附件4:2022年秋季斗门区初中一年级市和区政策性照顾学生入学资格名单.xlsx
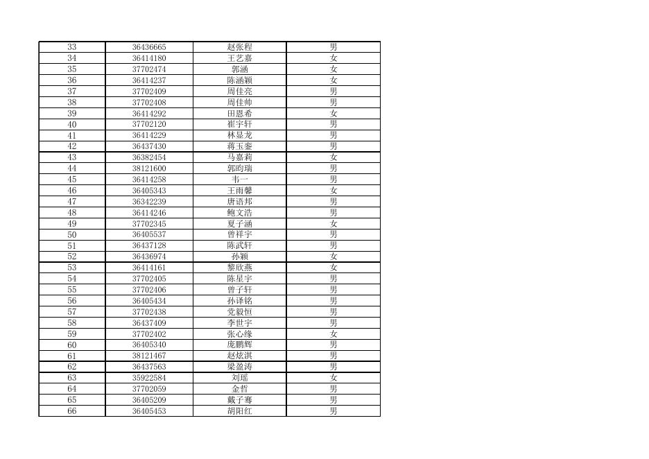
2022年秋季斗门区初中一年级市和区政策性照顾学生入学资格名单 序号 报名号 新生姓名 性别 1 38121619 梁峻熙 男 2 38121549 陳紫珊 女 3 38121579 邓雪莉 女 4 36437165 梁玉钘 女 5 36437738 黄靖君 女 6 38121492 何嘉丽 女 7 36437792 冯子荞 女 8 36422717 李志宇 男 9 36405505 梁熙敏 女 10 39391083 袁梦瑶 女 11 35922791 梁昊鸣 男 12 36414022 余俊宏 男 13 36414099 陈心仪 女 14 36414176 秦安琪 女 15 37702200 卢梓彤 女 16 37702303 黄瑜琳 女 17 36452678 凡宇衡 男 18 37702428 范丽萱 女 19 36414270 吴敏桐 女 37702186 许嘉欣 女 20 37702161 方煜然 男 21 36342001 郭海恩 女 22 36441810 罗泓恺 男 23 38121376 梁蔚然 男 24 37702403 林依璇 女 25 36414293 蔡健潼 男 26 36404743 李国豪 男 27 36441920 李昊燃 男 28 36437700 张志鸿 男 29 36437565 丁琳 女 30 36436618 曹浩忠 男 31 37702236 杨凯文 男 32 33 34 35 36 37 38 39 40 41 42 43 44 45 46 47 48 49 50 51 52 53 54 55 56 57 58 59 60 61 62 63 64 65 66 36436665 36414180 37702474 36414237 37702409 37702408 36414292 37702120 36414229 36437430 36382454 38121600 36414258 36405343 36342239 36414246 37702345 36405537 36437128 36436974 36414161 37702405 37702406 36405434 37702438 36437409 37702402 36405340 38121467 36437563 35922584 37702059 36405209 36405453 赵张程 王艺嘉 郭涵 陈涵颖 周佳亮 周佳帅 田恩希 崔宇轩 林显龙 蒋玉銮 马嘉莉 郭昀瑞 韦一 王雨馨 唐语邦 鲍文浩 夏子涵 曾祥宇 陈武轩 孙颖 黎欣燕 陈星宇 曾子轩 孙译铭 党毅恒 李世宇 张心缘 庞鹏辉 赵炫淇 梁盈涛 刘瑶 金哲 戴子骞 胡阳红 男 女 女 女 男 男 女 男 男 男 女 男 男 女 男 男 女 男 男 女 女 男 男 男 男 男 女 男 男 男 女 男 男 男 67 68 69 70 71 72 36404590 38121689 37702393 35922728 35922742 37702467 禄浩宇 李思瑶 李欣娜 吴业宏 刘昌昊 赵思源 男 女 女 男 男 男

附件4:2022年秋季斗门区初中一年级市和区政策性照顾学生入学资格名单.xlsx

