2021年度就困补贴第二批签公示名单542人.xlsx
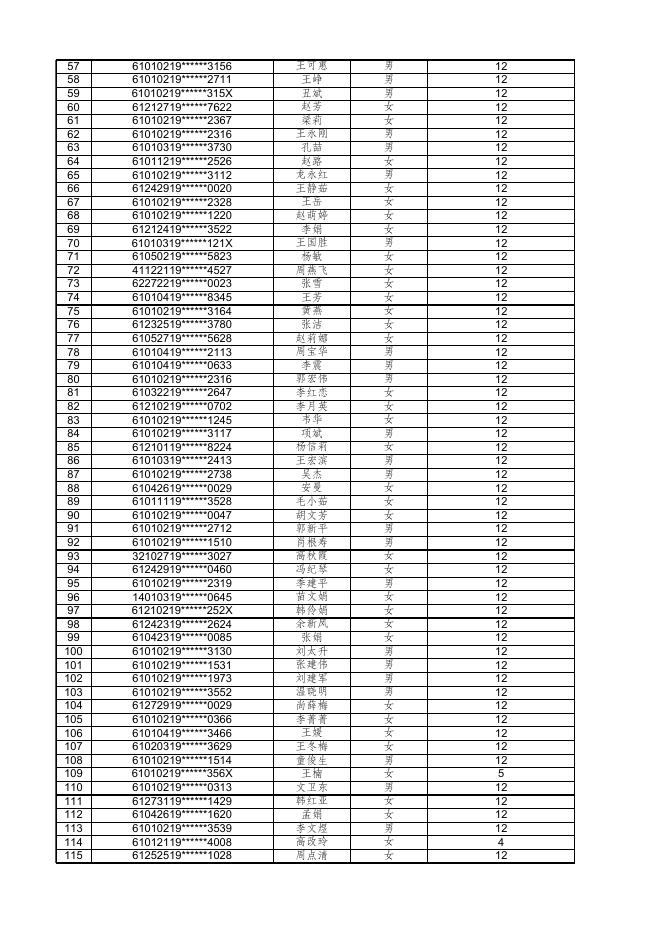
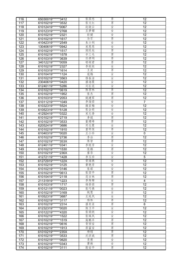
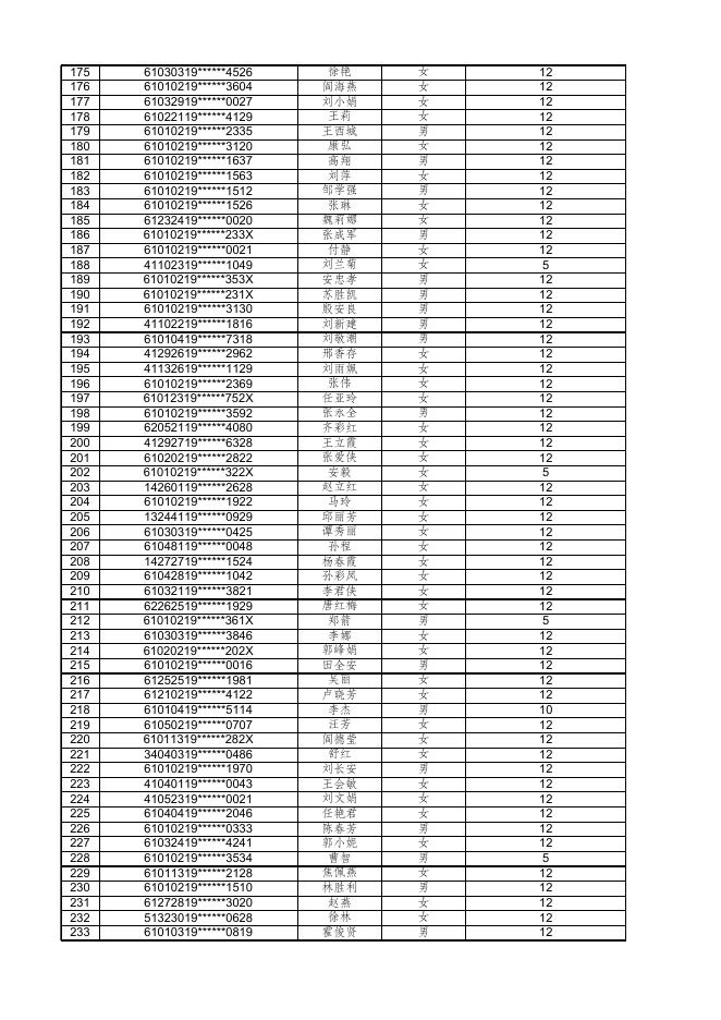
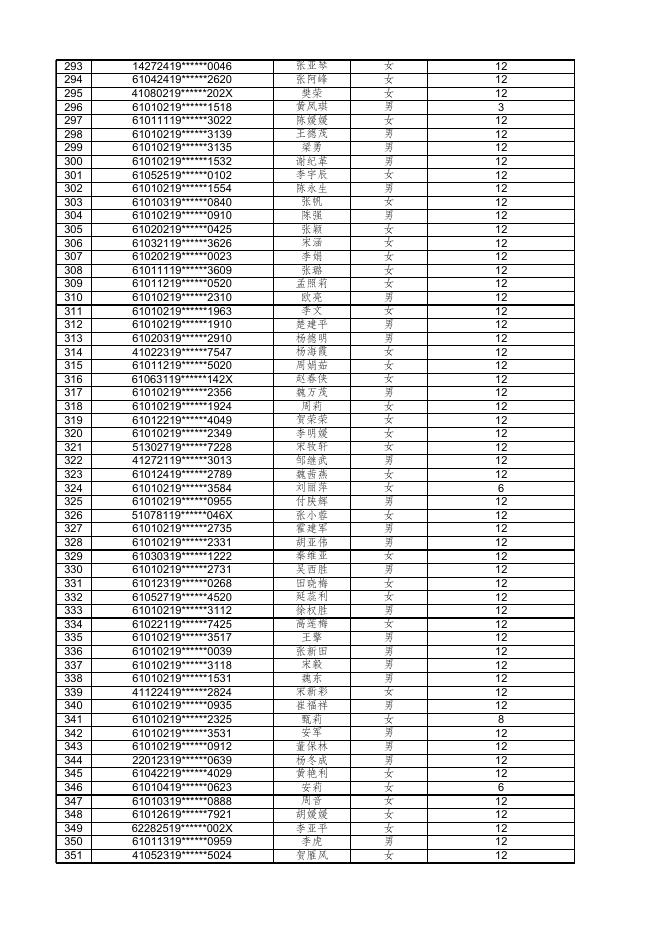
2021年度就业困难人员社保补贴第二批公 序号 身份证号 姓名 性别 养老补贴月数 1 2 3 4 5 6 7 8 9 10 11 12 13 14 15 16 17 18 19 20 21 22 23 24 25 26 27 28 29 30 31 32 33 34 35 36 37 38 39 40 41 42 43 44 45 46 47 48 49 50 51 52 53 54 55 56 61052619******6424 61010219******151X 14082119******0024 42098419******4426 61010219******1609 61010219******2368 61032419******3423 41102419******3421 41052619******7740 61010219******2801 61010219******3535 61010219******3116 61032419******1022 61030219******2053 61010219******3110 61010219******3179 61010319******2020 61020219******1223 41010219******2588 61010219******1510 61010319******2039 51122419******8001 41052119******1521 61010219******2314 61010219******151X 61010219******3519 61010219******1966 61048119******1023 61010219******3114 61011119******0043 41108219******3108 61272819******1222 61010219******0054 61010219******0621 61010219******3112 61010219******3129 61010219******1545 61010219******1532 61011119******3522 61011319******1628 61010219******1553 61252319******4327 41082519******1542 61010219******1583 51021319******1664 61010219******3153 61010419******2632 61242419******0428 61012519******5245 61010219******0019 61010219******1517 42032219******3040 61212719******7626 61010219******2323 61040419******5823 61010219******1938 田焕丽 王北京 吴三艾 王俊华 高岩 杨彦梅 安红梅 王巧歌 樊小菊 申璟荣 翟春山 赵煜 赵亚敏 郑亮 袁晓宁 高伟 王蕾 郝永梅 魏霞丽 王海 李海怡 揭小琴 杨晓利 张西祥 荆小伟 刘廷银 李静 刘阿妮 李耀 刘娜 王慧 张海燕 张为民 杨莎 何岩 李晓蓉 李辉 杨保民 唐静 钱小维 陈建义 陈娅萍 张会彩 边燕萍 黄芳华 杜生荣 张战军 王静 袁静宜 张波 陈建强 杨乾会 方萌 马俊英 齐艳 张长明 女 男 女 女 女 女 女 女 女 女 男 男 女 男 男 男 女 女 女 男 男 女 女 男 男 男 女 女 男 女 女 女 男 女 男 女 女 男 女 女 男 女 女 女 女 男 男 女 女 男 男 女 女 女 女 男 12 10 12 12 12 12 12 12 12 12 12 12 12 12 12 12 12 12 12 12 12 12 12 12 12 12 12 12 12 12 12 12 10 12 12 12 12 12 12 12 12 12 12 12 12 12 12 12 12 12 12 12 7 12 12 12 57 58 59 60 61 62 63 64 65 66 67 68 69 70 71 72 73 74 75 76 77 78 79 80 81 82 83 84 85 86 87 88 89 90 91 92 93 94 95 96 97 98 99 100 101 102 103 104 105 106 107 108 109 110 111 112 113 114 115 61010219******3156 61010219******2711 61010219******315X 61212719******7622 61010219******2367 61010219******2316 61010319******3730 61011219******2526 61010219******3112 61242919******0020 61010219******2328 61010219******1220 61212419******3522 61010319******121X 61050219******5823 41122119******4527 62272219******0023 61010419******8345 61010219******3164 61232519******3780 61052719******5628 61010419******2113 61010419******0633 61010219******2316 61032219******2647 61210219******0702 61010219******1245 61010219******3117 61210119******8224 61010319******2413 61010219******2738 61042619******0029 61011119******3528 61010219******0047 61010219******2712 61010219******1510 32102719******3027 61242919******0460 61010219******2319 14010319******0645 61210219******252X 61242319******2624 61042319******0085 61010219******3130 61010219******1531 61010219******1973 61010219******3552 61272919******0029 61010219******0366 61010419******3466 61020319******3629 61010219******1514 61010219******356X 61010219******0313 61273119******1429 61042619******1620 61010219******3539 61012119******4008 61252519******1028 王可惠 王峥 丑斌 赵芳 梁莉 王永刚 孔喆 赵路 龙永红 王静茹 王岳 赵萌婷 李娟 王国胜 杨敏 周燕飞 张雪 王芳 黄燕 张洁 赵莉娜 周宝华 李震 郭宏伟 李红恋 李月英 韦华 项斌 杨信莉 王宏滨 吴杰 安曼 毛小茹 胡文芳 郭新平 肖根寿 高秋霞 冯纪琴 季建平 苗文娟 韩伶娟 余新凤 张娟 刘太升 张建伟 刘建军 温晓明 尚薛梅 李菁菁 王媛 王冬梅 童俊生 王楠 文卫东 韩红亚 孟娟 李文煜 高改玲 周点清 男 男 男 女 女 男 男 女 男 女 女 女 女 男 女 女 女 女 女 女 女 男 男 男 女 女 女 男 女 男 男 女 女 女 男 男 女 女 男 女 女 女 女 男 男 男 男 女 女 女 女 男 女 男 女 女 男 女 女 12 12 12 12 12 12 12 12 12 12 12 12 12 12 12 12 12 12 12 12 12 12 12 12 12 12 12 12 12 12 12 12 12 12 12 12 12 12 12 12 12 12 12 12 12 12 12 12 12 12 12 12 5 12 12 12 12 4 12 116 117 118 119 120 121 122 123 124 125 126 127 128 129 130 131 132 133 134 135 136 137 138 139 140 141 142 143 144 145 146 147 148 149 150 151 152 153 154 155 156 157 158 159 160 161 162 163 164 165 166 167 168 169 170 171 172 173 174 65030019******3412 61010219******3532 61012419******0067 61012319******2768 61010219******2321 61010219******1617 41042319******2549 13040619******0942 61010219******1517 61010219******1578 61010319******3639 34012219******0059 61010219******2327 61010319******1614 61010419******1124 61010219******3563 23040619******0420 61240119******5286 61010219******0619 61010219******1952 61010319******2053 61011219******1049 61032319******5524 61052319******5128 41292419******0322 61010219******2719 61010219******3533 62052419******3686 61010219******1910 61040319******0020 61010219******2736 61010219******353X 61240119******0341 61010219******1530 61010219******236X 41272119******1428 61272919******122X 61010219******3125 61010219******3146 61010219******0613 61010419******2118 21131919******1223 61010319******1717 61012119******0023 61010219******3169 61052319******3687 61010219******3117 61010219******2314 61232319******0020 61012219******4320 61010219******1522 61010219******1519 61010219******0616 61010219******1913 61010219******235X 61010219******3533 61010219******0620 61010219******0343 61010219******3111 张国忠 张文红 赵晓云 王梦娜 彭媛 马石 朱小利 宋思思 阎庆旭 辛三毛 任孝琍 郇树君 李姣姣 王波 寇梅 穆春洁 潘海霞 刘长花 陈西林 张杰 姚建军 李海荣 雒亚梅 张会莉 宋元香 李超 董建峰 邓玉霞 童明俊 王小珍 李冰 陈智 李晓芳 张璐 廖华 李玉珍 常海燕 黄艳芳 张琪 张西平 范吉林 李秀辉 杨居荣 张巧燕 姚慧 王延凤 杨林 潘东亚 陈卫平 张娟妮 张妹凤 高鹏羊 贺西安 郭富安 杨钢 沈洪斌 肖博 黄琳 殷安平 男 男 女 女 女 男 女 女 男 男 男 男 女 男 女 女 女 女 男 男 男 女 女 女 女 男 男 女 男 女 男 男 女 男 女 女 女 女 女 男 男 女 男 女 女 女 男 男 女 女 女 男 男 男 男 男 女 女 男 12 12 12 12 12 12 12 12 12 12 12 12 12 12 12 12 12 12 12 12 12 7 12 12 12 12 12 12 12 0 12 12 12 12 12 5 12 12 12 12 12 4 12 12 12 12 12 6 12 12 12 12 12 12 12 12 12 12 12 175 176 177 178 179 180 181 182 183 184 185 186 187 188 189 190 191 192 193 194 195 196 197 198 199 200 201 202 203 204 205 206 207 208 209 210 211 212 213 214 215 216 217 218 219 220 221 222 223 224 225 226 227 228 229 230 231 232 233 61030319******4526 61010219******3604 61032919******0027 61022119******4129 61010219******2335 61010219******3120 61010219******1637 61010219******1563 61010219******1512 61010219******1526 61232419******0020 61010219******233X 61010219******0021 41102319******1049 61010219******353X 61010219******231X 61010219******3130 41102219******1816 61010419******7318 41292619******2962 41132619******1129 61010219******2369 61012319******752X 61010219******3592 62052119******4080 41292719******6328 61020219******2822 61010219******322X 14260119******2628 61010219******1922 13244119******0929 61030319******0425 61048119******0048 14272719******1524 61042819******1042 61032119******3821 62262519******1929 61010219******361X 61030319******3846 61020219******202X 61010219******0016 61252519******1981 61210219******4122 61010419******5114 61050219******0707 61011319******282X 34040319******0486 61010219******1970 41040119******0043 41052319******0021 61040419******2046 61010219******0333 61032419******4241 61010219******3534 61011319******2128 61010219******1510 61272819******3020 51323019******0628 61010319******0819 徐艳 阎海燕 刘小娟 王莉 王西城 康弘 高翔 刘萍 邹学强 张琳 魏莉娜 张成军 付静 刘兰菊 安忠孝 苏胜凯 殷安良 刘新建 刘敬潮 邢香存 刘雨姵 张伟 任亚玲 张永全 齐彩红 王立霞 张爱侠 安毅 赵立红 马玲 邱丽芳 谭秀丽 孙程 杨春霞 孙彩凤 李君侠 唐红梅 郑箭 李娜 郭峰娟 田全安 吴丽 卢晓芳 李杰 汪芳 阎德莹 舒红 刘长安 王会敏 刘文娟 任艳君 陈春芳 郭小妮 曹智 焦佩燕 林胜利 赵燕 徐林 霍俊贤 女 女 女 女 男 女 男 女 男 女 女 男 女 女 男 男 男 男 男 女 女 女 女 男 女 女 女 女 女 女 女 女 女 女 女 女 女 男 女 女 男 女 女 男 女 女 女 男 女 女 女 男 女 男 女 男 女 女 男 12 12 12 12 12 12 12 12 12 12 12 12 12 5 12 12 12 12 12 12 12 12 12 12 12 12 12 5 12 12 12 12 12 12 12 12 12 5 12 12 12 12 12 10 12 12 12 12 12 12 12 12 12 5 12 12 12 12 12 234 235 236 237 238 239 240 241 242 243 244 245 246 247 248 249 250 251 252 253 254 255 256 257 258 259 260 261 262 263 264 265 266 267 268 269 270 271 272 273 274 275 276 277 278 279 280 281 282 283 284 285 286 287 288 289 290 291 292 61010219******3132 61213319******1217 61010219******1538 61010319******0442 61010219******3163 61012319******3305 61010419******4420 62270119******0027 61010219******1916 61210319******1526 61010219******3176 61010219******3146 61010219******0622 61010219******3520 61010219******1969 61010219******2317 61212419******0965 61010219******1938 61010219******3119 14100219******0042 61250119******5885 61010219******1603 61010219******3514 62052319******0047 61010219******2316 61012119******3981 61048119******2620 61032719******4620 37292219******8722 61010219******1522 14012219******1427 61030319******2022 61232219******2025 61020219******2819 61011219******4029 61043119******4927 61010219******3153 61262819******1924 61010219******3585 61011119******3027 61011219******3045 61010219******2414 61232719******0323 41042319******3529 61010319******2083 61020219******0846 61010219******2888 61010319******0411 61230119******0927 61010219******1218 61010219******2313 61010219******0939 61010219******3516 61062219******1523 61011319******0039 61032619******1828 13050219******0144 61010219******1546 61032219******2926 贾焰峰 范军胜 陈波 董菁 方丽娅 郑娜 冯利君 陶小琴 牛波涛 林洁 张良 项莉 张芳 刘霞 刘素梅 苏应喜 王瑞梅 孙斌 康生华 冯晓丽 韦小英 刘敬 王保成 邓惠琴 姚军林 冯海燕 刘显爱 闫芳芳 袁爱红 李玲荣 吴淑珍 杨小兰 杨洋 李小健 王夏利 魏春娟 张军 高竹玲 苗世文 屈文静 李敬媛 强必刚 徐华 刘新强 范文静 程静静 宋丽娜 孔亮 张云峰 唐宝利 范庆国 李有庆 曹湘红 张宝 孙胜利 潘玮 郭立芹 钟红 郭巧宁 男 男 男 女 女 女 女 女 男 女 男 女 女 女 女 男 女 男 男 女 女 女 男 女 男 女 女 女 女 女 女 女 女 男 女 女 男 女 女 女 女 男 女 女 女 女 女 男 女 男 男 男 男 女 男 女 女 女 女 12 12 10 7 9 12 12 12 12 12 12 12 12 12 12 12 12 12 12 12 12 12 12 12 5 12 12 12 12 12 11 12 12 12 12 12 12 12 12 12 12 12 12 12 12 12 12 12 12 12 12 12 6 12 12 12 12 12 12 293 294 295 296 297 298 299 300 301 302 303 304 305 306 307 308 309 310 311 312 313 314 315 316 317 318 319 320 321 322 323 324 325 326 327 328 329 330 331 332 333 334 335 336 337 338 339 340 341 342 343 344 345 346 347 348 349 350 351 14272419******0046 61042419******2620 41080219******202X 61010219******1518 61011119******3022 61010219******3139 61010219******3135 61010219******1532 61052519******0102 61010219******1554 61010319******0840 61010219******0910 61020219******0425 61032119******3626 61020219******0023 61011119******3609 61011219******0520 61010219******2310 61010219******1963 61010219******1910 61020319******2910 41022319******7547 61011219******5020 61063119******142X 61010219******2356 61010219******1924 61012219******4049 61010219******2349 51302719******7228 41272119******3013 61012419******2789 61010219******3584 61010219******0955 51078119******046X 61010219******2735 61010219******2331 61030319******1222 61010219******2731 61012319******0268 61052719******4520 61010219******3112 61022119******7425 61010219******3517 61010219******0039 61010219******3118 61010219******1531 41122419******2824 61010219******0935 61010219******2325 61010219******3531 61010219******0912 22012319******0639 61042219******4029 61010419******0623 61010319******0888 61012619******7921 62282519******002X 61011319******0959 41052319******5024 张亚琴 张阿峰 樊荣 黄凤琪 陈媛媛 王德茂 梁勇 谢纪革 李宇辰 陈永生 张帆 陈强 张颖 宋涵 李娟 张璐 孟照莉 欧亮 李文 楚建平 杨德明 杨海霞 周娟茹 赵春侠 魏万茂 周莉 贺荣荣 李明媛 宋牧轩 邹继武 魏茜燕 刘丽萍 付陕辉 张小蓉 霍建军 胡亚伟 秦维亚 吴西胜 田晓梅 延蕊利 徐权胜 高莲梅 王擎 张新田 宋毅 魏东 宋新彩 崔福祥 甄莉 安军 董保林 杨冬成 黄艳利 安莉 周音 胡媛媛 李亚平 李虎 贺雁风 女 女 女 男 女 男 男 男 女 男 女 男 女 女 女 女 女 男 女 男 男 女 女 女 男 女 女 女 女 男 女 女 男 女 男 男 女 男 女 女 男 女 男 男 男 男 女 男 女 男 男 男 女 女 女 女 女 男 女 12 12 12 3 12 12 12 12 12 12 12 12 12 12 12 12 12 12 12 12 12 12 12 12 12 12 12 12 12 12 12 6 12 12 12 12 12 12 12 12 12 12 12 12 12 12 12 12 8 12 12 12 12 6 12 12 12 12 12 352 353 354 355 356 357 358 359 360 361 362 363 364 365 366 367 368 369 370 371 372 373 374 375 376 377 378 379 380 381 382 383 384 385 386 387 388 389 390 391 392 393 394 395 396 397 398 399 400 401 402 403 404 405 406 407 408 409 410 61010219******1511 61011319******0920 61043119******0023 61052419******2823 61252219******5628 61052219******2028 61030219******5128 62282719******0320 61252619******1813 61272419******1327 61010219******1933 64210119******0544 61010219******0612 61010219******3536 61010219******2350 61010319******2442 61010219******1958 61010219******151X 61010219******2717 61212719******166X 61010219******0014 61242219******004X 61011219******4022 61040419******2534 61011319******093X 37290119******6123 61010219******1976 14260319******2042 14240219******0326 61010219******2777 61010219******3667 61212819******2846 61272919******574X 61042919******2960 61058219******0043 41032819******0548 61210119******6224 61010219******1917 35012419******1089 61012219******1727 61010219******3533 61010219******2731 61010319******3642 61010219******3137 61010319******2814 61212919******4022 61010219******1516 61010319******3644 61032219******0744 61042419******6864 61010219******0626 61242319******0041 61242419******042X 61010219******231X 61010219******1233 34220119******0641 61010219******1932 61042519******2225 61010219******151X 崔晓宫 郑晋平 淡张玲 王苏红 詹秀芹 秦宏利 范红霞 范晓玲 卢荣根 崔晓廖 侯瑞军 李文秀 王顺达 卫战洮 孙波 刘敏 李宗喜 王继平 陈昭文 刘萍 白博文 王花平 杜彩娥 穆晓赞 段西林 张东花 林三民 王建华 侯迎华 赵向阳 徐静 牛亚玲 张婕 穆小利 王知宁 赵建宁 左小娟 李茂群 翁金峰 王英 薛毅 丛培东 梁姗姗 孟凡钰 张炬 朱花萍 王小健 王沛 张改侠 李秋歌 张保萍 侯君 晋静 方国栋 马文杰 李丽君 寇卫国 王凯妮 孙根旺 男 女 女 女 女 女 女 女 男 女 男 女 男 男 男 女 男 男 男 女 男 女 女 男 男 女 男 女 女 男 女 女 女 女 女 女 女 男 女 女 男 男 女 男 男 女 男 女 女 女 女 女 女 男 男 女 男 女 男 12 12 12 12 12 12 11 12 12 12 12 12 12 12 12 12 12 12 12 12 12 12 12 12 12 12 12 12 12 12 6 12 12 12 12 12 12 12 12 12 4 12 12 12 12 12 12 12 12 12 12 12 12 12 12 12 12 12 12 411 412 413 414 415 416 417 418 419 420 421 422 423 424 425 426 427 428 429 430 431 432 433 434 435 436 437 438 439 440 441 442 443 444 445 446 447 448 449 450 451 452 453 454 455 456 457 458 459 460 461 462 463 464 465 466 467 468 469 61042419******202X 61020319******2942 61010219******3158 61010219******3516 62010219******4343 61252419******3069 61272919******0024 14270219******1523 61010219******1915 62050219******4326 61010219******2310 61010219******0335 61010319******3641 61042419******6860 61010219******1932 61010219******0638 61043019******6925 61010219******151X 61011119******3035 61010219******1531 62302419******0021 61010219******3761 61010219******3510 61010219******3141 61273119******1427 61250119******0226 61010219******3137 61042719******2229 61010219******3166 61010419******3458 61273119******1724 61011319******092X 61058119******0022 41071119******1029 61252519******1964 61230119******0227 61010319******0011 61010219******3572 61010319******1645 61262119******0021 61010219******0024 61272719******5727 61010219******2715 61012219******2521 61010219******1935 61010219******1244 61010219******0311 61010219******1555 61010319******3635 61010219******192X 51080219******0719 61010219******3136 61063219******0067 61010219******1515 61010219******1937 41112219******8084 42242319******2447 61010319******2043 61010219******1514 陈涛 王最芳 徐征 柏涛 达蓉 周文华 翟艳平 刘莉莉 赵军凯 李彩花 应辉 许树通 朱寒梅 齐春彦 胡世强 李同正 王艳 魏超 许春亭 吕捷 谢小娟 杨辉 倪有明 昝蕾 王海艳 陈冲 田海龙 魏元侠 李洁 秦西京 王瑞 董映妮 田莉 王莲 吴华 许睿 常勇 王立新 夏福荣 杜马琳 郑小锐 刘艳梅 柴陆顺 詹向妮 谷德明 谢琨 周小刚 张建斌 刘健 范媛媛 刘彬 王曦 曹艳 赵辉 牛群成 王颖 尹桂红 单彬彬 金九斤 女 女 男 男 女 女 女 女 男 女 男 男 女 女 男 男 女 男 男 男 女 女 男 女 女 女 男 女 女 男 女 女 女 女 女 女 男 男 女 女 女 女 男 女 男 女 男 男 男 女 男 男 女 男 男 女 女 女 男 12 12 12 12 12 12 12 10 12 12 12 12 9 12 12 12 12 12 12 12 12 12 10 12 12 12 12 12 12 12 12 12 12 12 12 12 12 12 12 12 12 12 8 12 12 12 11 12 12 12 12 12 12 12 12 12 12 12 12 470 471 472 473 474 475 476 477 478 479 480 481 482 483 484 485 486 487 488 489 490 491 492 493 494 495 496 497 498 499 500 501 502 503 504 505 506 507 508 509 510 511 512 513 514 515 516 517 518 519 520 521 522 523 524 525 526 527 528 61010219******0373 61010219******1511 61250119******602X 61240119******1488 61010219******3534 61252619******2627 61010219******1517 61010219******3137 14031119******0649 61263019******1048 61010219******3111 61010219******3510 61011219******0512 61042919******172X 61020219******2821 61010219******1217 62290119******0516 61010219******1535 61010219******1219 61052319******8464 61011119******4067 51112119******4829 34122319******2149 61011219******4028 61010219******3533 61010219******123X 61010219******2319 13050319******040X 61012319******0584 61030319******2104 61010319******3240 61011319******0936 61010219******3133 61052419******1224 61010219******3133 61011119******0011 61010219******3580 41270219******6583 61010319******3641 61010219******1517 61010319******1634 61010219******3567 61010219******3134 61012119******0020 61010219******3148 61010219******0959 61010219******0035 61010219******3137 61010219******001X 41082619******5020 61010219******0947 61010219******3517 61010219******0911 41018119******6546 61010219******3151 61010219******3563 37292219******9028 61010219******2719 61010219******1544 张立新 陈西江 张朋利 李友云 丁建军 朱承娥 童瑞麟 魏江 王彦辉 刘旭兰 王宝华 赵建忠 陈果原 王菊云 李引凤 李金义 牛卫 彭安成 孙胜利 郭艳丽 李荣 黄英 徐晓芬 袁亚俊 王颜孺 王建军 赵军 刘惠双 沙智华 邢小兵 李艳莉 王宏伟 李明哲 吕晓明 卫斌 程永卫 李凌 孟素花 闫宝英 王战备 李英智 贾琳 王彦波 李桂先 冯文央 刘瑾瑜 王军 王钢 周建国 孙海燕 杨惠 史永胜 何风雷 张聪丽 宋永涛 吴雅琼 李影 任予忠 赵鑫 男 男 女 女 男 女 男 男 女 女 男 男 男 女 女 男 男 男 男 女 女 女 女 女 男 男 男 女 女 女 女 男 男 女 男 男 女 女 女 男 男 女 男 女 女 男 男 男 男 女 女 男 男 女 男 女 女 男 女 12 12 12 12 12 12 12 8 12 12 12 12 12 12 12 12 12 12 12 12 12 12 12 12 12 12 12 12 12 12 12 12 12 12 12 12 12 12 12 12 12 12 12 12 8 12 12 12 12 12 12 12 12 12 12 12 12 12 12 529 530 531 532 533 534 535 536 537 538 539 540 541 542 61010219******3111 61213319******3627 61010219******1539 61010219******0319 61010219******0914 61242919******6088 61010219******1912 62272319******3815 61010219******3557 61020219******0067 61010219******3115 61010219******3557 61010219******2318 61010219******0024 王都仓 刘丹 王来学 王永步 马少雷 田元丽 唐健 姚五奎 陈红捷 张舵 张保疆 陈红捷 侯伟安 郑小锐 男 女 男 男 男 女 男 男 男 女 男 男 男 女 12 12 12 12 12 12 12 12 12 12 12 12 12 12 人员社保补贴第二批公示名单(542人) 医疗补贴月数 养老补贴金额 医疗补贴金额 合计补贴金额 11 0 0 0 0 12 0 0 12 0 0 12 12 0 2 7 12 0 12 0 0 0 0 12 0 0 0 0 12 0 0 0 0 0 0 0 0 0 0 0 0 0 0 0 12 0 12 0 0 0 0 0 0 0 0 0 3600 3000 3600 3600 3600 3600 3600 3600 3600 3600 3600 3600 3600 3600 3600 3600 3600 3600 3600 3600 3600 3600 3600 3600 3600 3600 3600 3600 3600 3600 3600 3600 3000 3600 3600 3600 3600 3600 3600 3600 3600 3600 3600 3600 3600 3600 3600 3600 3600 3600 3600 3600 2100 3600 3600 3600 2200 0 0 0 0 2400 0 0 2400 0 0 2400 2400 0 400 1400 2400 0 2400 0 0 0 0 2400 0 0 0 0 2400 0 0 0 0 0 0 0 0 0 0 0 0 0 0 0 2400 0 2400 0 0 0 0 0 0 0 0 0 5800 3000 3600 3600 3600 6000 3600 3600 6000 3600 3600 6000 6000 3600 4000 5000 6000 3600 6000 3600 3600 3600 3600 6000 3600 3600 3600 3600 6000 3600 3600 3600 3000 3600 3600 3600 3600 3600 3600 3600 3600 3600 3600 3600 6000 3600 6000 3600 3600 3600 3600 3600 2100 3600 3600 3600 0 12 0 0 12 0 12 0 12 0 12 12 0 0 0 0 0 0 12 12 7 12 12 12 0 0 0 2 12 0 0 12 0 0 9 0 0 0 0 12 12 12 0 0 0 12 7 0 0 0 0 0 0 0 0 0 12 0 0 3600 3600 3600 3600 3600 3600 3600 3600 3600 3600 3600 3600 3600 3600 3600 3600 3600 3600 3600 3600 3600 3600 3600 3600 3600 3600 3600 3600 3600 3600 3600 3600 3600 3600 3600 3600 3600 3600 3600 3600 3600 3600 3600 3600 3600 3600 3600 3600 3600 3600 3600 3600 1500 3600 3600 3600 3600 1200 3600 0 2400 0 0 2400 0 2400 0 2400 0 2400 2400 0 0 0 0 0 0 2400 2400 1400 2400 2400 2400 0 0 0 400 2400 0 0 2400 0 0 1800 0 0 0 0 2400 2400 2400 0 0 0 2400 1400 0 0 0 0 0 0 0 0 0 2400 0 0 3600 6000 3600 3600 6000 3600 6000 3600 6000 3600 6000 6000 3600 3600 3600 3600 3600 3600 6000 6000 5000 6000 6000 6000 3600 3600 3600 4000 6000 3600 3600 6000 3600 3600 5400 3600 3600 3600 3600 6000 6000 6000 3600 3600 3600 6000 5000 3600 3600 3600 3600 3600 1500 3600 3600 3600 6000 1200 3600 0 12 12 0 0 12 0 0 0 0 12 0 12 0 12 0 0 0 0 0 12 7 0 0 0 0 0 0 0 12 12 12 0 0 0 0 0 0 0 12 0 0 0 0 12 0 12 0 0 0 12 0 0 0 0 12 9 12 0 3600 3600 3600 3600 3600 3600 3600 3600 3600 3600 3600 3600 3600 3600 3600 3600 3600 3600 3600 3600 3600 2100 3600 3600 3600 3600 3600 3600 3600 0 3600 3600 3600 3600 3600 1500 3600 3600 3600 3600 3600 1200 3600 3600 3600 3600 3600 1800 3600 3600 3600 3600 3600 3600 3600 3600 3600 3600 3600 0 2400 2400 0 0 2400 0 0 0 0 2400 0 2400 0 2400 0 0 0 0 0 2400 1400 0 0 0 0 0 0 0 2400 2400 2400 0 0 0 0 0 0 0 2400 0 0 0 0 2400 0 2400 0 0 0 2400 0 0 0 0 2400 1800 2400 0 3600 6000 6000 3600 3600 6000 3600 3600 3600 3600 6000 3600 6000 3600 6000 3600 3600 3600 3600 3600 6000 3500 3600 3600 3600 3600 3600 3600 3600 2400 6000 6000 3600 3600 3600 1500 3600 3600 3600 6000 3600 1200 3600 3600 6000 3600 6000 1800 3600 3600 6000 3600 3600 3600 3600 6000 5400 6000 3600 12 0 12 12 12 0 0 12 0 0 0 0 0 0 0 12 0 12 0 0 0 0 0 0 0 0 0 5 0 0 0 0 12 0 12 0 12 0 0 0 0 0 12 0 0 0 12 0 12 0 0 11 0 5 0 0 0 0 0 3600 3600 3600 3600 3600 3600 3600 3600 3600 3600 3600 3600 3600 1500 3600 3600 3600 3600 3600 3600 3600 3600 3600 3600 3600 3600 3600 1500 3600 3600 3600 3600 3600 3600 3600 3600 3600 1500 3600 3600 3600 3600 3600 3000 3600 3600 3600 3600 3600 3600 3600 3600 3600 1500 3600 3600 3600 3600 3600 2400 0 2400 2400 2400 0 0 2400 0 0 0 0 0 0 0 2400 0 2400 0 0 0 0 0 0 0 0 0 1000 0 0 0 0 2400 0 2400 0 2400 0 0 0 0 0 2400 0 0 0 2400 0 2400 0 0 2200 0 1000 0 0 0 0 0 6000 3600 6000 6000 6000 3600 3600 6000 3600 3600 3600 3600 3600 1500 3600 6000 3600 6000 3600 3600 3600 3600 3600 3600 3600 3600 3600 2500 3600 3600 3600 3600 6000 3600 6000 3600 6000 1500 3600 3600 3600 3600 6000 3000 3600 3600 6000 3600 6000 3600 3600 5800 3600 2500 3600 3600 3600 3600 3600 0 0 0 0 9 0 12 0 0 12 0 0 0 0 4 12 0 0 0 0 0 12 12 0 0 3 0 12 0 0 10 0 0 0 12 0 0 0 0 0 12 12 0 0 0 0 0 0 0 0 0 0 0 0 0 0 0 0 0 3600 3600 3000 2100 2700 3600 3600 3600 3600 3600 3600 3600 3600 3600 3600 3600 3600 3600 3600 3600 3600 3600 3600 3600 1500 3600 3600 3600 3600 3600 3300 3600 3600 3600 3600 3600 3600 3600 3600 3600 3600 3600 3600 3600 3600 3600 3600 3600 3600 3600 3600 3600 1800 3600 3600 3600 3600 3600 3600 0 0 0 0 1800 0 2400 0 0 2400 0 0 0 0 800 2400 0 0 0 0 0 2400 2400 0 0 600 0 2400 0 0 2000 0 0 0 2400 0 0 0 0 0 2400 2400 0 0 0 0 0 0 0 0 0 0 0 0 0 0 0 0 0 3600 3600 3000 2100 4500 3600 6000 3600 3600 6000 3600 3600 3600 3600 4400 6000 3600 3600 3600 3600 3600 6000 6000 3600 1500 4200 3600 6000 3600 3600 5300 3600 3600 3600 6000 3600 3600 3600 3600 3600 6000 6000 3600 3600 3600 3600 3600 3600 3600 3600 3600 3600 1800 3600 3600 3600 3600 3600 3600 0 0 2 0 12 0 12 0 12 0 12 0 0 0 0 0 0 0 0 0 0 0 0 0 12 0 0 12 0 0 12 6 0 0 12 0 0 0 0 0 12 0 0 0 12 0 12 0 8 12 0 0 0 12 0 12 0 0 0 3600 3600 3600 900 3600 3600 3600 3600 3600 3600 3600 3600 3600 3600 3600 3600 3600 3600 3600 3600 3600 3600 3600 3600 3600 3600 3600 3600 3600 3600 3600 1800 3600 3600 3600 3600 3600 3600 3600 3600 3600 3600 3600 3600 3600 3600 3600 3600 2400 3600 3600 3600 3600 1800 3600 3600 3600 3600 3600 0 0 400 0 2400 0 2400 0 2400 0 2400 0 0 0 0 0 0 0 0 0 0 0 0 0 2400 0 0 2400 0 0 2400 1200 0 0 2400 0 0 0 0 0 2400 0 0 0 2400 0 2400 0 1600 2400 0 0 0 2400 0 2400 0 0 0 3600 3600 4000 900 6000 3600 6000 3600 6000 3600 6000 3600 3600 3600 3600 3600 3600 3600 3600 3600 3600 3600 3600 3600 6000 3600 3600 6000 3600 3600 6000 3000 3600 3600 6000 3600 3600 3600 3600 3600 6000 3600 3600 3600 6000 3600 6000 3600 4000 6000 3600 3600 3600 4200 3600 6000 3600 3600 3600 0 12 0 0 0 12 0 0 0 0 0 0 0 12 9 0 0 0 0 0 12 0 0 0 0 0 0 0 0 12 0 0 0 0 0 0 0 0 0 0 0 0 0 0 0 0 0 0 0 0 0 0 0 8 0 0 0 0 0 3600 3600 3600 3600 3600 3600 3300 3600 3600 3600 3600 3600 3600 3600 3600 3600 3600 3600 3600 3600 3600 3600 3600 3600 3600 3600 3600 3600 3600 3600 1800 3600 3600 3600 3600 3600 3600 3600 3600 3600 1200 3600 3600 3600 3600 3600 3600 3600 3600 3600 3600 3600 3600 3600 3600 3600 3600 3600 3600 0 2400 0 0 0 2400 0 0 0 0 0 0 0 2400 1800 0 0 0 0 0 2400 0 0 0 0 0 0 0 0 2400 0 0 0 0 0 0 0 0 0 0 0 0 0 0 0 0 0 0 0 0 0 0 0 1600 0 0 0 0 0 3600 6000 3600 3600 3600 6000 3300 3600 3600 3600 3600 3600 3600 6000 5400 3600 3600 3600 3600 3600 6000 3600 3600 3600 3600 3600 3600 3600 3600 6000 1800 3600 3600 3600 3600 3600 3600 3600 3600 3600 1200 3600 3600 3600 3600 3600 3600 3600 3600 3600 3600 3600 3600 5200 3600 3600 3600 3600 3600 0 0 12 0 0 0 12 0 0 0 0 0 0 0 12 0 0 12 0 0 0 0 0 0 0 0 0 0 0 0 0 0 0 0 0 0 0 0 12 12 12 0 0 0 12 12 0 0 0 12 0 0 0 0 10 0 0 12 0 3600 3600 3600 3600 3600 3600 3600 3000 3600 3600 3600 3600 2700 3600 3600 3600 3600 3600 3600 3600 3600 3600 3000 3600 3600 3600 3600 3600 3600 3600 3600 3600 3600 3600 3600 3600 3600 3600 3600 3600 3600 3600 2400 3600 3600 3600 3300 3600 3600 3600 3600 3600 3600 3600 3600 3600 3600 3600 3600 0 0 2400 0 0 0 2400 0 0 0 0 0 0 0 2400 0 0 2400 0 0 0 0 0 0 0 0 0 0 0 0 0 0 0 0 0 0 0 0 2400 2400 2400 0 0 0 2400 2400 0 0 0 2400 0 0 0 0 2000 0 0 2400 0 3600 3600 6000 3600 3600 3600 6000 3000 3600 3600 3600 3600 2700 3600 6000 3600 3600 6000 3600 3600 3600 3600 3000 3600 3600 3600 3600 3600 3600 3600 3600 3600 3600 3600 3600 3600 3600 3600 6000 6000 6000 3600 2400 3600 6000 6000 3300 3600 3600 6000 3600 3600 3600 3600 5600 3600 3600 6000 3600 0 12 0 0 0 0 0 0 0 0 0 12 12 0 0 0 0 0 0 0 12 0 0 0 12 12 0 0 0 0 0 0 0 0 12 12 0 0 12 0 0 0 12 0 0 0 0 0 12 0 0 0 12 0 0 12 0 0 0 3600 3600 3600 3600 3600 3600 3600 2400 3600 3600 3600 3600 3600 3600 3600 3600 3600 3600 3600 3600 3600 3600 3600 3600 3600 3600 3600 3600 3600 3600 3600 3600 3600 3600 3600 3600 3600 3600 3600 3600 3600 3600 3600 3600 2400 3600 3600 3600 3600 3600 3600 3600 3600 3600 3600 3600 3600 3600 3600 0 2400 0 0 0 0 0 0 0 0 0 2400 2400 0 0 0 0 0 0 0 2400 0 0 0 2400 2400 0 0 0 0 0 0 0 0 2400 2400 0 0 2400 0 0 0 2400 0 0 0 0 0 2400 0 0 0 2400 0 0 2400 0 0 0 3600 6000 3600 3600 3600 3600 3600 2400 3600 3600 3600 6000 6000 3600 3600 3600 3600 3600 3600 3600 6000 3600 3600 3600 6000 6000 3600 3600 3600 3600 3600 3600 3600 3600 6000 6000 3600 3600 6000 3600 3600 3600 6000 3600 2400 3600 3600 3600 6000 3600 3600 3600 6000 3600 3600 6000 3600 3600 3600 0 12 0 0 0 0 0 12 0 0 0 0 0 12 3600 3600 3600 3600 3600 3600 3600 3600 3600 3600 3600 3600 3600 3600 0 2400 0 0 0 0 0 2400 0 0 0 0 0 2400 3600 6000 3600 3600 3600 3600 3600 6000 3600 3600 3600 3600 3600 6000

2021年度就困补贴第二批签公示名单542人.xlsx




