11-2021级硕士研究生学业奖学金评定公示.pdf
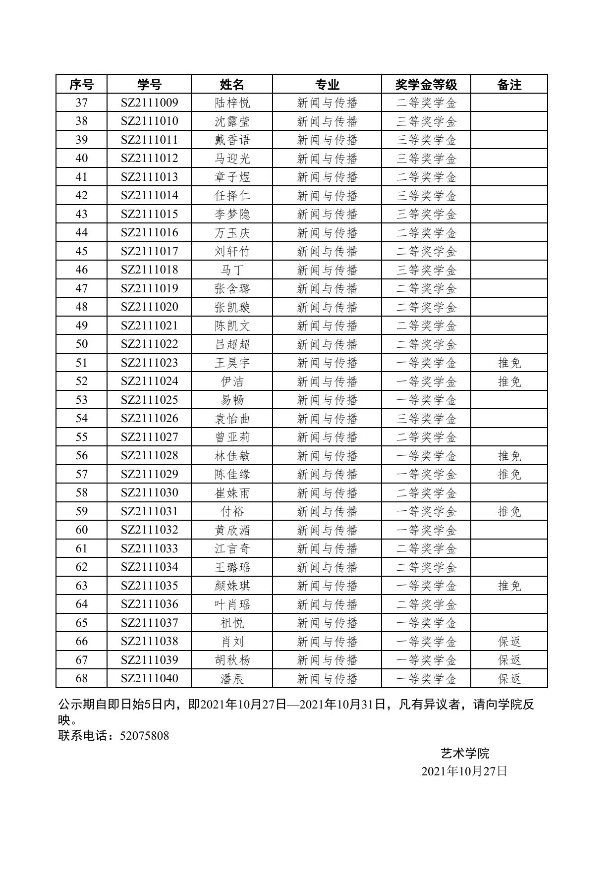
2021级硕士研究生学业奖学金评定公示 序号 1 2 3 4 5 6 7 8 9 10 11 12 13 14 15 16 17 18 19 20 21 22 23 24 25 26 27 28 29 30 31 32 33 34 35 36 学号 SX2111001 SX2111002 SX2111003 SX2111004 SX2111005 SX2111006 SX2111007 SX2111008 SX2111009 SX2111010 SX2111011 SX2111012 SX2111013 SX2111014 SX2111015 SX2111016 SX2111017 SX2111018 SX2111019 SX2111020 SX2111021 SX2111022 SX2111023 SX2111024 SX2111025 SX2111026 SX2111027 SX2111028 SZ2111001 SZ2111002 SZ2111003 SZ2111004 SZ2111005 SZ2111006 SZ2111007 SZ2111008 姓名 蔡祺轩 程琪 杜怡婷 关心 葛子涵 张家欣 董霏 李诗雅 谢婷月 孙瑞 朱嘉琪 程淑婷 宫小雨 郭小毓 王迺鑫 张甲港 杨婧 张珂 王忆凡 穆旭忻 张华敏 顾梦嫄 王嘉宜 丁珂欣 戴雯 尚彩玲 赵鹏琳 刘锦钰 蒋晓涵 陈瑜 丁铎 冯秋韵 韩青 华思颖 靳恺月 李昕彤 专业 音乐学 音乐学 音乐学 音乐学 音乐学 音乐学 广播电视艺术学 广播电视艺术学 广播电视艺术学 广播电视艺术学 广播电视艺术学 广播电视艺术学 广播电视艺术学 广播电视艺术学 广播电视艺术学 广播电视艺术学 美术学 美术学 美术学 美术学 美术学 美术学 美术学 设计学 设计学 设计学 设计学 设计学 新闻与传播 新闻与传播 新闻与传播 新闻与传播 新闻与传播 新闻与传播 新闻与传播 新闻与传播 奖学金等级 二等奖学金 一等奖学金 一等奖学金 一等奖学金 二等奖学金 一等奖学金 二等奖学金 一等奖学金 二等奖学金 三等奖学金 二等奖学金 二等奖学金 一等奖学金 二等奖学金 一等奖学金 三等奖学金 二等奖学金 三等奖学金 一等奖学金 一等奖学金 二等奖学金 三等奖学金 二等奖学金 一等奖学金 一等奖学金 一等奖学金 二等奖学金 三等奖学金 三等奖学金 一等奖学金 一等奖学金 二等奖学金 二等奖学金 一等奖学金 二等奖学金 一等奖学金 备注 推免 推免 推免 推免 推免 推免 推免 推免 推免 推免 序号 37 38 39 40 41 42 43 44 45 46 47 48 49 50 51 52 53 54 55 56 57 58 59 60 61 62 63 64 65 66 67 68 学号 SZ2111009 SZ2111010 SZ2111011 SZ2111012 SZ2111013 SZ2111014 SZ2111015 SZ2111016 SZ2111017 SZ2111018 SZ2111019 SZ2111020 SZ2111021 SZ2111022 SZ2111023 SZ2111024 SZ2111025 SZ2111026 SZ2111027 SZ2111028 SZ2111029 SZ2111030 SZ2111031 SZ2111032 SZ2111033 SZ2111034 SZ2111035 SZ2111036 SZ2111037 SZ2111038 SZ2111039 SZ2111040 姓名 陆梓悦 沈露莹 戴香语 马迎光 章子煜 任择仁 李梦隐 万玉庆 刘轩竹 马丁 张含璐 张凯璇 陈凯文 吕超超 王昊宇 伊洁 易畅 袁怡曲 曾亚莉 林佳敏 陈佳缘 崔姝雨 付裕 黄欣湄 江言奇 王璐瑶 颜姝琪 叶肖瑶 祖悦 肖刘 胡秋杨 潘辰 专业 新闻与传播 新闻与传播 新闻与传播 新闻与传播 新闻与传播 新闻与传播 新闻与传播 新闻与传播 新闻与传播 新闻与传播 新闻与传播 新闻与传播 新闻与传播 新闻与传播 新闻与传播 新闻与传播 新闻与传播 新闻与传播 新闻与传播 新闻与传播 新闻与传播 新闻与传播 新闻与传播 新闻与传播 新闻与传播 新闻与传播 新闻与传播 新闻与传播 新闻与传播 新闻与传播 新闻与传播 新闻与传播 奖学金等级 二等奖学金 三等奖学金 三等奖学金 三等奖学金 二等奖学金 三等奖学金 三等奖学金 二等奖学金 二等奖学金 三等奖学金 二等奖学金 二等奖学金 二等奖学金 二等奖学金 一等奖学金 一等奖学金 一等奖学金 三等奖学金 二等奖学金 一等奖学金 一等奖学金 二等奖学金 一等奖学金 一等奖学金 二等奖学金 二等奖学金 一等奖学金 二等奖学金 一等奖学金 一等奖学金 一等奖学金 一等奖学金 备注 推免 推免 推免 推免 推免 推免 保返 保返 保返 公示期自即日始5日内,即2021年10月27日—2021年10月31日,凡有异议者,请向学院反 映。 联系电话:52075808 艺术学院 2021年10月27日

11-2021级硕士研究生学业奖学金评定公示.pdf
