秦岭文库(kunmingchi.com)你想要的内容这里独有!

国投资产市场管理部挂牌情况 (2021年12月).xlsx

lovely day(美好的一天)20 页 44.605 KB下载文档
国投资产市场管理部挂牌情况 (2021年12月).xlsx国投资产市场管理部挂牌情况 (2021年12月).xlsx国投资产市场管理部挂牌情况 (2021年12月).xlsx国投资产市场管理部挂牌情况 (2021年12月).xlsx国投资产市场管理部挂牌情况 (2021年12月).xlsx国投资产市场管理部挂牌情况 (2021年12月).xlsx
当前文档共20页 下载后继续阅读

国投资产市场管理部挂牌情况 (2021年12月).xlsx

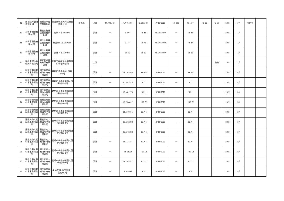
国投资产市场管理部挂牌情况 序号 转让方名称 批准单位 转让标的企业名称 受让方名称 交易机构 总资产 (账面) 净资产 (账面) 评估值 (净资产) 评估基准日 转让产权比例 首次挂牌价格 (%) 武秀琴 北京 64,306.63 15,569.07 27777.13 3/31/2019 21.61% 6,061.30 成交金额 转让方式 挂牌年份 挂牌月份 成交年份 6,061.30 协议 2020 1月 签约中 1 国投创益产业 国家开发投 衡水八迈隆木业有限公 基金管理有限 资集团有限 司 公司 公司 2 中国投融资担 中国投融资 艾力枫社东区ES10幢不 保股份有限公 担保股份有 动产 司 限公司 天津 — 3,187.43 5,716.30 5/30/2020 — 5,716.30 2021 3月 3 国投创合管 北京美尔斯通科技发展 国投高科技投 理基金有限 股份有限公司1000万股 资有限公司 公司 股份(占32.26%股权) 北京 22,517.56 2,322.36 9,033.72 3/31/2020 32.26% 2,915.00 2021 3月 4 梅河口市阜康 国投生物科 梅河口市阜康酒精有限 酒精有限责任 技投资有限 责任公司3台报废管束 公司 公司 干燥机 天津 — 56.17 47.95 5/31/2020 — 64.00 2021 3月 5 长春吉粮天裕 国投生物科 长春吉粮天裕生物工程 生物工程有限 技投资有限 有限公司车辆(吉 公司 公司 B06CT5) 天津 — 5.00 6.10 10/30/2020 — 6.10 2021 4月 6 长春吉粮天裕 国投生物科 长春吉粮天裕生物工程 生物工程有限 技投资有限 有限公司车辆(吉 公司 公司 BTW935) 天津 — 9.20 5.61 10/30/2020 — 5.61 2021 4月 7 长春吉粮天裕 国投生物科 长春吉粮天裕生物工程 生物工程有限 技投资有限 有限公司车辆(吉 公司 公司 BTW936) 天津 — 9.20 5.47 10/30/2020 — 5.47 2021 4月 8 长春吉粮天裕 国投生物科 长春吉粮天裕生物工程 生物工程有限 技投资有限 有限公司车辆(吉 公司 公司 BUY392) 天津 — 18.00 11.65 10/30/2020 — 11.65 2021 4月 9 吉林省天汇粮 国投生物科 吉林省天汇粮食收储有 食收储有限公 技投资有限 限公司车辆(吉A3AG51 司 公司 ) 天津 — 0.82 13.47 10/30/2020 — 13.47 13.47 协议 2021 10 国 家 开 发 投 中国电子工程设计院刚 电子十院技术 北京东南恒达科 资 集 团 有 限 果布拉柴维尔有限责任 服务有限公司 技发展有限公司 公司 公司100%股权 上海 996.12 -2,233.34 -242.34 9/30/2020 100.00% 100.00 100.00 协议 11 国投电力控 国投电力控股 股股份有限 股份有限公司 公司 雷克萨斯轿车(京 N4D430) 郭奇 北京 — 0.09 3.00 5/31/2021 — 5.00 7.74 12 国投电力控 国投电力控股 股股份有限 股份有限公司 公司 雷克萨斯越野车(京 K00302) 王琪 北京 — 3.35 29.38 9/30/2020 — 29.38 13 国投电力控 国投电力控股 股股份有限 本田雅阁(京N7X479) 股份有限公司 公司 何永贵 北京 — 0.20 3.30 5/31/2021 — 14 国投电力控 国投电力控股 大众帕萨特(京HR7219 股股份有限 股份有限公司 ) 公司 赵云龙 北京 — 0.98 0.80 5/31/2021 15 世源科技工程 世源科技工 有限公司 程有限公司 何永贵 北京 — — 1.20 7/16/2021 克莱斯勒大捷龙(京 LT9022) 于书阁 冯浩 64.00 协议 成交月份 2021 4月 5月 2021 6月 2021 5月 2021 8月 竞价 2021 6月 2021 6月 47.18 竞价 2021 6月 2021 6月 3.30 6.32 竞价 2021 6月 2021 6月 — 1.50 3.60 竞价 2021 6月 2021 6月 — 1.20 4.14 竞价 2021 7月 2021 7月 16 国投资产管理 国投资产管 大连路明发光科技股份 有限公司 理有限公司 有限公司 17 国投生物科 吉林省酒业有 技投资有限 限公司 公司 18 上海 14,415.48 4,910.28 6,652.32 9/30/2020 2.02% 134.37 2021 7月 红旗(吉A01BW7) 天津 — 6.59 12.86 10/30/2020 — 12.86 2021 7月 国投生物科 吉林省酒业有 技投资有限 限公司 公司 别克GL8(吉ABA903) 天津 — 2.73 12.78 10/30/2020 — 12.87 2021 7月 19 国投生物科 吉林省酒业有 技投资有限 限公司 公司 奔驰(吉AZ39U1) 天津 — 51.70 53.62 10/30/2020 — 53.62 2021 7月 20 国家开发投 国投工程检验 国投工程检验检测有限 资集团有限 检测有限公司 公司增资项目 公司 上海 2021 7月 21 国投云南大朝 国投云南大 昆明市江岸小区17幢1山水电有限公 朝山水电有 6-1号 司 限公司 天津 — 74.101089 86.04 8/31/2020 — 86.04 2021 8月 22 国投云南大朝 国投云南大 昆明市长春路明昌大厦 山水电有限公 朝山水电有 2号楼13-D号 司 限公司 天津 — 67.481978 102.1 8/31/2020 — 102.1 2021 8月 23 国投云南大朝 国投云南大 昆明市长春路明昌大厦 山水电有限公 朝山水电有 2号楼14-D号 司 限公司 天津 — 67.481978 102.1 8/31/2020 — 102.1 2021 8月 24 国投云南大朝 国投云南大 昆明市长春路明昌大厦 山水电有限公 朝山水电有 2号楼18-D号 司 限公司 天津 — 67.746099 100.06 8/31/2020 — 100.06 2021 8月 25 国投云南大朝 国投云南大 昆明市长春路明昌大厦 山水电有限公 朝山水电有 2号楼18-F号 司 限公司 天津 — 55.610215 82.94 8/31/2020 — 82.94 2021 8月 26 国投云南大朝 国投云南大 昆明市长春路明昌大厦 山水电有限公 朝山水电有 2号楼19-E号 司 限公司 天津 — 56.212288 82.94 8/31/2020 — 82.94 2021 8月 27 国投云南大朝 国投云南大 昆明市长春路明昌大厦 山水电有限公 朝山水电有 2号楼20-E号 司 限公司 天津 — 56.212288 82.94 8/31/2020 — 82.94 2021 8月 28 国投云南大朝 国投云南大 昆明市长春路明昌大厦 山水电有限公 朝山水电有 2号楼21-F号 司 限公司 天津 — 55.774411 82.94 8/31/2020 — 82.94 2021 8月 29 国投云南大朝 国投云南大 昆明市长春路明昌大厦 山水电有限公 朝山水电有 2号楼22-D号 司 限公司 天津 — 68.01021 100.06 8/31/2020 — 100.06 2021 8月 30 国投云南大朝 国投云南大 昆明市长春路明昌大厦 山水电有限公 朝山水电有 2号楼21-E号 司 限公司 天津 — 56.267027 81.31 8/31/2020 — 81.31 2021 8月 31 国投云南大朝 国投云南大 山水电有限公 朝山水电有 司 限公司 天津 — 4.305581 9.00 8/31/2020 — 9.00 2021 8月 星体花园.地下车库-1 层北680号 王铁昆 18.00 协议 增资 签约中 32 国投云南大朝 国投云南大 山水电有限公 朝山水电有 司 限公司 星体花园.地下车库-1 层北679号 天津 — 4.305581 9.00 8/31/2020 — 9.00 2021 8月 33 国投云南大朝 国投云南大 山水电有限公 朝山水电有 司 限公司 星体花园.地下车库-1 层北858号 天津 — 4.305581 9.00 8/31/2020 — 9.00 2021 8月 34 国投云南大朝 国投云南大 山水电有限公 朝山水电有 司 限公司 星体花园.地下车库-1 层北659号 天津 — 4.305581 9.00 8/31/2020 — 9.00 2021 8月 35 国投云南大朝 国投云南大 山水电有限公 朝山水电有 司 限公司 星体花园.地下车库-1 层北298号 天津 — 4.305581 9.00 8/31/2020 — 9.00 2021 8月 36 国投云南大朝 国投云南大 山水电有限公 朝山水电有 司 限公司 星体花园.地下车库-1 层北876号 天津 — 4.305581 9.00 8/31/2020 — 9.00 2021 8月 37 国投云南大朝 国投云南大 山水电有限公 朝山水电有 司 限公司 星体花园.地下车库-1 层北297号 天津 — 4.305581 9.00 8/31/2020 — 9.00 2021 8月 38 国投云南大朝 国投云南大 山水电有限公 朝山水电有 司 限公司 星体花园.地下车库-1 层北296号 天津 — 4.305581 9.00 8/31/2020 — 9.00 2021 8月 39 国投云南大朝 国投云南大 山水电有限公 朝山水电有 司 限公司 星体花园.地下车库-1 层北488号 天津 — 4.305581 9.00 8/31/2020 — 9.00 2021 8月 40 国投云南大朝 国投云南大 山水电有限公 朝山水电有 司 限公司 星体花园.地下车库-1 层北825号 天津 — 4.305581 9.00 8/31/2020 — 9.00 2021 8月 41 国投云南大朝 国投云南大 山水电有限公 朝山水电有 司 限公司 星体花园.地下车库-1 层北490号 天津 — 4.305581 9.00 8/31/2020 — 9.00 2021 8月 42 国投云南大朝 国投云南大 山水电有限公 朝山水电有 司 限公司 星体花园.地下车库-1 层北489号 天津 — 4.305581 9.00 8/31/2020 — 9.00 2021 8月 43 国投云南大朝 国投云南大 山水电有限公 朝山水电有 司 限公司 星体花园.地下车库-1 层北293号 天津 — 4.305581 9.00 8/31/2020 — 9.00 2021 8月 44 国投云南大朝 国投云南大 山水电有限公 朝山水电有 司 限公司 星体花园.地下车库-1 层北492号 天津 — 4.305581 9.00 8/31/2020 — 9.00 2021 8月 45 国投云南大朝 国投云南大 山水电有限公 朝山水电有 司 限公司 星体花园.地下车库-1 层北875号 天津 — 4.305581 9.00 8/31/2020 — 9.00 2021 8月 46 国投云南大朝 国投云南大 山水电有限公 朝山水电有 司 限公司 星体花园.地下车库-1 层北291号 天津 — 4.305581 9.00 8/31/2020 — 9.00 2021 8月 47 国投云南大朝 国投云南大 山水电有限公 朝山水电有 司 限公司 星体花园.地下车库-1 层北878号 天津 — 4.305581 9.00 8/31/2020 — 9.00 2021 8月 48 国投云南大朝 国投云南大 山水电有限公 朝山水电有 司 限公司 星体花园.地下车库-1 层北493号 天津 — 4.305581 9.00 8/31/2020 — 9.00 2021 8月 49 国投云南大朝 国投云南大 山水电有限公 朝山水电有 司 限公司 星体花园.地下车库-1 层北879号 天津 — 4.305581 9.00 8/31/2020 — 9.00 2021 8月 50 国投云南大朝 国投云南大 山水电有限公 朝山水电有 司 限公司 星体花园.地下车库-1 层北495号 天津 — 4.305581 9.00 8/31/2020 — 9.00 2021 8月 51 国投云南大朝 国投云南大 山水电有限公 朝山水电有 司 限公司 星体花园.地下车库-1 层北496号 天津 — 4.305581 9.00 8/31/2020 — 9.00 2021 8月 52 国投云南大朝 国投云南大 山水电有限公 朝山水电有 司 限公司 星体花园.地下车库-1 层北299号 天津 — 4.305581 9.00 8/31/2020 — 9.00 2021 8月 53 国投云南大朝 国投云南大 山水电有限公 朝山水电有 司 限公司 星体花园.地下车库-1 层北683号 天津 — 4.305581 9.00 8/31/2020 — 9.00 2021 8月 54 国投云南大朝 国投云南大 山水电有限公 朝山水电有 司 限公司 星体花园.地下车库-1 层北855号 天津 — 4.305581 9.00 8/31/2020 — 9.00 2021 8月 55 国投云南大朝 国投云南大 山水电有限公 朝山水电有 司 限公司 星体花园.地下车库-1 层北853号 天津 — 4.305581 9.00 8/31/2020 — 9.00 2021 8月 56 国投云南大朝 国投云南大 山水电有限公 朝山水电有 司 限公司 星体花园.地下车库-1 层北862号 天津 — 4.305581 9.00 8/31/2020 — 9.00 2021 8月 57 国投云南大朝 国投云南大 山水电有限公 朝山水电有 司 限公司 星体花园.地下车库-1 层北851号 天津 — 4.305581 9.00 8/31/2020 — 9.00 2021 8月 58 国投云南大朝 国投云南大 山水电有限公 朝山水电有 司 限公司 星体花园.地下车库-1 层北967号 天津 — 4.305581 9.00 8/31/2020 — 9.00 2021 8月 59 国投云南大朝 国投云南大 山水电有限公 朝山水电有 司 限公司 星体花园.地下车库-1 层北295号 天津 — 4.305581 9.00 8/31/2020 — 9.00 2021 8月 60 国投云南大朝 国投云南大 山水电有限公 朝山水电有 司 限公司 星体花园.地下车库-1 层北292号 天津 — 4.305581 9.00 8/31/2020 — 9.00 2021 8月 61 国投云南大朝 国投云南大 山水电有限公 朝山水电有 司 限公司 星体花园.地下车库-1 层北860号 天津 — 4.305581 9.00 8/31/2020 — 9.00 2021 8月 62 国投云南大朝 国投云南大 山水电有限公 朝山水电有 司 限公司 星体花园.地下车库-1 层北377号 天津 — 4.305581 9.00 8/31/2020 — 9.00 2021 8月 63 国投云南大朝 国投云南大 山水电有限公 朝山水电有 司 限公司 星体花园.地下车库-1 层北688号 天津 — 4.305581 9.00 8/31/2020 — 9.00 2021 8月 64 国投云南大朝 国投云南大 山水电有限公 朝山水电有 司 限公司 星体花园.地下车库-1 层北290号 天津 — 4.305581 9.00 8/31/2020 — 9.00 2021 8月 65 国投云南大朝 国投云南大 山水电有限公 朝山水电有 司 限公司 星体花园.地下车库-1 层北689号 天津 — 4.305581 9.00 8/31/2020 — 9.00 2021 8月 66 国投云南大朝 国投云南大 山水电有限公 朝山水电有 司 限公司 星体花园.地下车库-1 层北698号 天津 — 4.305581 9.00 8/31/2020 — 9.00 2021 8月 67 国投云南大朝 国投云南大 山水电有限公 朝山水电有 司 限公司 星体花园.地下车库-1 层北699号 天津 — 4.305581 9.00 8/31/2020 — 9.00 2021 8月 68 国投云南大朝 国投云南大 山水电有限公 朝山水电有 司 限公司 星体花园.地下车库-1 层北706号 天津 — 4.305581 9.00 8/31/2020 — 9.00 2021 8月 69 国投云南大朝 国投云南大 山水电有限公 朝山水电有 司 限公司 星体花园.地下车库-1 层北707号 天津 — 4.305581 9.00 8/31/2020 — 9.00 2021 8月 70 国投云南大朝 国投云南大 山水电有限公 朝山水电有 司 限公司 星体花园.地下车库-1 层北372号 天津 — 4.305581 9.00 8/31/2020 — 9.00 2021 8月 71 国投云南大朝 国投云南大 山水电有限公 朝山水电有 司 限公司 星体花园.地下车库-1 层北687号 天津 — 4.305581 9.00 8/31/2020 — 9.00 2021 8月 72 国投云南大朝 国投云南大 山水电有限公 朝山水电有 司 限公司 星体花园.地下车库-1 层北373号 天津 — 4.305581 9.00 8/31/2020 — 9.00 2021 8月 73 国投云南大朝 国投云南大 山水电有限公 朝山水电有 司 限公司 星体花园.地下车库-1 层北381号 天津 — 4.305581 9.00 8/31/2020 — 9.00 2021 8月 74 国投云南大朝 国投云南大 山水电有限公 朝山水电有 司 限公司 星体花园.地下车库-1 层北322号 天津 — 4.305581 9.00 8/31/2020 — 9.00 2021 8月 75 国投云南大朝 国投云南大 山水电有限公 朝山水电有 司 限公司 星体花园.地下车库-1 层北370号 天津 — 4.305581 9.00 8/31/2020 — 9.00 2021 8月 76 国投云南大朝 国投云南大 山水电有限公 朝山水电有 司 限公司 星体花园.地下车库-1 层北39号 天津 — 4.305581 9.00 8/31/2020 — 9.00 2021 8月 77 国投云南大朝 国投云南大 山水电有限公 朝山水电有 司 限公司 星体花园.地下车库-1 层北41号 天津 — 4.305581 9.00 8/31/2020 — 9.00 2021 8月 78 国投云南大朝 国投云南大 山水电有限公 朝山水电有 司 限公司 星体花园.地下车库-1 层北289号 天津 — 4.305581 9.00 8/31/2020 — 9.00 2021 8月 79 国投云南大朝 国投云南大 山水电有限公 朝山水电有 司 限公司 星体花园.地下车库-1 层北865号 天津 — 4.305581 9.00 8/31/2020 — 9.00 2021 8月 80 国投云南大朝 国投云南大 山水电有限公 朝山水电有 司 限公司 星体花园.地下车库-1 层北856号 天津 — 4.305581 9.00 8/31/2020 — 9.00 2021 8月 81 国投云南大朝 国投云南大 山水电有限公 朝山水电有 司 限公司 星体花园.地下车库-1 层北863号 天津 — 4.305581 9.00 8/31/2020 — 9.00 2021 8月 82 国投云南大朝 国投云南大 山水电有限公 朝山水电有 司 限公司 星体花园.地下车库-1 层北857号 天津 — 4.305581 9.00 8/31/2020 — 9.00 2021 8月 83 国投云南大朝 国投云南大 山水电有限公 朝山水电有 司 限公司 星体花园.地下车库-1 层北686号 天津 — 4.305581 9.00 8/31/2020 — 9.00 2021 8月 84 国投云南大朝 国投云南大 山水电有限公 朝山水电有 司 限公司 星体花园.地下车库-1 层北870号 天津 — 4.305581 9.00 8/31/2020 — 9.00 2021 8月 85 国投云南大朝 国投云南大 山水电有限公 朝山水电有 司 限公司 星体花园.地下车库-1 层北511号 天津 — 4.305581 9.00 8/31/2020 — 9.00 2021 8月 86 国投云南大朝 国投云南大 山水电有限公 朝山水电有 司 限公司 星体花园.地下车库-1 层北871号 天津 — 4.305581 9.00 8/31/2020 — 9.00 2021 8月 87 国投云南大朝 国投云南大 山水电有限公 朝山水电有 司 限公司 星体花园.地下车库-1 层北873号 天津 — 4.305581 9.00 8/31/2020 — 9.00 2021 8月 88 国投云南大朝 国投云南大 山水电有限公 朝山水电有 司 限公司 星体花园.地下车库-1 层北872号 天津 — 4.305581 9.00 8/31/2020 — 9.00 2021 8月 89 国投云南大朝 国投云南大 山水电有限公 朝山水电有 司 限公司 星体花园.地下车库-1 层北861号 天津 — 4.305581 9.00 8/31/2020 — 9.00 2021 8月 90 国投云南大朝 国投云南大 山水电有限公 朝山水电有 司 限公司 星体花园.地下车库-1 层北630号 天津 — 4.305581 9.00 8/31/2020 — 9.00 2021 8月 91 国投云南大朝 国投云南大 山水电有限公 朝山水电有 司 限公司 星体花园.地下车库-1 层北869号 天津 — 4.305581 9.00 8/31/2020 — 9.00 2021 8月 92 国投云南大朝 国投云南大 山水电有限公 朝山水电有 司 限公司 星体花园.地下车库-1 层北868号 天津 — 4.305581 9.00 8/31/2020 — 9.00 2021 8月 93 国投云南大朝 国投云南大 山水电有限公 朝山水电有 司 限公司 星体花园.地下车库-1 层45号 天津 — 4.305581 9.00 8/31/2020 — 9.00 2021 8月 94 国投云南大朝 国投云南大 山水电有限公 朝山水电有 司 限公司 星体花园.地下车库-1 层376号 天津 — 4.305581 9.00 8/31/2020 — 9.00 2021 8月 95 国投云南大朝 国投云南大 山水电有限公 朝山水电有 司 限公司 星体花园.地下车库-1 层47号 天津 — 4.305581 9.00 8/31/2020 — 9.00 2021 8月 96 国投云南大朝 国投云南大 山水电有限公 朝山水电有 司 限公司 星体花园.地下车库-1 层49号 天津 — 4.305581 9.00 8/31/2020 — 9.00 2021 8月 97 国投云南大朝 国投云南大 山水电有限公 朝山水电有 司 限公司 星体花园.地下车库-1 层32号 天津 — 4.305581 9.00 8/31/2020 — 9.00 2021 8月 98 国投云南大朝 国投云南大 山水电有限公 朝山水电有 司 限公司 星体花园.地下车库-1 层90号 天津 — 4.305581 9.00 8/31/2020 — 9.00 2021 8月 99 国投云南大朝 国投云南大 山水电有限公 朝山水电有 司 限公司 星体花园.地下车库-1 层38号 天津 — 4.305581 9.00 8/31/2020 — 9.00 2021 8月 100 国投云南大朝 国投云南大 山水电有限公 朝山水电有 司 限公司 星体花园.地下车库-1 层92号 天津 — 4.305581 9.00 8/31/2020 — 9.00 2021 8月 101 国投云南大朝 国投云南大 山水电有限公 朝山水电有 司 限公司 星体花园.地下车库-1 层46号 天津 — 4.305581 9.00 8/31/2020 — 9.00 2021 8月 102 国投云南大朝 国投云南大 山水电有限公 朝山水电有 司 限公司 星体花园.地下车库-1 层31号 天津 — 4.305581 9.00 8/31/2020 — 9.00 2021 8月 103 国投云南大朝 国投云南大 山水电有限公 朝山水电有 司 限公司 星体花园.地下车库-1 层93号 天津 — 4.305581 9.00 8/31/2020 — 9.00 2021 8月 104 国投云南大朝 国投云南大 山水电有限公 朝山水电有 司 限公司 星体花园.地下车库-1 层北241号 天津 — 4.305581 9.00 8/31/2020 — 9.00 2021 8月 105 国投云南大朝 国投云南大 山水电有限公 朝山水电有 司 限公司 星体花园.地下车库-1 层北96号 天津 — 4.305581 9.00 8/31/2020 — 9.00 2021 8月 106 国投云南大朝 国投云南大 山水电有限公 朝山水电有 司 限公司 星体花园.地下车库-1 层北95号 天津 — 4.305581 9.00 8/31/2020 — 9.00 2021 8月 107 国投云南大朝 国投云南大 山水电有限公 朝山水电有 司 限公司 星体花园.地下车库-1 层北243号 天津 — 4.305581 9.00 8/31/2020 — 9.00 2021 8月 108 国投云南大朝 国投云南大 山水电有限公 朝山水电有 司 限公司 星体花园.地下车库-1 层北221号 天津 — 4.305581 9.00 8/31/2020 — 9.00 2021 8月 109 国投云南大朝 国投云南大 山水电有限公 朝山水电有 司 限公司 星体花园.地下车库-1 层北91号 天津 — 4.305581 9.00 8/31/2020 — 9.00 2021 8月 110 国投云南大朝 国投云南大 山水电有限公 朝山水电有 司 限公司 星体花园.地下车库-1 层58号 天津 — 4.305581 9.00 8/31/2020 — 9.00 2021 8月 111 国投云南大朝 国投云南大 山水电有限公 朝山水电有 司 限公司 星体花园.地下车库-1 层北57号 天津 — 4.305581 9.00 8/31/2020 — 9.00 2021 8月 112 国投云南大朝 国投云南大 山水电有限公 朝山水电有 司 限公司 星体花园.地下车库-1 层北101号 天津 — 4.305581 9.00 8/31/2020 — 9.00 2021 8月 113 国投云南大朝 国投云南大 山水电有限公 朝山水电有 司 限公司 星体花园.地下车库-1 层北56号 天津 — 4.305581 9.00 8/31/2020 — 9.00 2021 8月 114 国投云南大朝 国投云南大 山水电有限公 朝山水电有 司 限公司 星体花园.地下车库-1 层北242号 天津 — 4.305581 9.00 8/31/2020 — 9.00 2021 8月 115 国投云南大朝 国投云南大 山水电有限公 朝山水电有 司 限公司 星体花园.地下车库-1 层北168号 天津 — 4.305581 9.00 8/31/2020 — 9.00 2021 8月 116 国投云南大朝 国投云南大 山水电有限公 朝山水电有 司 限公司 星体花园.地下车库-1 层北212号 天津 — 4.305581 9.00 8/31/2020 — 9.00 2021 8月 117 国投云南大朝 国投云南大 山水电有限公 朝山水电有 司 限公司 星体花园.地下车库-1 层北213号 天津 — 4.305581 9.00 8/31/2020 — 9.00 2021 8月 118 国投云南大朝 国投云南大 山水电有限公 朝山水电有 司 限公司 星体花园.地下车库-1 层北53号 天津 — 4.305581 9.00 8/31/2020 — 9.00 2021 8月 119 国投云南大朝 国投云南大 山水电有限公 朝山水电有 司 限公司 星体花园.地下车库-1 层北117号 天津 — 4.305581 9.00 8/31/2020 — 9.00 2021 8月 120 国投云南大朝 国投云南大 山水电有限公 朝山水电有 司 限公司 星体花园.地下车库-1 层北215号 天津 — 4.305581 9.00 8/31/2020 — 9.00 2021 8月 121 国投云南大朝 国投云南大 山水电有限公 朝山水电有 司 限公司 星体花园.地下车库-1 层北218号 天津 — 4.305581 9.00 8/31/2020 — 9.00 2021 8月 122 国投云南大朝 国投云南大 山水电有限公 朝山水电有 司 限公司 星体花园.地下车库-1 层北30号 天津 — 4.305581 9.00 8/31/2020 — 9.00 2021 8月 123 国投云南大朝 国投云南大 山水电有限公 朝山水电有 司 限公司 星体花园.地下车库-1 层北55号 天津 — 4.305581 9.00 8/31/2020 — 9.00 2021 8月 124 国投云南大朝 国投云南大 山水电有限公 朝山水电有 司 限公司 星体花园.地下车库-1 层北216号 天津 — 4.305581 9.00 8/31/2020 — 9.00 2021 8月 125 国投云南大朝 国投云南大 山水电有限公 朝山水电有 司 限公司 星体花园.地下车库-1 层北8号 天津 — 4.305581 9.00 8/31/2020 — 9.00 2021 8月 126 国投云南大朝 国投云南大 山水电有限公 朝山水电有 司 限公司 星体花园.地下车库-1 层北255号 天津 — 4.305581 9.00 8/31/2020 — 9.00 2021 8月 127 国投云南大朝 国投云南大 山水电有限公 朝山水电有 司 限公司 星体花园.地下车库-1 层北169号 天津 — 4.305581 9.00 8/31/2020 — 9.00 2021 8月 128 国投云南大朝 国投云南大 山水电有限公 朝山水电有 司 限公司 星体花园.地下车库-1 层北287号 天津 — 4.305581 9.00 8/31/2020 — 9.00 2021 8月 129 国投云南大朝 国投云南大 山水电有限公 朝山水电有 司 限公司 星体花园.地下车库-1 层北288号 天津 — 4.305581 9.00 8/31/2020 — 9.00 2021 8月 130 国投云南大朝 国投云南大 山水电有限公 朝山水电有 司 限公司 星体花园.地下车库-1 层北115号 天津 — 4.305581 9.00 8/31/2020 — 9.00 2021 8月 131 国投云南大朝 国投云南大 山水电有限公 朝山水电有 司 限公司 星体花园.地下车库-1 层北219号 天津 — 4.305581 9.00 8/31/2020 — 9.00 2021 8月 132 国投云南大朝 国投云南大 山水电有限公 朝山水电有 司 限公司 星体花园.地下车库-1 层北246号 天津 — 4.305581 9.00 8/31/2020 — 9.00 2021 8月 133 国投云南大朝 国投云南大 山水电有限公 朝山水电有 司 限公司 星体花园.地下车库-1 层北245号 天津 — 4.305581 9.00 8/31/2020 — 9.00 2021 8月 134 国投云南大朝 国投云南大 山水电有限公 朝山水电有 司 限公司 星体花园.地下车库-1 层北116号 天津 — 4.305581 9.00 8/31/2020 — 9.00 2021 8月 135 国投云南大朝 国投云南大 山水电有限公 朝山水电有 司 限公司 星体花园.地下车库-1 层北20号 天津 — 4.305581 9.00 8/31/2020 — 9.00 2021 8月 136 国投云南大朝 国投云南大 山水电有限公 朝山水电有 司 限公司 星体花园.地下车库-1 层北51号 天津 — 4.305581 9.00 8/31/2020 — 9.00 2021 8月 137 国投云南大朝 国投云南大 山水电有限公 朝山水电有 司 限公司 星体花园.地下车库-1 层北238号 天津 — 4.305581 9.00 8/31/2020 — 9.00 2021 8月 138 国投云南大朝 国投云南大 山水电有限公 朝山水电有 司 限公司 星体花园.地下车库-1 层北13号 天津 — 4.305581 9.00 8/31/2020 — 9.00 2021 8月 139 国投云南大朝 国投云南大 山水电有限公 朝山水电有 司 限公司 星体花园.地下车库-1 层北100号 天津 — 4.305581 9.00 8/31/2020 — 9.00 2021 8月 140 国投云南大朝 国投云南大 山水电有限公 朝山水电有 司 限公司 星体花园.地下车库-1 层北99号 天津 — 4.305581 9.00 8/31/2020 — 9.00 2021 8月 141 国投云南大朝 国投云南大 山水电有限公 朝山水电有 司 限公司 星体花园.地下车库-1 层北7号 天津 — 4.305581 9.00 8/31/2020 — 9.00 2021 8月 142 国投云南大朝 国投云南大 山水电有限公 朝山水电有 司 限公司 星体花园.地下车库-1 层北52号 天津 — 4.305581 9.00 8/31/2020 — 9.00 2021 8月 143 国投云南大朝 国投云南大 山水电有限公 朝山水电有 司 限公司 星体花园.地下车库-1 层北113号 天津 — 4.305581 9.00 8/31/2020 — 9.00 2021 8月 144 国投云南大朝 国投云南大 山水电有限公 朝山水电有 司 限公司 星体花园.地下车库-1 层北681号 天津 — 4.305581 9.00 8/31/2020 — 9.00 2021 8月 145 国投云南大朝 国投云南大 山水电有限公 朝山水电有 司 限公司 星体花园.地下车库-1 层北211号 天津 — 4.305581 9.00 8/31/2020 — 9.00 2021 8月 146 国投云南大朝 国投云南大 山水电有限公 朝山水电有 司 限公司 星体花园.地下车库-1 层北210号 天津 — 4.305581 9.00 8/31/2020 — 9.00 2021 8月 147 国投云南大朝 国投云南大 山水电有限公 朝山水电有 司 限公司 星体花园.地下车库-1 层北197号 天津 — 4.305581 9.00 8/31/2020 — 9.00 2021 8月 148 国投云南大朝 国投云南大 山水电有限公 朝山水电有 司 限公司 星体花园.地下车库-1 层北196号 天津 — 4.305581 9.00 8/31/2020 — 9.00 2021 8月 149 国投云南大朝 国投云南大 山水电有限公 朝山水电有 司 限公司 星体花园.地下车库-1 层北228号 天津 — 4.305581 9.00 8/31/2020 — 9.00 2021 8月 150 国投云南大朝 国投云南大 山水电有限公 朝山水电有 司 限公司 星体花园.地下车库-1 层北102号 天津 — 4.305581 9.00 8/31/2020 — 9.00 2021 8月 151 国投云南大朝 国投云南大 山水电有限公 朝山水电有 司 限公司 星体花园.地下车库-1 层北227号 天津 — 4.305581 9.00 8/31/2020 — 9.00 2021 8月 152 国投云南大朝 国投云南大 山水电有限公 朝山水电有 司 限公司 星体花园.地下车库-1 层北105号 天津 — 4.305581 9.00 8/31/2020 — 9.00 2021 8月 153 国投云南大朝 国投云南大 山水电有限公 朝山水电有 司 限公司 星体花园.地下车库-1 层北106号 天津 — 4.305581 9.00 8/31/2020 — 9.00 2021 8月 154 国投云南大朝 国投云南大 山水电有限公 朝山水电有 司 限公司 星体花园.地下车库-1 层北226号 天津 — 4.305581 9.00 8/31/2020 — 9.00 2021 8月 155 国投云南大朝 国投云南大 山水电有限公 朝山水电有 司 限公司 星体花园.地下车库-1 层北222号 天津 — 4.305581 9.00 8/31/2020 — 9.00 2021 8月 156 国投云南大朝 国投云南大 山水电有限公 朝山水电有 司 限公司 星体花园.地下车库-1 层北107号 天津 — 4.305581 9.00 8/31/2020 — 9.00 2021 8月 157 国投云南大朝 国投云南大 山水电有限公 朝山水电有 司 限公司 星体花园.地下车库-1 层北11号 天津 — 4.305581 9.00 8/31/2020 — 9.00 2021 8月 158 国投云南大朝 国投云南大 山水电有限公 朝山水电有 司 限公司 星体花园.地下车库-1 层北682号 天津 — 4.305581 9.00 8/31/2020 — 9.00 2021 8月 159 国投云南大朝 国投云南大 山水电有限公 朝山水电有 司 限公司 星体花园.地下车库-1 层北237号 天津 — 4.305581 9.00 8/31/2020 — 9.00 2021 8月 160 国投云南大朝 国投云南大 山水电有限公 朝山水电有 司 限公司 星体花园.地下车库-1 层北28号 天津 — 4.305581 9.00 8/31/2020 — 9.00 2021 8月 161 国投云南大朝 国投云南大 山水电有限公 朝山水电有 司 限公司 星体花园.地下车库-1 层北170号 天津 — 4.305581 9.00 8/31/2020 — 9.00 2021 8月 162 国投云南大朝 国投云南大 山水电有限公 朝山水电有 司 限公司 星体花园.地下车库-1 层北220号 天津 — 4.305581 9.00 8/31/2020 — 9.00 2021 8月 163 国投云南大朝 国投云南大 山水电有限公 朝山水电有 司 限公司 星体花园.地下车库-1 层北240号 天津 — 4.305581 9.00 8/31/2020 — 9.00 2021 8月 164 国投云南大朝 国投云南大 山水电有限公 朝山水电有 司 限公司 星体花园.地下车库-1 层北10号 天津 — 4.305581 9.00 8/31/2020 — 9.00 2021 8月 165 国投云南大朝 国投云南大 山水电有限公 朝山水电有 司 限公司 星体花园.地下车库-1 层北29号 天津 — 4.305581 9.00 8/31/2020 — 9.00 2021 8月 166 国投云南大朝 国投云南大 山水电有限公 朝山水电有 司 限公司 星体花园.地下车库-1 层北109号 天津 — 4.305581 9.00 8/31/2020 — 9.00 2021 8月 167 国投云南大朝 国投云南大 山水电有限公 朝山水电有 司 限公司 星体花园.地下车库-1 层北9号 天津 — 4.305581 9.00 8/31/2020 — 9.00 2021 8月 168 国投云南大朝 国投云南大 山水电有限公 朝山水电有 司 限公司 星体花园.地下车库-1 层北111号 天津 — 4.305581 9.00 8/31/2020 — 9.00 2021 8月 169 国投云南大朝 国投云南大 山水电有限公 朝山水电有 司 限公司 星体花园.地下车库-1 层北198号 天津 — 4.305581 9.00 8/31/2020 — 9.00 2021 8月 170 国投云南大朝 国投云南大 山水电有限公 朝山水电有 司 限公司 星体花园.地下车库-1 层北97号 天津 — 4.305581 9.00 8/31/2020 — 9.00 2021 8月 171 国投云南大朝 国投云南大 山水电有限公 朝山水电有 司 限公司 星体花园.地下车库-1 层北209号 天津 — 4.305581 9.00 8/31/2020 — 9.00 2021 8月 172 国投云南大朝 国投云南大 山水电有限公 朝山水电有 司 限公司 星体花园.地下车库-1 层北108号 天津 — 4.305581 9.00 8/31/2020 — 9.00 2021 8月 173 国投云南大朝 国投云南大 山水电有限公 朝山水电有 司 限公司 星体花园.地下车库-1 层北239号 天津 — 4.305581 9.00 8/31/2020 — 9.00 2021 8月 174 国投云南大朝 国投云南大 山水电有限公 朝山水电有 司 限公司 星体花园.地下车库-1 层北88 天津 — 4.305581 9.00 8/31/2020 — 9.00 2021 8月 175 国投云南大朝 国投云南大 山水电有限公 朝山水电有 司 限公司 星体花园.地下车库-1 层北110号 天津 — 4.305581 9.00 8/31/2020 — 9.00 2021 8月 176 国投云南大朝 国投云南大 山水电有限公 朝山水电有 司 限公司 星体花园.地下车库-1 层北89号 天津 — 4.305581 9.00 8/31/2020 — 9.00 2021 8月 177 国投云南大朝 国投云南大 山水电有限公 朝山水电有 司 限公司 星体花园.地下车库-1 层北59号 天津 — 4.305581 9.00 8/31/2020 — 9.00 2021 8月 178 国投云南大朝 国投云南大 山水电有限公 朝山水电有 司 限公司 星体花园.地下车库-1 层北16号 天津 — 4.305581 9.00 8/31/2020 — 9.00 2021 8月 179 国投云南大朝 国投云南大 山水电有限公 朝山水电有 司 限公司 星体花园.地下车库-1 层北17号 天津 — 4.305581 9.00 8/31/2020 — 9.00 2021 8月 180 国投云南大朝 国投云南大 山水电有限公 朝山水电有 司 限公司 星体花园.地下车库-1 层北18号 天津 — 4.305581 9.00 8/31/2020 — 9.00 2021 8月 181 国投云南大朝 国投云南大 山水电有限公 朝山水电有 司 限公司 星体花园.地下车库-1 层北19号 天津 — 4.305581 9.00 8/31/2020 — 9.00 2021 8月 182 国投云南大朝 国投云南大 山水电有限公 朝山水电有 司 限公司 星体花园.地下车库-1 层北21号 天津 — 4.305581 9.00 8/31/2020 — 9.00 2021 8月 183 国投云南大朝 国投云南大 山水电有限公 朝山水电有 司 限公司 星体花园.地下车库-1 层北98号 天津 — 4.305581 9.00 8/31/2020 — 9.00 2021 8月 184 国投云南大朝 国投云南大 山水电有限公 朝山水电有 司 限公司 星体花园.地下车库-1 层北852号 天津 — 4.305581 9.00 8/31/2020 — 9.00 2021 8月 185 国投云南大朝 国投云南大 山水电有限公 朝山水电有 司 限公司 星体花园.地下车库-1 层北25号 天津 — 4.305581 9.00 8/31/2020 — 9.00 2021 8月 186 国投云南大朝 国投云南大 山水电有限公 朝山水电有 司 限公司 星体花园.地下车库-1 层北12号 天津 — 4.305581 9.00 8/31/2020 — 9.00 2021 8月 187 国投云南大朝 国投云南大 山水电有限公 朝山水电有 司 限公司 星体花园.地下车库-1 层北26号 天津 — 4.305581 9.00 8/31/2020 — 9.00 2021 8月 188 国投云南大朝 国投云南大 山水电有限公 朝山水电有 司 限公司 星体花园.地下车库-1 层北15号 天津 — 4.305581 9.00 8/31/2020 — 9.00 2021 8月 189 国投云南大朝 国投云南大 山水电有限公 朝山水电有 司 限公司 星体花园.地下车库-1 层北112号 天津 — 4.305581 9.00 8/31/2020 — 9.00 2021 8月 190 国投云南大朝 国投云南大 山水电有限公 朝山水电有 司 限公司 星体花园.地下车库-1 层北217号 天津 — 4.305581 9.00 8/31/2020 — 9.00 2021 8月 191 国投云南大朝 国投云南大 山水电有限公 朝山水电有 司 限公司 星体花园.地下车库-1 层北23号 天津 — 4.305581 9.00 8/31/2020 — 9.00 2021 8月 192 国投云南大朝 国投云南大 山水电有限公 朝山水电有 司 限公司 星体花园.地下车库-1 层北22号 天津 — 4.305581 9.00 8/31/2020 — 9.00 2021 8月 193 国投云南大朝 国投云南大 山水电有限公 朝山水电有 司 限公司 星体花园.地下车库-1 层北60号 天津 — 4.305581 9.00 8/31/2020 — 9.00 2021 8月 194 国投云南大朝 国投云南大 山水电有限公 朝山水电有 司 限公司 星体花园.地下车库-1 层北27号 天津 — 4.305581 9.00 8/31/2020 — 9.00 2021 8月 195 国投云南大朝 国投云南大 山水电有限公 朝山水电有 司 限公司 星体花园.地下车库-1 层北497号 天津 — 4.305581 9.00 8/31/2020 — 9.00 2021 8月 196 国投云南大朝 国投云南大 山水电有限公 朝山水电有 司 限公司 星体花园.地下车库-1 层北877号 天津 — 4.305581 9.00 8/31/2020 — 9.00 2021 8月 197 国投云南大朝 国投云南大 山水电有限公 朝山水电有 司 限公司 星体花园.地下车库-1 层北859号 天津 — 4.305581 9.00 8/31/2020 — 9.00 2021 8月 198 国投云南大朝 国投云南大 山水电有限公 朝山水电有 司 限公司 星体花园.地下车库-1 层北658号 天津 — 4.305581 9.00 8/31/2020 — 9.00 2021 8月 199 国投云南大朝 国投云南大 山水电有限公 朝山水电有 司 限公司 星体花园.地下车库-1 层北823号 天津 — 4.305581 9.00 8/31/2020 — 9.00 2021 8月 200 国投云南大朝 国投云南大 山水电有限公 朝山水电有 司 限公司 星体花园.地下车库-1 层北866号 天津 — 4.305581 9.00 8/31/2020 — 9.00 2021 8月 201 国投云南大朝 国投云南大 山水电有限公 朝山水电有 司 限公司 星体花园.地下车库-1 层北708号 天津 — 4.305581 9.00 8/31/2020 — 9.00 2021 8月 202 国投云南大朝 国投云南大 山水电有限公 朝山水电有 司 限公司 星体花园.地下车库-1 层北882号 天津 — 4.305581 9.00 8/31/2020 — 9.00 2021 8月 203 国投云南大朝 国投云南大 山水电有限公 朝山水电有 司 限公司 星体花园.地下车库-1 层北685号 天津 — 4.305581 9.00 8/31/2020 — 9.00 2021 8月 204 国投云南大朝 国投云南大 山水电有限公 朝山水电有 司 限公司 星体花园.地下车库-1 层北881号 天津 — 4.305581 9.00 8/31/2020 — 9.00 2021 8月 205 国投云南大朝 国投云南大 山水电有限公 朝山水电有 司 限公司 星体花园.地下车库-1 层北887号 天津 — 4.305581 9.00 8/31/2020 — 9.00 2021 8月 206 国投云南大朝 国投云南大 山水电有限公 朝山水电有 司 限公司 星体花园.地下车库-1 层北885号 天津 — 4.305581 9.00 8/31/2020 — 9.00 2021 8月 207 国投云南大朝 国投云南大 山水电有限公 朝山水电有 司 限公司 星体花园.地下车库-1 层北890号 天津 — 4.305581 9.00 8/31/2020 — 9.00 2021 8月 208 国投云南大朝 国投云南大 山水电有限公 朝山水电有 司 限公司 星体花园.地下车库-1 层北883号 天津 — 4.305665 9.00 8/31/2020 — 9.00 2021 8月 209 国投云南大朝 国投云南大 山水电有限公 朝山水电有 司 限公司 星体花园.地下车库-1 层北886号 天津 — 4.305581 9.00 8/31/2020 — 9.00 2021 8月 210 中国国投高 高新投资发展 新产业投资 有限公司 有限公司 海能未来技术集团股 份有限公司 北京 32,239.20 28,948.80 3,636.31 9/30/2020 8.33% 3,636.31 2021 8月 211 国投创合管 国投高科技投 吉林康乃尔药业有限公 理基金有限 资有限公司 司 公司 北京 73,459.15 52,646.03 34,043.26 9/30/2020 12.07% 5,200.00 2021 9月 中国投融资 上海市宝山区高逸路 担保股份有 103-105号1001室 限公司 上海 — 141.74 239.50 11/30/2020 — 中国投融资 上海市宝山区高逸路 担保股份有 103-105号1002室 限公司 上海 — 139.11 233.55 11/30/2020 — 中国投融资 上海市宝山区高逸路 担保股份有 103-105号1003室 限公司 上海 — 111.38 159.68 11/30/2020 — 1100.98 2021 9月 中国投融资 上海市宝山区高逸路 担保股份有 103-105号1004室 限公司 上海 — 167.80 244.11 11/30/2020 — 中国投融资 上海市宝山区高逸路 担保股份有 103-105号1006室 限公司 上海 — 154.39 224.15 11/30/2020 — 中国投融资 上海市虹口区水电路 担保股份有 1422号503室 限公司 上海 — 258.47 275.78 11/30/2020 — 275.78 2021 9月 中国投融资 上海市虹口区水电路 担保股份有 1422号602室 限公司 上海 — 342.93 368.15 11/30/2020 — 368.15 2021 9月 上海 — 258.47 280.83 11/30/2020 — 280.83 2021 9月 中国投融资 上海市虹口区水电路 担保股份有 1422号901室 限公司 上海 — 197.97 206.29 11/30/2020 — 中国投融资 上海市虹口区水电路 担保股份有 1422号902室 限公司 上海 — 346.82 361.45 11/30/2020 — 中国投融资 上海市虹口区水电路 担保股份有 1422号903室 限公司 上海 — 261.40 272.42 11/30/2020 — 2021 9月 212 213 214 215 216 217 218 219 220 221 222 223 中国投融资担 保股份有限公 司上海华东分 公司 中国投融资担 保股份有限公 司上海华东分 公司 中国投融资担 保股份有限公 司上海华东分 公司 中国投融资担 保股份有限公 司上海华东分 公司 中国投融资担 保股份有限公 司上海华东分 公司 中国投融资担 保股份有限公 司上海华东分 公司 中国投融资担 保股份有限公 司上海华东分 公司 中国投融资担 保股份有限公 司上海华东分 公司 中国投融资担 保股份有限公 司上海华东分 公司 中国投融资担 保股份有限公 司上海华东分 公司 中国投融资担 保股份有限公 司上海华东分 公司 中国投融资担 保股份有限公 司上海华东分 公司 中国投融资 上海市虹口区水电路 担保股份有 1422号603室 限公司 江苏高投毅达健康成果创新 创业贰号基金合伙企业、福 建宜德股权投资合伙企业、 深圳市架桥港理投资合伙企 业 郑辉 1784.82 中国投融资 上海市虹口区水电路 担保股份有 1422号904室 限公司 上海 — 299.19 311.80 11/30/2020 — 4,296.31 280.83 竞价 协议 签约中 已签约 224 225 226 227 228 229 230 231 232 233 234 235 236 237 238 239 中国投融资担 保股份有限公 司上海华东分 公司 中国投融资担 保股份有限公 司上海华东分 公司 中国投融资担 保股份有限公 司上海华东分 公司 中国投融资担 保股份有限公 司上海华东分 公司 中国投融资担 保股份有限公 司上海华东分 公司 中国投融资担 保股份有限公 司上海华东分 公司 中国投融资担 保股份有限公 司上海华东分 公司 中国投融资担 保股份有限公 司上海华东分 公司 中国投融资担 保股份有限公 司上海华东分 公司 中国投融资担 保股份有限公 司上海华东分 公司 中国投融资担 保股份有限公 司上海华东分 公司 中国投融资担 保股份有限公 司上海华东分 公司 中国投融资担 保股份有限公 司上海华东分 公司 中国投融资担 保股份有限公 司上海华东分 公司 中国投融资担 保股份有限公 司上海华东分 公司 中国投融资担 保股份有限公 司上海华东分 公司 中国投融资 上海市虹口区水电路 担保股份有 1422号905室 限公司 上海 — 363.72 379.06 11/30/2020 — 中国投融资 上海市虹口区水电路 担保股份有 1422号906室 限公司 上海 — 243.53 253.79 11/30/2020 — 中国投融资 上海市虹口区水电路 担保股份有 1422号1501室 限公司 上海 — 146.02 158.82 11/30/2020 — 中国投融资 上海市虹口区水电路 担保股份有 1422号1502室 限公司 上海 — 355.25 375.16 11/30/2020 — 中国投融资 上海市虹口区水电路 担保股份有 1422号1503室 限公司 上海 — 267.74 282.73 11/30/2020 — 1784.82 2021 9月 1704.74 2021 9月 中国投融资 上海市虹口区水电路 担保股份有 1422号1504室 限公司 上海 — 306.45 323.62 11/30/2020 — 中国投融资 上海市虹口区水电路 担保股份有 1422号1505室 限公司 上海 — 372.55 393.44 11/30/2020 — 中国投融资 上海市虹口区水电路 担保股份有 1422号1506室 限公司 上海 — 157.18 170.97 11/30/2020 — 中国投融资 上海市杨浦区安波路 担保股份有 533弄3号1101室 限公司 上海 — 342.07 336.86 11/30/2020 — 336.86 2021 9月 中国投融资 上海市杨浦区安波路 担保股份有 533弄3号1102室 限公司 上海 — 288.53 284.14 11/30/2020 — 284.14 2021 9月 中国投融资 江苏省无锡市锡北镇芙 担保股份有 蓉苑72-13号1-3层 限公司 上海 — 166.14 225.32 11/30/2020 — 225.32 2021 9月 中国投融资 江苏省无锡市锡北镇芙 担保股份有 蓉苑72-14号1-3层 限公司 上海 — 138.49 181.94 11/30/2020 — 181.94 2021 9月 中国投融资 江苏省无锡市锡北镇芙 担保股份有 蓉苑72-15号1-3层 限公司 上海 — 205.85 259.57 11/30/2020 — 259.57 2021 9月 中国投融资 江苏省无锡市锡北镇芙 担保股份有 蓉苑72-5号1-3层 限公司 上海 — 166.61 218.89 11/30/2020 — 218.89 2021 9月 中国投融资 江苏省无锡市锡北镇芙 担保股份有 蓉苑72-6号1-3层 限公司 上海 — 166.61 225.95 11/30/2020 — 225.95 2021 9月 中国投融资 江苏省无锡市锡北镇芙 担保股份有 蓉苑72-4号1-3层 限公司 上海 — 166.61 225.95 11/30/2020 — 225.95 2021 9月 240 241 242 243 244 245 246 247 248 249 中国投融资担 保股份有限公 司上海华东分 公司 中国投融资担 保股份有限公 司上海华东分 公司 中国投融资担 保股份有限公 司上海华东分 公司 中国投融资担 保股份有限公 司上海华东分 公司 中国投融资担 保股份有限公 司上海华东分 公司 中国投融资担 保股份有限公 司上海华东分 公司 中国投融资担 保股份有限公 司上海华东分 公司 中国投融资担 保股份有限公 司上海华东分 公司 中国投融资担 保股份有限公 司上海华东分 公司 中国投融资担 保股份有限公 司上海华东分 公司 中国投融资 上海市松江区洞泾镇沈 担保股份有 砖公路5555弄15号全幢 限公司 上海 — 1486.95 1921.80 11/30/2020 — 1921.80 2021 9月 中国投融资 上海市宝山区殷高西路 担保股份有 101号206室 限公司 上海 — 1209.96 1088.48 11/30/2020 — 1088.48 2021 9月 中国投融资 嘉兴市中安商贸园17幢 担保股份有 118室 限公司 上海 — 113.25 122.14 11/30/2020 — 122.14 2021 9月 中国投融资 嘉兴市中安商贸园20幢 担保股份有 122室 限公司 上海 — 140.29 164.55 11/30/2020 — 164.55 2021 9月 中国投融资 嘉兴市中安商贸园20幢 担保股份有 123室 限公司 上海 — 141.84 159.71 11/30/2020 — 159.71 2021 9月 中国投融资 上海市虹口区曲阳路 担保股份有 800号703室 限公司 上海 — 255.90 410.91 11/30/2020 — 410.91 2021 9月 中国投融资 上海市虹口区曲阳路 担保股份有 800号704室 限公司 上海 — 102.79 169.66 11/30/2020 — 169.66 2021 9月 中国投融资 浙江省嘉兴市旭辉广场1担保股份有 3幢1-608室 限公司 上海 — 62.38 59.24 11/30/2020 — 59.24 2021 9月 中国投融资 浙江省嘉兴市旭辉广场1担保股份有 3幢1-609室 限公司 上海 — 60.73 59.24 11/30/2020 — 59.24 2021 9月 中国投融资 浙江省嘉兴市旭辉广场1担保股份有 3幢1-610室 限公司 上海 — 59.98 58.51 11/30/2020 — 58.51 2021 9月 250 中国投融资 上海经投资产 担保股份有 管理有限公司 限公司 上海市普陀区长寿路 577、581号301室 北京 — 155.91 229.89 11/30/2020 — 229.89 2021 9月 251 中国投融资 上海经投资产 担保股份有 管理有限公司 限公司 上海市普陀区长寿路 577、581号302室 北京 — 155.91 229.89 11/30/2020 — 229.89 2021 9月 252 中国投融资 上海经投资产 担保股份有 管理有限公司 限公司 上海市普陀区长寿路 577、581号343室 北京 — 155.91 229.89 11/30/2020 — 229.89 2021 9月 253 中国投融资 上海经投资产 担保股份有 管理有限公司 限公司 上海市普陀区长寿路 577、581号344室 北京 — 155.91 229.89 11/30/2020 — 229.89 2021 9月 254 中国投融资 上海经投资产 担保股份有 管理有限公司 限公司 上海市普陀区长寿路 577、581号345室 北京 — 155.91 229.89 11/30/2020 — 229.89 2021 9月 255 中国投融资 上海经投资产 担保股份有 管理有限公司 限公司 上海市普陀区长寿路 577、581号219室 北京 — 164.64 11/30/2020 — 599.00 2021 9月 451.19 256 中国投融资 上海经投资产 担保股份有 管理有限公司 限公司 上海市普陀区长寿路 577、581号220室 257 中国投融资 上海经投资产 担保股份有 管理有限公司 限公司 上海市普陀区长寿路 577、581号221室 北京 — 44.10 11/30/2020 — 258 中国投融资 上海经投资产 担保股份有 管理有限公司 限公司 上海市普陀区长寿路 577、581号222室 北京 — 289.77 11/30/2020 — 259 中国投融资 上海经投资产 担保股份有 管理有限公司 限公司 上海市杨浦区逸仙路 661号611室 北京 — 106.64 96.70 11/30/2020 — 260 中国投融资 上海经投资产 担保股份有 管理有限公司 限公司 上海市杨浦区逸仙路 661号612室 北京 — 106.64 96.70 11/30/2020 — 261 中国投融资 上海经投资产 担保股份有 管理有限公司 限公司 上海市杨浦区逸仙路 661号613室 北京 — 106.64 111.67 11/30/2020 — 262 中国投融资 上海经投资产 担保股份有 管理有限公司 限公司 上海市杨浦区逸仙路 661号614室 北京 — 106.64 172.77 11/30/2020 — 263 中国投融资 上海经投资产 担保股份有 管理有限公司 限公司 上海市杨浦区图们路6 号1001室 北京 — 59.46 112.34 11/30/2020 264 中国投融资 上海经投资产 担保股份有 管理有限公司 限公司 上海市杨浦区图们路6 号1002室 北京 — 50.63 95.12 265 中国投融资 上海经投资产 担保股份有 管理有限公司 限公司 上海市杨浦区图们路6 号1004室 北京 — 54.75 266 中国投融资 上海经投资产 上海市宝山区殷高西路 担保股份有 管理有限公司 101号1301室 限公司 北京 — 267 中国投融资 上海经投资产 上海市宝山区殷高西路 担保股份有 管理有限公司 101号902室 限公司 北京 268 中国投融资 上海经投资产 江苏省无锡五洲装饰城 担保股份有 管理有限公司 D7-1016 限公司 269 北京 — 100.50 11/30/2020 — 451.19 599.00 2021 9月 477.83 2021 9月 — 112.34 2021 9月 11/30/2020 — 95.12 2021 9月 102.97 11/30/2020 — 102.97 2021 9月 278.37 346.16 11/30/2020 — 346.16 2021 9月 — 149.32 224.34 11/30/2020 — 224.34 2021 9月 北京 — 47.05 39.98 11/30/2020 — 39.98 2021 9月 中国投融资 上海经投资产 江苏省无锡五洲装饰城 担保股份有 管理有限公司 D7-1017 限公司 北京 — 41.20 34.99 11/30/2020 — 34.99 2021 9月 270 中国投融资 上海经投资产 江苏省无锡五洲装饰城 担保股份有 管理有限公司 D7-1018 限公司 北京 — 41.20 34.99 11/30/2020 — 34.99 2021 9月 271 中国投融资 上海经投资产 江苏省无锡五洲装饰城 担保股份有 管理有限公司 D7-1019 限公司 北京 — 41.20 34.99 11/30/2020 — 34.99 2021 9月 272 中国投融资 上海经投资产 江苏省无锡五洲装饰城 担保股份有 管理有限公司 D7-1020 限公司 北京 — 41.20 34.99 11/30/2020 — 34.99 2021 9月 273 中国投融资 上海经投资产 江苏省无锡五洲装饰城 担保股份有 管理有限公司 D7-1021 限公司 北京 — 41.20 34.99 11/30/2020 — 34.99 2021 9月 274 中国投融资 上海经投资产 江苏省无锡五洲装饰城 担保股份有 管理有限公司 D7-1022 限公司 北京 — 41.20 34.99 11/30/2020 — 34.99 2021 9月 275 中国投融资 上海经投资产 担保股份有 管理有限公司 限公司 上海市虹口区水电路 1402号502室 北京 — 207.64 368.31 11/30/2020 — 368.31 2021 9月 276 中国投融资 上海经投资产 上海市嘉定区曹安公路 担保股份有 管理有限公司 5616号2103室 限公司 北京 — 69.98 114.72 11/30/2020 — 114.72 2021 9月 277 中国投融资 上海经投资产 上海市嘉定区曹安公路 担保股份有 管理有限公司 5616号2104室 限公司 北京 — 69.98 115.56 11/30/2020 — 115.56 2021 9月 278 国投生物科 吉林市高新区紫光秀苑 吉林省博大生 技投资有限 5号楼1-8-12号左门房 化有限公司 公司 产 天津 — 105.29 163.77 9/30/2020 — 163.77 2021 9月 279 国投生物科 吉林市船营区紫光北郡 吉林省博大生 技投资有限 森邻里二期35号楼2单 化有限公司 公司 元2层14号房产 天津 — 60.31 87.91 9/30/2020 — 87.91 2021 9月 280 国投福建城市 国投矿业投 国投福建城市资源循环 资源循环利用 资有限公司 利用有限公司增资项目 有限公司 北京 — — — — — — 2021 9月 281 国投创合管 国投高科技投 大连艾科科技开发有限 理基金有限 资有限公司 公司 公司 北京 17,095.40 5,319.13 20,620.00 10/31/2020 20% 4,130.00 2021 10月 282 国投创合管 创合鑫材(厦门 国投高科技投 沧州四星玻璃股份有限 理基金有限 )制造业转型升 资有限公司 公司 公司 级基金合伙企业 北京 52,574.65 34,106.56 89,300.00 12/31/2020 9.29% 8,800.00 8,800.00 协议 2021 10月 2021 12月 283 国投创合管 湖州乐弘投资有 国投高科技投 上海正赛联创业投资有 理基金有限 限公司、正泰集 资有限公司 限公司 公司 团股份有限公司 上海 29,489.15 29,192.78 92,438.59 12/31/2020 9.09% 8,403.51 8,403.51 协议 2021 10月 2021 12月 284 国投甘肃小三 国投甘肃小 报废固定资产及废旧物 重庆市广华物资 峡发电有限公 三峡发电有 资 回收有限公司 司 限公司 天津 559.00 — 409.60 3/31/2021 — 409.60 409.60 协议 2021 11月 签约中 285 国家开发投 中成进出口股 中国—多哥股份有限公 资集团有限 份有限公司 司 公司 北京 — — — — — 预挂牌 已结束 — 2021 11月 — 286 中国国投高 高新投资发展 新产业投资 江苏多维科技有限公司 有限公司 有限公司 上海 53,563.55 49,971.70 175,310.54 6/30/2021 4.29% 8,036.00 8,036.00 协议 2021 11月 签约中 287 中国电子工程 国家开发投 中国电子工程设计院有 设计院有限公 资集团有限 限公司增资项目 司 公司 上海 — — — — — — 增资 2021 11月 — 增资 — 288 国家开发投 电子十院技术 深圳新科特种装饰工程 资集团有限 服务有限公司 有限公司100%股权 公司 上海 31,518.25 616.60 33,496.62 12/31/2021 100.00% 2,463.98 289 国投洋浦港有 国投洋浦港 国投洋浦港有限公司“ 福安市长瑞船舶 限公司 有限公司 洋港拖2”轮 有限公司 天津 — 28.43 183.70 11/25/2021 — 189.21 290 国投创益产业 国家开发投 国投创益产业基金管理 基金管理有限 资集团有限 有限公司45%股权 公司 公司 北京 16,292.83 11,032.42 90,582.28 12/31/2020 45% 291 中央企业乡村 国投创益产 新疆天业汇合新材料有 产业投资基金 业基金管理 限公司15.15%股权 股份有限公司 有限公司 上海 842,164.65 329,975.16 364,069.79 3/31/2021 292 国家开发投 中成进出口股 资集团有限 份有限公司 公司 中国-多哥有限责任公 司100%股权 北京 7,496.49 -230.09 47.69 293 贫困地区产业 国投创益产 重庆三磊田甜农业开发 发展基金有限 业基金管理 有限公司28.57%股权 公司 有限公司 北京 30,262.54 17,630.57 294 贫困地区产业 国投创益产 云南双柏县天蓬养殖有 发展基金有限 业基金管理 限公司26.67%股权 公司 有限公司 北京 10,651.22 295 中央企业乡村 国投创益产 北京达康央扶医疗管理 产业投资基金 业基金管理 有限公司30%股权 股份有限公司 有限公司 北京 296 中央企业乡村 国投创益产 云南云医达康医疗管理 产业投资基金 业基金管理 有限公司30%股权 股份有限公司 有限公司 297 2021 12月 2021 12月 40,762.03 2021 12月 15.15% 56,498.63 2021 12月 2021-6-31 100.00% 50.00 2021 12月 19,713.45 3/31/2021 28.57% 5,632.14 2021 12月 8,058.26 8,953.76 12/31/2020 26.67% 2,387.97 2021 12月 2,742.92 2,741.92 2,918.24 12/31/2020 30.00% 875.47 2021 12月 北京 382.81 382.80 383.12 12/30/2020 30.00% 114.94 2021 12月 国家开发投 海南国聘教育职业技能 国投人力资源 资集团有限 培训有限责任公司增资 服务有限公司 公司 项目 北京 — — — — — — 2021 12月 298 贫困地区产业 国投创益产 北乾信牧业股份有限公 发展基金有限 业基金管理 司2785.2万股股份(占 公司 有限公司 23.21%股权) 上海 91,444.93 43,331.14 76,097.00 2/28/2021 23.21% 17,662.11 2021 12月 299 中国投融资担 国家开发投 上海东保金资产管理有 保股份有限公 资集团有限 限公司25%股权 司 公司 上海 501.69 484.17 484.17 7/31/2021 25.00% 121.04 2021 12月 300 国投生物吉林有限公司 车辆(吉ARQ377) — 38.80 10.44 6/30/2021 — 10.44 2021 12月 301 国投生物吉林有限公司 车辆(吉ARV177) — 29.30 6.33 6/30/2021 — 6.33 2021 12月 302 国投生物科 国投生物吉林 国投生物吉林有限公司 技投资有限 有限公司 车辆(吉AUY025) 公司 — 37.20 10.07 6/30/2021 — 10.07 2021 12月 303 国投生物吉林有限公司 车辆(吉AWF235) — 12.80 3.76 6/30/2021 — 3.76 2021 12月 天津 247.21 竞价 增资 签约中 国投生物科 国投生物吉林 技投资有限 有限公司 公司 304 天津 国投生物吉林有限公司 车辆(吉AF016D) — 110.00 25.37 6/30/2021 — 25.37 2021 12月

相关文章