秦岭文库(kunmingchi.com)你想要的内容这里独有!

首都医科大学附属北京友谊医院2022年度决算报表.xls

Hi,远行者,Let’s go25 页 41.222 KB下载文档
首都医科大学附属北京友谊医院2022年度决算报表.xls首都医科大学附属北京友谊医院2022年度决算报表.xls首都医科大学附属北京友谊医院2022年度决算报表.xls首都医科大学附属北京友谊医院2022年度决算报表.xls首都医科大学附属北京友谊医院2022年度决算报表.xls首都医科大学附属北京友谊医院2022年度决算报表.xls
当前文档共25页 下载后继续阅读

首都医科大学附属北京友谊医院2022年度决算报表.xls

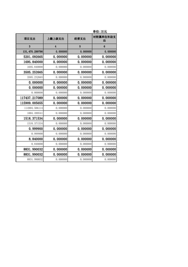
收入支出决算总表 单位名称:首都医科大学附属北京友谊医院 收入 项目 一、一般公共预算财政拨款收入 年初预算数 决算数 项目(按功能分类) 175263.080000 217957.840774 一、一般公共服务支出 二、政府性基金预算财政拨款收入 0.000000 0.000000 二、外交支出 三、国有资本经营预算财政拨款收入 0.000000 0.000000 三、国防支出 四、上级补助收入 0.000000 0.000000 四、公共安全支出 五、事业收入 376059.031800 六、经营收入 0.000000 0.000000 六、科学技术支出 七、附属单位上缴收入 0.000000 0.000000 七、文化旅游体育与传媒支出 八、其他收入 10200.000000 438024.867201 五、教育支出 14679.446897 八、社会保障和就业支出 九、卫生健康支出 十、节能环保支出 十一、城乡社区支出 十二、农林水支出 十三、交通运输支出 十四、资源勘探工业信息等支出 十五、商业服务业等支出 十六、金融支出 十七、援助其他地区支出 十八、自然资源海洋气象等支出 十九、住房保障支出 二十、粮油物资储备支出 二十一、国有资本经营预算支出 二十二、灾害防治及应急管理支出 二十三、其他支出 二十四、债务还本支出 二十五、债务付息支出 二十六、抗疫特别国债安排的支出 本年收入合计 年初结转和结余 561522.111800 8754.382735 670662.154872 本年支出合计 188693.579789 结余分配 年末结转和结余 总计 570276.494535 859355.734661 总计 决算总表 单位:万元 支出 支出 项目(按功能分类) 项目(按功能分类) 年初预算数 决算数 一、一般公共服务支出 0.000000 0.000000 二、外交支出 0.000000 0.000000 三、国防支出 0.000000 0.000000 四、公共安全支出 0.000000 0.000000 5715.082665 5201.092665 六、科学技术支出 0.000000 0.000000 七、文化旅游体育与传媒支出 0.000000 0.000000 八、社会保障和就业支出 17896.000000 17896.000000 九、卫生健康支出 546665.411870 619160.330903 十、节能环保支出 0.000000 0.000000 十一、城乡社区支出 0.000000 0.000000 十二、农林水支出 0.000000 0.000000 十三、交通运输支出 0.000000 0.000000 十四、资源勘探工业信息等支出 0.000000 0.000000 十五、商业服务业等支出 0.000000 0.000000 十六、金融支出 0.000000 0.000000 十七、援助其他地区支出 0.000000 0.000000 十八、自然资源海洋气象等支出 0.000000 0.000000 十九、住房保障支出 0.000000 0.000000 二十、粮油物资储备支出 0.000000 0.000000 二十一、国有资本经营预算支出 0.000000 0.000000 二十二、灾害防治及应急管理支出 0.000000 0.000000 二十三、其他支出 0.000000 8831.990032 二十四、债务还本支出 0.000000 0.000000 二十五、债务付息支出 0.000000 0.000000 二十六、抗疫特别国债安排的支出 0.000000 0.000000 本年支出合计 570276.494535 651089.413600 结余分配 0.000000 613.156085 年末结转和结余 0.000000 207653.164976 570276.494535 859355.734661 五、教育支出 总计 收入决算表 单位名称:首都医科大学附属北京友谊医院 项目 支出功能分 类科目编码 科目名称 类 款 项 合计 栏次 本年收入合计 财政拨款收入 上级补助收入 1 2 3 670,662.154872 217,957.840774 0.000000 205 20502 教育支出 普通教育 5257.897665 1696.360000 5257.897665 1696.360000 0.000000 0.000000 2050205 高等教育 1696.360000 1696.360000 0.000000 20599 其他教育支出 3561.537665 3561.537665 0.000000 2059999 其他教育支出 3561.537665 3561.537665 0.000000 208 20805 社会保障和就业支出 行政事业单位养老支出 17896.000000 17896.000000 17896.000000 17896.000000 0.000000 0.000000 2080506 机关事业单位职业年金缴费支出 17896.000000 17896.000000 0.000000 210 21002 卫生健康支出 公立医院 638002.257207 630129.045673 185297.943109 177424.731575 0.000000 0.000000 2100201 综合医院 611129.045673 158424.731575 0.000000 2100299 其他公立医院支出 19000.000000 19000.000000 0.000000 21004 公共卫生 7851.211534 7851.211534 0.000000 2100410 突发公共卫生事件应急处理 7851.211534 7851.211534 0.000000 21006 中医药 1.000000 1.000000 0.000000 2100601 中医(民族医)药专项 1.000000 1.000000 0.000000 21099 其他卫生健康支出 21.000000 21.000000 0.000000 2109999 其他卫生健康支出 21.000000 21.000000 0.000000 229 22999 其他支出 其他支出 9506.000000 9506.000000 9506.000000 9506.000000 0.000000 0.000000 2299999 其他支出 9506.000000 9506.000000 0.000000 表 单位:万元 事业收入 经营收入 附属单位上缴收入 其他收入 4 5 6 7 438,024.867201 0.000000 0.000000 14,679.446897 0.000000 0.000000 0.000000 0.000000 0.000000 0.000000 0.000000 0.000000 0.000000 0.000000 0.000000 0.000000 0.000000 0.000000 0.000000 0.000000 0.000000 0.000000 0.000000 0.000000 0.000000 0.000000 0.000000 0.000000 0.000000 0.000000 0.000000 0.000000 0.000000 0.000000 0.000000 0.000000 438024.867201 438024.867201 0.000000 0.000000 0.000000 0.000000 14679.446897 14679.446897 438024.867201 0.000000 0.000000 14679.446897 0.000000 0.000000 0.000000 0.000000 0.000000 0.000000 0.000000 0.000000 0.000000 0.000000 0.000000 0.000000 0.000000 0.000000 0.000000 0.000000 0.000000 0.000000 0.000000 0.000000 0.000000 0.000000 0.000000 0.000000 0.000000 0.000000 0.000000 0.000000 0.000000 0.000000 0.000000 0.000000 0.000000 0.000000 0.000000 0.000000 0.000000 0.000000 0.000000 0.000000 支出决算表 单位名称:首都医科大学附属北京友谊医院 项目 支出功能分 类科目编码 科目名称 类 款 项 合计 栏次 本年支出合计 基本支出 1 2 651,089.413600 519,619.113814 205 20502 教育支出 普通教育 5201.092665 1695.840000 0.000000 0.000000 2050205 高等教育 1695.840000 0.000000 20599 其他教育支出 3505.252665 0.000000 2059999 其他教育支出 3505.252665 0.000000 208 20805 社会保障和就业支出 行政事业单位养老支出 17896.000000 17896.000000 17896.000000 17896.000000 2080506 机关事业单位职业年金缴费支出 17896.000000 17896.000000 210 21002 卫生健康支出 公立医院 619160.330903 617632.119469 501723.113814 501723.113814 2100201 综合医院 616627.619928 501723.113814 2100299 其他公立医院支出 1004.499541 0.000000 21004 公共卫生 1518.371534 0.000000 2100410 突发公共卫生事件应急处理 1518.371534 0.000000 21006 中医药 0.999900 0.000000 2100601 中医(民族医)药专项 0.999900 0.000000 21099 其他卫生健康支出 8.840000 0.000000 2109999 其他卫生健康支出 8.840000 0.000000 229 22999 其他支出 其他支出 8831.990032 8831.990032 0.000000 0.000000 2299999 其他支出 8831.990032 0.000000 决算表 单位:万元 项目支出 上缴上级支出 经营支出 对附属单位补助支 出 3 4 5 6 131,470.299786 0.000000 0.000000 0.000000 5201.092665 1695.840000 0.000000 0.000000 0.000000 0.000000 0.000000 0.000000 1695.840000 0.000000 0.000000 0.000000 3505.252665 0.000000 0.000000 0.000000 3505.252665 0.000000 0.000000 0.000000 0.000000 0.000000 0.000000 0.000000 0.000000 0.000000 0.000000 0.000000 0.000000 0.000000 0.000000 0.000000 117437.217089 115909.005655 0.000000 0.000000 0.000000 0.000000 0.000000 0.000000 114904.506114 0.000000 0.000000 0.000000 1004.499541 0.000000 0.000000 0.000000 1518.371534 0.000000 0.000000 0.000000 1518.371534 0.000000 0.000000 0.000000 0.999900 0.000000 0.000000 0.000000 0.999900 0.000000 0.000000 0.000000 8.840000 0.000000 0.000000 0.000000 8.840000 0.000000 0.000000 0.000000 8831.990032 8831.990032 0.000000 0.000000 0.000000 0.000000 0.000000 0.000000 8831.990032 0.000000 0.000000 0.000000 财政拨款收 单位名称:首都医科大学附属北京友谊医院 收入 项目 一、一般公共预算财政拨款 年初预算数 项目(按功能分类) 年初预算数 决算数 175263.080000 217957.840774 一、一般公共服务支出 二、政府性基金预算财政拨款 0.000000 0.000000 二、外交支出 三、国有资本经营预算财政拨款 0.000000 0.000000 三、国防支出 四、公共安全支出 五、教育支出 六、科学技术支出 七、文化旅游体育与传媒支出 八、社会保障和就业支出 九、卫生健康支出 十、节能环保支出 十一、城乡社区支出 十二、农林水支出 十三、交通运输支出 十四、资源勘探工业信息等支出 十五、商业服务业等支出 十六、金融支出 十七、援助其他地区支出 十八、自然资源海洋气象等支出 十九、住房保障支出 二十、粮油物资储备支出 二十一、国有资本经营预算支出 二十二、灾害防治及应急管理支出 二十三、其他支出 二十四、债务还本支出 二十五、债务付息支出 二十六、抗疫特别国债安排的支出 本年收入合计 175263.080000 217957.840774 本年支出合计 年初财政拨款结转和结余 8754.382735 8754.382735 年末财政拨款结转和结余 一、一般公共预算财政拨款 8754.382735 8754.382735 二、政府性基金预算财政拨款 0.000000 0.000000 三、国有资本经营预算财政拨款 0.000000 0.000000 184017.462735 226712.223509 总计 总计 财政拨款收入支出决算总表 支出 支出 项目(按功能分类) 项目(按功能分类) 一般公共预算财政拨款 年初预算数 政府性基金预算财政拨款 决算数 年初预算数 一、一般公共服务支出 0.000000 0.000000 0.000000 二、外交支出 0.000000 0.000000 0.000000 三、国防支出 0.000000 0.000000 0.000000 四、公共安全支出 0.000000 0.000000 0.000000 5415.082665 5201.092665 0.000000 六、科学技术支出 0.000000 0.000000 0.000000 七、文化旅游体育与传媒支出 0.000000 0.000000 0.000000 八、社会保障和就业支出 17896.000000 17896.000000 0.000000 九、卫生健康支出 160706.380070 168134.229235 0.000000 十、节能环保支出 0.000000 0.000000 0.000000 十一、城乡社区支出 0.000000 0.000000 0.000000 十二、农林水支出 0.000000 0.000000 0.000000 十三、交通运输支出 0.000000 0.000000 0.000000 十四、资源勘探工业信息等支出 0.000000 0.000000 0.000000 十五、商业服务业等支出 0.000000 0.000000 0.000000 十六、金融支出 0.000000 0.000000 0.000000 十七、援助其他地区支出 0.000000 0.000000 0.000000 十八、自然资源海洋气象等支出 0.000000 0.000000 0.000000 十九、住房保障支出 0.000000 0.000000 0.000000 二十、粮油物资储备支出 0.000000 0.000000 0.000000 二十一、国有资本经营预算支出 0.000000 0.000000 0.000000 二十二、灾害防治及应急管理支出 0.000000 0.000000 0.000000 二十三、其他支出 0.000000 8831.990032 0.000000 二十四、债务还本支出 0.000000 0.000000 0.000000 二十五、债务付息支出 0.000000 0.000000 0.000000 二十六、抗疫特别国债安排的支出 0.000000 0.000000 0.000000 本年支出合计 184017.462735 200063.311932 0.000000 0.000000 26648.911577 0.000000 184017.462735 226712.223509 0.000000 五、教育支出 年末财政拨款结转和结余 总计 单位:万元 支出 ################## 政府性基金预算财政拨款 # 决算数 国有资本经营预算财政拨 年初预算数 决算数 0.000000 0.000000 0.000000 0.000000 0.000000 0.000000 0.000000 0.000000 0.000000 0.000000 0.000000 0.000000 0.000000 0.000000 0.000000 0.000000 0.000000 0.000000 0.000000 0.000000 0.000000 0.000000 0.000000 0.000000 0.000000 0.000000 0.000000 0.000000 0.000000 0.000000 0.000000 0.000000 0.000000 0.000000 0.000000 0.000000 0.000000 0.000000 0.000000 0.000000 0.000000 0.000000 0.000000 0.000000 0.000000 0.000000 0.000000 0.000000 0.000000 0.000000 0.000000 0.000000 0.000000 0.000000 0.000000 0.000000 0.000000 0.000000 0.000000 0.000000 0.000000 0.000000 0.000000 0.000000 0.000000 0.000000 0.000000 0.000000 0.000000 0.000000 0.000000 0.000000 0.000000 0.000000 0.000000 0.000000 0.000000 0.000000 0.000000 0.000000 0.000000 0.000000 0.000000 0.000000 0.000000 0.000000 0.000000 一般公共预算财政拨款收入支出决算表 单位名称:首都医科大学附属北京友谊医院 项目 支出功能分 类科目编码 科目名称 类 款 项 合计 栏次 年初结转和结余 本年收入 1 2 本年支出 小计 3 8,754.382735 217,957.840774 200,063.311932 205 20502 教育支出 普通教育 3.715000 0.000000 5257.897665 1696.360000 5201.092665 1695.840000 2050205 高等教育 0.000000 1696.360000 1695.840000 20599 其他教育支出 3.715000 3561.537665 3505.252665 2059999 其他教育支出 3.715000 3561.537665 3505.252665 208 20805 社会保障和就业支出 行政事业单位养老支出 0.000000 0.000000 17896.000000 17896.000000 17896.000000 17896.000000 2080506 机关事业单位职业年金缴费支出 0.000000 17896.000000 17896.000000 210 21002 卫生健康支出 公立医院 8750.667735 8750.667735 185297.943109 177424.731575 168134.229235 166606.017801 2100201 综合医院 8283.186685 158424.731575 165601.518260 2100299 其他公立医院支出 467.481050 19000.000000 1004.499541 21004 公共卫生 0.000000 7851.211534 1518.371534 2100410 突发公共卫生事件应急处理 0.000000 7851.211534 1518.371534 21006 中医药 0.000000 1.000000 0.999900 2100601 中医(民族医)药专项 0.000000 1.000000 0.999900 21099 其他卫生健康支出 0.000000 21.000000 8.840000 2109999 其他卫生健康支出 0.000000 21.000000 8.840000 229 22999 其他支出 其他支出 0.000000 0.000000 9506.000000 9506.000000 8831.990032 8831.990032 2299999 其他支出 0.000000 9506.000000 8831.990032 出决算表 单位:万元 本年支出 本年支出 基本支出 项目支出 4 5 年末结转结余 6 80,185.219240 119,878.092692 26,648.911577 0.000000 0.000000 5201.092665 1695.840000 60.520000 0.520000 0.000000 1695.840000 0.520000 0.000000 3505.252665 60.000000 0.000000 3505.252665 60.000000 17896.000000 17896.000000 0.000000 0.000000 0.000000 0.000000 17896.000000 0.000000 0.000000 62289.219240 62289.219240 105845.009995 104316.798561 25914.381609 19569.381509 62289.219240 103312.299020 1106.400000 0.000000 1004.499541 18462.981509 0.000000 1518.371534 6332.840000 0.000000 1518.371534 6332.840000 0.000000 0.999900 0.000100 0.000000 0.999900 0.000100 0.000000 8.840000 12.160000 0.000000 8.840000 12.160000 0.000000 0.000000 8831.990032 8831.990032 674.009968 674.009968 0.000000 8831.990032 674.009968 一般公共预算财政拨款支出决算表 单位名称:首都医科大学附属北京友谊医院 项目 支出功能分 类科目编码 科目名称 类 款 项 合计 栏次 单位名称 -- 205 20502 教育支出 普通教育 2050205 高等教育 20599 其他教育支出 2059999 其他教育支出 208 20805 社会保障和就业支出 行政事业单位养老支出 2080506 机关事业单位职业年金缴费支出 210 21002 卫生健康支出 公立医院 2100201 综合医院 首都医科大学附属北京友谊医院 2100299 其他公立医院支出 首都医科大学附属北京友谊医院 21004 公共卫生 2100410 突发公共卫生事件应急处理 21006 中医药 2100601 中医(民族医)药专项 21099 其他卫生健康支出 2109999 其他卫生健康支出 229 22999 其他支出 其他支出 2299999 其他支出 首都医科大学附属北京友谊医院 首都医科大学附属北京友谊医院 首都医科大学附属北京友谊医院 首都医科大学附属北京友谊医院 首都医科大学附属北京友谊医院 首都医科大学附属北京友谊医院 首都医科大学附属北京友谊医院 款支出决算表 单位:万元 合计 基本支出 项目支出 1 2 3 200,063.311932 80,185.219240 119,878.092692 5201.092665 1695.840000 0.000000 0.000000 5201.092665 1695.840000 1695.840000 0.000000 1695.840000 3505.252665 0.000000 3505.252665 3505.252665 0.000000 3505.252665 17896.000000 17896.000000 17896.000000 17896.000000 0.000000 0.000000 17896.000000 17896.000000 0.000000 168134.229235 166606.017801 62289.219240 62289.219240 105845.009995 104316.798561 165601.518260 62289.219240 103312.299020 1004.499541 0.000000 1004.499541 1518.371534 0.000000 1518.371534 1518.371534 0.000000 1518.371534 0.999900 0.000000 0.999900 0.999900 0.000000 0.999900 8.840000 0.000000 8.840000 8.840000 0.000000 8.840000 8831.990032 8831.990032 0.000000 0.000000 8831.990032 8831.990032 8831.990032 0.000000 8831.990032 一般公共预算财政拨款基本支出决 单位名称:首都医科大学附属北京友谊医院 科目名称 工资福利支出 决算数 科目名称 50797.722400 商品和服务支出 基本工资 37.713000 办公费 津贴补贴 5475.000000 印刷费 奖金 0.000000 咨询费 伙食补助费 0.000000 手续费 绩效工资 22090.749400 水费 机关事业单位基本养老保险缴费 11930.000000 电费 职业年金缴费 5966.000000 邮电费 职工基本医疗保险缴费 4815.000000 取暖费 公务员医疗补助缴费 0.000000 其他社会保障缴费 483.260000 物业管理费 差旅费 住房公积金 0.000000 因公出国(境)费用 医疗费 0.000000 维修(护)费 其他工资福利支出 0.000000 租赁费 对个人和家庭的补助 2490.023240 会议费 离休费 546.649700 培训费 退休费 1370.270300 公务接待费 0.000000 专用材料费 抚恤金 573.103240 被装购置费 生活补助 0.000000 专用燃料费 救济费 0.000000 劳务费 医疗费补助 0.000000 委托业务费 助学金 0.000000 工会经费 奖励金 0.000000 福利费 个人农业生产补贴 0.000000 公务用车运行维护费 代缴社会保险费 0.000000 其他交通费用 其他对个人和家庭的补助 0.000000 税金及附加费用 退职(役)费 其他商品和服务支出 债务利息及费用支出 国内债务付息 国外债务付息 国内债务发行费用 国外债务发行费用 人员经费合计 53287.745640 公用 算财政拨款基本支出决算表 名称 单位:万元 科目名称 决算数 科目名称 26897.473600 资本性支出 决算数 0.000000 0.000000 房屋建筑物购建 0.000000 0.000000 办公设备购置 0.000000 0.000000 专用设备购置 0.000000 0.000000 基础设施建设 0.000000 0.000000 大型修缮 0.000000 0.000000 信息网络及软件购置更新 0.000000 0.000000 物资储备 0.000000 760.000000 土地补偿 0.000000 0.000000 安置补助 0.000000 0.000000 地上附着物和青苗补偿 0.000000 0.000000 拆迁补偿 0.000000 0.000000 公务用车购置 0.000000 0.000000 其他交通工具购置 0.000000 0.000000 文物和陈列品购置 0.000000 0.000000 无形资产购置 0.000000 0.000000 其他资本性支出 0.000000 26016.133600 对企业补助 0.000000 0.000000 资本金注入 0.000000 0.000000 政府投资基金股权投资 0.000000 0.000000 费用补贴 0.000000 0.000000 利息补贴 0.000000 0.000000 其他对企业补助 0.000000 0.000000 其他支出 0.000000 0.000000 国家赔偿费用支出 0.000000 0.000000 对民间非营利组织和群众性自治组织补贴 0.000000 0.000000 经常性赠与 0.000000 121.340000 资本性赠与 0.000000 0.000000 其他支出 0.000000 0.000000 0.000000 0.000000 0.000000 公用经费合计 26897.473600 政府性基金预算财政拨款收入支出决算表 单位名称:首都医科大学附属北京友谊医院 项目 年初结转和结余 本年收入 本年支出 支出功能分 类科目编码 科目名称 小计 栏次 1 2 3 类 款 项 合计 0.000000 0.000000 0.000000 支出决算表 单位:万元 本年支出 本年支出 年末结转结余 基本支出 项目支出 年末结转和结余 4 5 6 0.000000 0.000000 0.000000 政府性基金预算财政拨款基本支出决 单位名称:首都医科大学附属北京友谊医院 科目名称 工资福利支出 决算数 科目名称 0.000000 商品和服务支出 基本工资 0.000000 办公费 津贴补贴 0.000000 印刷费 奖金 0.000000 咨询费 伙食补助费 0.000000 手续费 绩效工资 0.000000 水费 机关事业单位基本养老保险缴费 0.000000 电费 职业年金缴费 0.000000 邮电费 职工基本医疗保险缴费 0.000000 取暖费 公务员医疗补助缴费 0.000000 物业管理费 其他社会保障缴费 0.000000 差旅费 住房公积金 0.000000 因公出国(境)费用 医疗费 0.000000 维修(护)费 其他工资福利支出 0.000000 租赁费 对个人和家庭的补助 0.000000 会议费 离休费 0.000000 培训费 退休费 0.000000 公务接待费 退职(役)费 0.000000 专用材料费 抚恤金 0.000000 被装购置费 生活补助 0.000000 专用燃料费 救济费 0.000000 劳务费 医疗费补助 0.000000 委托业务费 助学金 0.000000 工会经费 奖励金 0.000000 福利费 个人农业生产补贴 0.000000 公务用车运行维护费 代缴社会保险费 0.000000 其他交通费用 其他对个人和家庭的补助 0.000000 税金及附加费用 其他商品和服务支出 债务利息及费用支出 国内债务付息 国外债务付息 国内债务发行费用 国外债务发行费用 人员经费合计 0.000000 公用 算财政拨款基本支出决算表 名称 单位:万元 科目名称 决算数 科目名称 决算数 0.000000 资本性支出 0.000000 0.000000 房屋建筑物购建 0.000000 0.000000 办公设备购置 0.000000 0.000000 专用设备购置 0.000000 0.000000 基础设施建设 0.000000 0.000000 大型修缮 0.000000 0.000000 信息网络及软件购置更新 0.000000 0.000000 物资储备 0.000000 0.000000 土地补偿 0.000000 0.000000 安置补助 0.000000 0.000000 地上附着物和青苗补偿 0.000000 0.000000 拆迁补偿 0.000000 0.000000 公务用车购置 0.000000 0.000000 其他交通工具购置 0.000000 0.000000 文物和陈列品购置 0.000000 0.000000 无形资产购置 0.000000 0.000000 其他资本性支出 0.000000 0.000000 对企业补助 0.000000 0.000000 资本金注入 0.000000 0.000000 政府投资基金股权投资 0.000000 0.000000 费用补贴 0.000000 0.000000 利息补贴 0.000000 0.000000 其他对企业补助 0.000000 0.000000 其他支出 0.000000 0.000000 国家赔偿费用支出 0.000000 0.000000 对民间非营利组织和群众性自治组织补贴 0.000000 0.000000 经常性赠与 0.000000 0.000000 资本性赠与 0.000000 0.000000 其他支出 0.000000 0.000000 0.000000 0.000000 0.000000 公用经费合计 0.000000 国有资本经营预算财政拨款支出决算表 单位名称:首都医科大学附属北京友谊医院 项目 2022年度决算数 支出功能分 类科目编码 科目名称 合计 基本支出 栏次 1 2 类 款 项 合计 0.000000 0.000000 表 年度决算数 单位:万元 2022年度决算数 项目支出 3 0.000000 财政拨款“三公”经费支出决算表 单位名称:首都医科大学附属北京友谊医院 “三公”经费财政 因公出国(境)费 拨款合计 用 公务接待费 公务用车购置费 2022年预算 0.000000 0.000000 0.000000 0.000000 2022年决算 0.000000 0.000000 0.000000 0.000000 政拨款“三公”经费支出决算表 单位:万元 公务用车购置及运行维护费 公务用车购置及运行维护费 公务用车运行维护费 小计 公务用车加油 公务用车维修 公务用车保险 其他 0.000000 0.000000 0.000000 0.000000 0.000000 0.000000 0.000000 0.000000 0.000000 0.000000 政府采购情况表 单位名称:首都医科大学附属北京友谊医院 项目 单位:万元 统计数 政府采购支出信息 (一)政府采购支出合计 86144.916140 1.政府采购货物支出 82672.258629 2.政府采购工程支出 2523.781511 3.政府采购服务支出 948.876000 (二)政府采购授予中小企业合同金额 其中:授予小微企业合同金额 81566.127426 12791.116526 政府购买服务决算公开情况表 单位名称:首都医科大学附属北京友谊医院 单位:万元 一级目录 二级目录 合 公共服务 计 0.000000 小计 0.000000 公共安全服务 0.000000 教育公共服务 0.000000 就业公共服务 0.000000 社会保障服务 0.000000 卫生健康公共服务 0.000000 生态保护和环境治理服务 0.000000 科技公共服务 0.000000 文化公共服务 0.000000 体育公共服务 0.000000 社会治理服务 0.000000 城乡维护服务 0.000000 农业、林业和水利公共服务 0.000000 交通运输公共服务 0.000000 灾害防治及应急管理服务 0.000000 公共信息与宣传服务 0.000000 行业管理服务 0.000000 技术性公共服务 0.000000 其他公共服务 0.000000 小 政府履职辅助性服务 金额 计 0.000000 法律服务 0.000000 课题研究和社会调查服务 0.000000 会计审计服务 0.000000 会议服务 0.000000 监督检查辅助服务 0.000000 工程服务 0.000000 评审、评估和评价服务 0.000000 咨询服务 0.000000 机关工作人员培训服务 0.000000 信息化服务 0.000000 后勤服务 0.000000 其他辅助性服务 0.000000

相关文章