衡阳市2022年债券存续期公开.pdf
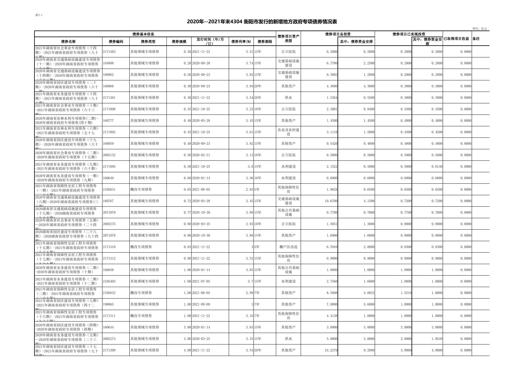
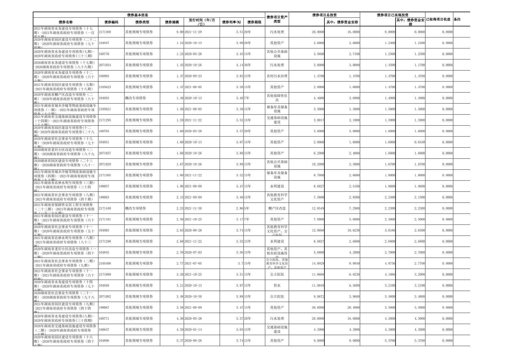
表3-1 2020年--2021年末4304 衡阳市发行的新增地方政府一般债券情况表 单位:亿元 债券基本信息 债券项目总投资 债券项目已实现投资 债券名称 债券编码 债券类型 债券规模 发行时间(年/月/ 日) 债券利率(%) 债券期限 2020年湖南省政府一般债券(三期) 2005268 一般债券 5.47 2020-03-25 2.93 10年 33.29 17.95 10.71 5.44 2020湖南省政府一般债券(六期) 2005812 一般债券 5.91 2020-08-18 3.08 5年 63.42 17.50 8.83 5.91 2021年湖南省政府一般债券(五期) 2105187 一般债券 0.75 2021-05-24 3 3年 5.27 2.51 1.38 0.75 2021年湖南省政府一般债券(七期) 173678 一般债券 12.00 2021-06-03 3 3年 67.48 37.06 13.86 11.77 2021年湖南省政府一般债券(十一期) 2171085 一般债券 6.25 2021-10-25 2.94 3年 19.18 7.87 6.41 6.10 注:本表由使用债券资金的部门不迟于每年6月底前公开,反映截至上年末一般债券及项目信息。 其中:债券资金安 排 其中:债券资金安 排 备注 表3-1 2020年--2021年末4304 衡阳市发行的新增地方政府专项债券情况表 单位:亿元 债券基本信息 债券名称 2021年湖南省社会事业专项债券(十四 期)-2021年湖南省政府专项债券(八十 八期) 2020年湖南省交通基础设施建设专项债券 (十一期)-2020年湖南省政府专项债券 (五十期) 2020年湖南省交通基础设施建设专项债券 (十四期)-2020年湖南省政府专项债券 (六十三期) 2020年湖南省园区建设专项债劵(二十 期)-2020年湖南省政府专项债劵(六十 一期) 2021年湖南省水务建设专项债券(十四 期)-2021年湖南省政府专项债券(八十 六期) 2021年湖南省社会事业专项债券(十期) -2021年湖南省政府专项债券(六十三 期) 2020年湖南省农林水利专项债券(二期)2020年湖南省政府专项债券(四十期) 债券编码 2171303 债券类型 其他领域专项债券 债券规模 发行时间(年/月 /日) 0.20 2021-11-22 债券利率(%) 债券期限 债券项目资产 类型 债券项目总投资 其中:债券资金安排 债券项目已实现投资 其中:债券资金安 已取得项目收益 备注 排 3.51 15年 公立医院 0.2000 0.2000 0.2000 0.2000 0.0000 6.7700 2.2500 0.2800 0.2800 0.0000 104898 其他领域专项债券 0.28 2020-08-28 3.74 15年 交通基础设施 建设 160962 其他领域专项债券 0.28 2020-09-23 3.82 15年 交通基础设施 建设 9.3802 1.2800 0.2800 0.2800 0.0000 160960 其他领域专项债券 0.30 2020-09-23 3.94 20年 其他资产 4.3000 4.3000 0.3000 0.3000 0.0000 2171301 其他领域专项债券 0.30 2021-11-22 3.54 20年 供水 1.5364 0.5500 0.3000 0.3000 0.0000 2171098 其他领域专项债券 0.35 2021-10-25 3.25 10年 公立医院 2.3001 0.9400 0.3500 0.3500 0.0000 160777 其他领域专项债券 0.40 2020-05-28 3.45 15年 其他资产 1.4500 1.4500 0.4000 0.4000 0.0000 其他领域专项债券 0.45 2021-10-25 3.61 15年 农业及农村建 设 3.1110 1.5000 0.4500 0.4500 0.0000 其他领域专项债券 0.48 2020-09-23 3.82 15年 其他资产 0.5420 0.4800 0.4800 0.4800 0.0000 2021年湖南省农林水利专项债券(六期) 2171092 -2021年湖南省政府专项债券(五十七 期) 2020年湖南省园区建设专项债券(十九 期)-2020年湖南省政府专项债券(六十 160959 期) 2020年湖南省社会事业专项债券(二期) 2005132 -2020年湖南省政府专项债券(十五期) 其他领域专项债券 0.50 2020-02-21 3.13 10年 公立医院 0.5000 0.5000 0.5000 0.5000 0.0000 2021年湖南省水务建设专项债券(九期) 2171095 -2021年湖南省政府专项债券(六十期) 其他领域专项债券 0.50 2021-10-25 3.6 15年 水利建设 2.1522 0.5000 0.5000 0.0140 0.0000 2020年湖南省水务建设专项债券(一期) 160649 -2020年湖南省政府专项债券(九期) 其他领域专项债券 0.60 2020-01-14 3.36 10年 水利建设 0.6000 0.6000 0.6000 0.6000 0.0000 1.0828 0.6500 0.6500 0.6500 0.0000 2021年湖南省保障性安居工程专项债券 (一期)-2021年湖南省政府专项债券 (二十六期) 2020年湖南省交通基础设施建设专项债券 (八期)-2020年湖南省政府专项债券(三 十期) 2020湖南省交通基础设施建设专项债券 (十九期)-2020湖南省政府专项债券 (九十五期) 2020年湖南省社会事业专项债券(五期) —2020年湖南省政府专项债券(二十四 期) 2020湖南省园区建设专项债券(二十八 期)-2020湖南省政府专项债券(九十四 期) 2021年湖南省保障性安居工程专项债券 (十五期)-2021年湖南省政府专项债券 (九十五期) 2021年湖南省保障性安居工程专项债券 (十七期)-2021年湖南省政府专项债券 (九十七期) 2020年湖南省水务建设专项债券(二期) -2020年湖南省政府专项债券(十期) 2105631 棚改专项债券 0.65 2021-08-05 2.83 5年 其他保障性住 房 160767 其他领域专项债券 0.72 2020-05-28 3.45 15年 交通基础设施 建设 10.6700 4.1500 0.7200 0.7200 0.0000 2071079 其他领域专项债券 0.77 2020-10-30 3.88 15年 其他公共基础 设施 0.7700 0.7000 0.7700 0.7000 0.0000 2005275 其他领域专项债券 0.80 2020-03-25 2.93 10年 公立医院 1.5051 1.3000 0.8000 0.8000 0.0000 2071078 其他领域专项债券 0.80 2020-10-30 3.88 15年 其他资产 1.6000 1.6000 0.8000 0.8000 0.0000 2171310 棚改专项债券 0.83 2021-11-22 3 5年 棚户区改造 6.5949 2.0000 0.8300 0.8300 0.0000 2171312 其他领域专项债券 0.90 2021-11-22 3.52 15年 其他保障性住 房 0.9000 0.9000 0.9000 0.9000 0.0000 1.0000 1.0000 1.0000 1.0000 0.0000 160650 其他领域专项债券 1.00 2020-01-14 3.65 15年 其他公共基础 设施 2021年湖南省水务建设专项债券(二期) 2105403 -2021年湖南省政府专项债券(十二期) 其他领域专项债券 1.00 2021-07-05 3.7 15年 水利建设 2.7560 1.6000 1.0000 1.0000 0.0000 2105632 棚改专项债券 1.00 2021-08-05 2.99 7年 其他资产 8.5898 4.0823 1.5510 1.0000 0.0000 198065 其他领域专项债券 1.00 2021-09-09 3 7年 其他资产 7.0000 5.6000 1.0000 1.0000 0.0000 2171311 棚改专项债券 1.00 2021-11-22 3.16 7年 其他保障性住 房 4.4138 1.0000 1.0000 1.0000 0.0000 160644 其他领域专项债券 3.00 2020-01-14 3.65 15年 其他资产 3.0000 3.0000 3.0000 3.0000 0.0000 其他领域专项债券 3.00 2020-03-25 3.33 15年 供水 5.0000 3.0000 3.0000 1.9549 0.0000 其他领域专项债券 4.00 2021-11-22 3.54 20年 其他资产 24.2270 9.2800 4.0000 4.0000 0.0000 2021年湖南省保障性安居工程专项债券 (二期)-2021年湖南省政府专项债券 (二十七期) 2021年湖南省园区建设专项债券(七期) -2021年湖南省政府专项债券(四十二 期) 2021年湖南省保障性安居工程专项债券 (十六期)-2021年湖南省政府专项债券 (九十六期) 2020年湖南省园区建设专项债券(四期) -2020年湖南省政府专项债券(四期) 2020年湖南省水务建设专项债券(五期) 2005274 —2020年湖南省政府专项债券(二十三 期) 2021年湖南省园区建设专项债券(十七 期)-2021年湖南省政府专项债券(九十 2171309 四期) 债券基本信息 债券名称 债券编码 2021年湖南省水务建设专项债券(十七 期)-2021年湖南省政府专项债券(一百 2171368 零五期) 2020年湖南省园区建设专项债券(二十二 期)-2020年湖南省政府专项债券(七十 104947 四期) 2020年湖南省水务建设专项债券(七期)160770 2020年湖南省政府专项债券(三十三期) 2020湖南省水务建设专项债券(十七期) 2071034 -2020湖南省政府专项债券(八十六期) 2020年湖南省水务建设专项债券(十二 期)-2020年湖南省政府专项债券(六十 160965 六期) 2021年湖南省园区建设专项债券(五期) 2105623 -2021年湖南省政府专项债券(十八期) 2020年湖南省棚户区改造专项债券(二 期)-2020年湖南省政府专项债券(八十 期) 2021年湖南省城乡冷链等物流基础设施专 项债券(一期)-2021年湖南省政府专项 债券(十六期) 2021年湖南省交通基础设施建设专项债券 (十四期)-2021年湖南省政府专项债券 (八十期) 2020年湖南省园区建设专项债券(十二 期)-2020年湖南省政府专项债券(二十八 期) 2020年湖南省社会事业专项债券(十八 期)-2020年湖南省政府专项债券(七十 八期) 2020湖南省老旧小区改造专项债券(二 期)-2020湖南省政府专项债券(八十九 期) 2020湖南省园区建设专项债券(二十三 期)-2020湖南省政府专项债券(八十一 期) 2021年湖南省城乡冷链等物流基础设施专 项债券(四期)-2021年湖南省政府专项 债券(九十期) 2021年湖南省农林水利专项债券(三期) -2021年湖南省政府专项债券(三十四 期) 2021年湖南省社会事业专项债券(八期) -2021年湖南省政府专项债券(四十期) 2021年湖南省保障性安居工程专项债券 (二十三期)-2021年湖南省政府专项债 券(一百二十九期) 2021年湖南省园区建设专项债券(十一 期)-2021年湖南省政府专项债券(六十 六期) 2020年湖南省社会事业专项债券(十一 期)-2020年湖南省政府专项债券(五十 五期) 2021年湖南省农林水利专项债券(八期) -2021年湖南省政府专项债券(八十三 期) 2020年湖南省老旧小区改造专项债券(一 期)-2020年湖南省政府专项债券(四十 三期) 2021年湖南省社会事业专项债券(二期) -2021年湖南省政府专项债券(九期) 2021年湖南省社会事业专项债券(十一 期)-2021年湖南省政府专项债券(六十 四期) 2020年湖南省水务建设专项债券(十四 期)-2020年湖南省政府专项债券(七十 五期) 2020湖南省社会事业专项债券(二十一 期)-2020湖南省政府专项债券(九十八 期) 2021年湖南省园区建设专项债券(九期) -2021年湖南省政府专项债券(四十四 期) 2020年湖南省水务建设专项债券(八期)2020年湖南省政府专项债券(三十四期) 104953 债券类型 债券规模 发行时间(年/月 /日) 债券利率(%) 债券期限 其他领域专项债券 9.00 2021-11-29 3.51 20年 其他领域专项债券 1.24 2020-10-13 债券项目资产 类型 债券项目总投资 其中:债券资金安排 债券项目已实现投资 其中:债券资金安 已取得项目收益 备注 排 污水处理 20.0000 16.0000 9.0000 0.0000 0.0000 3.99 20年 其他资产 2.6000 2.6000 1.2400 1.2400 0.0000 3.5600 2.7100 1.2500 1.2500 0.0000 其他领域专项债券 1.25 2020-05-28 3.45 15年 其他公共基础 设施 其他领域专项债券 1.45 2020-10-26 4.14 30年 污水处理 3.0000 3.0000 1.4500 1.1700 0.0000 其他领域专项债券 1.47 2020-09-23 3.82 15年 农村污水治理 1.4700 1.4700 1.4700 1.4700 0.0000 其他领域专项债券 1.47 2021-08-05 3.38 15年 其他资产 2.0000 1.6000 1.4700 1.4700 0.0000 棚改专项债券 1.49 2020-10-13 3.49 7年 其他保障性住 房 4.4000 3.0900 1.4900 1.4900 0.0000 3.5000 1.5000 1.5000 1.5000 0.0000 2105621 其他领域专项债券 1.50 2021-08-05 3.38 15年 储备库及储备 设施 2171295 其他领域专项债券 1.59 2021-11-22 3.52 15年 交通基础设施 建设 3.0017 2.1800 1.5900 1.5900 0.0000 160765 其他领域专项债券 1.60 2020-05-28 3.57 20年 其他资产 5.8000 5.8000 1.6000 1.6000 0.0000 104951 其他领域专项债券 1.60 2020-10-13 3.87 15年 其他资产 2.0000 1.6000 1.6000 0.6430 0.0000 2071037 其他领域专项债券 1.60 2020-10-26 3.89 15年 其他资产 6.2990 2.4000 1.6000 1.6000 0.0000 2071029 其他领域专项债券 1.67 2020-10-26 3.89 15年 其他公共基础 设施 10.2000 2.5000 1.6700 1.6700 0.0000 2171305 其他领域专项债券 1.80 2021-11-22 3.52 15年 储备库及储备 设施 8.7800 2.6000 1.8000 1.8000 0.0000 198057 其他领域专项债券 1.96 2021-09-09 3.47 15年 水利建设 8.6827 2.5100 1.9600 1.9600 0.0000 198063 其他领域专项债券 2.15 2021-09-09 3.46 15年 其他教育科学 文化资产 7.5600 2.8500 2.2400 2.1500 0.0000 2171440 棚改专项债券 2.23 2021-11-30 2.86 5年 棚户区改造 12.8549 7.2900 2.2300 2.2300 0.0000 2171101 其他领域专项债券 2.50 2021-10-25 3.17 7年 其他资产 7.0000 5.6000 2.5000 2.5000 0.0000 其他教育科学 文化资产、公 立医院 12.9668 10.6230 3.6186 2.6300 0.0000 104903 其他领域专项债券 2.63 2020-08-28 3.74 15年 2171298 其他领域专项债券 2.68 2021-11-22 3.52 15年 水利建设 8.6827 2.6800 2.6800 2.6800 0.0000 3.56 15年 其他资产、其 他市政设施资 产 104843 其他领域专项债券 2.70 2020-07-03 5.6800 4.2000 2.7000 2.7000 0.0000 14.0929 9.0930 4.0736 2.7700 0.0000 2105400 其他领域专项债券 2.77 2021-07-05 3.7 15年 公立医院、其他 教育科学文化资 产、其他资产 2171099 其他领域专项债券 3.20 2021-10-25 3.51 15年 公立医院 11.8668 6.8230 4.1886 3.2000 0.0000 104948 其他领域专项债券 3.21 2020-10-13 3.87 15年 供水 11.9049 6.5600 3.2100 3.2100 0.0000 2071082 其他领域专项债券 3.48 2020-10-30 3.88 15年 公立医院 9.0672 3.9600 3.4800 3.4800 0.0000 198067 其他领域专项债券 3.58 2021-09-09 3.47 15年 其他资产 30.6000 20.4800 3.5800 3.5800 0.0000 160771 其他领域专项债券 4.30 2020-05-28 3.57 20年 污水处理 20.0000 16.0000 4.3000 4.3000 0.0000 4.3900 4.3900 4.3900 4.3900 0.0000 9.0000 9.0000 5.3700 5.3700 0.0000 2020年湖南省交通基础设施建设专项债券 160647 (二期)-2020年湖南省政府专项债券 (七期) 2020年湖南省园区建设专项债券(十六 期)-2020年湖南省政府专项债券(四十 104896 八期) 其他领域专项债券 4.39 2020-01-14 3.65 15年 交通基础设施 建设 其他领域专项债券 5.37 2020-08-28 3.74 15年 其他资产 债券基本信息 债券名称 债券编码 2021年湖南省园区建设专项债券(十六 期)-2021年湖南省政府专项债券(九十 2171308 三期) 2021年湖南省园区建设专项债券(二期) 2105396 -2021年湖南省政府专项债券(五期) 2020年湖南省社会事业专项债券(八期)2020年湖南省政府专项债券(三十七期) 160774 2021年湖南省园区建设专项债券(二十 期)-2021年湖南省政府专项债券(一百 2171376 一十三期) 2020年湖南省园区建设专项债券(十一 期)-2020年湖南省政府专项债券(二十七 160764 期) 2020年湖南省社会事业专项债券(三期) 2005133 -2020年湖南省政府专项债券(十六期) 2021年湖南省园区建设专项债券(十三 期)-2021年湖南省政府专项债券(六十 八期) 2171103 债券类型 债券规模 发行时间(年/月 /日) 债券利率(%) 债券期限 债券项目资产 类型 债券项目总投资 其中:债券资金安排 债券项目已实现投资 其中:债券资金安 已取得项目收益 备注 排 其他领域专项债券 5.64 2021-11-22 3.51 15年 其他资产 32.9536 14.7000 5.6400 5.6400 0.0000 其他领域专项债券 5.99 2021-07-05 3.7 15年 其他资产 37.3405 13.0000 5.9900 5.9900 0.0000 其他领域专项债券 6.97 2020-05-28 3.45 15年 公立医院 23.1751 16.1930 7.9586 6.9700 0.0000 其他领域专项债券 7.52 2021-11-29 3.47 15年 其他资产 18.0000 11.0000 7.5200 1.5200 0.0000 其他领域专项债券 11.17 2020-05-28 3.45 15年 其他公共基础 设施 42.8311 30.4800 11.6700 11.1700 0.0000 其他领域专项债券 11.99 2020-02-21 3.43 15年 其他教育科学 文化资产 12.3050 11.9900 12.3050 11.9900 0.0000 其他领域专项债券 13.30 2021-10-25 3.51 15年 其他资产 104.9453 52.6800 13.8000 13.3000 0.0000 注:本表由使用债券资金的部门不迟于每年6月底前公开,反映截至上年末专项债券及项目信息。 表3-2 2020年--2021年末4304 衡阳市发行的新增地方政府一般债券资金收支情况表 单位:亿元 序号 2020年--2021年末新增一般债券资金收入 债券名称 合计 金额 2020年--2021年末新增一般债券资金安排的支出 支出功能分类 30.38 金额 29.97 1 2020湖南省政府一般债券(六期) 5.91 201一般公共服务支出 1.19 2 2021年湖南省政府一般债券(七期) 12.00 204公共安全支出 0.68 3 2021年湖南省政府一般债券(五期) 0.75 205教育支出 3.28 4 2021年湖南省政府一般债券(十一期) 6.25 206科学技术支出 0.52 5 2020年湖南省政府一般债券(三期) 5.47 207文化旅游体育与传媒支出 0.06 208社会保障和就业支出 0.42 210卫生健康支出 0.12 211节能环保支出 2.14 212城乡社区支出 3.70 213农林水支出 4.86 214交通运输支出 10.44 221住房保障支出 0.06 222粮油物资储备支出 0.07 224灾害防治及应急管理支出 0.98 229其他支出 1.44 表3-2 2020年--2021年末4304 衡阳市发行的新增地方政府专项债券资金收支情况表 单位:亿元 2020年--2021年末新增专项债券资金收入 2020年--2021年末新增专项债券资金安排的支出 序号 债券名称 合计 金额 支出功能分类 163.57 金额 145.73 1 2020年湖南省社会事业专项债券(五期) —2020年湖南省政府专项债券(二十四期) 0.80 205教育支出 8.05 2 2020湖南省老旧小区改造专项债券(二期) -2020湖南省政府专项债券(八十九期) 1.60 207文化旅游体育与传媒支出 2.75 3 2020年湖南省社会事业专项债券(十八期) -2020年湖南省政府专项债券(七十八期) 1.60 208社会保障和就业支出 3.80 4 2021年湖南省水务建设专项债券(二期)2021年湖南省政府专项债券(十二期) 1.00 210卫生健康支出 10.03 3.58 211节能环保支出 1.02 0.83 212城乡社区支出 25.66 1.00 213农林水支出 8.43 0.90 214交通运输支出 3.39 7.52 216商业服务业等支出 1.17 11.99 221住房保障支出 5.76 4.30 229其他支出 75.67 5 6 7 8 9 10 11 12 13 14 15 16 17 18 19 20 21 22 23 2021年湖南省园区建设专项债券(九期)2021年湖南省政府专项债券(四十四期) 2021年湖南省保障性安居工程专项债券(十 五期)-2021年湖南省政府专项债券(九十 五期) 2021年湖南省保障性安居工程专项债券(十 六期)-2021年湖南省政府专项债券(九十 六期) 2021年湖南省保障性安居工程专项债券(十 七期)-2021年湖南省政府专项债券(九十 七期) 2021年湖南省园区建设专项债券(二十期) -2021年湖南省政府专项债券(一百一十三 期) 2020年湖南省社会事业专项债券(三期)2020年湖南省政府专项债券(十六期) 2020年湖南省水务建设专项债券(八期)2020年湖南省政府专项债券(三十四期) 2020年湖南省水务建设专项债券(七期)2020年湖南省政府专项债券(三十三期) 2020年湖南省交通基础设施建设专项债券 (八期)-2020年湖南省政府专项债券(三十 期) 2021年湖南省农林水利专项债券(六期)2021年湖南省政府专项债券(五十七期) 2021年湖南省园区建设专项债券(十六期) -2021年湖南省政府专项债券(九十三期) 2021年湖南省园区建设专项债券(七期)2021年湖南省政府专项债券(四十二期) 2021年湖南省保障性安居工程专项债券(二 期)-2021年湖南省政府专项债券(二十七 期) 2020年湖南省社会事业专项债券(二期)2020年湖南省政府专项债券(十五期) 2020年湖南省交通基础设施建设专项债券 (二期)-2020年湖南省政府专项债券(七 期) 2020年湖南省水务建设专项债券(十二期) -2020年湖南省政府专项债券(六十六期) 2020湖南省园区建设专项债券(二十三期) -2020湖南省政府专项债券(八十一期) 2021年湖南省水务建设专项债券(十七期) -2021年湖南省政府专项债券(一百零五 期) 2021年湖南省社会事业专项债券(十期)2021年湖南省政府专项债券(六十三期) 1.25 0.72 0.45 5.64 1.00 1.00 0.50 4.39 1.47 1.67 9.00 0.35 24 2021年湖南省水务建设专项债券(十四期) -2021年湖南省政府专项债券(八十六期) 0.30 25 2021年湖南省园区建设专项债券(十七期) -2021年湖南省政府专项债券(九十四期) 4.00 26 2020年湖南省水务建设专项债券(一期)2020年湖南省政府专项债券(九期) 0.60 27 28 29 30 31 32 33 34 2020年湖南省园区建设专项债券(十二期)2020年湖南省政府专项债券(二十八期) 2020年湖南省交通基础设施建设专项债券 (十一期)-2020年湖南省政府专项债券 (五十期) 2020湖南省交通基础设施建设专项债券(十 九期)-2020湖南省政府专项债券(九十五 期) 2020年湖南省园区建设专项债劵(二十期) -2020年湖南省政府专项债劵(六十一期) 2020年湖南省交通基础设施建设专项债券 (十四期)-2020年湖南省政府专项债券 (六十三期) 2020年湖南省棚户区改造专项债券(二期) -2020年湖南省政府专项债券(八十期) 2021年湖南省保障性安居工程专项债券(二 十三期)-2021年湖南省政府专项债券(一 百二十九期) 2021年湖南省农林水利专项债券(三期)2021年湖南省政府专项债券(三十四期) 1.60 0.28 0.77 0.30 0.28 1.49 2.23 1.96 2020年--2021年末新增专项债券资金收入 2020年--2021年末新增专项债券资金安排的支出 序号 债券名称 金额 35 2020年湖南省水务建设专项债券(二期)2020年湖南省政府专项债券(十期) 1.00 36 2020年湖南省园区建设专项债券(四期)2020年湖南省政府专项债券(四期) 3.00 37 2020年湖南省社会事业专项债券(八期)2020年湖南省政府专项债券(三十七期) 6.97 38 2020年湖南省社会事业专项债券(十一期) -2020年湖南省政府专项债券(五十五期) 2.63 39 2020年湖南省水务建设专项债券(十四期) -2020年湖南省政府专项债券(七十五期) 3.21 40 2021年湖南省农林水利专项债券(八期)2021年湖南省政府专项债券(八十三期) 2.68 41 2021年湖南省园区建设专项债券(十一期) -2021年湖南省政府专项债券(六十六期) 2.50 42 2020年湖南省农林水利专项债券(二期)2020年湖南省政府专项债券(四十期) 0.40 43 44 45 46 47 48 49 2021年湖南省社会事业专项债券(二期)2021年湖南省政府专项债券(九期) 2020年湖南省园区建设专项债券(二十二 期)-2020年湖南省政府专项债券(七十四 期) 2020湖南省社会事业专项债券(二十一期) -2020湖南省政府专项债券(九十八期) 2021年湖南省社会事业专项债券(十四期) -2021年湖南省政府专项债券(八十八期) 2021年湖南省城乡冷链等物流基础设施专项 债券(四期)-2021年湖南省政府专项债券 (九十期) 2021年湖南省保障性安居工程专项债券(一 期)-2021年湖南省政府专项债券(二十六 期) 2020年湖南省水务建设专项债券(五期) —2020年湖南省政府专项债券(二十三期) 2.77 1.24 3.48 0.20 1.80 0.65 3.00 50 2021年湖南省园区建设专项债券(五期)2021年湖南省政府专项债券(十八期) 1.47 51 2020年湖南省园区建设专项债券(十九期) -2020年湖南省政府专项债券(六十期) 0.48 52 2020年湖南省园区建设专项债券(十六期) -2020年湖南省政府专项债券(四十八期) 5.37 53 2020湖南省水务建设专项债券(十七期)2020湖南省政府专项债券(八十六期) 1.45 54 2021年湖南省园区建设专项债券(二期)2021年湖南省政府专项债券(五期) 5.99 55 2021年湖南省社会事业专项债券(十一期) -2021年湖南省政府专项债券(六十四期) 3.20 56 2021年湖南省水务建设专项债券(九期)2021年湖南省政府专项债券(六十期) 0.50 57 58 59 60 61 62 63 2020年湖南省园区建设专项债券(十一期)2020年湖南省政府专项债券(二十七期) 2020年湖南省老旧小区改造专项债券(一 期)-2020年湖南省政府专项债券(四十三 期) 2021年湖南省城乡冷链等物流基础设施专项 债券(一期)-2021年湖南省政府专项债券 (十六期) 2020湖南省园区建设专项债券(二十八期) -2020湖南省政府专项债券(九十四期) 2021年湖南省园区建设专项债券(十三期) -2021年湖南省政府专项债券(六十八期) 2021年湖南省交通基础设施建设专项债券 (十四期)-2021年湖南省政府专项债券 (八十期) 2021年湖南省社会事业专项债券(八期)2021年湖南省政府专项债券(四十期) 11.17 2.70 1.50 0.80 13.30 1.59 2.15 支出功能分类 金额

衡阳市2022年债券存续期公开.pdf




