惠州卫生职业技术学院2019年第二期高职扩招(秋季班)录取人员名单.xls
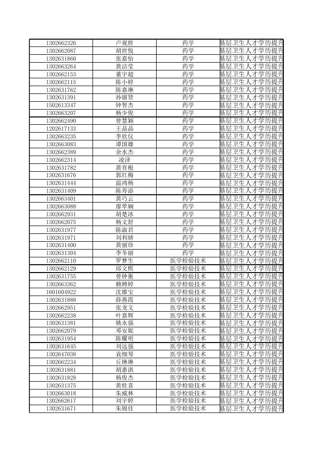
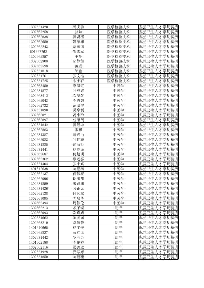
惠州卫生职业技术学院2019年第二期高职扩招(秋季班)录取人员名单 考生号 姓名 录取专业 1302631312 1302631866 1302662306 1302631788 1302631368 1302642751 1401610145 1302631863 1302662791 1302662404 1302631947 1401602381 1302662774 1302663441 1302662141 1302631326 1302662962 1302663175 1302662813 1302631917 1302631894 1302631422 1302631327 1302631481 1302663477 1302663468 1302663176 1302662259 1302662003 1302631898 1302631717 1302631553 1302631407 1302631383 1302631604 1401610140 1302663001 1302662809 1302662695 1302631477 1302642402 1302662411 1302662197 蓝媚 叶芊 陈丽娴 何少奇 曾灵玥 丘曼雅 钟渼婷 袁飞英 郭楠 钟巧凝 刘艺 陈宇函 刘婉燕 黄文文 杨丹 刘璐 彭小娜 李清 苏淑惠 林望月 张珍琪 叶雅婷 苏丹琳 李欢欢 陈柳青 叶海燕 古美娴 温嘉莹 邱晓玲 王海波 邓然 廖楚雯 严舒媚 徐嘉惠 蓝佳苑 邓小玉 袁晓丽 李娜 李洁芸 曾宇萍 曹妙玲 钟惠妮 刘芬 护理 护理 护理 护理 护理 护理 护理 护理 护理 护理 护理 护理 护理 护理 护理 护理 护理 护理 护理 护理 护理 护理 护理 护理 护理 护理 护理 护理 护理 护理 护理 护理 护理 护理 护理 护理 护理 护理 护理 护理 护理 护理 护理 招生类别 基层卫生人才学历提升 基层卫生人才学历提升 基层卫生人才学历提升 基层卫生人才学历提升 基层卫生人才学历提升 基层卫生人才学历提升 基层卫生人才学历提升 基层卫生人才学历提升 基层卫生人才学历提升 基层卫生人才学历提升 基层卫生人才学历提升 基层卫生人才学历提升 基层卫生人才学历提升 基层卫生人才学历提升 基层卫生人才学历提升 基层卫生人才学历提升 基层卫生人才学历提升 基层卫生人才学历提升 基层卫生人才学历提升 基层卫生人才学历提升 基层卫生人才学历提升 基层卫生人才学历提升 基层卫生人才学历提升 基层卫生人才学历提升 基层卫生人才学历提升 基层卫生人才学历提升 基层卫生人才学历提升 基层卫生人才学历提升 基层卫生人才学历提升 基层卫生人才学历提升 基层卫生人才学历提升 基层卫生人才学历提升 基层卫生人才学历提升 基层卫生人才学历提升 基层卫生人才学历提升 基层卫生人才学历提升 基层卫生人才学历提升 基层卫生人才学历提升 基层卫生人才学历提升 基层卫生人才学历提升 基层卫生人才学历提升 基层卫生人才学历提升 基层卫生人才学历提升 1302662065 1302631989 1302631905 1302631701 1302631695 1302631401 1302631338 1401611160 1302662167 1302631718 1302631642 1302631334 1302663251 1900666083 1302663595 1302663041 1302921401 1302631771 1302631765 1302631740 1302631703 1302631680 1401610605 1401611435 1401610199 1401602405 1302662458 1302662023 1302631911 1401611149 1302662971 1302662851 1302662780 1302662287 1302662114 1302662077 1302631865 1302631781 1302631650 1302631643 1302631450 1302631411 1302631403 1302631394 307620672 1401609851 1302662784 1302662449 马慧婷 卢嘉琪 张梦琪 何静怡 钟灿浈 钟沛滢 黄颖熙 陈润芳 陈思苑 张惠连 洪晓霞 罗芬 彭钰晴 陈虹儿 刘运传 古飘然 黄思彤 江丽芳 张俊平 张秀芹 杨玉 林晓华 罗苑 罗雯芳 陈秋意 曾家丹 张冬霞 赖欢欢 刘伟静 陈怡婷 柯桂芬 邹沛怡 邱嘉玲 钟妙如 曾秋怡 李清会 邹玉萍 陈家慧 何佳怡 温品君 罗佳惠 刘煜玲 林琪雯 叶巧程 何文汇 陈丽 刘文娜 钟星娜 护理 护理 护理 护理 护理 护理 护理 护理 护理 护理 护理 护理 护理 护理 护理 护理 护理 护理 护理 护理 护理 护理 护理 护理 护理 护理 护理 护理 护理 护理 护理 护理 护理 护理 护理 护理 护理 护理 护理 护理 护理 护理 护理 护理 护理 护理 护理 护理 基层卫生人才学历提升 基层卫生人才学历提升 基层卫生人才学历提升 基层卫生人才学历提升 基层卫生人才学历提升 基层卫生人才学历提升 基层卫生人才学历提升 基层卫生人才学历提升 基层卫生人才学历提升 基层卫生人才学历提升 基层卫生人才学历提升 基层卫生人才学历提升 基层卫生人才学历提升 基层卫生人才学历提升 基层卫生人才学历提升 基层卫生人才学历提升 基层卫生人才学历提升 基层卫生人才学历提升 基层卫生人才学历提升 基层卫生人才学历提升 基层卫生人才学历提升 基层卫生人才学历提升 基层卫生人才学历提升 基层卫生人才学历提升 基层卫生人才学历提升 基层卫生人才学历提升 基层卫生人才学历提升 基层卫生人才学历提升 基层卫生人才学历提升 基层卫生人才学历提升 基层卫生人才学历提升 基层卫生人才学历提升 基层卫生人才学历提升 基层卫生人才学历提升 基层卫生人才学历提升 基层卫生人才学历提升 基层卫生人才学历提升 基层卫生人才学历提升 基层卫生人才学历提升 基层卫生人才学历提升 基层卫生人才学历提升 基层卫生人才学历提升 基层卫生人才学历提升 基层卫生人才学历提升 基层卫生人才学历提升 基层卫生人才学历提升 基层卫生人才学历提升 基层卫生人才学历提升 1302631462 1601604534 1302663246 1302663243 1302662939 1302662819 1302662744 1302662655 1302662636 1302662379 1302662330 1302662283 1302662263 1302662018 1302631932 1302631908 1302631867 1302631844 1302631752 1302631666 1302631622 1302631352 1302663270 1302662779 1302663478 1302662889 1302663177 1302662228 1302663179 1401612161 1302631997 1302631929 1302663120 1302662325 1401611058 1302663459 1302662124 1302631805 1302631654 1302631648 1302631925 1302662462 1302631306 1302662461 1601604638 1302662841 1601604655 1302662376 曾夏萍 刘智怡 胡玲翠 李惠 邓清柔 王伟婷 刘惠 朱俊良 王诗仪 李得妹 文燕婷 周霞 曹晓青 戴友萍 江盈盈 朱贵兰 刘彩容 王青青 刘霏儒 观志芬 曾紫璇 欧阳嘉玲 黄文睿 廖仿麒 赖华光 张健彬 蔡安琪 王志强 黄鸿磊 李俊懋 陈玉水 马汉雄 廖国森 张慧瑜 詹林玮 罗丽萍 卢新聪 林心心 杜蔚林 吴翠婷 郑淑君 王吕婷 黎晓兵 简崇辉 杨雅婷 杨美平 钟嘉颖 杨媚媚 护理 护理 护理 护理 护理 护理 护理 护理 护理 护理 护理 护理 护理 护理 护理 护理 护理 护理 护理 护理 护理 护理 康复治疗技术 康复治疗技术 康复治疗技术 康复治疗技术 康复治疗技术 康复治疗技术 康复治疗技术 康复治疗技术 康复治疗技术 康复治疗技术 康复治疗技术 康复治疗技术 康复治疗技术 康复治疗技术 康复治疗技术 康复治疗技术 康复治疗技术 康复治疗技术 口腔医学技术 眼视光技术 药学 药学 药学 药学 药学 药学 基层卫生人才学历提升 基层卫生人才学历提升 基层卫生人才学历提升 基层卫生人才学历提升 基层卫生人才学历提升 基层卫生人才学历提升 基层卫生人才学历提升 基层卫生人才学历提升 基层卫生人才学历提升 基层卫生人才学历提升 基层卫生人才学历提升 基层卫生人才学历提升 基层卫生人才学历提升 基层卫生人才学历提升 基层卫生人才学历提升 基层卫生人才学历提升 基层卫生人才学历提升 基层卫生人才学历提升 基层卫生人才学历提升 基层卫生人才学历提升 基层卫生人才学历提升 基层卫生人才学历提升 基层卫生人才学历提升 基层卫生人才学历提升 基层卫生人才学历提升 基层卫生人才学历提升 基层卫生人才学历提升 基层卫生人才学历提升 基层卫生人才学历提升 基层卫生人才学历提升 基层卫生人才学历提升 基层卫生人才学历提升 基层卫生人才学历提升 基层卫生人才学历提升 基层卫生人才学历提升 基层卫生人才学历提升 基层卫生人才学历提升 基层卫生人才学历提升 基层卫生人才学历提升 基层卫生人才学历提升 基层卫生人才学历提升 基层卫生人才学历提升 基层卫生人才学历提升 基层卫生人才学历提升 基层卫生人才学历提升 基层卫生人才学历提升 基层卫生人才学历提升 基层卫生人才学历提升 1302662326 1302662087 1302631860 1302663264 1302662153 1302662115 1302631762 1302631391 1502613347 1302663207 1302662490 1202617133 1302663235 1302663083 1302662389 1302662314 1302631782 1302631676 1302631444 1302631409 1302663401 1302663088 1302662931 1302662075 1302631977 1302631971 1302631400 1302631304 1302662110 1302662129 1302631755 1302663362 1601604922 1302631888 1302662951 1302662238 1302631381 1302662079 1302631954 1302631645 1302647038 1302662234 1302631881 1302631828 1302631375 1302663018 1302662617 1302631671 卢观胜 胡世悦 张嘉怡 黄洁莹 董宇超 陈小婷 陈嘉琳 孙丽贤 钟智杰 杨少俊 曾慧颖 王晶晶 李欣仪 谭国雄 余水杰 凌泽 黄育根 郭红梅 温鸿杨 陈寿添 黄巧云 廖翠娴 胡楚冰 杨文舒 陈淑君 刘利娇 黄丽珍 李冬丽 罗梦生 邱文熙 曾钟衡 赖娉婷 沈雄宝 薛燕霞 张龙文 叶嘉辉 姚永强 邓安妮 陈耀明 刘远强 袁细琴 丘琳琳 胡惠淇 杨俊杰 黄桂喜 朱威林 刘宇婷 朱锦佳 药学 药学 药学 药学 药学 药学 药学 药学 药学 药学 药学 药学 药学 药学 药学 药学 药学 药学 药学 药学 药学 药学 药学 药学 药学 药学 药学 药学 医学检验技术 医学检验技术 医学检验技术 医学检验技术 医学检验技术 医学检验技术 医学检验技术 医学检验技术 医学检验技术 医学检验技术 医学检验技术 医学检验技术 医学检验技术 医学检验技术 医学检验技术 医学检验技术 医学检验技术 医学检验技术 医学检验技术 医学检验技术 基层卫生人才学历提升 基层卫生人才学历提升 基层卫生人才学历提升 基层卫生人才学历提升 基层卫生人才学历提升 基层卫生人才学历提升 基层卫生人才学历提升 基层卫生人才学历提升 基层卫生人才学历提升 基层卫生人才学历提升 基层卫生人才学历提升 基层卫生人才学历提升 基层卫生人才学历提升 基层卫生人才学历提升 基层卫生人才学历提升 基层卫生人才学历提升 基层卫生人才学历提升 基层卫生人才学历提升 基层卫生人才学历提升 基层卫生人才学历提升 基层卫生人才学历提升 基层卫生人才学历提升 基层卫生人才学历提升 基层卫生人才学历提升 基层卫生人才学历提升 基层卫生人才学历提升 基层卫生人才学历提升 基层卫生人才学历提升 基层卫生人才学历提升 基层卫生人才学历提升 基层卫生人才学历提升 基层卫生人才学历提升 基层卫生人才学历提升 基层卫生人才学历提升 基层卫生人才学历提升 基层卫生人才学历提升 基层卫生人才学历提升 基层卫生人才学历提升 基层卫生人才学历提升 基层卫生人才学历提升 基层卫生人才学历提升 基层卫生人才学历提升 基层卫生人才学历提升 基层卫生人才学历提升 基层卫生人才学历提升 基层卫生人才学历提升 基层卫生人才学历提升 基层卫生人才学历提升 1302631420 1302663258 1302662838 1302662650 1302662243 501627762 1302662857 1302662908 1302662598 1302631818 1302631761 1302631725 1302663450 1302631877 1302663412 1302662043 1302662732 1302631890 1302662021 1302662897 1302631842 1302662883 1302631387 1302662083 1302631885 1302631441 1302662687 1302662362 1302631404 1401612638 1302662137 1302662096 1302631859 1302631436 1302662138 1302663095 1302662494 1302662213 1302662093 1302631662 1302663210 1401610665 1302662827 1302631442 1401602188 1302662116 1302631928 1302631850 韩庆勇 骆坤 黄贤裕 温源彬 刘铸鸿 邹雪军 王昊 邹静如 黄威 邹鑫 张文浩 朱宇轩 李彩虹 叶燕妮 邓慧琴 李秀强 范昭宇 吴卓利 冯小玲 曾昭阁 黄碧坤 张彬 黄锦山 叶桂花 简海炎 杨玲苑 何超明 廖远喜 张宇斌 刘德福 何伟权 谢玉州 朱贤彬 刁正元 何远权 邓启华 周伟伦 赖子蝶 邓嘉嫦 陈美园 卓依静 杨宇平 黄红菲 罗兰英 李艳婷 梁曾欣 龚慧婷 刘珊珊 医学检验技术 医学检验技术 医学检验技术 医学检验技术 医学检验技术 医学检验技术 医学检验技术 医学检验技术 医学检验技术 医学检验技术 医学检验技术 医学检验技术 中药学 中药学 中药学 中药学 中医学 中医学 中医学 中医学 中医学 中医学 中医学 中医学 中医学 中医学 中医学 中医学 中医学 中医学 中医学 中医学 中医学 中医学 中医学 中医学 中医学 助产 助产 助产 助产 助产 助产 助产 助产 助产 助产 助产 基层卫生人才学历提升 基层卫生人才学历提升 基层卫生人才学历提升 基层卫生人才学历提升 基层卫生人才学历提升 基层卫生人才学历提升 基层卫生人才学历提升 基层卫生人才学历提升 基层卫生人才学历提升 基层卫生人才学历提升 基层卫生人才学历提升 基层卫生人才学历提升 基层卫生人才学历提升 基层卫生人才学历提升 基层卫生人才学历提升 基层卫生人才学历提升 基层卫生人才学历提升 基层卫生人才学历提升 基层卫生人才学历提升 基层卫生人才学历提升 基层卫生人才学历提升 基层卫生人才学历提升 基层卫生人才学历提升 基层卫生人才学历提升 基层卫生人才学历提升 基层卫生人才学历提升 基层卫生人才学历提升 基层卫生人才学历提升 基层卫生人才学历提升 基层卫生人才学历提升 基层卫生人才学历提升 基层卫生人才学历提升 基层卫生人才学历提升 基层卫生人才学历提升 基层卫生人才学历提升 基层卫生人才学历提升 基层卫生人才学历提升 基层卫生人才学历提升 基层卫生人才学历提升 基层卫生人才学历提升 基层卫生人才学历提升 基层卫生人才学历提升 基层卫生人才学历提升 基层卫生人才学历提升 基层卫生人才学历提升 基层卫生人才学历提升 基层卫生人才学历提升 基层卫生人才学历提升 1302631914 1302662835 1302631906 1302631803 1302631274 1302662559 1302662558 1401609866 1302662215 1302631379 1302663464 1302631390 1401610279 1401610081 1302663430 1302662222 1302662125 1302631988 1302631909 1302631880 1302631688 1302631412 1302631157 1302631100 1302631154 1302631152 1302631068 1302631141 1302631069 1302631142 1302631164 1302631070 1302631203 1302631126 1302631108 1302631130 1302631162 1302631119 1302631140 1302631182 1302631167 1302631179 1302631137 1302631138 1302631184 1302631212 1302631226 1302631235 赖燕婷 张琳琳 邓琪琪 罗锦珊 周琳珊 罗晓婷 陈美兰 赖鸿媛 郑晓芙 黄学柔 邓莹莹 李晓晴 彭佳仪 李清乐 黄美玲 黄忆娜 蔡舟媛 李丽姗 曾琳琳 黄慧娟 黄慧欢 江凤丹 邱婉怡 唐秋香 黄雨露 钟采容 罗远珍 沈静妮 古雪 卢晓美 卢晓绮 黄冰婷 李丹萍 吴梅婷 彭华国 钟堃 张淑雯 袁文燕 董永强 陈昌成 周利平 梁世昌 王俊阳 陈俊龙 黄桂娣 包兴乾 岑晓玲 刘嘉慧 助产 助产 助产 助产 助产 助产 助产 助产 助产 助产 助产 助产 助产 助产 助产 助产 助产 助产 助产 助产 助产 助产 护理 护理 护理 护理 护理 护理 护理 护理 护理 护理 康复治疗技术 康复治疗技术 康复治疗技术 康复治疗技术 康复治疗技术 康复治疗技术 康复治疗技术 口腔医学技术 口腔医学技术 口腔医学技术 眼视光技术 眼视光技术 眼视光技术 眼视光技术 眼视光技术 眼视光技术 基层卫生人才学历提升 基层卫生人才学历提升 基层卫生人才学历提升 基层卫生人才学历提升 基层卫生人才学历提升 基层卫生人才学历提升 基层卫生人才学历提升 基层卫生人才学历提升 基层卫生人才学历提升 基层卫生人才学历提升 基层卫生人才学历提升 基层卫生人才学历提升 基层卫生人才学历提升 基层卫生人才学历提升 基层卫生人才学历提升 基层卫生人才学历提升 基层卫生人才学历提升 基层卫生人才学历提升 基层卫生人才学历提升 基层卫生人才学历提升 基层卫生人才学历提升 基层卫生人才学历提升 现代学徒制 现代学徒制 现代学徒制 现代学徒制 现代学徒制 现代学徒制 现代学徒制 现代学徒制 现代学徒制 现代学徒制 现代学徒制 现代学徒制 现代学徒制 现代学徒制 现代学徒制 现代学徒制 现代学徒制 现代学徒制 现代学徒制 现代学徒制 现代学徒制 现代学徒制 现代学徒制 现代学徒制 现代学徒制 现代学徒制 1302631228 1302631134 1302631160 1302631135 1302631136 1302631293 吴运平 邹彩玉 张梓婷 李翠翠 徐文婷 温海珊 眼视光技术 眼视光技术 眼视光技术 眼视光技术 眼视光技术 药学 现代学徒制 现代学徒制 现代学徒制 现代学徒制 现代学徒制 现代学徒制

惠州卫生职业技术学院2019年第二期高职扩招(秋季班)录取人员名单.xls




