2023年2月广州市花都区在册最低生活保障家庭救助公示单.pdf
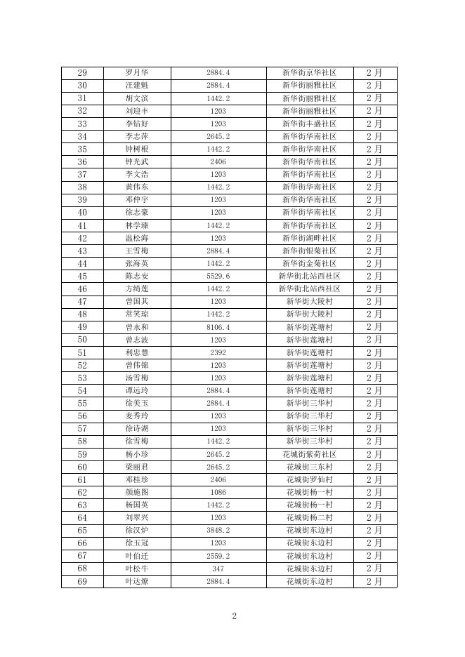
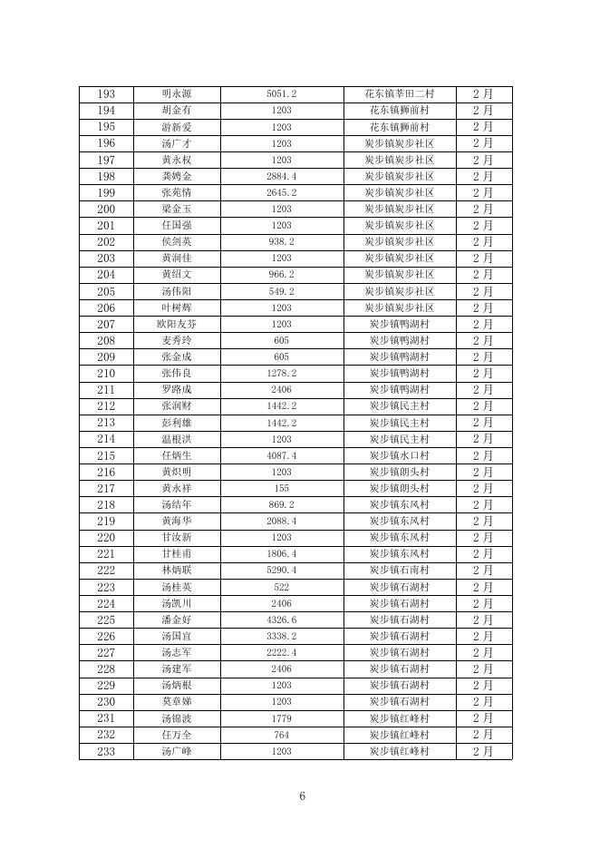
广州市最低生活保障、低收入困难家庭救助 公示单 经批准以下对象纳入最低生活保障低收入困难家庭救 助,现进行公示。 监督电话:36899722 邮箱:huaduqujiuzhu@126.com 序号 对象姓名 救助金额(元/月) 家庭所在镇(街) 备注 1 2 3 4 5 6 7 8 9 10 11 12 13 14 15 16 17 18 19 20 21 22 23 24 25 26 27 28 李润兰 1442.2 新华街云山社区 宁伟良 1442.2 新华街云山社区 黄杰辉 2406 新华街云山社区 侯运英 1442.2 新华街云山社区 曾国倡 2884.4 新华街新民社区 任灿文 4619.2 新华街福宁社区 潘发冠 1203 新华街红珠社区 彭桂倩 1442.2 新华街红珠社区 龚俊华 2884.4 新华街商南社区 危金桃 513 新华街商南社区 曾雄勋 1442.2 新华街商南社区 张树华 1196 新华街聚贤社区 黄新 1203 新华街聚贤社区 林晓欣 1203 新华街梅园社区 梁宝华 1442.2 新华街梅园社区 胡正 1442.2 新华街秀全社区 于蕴蘋 1442.2 新华街秀全社区 邱子光 1196 新华街秀全社区 黄结明 1196 新华街培英社区 朱咏思 2884.4 新华街富华社区 刘志坚 2884.4 新华街富华社区 黄柱荣 1442.2 新华街宝华社区 汤永光 1442.2 新华街凤华社区 冯立棒 1442.2 新华街凤华社区 林勇 1702 新华街凤华社区 甘济恩 1442.2 新华街松园社区 张志文 5529.6 新华街新都西社区 吕继通 5421.6 新华街海关西社区 1 2月 2月 2月 2月 2月 2月 2月 2月 2月 2月 2月 2月 2月 2月 2月 2月 2月 2月 2月 2月 2月 2月 2月 2月 2月 2月 2月 2月 29 30 31 32 33 34 35 36 37 38 39 40 41 42 43 44 45 46 47 48 49 50 51 52 53 54 55 56 57 58 59 60 61 62 63 64 65 66 67 68 69 罗月华 2884.4 新华街京华社区 汪建魁 2884.4 新华街丽雅社区 胡文滨 1442.2 新华街丽雅社区 刘迎丰 1203 新华街丽雅社区 李钻好 1203 新华街丰盛社区 李志萍 2645.2 新华街华南社区 钟树根 1442.2 新华街华南社区 钟光武 2406 新华街华南社区 李文浩 1203 新华街华南社区 黄伟东 1442.2 新华街华南社区 邓仲宇 1203 新华街华南社区 徐志豪 1203 新华街华南社区 林学臻 1442.2 新华街华南社区 温松海 1203 新华街湖畔社区 王雪梅 2884.4 新华街银菊社区 张海英 1442.2 新华街金菊社区 陈志安 5529.6 新华街北站西社区 方绮莲 1442.2 新华街北站西社区 曾国其 1203 新华街大陵村 常笑琼 1442.2 新华街大陵村 曾永和 8106.4 新华街莲塘村 曾志波 1203 新华街莲塘村 利忠慧 2392 新华街莲塘村 曾伟锦 1203 新华街莲塘村 汤雪梅 1203 新华街莲塘村 谭远玲 2884.4 新华街莲塘村 徐美玉 2884.4 新华街三华村 麦秀玲 1203 新华街三华村 徐诗湖 1203 新华街三华村 徐雪梅 1442.2 新华街三华村 杨小珍 2645.2 花城街紫荷社区 梁丽君 2645.2 花城街三东村 邓桂珍 2406 花城街罗仙村 颜施图 1086 花城街杨一村 杨国英 1442.2 花城街杨一村 刘翠兴 1203 花城街杨二村 徐汉炉 3848.2 花城街东边村 徐玉冠 1203 花城街东边村 叶伯迁 2559.2 花城街东边村 叶松牛 347 花城街东边村 叶达燎 2884.4 花城街东边村 2 2月 2月 2月 2月 2月 2月 2月 2月 2月 2月 2月 2月 2月 2月 2月 2月 2月 2月 2月 2月 2月 2月 2月 2月 2月 2月 2月 2月 2月 2月 2月 2月 2月 2月 2月 2月 2月 2月 2月 2月 2月 70 71 72 73 74 75 76 77 78 79 80 81 82 83 84 85 86 87 88 89 90 91 92 93 94 95 96 97 98 99 100 101 102 103 104 105 106 107 108 109 110 谭松简 1442.2 花城街东边村 曾带好 3609 花城街长岗村 肖平 3424.6 秀全街荔红社区 朱伟平 2645.2 秀全街乐同村 毕有锦 457 秀全街官溪村 毕文晃 643 秀全街官溪村 朱梓永 2645.2 秀全街朱村 黄永杨 1442.2 秀全街岐山村 黎月娥 1442.2 秀全街马溪村 邵翠好 1619.2 新雅街东镜村 刘美莲 1059 新雅街东镜村 毛新明 1442.2 新雅街东莞村 黄灼荣 2406 新雅街石塘村 黄志昌 1434.2 新雅街石塘村 刘全娣 1080.2 新雅街清㘵村 黎全炎 917.2 新雅街清㘵村 唐桂连 1833.4 新雅街清㘵村 袁结冬 1817 新雅街清㘵村 陈国球 1023 新雅街清㘵村 许记有 1042.2 新雅街清㘵村 周称娣 1566 新雅街广塘村 陈桂好 2406 新雅街广塘村 刘焯容 1442.2 新雅街广塘村 陈耀堪 1679.4 新雅街广塘村 黄芬兰 2166.4 新雅街广塘村 曾冬明 3609 新雅街团结村 刘国英 1203 新雅街团结村 邓光明 2644.2 新雅街团结村 吴春玲 2268.2 新雅街团结村 邱秀霞 2884.4 新雅街团结村 徐雪梅 3724.4 新雅街三向村 曾定友 1067.6 新雅街新村 张其鉴 2630.4 新雅街旧村 岑桂恩 1442.2 新雅街岑境村 岑秀兴 2391 新雅街岑境村 岑智活 1742.2 新雅街岑境村 傅作仕 2093.2 梯面镇五联村 倪智本 1203 花山镇两龙社区 江惠珠 2645.2 花山镇两龙社区 刘惠娴 2406 花山镇两龙社区 雷新妹 853 花山镇东湖村 3 2月 2月 2月 2月 2月 2月 2月 2月 2月 2月 2月 2月 2月 2月 2月 2月 2月 2月 2月 2月 2月 2月 2月 2月 2月 2月 2月 2月 2月 2月 2月 2月 2月 2月 2月 2月 2月 2月 2月 2月 2月 111 112 113 114 115 116 117 118 119 120 121 122 123 124 125 126 127 128 129 130 131 132 133 134 135 136 137 138 139 140 141 142 143 144 145 146 147 148 149 150 151 黄容驱 1442.2 花山镇平东村 黄健鹏 1203 花山镇平东村 陈爱娣 172 花山镇平东村 黄燕芳 3239 花山镇平东村 危玉兰 1203 花山镇平东村 徐亦花 2406 花山镇新和村 利玉珍 1203 花山镇新和村 江启均 3848.2 花山镇小㘵村 江海文 1800.2 花山镇平山村 江应准 1359.2 花山镇平山村 危永荣 690.2 花山镇平西村 唐伟枫 1173 花山镇平西村 陈维集 2645.2 花山镇洛场村 黄满枝 439 花山镇东华村 严廷波 2782.2 花山镇永明村 黄慧仪 2645.2 花山镇东方村 周耀东 1203 花山镇东方村 江润秋 703.4 花山镇南村村 韩水环 858 花山镇南村村 梁春燕 1189.4 花山镇五星村 欧阳天河 2406 花山镇五星村 黄坤钳 2406 花山镇和郁村 黄雪晶 2645.2 花山镇和郁村 侯锦棠 1196 花山镇布岗村 康丽枝 1203 花山镇永乐村 陈记就 2406 花山镇花城村 陈运好 2645.2 花山镇花城村 邝铟庭 1203 花山镇花城村 游记通 3609 花山镇花城村 侯秋娣 915 花山镇花城村 王小霞 1203 花山镇花城村 陈记添 2406 花山镇花城村 邝正钊 3339 花山镇花城村 潘彩萍 528 花山镇花城村 邝飞如 2406 花山镇花城村 李伟深 2645.2 花山镇花城村 吴珍 1014.4 花山镇紫西村 卓炳添 1203 花山镇狮民村 刘秋花 1203 花山镇狮民村 陈达明 3609 花山镇狮民村 李健红 1203 花东镇洛柴岗社区 4 2月 2月 2月 2月 2月 2月 2月 2月 2月 2月 2月 2月 2月 2月 2月 2月 2月 2月 2月 2月 2月 2月 2月 2月 2月 2月 2月 2月 2月 2月 2月 2月 2月 2月 2月 2月 2月 2月 2月 2月 2月 152 153 154 155 156 157 158 159 160 161 162 163 164 165 166 167 168 169 170 171 172 173 174 175 176 177 178 179 180 181 182 183 184 185 186 187 188 189 190 191 192 伍木养 1442.2 花东镇洛柴岗社区 刘玉珍 1442.2 花东镇洛柴岗社区 张太荘 1203 花东镇李溪村 殷月葵 452 花东镇李溪村 陈连好 2645.2 花东镇李溪村 张路娣 4823.6 花东镇李溪村 谭冠兰 4326.6 花东镇李溪村 王婉惠 3609 花东镇李溪村 张传志 2645.2 花东镇李溪村 潘月平 1442.2 花东镇李溪村 张德健 1203 花东镇七庄村 王曾概 4940.8 花东镇九湖村 刘笑平 1203 花东镇高溪村 王锦坚 1203 花东镇高溪村 欧阳凤新 1203 花东镇高溪村 李志铭 1203 花东镇凤岗村 龙志桓 3609 花东镇南溪村 黄文婷 1203 花东镇秀塘村 罗秋平 2406 花东镇秀塘村 黄德林 4087.4 花东镇秀塘村 侯海麟 3609 花东镇联安村 侯记威 1133 花东镇联安村 潘广添 3848.2 花东镇珠湖村 江如亿 3646.4 花东镇元岗村 高伟健 3609 花东镇元岗村 江德海 1203 花东镇大东村 黄仲镰 3848.2 花东镇大东村 茹信煜 1203 花东镇大东村 张进标 3848.2 花东镇大东村 温信华 3848.2 花东镇大东村 罗成思 3043 花东镇九子村 高灼康 2884.4 花东镇杨三村 周美茵 5051.2 花东镇镇东村 杨礼文 3645.2 花东镇镇东村 温伙坚 4563.2 花东镇大龙村 梁志文 2406 花东镇京塘村 梁庆文 5290.4 花东镇京塘村 梁镜华 5051.2 花东镇京塘村 庾庆锋 2406 花东镇莘田村 庾惠忠 3430 花东镇莘田村 明伟宁 5429.6 花东镇莘田二村 5 2月 2月 2月 2月 2月 2月 2月 2月 2月 2月 2月 2月 2月 2月 2月 2月 2月 2月 2月 2月 2月 2月 2月 2月 2月 2月 2月 2月 2月 2月 2月 2月 2月 2月 2月 2月 2月 2月 2月 2月 2月 193 194 195 196 197 198 199 200 201 202 203 204 205 206 207 208 209 210 211 212 213 214 215 216 217 218 219 220 221 222 223 224 225 226 227 228 229 230 231 232 233 明永源 5051.2 花东镇莘田二村 胡金有 1203 花东镇狮前村 游新爱 1203 花东镇狮前村 汤广才 1203 炭步镇炭步社区 黄永权 1203 炭步镇炭步社区 龚娉金 2884.4 炭步镇炭步社区 张苑情 2645.2 炭步镇炭步社区 梁金玉 1203 炭步镇炭步社区 任国强 1203 炭步镇炭步社区 侯剑英 938.2 炭步镇炭步社区 黄润佳 1203 炭步镇炭步社区 黄绍文 966.2 炭步镇炭步社区 汤伟阳 549.2 炭步镇炭步社区 叶树辉 1203 炭步镇炭步社区 欧阳友芬 1203 炭步镇鸭湖村 麦秀玲 605 炭步镇鸭湖村 张金成 605 炭步镇鸭湖村 张伟良 1278.2 炭步镇鸭湖村 罗路成 2406 炭步镇鸭湖村 张润财 1442.2 炭步镇民主村 彭利雄 1442.2 炭步镇民主村 温根洪 1203 炭步镇民主村 任炳生 4087.4 炭步镇水口村 黄炽明 1203 炭步镇朗头村 黄永祥 155 炭步镇朗头村 汤结年 869.2 炭步镇东风村 黄海华 2088.4 炭步镇东风村 甘汝新 1203 炭步镇东风村 甘桂甫 1806.4 炭步镇东风村 林炳联 5290.4 炭步镇石南村 汤桂英 522 炭步镇石湖村 汤凯川 2406 炭步镇石湖村 潘金好 4326.6 炭步镇石湖村 汤国宜 3338.2 炭步镇石湖村 汤志军 2222.4 炭步镇石湖村 汤建军 2406 炭步镇石湖村 汤炳根 1203 炭步镇石湖村 莫章娣 1203 炭步镇石湖村 汤锦波 1779 炭步镇红峰村 任万全 764 炭步镇红峰村 汤广峰 1203 炭步镇红峰村 6 2月 2月 2月 2月 2月 2月 2月 2月 2月 2月 2月 2月 2月 2月 2月 2月 2月 2月 2月 2月 2月 2月 2月 2月 2月 2月 2月 2月 2月 2月 2月 2月 2月 2月 2月 2月 2月 2月 2月 2月 2月 234 235 236 237 238 239 240 241 242 243 244 245 246 247 248 249 250 251 252 253 254 255 256 257 258 259 260 261 262 263 264 265 266 267 268 269 270 271 272 273 274 汤志钊 1203 炭步镇红峰村 罗样欢 628 炭步镇红峰村 许建章 1442.2 炭步镇 溪村 许铭杨 1442.2 炭步镇 溪村 汤炽权 1442.2 炭步镇 溪村 徐照辉 1442.2 炭步镇 溪村 任月心 1203 炭步镇茶塘村 汤锦安 1203 炭步镇茶塘村 汤景安 1203 炭步镇茶塘村 龚泽文 1202.2 炭步镇环山村 朱婉明 1666.2 炭步镇环山村 龚伟成 1403 炭步镇环山村 龚溢能 4087.4 炭步镇环山村 赖瑞莲 2884.4 炭步镇环山村 龚悦新 1563.2 炭步镇环山村 龚永光 2884.4 炭步镇环山村 植桂佳 1203 炭步镇三联村 麦顺好 1442.2 炭步镇三联村 赖细心 711.2 炭步镇三联村 王太生 1296 炭步镇三联村 陈玉娇 1542 炭步镇三联村 叶世德 1442.2 炭步镇三联村 王敬鹏 692.2 炭步镇三联村 张润琼 1107 炭步镇华岭村 骆贺新 2103 炭步镇华岭村 骆永祥 1203 炭步镇华岭村 胡翠换 4428.4 炭步镇大涡村 卢艳红 1196 炭步镇大涡村 骆广联 1203 炭步镇骆村 骆耀坤 2391.6 炭步镇骆村 陈钻容 2087.4 炭步镇骆村 谭兆炳 1458 炭步镇文一村 谭国尧 2406 炭步镇文一村 谭国暖 1203 炭步镇文一村 钟为义 4014 炭步镇文一村 谭景堂 4480 炭步镇文一村 周群芳 2406 炭步镇文二村 庾丽娥 1442.2 炭步镇文二村 姚丽君 3609 赤坭镇赤坭社区 吴洁萍 423 赤坭镇赤坭社区 何英俊 1203 赤坭镇赤坭社区 7 2月 2月 2月 2月 2月 2月 2月 2月 2月 2月 2月 2月 2月 2月 2月 2月 2月 2月 2月 2月 2月 2月 2月 2月 2月 2月 2月 2月 2月 2月 2月 2月 2月 2月 2月 2月 2月 2月 2月 2月 2月 275 276 277 278 279 280 281 282 283 284 285 286 287 288 289 290 291 292 293 294 295 296 297 298 299 300 301 302 303 304 305 306 307 308 309 310 311 312 313 314 315 庾弟坚 2406 赤坭镇赤坭社区 彭洁嫦 2406 赤坭镇巴江社区 曾玉连 3848.2 赤坭镇巴江社区 黄仕东 1541.2 赤坭镇巴江社区 杨伟球 1203 赤坭镇巴江社区 梁翠琼 2406 赤坭镇巴江社区 梁卓伟 1908.4 赤坭镇珊瑚村 宋桂金 534 赤坭镇珊瑚村 杨有容 2406 赤坭镇珊瑚村 陈婉华 1909.6 赤坭镇珊瑚村 黄仕良 5051.2 赤坭镇珊瑚村 钟美湾 513 赤坭镇国泰村 宋锡洪 2884.4 赤坭镇白坭村 梁健华 1508.4 赤坭镇白坭村 宋有娣 5301.4 赤坭镇白坭村 蓝桂全 1442.2 赤坭镇心和村 曾锦威 1203 赤坭镇白石村 罗乐平 1203 赤坭镇缠岗村 罗杰飞 3016.2 赤坭镇缠岗村 黄晓盈 3244.2 赤坭镇缠岗村 温桂芳 1490 赤坭镇下连珠村 王松好 1598 赤坭镇下连珠村 姚光明 298 赤坭镇下连珠村 钟志强 2944 赤坭镇下连珠村 温国银 2406 赤坭镇下连珠村 钟丽玲 1121.2 赤坭镇横沙村 汤雪葵 1203 赤坭镇横沙村 钟翠婵 1016 赤坭镇门口坑村 罗金爱 2884.4 赤坭镇荷塘村 唐伟超 2313.2 赤坭镇荷溪村 叶杰华 3848.2 赤坭镇荷溪村 谢锦嫦 3477.4 赤坭镇蓝田村 黎志球 1203 赤坭镇蓝田村 林锦伟 1165.2 赤坭镇鲤塘村 林顺兴 465.2 赤坭镇鲤塘村 杨明新 2470 赤坭镇鲤塘村 骆少明 1203 赤坭镇连塘村 骆燕珍 2406 赤坭镇连塘村 骆昌元 2884.4 赤坭镇连塘村 骆伟贤 2406 赤坭镇连塘村 冯雪英 2406 赤坭镇连塘村 8 2月 2月 2月 2月 2月 2月 2月 2月 2月 2月 2月 2月 2月 2月 2月 2月 2月 2月 2月 2月 2月 2月 2月 2月 2月 2月 2月 2月 2月 2月 2月 2月 2月 2月 2月 2月 2月 2月 2月 2月 2月 316 317 318 319 320 321 322 323 324 325 326 327 328 329 330 331 332 333 334 335 336 337 338 339 340 341 342 343 344 345 346 347 348 349 350 351 352 353 354 355 356 骆增万 1442.2 赤坭镇连塘村 骆敏佳 2406 赤坭镇连塘村 钟国辉 3108 赤坭镇连塘村 卢雪玲 2456.2 赤坭镇连塘村 卢劲谦 735.2 赤坭镇连塘村 叶意群 1126.2 赤坭镇连塘村 骆艳伟 1442.2 赤坭镇连塘村 卢燕群 5051.2 赤坭镇连塘村 骆元昌 3609 赤坭镇连塘村 骆东生 2884.4 赤坭镇连塘村 钟泳强 3882.4 赤坭镇连塘村 彭桂英 3609 赤坭镇连塘村 骆景强 1203 赤坭镇连塘村 骆炳新 2406 赤坭镇连塘村 甘炳权 2371.4 赤坭镇连塘村 骆永添 4087.4 赤坭镇连塘村 骆景良 4087.4 赤坭镇连塘村 梁少莲 3930.4 赤坭镇连塘村 赖少莹 1442.2 赤坭镇连塘村 卢润连 941.2 赤坭镇连塘村 骆伟寿 2884.4 赤坭镇连塘村 骆燕霞 605 赤坭镇连塘村 骆根华 2406 赤坭镇连塘村 骆镜全 2259.2 赤坭镇连塘村 朱文发 2789 赤坭镇瑞岭村 黄玉芳 1743.2 赤坭镇瑞岭村 宋丁凤 1130 赤坭镇竹洞村 魏志成 2975.2 赤坭镇竹洞村 邝敬敏 2668.4 赤坭镇竹洞村 黄海金 5457.8 赤坭镇竹洞村 邹善文 854 赤坭镇石坑村 宋一安 5877.2 赤坭镇赤坭村 谢美连 1203 赤坭镇赤坭村 邝顺娣 1181 赤坭镇田心村 麦肖声 3423.6 赤坭镇田心村 麦远彬 1618.6 赤坭镇田心村 蒋金容 2972.4 赤坭镇田心村 麦世声 7899.6 赤坭镇田心村 朱学清 4059.4 赤坭镇皇母村 黄伟良 2445.6 赤坭镇皇母村 黄伟权 1203 赤坭镇皇母村 9 2月 2月 2月 2月 2月 2月 2月 2月 2月 2月 2月 2月 2月 2月 2月 2月 2月 2月 2月 2月 2月 2月 2月 2月 2月 2月 2月 2月 2月 2月 2月 2月 2月 2月 2月 2月 2月 2月 2月 2月 2月 357 358 359 360 361 362 363 364 365 366 367 368 369 370 371 372 373 374 375 376 377 378 379 380 381 382 383 384 385 386 387 388 389 390 391 392 393 394 395 396 397 黄仕雄 1442.2 赤坭镇皇母村 黄月明 1223.2 赤坭镇皇母村 钟丽银 800.2 赤坭镇皇母村 张玉彩 6860.2 赤坭镇乌石村 宋世意 2375.4 赤坭镇乌石村 戴桂梅 1302 赤坭镇乌石村 李辉 7496.6 赤坭镇乌石村 汤连娣 635 赤坭镇乌石村 袁银崧 3609 赤坭镇剑岭村 宋鉴辉 4582.4 赤坭镇集益村 周带兴 1203 赤坭镇其他 邝锦章 1442.2 狮岭镇芙蓉社区 李耀常 2406 狮岭镇中心村 汤惠勤 1203 狮岭镇中心村 邓长顺 4778.4 狮岭镇西头村 毕桂娣 1203 狮岭镇西头村 冯东娇 2392 狮岭镇义山村 钟国强 3848.2 狮岭镇义山村 钟辉醒 3437 狮岭镇义山村 钟文智 2499.6 狮岭镇义山村 钟桂花 5051.2 狮岭镇义山村 毕衍冯 1203 狮岭镇军田村 吴月兰 1229.2 狮岭镇军田村 孔永辉 1203 狮岭镇前进村 罗新好 1198 狮岭镇前进村 谢华有 1442.2 狮岭镇前进村 谢美福 2884.4 狮岭镇前进村 王想花 811.2 狮岭镇前进村 罗伟强 1203 狮岭镇前进村 邱新良 2779.4 狮岭镇振兴村 黄天生 2406 狮岭镇振兴村 罗文彩 3848.2 狮岭镇振兴村 吴海辉 1442.2 狮岭镇益群村 李细妹 4087.4 狮岭镇益群村 邱就英 1203 狮岭镇新扬村 张亚翠 1203 狮岭镇新扬村 罗宏辉 2645.2 狮岭镇旗新村 钟新带 2645.2 狮岭镇旗新村 吴伙有 424.2 狮岭镇新民村 叶惠琼 1765 狮岭镇新民村 温源清 1962.2 狮岭镇新民村 10 2月 2月 2月 2月 2月 2月 2月 2月 2月 2月 2月 2月 2月 2月 2月 2月 2月 2月 2月 2月 2月 2月 2月 2月 2月 2月 2月 2月 2月 2月 2月 2月 2月 2月 2月 2月 2月 2月 2月 2月 2月 398 399 400 401 402 温洪英 1508 狮岭镇新民村 邱银有 1233.2 狮岭镇新庄村 邱记英 1203 狮岭镇新庄村 邱汉晃 1442.2 狮岭镇新庄村 邓丽文 1203 狮岭镇其他 2月 2月 2月 2月 2月 审批单位(盖章) 2023 年 3 月 6 日 注:未成年人信息不予公开。 11

2023年2月广州市花都区在册最低生活保障家庭救助公示单.pdf




