 2栋 2栋 2栋 2栋 2栋 2栋 2栋 2栋 2栋 2栋 2栋 2栋 2栋 2栋 2栋 2栋 1005 1006 1007 1008 1009 1010 1101 1102 1104 1105 1106 1107 1108 1109 1110 1201 1202 1204 1205 1206 1207 1208 1209 1210 1301 1302 1304 1305 1306 1307 1308 1309 1310 1401 1402 1404 1405 1406 1407 1408 1409 1410 1501 1502 1504 1505 1506 1507 1508 1509 1510 1601 1602 66.66 66.66 66.66 66.8 66.24 66.61 66.61 66.24 66.46 66.66 66.66 66.66 66.8 66.24 66.61 66.61 66.24 66.46 66.66 66.66 66.66 66.8 66.24 66.61 66.61 66.24 66.46 66.66 66.66 66.66 66.8 66.24 66.61 66.61 66.24 66.46 66.66 66.66 66.66 66.8 66.24 66.61 66.61 66.24 66.46 66.66 66.66 66.66 66.8 66.24 66.61 66.61 66.24 958838 已分配 958838 已分配 958838 已分配 994252 已分配 823827 已分配 861734 已分配 1010741 已分配 972006 空房 989191 已分配 992168 已分配 992168 已分配 992168 已分配 1027652 已分配 856947 已分配 895039 已分配 1010741 已分配 972006 空房 989191 已分配 992168 已分配 992168 已分配 992168 已分配 1027652 已分配 856947 已分配 895039 已分配 1010741 已分配 972006 空房 989191 已分配 992168 已分配 992168 已分配 992168 已分配 1027652 已分配 856947 已分配 895039 已分配 1010741 已分配 972006 空房 989191 已分配 992168 已分配 992168 已分配 992168 已分配 1027652 已分配 856947 已分配 895039 已分配 1010741 已分配 972006 空房 989191 已分配 992168 已分配 992168 已分配 992168 已分配 1027652 已分配 856947 已分配 895039 已分配 1010741 已分配 972006 已分配 1059 观禧花园 1060 观禧花园 1061 观禧花园 1062 观禧花园 1063 观禧花园 1064 观禧花园 1065 观禧花园 1066 观禧花园 1067 观禧花园 1068 观禧花园 1069 观禧花园 1070 观禧花园 1071 观禧花园 1072 观禧花园 1073 观禧花园 1074 观禧花园 1075 观禧花园 1076 观禧花园 1077 观禧花园 1078 观禧花园 1079 观禧花园 1080 观禧花园 1081 观禧花园 1082 观禧花园 1083 观禧花园 1084 观禧花园 1085 观禧花园 1086 观禧花园 1087 观禧花园 1088 观禧花园 1089 观禧花园 1090 观禧花园 1091 观禧花园 1092 观禧花园 1093 观禧花园 1094 观禧花园 1095 观禧花园 1096 观禧花园 1097 观禧花园 1098 观禧花园 1099 观禧花园 1100 观禧花园 1101 观禧花园 1102 观禧花园 1103 观禧花园 1104 观禧花园 1105 观禧花园 1106 观禧花园 1107 观禧花园 1108 观禧花园 1109 观禧花园 1110 观禧花园 1111 观禧花园 2栋 2栋 2栋 2栋 2栋 2栋 2栋 2栋 2栋 2栋 2栋 2栋 2栋 2栋 2栋 2栋 2栋 2栋 2栋 2栋 2栋 2栋 2栋 2栋 2栋 2栋 2栋 2栋 2栋 2栋 2栋 2栋 2栋 2栋 2栋 2栋 2栋 2栋 2栋 2栋 2栋 2栋 2栋 2栋 2栋 2栋 2栋 2栋 2栋 2栋 2栋 2栋 2栋 1604 1605 1606 1607 1608 1609 1610 1701 1702 1704 1705 1706 1707 1708 1709 1710 1801 1802 1804 1805 1806 1807 1808 1809 1810 1901 1902 1904 1905 1906 1907 1908 1909 1910 2001 2002 2004 2005 2006 2007 2008 2009 2010 2101 2102 2104 2105 2106 2107 2108 2109 2110 2201 66.46 66.66 66.66 66.66 66.8 66.24 66.61 66.61 66.24 66.46 66.66 66.66 66.66 66.8 66.24 66.61 66.61 66.24 66.46 66.66 66.66 66.66 66.8 66.24 66.61 66.61 66.24 66.46 66.66 66.66 66.66 66.8 66.24 66.61 66.61 66.24 66.46 66.66 66.66 66.66 66.8 66.24 66.61 66.61 66.24 66.46 66.66 66.66 66.66 66.8 66.24 66.61 66.61 989191 已分配 992168 已分配 992168 已分配 992168 已分配 1027652 已分配 856947 已分配 895039 已分配 1010741 已分配 972006 空房 989191 已分配 992168 已分配 992168 已分配 992168 已分配 1027652 已分配 856947 已分配 895039 已分配 1010741 已分配 972006 已分配 989191 已分配 992168 已分配 992168 已分配 992168 已分配 1027652 已分配 856947 已分配 895039 已分配 1010741 已分配 972006 已分配 989191 已分配 992168 已分配 992168 已分配 992168 已分配 1027652 已分配 856947 已分配 895039 已分配 1010741 已分配 972006 空房 989191 已分配 992168 已分配 992168 已分配 992168 已分配 1027652 已分配 856947 已分配 895039 已分配 1037385 已分配 998502 空房 1015775 已分配 1018832 已分配 1018832 已分配 1018832 已分配 1054372 已分配 883443 已分配 921683 已分配 1037385 已分配 1112 观禧花园 1113 观禧花园 1114 观禧花园 1115 观禧花园 1116 观禧花园 1117 观禧花园 1118 观禧花园 1119 观禧花园 1120 观禧花园 1121 观禧花园 1122 观禧花园 1123 观禧花园 1124 观禧花园 1125 观禧花园 1126 观禧花园 1127 观禧花园 1128 观禧花园 1129 观禧花园 1130 观禧花园 1131 观禧花园 1132 观禧花园 1133 观禧花园 1134 观禧花园 1135 观禧花园 1136 观禧花园 1137 观禧花园 1138 观禧花园 1139 观禧花园 1140 观禧花园 1141 观禧花园 1142 观禧花园 1143 观禧花园 1144 观禧花园 1145 观禧花园 1146 观禧花园 1147 观禧花园 1148 观禧花园 1149 观禧花园 1150 观禧花园 1151 观禧花园 1152 观禧花园 1153 观禧花园 1154 观禧花园 1155 观禧花园 1156 观禧花园 1157 观禧花园 1158 观禧花园 1159 观禧花园 1160 观禧花园 1161 观禧花园 1162 观禧花园 1163 观禧花园 1164 观禧花园 2栋 2栋 2栋 2栋 2栋 2栋 2栋 2栋 2栋 2栋 2栋 2栋 2栋 2栋 2栋 2栋 2栋 2栋 2栋 2栋 2栋 2栋 2栋 2栋 2栋 2栋 2栋 2栋 2栋 2栋 2栋 2栋 2栋 2栋 2栋 2栋 2栋 2栋 2栋 2栋 2栋 2栋 2栋 2栋 2栋 2栋 2栋 2栋 2栋 2栋 2栋 2栋 2栋 2202 2204 2205 2206 2207 2208 2209 2210 2301 2302 2304 2305 2306 2307 2308 2309 2310 2401 2402 2404 2405 2406 2407 2408 2409 2410 2501 2502 2504 2505 2506 2507 2508 2509 2510 2601 2602 2604 2605 2606 2607 2608 2609 2610 2701 2702 2704 2705 2706 2707 2708 2709 2710 66.24 66.46 66.66 66.66 66.66 66.8 66.24 66.61 66.61 66.24 66.46 66.66 66.66 66.66 66.8 66.24 66.61 66.61 66.24 66.46 66.66 66.66 66.66 66.8 66.24 66.61 66.67 66.36 66.32 66.63 66.63 66.63 66.76 66.36 66.67 66.67 66.36 66.32 66.63 66.63 66.63 66.76 66.36 66.67 66.67 66.36 66.32 66.63 66.63 66.63 66.76 66.36 66.67 998502 已分配 1015775 已分配 1018832 已分配 1018832 已分配 1018832 已分配 1054372 已分配 883443 已分配 921683 已分配 1037385 已分配 998502 已分配 1015775 已分配 1018832 已分配 1018832 已分配 1018832 已分配 1054372 已分配 883443 已分配 921683 已分配 1037385 已分配 998502 空房 1015775 已分配 1018832 已分配 1018832 已分配 1018832 已分配 1054372 已分配 883443 已分配 921683 已分配 1038319 已分配 1000311 空房 1013635 已分配 1018373 已分配 1018373 已分配 1018373 已分配 1053740 已分配 885044 已分配 922513 已分配 1038319 已分配 1000311 空房 1013635 已分配 1018373 已分配 1018373 已分配 1018373 已分配 1053740 已分配 885044 已分配 922513 已分配 1038319 已分配 1000311 空房 1013635 已分配 1018373 已分配 1018373 已分配 1018373 已分配 1053740 已分配 885044 已分配 922513 已分配 1165 观禧花园 1166 观禧花园 1167 观禧花园 1168 观禧花园 1169 观禧花园 1170 观禧花园 1171 观禧花园 1172 观禧花园 1173 观禧花园 1174 观禧花园 1175 观禧花园 1176 观禧花园 1177 观禧花园 1178 观禧花园 1179 观禧花园 1180 观禧花园 1181 观禧花园 1182 观禧花园 1183 观禧花园 1184 观禧花园 1185 观禧花园 1186 观禧花园 1187 观禧花园 1188 观禧花园 1189 观禧花园 1190 观禧花园 1191 观禧花园 1192 观禧花园 1193 观禧花园 1194 观禧花园 1195 观禧花园 1196 观禧花园 1197 观禧花园 1198 观禧花园 1199 观禧花园 1200 观禧花园 1201 观禧花园 1202 观禧花园 1203 观禧花园 1204 观禧花园 1205 观禧花园 1206 观禧花园 1207 观禧花园 1208 观禧花园 1209 观禧花园 1210 观禧花园 1211 观禧花园 1212 观禧花园 1213 观禧花园 1214 观禧花园 1215 观禧花园 1216 观禧花园 1217 观禧花园 2栋 2栋 2栋 2栋 2栋 2栋 2栋 2栋 2栋 2栋 2栋 2栋 2栋 2栋 2栋 2栋 2栋 2栋 2栋 2栋 2栋 2栋 2栋 2栋 2栋 2栋 2栋 2栋 2栋 2栋 2栋 2栋 2栋 2栋 2栋 2栋 2栋 2栋 2栋 2栋 2栋 2栋 2栋 2栋 2栋 2栋 2栋 2栋 2栋 2栋 2栋 2栋 2栋 2801 2802 2804 2805 2806 2807 2808 2809 2810 2901 2902 2904 2905 2906 2907 2908 2909 2910 3001 3002 3004 3005 3006 3007 3008 3009 3010 3101 3102 3104 3105 3106 3107 3108 3109 3110 3201 3202 3204 3205 3206 3207 3208 3209 3210 3301 3302 3304 3305 3306 3307 3308 3309 66.67 66.36 66.32 66.63 66.63 66.63 66.76 66.36 66.67 66.67 66.36 66.32 66.63 66.63 66.63 66.76 66.36 66.67 66.67 66.36 66.32 66.63 66.63 66.63 66.76 66.36 66.67 66.67 66.36 66.32 66.63 66.63 66.63 66.76 66.36 66.67 66.67 66.36 66.32 66.63 66.63 66.63 66.76 66.36 66.67 66.67 66.36 66.32 66.63 66.63 66.63 66.76 66.36 1038319 已分配 1000311 已分配 1013635 已分配 1018373 已分配 1018373 已分配 1018373 已分配 1053740 已分配 885044 已分配 922513 已分配 1038319 已分配 1000311 空房 1013635 已分配 1018373 已分配 1018373 已分配 1018373 已分配 1053740 已分配 885044 已分配 922513 已分配 1038319 已分配 1000311 空房 1013635 已分配 1018373 已分配 1018373 已分配 1018373 已分配 1053740 已分配 885044 已分配 922513 已分配 1038319 已分配 1000311 空房 1013635 已分配 1018373 已分配 1018373 已分配 1018373 已分配 1053740 已分配 885044 已分配 922513 已分配 1038319 已分配 1000311 空房 1013635 已分配 1018373 已分配 1018373 已分配 1018373 已分配 1053740 已分配 885044 已分配 922513 已分配 1038319 已分配 1000311 空房 1013635 已分配 1018373 已分配 1018373 已分配 1018373 已分配 1053740 已分配 885044 已分配 1218 观禧花园 1219 观禧花园 1220 观禧花园 1221 观禧花园 1222 观禧花园 1223 观禧花园 1224 观禧花园 1225 观禧花园 1226 观禧花园 1227 观禧花园 1228 观禧花园 1229 观禧花园 1230 观禧花园 1231 观禧花园 1232 观禧花园 1233 观禧花园 1234 观禧花园 1235 观禧花园 1236 观禧花园 1237 观禧花园 1238 观禧花园 1239 观禧花园 1240 观禧花园 1241 观禧花园 1242 观禧花园 1243 观禧花园 1244 观禧花园 1245 观禧花园 1246 观禧花园 1247 观禧花园 1248 观禧花园 1249 观禧花园 1250 观禧花园 1251 观禧花园 1252 观禧花园 1253 观禧花园 1254 观禧花园 1255 观禧花园 1256 观禧花园 1257 观禧花园 1258 观禧花园 1259 观禧花园 1260 观禧花园 1261 观禧花园 1262 观禧花园 1263 观禧花园 1264 观禧花园 1265 观禧花园 1266 观禧花园 1267 观禧花园 1268 观禧花园 1269 观禧花园 1270 观禧花园 2栋 2栋 2栋 2栋 2栋 2栋 2栋 2栋 2栋 2栋 3栋 3栋 3栋 3栋 3栋 3栋 3栋 3栋 3栋 3栋 3栋 3栋 3栋 3栋 3栋 3栋 3栋 3栋 3栋 3栋 3栋 3栋 3栋 3栋 3栋 3栋 3栋 3栋 3栋 3栋 3栋 3栋 3栋 3栋 3栋 3栋 3栋 3栋 3栋 3栋 3栋 3栋 3栋 3310 3401 3402 3404 3405 3406 3407 3408 3409 3410 201 202 204 205 206 207 208 209 210 301 302 304 305 306 307 308 309 310 401 402 404 405 406 407 408 409 410 501 502 504 505 506 507 508 509 510 601 602 604 605 606 607 608 66.67 66.67 66.36 66.32 66.63 66.63 66.63 66.76 66.36 66.67 66.66 66.29 66.51 66.71 66.71 66.71 66.85 66.29 66.66 66.66 66.29 66.51 66.71 66.71 66.71 66.85 66.29 66.66 66.66 66.29 66.51 66.71 66.71 66.71 66.85 66.29 66.66 66.66 66.29 66.51 66.71 66.71 66.71 66.85 66.29 66.66 66.66 66.29 66.51 66.71 66.71 66.71 66.85 922513 已分配 1038319 已分配 1000311 空房 1013635 空房 1018373 空房 1018373 空房 1018373 空房 1053740 已分配 885044 已分配 922513 已分配 992434 空房 955107 空房 1084113 空房 1087373 空房 1087373 空房 1087373 空房 1123080 空房 868068 空房 906243 空房 992434 空房 955107 空房 1084113 空房 1087373 空房 1087373 空房 1087373 空房 1123080 空房 868068 空房 906243 已分配 992434 空房 961736 空房 1084113 空房 1087373 空房 1087373 空房 1087373 空房 1123080 空房 868068 空房 906243 已分配 1000433 空房 961736 空房 1084113 空房 1087373 空房 1087373 空房 1087373 空房 1123080 已分配 868068 空房 906243 已分配 1000433 空房 961736 空房 1097415 空房 1100715 空房 1100715 空房 1100715 空房 1136450 已分配 1271 观禧花园 1272 观禧花园 1273 观禧花园 1274 观禧花园 1275 观禧花园 1276 观禧花园 1277 观禧花园 1278 观禧花园 1279 观禧花园 1280 观禧花园 1281 观禧花园 1282 观禧花园 1283 观禧花园 1284 观禧花园 1285 观禧花园 1286 观禧花园 1287 观禧花园 1288 观禧花园 1289 观禧花园 1290 观禧花园 1291 观禧花园 1292 观禧花园 1293 观禧花园 1294 观禧花园 1295 观禧花园 1296 观禧花园 1297 观禧花园 1298 观禧花园 1299 观禧花园 1300 观禧花园 1301 观禧花园 1302 观禧花园 1303 观禧花园 1304 观禧花园 1305 观禧花园 1306 观禧花园 1307 观禧花园 1308 观禧花园 1309 观禧花园 1310 观禧花园 1311 观禧花园 1312 观禧花园 1313 观禧花园 1314 观禧花园 1315 观禧花园 1316 观禧花园 1317 观禧花园 1318 观禧花园 1319 观禧花园 1320 观禧花园 1321 观禧花园 1322 观禧花园 1323 观禧花园 3栋 3栋 3栋 3栋 3栋 3栋 3栋 3栋 3栋 3栋 3栋 3栋 3栋 3栋 3栋 3栋 3栋 3栋 3栋 3栋 3栋 3栋 3栋 3栋 3栋 3栋 3栋 3栋 3栋 3栋 3栋 3栋 3栋 3栋 3栋 3栋 3栋 3栋 3栋 3栋 3栋 3栋 3栋 3栋 3栋 3栋 3栋 3栋 3栋 3栋 3栋 3栋 3栋 609 610 701 702 704 705 706 707 708 709 710 801 802 804 805 806 807 808 809 810 901 902 904 905 906 907 908 909 910 1001 1002 1004 1005 1006 1007 1008 1009 1010 1101 1102 1104 1105 1106 1107 1108 1109 1110 1201 1202 1204 1205 1206 1207 66.29 66.66 66.66 66.29 66.51 66.71 66.71 66.71 66.85 66.29 66.66 66.66 66.29 66.51 66.71 66.71 66.71 66.85 66.29 66.66 66.66 66.29 66.51 66.71 66.71 66.71 66.85 66.29 66.66 66.66 66.29 66.51 66.71 66.71 66.71 66.85 66.29 66.66 66.66 66.29 66.51 66.71 66.71 66.71 66.85 66.29 66.66 66.66 66.29 66.51 66.71 66.71 66.71 868068 已分配 906243 已分配 1000433 空房 968365 空房 1097415 空房 1100715 空房 1100715 空房 1100715 空房 1136450 已分配 868068 已分配 906243 已分配 1000433 已分配 968365 空房 1097415 空房 1100715 空房 1100715 空房 1100715 空房 1136450 已分配 868068 已分配 906243 已分配 1000433 已分配 968365 空房 1097415 空房 1100715 空房 1100715 空房 1100715 空房 1136450 已分配 868068 已分配 906243 已分配 1000433 已分配 968365 空房 1097415 空房 1100715 空房 1100715 空房 1100715 空房 1136450 已分配 868068 已分配 906243 已分配 1040430 已分配 1001510 空房 1130670 空房 1134070 空房 1134070 空房 1134070 空房 1169875 已分配 901213 已分配 939573 已分配 1040430 已分配 1001510 空房 1130670 空房 1134070 空房 1134070 已分配 1134070 已分配 1324 观禧花园 1325 观禧花园 1326 观禧花园 1327 观禧花园 1328 观禧花园 1329 观禧花园 1330 观禧花园 1331 观禧花园 1332 观禧花园 1333 观禧花园 1334 观禧花园 1335 观禧花园 1336 观禧花园 1337 观禧花园 1338 观禧花园 1339 观禧花园 1340 观禧花园 1341 观禧花园 1342 观禧花园 1343 观禧花园 1344 观禧花园 1345 观禧花园 1346 观禧花园 1347 观禧花园 1348 观禧花园 1349 观禧花园 1350 观禧花园 1351 观禧花园 1352 观禧花园 1353 观禧花园 1354 观禧花园 1355 观禧花园 1356 观禧花园 1357 观禧花园 1358 观禧花园 1359 观禧花园 1360 观禧花园 1361 观禧花园 1362 观禧花园 1363 观禧花园 1364 观禧花园 1365 观禧花园 1366 观禧花园 1367 观禧花园 1368 观禧花园 1369 观禧花园 1370 观禧花园 1371 观禧花园 1372 观禧花园 1373 观禧花园 1374 观禧花园 1375 观禧花园 1376 观禧花园 3栋 3栋 3栋 3栋 3栋 3栋 3栋 3栋 3栋 3栋 3栋 3栋 3栋 3栋 3栋 3栋 3栋 3栋 3栋 3栋 3栋 3栋 3栋 3栋 3栋 3栋 3栋 3栋 3栋 3栋 3栋 3栋 3栋 3栋 3栋 3栋 3栋 3栋 3栋 3栋 3栋 3栋 3栋 3栋 3栋 3栋 3栋 3栋 3栋 3栋 3栋 3栋 3栋 1208 1209 1210 1301 1302 1304 1305 1306 1307 1308 1309 1310 1401 1402 1404 1405 1406 1407 1408 1409 1410 1501 1502 1504 1505 1506 1507 1508 1509 1510 1601 1602 1604 1605 1606 1607 1608 1609 1610 1701 1702 1704 1705 1706 1707 1708 1709 1710 1801 1802 1804 1805 1806 66.85 66.29 66.66 66.66 66.29 66.51 66.71 66.71 66.71 66.85 66.29 66.66 66.66 66.29 66.51 66.71 66.71 66.71 66.85 66.29 66.66 66.66 66.29 66.51 66.71 66.71 66.71 66.85 66.29 66.66 66.66 66.29 66.51 66.71 66.71 66.71 66.85 66.29 66.66 66.66 66.29 66.51 66.71 66.71 66.71 66.85 66.29 66.66 66.66 66.29 66.51 66.71 66.71 1169875 已分配 901213 已分配 939573 已分配 1040430 已分配 1001510 空房 1130670 空房 1134070 已分配 1134070 已分配 1134070 已分配 1169875 已分配 901213 已分配 939573 已分配 1040430 已分配 1001510 空房 1130670 空房 1134070 空房 1134070 已分配 1134070 已分配 1169875 已分配 901213 已分配 939573 已分配 1040430 已分配 1001510 空房 1130670 空房 1134070 已分配 1134070 已分配 1134070 已分配 1169875 已分配 901213 已分配 939573 已分配 1040430 已分配 1001510 空房 1130670 空房 1134070 已分配 1134070 已分配 1134070 已分配 1169875 已分配 901213 已分配 939573 已分配 1040430 已分配 1001510 空房 1130670 空房 1134070 已分配 1134070 已分配 1134070 已分配 1169875 已分配 901213 已分配 939573 已分配 1040430 已分配 1001510 空房 1130670 已分配 1134070 已分配 1134070 已分配 1377 观禧花园 1378 观禧花园 1379 观禧花园 1380 观禧花园 1381 观禧花园 1382 观禧花园 1383 观禧花园 1384 观禧花园 1385 观禧花园 1386 观禧花园 1387 观禧花园 1388 观禧花园 1389 观禧花园 1390 观禧花园 1391 观禧花园 1392 观禧花园 1393 观禧花园 1394 观禧花园 1395 观禧花园 1396 观禧花园 1397 观禧花园 1398 观禧花园 1399 观禧花园 1400 观禧花园 1401 观禧花园 1402 观禧花园 1403 观禧花园 1404 观禧花园 1405 观禧花园 1406 观禧花园 1407 观禧花园 1408 观禧花园 1409 观禧花园 1410 观禧花园 1411 观禧花园 1412 观禧花园 1413 观禧花园 1414 观禧花园 1415 观禧花园 1416 观禧花园 1417 观禧花园 1418 观禧花园 1419 观禧花园 1420 观禧花园 1421 观禧花园 1422 观禧花园 1423 观禧花园 1424 观禧花园 1425 观禧花园 1426 观禧花园 1427 观禧花园 1428 观禧花园 1429 观禧花园 3栋 3栋 3栋 3栋 3栋 3栋 3栋 3栋 3栋 3栋 3栋 3栋 3栋 3栋 3栋 3栋 3栋 3栋 3栋 3栋 3栋 3栋 3栋 3栋 3栋 3栋 3栋 3栋 3栋 3栋 3栋 3栋 3栋 3栋 3栋 3栋 3栋 3栋 3栋 3栋 3栋 3栋 3栋 3栋 3栋 3栋 3栋 3栋 3栋 3栋 3栋 3栋 3栋 1807 1808 1809 1810 1901 1902 1904 1905 1906 1907 1908 1909 1910 2001 2002 2004 2005 2006 2007 2008 2009 2010 2101 2102 2104 2105 2106 2107 2108 2109 2110 2201 2202 2204 2205 2206 2207 2208 2209 2210 2301 2302 2304 2305 2306 2307 2308 2309 2310 2401 2402 2404 2405 66.71 66.85 66.29 66.66 66.66 66.29 66.51 66.71 66.71 66.71 66.85 66.29 66.66 66.66 66.29 66.51 66.71 66.71 66.71 66.85 66.29 66.66 66.66 66.29 66.51 66.71 66.71 66.71 66.85 66.29 66.66 66.66 66.29 66.51 66.71 66.71 66.71 66.85 66.29 66.66 66.66 66.29 66.51 66.71 66.71 66.71 66.85 66.29 66.66 66.66 66.29 66.51 66.71 1134070 已分配 1169875 已分配 901213 已分配 939573 已分配 1040430 已分配 1001510 已分配 1130670 已分配 1134070 已分配 1134070 已分配 1134070 已分配 1169875 已分配 901213 已分配 939573 已分配 1040430 已分配 1001510 空房 1130670 已分配 1134070 已分配 1134070 已分配 1134070 已分配 1169875 已分配 901213 已分配 939573 已分配 1067094 已分配 1028026 空房 1157274 空房 1160754 已分配 1160754 已分配 1160754 已分配 1196615 已分配 927729 已分配 966237 已分配 1067094 已分配 1028026 空房 1157274 空房 1160754 已分配 1160754 已分配 1160754 已分配 1196615 已分配 927729 已分配 966237 已分配 1067094 已分配 1028026 已分配 1157274 空房 1160754 已分配 1160754 已分配 1160754 已分配 1196615 已分配 927729 已分配 966237 已分配 1067094 已分配 1028026 空房 1157274 空房 1160754 已分配 1430 观禧花园 1431 观禧花园 1432 观禧花园 1433 观禧花园 1434 观禧花园 1435 观禧花园 1436 观禧花园 1437 观禧花园 1438 观禧花园 1439 观禧花园 1440 观禧花园 1441 观禧花园 1442 观禧花园 1443 观禧花园 1444 观禧花园 1445 观禧花园 1446 观禧花园 1447 观禧花园 1448 观禧花园 1449 观禧花园 1450 观禧花园 1451 观禧花园 1452 观禧花园 1453 观禧花园 1454 观禧花园 1455 观禧花园 1456 观禧花园 1457 观禧花园 1458 观禧花园 1459 观禧花园 1460 观禧花园 1461 观禧花园 1462 观禧花园 1463 观禧花园 1464 观禧花园 1465 观禧花园 1466 观禧花园 1467 观禧花园 1468 观禧花园 1469 观禧花园 1470 观禧花园 1471 观禧花园 1472 观禧花园 1473 观禧花园 1474 观禧花园 1475 观禧花园 1476 观禧花园 1477 观禧花园 1478 观禧花园 1479 观禧花园 1480 观禧花园 1481 观禧花园 1482 观禧花园 3栋 3栋 3栋 3栋 3栋 3栋 3栋 3栋 3栋 3栋 3栋 3栋 3栋 3栋 3栋 3栋 3栋 3栋 3栋 3栋 3栋 3栋 3栋 3栋 3栋 3栋 3栋 3栋 3栋 3栋 3栋 3栋 3栋 3栋 3栋 3栋 3栋 3栋 3栋 3栋 3栋 3栋 3栋 3栋 3栋 3栋 3栋 3栋 3栋 3栋 3栋 3栋 3栋 2406 2407 2408 2409 2410 2501 2502 2504 2505 2506 2507 2508 2509 2510 2601 2602 2604 2605 2606 2607 2608 2609 2610 2701 2702 2704 2705 2706 2707 2708 2709 2710 2801 2802 2804 2805 2806 2807 2808 2809 2810 2901 2902 2904 2905 2906 2907 2908 2909 2910 3001 3002 3004 66.71 66.71 66.85 66.29 66.66 66.72 66.41 66.37 66.68 66.68 66.68 66.82 66.41 66.72 66.72 66.41 66.37 66.68 66.68 66.68 66.82 66.41 66.72 66.72 66.41 66.37 66.68 66.68 66.68 66.82 66.41 66.72 66.72 66.41 66.37 66.68 66.68 66.68 66.82 66.41 66.72 66.72 66.41 66.37 66.68 66.68 66.68 66.82 66.41 66.72 66.72 66.41 66.37 1160754 已分配 1160754 已分配 1196615 已分配 927729 已分配 966237 已分配 1068054 已分配 1029887 已分配 1154838 空房 1160232 已分配 1160232 已分配 1160232 已分配 1196078 已分配 929408 已分配 967107 已分配 1068054 已分配 1029887 空房 1154838 已分配 1160232 已分配 1160232 已分配 1160232 已分配 1196078 已分配 929408 已分配 967107 已分配 1068054 已分配 1029887 空房 1154838 已分配 1160232 已分配 1160232 已分配 1160232 已分配 1196078 已分配 929408 已分配 967107 已分配 1068054 已分配 1029887 已分配 1154838 已分配 1160232 已分配 1160232 已分配 1160232 已分配 1196078 已分配 929408 已分配 967107 已分配 1068054 已分配 1029887 空房 1154838 已分配 1160232 已分配 1160232 已分配 1160232 已分配 1196078 已分配 929408 已分配 967107 已分配 1068054 已分配 1029887 空房 1154838 已分配 1483 观禧花园 1484 观禧花园 1485 观禧花园 1486 观禧花园 1487 观禧花园 1488 观禧花园 1489 观禧花园 1490 观禧花园 1491 观禧花园 1492 观禧花园 1493 观禧花园 1494 观禧花园 1495 观禧花园 1496 观禧花园 1497 观禧花园 1498 观禧花园 1499 观禧花园 1500 观禧花园 1501 观禧花园 1502 观禧花园 1503 观禧花园 1504 观禧花园 1505 观禧花园 1506 观禧花园 1507 观禧花园 1508 观禧花园 1509 观禧花园 1510 观禧花园 1511 观禧花园 1512 观禧花园 1513 观禧花园 1514 观禧花园 1515 观禧花园 1516 观禧花园 1517 观禧花园 1518 观禧花园 1519 观禧花园 1520 观禧花园 1521 观禧花园 1522 观禧花园 1523 观禧花园 1524 观禧花园 3栋 3栋 3栋 3栋 3栋 3栋 3栋 3栋 3栋 3栋 3栋 3栋 3栋 3栋 3栋 3栋 3栋 3栋 3栋 3栋 3栋 3栋 3栋 3栋 3栋 3栋 3栋 3栋 3栋 3栋 3栋 3栋 3栋 3栋 3栋 3栋 3栋 3栋 3栋 3栋 3栋 3栋 3005 3006 3007 3008 3009 3010 3101 3102 3104 3105 3106 3107 3108 3109 3110 3201 3202 3204 3205 3206 3207 3208 3209 3210 3301 3302 3304 3305 3306 3307 3308 3309 3310 3401 3402 3404 3405 3406 3407 3408 3409 3410 66.68 66.68 66.68 66.82 66.41 66.72 66.72 66.41 66.37 66.68 66.68 66.68 66.82 66.41 66.72 66.72 66.41 66.37 66.68 66.68 66.68 66.82 66.41 66.72 66.72 66.41 66.37 66.68 66.68 66.68 66.82 66.41 66.72 66.72 66.41 66.37 66.68 66.68 66.68 66.82 66.41 66.72 1160232 已分配 1160232 已分配 1160232 已分配 1196078 已分配 929408 已分配 967107 已分配 1068054 已分配 1029887 空房 1154838 空房 1160232 已分配 1160232 已分配 1160232 已分配 1196078 已分配 929408 已分配 967107 已分配 1068054 已分配 1029887 空房 1154838 已分配 1160232 已分配 1160232 已分配 1160232 已分配 1196078 已分配 929408 已分配 967107 已分配 1068054 已分配 1029887 已分配 1154838 已分配 1160232 已分配 1160232 已分配 1160232 已分配 1196078 已分配 929408 已分配 967107 已分配 1068054 已分配 1029887 空房 1154838 空房 1160232 空房 1160232 空房 1160232 空房 1196078 已分配 929408 已分配 967107 已分配

安居型商品房已选房源公示(04月25日12时更新).xls




