恒大银湖城178号楼新建商品住房销售价格备案表.xls
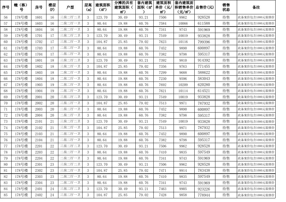
附件2 清远市新建商品住房销售价格备案表 房地产开发企业名称或中介服务机构名称: 序号 幢(栋) 号 1 清远市银湖城投资有限公司 层高 建筑面积 (m) (㎡) 分摊的共有 建筑面积( ㎡) 项目名称: 清远恒大银湖城 套内建筑 建筑面积 套内建筑面 面积(㎡ 单价(元/ 积销售单价 总售价(元) ) ㎡) (元/㎡) 房号 楼层 (F) 户型 销售 状态 备注 178号楼 101 1 三房二厅二卫 3.6 128.80 31.75 97.05 6898 9155 888474 待售 此备案价包含1000元装修价 2 178号楼 102 1 二房二厅一卫 3.6 99.79 24.60 75.19 6863 9109 684908 待售 此备案价包含1000元装修价 3 178号楼 103 1 二房二厅一卫 3.6 83.58 20.60 62.98 7036 9338 588107 待售 此备案价包含1000元装修价 4 178号楼 104 1 二房二厅一卫 3.6 83.58 20.60 62.98 6967 9246 582324 待售 此备案价包含1000元装修价 5 178号楼 201 2 三房二厅二卫 3 123.70 30.49 93.21 6967 9246 861852 待售 此备案价包含1000元装修价 6 178号楼 202 2 三房二厅一卫 3 104.87 25.85 79.02 6933 9201 727031 待售 此备案价包含1000元装修价 7 178号楼 203 2 二房二厅一卫 3 80.64 19.88 60.76 7106 9431 573000 待售 此备案价包含1000元装修价 8 178号楼 204 2 二房二厅一卫 3 80.64 19.88 60.76 7036 9339 567420 待售 此备案价包含1000元装修价 9 178号楼 301 3 三房二厅二卫 3 123.70 30.49 93.21 6967 9246 861852 待售 此备案价包含1000元装修价 10 178号楼 302 3 三房二厅一卫 3 104.87 25.85 79.02 6933 9201 727031 待售 此备案价包含1000元装修价 11 178号楼 303 3 二房二厅一卫 3 80.64 19.88 60.76 7106 9431 573000 待售 此备案价包含1000元装修价 12 178号楼 304 3 二房二厅一卫 3 80.64 19.88 60.76 7036 9339 567420 待售 此备案价包含1000元装修价 13 178号楼 401 4 三房二厅二卫 3 123.70 30.49 93.21 7036 9338 870411 待售 此备案价包含1000元装修价 14 178号楼 402 4 三房二厅一卫 3 104.87 25.85 79.02 7002 9292 734285 待售 此备案价包含1000元装修价 15 178号楼 403 4 二房二厅一卫 3 80.64 19.88 60.76 7175 9522 578579 待售 此备案价包含1000元装修价 16 178号楼 404 4 二房二厅一卫 3 80.64 19.88 60.76 7106 9431 573000 待售 此备案价包含1000元装修价 17 178号楼 501 5 三房二厅二卫 3 123.70 30.49 93.21 7175 9522 887529 待售 此备案价包含1000元装修价 18 178号楼 502 5 三房二厅一卫 3 104.87 25.85 79.02 7140 9476 748797 待售 此备案价包含1000元装修价 19 178号楼 503 5 二房二厅一卫 3 80.64 19.88 60.76 7313 9706 589737 待售 此备案价包含1000元装修价 20 178号楼 504 5 二房二厅一卫 3 80.64 19.88 60.76 7244 9614 584159 待售 此备案价包含1000元装修价 21 178号楼 601 6 三房二厅二卫 3 123.70 30.49 93.21 7175 9522 887529 待售 此备案价包含1000元装修价 22 178号楼 602 6 三房二厅一卫 3 104.87 25.85 79.02 7140 9476 748797 待售 此备案价包含1000元装修价 23 178号楼 603 6 二房二厅一卫 3 80.64 19.88 60.76 7313 9706 589737 待售 此备案价包含1000元装修价 24 178号楼 604 6 二房二厅一卫 3 80.64 19.88 60.76 7244 9614 584159 待售 此备案价包含1000元装修价 25 178号楼 701 7 三房二厅二卫 3 123.70 30.49 93.21 7189 9540 889241 待售 此备案价包含1000元装修价 序号 幢(栋) 号 26 层高 建筑面积 (m) (㎡) 分摊的共有 建筑面积( ㎡) 套内建筑 建筑面积 套内建筑面 面积(㎡ 单价(元/ 积销售单价 总售价(元) ) ㎡) (元/㎡) 房号 楼层 (F) 户型 销售 状态 备注 178号楼 702 7 三房二厅一卫 3 104.87 25.85 79.02 7154 9494 750248 待售 此备案价包含1000元装修价 27 178号楼 703 7 二房二厅一卫 3 80.64 19.88 60.76 7327 9724 590853 待售 此备案价包含1000元装修价 28 178号楼 704 7 二房二厅一卫 3 80.64 19.88 60.76 7258 9633 585275 待售 此备案价包含1000元装修价 29 178号楼 801 8 三房二厅二卫 3 123.70 30.49 93.21 7189 9540 889241 待售 此备案价包含1000元装修价 30 178号楼 802 8 三房二厅一卫 3 104.87 25.85 79.02 7154 9494 750248 待售 此备案价包含1000元装修价 31 178号楼 803 8 二房二厅一卫 3 80.64 19.88 60.76 7327 9724 590853 待售 此备案价包含1000元装修价 32 178号楼 903 9 二房二厅一卫 3 80.64 19.88 60.76 7327 9724 590853 待售 此备案价包含1000元装修价 33 178号楼 904 9 二房二厅一卫 3 80.64 19.88 60.76 7258 9633 585275 待售 此备案价包含1000元装修价 34 178号楼 1001 10 三房二厅二卫 3 123.70 30.49 93.21 7463 9905 923226 待售 此备案价包含1000元装修价 35 178号楼 1003 10 二房二厅一卫 3 80.64 19.88 60.76 7369 9779 594201 待售 此备案价包含1000元装修价 36 178号楼 1004 10 二房二厅一卫 3 80.64 19.88 60.76 7535 10000 607610 待售 此备案价包含1000元装修价 37 178号楼 1101 11 三房二厅二卫 3 123.70 30.49 93.21 7463 9905 923226 待售 此备案价包含1000元装修价 38 178号楼 1102 11 三房二厅一卫 3 104.87 25.85 79.02 7428 9858 778944 待售 此备案价包含1000元装修价 39 178号楼 1103 11 二房二厅一卫 3 80.64 19.88 60.76 7369 9779 594201 待售 此备案价包含1000元装修价 40 178号楼 1104 11 二房二厅一卫 3 80.64 19.88 60.76 7299 9688 588622 待售 此备案价包含1000元装修价 41 178号楼 1201 12 三房二厅二卫 3 123.70 30.49 93.21 7463 9905 923226 待售 此备案价包含1000元装修价 42 178号楼 1202 12 三房二厅一卫 3 104.87 25.85 79.02 7651 10154 802354 待售 此备案价包含1000元装修价 43 178号楼 1203 12 二房二厅一卫 3 80.64 19.88 60.76 7609 10099 613590 待售 此备案价包含1000元装修价 44 178号楼 1204 12 二房二厅一卫 3 80.64 19.88 60.76 7299 9688 588622 待售 此备案价包含1000元装修价 45 178号楼 1301 13 三房二厅二卫 3 123.70 30.49 93.21 7506 9962 928528 待售 此备案价包含1000元装修价 46 178号楼 1302 13 三房二厅一卫 3 104.87 25.85 79.02 7471 9914 783438 待售 此备案价包含1000元装修价 47 178号楼 1303 13 二房二厅一卫 3 80.64 19.88 60.76 7410 9835 597549 待售 此备案价包含1000元装修价 48 178号楼 1304 13 二房二厅一卫 3 80.64 19.88 60.76 7341 9743 591969 待售 此备案价包含1000元装修价 49 178号楼 1401 14 三房二厅二卫 3 123.70 30.49 93.21 7378 9791 912625 待售 此备案价包含1000元装修价 50 178号楼 1402 14 三房二厅一卫 3 104.87 25.85 79.02 7342 9744 769957 待售 此备案价包含1000元装修价 51 178号楼 1403 14 二房二厅一卫 3 80.64 19.88 60.76 7286 9669 587506 待售 此备案价包含1000元装修价 52 178号楼 1404 14 二房二厅一卫 3 80.64 19.88 60.76 7216 9577 581926 待售 此备案价包含1000元装修价 53 178号楼 1501 15 三房二厅二卫 3 123.70 30.49 93.21 7465 9907 923456 待售 此备案价包含1000元装修价 54 178号楼 1503 15 二房二厅一卫 3 80.64 19.88 60.76 7410 9835 597549 待售 此备案价包含1000元装修价 55 178号楼 1504 15 二房二厅一卫 3 80.64 19.88 60.76 7465 9908 601989 待售 此备案价包含1000元装修价 序号 幢(栋) 号 56 层高 建筑面积 (m) (㎡) 分摊的共有 建筑面积( ㎡) 套内建筑 建筑面积 套内建筑面 面积(㎡ 单价(元/ 积销售单价 总售价(元) ) ㎡) (元/㎡) 房号 楼层 (F) 户型 销售 状态 备注 178号楼 1601 16 三房二厅二卫 3 123.70 30.49 93.21 7506 9962 928528 待售 此备案价包含1000元装修价 57 178号楼 1603 16 二房二厅一卫 3 80.64 19.88 60.76 7584 10066 611588 待售 此备案价包含1000元装修价 58 178号楼 1604 16 二房二厅一卫 3 80.64 19.88 60.76 7341 9743 591969 待售 此备案价包含1000元装修价 59 178号楼 1701 17 三房二厅二卫 3 123.70 30.49 93.21 7549 10019 933828 待售 此备案价包含1000元装修价 60 178号楼 1702 17 三房二厅一卫 3 104.87 25.85 79.02 7623 10116 799396 待售 此备案价包含1000元装修价 61 178号楼 1703 17 二房二厅一卫 3 80.64 19.88 60.76 7452 9890 600897 待售 此备案价包含1000元装修价 62 178号楼 1704 17 二房二厅一卫 3 80.64 19.88 60.76 7382 9798 595317 待售 此备案价包含1000元装修价 63 178号楼 1801 18 三房二厅二卫 3 123.70 30.49 93.21 7392 9810 914392 待售 此备案价包含1000元装修价 64 178号楼 1802 18 三房二厅一卫 3 104.87 25.85 79.02 7356 9763 771455 待售 此备案价包含1000元装修价 65 178号楼 1803 18 二房二厅一卫 3 80.64 19.88 60.76 7299 9688 588622 待售 此备案价包含1000元装修价 66 178号楼 1804 18 二房二厅一卫 3 80.64 19.88 60.76 7230 9596 583043 待售 此备案价包含1000元装修价 67 178号楼 1903 19 二房二厅一卫 3 80.64 19.88 60.76 7692 10209 620280 待售 此备案价包含1000元装修价 68 178号楼 1904 19 二房二厅一卫 3 80.64 19.88 60.76 7621 10114 614521 待售 此备案价包含1000元装修价 69 178号楼 2001 20 三房二厅二卫 3 123.70 30.49 93.21 7549 10019 933828 待售 此备案价包含1000元装修价 70 178号楼 2002 20 三房二厅一卫 3 104.87 25.85 79.02 7513 9971 787932 待售 此备案价包含1000元装修价 71 178号楼 2003 20 二房二厅一卫 3 80.64 19.88 60.76 7452 9890 600897 待售 此备案价包含1000元装修价 72 178号楼 2004 20 二房二厅一卫 3 80.64 19.88 60.76 7382 9798 595317 待售 此备案价包含1000元装修价 73 178号楼 2101 21 三房二厅二卫 3 123.70 30.49 93.21 7549 10019 933828 待售 此备案价包含1000元装修价 74 178号楼 2102 21 三房二厅一卫 3 104.87 25.85 79.02 7513 9971 787932 待售 此备案价包含1000元装修价 75 178号楼 2103 21 二房二厅一卫 3 80.64 19.88 60.76 7452 9890 600897 待售 此备案价包含1000元装修价 76 178号楼 2104 21 二房二厅一卫 3 80.64 19.88 60.76 7382 9798 595317 待售 此备案价包含1000元装修价 77 178号楼 2201 22 三房二厅二卫 3 123.70 30.49 93.21 7506 9962 928528 待售 此备案价包含1000元装修价 78 178号楼 2203 22 二房二厅一卫 3 80.64 19.88 60.76 7410 9835 597549 待售 此备案价包含1000元装修价 79 178号楼 2204 22 二房二厅一卫 3 80.64 19.88 60.76 7341 9743 591969 待售 此备案价包含1000元装修价 80 178号楼 2301 23 三房二厅二卫 3 123.70 30.49 93.21 7506 9962 928528 待售 此备案价包含1000元装修价 81 178号楼 2302 23 三房二厅一卫 3 104.87 25.85 79.02 7471 9914 783438 待售 此备案价包含1000元装修价 82 178号楼 2303 23 二房二厅一卫 3 80.64 19.88 60.76 7410 9835 597549 待售 此备案价包含1000元装修价 83 178号楼 2304 23 二房二厅一卫 3 80.64 19.88 60.76 7341 9743 591969 待售 此备案价包含1000元装修价 84 178号楼 2401 24 三房二厅二卫 3 123.70 30.49 93.21 7463 9905 923226 待售 此备案价包含1000元装修价 85 178号楼 2402 24 三房二厅一卫 3 104.87 25.85 79.02 7428 9858 778944 待售 此备案价包含1000元装修价 序号 幢(栋) 号 86 套内建筑 建筑面积 套内建筑面 面积(㎡ 单价(元/ 积销售单价 总售价(元) ) ㎡) (元/㎡) 房号 户型 销售 状态 备注 178号楼 2403 24 二房二厅一卫 3 80.64 19.88 60.76 7369 9779 594201 待售 此备案价包含1000元装修价 87 178号楼 2404 24 二房二厅一卫 3 80.64 19.88 60.76 7299 9688 588622 待售 此备案价包含1000元装修价 88 178号楼 2501 25 三房二厅二卫 3 123.70 30.49 93.21 7449 9886 921459 待售 此备案价包含1000元装修价 89 178号楼 2502 25 三房二厅一卫 3 104.87 25.85 79.02 7413 9839 777446 待售 此备案价包含1000元装修价 90 178号楼 2503 25 二房二厅一卫 3 80.64 19.88 60.76 7355 9761 593085 待售 此备案价包含1000元装修价 91 178号楼 2504 25 二房二厅一卫 3 80.64 19.88 60.76 7286 9669 587506 待售 此备案价包含1000元装修价 92 178号楼 2601 26 三房二厅二卫 3 123.70 30.49 93.21 7406 9829 916159 待售 此备案价包含1000元装修价 93 178号楼 2602 26 三房二厅一卫 3 104.87 25.85 79.02 7371 9782 772952 待售 此备案价包含1000元装修价 94 178号楼 2603 26 二房二厅一卫 3 80.64 19.88 60.76 7313 9706 589737 待售 此备案价包含1000元装修价 95 178号楼 2604 26 二房二厅一卫 3 80.64 19.88 60.76 7244 9614 584159 待售 此备案价包含1000元装修价 9184.74 2264.09 6920.65 7322 9718 67252349 本楼栋总面积/均价 层高 建筑面积 (m) (㎡) 分摊的共有 建筑面积( ㎡) 楼层 (F) 本栋销售住宅共95套,销售住宅总建筑面积:9184.74㎡,套内面积:6920.65㎡,分摊面积:2264.09㎡,销售均价:7322元/㎡(建筑面积)、 9718元/㎡(套内建筑面积)。 注: 1.销售价格构成包括合理的开发建设成本、费用、税金和利润等;与商品房配套建设的各项基础设施,包括供水、供电、供气、通讯、有线电视、安全监控系统、信报箱等建设费用,一 律计入开发建设成本,不得在房价外另行收取。 2.建筑面积=套内建筑面积+分摊的共有建筑面积。 备案机关: 企业物价员: 价格举报投诉电话:12358 企业投诉电话: 本表一式两份 楼栋名称 单元 178号楼 178号楼1002 178号楼 178号楼1502 178号楼 178号楼1602 178号楼 178号楼1901 178号楼 178号楼1902 178号楼 178号楼2202 178号楼 178号楼804 178号楼 178号楼901 178号楼 178号楼902 178号楼 178号楼1202 178号楼 178号楼1203 178号楼 178号楼1501 178号楼 178号楼1504 178号楼 178号楼1603 178号楼 178号楼1702 178号楼 178号楼101 178号楼 178号楼102 178号楼 178号楼103 178号楼 178号楼104 178号楼 178号楼201 178号楼 178号楼202 178号楼 178号楼203 178号楼 178号楼204 178号楼 178号楼301 178号楼 178号楼302 178号楼 178号楼303 178号楼 178号楼304 178号楼 178号楼401 178号楼 178号楼402 178号楼 178号楼403 178号楼 178号楼404 178号楼 178号楼501 178号楼 178号楼502 178号楼 178号楼503 178号楼 178号楼504 178号楼 178号楼601 178号楼 178号楼602 178号楼 178号楼603 178号楼 178号楼604 178号楼 178号楼701 178号楼 178号楼702 178号楼 178号楼703 178号楼 178号楼704 178号楼 178号楼801 178号楼 178号楼802 178号楼 178号楼803 房号 1002 1502 1602 1901 1902 2202 804 901 902 1202 1203 1501 1504 1603 1702 101 102 103 104 201 202 203 204 301 302 303 304 401 402 403 404 501 502 503 504 601 602 603 604 701 702 703 704 801 802 803 建筑 104.87 104.87 104.87 123.7 104.87 104.87 80.64 123.7 104.87 104.87 80.64 123.7 80.64 80.64 104.87 128.8 99.79 83.58 83.58 123.7 104.87 80.64 80.64 123.7 104.87 80.64 80.64 123.7 104.87 80.64 80.64 123.7 104.87 80.64 80.64 123.7 104.87 80.64 80.64 123.7 104.87 80.64 80.64 123.7 104.87 80.64 套内 79.02 79.02 79.02 93.21 79.02 79.02 60.76 93.21 79.02 79.02 60.76 93.21 60.76 60.76 79.02 97.05 75.19 62.98 62.98 93.21 79.02 60.76 60.76 93.21 79.02 60.76 60.76 93.21 79.02 60.76 60.76 93.21 79.02 60.76 60.76 93.21 79.02 60.76 60.76 93.21 79.02 60.76 60.76 93.21 79.02 60.76 户型 成交总价 三房二厅一卫 697735 三房二厅一卫 660481 三房二厅一卫 660481 三房二厅二卫 763167 三房二厅一卫 653996 三房二厅一卫 660481 二房二厅一卫 529685 三房二厅二卫 805265 三房二厅一卫 799540 三房二厅一卫 682002 二房二厅一卫 521553 三房二厅二卫 784939 二房二厅一卫 511692 二房二厅一卫 519851 三房二厅一卫 679488 三房二厅二卫 726102 二房二厅一卫 559739 二房二厅一卫 480629 二房二厅一卫 475903 三房二厅二卫 704345 三房二厅一卫 594163 二房二厅一卫 468282 二房二厅一卫 463722 三房二厅二卫 704345 三房二厅一卫 594163 二房二厅一卫 468282 二房二厅一卫 463722 三房二厅二卫 711340 三房二厅一卫 600092 二房二厅一卫 472842 二房二厅一卫 468282 三房二厅二卫 725329 三房二厅一卫 611952 二房二厅一卫 481961 二房二厅一卫 477402 三房二厅二卫 725329 三房二厅一卫 611952 二房二厅一卫 481961 二房二厅一卫 477402 三房二厅二卫 726728 三房二厅一卫 613138 二房二厅一卫 482873 二房二厅一卫 478314 三房二厅二卫 726728 三房二厅一卫 613138 二房二厅一卫 482873 178号楼 178号楼903 178号楼 178号楼904 178号楼 178号楼1001 178号楼 178号楼1003 178号楼 178号楼1004 178号楼 178号楼1101 178号楼 178号楼1102 178号楼 178号楼1103 178号楼 178号楼1104 178号楼 178号楼1201 178号楼 178号楼1204 178号楼 178号楼1301 178号楼 178号楼1302 178号楼 178号楼1303 178号楼 178号楼1304 178号楼 178号楼1401 178号楼 178号楼1402 178号楼 178号楼1403 178号楼 178号楼1404 178号楼 178号楼1503 178号楼 178号楼1601 178号楼 178号楼1604 178号楼 178号楼1701 178号楼 178号楼1703 178号楼 178号楼1704 178号楼 178号楼1801 178号楼 178号楼1802 178号楼 178号楼1803 178号楼 178号楼1804 178号楼 178号楼1903 178号楼 178号楼1904 178号楼 178号楼2001 178号楼 178号楼2002 178号楼 178号楼2003 178号楼 178号楼2004 178号楼 178号楼2101 178号楼 178号楼2102 178号楼 178号楼2103 178号楼 178号楼2104 178号楼 178号楼2201 178号楼 178号楼2203 178号楼 178号楼2204 178号楼 178号楼2301 178号楼 178号楼2302 178号楼 178号楼2303 178号楼 178号楼2304 178号楼 178号楼2401 178号楼 178号楼2402 903 904 1001 1003 1004 1101 1102 1103 1104 1201 1204 1301 1302 1303 1304 1401 1402 1403 1404 1503 1601 1604 1701 1703 1704 1801 1802 1803 1804 1903 1904 2001 2002 2003 2004 2101 2102 2103 2104 2201 2203 2204 2301 2302 2303 2304 2401 2402 80.64 80.64 123.7 80.64 80.64 123.7 104.87 80.64 80.64 123.7 80.64 123.7 104.87 80.64 80.64 123.7 104.87 80.64 80.64 80.64 123.7 80.64 123.7 80.64 80.64 123.7 104.87 80.64 80.64 80.64 80.64 123.7 104.87 80.64 80.64 123.7 104.87 80.64 80.64 123.7 80.64 80.64 123.7 104.87 80.64 80.64 123.7 104.87 60.76 60.76 93.21 60.76 60.76 93.21 79.02 60.76 60.76 93.21 60.76 93.21 79.02 60.76 60.76 93.21 79.02 60.76 60.76 60.76 93.21 60.76 93.21 60.76 60.76 93.21 79.02 60.76 60.76 60.76 60.76 93.21 79.02 60.76 60.76 93.21 79.02 60.76 60.76 93.21 60.76 60.76 93.21 79.02 60.76 60.76 93.21 79.02 二房二厅一卫 二房二厅一卫 三房二厅二卫 二房二厅一卫 二房二厅一卫 三房二厅二卫 三房二厅一卫 二房二厅一卫 二房二厅一卫 三房二厅二卫 二房二厅一卫 三房二厅二卫 三房二厅一卫 二房二厅一卫 二房二厅一卫 三房二厅二卫 三房二厅一卫 二房二厅一卫 二房二厅一卫 二房二厅一卫 三房二厅二卫 二房二厅一卫 三房二厅二卫 二房二厅一卫 二房二厅一卫 三房二厅二卫 三房二厅一卫 二房二厅一卫 二房二厅一卫 二房二厅一卫 二房二厅一卫 三房二厅二卫 三房二厅一卫 二房二厅一卫 二房二厅一卫 三房二厅二卫 三房二厅一卫 二房二厅一卫 二房二厅一卫 三房二厅二卫 二房二厅一卫 二房二厅一卫 三房二厅二卫 三房二厅一卫 二房二厅一卫 二房二厅一卫 三房二厅二卫 三房二厅一卫 482873 478314 754503 485609 496567 754503 636589 485609 481049 754503 481049 758835 640262 488345 483785 745839 629244 480137 475577 488345 758835 483785 763167 491081 486521 747283 630468 481049 476490 506922 502215 763167 643934 491081 486521 763167 643934 491081 486521 758835 488345 483785 758835 640262 488345 483785 754503 636589 178号楼 178号楼2403 178号楼 178号楼2404 178号楼 178号楼2501 178号楼 178号楼2502 178号楼 178号楼2503 178号楼 178号楼2504 178号楼 178号楼2601 178号楼 178号楼2602 178号楼 178号楼2603 178号楼 178号楼2604 2403 2404 2501 2502 2503 2504 2601 2602 2603 2604 80.64 80.64 123.7 104.87 80.64 80.64 123.7 104.87 80.64 80.64 60.76 60.76 93.21 79.02 60.76 60.76 93.21 79.02 60.76 60.76 9184.74 6920.65 二房二厅一卫 二房二厅一卫 三房二厅二卫 三房二厅一卫 二房二厅一卫 二房二厅一卫 三房二厅二卫 三房二厅一卫 二房二厅一卫 二房二厅一卫 485609 481049 753059 635365 484697 480137 748727 631692 481961 477402 合同编号 备案价总价 调价系数 最终备案价备案价单价 YS2022081777375 YS202212151603 YS202212090857 YS20220926126818 YS2022082688035 YS202212090892 20211000160 20210704684 20210703851 802354 1 802354 7651 613590 1 613590 7609 923456 1 923456 7465 601989 1 601989 7465 611588 1 611588 7584 799396 1 799396 7623 854236 888474 6898 658515 684908 6863 565444 588107 7036 559884 582324 6967 828640 861852 6967 699014 727031 6933 550919 573000 7106 545554 567420 7036 828640 861852 6967 699014 727031 6933 550919 573000 7106 545554 567420 7036 836869 870411 7036 705989 734285 7002 556283 578579 7175 550919 573000 7106 853327 887529 7175 719942 748797 7140 567011 589737 7313 561648 584159 7244 853327 887529 7175 719942 748797 7140 567011 589737 7313 561648 584159 7244 854973 889241 7189 721337 750248 7154 568084 590853 7327 562721 585275 7258 854973 889241 7189 721337 750248 7154 568084 590853 7327 NO NO NO NO NO NO NO NO NO OK OK OK OK OK OK NO NO NO NO NO NO NO NO NO NO NO NO NO NO NO NO NO NO NO NO NO NO NO NO NO NO NO NO NO NO NO 568084 562721 887649 571303 584195 887649 748927 571303 565939 887649 565939 892746 753248 574522 569157 877456 740286 564866 559501 574522 892746 569157 897842 577741 572376 879155 741726 565939 560575 596377 590840 897842 757568 577741 572376 897842 757568 577741 572376 892746 574522 569157 892746 753248 574522 569157 887649 748927 ########## 590853 585275 923226 594201 607610 923226 778944 594201 588622 923226 588622 928528 783438 597549 591969 912625 769957 587506 581926 597549 928528 591969 933828 600897 595317 914392 771455 588622 583043 620280 614521 933828 787932 600897 595317 933828 787932 600897 595317 928528 597549 591969 928528 783438 597549 591969 923226 778944 7327 7258 7463 7369 7535 7463 7428 7369 7299 7463 7299 7506 7471 7410 7341 7378 7342 7286 7216 7410 7506 7341 7549 7452 7382 7392 7356 7299 7230 7692 7621 7549 7513 7452 7382 7549 7513 7452 7382 7506 7410 7341 7506 7471 7410 7341 7463 7428 NO NO NO NO NO NO NO NO NO NO NO NO NO NO NO NO NO NO NO NO NO NO NO NO NO NO NO NO NO NO NO NO NO NO NO NO NO NO NO NO NO NO NO NO NO NO NO NO 571303 565939 885950 747487 570230 564866 880854 743166 567011 561648 594201 588622 921459 777446 593085 587506 916159 772952 589737 584159 7369 7299 7449 7413 7355 7286 7406 7371 7313 7244 64828449 67252349 7322 NO NO NO NO NO NO NO NO NO NO

恒大银湖城178号楼新建商品住房销售价格备案表.xls




