河海大学2022年艰苦行业和校企合作改革项目拟通过考生名单.docx
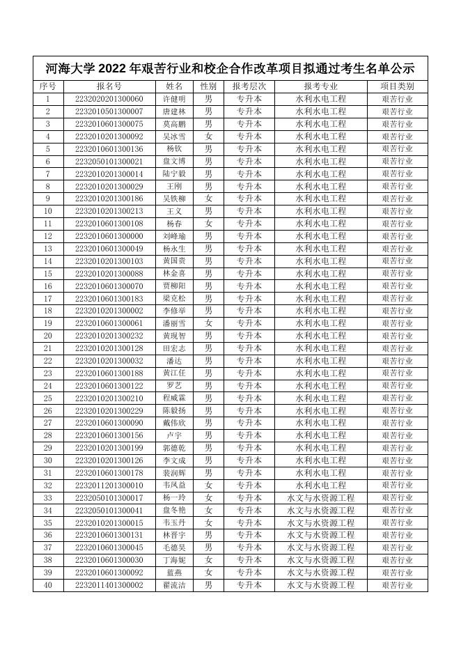
河海大学 2022 年艰苦行业和校企合作改革项目拟通过考生名单公示 序号 1 2 3 4 5 6 7 8 9 10 11 12 13 14 15 16 17 18 19 20 21 22 23 24 25 26 27 28 29 30 31 32 33 34 35 36 37 38 39 40 报名号 2232020201300060 2232010501300007 2232010601300075 2232010201300092 2232010601300136 2232050101300021 2232010201300014 2232010201300029 2232010201300186 2232010201300213 2232010601300108 2232010601300000 2232010601300049 2232010201300103 2232010201300088 2232010601300070 2232010601300183 2232010201300002 2232010601300061 2232010201300232 2232010201300128 2232010201300032 2232010601300188 2232010601300122 2232010201300210 2232010201300229 2232010601300090 2232010601300156 2232010201300199 2232010201300126 2232010601300178 2232011201300010 2232050101300017 2232050101300041 2232010201300015 2232010601300131 2232010601300045 2232010601300030 2232010601300092 2232011401300002 姓名 许健明 唐建林 莫高鹏 吴冰雪 杨钦 盘文博 陆宁毅 王刚 吴铁柳 王义 杨春 刘峰瑜 杨永生 黄国贵 林金喜 贾柳阳 梁克松 李修举 潘丽雪 黄现智 田宏志 潘达 黄江任 罗艺 程威霖 陈毅扬 戴伟欣 卢宇 郭德乾 李文成 裴润辉 韦凤益 杨一玲 盘冬艳 韦玉丹 林晋宇 毛德昊 丁海妮 蓝燕 翟流洁 性别 男 男 男 女 男 男 男 男 女 男 女 男 男 男 男 男 男 男 女 男 男 男 男 男 男 男 男 男 男 男 男 女 女 女 女 男 男 女 女 男 报考层次 专升本 专升本 专升本 专升本 专升本 专升本 专升本 专升本 专升本 专升本 专升本 专升本 专升本 专升本 专升本 专升本 专升本 专升本 专升本 专升本 专升本 专升本 专升本 专升本 专升本 专升本 专升本 专升本 专升本 专升本 专升本 专升本 专升本 专升本 专升本 专升本 专升本 专升本 专升本 专升本 报考专业 水利水电工程 水利水电工程 水利水电工程 水利水电工程 水利水电工程 水利水电工程 水利水电工程 水利水电工程 水利水电工程 水利水电工程 水利水电工程 水利水电工程 水利水电工程 水利水电工程 水利水电工程 水利水电工程 水利水电工程 水利水电工程 水利水电工程 水利水电工程 水利水电工程 水利水电工程 水利水电工程 水利水电工程 水利水电工程 水利水电工程 水利水电工程 水利水电工程 水利水电工程 水利水电工程 水利水电工程 水利水电工程 水文与水资源工程 水文与水资源工程 水文与水资源工程 水文与水资源工程 水文与水资源工程 水文与水资源工程 水文与水资源工程 水文与水资源工程 项目类别 艰苦行业 艰苦行业 艰苦行业 艰苦行业 艰苦行业 艰苦行业 艰苦行业 艰苦行业 艰苦行业 艰苦行业 艰苦行业 艰苦行业 艰苦行业 艰苦行业 艰苦行业 艰苦行业 艰苦行业 艰苦行业 艰苦行业 艰苦行业 艰苦行业 艰苦行业 艰苦行业 艰苦行业 艰苦行业 艰苦行业 艰苦行业 艰苦行业 艰苦行业 艰苦行业 艰苦行业 艰苦行业 艰苦行业 艰苦行业 艰苦行业 艰苦行业 艰苦行业 艰苦行业 艰苦行业 艰苦行业 41 42 43 44 45 46 2232010601300129 2232010601300040 2232010601300141 2232058401300001 2232010201300192 2232040101300044 蒋元韬 苏程亮 林浩宇 黄元琛 龙华 廖潮光 男 男 男 男 男 男 专升本 专升本 专升本 专升本 专升本 专升本 水文与水资源工程 水文与水资源工程 水文与水资源工程 水文与水资源工程 水文与水资源工程 水文与水资源工程 艰苦行业 艰苦行业 艰苦行业 艰苦行业 艰苦行业 艰苦行业

河海大学2022年艰苦行业和校企合作改革项目拟通过考生名单.docx
