附件1:三亚市天涯区机关事业单位2022年公开招聘机关事业单位雇员及村(社区)工作人员储备库“定向村(社区)网格员”岗位面试成绩表.xlsx
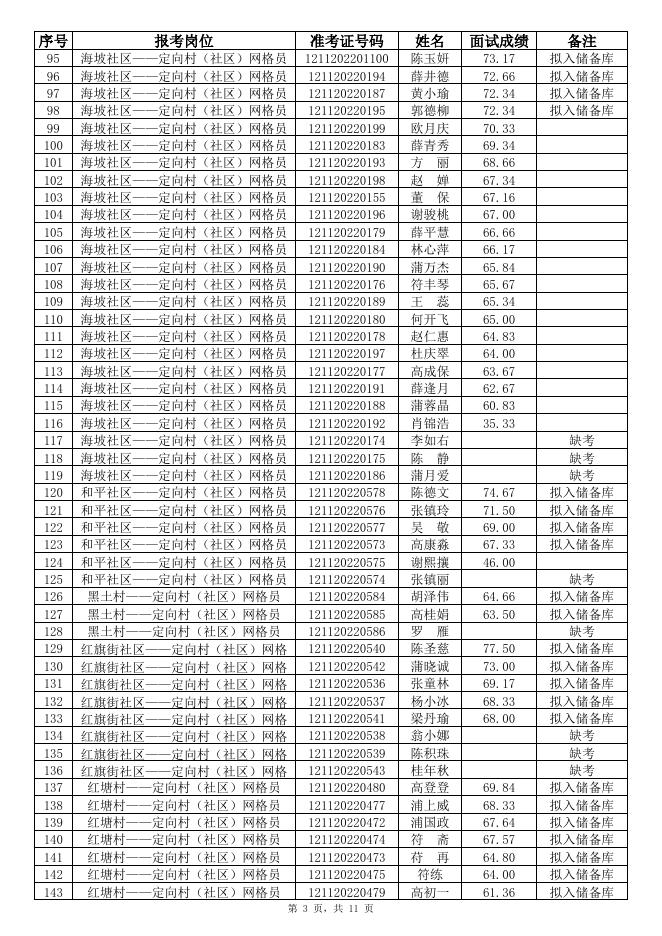
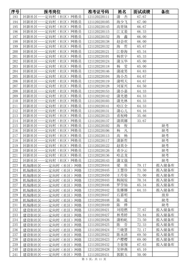
三亚市天涯区机关事业单位2022年公开招聘机关事业单位雇员及村(社区) 工作人员储备库“定向村(社区)网格员”岗位面试成绩表 序号 报考岗位 准考证号码 姓名 面试成绩 备注 1 2 3 4 5 6 7 8 9 10 11 12 13 14 15 16 17 18 19 20 21 22 23 24 25 26 27 28 29 30 31 32 33 34 35 36 37 38 39 40 41 42 43 44 45 抱龙村——定向村(社区)网格员 抱前村——定向村(社区)网格员 抱前村——定向村(社区)网格员 槟榔村——定向村(社区)网格员 槟榔村——定向村(社区)网格员 槟榔村——定向村(社区)网格员 槟榔村——定向村(社区)网格员 槟榔村——定向村(社区)网格员 槟榔村——定向村(社区)网格员 槟榔村——定向村(社区)网格员 槟榔村——定向村(社区)网格员 槟榔村——定向村(社区)网格员 槟榔村——定向村(社区)网格员 槟榔村——定向村(社区)网格员 槟榔村——定向村(社区)网格员 槟榔村——定向村(社区)网格员 槟榔村——定向村(社区)网格员 槟榔村——定向村(社区)网格员 槟榔村——定向村(社区)网格员 槟榔村——定向村(社区)网格员 槟榔村——定向村(社区)网格员 槟榔村——定向村(社区)网格员 槟榔村——定向村(社区)网格员 槟榔村——定向村(社区)网格员 槟榔村——定向村(社区)网格员 槟榔村——定向村(社区)网格员 槟榔村——定向村(社区)网格员 布甫村——定向村(社区)网格员 布甫村——定向村(社区)网格员 布甫村——定向村(社区)网格员 布甫村——定向村(社区)网格员 布甫村——定向村(社区)网格员 布甫村——定向村(社区)网格员 布甫村——定向村(社区)网格员 布甫村——定向村(社区)网格员 布甫村——定向村(社区)网格员 布甫村——定向村(社区)网格员 场站社区——定向村(社区)网格员 场站社区——定向村(社区)网格员 朝阳社区——定向村(社区)网格员 朝阳社区——定向村(社区)网格员 朝阳社区——定向村(社区)网格员 朝阳社区——定向村(社区)网格员 朝阳社区——定向村(社区)网格员 朝阳社区——定向村(社区)网格员 121120220599 121120220591 121120220590 121120220259 121120220268 121120220267 121120220263 121120220247 121120220258 121120220257 121120220256 121120220264 121120220261 121120220260 121120220248 121120220249 121120220246 121120220255 121120220254 121120220265 121120220251 121120220253 121120220262 121120220252 121120220245 121120220250 121120220266 121120220292 121120220293 121120220299 121120220294 121120220298 121120220297 121120220295 1211202202100 121120220291 121120220296 121120220592 121120220593 121120220240 121120220239 121120220235 121120220241 121120220234 121120220237 黄纪英 麦小东 符朝楠 罗夏慧 李晶晶 周欣玮 李凤春 付上云 蒲国娟 杨才壮 兰亚凤 李 培 邱贞丽 符 玫 姚 英 蒲艺瑶 周慧琪 蒲剑英 苏 瑶 罗少娟 李 特 李 英 黎 智 符晶晶 高煌杏 陈 月 李千枝 董林玉 高 洁 董 莹 胡雅雅 胡师从 胡春霞 胡嫦露 胡航阔 胡星星 苏 唐 陈德壮 陈丽娜 潘淑晶 陈文雅 李 源 王婷婷 彭 程 张 超 65.66 72.67 66.50 79.67 76.67 74.50 73.67 73.33 71.17 71.00 71.00 70.67 69.83 69.50 68.33 68.33 68.00 66.66 66.00 65.67 65.17 64.33 64.33 63.00 拟入储备库 拟入储备库 拟入储备库 拟入储备库 拟入储备库 拟入储备库 拟入储备库 拟入储备库 拟入储备库 拟入储备库 拟入储备库 第 1 页,共 11 页 77.00 75.16 70.17 70.00 69.00 66.66 65.00 64.67 64.00 49.67 74.16 70.50 79.00 77.84 76.00 74.10 74.00 73.67 缺考 缺考 缺考 拟入储备库 拟入储备库 拟入储备库 拟入储备库 拟入储备库 拟入储备库 拟入储备库 拟入储备库 拟入储备库 拟入储备库 拟入储备库 拟入储备库 拟入储备库 拟入储备库 拟入储备库 拟入储备库 序号 报考岗位 准考证号码 姓名 面试成绩 备注 46 47 48 49 50 51 52 53 54 55 56 57 58 59 60 61 62 63 64 65 66 67 68 69 70 71 72 73 74 75 76 77 78 79 80 81 82 83 84 85 86 87 88 89 90 91 92 93 94 朝阳社区——定向村(社区)网格员 朝阳社区——定向村(社区)网格员 朝阳社区——定向村(社区)网格员 朝阳社区——定向村(社区)网格员 朝阳社区——定向村(社区)网格员 春园社区——定向村(社区)网格员 春园社区——定向村(社区)网格员 春园社区——定向村(社区)网格员 春园社区——定向村(社区)网格员 春园社区——定向村(社区)网格员 春园社区——定向村(社区)网格员 春园社区——定向村(社区)网格员 春园社区——定向村(社区)网格员 春园社区——定向村(社区)网格员 儋州村社区——定向村(社区)网格 儋州村社区——定向村(社区)网格 员 员 儋州村社区——定向村(社区)网格 员 儋州村社区——定向村(社区)网格 员 儋州村社区——定向村(社区)网格 员 儋州村社区——定向村(社区)网格 员 儋州村社区——定向村(社区)网格 员 儋州村社区——定向村(社区)网格 员 儋州村社区——定向村(社区)网格 员 儋州村社区——定向村(社区)网格 员 儋州村社区——定向村(社区)网格 员 儋州村社区——定向村(社区)网格 员 儋州村社区——定向村(社区)网格 儋州村社区——定向村(社区)网格 员 员 儋州村社区——定向村(社区)网格 员 儋州村社区——定向村(社区)网格 光明社区——定向村(社区)网格员 员 光明社区——定向村(社区)网格员 光明社区——定向村(社区)网格员 光明社区——定向村(社区)网格员 光明社区——定向村(社区)网格员 光明社区——定向村(社区)网格员 光明社区——定向村(社区)网格员 过岭村——定向村(社区)网格员 过岭村——定向村(社区)网格员 过岭村——定向村(社区)网格员 过岭村——定向村(社区)网格员 过岭村——定向村(社区)网格员 过岭村——定向村(社区)网格员 过岭村——定向村(社区)网格员 过岭村——定向村(社区)网格员 海坡社区——定向村(社区)网格员 海坡社区——定向村(社区)网格员 海坡社区——定向村(社区)网格员 海坡社区——定向村(社区)网格员 121120220243 121120220244 121120220238 121120220242 121120220236 121120220230 121120220228 121120220229 121120220226 121120220227 121120220225 121120220231 121120220232 121120220233 121120220159 121120220166 121120220158 121120220170 121120220171 121120220165 121120220167 121120220161 121120220164 121120220157 121120220172 121120220168 121120220162 121120220160 121120220163 121120220169 121120220337 121120220334 121120220340 121120220339 121120220338 121120220336 121120220335 121120220529 121120220533 121120220530 121120220535 121120220534 121120220531 121120220528 121120220532 121120220181 121120220173 121120220185 121120220182 陈巧巧 王燕珠 吴 威 卜 凡 詹兴龙 艾 欣 周家莉 李 湖 黎秀峰 黎凯俐 陈 玲 符绳香 陈怡如 林玉淑 陈 珍 洪嘉学 梁 杰 黄舒琪 李英杰 吴多斌 覃美玲 张佳琪 李正欢 张美娇 谢彤彤 张 锋 吴易澄 黄 琦 周晓凤 何麦琪 李 惠 陈泽南 董小芬 林 珊 吴增康 黎丽君 符 亮 罗春鸟 兰 玲 兰恩再 董学斌 符 芬 黎敏巧 董清培 谭诗怀 苻丰杰 王应慧 薛有慧 陈慧娟 71.00 68.33 65.17 56.50 53.67 83.00 77.16 73.84 73.67 73.37 69.33 56.33 拟入储备库 拟入储备库 第 2 页,共 11 页 79.00 77.17 70.66 69.67 68.33 67.66 67.00 66.66 64.66 64.33 64.00 63.83 63.67 77.00 69.50 67.67 62.34 62.34 60.33 67.17 66.66 66.00 62.67 57.00 30.67 77.00 75.00 73.50 73.33 拟入储备库 拟入储备库 拟入储备库 拟入储备库 拟入储备库 拟入储备库 缺考 缺考 拟入储备库 拟入储备库 拟入储备库 拟入储备库 拟入储备库 拟入储备库 拟入储备库 拟入储备库 缺考 缺考 缺考 拟入储备库 拟入储备库 拟入储备库 拟入储备库 拟入储备库 拟入储备库 缺考 拟入储备库 拟入储备库 拟入储备库 拟入储备库 缺考 缺考 拟入储备库 拟入储备库 拟入储备库 拟入储备库 序号 报考岗位 准考证号码 姓名 面试成绩 备注 95 96 97 98 99 100 101 102 103 104 105 106 107 108 109 110 111 112 113 114 115 116 117 118 119 120 121 122 123 124 125 126 127 128 129 130 131 132 133 134 135 136 137 138 139 140 141 142 143 海坡社区——定向村(社区)网格员 海坡社区——定向村(社区)网格员 海坡社区——定向村(社区)网格员 海坡社区——定向村(社区)网格员 海坡社区——定向村(社区)网格员 海坡社区——定向村(社区)网格员 海坡社区——定向村(社区)网格员 海坡社区——定向村(社区)网格员 海坡社区——定向村(社区)网格员 海坡社区——定向村(社区)网格员 海坡社区——定向村(社区)网格员 海坡社区——定向村(社区)网格员 海坡社区——定向村(社区)网格员 海坡社区——定向村(社区)网格员 海坡社区——定向村(社区)网格员 海坡社区——定向村(社区)网格员 海坡社区——定向村(社区)网格员 海坡社区——定向村(社区)网格员 海坡社区——定向村(社区)网格员 海坡社区——定向村(社区)网格员 海坡社区——定向村(社区)网格员 海坡社区——定向村(社区)网格员 海坡社区——定向村(社区)网格员 海坡社区——定向村(社区)网格员 海坡社区——定向村(社区)网格员 和平社区——定向村(社区)网格员 和平社区——定向村(社区)网格员 和平社区——定向村(社区)网格员 和平社区——定向村(社区)网格员 和平社区——定向村(社区)网格员 和平社区——定向村(社区)网格员 黑土村——定向村(社区)网格员 黑土村——定向村(社区)网格员 黑土村——定向村(社区)网格员 红旗街社区——定向村(社区)网格 员 红旗街社区——定向村(社区)网格 红旗街社区——定向村(社区)网格 员 红旗街社区——定向村(社区)网格 员 员 红旗街社区——定向村(社区)网格 红旗街社区——定向村(社区)网格 员 红旗街社区——定向村(社区)网格 员 员 红旗街社区——定向村(社区)网格 红塘村——定向村(社区)网格员 员 红塘村——定向村(社区)网格员 红塘村——定向村(社区)网格员 红塘村——定向村(社区)网格员 红塘村——定向村(社区)网格员 红塘村——定向村(社区)网格员 红塘村——定向村(社区)网格员 1211202201100 121120220194 121120220187 121120220195 121120220199 121120220183 121120220193 121120220198 121120220155 121120220196 121120220179 121120220184 121120220190 121120220176 121120220189 121120220180 121120220178 121120220197 121120220177 121120220191 121120220188 121120220192 121120220174 121120220175 121120220186 121120220578 121120220576 121120220577 121120220573 121120220575 121120220574 121120220584 121120220585 121120220586 121120220540 121120220542 121120220536 121120220537 121120220541 121120220538 121120220539 121120220543 121120220480 121120220477 121120220472 121120220474 121120220473 121120220475 121120220479 陈玉妍 薛井德 黄小瑜 郭德柳 欧月庆 薛青秀 方 丽 赵 婵 董 保 谢骏桃 薛平慧 林心萍 蒲万杰 符丰琴 王 蕊 何开飞 赵仁惠 杜庆翠 高成保 薛逢月 蒲蓉晶 肖锦浩 李如右 陈 静 蒲月爱 陈德文 张镇玲 吴 敬 高康淼 谢熙攘 张镇丽 胡泽伟 高桂娟 罗 雁 陈圣慈 蒲晓诚 张童林 杨小冰 梁丹瑜 翁小娜 陈积珠 桂年秋 高登登 浦上威 浦国政 符 斋 苻 再 符练 高初一 73.17 72.66 72.34 72.34 70.33 69.34 68.66 67.34 67.16 67.00 66.66 66.17 65.84 65.67 65.34 65.00 64.83 64.00 63.67 62.67 60.83 35.33 拟入储备库 拟入储备库 拟入储备库 拟入储备库 第 3 页,共 11 页 74.67 71.50 69.00 67.33 46.00 64.66 63.50 77.50 73.00 69.17 68.33 68.00 69.84 68.33 67.64 67.57 64.80 64.00 61.36 缺考 缺考 缺考 拟入储备库 拟入储备库 拟入储备库 拟入储备库 缺考 拟入储备库 拟入储备库 缺考 拟入储备库 拟入储备库 拟入储备库 拟入储备库 拟入储备库 缺考 缺考 缺考 拟入储备库 拟入储备库 拟入储备库 拟入储备库 拟入储备库 拟入储备库 拟入储备库 序号 报考岗位 准考证号码 姓名 144 145 146 147 148 149 150 151 152 153 154 155 156 157 158 159 160 161 162 163 164 165 166 167 168 169 170 171 172 173 174 175 176 177 178 179 180 181 182 183 184 185 186 187 188 189 190 191 192 红塘村——定向村(社区)网格员 红塘村——定向村(社区)网格员 红塘村——定向村(社区)网格员 华丽村——定向村(社区)网格员 华丽村——定向村(社区)网格员 华丽村——定向村(社区)网格员 华丽村——定向村(社区)网格员 华丽村——定向村(社区)网格员 华丽村——定向村(社区)网格员 华丽村——定向村(社区)网格员 华丽村——定向村(社区)网格员 华丽村——定向村(社区)网格员 华丽村——定向村(社区)网格员 回辉社区——定向村(社区)网格员 回辉社区——定向村(社区)网格员 回辉社区——定向村(社区)网格员 回辉社区——定向村(社区)网格员 回辉社区——定向村(社区)网格员 回辉社区——定向村(社区)网格员 回辉社区——定向村(社区)网格员 回辉社区——定向村(社区)网格员 回辉社区——定向村(社区)网格员 回辉社区——定向村(社区)网格员 回辉社区——定向村(社区)网格员 回辉社区——定向村(社区)网格员 回新社区——定向村(社区)网格员 回新社区——定向村(社区)网格员 回新社区——定向村(社区)网格员 回新社区——定向村(社区)网格员 回新社区——定向村(社区)网格员 回新社区——定向村(社区)网格员 回新社区——定向村(社区)网格员 回新社区——定向村(社区)网格员 回新社区——定向村(社区)网格员 回新社区——定向村(社区)网格员 回新社区——定向村(社区)网格员 回新社区——定向村(社区)网格员 回新社区——定向村(社区)网格员 回新社区——定向村(社区)网格员 回新社区——定向村(社区)网格员 回新社区——定向村(社区)网格员 回新社区——定向村(社区)网格员 回新社区——定向村(社区)网格员 回新社区——定向村(社区)网格员 回新社区——定向村(社区)网格员 回新社区——定向村(社区)网格员 回新社区——定向村(社区)网格员 回新社区——定向村(社区)网格员 回新社区——定向村(社区)网格员 121120220476 121120220478 121120220481 121120220492 1211202204100 121120220497 121120220494 121120220496 121120220495 121120220493 121120220491 121120220498 121120220499 121120220461 121120220469 121120220460 121120220471 121120220462 121120220463 121120220464 121120220467 121120220466 121120220465 121120220468 121120220470 121120220110 121120220135 121120220127 121120220129 121120220133 121120220116 121120220140 121120220148 121120220125 121120220108 121120220144 121120220112 121120220114 121120220150 121120220151 121120220147 121120220109 121120220107 121120220120 121120220149 121120220154 121120220130 121120220134 121120220139 符韩欣 符百合 符幸感 符康满 董云星 符智婷 吕 慧 刘 婷 符永哲 符俊姊 罗 川 黄 婷 王欣洁 哈雅晴 赵 斌 李 霞 蒲首升 杨利德 陈玫瑰 蒲少钰 刘真杰 海英杰 刘梦亮 蒲世元 哈美琳 马 伟 杨白鑫 海 燕 陈立洁 哈沙拉丁 海 灵 哈玉平 海 雪 蒲康俊 海咪娜 蒲雯哲 陈 雪 江山玮 哈地洁 海 启 李 英 张 苗 周 慧 吴勇倩 哈金孝 海 丽 江山珏 蒲光宝 马 健 第 4 页,共 11 页 面试成绩 74.50 69.47 69.30 67.77 65.84 65.50 60.00 73.60 73.17 72.84 70.33 69.66 68.33 67.70 67.57 62.66 78.83 76.34 76.00 75.83 75.34 74.66 73.33 72.67 72.66 72.33 72.00 71.83 71.17 71.00 70.67 69.84 69.66 69.66 69.34 68.67 68.33 68.33 68.00 67.84 备注 缺考 缺考 缺考 拟入储备库 拟入储备库 拟入储备库 拟入储备库 拟入储备库 拟入储备库 拟入储备库 缺考 缺考 缺考 拟入储备库 拟入储备库 拟入储备库 拟入储备库 拟入储备库 拟入储备库 拟入储备库 拟入储备库 缺考 缺考 缺考 拟入储备库 拟入储备库 拟入储备库 拟入储备库 拟入储备库 拟入储备库 拟入储备库 拟入储备库 序号 193 194 195 196 197 198 199 200 201 202 203 204 205 206 207 208 209 210 211 212 213 214 215 216 217 218 219 220 221 222 223 224 225 226 227 228 229 230 231 232 233 234 235 236 237 238 239 240 241 报考岗位 准考证号码 姓名 面试成绩 回新社区——定向村(社区)网格员 121120220111 回新社区——定向村(社区)网格员 121120220105 回新社区——定向村(社区)网格员 121120220145 回新社区——定向村(社区)网格员 121120220115 回新社区——定向村(社区)网格员 121120220152 回新社区——定向村(社区)网格员 121120220138 回新社区——定向村(社区)网格员 121120220132 回新社区——定向村(社区)网格员 121120220121 回新社区——定向村(社区)网格员 121120220101 回新社区——定向村(社区)网格员 121120220124 回新社区——定向村(社区)网格员 121120220118 回新社区——定向村(社区)网格员 121120220146 回新社区——定向村(社区)网格员 121120220104 回新社区——定向村(社区)网格员 121120220119 回新社区——定向村(社区)网格员 121120220128 回新社区——定向村(社区)网格员 121120220153 回新社区——定向村(社区)网格员 121120220142 回新社区——定向村(社区)网格员 121120220103 回新社区——定向村(社区)网格员 121120220141 回新社区——定向村(社区)网格员 121120220131 回新社区——定向村(社区)网格员 121120220123 回新社区——定向村(社区)网格员 121120220137 回新社区——定向村(社区)网格员 121120220102 回新社区——定向村(社区)网格员 121120220106 回新社区——定向村(社区)网格员 121120220113 回新社区——定向村(社区)网格员 121120220117 回新社区——定向村(社区)网格员 121120220122 回新社区——定向村(社区)网格员 121120220126 回新社区——定向村(社区)网格员 121120220136 回新社区——定向村(社区)网格员 121120220143 121120220444 机场路社区——定向村(社区)网格 121120220445 员 机场路社区——定向村(社区)网格 121120220450 机场路社区——定向村(社区)网格 员 121120220443 员 机场路社区——定向村(社区)网格 121120220446 机场路社区——定向村(社区)网格 员 121120220442 机场路社区——定向村(社区)网格 员 121120220447 员 机场路社区——定向村(社区)网格 121120220448 机场路社区——定向村(社区)网格 员 121120220449 机场路社区——定向村(社区)网格 员 121120220421 员 建设街社区——定向村(社区)网格 121120220427 建设街社区——定向村(社区)网格 员 121120220426 建设街社区——定向村(社区)网格 员 121120220425 建设街社区——定向村(社区)网格 员 121120220424 员 建设街社区——定向村(社区)网格 121120220422 建设街社区——定向村(社区)网格 员 121120220423 建设街社区——定向村(社区)网格 员 121120220432 建设街社区——定向村(社区)网格 员 121120220428 建设街社区——定向村(社区)网格 员 121120220431 员 建设街社区——定向村(社区)网格 第 5 页,共 11 页 员 蒲 杰 海少飞 高青妹 江文裴 海 鑫 赵会欢 海 哲 江春海 杨世宇 蒲玉华 杨 莹 蒲凌男 海小杰 蒲明天 刘家兴 蒲小嘉 蒲光德 蒲光林 哈江全 蒲心儿 甫祝峰 蒲琪娜 海 俊 杨 凡 高 杨 蒲新哲 赵英全 甫少云 哈志龙 蒲文强 梁 原 王慧珍 王丹姿 杨闽琼 罗学灿 张娜娜 石嘉明 陈 遥 陈 烨 刘塏燃 林秀婷 蒲柏屹 陈 芬 兰晓慧 陈永清 卢樱樱 方俞翔 吴钟燕 郭膑玉 67.67 67.00 66.67 66.33 66.00 66.00 65.67 65.34 65.33 65.00 65.00 64.83 64.67 64.67 64.50 64.33 64.33 64.33 64.33 64.16 35.66 33.67 79.17 73.50 71.00 70.34 65.34 64.33 77.67 75.84 73.50 72.33 72.17 69.50 69.00 67.63 65.10 50.00 备注 缺考 缺考 缺考 缺考 缺考 缺考 缺考 缺考 拟入储备库 拟入储备库 拟入储备库 拟入储备库 拟入储备库 拟入储备库 放弃 缺考 缺考 拟入储备库 拟入储备库 拟入储备库 拟入储备库 拟入储备库 拟入储备库 拟入储备库 拟入储备库 序号 报考岗位 准考证号码 姓名 242 243 244 245 246 247 248 249 250 251 252 253 254 255 256 257 258 259 260 261 262 263 264 265 266 267 268 269 270 271 272 273 274 275 276 277 278 279 280 281 282 283 284 285 286 287 288 289 290 建设街社区——定向村(社区)网格 建设街社区——定向村(社区)网格 员 员 金鸡岭路社区——定向村(社区)网 金鸡岭路社区——定向村(社区)网 格员 金鸡岭路社区——定向村(社区)网 格员 格员 金鸡岭路社区——定向村(社区)网 金鸡岭路社区——定向村(社区)网 格员 金鸡岭路社区——定向村(社区)网 格员 格员 金鸡岭路社区——定向村(社区)网 金鸡岭路社区——定向村(社区)网 格员 金鸡岭路社区——定向村(社区)网 格员 格员 金鸡岭路社区——定向村(社区)网 金鸡岭路社区——定向村(社区)网 格员 金鸡岭路社区——定向村(社区)网 格员 金鸡岭路社区——定向村(社区)网 格员 金鸡岭路社区——定向村(社区)网 格员 金鸡岭路社区——定向村(社区)网 格员 金鸡岭路社区——定向村(社区)网 格员 立新村——定向村(社区)网格员 格员 立新村——定向村(社区)网格员 岭北 社区——定向村(社区)网格员 岭北 社区——定向村(社区)网格员 岭北 社区——定向村(社区)网格员 岭北 社区——定向村(社区)网格员 岭北 社区——定向村(社区)网格员 马岭社区——定向村(社区)网格员 马岭社区——定向村(社区)网格员 马岭社区——定向村(社区)网格员 马岭社区——定向村(社区)网格员 马岭社区——定向村(社区)网格员 马岭社区——定向村(社区)网格员 马岭社区——定向村(社区)网格员 马岭社区——定向村(社区)网格员 马岭社区——定向村(社区)网格员 马岭社区——定向村(社区)网格员 马岭社区——定向村(社区)网格员 马岭社区——定向村(社区)网格员 马岭社区——定向村(社区)网格员 马岭社区——定向村(社区)网格员 马岭社区——定向村(社区)网格员 马岭社区——定向村(社区)网格员 马岭社区——定向村(社区)网格员 马岭社区——定向村(社区)网格员 马岭社区——定向村(社区)网格员 马岭社区——定向村(社区)网格员 梅村村——定向村(社区)网格员 梅村村——定向村(社区)网格员 梅村村——定向村(社区)网格员 梅村村——定向村(社区)网格员 121120220429 121120220430 121120220355 121120220351 121120220352 121120220356 121120220343 121120220347 121120220345 121120220349 121120220344 121120220348 121120220342 121120220353 121120220346 121120220341 121120220350 121120220354 121120220594 121120220595 121120220583 121120220582 121120220580 121120220579 121120220581 121120220419 121120220405 121120220415 121120220417 121120220401 121120220409 121120220413 121120220402 121120220414 121120220418 121120220420 121120220403 121120220404 121120220406 121120220407 121120220408 121120220410 121120220411 121120220412 121120220416 121120220457 121120220459 121120220455 121120220454 何裕标 张 威 唐远玲 莫林丹 曹博文 林玉发 陈秋米 甘芳蕾 陈妍锟 陈雅南 李土康 曾祥婧 李 婧 裴 雰 李伟豪 林鸿欣 林瑞霞 杨 平 黄鑫珍 陈亚星 孙 檀 林芷含 黄俊添 古伟鹏 黄 婷 邢关辉 邢贞婷 曾还玲 陈召荷 麦永颖 陈华岷 李 鲜 李 雯 王少鑫 杜敏丽 郑春利 陈 禧 吴清天 陈有舒 张 强 潘 婕 陈俊参 陈光燕 陈蕊蕊 苏 昊 董碧碧 王丁丁 董 攀 冼海仙 第 6 页,共 11 页 面试成绩 80.67 75.34 72.34 69.00 69.00 68.34 68.33 67.34 66.33 65.00 63.00 62.00 61.83 70.50 68.50 75.67 66.34 64.67 49.50 73.50 72.84 71.00 69.53 69.37 68.67 67.50 66.37 65.50 63.67 63.00 46.40 75.53 71.93 67.27 66.83 备注 缺考 缺考 拟入储备库 拟入储备库 拟入储备库 拟入储备库 拟入储备库 拟入储备库 拟入储备库 拟入储备库 缺考 缺考 缺考 拟入储备库 拟入储备库 拟入储备库 拟入储备库 拟入储备库 缺考 拟入储备库 拟入储备库 拟入储备库 拟入储备库 拟入储备库 拟入储备库 拟入储备库 拟入储备库 缺考 缺考 缺考 缺考 缺考 缺考 缺考 缺考 拟入储备库 拟入储备库 拟入储备库 拟入储备库 序号 报考岗位 准考证号码 姓名 面试成绩 备注 291 292 293 294 295 296 297 298 299 300 301 302 303 304 305 306 307 308 309 310 311 312 313 314 315 316 317 318 319 320 321 322 323 324 325 326 327 328 329 330 331 332 333 334 335 336 337 338 339 梅村村——定向村(社区)网格员 梅村村——定向村(社区)网格员 梅村村——定向村(社区)网格员 梅村村——定向村(社区)网格员 梅村村——定向村(社区)网格员 妙林村——定向村(社区)网格员 妙林村——定向村(社区)网格员 妙林村——定向村(社区)网格员 妙林村——定向村(社区)网格员 妙林村——定向村(社区)网格员 妙林村——定向村(社区)网格员 妙林村——定向村(社区)网格员 妙林村——定向村(社区)网格员 妙林村——定向村(社区)网格员 妙林村——定向村(社区)网格员 妙林村——定向村(社区)网格员 妙林村——定向村(社区)网格员 妙林村——定向村(社区)网格员 妙林村——定向村(社区)网格员 南岛居——定向村(社区)网格员 南岛居——定向村(社区)网格员 南岛居——定向村(社区)网格员 南岛居——定向村(社区)网格员 南岛居——定向村(社区)网格员 南岛居——定向村(社区)网格员 南岛居——定向村(社区)网格员 南岛居——定向村(社区)网格员 南岛居——定向村(社区)网格员 南岛居——定向村(社区)网格员 南岛居——定向村(社区)网格员 南岛居——定向村(社区)网格员 南岛居——定向村(社区)网格员 南岛居——定向村(社区)网格员 南岛居——定向村(社区)网格员 南岛居——定向村(社区)网格员 南岛居——定向村(社区)网格员 南岛居——定向村(社区)网格员 南岛居——定向村(社区)网格员 南岛居——定向村(社区)网格员 南岛居——定向村(社区)网格员 南岛居——定向村(社区)网格员 南岛居——定向村(社区)网格员 南岛居——定向村(社区)网格员 南海社区——定向村(社区)网络员 南海社区——定向村(社区)网络员 南海社区——定向村(社区)网络员 南海社区——定向村(社区)网络员 南海社区——定向村(社区)网络员 南海社区——定向村(社区)网络员 121120220456 121120220453 121120220451 121120220458 121120220452 121120220363 121120220361 121120220359 121120220358 121120220357 121120220364 121120220370 121120220365 121120220369 121120220368 121120220362 121120220360 121120220366 121120220367 121120220205 121120220203 121120220202 121120220220 121120220206 121120220216 121120220201 121120220224 121120220213 121120220212 121120220221 121120220214 121120220204 121120220215 121120220222 121120220210 121120220217 121120220219 121120220211 121120220223 121120220209 121120220207 121120220208 121120220218 121120220382 121120220384 121120220393 121120220389 121120220388 121120220385 李杰玲 李少境 董敏超 董 腾 董泽仙 苏月明 林秀秀 王春蕾 吴张飞 王振锦 王保胜 林 玲 陆亚恒 张俊强 董慧还 王振璎 林文瑞 张东豪 罗 菲 方美婷 叶倩霞 王承诗 张惠媛 王 芬 黄景靓 高 振 林 双 高丽小 钟小蝶 盆小贝 董桂媛 林秋玲 黄文威 李婉莹 陈积泰 温子杏 张成双 蓝月飞 林书丽 韩丽萍 黄水运 林昭华 周欢欢 梁振辉 侯 贺 黎海帆 梁 蓉 彭玲玲 张学坚 66.20 64.16 60.63 39.60 拟入储备库 拟入储备库 拟入储备库 第 7 页,共 11 页 78.33 75.00 73.33 71.66 71.34 68.00 67.67 67.33 66.34 64.67 63.33 86.67 80.67 79.16 79.00 77.67 77.34 76.67 74.33 73.50 73.33 71.00 71.00 69.50 69.50 69.17 69.00 68.66 68.50 68.17 67.83 64.00 80.66 80.00 75.67 74.33 70.67 69.66 缺考 拟入储备库 拟入储备库 拟入储备库 拟入储备库 拟入储备库 拟入储备库 拟入储备库 拟入储备库 缺考 缺考 缺考 拟入储备库 拟入储备库 拟入储备库 拟入储备库 拟入储备库 拟入储备库 拟入储备库 拟入储备库 缺考 缺考 缺考 拟入储备库 拟入储备库 拟入储备库 拟入储备库 拟入储备库 拟入储备库 序号 报考岗位 准考证号码 姓名 面试成绩 备注 340 341 342 343 344 345 346 347 348 349 350 351 352 353 354 355 356 357 358 359 360 361 362 363 364 365 366 367 368 369 370 371 372 373 374 375 376 377 378 379 380 381 382 383 384 385 386 387 388 南海社区——定向村(社区)网络员 南海社区——定向村(社区)网络员 南海社区——定向村(社区)网络员 南海社区——定向村(社区)网络员 南海社区——定向村(社区)网络员 南海社区——定向村(社区)网络员 南海社区——定向村(社区)网络员 南海社区——定向村(社区)网络员 群众街社区——定向村(社区)网格 群众街社区——定向村(社区)网格 员 群众街社区——定向村(社区)网格 员 员 群众街社区——定向村(社区)网格 群众街社区——定向村(社区)网格 员 员 群众街社区——定向村(社区)网格 群众街社区——定向村(社区)网格 员 群众街社区——定向村(社区)网格 员 员 群众街社区——定向村(社区)网格 水蛟村——定向村(社区)网格员 员 水蛟村——定向村(社区)网格员 水蛟村——定向村(社区)网格员 水蛟村——定向村(社区)网格员 水蛟村——定向村(社区)网格员 水蛟村——定向村(社区)网格员 水蛟村——定向村(社区)网格员 水蛟村——定向村(社区)网格员 水蛟村——定向村(社区)网格员 水蛟村——定向村(社区)网格员 水蛟村——定向村(社区)网格员 水蛟村——定向村(社区)网格员 水蛟村——定向村(社区)网格员 水蛟村——定向村(社区)网格员 水蛟村——定向村(社区)网格员 水蛟村——定向村(社区)网格员 塔岭村——定向村(社区)网格员 塔岭村——定向村(社区)网格员 塔岭村——定向村(社区)网格员 塔岭村——定向村(社区)网格员 塔岭村——定向村(社区)网格员 塔岭村——定向村(社区)网格员 塔岭村——定向村(社区)网格员 塔岭村——定向村(社区)网格员 塔岭村——定向村(社区)网格员 台楼村——定向村(社区)网格员 桶井村——定向村(社区)网格员 桶井村——定向村(社区)网格员 桶井村——定向村(社区)网格员 桶井村——定向村(社区)网格员 桶井村——定向村(社区)网格员 桶井村——定向村(社区)网格员 121120220383 121120220391 121120220386 121120220380 121120220381 121120220387 121120220390 121120220392 121120220437 121120220438 121120220439 121120220441 121120220440 121120220433 121120220434 121120220436 121120220435 121120220394 1211202203100 121120220371 121120220396 121120220374 121120220398 121120220377 121120220395 121120220373 121120220399 121120220372 121120220375 121120220376 121120220378 121120220379 121120220397 121120220490 121120220486 121120220487 121120220488 121120220482 121120220483 121120220484 121120220485 121120220489 1211202205100 121120220283 121120220279 121120220289 121120220282 121120220287 121120220290 李燕萍 谭泳发 叶华超 陈慧婷 陈子扬 余 芬 黄 迟 陈子韵 王小燕 张 榕 王晓芬 庄春娥 苏博文 邢福琳 张裕海 赵治玮 张智仙 李 甜 孙微望 林千木 符冬培 唐义雅 罗思思 王丽雪 蒲俊媚 符冬梅 董浩严 王 敏 李 香 王苏容 蓝 玲 罗小梅 罗智颖 史丽君 符学丽 苏 佩 浦其乐 甫 陪 罗小佳 胡苏雅 唐圣滩 胡承鸿 符玉仙 吕子书 董华冠 符 北 董万兵 董 娟 李祥风 63.67 62.33 61.00 拟入储备库 拟入储备库 第 8 页,共 11 页 70.84 69.97 69.64 68.80 68.60 68.07 66.83 63.67 74.33 72.33 70.67 69.00 68.33 67.66 64.66 63.66 63.33 61.67 73.43 64.66 63.07 61.33 64.00 83.67 75.00 74.00 73.83 73.00 71.16 缺考 缺考 缺考 缺考 缺考 拟入储备库 拟入储备库 拟入储备库 拟入储备库 拟入储备库 拟入储备库 拟入储备库 拟入储备库 缺考 拟入储备库 拟入储备库 拟入储备库 拟入储备库 拟入储备库 拟入储备库 拟入储备库 拟入储备库 缺考 缺考 缺考 缺考 缺考 缺考 拟入储备库 拟入储备库 拟入储备库 拟入储备库 缺考 缺考 缺考 缺考 缺考 拟入储备库 拟入储备库 拟入储备库 拟入储备库 拟入储备库 拟入储备库 拟入储备库 序号 报考岗位 准考证号码 姓名 面试成绩 备注 389 390 391 392 393 394 395 396 397 398 399 400 401 402 403 404 405 406 407 408 409 410 411 412 413 414 415 416 417 418 419 420 421 422 423 424 425 426 427 428 429 430 431 432 433 434 435 436 437 桶井村——定向村(社区)网格员 桶井村——定向村(社区)网格员 桶井村——定向村(社区)网格员 桶井村——定向村(社区)网格员 桶井村——定向村(社区)网格员 桶井村——定向村(社区)网格员 桶井村——定向村(社区)网格员 桶井村——定向村(社区)网格员 桶井村——定向村(社区)网格员 桶井村——定向村(社区)网格员 桶井村——定向村(社区)网格员 桶井村——定向村(社区)网格员 桶井村——定向村(社区)网格员 桶井村——定向村(社区)网格员 桶井村——定向村(社区)网格员 桶井村——定向村(社区)网格员 文门村——定向村(社区)网格员 文门村——定向村(社区)网格员 文门村——定向村(社区)网格员 文门村——定向村(社区)网格员 文门村——定向村(社区)网格员 文门村——定向村(社区)网格员 文门村——定向村(社区)网格员 文门村——定向村(社区)网格员 西岛社区——定向村(社区)网格员 西岛社区——定向村(社区)网格员 西岛社区——定向村(社区)网格员 西岛社区——定向村(社区)网格员 西岛社区——定向村(社区)网格员 西岛社区——定向村(社区)网格员 西岛社区——定向村(社区)网格员 西岛社区——定向村(社区)网格员 西岛社区——定向村(社区)网格员 新建社区——定向村(社区)网格员 新建社区——定向村(社区)网格员 新建社区——定向村(社区)网格员 新建社区——定向村(社区)网格员 新建社区——定向村(社区)网格员 新建社区——定向村(社区)网格员 新建社区——定向村(社区)网格员 新建社区——定向村(社区)网格员 新建社区——定向村(社区)网格员 新建社区——定向村(社区)网格员 新建社区——定向村(社区)网格员 新建社区——定向村(社区)网格员 新建社区——定向村(社区)网格员 新建社区——定向村(社区)网格员 新建社区——定向村(社区)网格员 新联村——定向村(社区)网格员 121120220276 121120220281 121120220273 121120220274 121120220280 121120220270 121120220277 121120220286 121120220271 121120220269 121120220272 121120220275 121120220278 121120220284 121120220285 121120220288 121120220548 121120220549 121120220545 121120220547 121120220156 121120220544 121120220546 121120220550 121120220508 121120220502 121120220501 121120220504 121120220509 121120220503 121120220505 121120220506 121120220507 121120220333 121120220328 121120220330 121120220332 121120220327 121120220326 121120220329 121120220320 121120220324 121120220325 121120220323 121120220322 121120220319 121120220321 121120220331 121120220510 董孟莎 兰会明 符灵灵 李冠平 周海娇 董俊双 董 平 董练情 罗思思 周 粒 董晶晶 兰凤霞 董秋凤 高明月 高明霞 周 香 董健华 罗将明 周安辉 董荷霞 董伟专 周天友 董俊熙 符明娟 陈光富 麦浪丹 庞中瑾 陈 弟 杨贵敏 谢明珠 麦望东 廖雪凯 黎庆彬 吴洁莹 符婷婷 叶峻滨 王静瑶 戴 翔 钟 铭 符国妃 左世子 管 莉 管 宁 蒲宁郎 黄朝伟 吴 靓 李青超 孙显新 苻智星 70.67 70.50 70.16 69.17 69.00 68.17 67.17 66.50 58.00 拟入储备库 拟入储备库 第 9 页,共 11 页 77.67 72.83 71.33 68.50 65.00 71.17 70.00 66.84 63.00 56.00 74.67 74.33 72.17 72.00 71.67 71.34 71.33 70.00 69.67 69.33 68.67 66.67 66.66 64.00 70.00 缺考 缺考 缺考 缺考 缺考 缺考 缺考 拟入储备库 拟入储备库 拟入储备库 拟入储备库 拟入储备库 缺考 缺考 缺考 拟入储备库 拟入储备库 拟入储备库 拟入储备库 缺考 缺考 缺考 缺考 拟入储备库 拟入储备库 拟入储备库 拟入储备库 拟入储备库 拟入储备库 拟入储备库 拟入储备库 缺考 拟入储备库 序号 438 439 440 441 442 443 444 445 446 447 448 449 450 451 452 453 454 455 456 457 458 459 460 461 462 463 464 465 466 467 468 469 470 471 472 473 474 475 476 477 478 479 480 481 482 483 484 485 486 报考岗位 准考证号码 姓名 面试成绩 备注 新联村——定向村(社区)网格员 121120220514 新联村——定向村(社区)网格员 121120220518 新联村——定向村(社区)网格员 121120220511 新联村——定向村(社区)网格员 121120220517 新联村——定向村(社区)网格员 121120220513 新联村——定向村(社区)网格员 121120220515 新联村——定向村(社区)网格员 121120220516 新联村——定向村(社区)网格员 121120220512 121120220552 鸭仔塘社区——定向村(社区)网格 121120220554 鸭仔塘社区——定向村(社区)网格 员 121120220556 员 鸭仔塘社区——定向村(社区)网格 121120220553 鸭仔塘社区——定向村(社区)网格 员 121120220557 员 鸭仔塘社区——定向村(社区)网格 121120220551 鸭仔塘社区——定向村(社区)网格 员 121120220555 员 鸭仔塘社区——定向村(社区)网格 121120220558 鸭仔塘社区——定向村(社区)网格 员 羊栏村——定向村(社区)网格员 121120220305 员 羊栏村——定向村(社区)网格员 121120220308 羊栏村——定向村(社区)网格员 121120220317 羊栏村——定向村(社区)网格员 121120220314 羊栏村——定向村(社区)网格员 121120220309 羊栏村——定向村(社区)网格员 121120220307 羊栏村——定向村(社区)网格员 121120220304 羊栏村——定向村(社区)网格员 121120220311 羊栏村——定向村(社区)网格员 121120220306 羊栏村——定向村(社区)网格员 121120220313 羊栏村——定向村(社区)网格员 121120220310 羊栏村——定向村(社区)网格员 121120220312 羊栏村——定向村(社区)网格员 121120220315 羊栏村——定向村(社区)网格员 121120220316 羊栏村——定向村(社区)网格员 121120220302 羊栏村——定向村(社区)网格员 121120220301 羊栏村——定向村(社区)网格员 121120220303 羊栏村——定向村(社区)网格员 121120220318 羊新社区——定向村(社区)网格员 121120220559 羊新社区——定向村(社区)网格员 121120220561 羊新社区——定向村(社区)网格员 121120220562 羊新社区——定向村(社区)网格员 121120220565 羊新社区——定向村(社区)网格员 121120220564 羊新社区——定向村(社区)网格员 121120220560 羊新社区——定向村(社区)网格员 121120220563 121120220519 友谊路社区——定向村(社区)网格 121120220521 友谊路社区——定向村(社区)网格 员 121120220525 友谊路社区——定向村(社区)网格 员 121120220524 员 友谊路社区——定向村(社区)网格 121120220527 友谊路社区——定向村(社区)网格 员 121120220522 友谊路社区——定向村(社区)网格 员 121120220520 员 友谊路社区——定向村(社区)网格 121120220523 友谊路社区——定向村(社区)网格 员 第 10 页,共 11 页 员 苏忠节 林 东 黎又畅 董咪咪 饶娇娇 董正倩 王丽霞 王叶英 杨 娜 符少虹 梁 瑜 陈 穗 朱惠丽 刘晓旭 陈泰梅 赵 越 陈泰雅 赵佳佳 陈彩云 周玉玉 丘林淋 王 静 彭 秋 邓正萃 陈泰旖 陈泰邦 温丽娟 邱 霞 黎明怡 林燕偲 彭珍凤 王兴基 王家煌 李奇骏 杨子霖 赵河旺 梁昌健 王辉筱 董 文 何 阳 容丽雅 冯聪聪 黎莹莹 林志佳 陈佩雯 张博文 陈恬静 哈索尼 林 爱 69.50 66.33 66.00 65.16 64.50 63.67 61.33 拟入储备库 拟入储备库 拟入储备库 拟入储备库 拟入储备库 拟入储备库 拟入储备库 缺考 拟入储备库 拟入储备库 拟入储备库 拟入储备库 拟入储备库 拟入储备库 拟入储备库 缺考 拟入储备库 拟入储备库 拟入储备库 拟入储备库 拟入储备库 拟入储备库 拟入储备库 拟入储备库 73.16 72.84 71.33 71.17 65.66 65.50 64.83 80.67 79.67 77.00 76.17 76.00 70.00 69.00 68.00 67.33 66.67 65.33 64.00 64.00 63.66 59.66 72.66 70.83 69.50 69.17 65.17 69.84 69.66 66.67 66.67 66.50 64.17 缺考 缺考 缺考 拟入储备库 拟入储备库 拟入储备库 拟入储备库 拟入储备库 放弃 缺考 拟入储备库 拟入储备库 拟入储备库 拟入储备库 拟入储备库 拟入储备库 缺考 缺考 序号 报考岗位 准考证号码 姓名 487 488 489 490 491 492 493 494 495 496 497 498 499 友谊路社区——定向村(社区)网格 榆港社区——定向村(社区)网格员 员 榆港社区——定向村(社区)网格员 榆港社区——定向村(社区)网格员 育春路社区——定向村(社区)网格 员 育春路社区——定向村(社区)网格 员 育春路社区——定向村(社区)网格 育春路社区——定向村(社区)网格 员 育春路社区——定向村(社区)网格 员 员 育春路社区——定向村(社区)网格 育春路社区——定向村(社区)网格 员 扎南村——定向村(社区)网格员 员 扎南村——定向村(社区)网格员 121120220526 121120220587 121120220589 121120220588 121120220569 121120220570 121120220571 121120220572 121120220567 121120220566 121120220568 121120220598 121120220597 麦晓蕊 关天意 童程伟 林海湄 陈大林 周 冰 周 雨 黎明妃 陈垂通 吴青青 邢益诚 吉顺洪 朱少龙 第 11 页,共 11 页 面试成绩 72.34 69.17 66.67 69.84 65.50 64.34 64.16 63.67 73.50 61.66 备注 缺考 拟入储备库 拟入储备库 拟入储备库 拟入储备库 拟入储备库 拟入储备库 拟入储备库 拟入储备库 放弃 缺考 拟入储备库 拟入储备库

附件1:三亚市天涯区机关事业单位2022年公开招聘机关事业单位雇员及村(社区)工作人员储备库“定向村(社区)网格员”岗位面试成绩表.xlsx




