铜仁职业技术学院2022年转专业暨乡村振兴班选拔考试成绩.xlsx
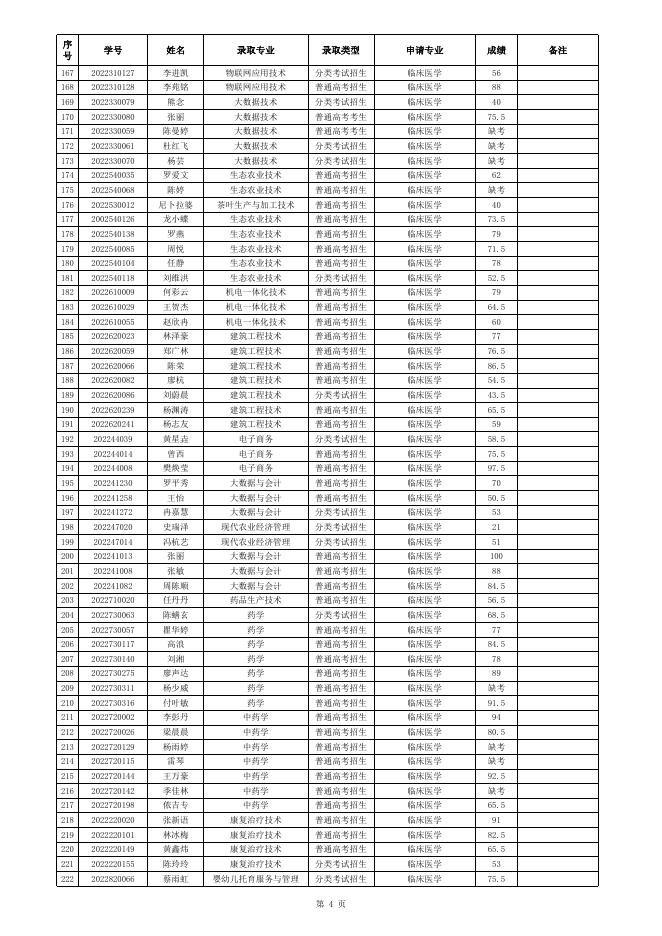
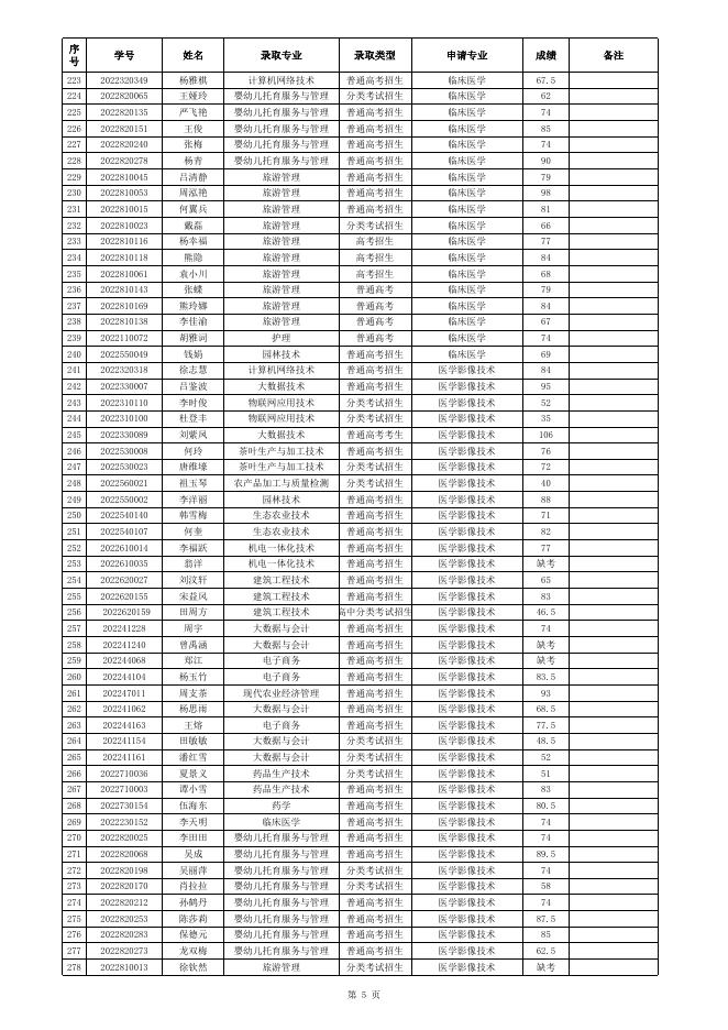
铜仁职业技术学院2022年转专业暨乡村振兴班选拔考试成绩 序 号 学号 姓名 录取专业 录取类型 申请专业 成绩 1 2022320139 唐玉莹 计算机网络技术 普通高考招生 护理 90.5 2 2022320162 黄子怡 计算机网络技术 普通高考招生 护理 缺考 3 2022320181 徐娇 计算机网络技术 普通高考招生 护理 97.5 4 2022320246 陈酬酬 计算机网络技术 普通高考招生 护理 88 5 2022320228 李盈盈 计算机网络技术 普通高考招生 护理 70 6 2022320244 陆贤梅 计算机网络技术 普通高考招生 护理 55.5 7 2022320243 刘高艳 计算机网络技术 普通高考招生 护理 75.5 8 2022320248 黄敏 计算机网络技术 普通高考招生 护理 79.5 9 2022320315 谢德秀 计算机网络技术 普通高考招生 护理 88.5 10 2022320286 刘逸怡 计算机网络技术 普通高考招生 护理 77 11 2022320287 郑贞逸 计算机网络技术 普通高考招生 护理 75.5 12 2022330033 孔维英 大数据技术 普通高考招生 护理 缺考 13 2022310049 李向银 物联网应用技术 分类考试招生 护理 72.5 14 2022310016 沙特石里 物联网应用技术 普通高考招生 护理 39.5 15 2022310005 许莉 物联网应用技术 普通高考招生 护理 57.5 16 2022310114 罗四妹 物联网应用技术 分类考试招生 护理 69.5 17 2022310131 黄永财 物联网应用技术 分类考试招生 护理 缺考 18 2022310051 韩誉熙 物联网应用技术 分类考试招生 护理 缺考 19 2022310088 姚思宇 物联网应用技术 分类考试招生 护理 缺考 20 2022520008 吴佳慧 设施农业与装备 普通高考招生 护理 69 21 2022530013 沈各各 茶叶生产与加工技术 普通高考招生 护理 101.5 22 2022560015 王贵东 农产品加工与质量检测 分类考试招生 护理 48.5 23 2022570109 晏兴政 动物医学 普通高考招生 护理 67 24 2022550017 武格 园林技术 普通高考招生 护理 83.5 25 2022540131 潘冬梅 生态农业技术 普通高考招生 护理 65.5 26 2022610073 黄泽祥 机电一体化技术 普通高考招生 护理 70 27 2022610134 李江贵 机电一体化技术 普通高考招生 护理 100.5 28 2022610179 周玉 机电一体化技术 普通高考招生 护理 67.5 29 2022610223 吴林达 机电一体化技术 分类考试招生 护理 45.5 30 2022620022 林先 建筑工程技术 普通高考招生 护理 87 31 2022620033 秦怡 建筑工程技术 普通高考招生 护理 75.5 32 202241285 毛丽 大数据与会计 分类考试招生 护理 57.5 33 202241229 张玲 大数据与会计 普通高考招生 护理 86 34 202244119 陈玲玲 电子商务 普通高考招生 护理 56.5 35 202244084 顾典璞 电子商务 普通高考招生 护理 缺考 36 202244113 杨雯琳 电子商务 普通高考招生 护理 缺考 37 202247052 黄化杨 现代农业经济管理 普通高考招生 护理 84 38 202241034 余杰 大数据与会计 普通高考招生 护理 91.5 39 202244160 李雨霏 电子商务 普通高考招生 护理 68 40 202244137 田淑慧 电子商务 普通高考招生 护理 59 41 202244133 黄江燕 电子商务 普通高考招生 护理 82.5 42 2022710001 杨文豪 药品生产技术 普通高考招生 护理 77 43 2022710002 石利国 药品生产技术 普通高考招生 护理 76.5 44 2022730016 牟启航 药学 普通高考招生 护理 91.5 45 2022730150 梅云艳 药学 普通高考招生 护理 83 46 2022730189 李杰 药学 分类考试招生 护理 64.5 47 2022720050 冉果 中药学 分类考试招生 护理 53 48 2022720058 韦玉珍 中药学 普通高考招生 护理 52.5 49 2022720064 顾青运 中药学 普通高考招生 护理 69.5 50 2022230310 杨莎琴 临床医学 普通高考招生 护理 91.5 51 2022220182 金修伟 康复治疗技术 分类考试招生 护理 56.5 52 2022820052 魏丹梅 婴幼儿托育服务与管理 普通高考招生 护理 缺考 53 2022820020 陈倩 婴幼儿托育服务与管理 普通高考招生 护理 74.5 54 2022820050 况迪 婴幼儿托育服务与管理 普通高考招生 护理 73.5 第 1 页 备注 已更名为黄婷 序 号 学号 姓名 录取专业 录取类型 申请专业 55 2022820033 李竹 婴幼儿托育服务与管理 普通高考招生 护理 78 56 2022820112 邓珂 婴幼儿托育服务与管理 普通高考招生 护理 45.5 57 2022820118 蔡雨婷 婴幼儿托育服务与管理 分类考试招生 护理 44 58 2022820166 付诗慧 婴幼儿托育服务与管理 普通高考招生 护理 71.5 59 222820136 安前树 婴幼儿托育服务与管理 普通高考招生 护理 63 60 2022820150 牟思雨 婴幼儿托育服务与管理 普通高考招生 护理 84 61 2022820167 杨念念 婴幼儿托育服务与管理 普通高考招生 护理 85 62 2022820148 梁黔玲 婴幼儿托育服务与管理 普通高考招生 护理 79.5 63 2022820183 黄银 婴幼儿托育服务与管理 普通高考招生 护理 66.5 64 2022820257 胡小燕 婴幼儿托育服务与管理 普通高考招生 护理 93 65 2022820250 姚文淼 婴幼儿托育服务与管理 分类考试招生 护理 78.5 66 2022820289 周艳琴 婴幼儿托育服务与管理 普通高考招生 护理 74.5 67 2022820304 彭恩燕 婴幼儿托育服务与管理 普通高考招生 护理 52.5 68 2022820285 杨芳 婴幼儿托育服务与管理 分类考试招生 护理 50 69 2022810006 严丽 旅游管理 普通高考招生 护理 87 70 2022810014 陈燕 旅游管理 普通高考招生 护理 91.5 71 2022810009 徐月 旅游管理 普通高考招生 护理 72.5 72 2022810049 李雨桐 旅游管理 普通高考招生 护理 68.5 73 2022810048 陈芳芳 旅游管理 普通高考招生 护理 67 74 2022810040 陈俊福 旅游管理 分类考试招生 护理 29 75 2022810064 王丽琴 旅游管理 高考招生 护理 86 76 2022810106 王政妹 旅游管理 高考招生 护理 83 77 2022810070 李雪 旅游管理 高考招生 护理 89 78 2022810093 李亚婷 旅游管理 高考招生 护理 62.5 79 2022810111 吴仪 旅游管理 高考招生 护理 64.5 80 2022810148 曹大婵 旅游管理 普通高考 护理 67 81 2022810167 王春艳 旅游管理 普通高考 护理 83.5 82 2022810166 喻铃曼 旅游管理 普通高考 护理 74.5 83 2022810165 张倩 旅游管理 普通高考 护理 76 84 2022550012 汪佳瑶 园林技术 分类考试招生 护理 50.5 85 2022550048 李秀鑫 园林技术 分类考试招生 护理 50 86 2022320081 杨菲菲 计算机网络技术 分类考试招生 助产 63 87 2022320312 郑理雪 计算机网络技术 普通高考招生 助产 65.5 88 2022320306 吴与萃 计算机网络技术 普通高考招生 助产 84 89 2022310101 林小红 物联网应用技术 分类考试招生 助产 59.5 90 202244128 钱欢 电子商务 普通高考招生 助产 66.5 91 202244143 胡玉林 电子商务 普通高考招生 助产 83.5 92 2022820214 李思瑶 婴幼儿托育服务与管理 普通高考招生 助产 95.5 93 2022820206 秦梅 婴幼儿托育服务与管理 普通高考招生 助产 66.5 94 2022540093 吴开祥 生态农业技术 分类考试招生 大数据技术 缺考 95 2022610011 蒋敏 机电一体化技术 普通高考招生 大数据技术 87 96 2022610291 杨花 机电一体化技术 普通高考招生 大数据技术 缺考 97 202244001 胡蓉 电子商务 普通高考招生 大数据技术 93.5 98 202241254 陈静 大数据与会计 分类考试招生 大数据技术 69.5 成绩 99 202244105 李钊平 电子商务 普通高考招生 大数据技术 76.5 100 2022730100 唐永净 药学 普通高考招生 大数据技术 缺考 101 2022810155 杨宁静 旅游管理 普通高考 大数据技术 73.5 102 2022320032 席光磊 计算机网络技术 高职扩招 物联网应用技术 37.5 103 2022330133 林钊 大数据技术 分类考试招生 物联网应用技术 缺考 104 2022330129 李钗君 大数据技术 分类考试招生 物联网应用技术 50 105 2022330128 严杨 大数据技术 分类考试招生 物联网应用技术 46.5 106 2022330130 杨埝 大数据技术 分类考试招生 物联网应用技术 39 107 2022560032 李德科 农产品加工与质量检测 分类考试招生 物联网应用技术 缺考 108 2022540132 杨成刚 生态农业技术 分类考试招生 物联网应用技术 34 109 2022610190 雷志强 机电一体化技术 分类考试招生 物联网应用技术 23.5 110 2022610194 刘大灶 机电一体化技术 分类考试招生 物联网应用技术 38.5 第 2 页 备注 已更名为郑泽徽安 序 号 学号 姓名 111 202244090 112 202247058 113 录取专业 录取类型 申请专业 成绩 姬亚商 电子商务 普通高考招生 物联网应用技术 66.5 龙光玉 现代农业经济管理 普通高考招生 物联网应用技术 81.5 202244154 屈润松 电子商务 普通高考招生 物联网应用技术 78 114 2022820208 韩烩玲 婴幼儿托育服务与管理 普通高考招生 物联网应用技术 90.5 115 2022320274 李沅 计算机网络技术 普通高考招生 大数据与会计 69 116 2022320212 杨滟 计算机网络技术 普通高考招生 大数据与会计 56.5 117 2022530004 唐春昱 茶叶生产与加工技术 普通高考招生 大数据与会计 92 118 2022610007 付丽媛 机电一体化技术 普通高考招生 大数据与会计 77 119 2022610050 余珊 机电一体化技术 普通高考招生 大数据与会计 95.5 120 2022820001 盛拉拉 婴幼儿托育服务与管理 分类考试招生 大数据与会计 66 121 2022820158 冉莉婷 婴幼儿托育服务与管理 分类考试招生 大数据与会计 56 122 2022820321 成金妹 婴幼儿托育服务与管理 普通高考招生 大数据与会计 64 123 2022810071 范丽芳 旅游管理 分类考试招生 大数据与会计 87.5 124 2022320112 兰莎 计算机网络技术 分类考试招生 大数据与会计 51.5 125 2022520022 邹云贵 设施农业与装备 分类考试招生 电子商务 31 126 2022560026 何彪 农产品加工与质量检测 分类考试招生 电子商务 41 127 2022560025 石朝毅 农产品加工与质量检测 分类考试招生 电子商务 50.5 128 2022620076 胡宗义 建筑工程技术 普通高考招生 电子商务 57 129 2022810039 杨祥驰 旅游管理 分类考试招生 电子商务 36 130 2022320234 池莲霞 计算机网络技术 普通高考招生 康复治疗技术 84 131 202230091 何文烨 大数据技术 分类考试招生 康复治疗技术 缺考 132 2022550068 陈清 园林技术 普通高考招生 康复治疗技术 63 133 2022540015 娄方黎 生态农业技术 单独考试招生 康复治疗技术 70.5 134 2022540034 付嘉欣 生态农业技术 分类考试招生 康复治疗技术 60.5 135 2022610043 杨云蕊 机电一体化技术 普通高考招生 康复治疗技术 69 136 2022610201 龙羊丽 机电一体化技术 普通高考招生 康复治疗技术 79.5 137 2022610242 陈静茹 机电一体化技术 普通高考招生 康复治疗技术 76.5 138 2022620115 杨文豪 建筑工程技术 普通高考招生 康复治疗技术 78.5 139 2022620118 姚佐海 建筑工程技术 普通高考招生 康复治疗技术 98.5 140 202244028 饶玉泽 电子商务 普通高考招生 康复治疗技术 77.5 141 202241269 杨小青 大数据与会计 普通高考招生 康复治疗技术 90 142 202247027 王琳 现代农业经济管理 普通高考招生 康复治疗技术 81.5 143 202247061 杨园 现代农业经济管理 普通高考招生 康复治疗技术 74.5 144 202244146 罗佳欣 电子商务 分类考试招生 康复治疗技术 缺考 145 202244158 丁露露 电子商务 普通高考招生 康复治疗技术 87.5 146 2022210146 张世铭 医学影像技术 普通高考招生 康复治疗技术 75 147 2022820026 安杰 婴幼儿托育服务与管理 普通高考招生 康复治疗技术 74 148 2022820022 朱荣萍 婴幼儿托育服务与管理 普通高考招生 康复治疗技术 64.5 149 2022820130 徐欢 婴幼儿托育服务与管理 分类高考招生 康复治疗技术 48 150 2022820139 李满平 婴幼儿托育服务 普通高考招生 康复治疗技术 80.5 151 2022820141 田玲玲 婴幼儿托育服务与管理 分类考试招生 康复治疗技术 46 152 2022820182 杨雪 婴儿托育服务与管理 分类考试招生 康复治疗技术 45 153 2022820145 冉兰兰 婴幼儿托育服务与管理 分类考试招生 康复治疗技术 59 154 2022820261 简兰兰 婴幼儿托育服务与管理 普通高考招生 康复治疗技术 75 155 2022820256 李菲菲 婴幼儿托育服务与管理 普通高考招生 康复治疗技术 70.5 156 2022820255 令狐毅 婴幼儿托育服务与管理 普通高考招生 康复治疗技术 83 157 2022810004 路慧琳 旅游管理 普通高考招生 康复治疗技术 74.5 158 2022810012 王佳俊 旅游管理 分类考试招生 康复治疗技术 70 159 2022810035 杨思蔓 旅游管理 分类考试招生 康复治疗技术 62 160 2022320178 唐娅 计算机网络技术 普通高考招生 临床医学 62.5 161 2022320256 吴东京 计算机网络技术 普通高考招生 临床医学 69.5 162 2022320288 娄倩 计算机网络技术 普通高考招生 临床医学 77 163 2022320282 冯林 计算机网络技术 普通高考招生 临床医学 86 164 2022320341 吴文娜 计算机网络技术 普通高考招生 临床医学 82.5 165 2022330015 舒雨鑫 大数据技术 普通高考招生 临床医学 32 166 2022330013 贺千千 大数据技术 普通高考招生 临床医学 缺考 第 3 页 备注 序 号 学号 姓名 录取专业 录取类型 申请专业 成绩 167 2022310127 李进凯 物联网应用技术 分类考试招生 临床医学 56 168 2022310128 李苑铭 物联网应用技术 普通高考招生 临床医学 88 169 2022330079 熊念 大数据技术 分类考试招生 临床医学 40 170 2022330080 张丽 大数据技术 普通高考考生 临床医学 75.5 171 2022330059 陈曼婷 大数据技术 普通高考考生 临床医学 缺考 172 2022330061 杜红飞 大数据技术 分类考试招生 临床医学 缺考 173 2022330070 杨芸 大数据技术 分类考试招生 临床医学 缺考 174 2022540035 罗爱文 生态农业技术 普通高考招生 临床医学 62 175 2022540068 陈婷 生态农业技术 普通高考招生 临床医学 缺考 176 2022530012 尼卜拉婆 茶叶生产与加工技术 普通高考招生 临床医学 40 177 2002540126 龙小蝶 生态农业技术 普通高考招生 临床医学 73.5 178 2022540138 罗燕 生态农业技术 普通高考招生 临床医学 79 179 2022540085 周悦 生态农业技术 普通高考招生 临床医学 71.5 180 2022540104 任静 生态农业技术 普通高考招生 临床医学 78 181 2022540118 刘维洪 生态农业技术 分类考试招生 临床医学 52.5 182 2022610009 何彩云 机电一体化技术 普通高考招生 临床医学 79 183 2022610029 王贺杰 机电一体化技术 普通高考招生 临床医学 64.5 184 2022610055 赵欣冉 机电一体化技术 普通高考招生 临床医学 60 185 2022620023 林泽豪 建筑工程技术 普通高考招生 临床医学 77 186 2022620059 郑广林 建筑工程技术 普通高考招生 临床医学 76.5 187 2022620066 陈荣 建筑工程技术 普通高考招生 临床医学 86.5 188 2022620082 廖杭 建筑工程技术 普通高考招生 临床医学 54.5 189 2022620086 刘蔚晨 建筑工程技术 分类考试招生 临床医学 43.5 190 2022620239 杨渊涛 建筑工程技术 普通高考招生 临床医学 65.5 191 2022620241 杨志友 建筑工程技术 普通高考招生 临床医学 59 192 202244039 黄星垚 电子商务 分类考试招生 临床医学 58.5 193 202244014 曾西 电子商务 普通高考招生 临床医学 75.5 194 202244008 樊焕莹 电子商务 普通高考招生 临床医学 97.5 195 202241230 罗平秀 大数据与会计 普通高考招生 临床医学 70 196 202241258 王怡 大数据与会计 普通高考招生 临床医学 50.5 197 202241272 冉嘉慧 大数据与会计 分类考试招生 临床医学 53 198 202247020 史瑞泽 现代农业经济管理 分类考试招生 临床医学 21 199 202247014 冯杭艺 现代农业经济管理 分类考试招生 临床医学 51 200 202241013 张丽 大数据与会计 普通高考招生 临床医学 100 201 202241008 张敏 大数据与会计 普通高考招生 临床医学 88 202 202241082 周陈顺 大数据与会计 普通高考招生 临床医学 84.5 203 2022710020 任丹丹 药品生产技术 普通高考招生 临床医学 56.5 204 2022730063 陈蟮玄 药学 分类考试招生 临床医学 68.5 205 2022730057 瞿华婷 药学 普通高考招生 临床医学 77 206 2022730117 高浪 药学 普通高考招生 临床医学 84.5 207 2022730140 刘湘 药学 普通高考招生 临床医学 78 208 2022730275 廖声达 药学 普通高考招生 临床医学 89 209 2022730311 杨少威 药学 普通高考招生 临床医学 缺考 210 2022730316 付叶敏 药学 普通高考招生 临床医学 91.5 211 2022720002 李彭丹 中药学 普通高考招生 临床医学 94 212 2022720026 梁晨晨 中药学 普通高考招生 临床医学 80.5 213 2022720129 杨雨婷 中药学 普通高考招生 临床医学 缺考 214 2022720115 雷琴 中药学 普通高考招生 临床医学 缺考 215 2022720144 王万豪 中药学 普通高考招生 临床医学 92.5 216 2022720142 季佳林 中药学 普通高考招生 临床医学 缺考 217 2022720198 侬吉专 中药学 普通高考招生 临床医学 65.5 218 2022220020 张新语 康复治疗技术 普通高考招生 临床医学 91 219 2022220101 林冰梅 康复治疗技术 普通高考招生 临床医学 82.5 220 2022220149 黄鑫炜 康复治疗技术 普通高考招生 临床医学 65.5 221 2022220155 陈玲玲 康复治疗技术 分类考试招生 临床医学 53 222 2022820066 蔡雨虹 婴幼儿托育服务与管理 分类考试招生 临床医学 75.5 第 4 页 备注 序 号 学号 姓名 223 2022320349 224 2022820065 225 录取专业 录取类型 申请专业 成绩 杨雅棋 计算机网络技术 普通高考招生 临床医学 67.5 王娅玲 婴幼儿托育服务与管理 分类考试招生 临床医学 62 2022820135 严飞艳 婴幼儿托育服务与管理 普通高考招生 临床医学 74 226 2022820151 王俊 婴幼儿托育服务与管理 普通高考招生 临床医学 85 227 2022820240 张梅 婴幼儿托育服务与管理 普通高考招生 临床医学 74 228 2022820278 杨青 婴幼儿托育服务与管理 普通高考招生 临床医学 90 229 2022810045 吕清静 旅游管理 普通高考招生 临床医学 79 230 2022810053 周泓艳 旅游管理 普通高考招生 临床医学 98 231 2022810015 何翼兵 旅游管理 普通高考招生 临床医学 81 232 2022810023 戴磊 旅游管理 分类考试招生 临床医学 66 233 2022810116 杨幸福 旅游管理 高考招生 临床医学 77 234 2022810118 熊隐 旅游管理 高考招生 临床医学 84 235 2022810061 袁小川 旅游管理 高考招生 临床医学 68 236 2022810143 张蝶 旅游管理 普通高考 临床医学 79 237 2022810169 熊玲娜 旅游管理 普通高考 临床医学 84 238 2022810138 李佳渝 旅游管理 普通高考 临床医学 67 239 2022110072 胡雅词 护理 普通高考 临床医学 74 240 2022550049 钱娟 园林技术 普通高考招生 临床医学 69 241 2022320318 徐志慧 计算机网络技术 普通高考招生 医学影像技术 84 242 2022330007 吕鉴波 大数据技术 普通高考招生 医学影像技术 95 243 2022310110 李时俊 物联网应用技术 分类考试招生 医学影像技术 52 244 2022310100 杜登丰 物联网应用技术 分类考试招生 医学影像技术 35 245 2022330089 刘紫凤 大数据技术 普通高考考生 医学影像技术 106 246 2022530008 何玲 茶叶生产与加工技术 普通高考招生 医学影像技术 76 247 2022530023 唐维壕 茶叶生产与加工技术 分类考试招生 医学影像技术 72 248 2022560021 祖玉琴 农产品加工与质量检测 分类考试招生 医学影像技术 40 249 2022550002 李洋丽 园林技术 普通高考招生 医学影像技术 88 250 2022540140 韩雪梅 生态农业技术 普通高考招生 医学影像技术 71 251 2022540107 何奎 生态农业技术 普通高考招生 医学影像技术 82 252 2022610014 李福跃 机电一体化技术 普通高考招生 医学影像技术 77 253 2022610035 翁洋 机电一体化技术 普通高考招生 医学影像技术 缺考 254 2022620027 刘汶轩 建筑工程技术 普通高考招生 医学影像技术 65 255 2022620155 宋益风 建筑工程技术 普通高考招生 医学影像技术 83 256 2022620159 田周方 建筑工程技术 高中分类考试招生 医学影像技术 46.5 257 202241228 周宇 大数据与会计 普通高考招生 医学影像技术 74 258 202241240 曾禹涵 大数据与会计 普通高考招生 医学影像技术 缺考 259 202244068 郑江 电子商务 普通高考招生 医学影像技术 缺考 260 202244104 杨玉竹 电子商务 普通高考招生 医学影像技术 83.5 261 202247011 周支茶 现代农业经济管理 普通高考招生 医学影像技术 93 262 202241062 杨思雨 大数据与会计 普通高考招生 医学影像技术 68.5 263 202244163 王熔 电子商务 普通高考招生 医学影像技术 77.5 264 202241154 田敏敏 大数据与会计 分类考试招生 医学影像技术 48.5 265 202241161 潘红雪 大数据与会计 分类考试招生 医学影像技术 52 266 2022710036 夏景义 药品生产技术 分类考试招生 医学影像技术 51 267 2022710003 谭小雪 药品生产技术 普通高考招生 医学影像技术 83 268 2022730154 伍海东 药学 普通高考招生 医学影像技术 80.5 269 2022230152 李天明 临床医学 普通高考招生 医学影像技术 74 270 2022820025 李田田 婴幼儿托育服务与管理 普通高考招生 医学影像技术 74 271 2022820068 吴成 婴幼儿托育服务与管理 普通高考招生 医学影像技术 89.5 272 2022820198 吴丽萍 婴幼儿托育服务与管理 分类考试招生 医学影像技术 74 273 2022820170 肖拉拉 婴幼儿托育服务与管理 分类考试招生 医学影像技术 58 274 2022820212 孙鹤丹 婴幼儿托育服务与管理 普通高考招生 医学影像技术 74 275 2022820253 陈莎莉 婴幼儿托育服务与管理 普通高考招生 医学影像技术 87.5 276 2022820283 保德元 婴幼儿托育服务与管理 普通高考招生 医学影像技术 85 277 2022820273 龙双梅 婴幼儿托育服务与管理 普通高考招生 医学影像技术 62.5 278 2022810013 徐钦然 旅游管理 分类考试招生 医学影像技术 缺考 第 5 页 备注 序 号 学号 姓名 录取专业 录取类型 申请专业 成绩 279 2022810058 胡县超 旅游管理 分类考试招生 医学影像技术 57.5 280 2022810074 李旭琴 旅游管理 高考招生 医学影像技术 68 281 2022810063 张凯 旅游管理 高考招生 医学影像技术 66 282 2022810163 唐乖乖 旅游管理 分类考试招生 医学影像技术 59 283 2022810132 罗青青 旅游管理 分类考试招生 医学影像技术 65.5 284 2022810145 叶中蝶 旅游管理 高考 医学影像技术 72.5 285 2022810158 李兴美 旅游管理 普通高考 医学影像技术 72.5 286 2022330012 陈雅伦 大数据技术 普通高考招生 药学 84 287 2022330017 杨家铭 大数据技术 普通高考招生 药学 74 288 2022310033 曾燕 物联网应用技术 分类考试招生 药学 50.5 289 2021360027 雷纤 物联网应用技术 分类考试招生 药学 70.5 290 2022550051 王宇雨 园林技术 普通高考招生 药学 81 291 2022540019 马丽寻 生态农业技术 普通高考高考 药学 69 292 2022530055 廖福成 茶叶生产与加工技术 普通高考招生 药学 69 293 2022560047 龙成辉 农产品加工与质量检测 普通高考招生 药学 67 294 2022550030 崔广涛 园林技术 普通高考招生 药学 缺考 295 2022610088 潘娟 机电一体化技 普通高考招生 药学 80.5 296 2022610095 苏欢 机电一体化技术 普通高考招生 药学 81 297 2022610129 何春玲 机电一体化技术 普通高考招生 药学 72 298 2022620016 黄良松 建筑工程技术 普通高考招生 药学 99 299 2022620064 敖登梨 建筑工程技术 普通高考招生 药学 66.5 300 202244017 张红 电子商务 普通高考招生 药学 94.5 301 202244059 程正玉 电子商务 普通高考招生 药学 91.5 302 202244118 杨世焓 电子商务 普通高考招生 药学 53.5 303 202244169 石桥美 电子商务 普通高考招生 药学 95 304 202244129 刘月月 电子商务 普通高考招生 药学 98.5 305 2022710059 曾鹏 药品生产技术 普通高考招生 药学 缺考 306 2022230056 黄玉真 临床医学 普通高考招生 药学 49 307 2022230266 陈荣会 临床医学 普通高考招生 药学 83 308 2022230268 吴志康 临床医学 普通高考招生 药学 80 309 2022230341 付伟 临床医学 普通高考招生 药学 缺考 310 2022210156 吴荣贵 医学影像技术 分类考试招生 药学 73.5 311 2022820011 苏清秀 婴幼儿托育服务与管理 普通高考招生 药学 89.5 312 2022820019 杨绍峰 婴幼儿托育服务与管理 普通高考招生 药学 74.5 313 2022820202 李鸿 婴幼儿托育服务与管理 普通高考招生 药学 74 314 2022820249 文榆萍 婴幼儿托育服务与管理 普通高考招生 药学 91.5 315 2022820254 李妮艳 婴幼儿托育服务与管理 普通高考招生 药学 73 316 2022820209 杨霞 婴幼儿托育服务与管理 普通高考招生 药学 87 317 2022810050 李佳慧 旅游管理 普通高考招生 药学 84.5 318 2022810003 李碟 旅游管理 普通高考招生 药学 88 319 2022810016 邹安琪 旅游管理 分类考试招生 药学 50.5 320 2022810007 马关俊 旅游管理 分类考试招生 药学 58.5 321 2022810051 王华琴 旅游管理 普通高考招生 药学 76 322 2022810095 姜成山 旅游管理 分类考试招生 药学 54.5 323 2022810099 吴家平 旅游管理 分类考试招生 药学 41.5 324 2022810094 李正祥 旅游管理 分类考试招生 药学 39 325 2022810141 宋柳 旅游管理 普通高考 药学 79 326 2022810168 葛慧 旅游管理 普通高考 药学 88.5 327 2022810160 董秀梅 旅游管理 普通高考 药学 77 328 2022810124 刘墙 旅游管理 普通高考 药学 缺考 329 2022810157 林超颖 旅游管理 分类考试招生 药学 46.5 330 2022320317 赵宇宇 计算机网络技术 普通高考招生 中药学 74.5 331 2022320334 李红 计算机网络技术 普通高考招生 中药学 63.5 332 2022320338 肖罗清 计算机网络技术 普通高考招生 中药学 60 333 2022330035 周晶晶 大数据技术 普通高考招生 中药学 缺考 334 2022540049 喻义芳 生态农业技术 分类考试招生 中药学 72 第 6 页 备注 序 号 学号 姓名 录取专业 录取类型 申请专业 335 2022540062 李木生 生态农业技术 普通高考招生 中药学 72 336 2022540042 李禄霞 生态农业技术 普通高考招生 中药学 82.5 337 2022540013 吴永芳 生态农业技术 普通高考招生 中药学 70.5 338 2022530054 刘参弟 茶叶生产与加工技术 普通高考招生 中药学 82 339 2022530026 李琴琴 茶叶生产与加工技术 高职扩招 中药学 18 340 2022530021 周思然 茶叶生产与加工技术 分类考试招生 中药学 66.5 341 2022560003 雷思佳 农产品加工与质量检测 普通高考招生 中药学 65.5 342 2022540076 张芷琪 生态农业技术 分类考试招生 中药学 56.5 343 2022610032 王星 机电一体化技术 普通高考招生 中药学 83.5 344 2022610111 杨蓉蓉 机电一体化技术 普通高考招生 中药学 86.5 345 2022610117 赵双飞 机电一体化技术 普通高考招生 中药学 76 346 2022620003 蔡雨濛 建筑工程技术 普通高考招生 中药学 67.5 347 202244020 姚珊 电子商务 普通高考招生 中药学 79 348 202244170 李诗语 电子商务 普通高考招生 中药学 86.5 349 202244142 陈绕 电子商务 普通高考招生 中药学 68 350 202244138 龙豪 电子商务 普通高考招生 中药学 54.5 351 202241086 熊开贵 大数据与会计 普通高考招生 中药学 72.5 352 2022710079 廖仕杰 药品生产技术 普通高考招生 中药学 缺考 353 2022820005 黄晓凤 婴幼儿托育服务与管理 分类考试招生 中药学 68.5 354 2022820009 王可可 婴幼儿托育服务与管理 普通高考招生 中药学 95 355 2022820162 杜前芳 婴幼儿托育服务与管理 分类考试招生 中药学 40.5 356 2022820225 陆元宇 婴幼儿托育与管理 分类考试招生 中药学 70.5 357 2022810036 麻清怡 旅游管理 分类考试招生 中药学 50 358 2022810043 全英 旅游管理 普通高考招生 中药学 73.5 359 2022560048 唐睿雄 农产品加工与质量检测 普通高考招生 茶叶生产与加工技术 79.5 360 2022610165 杨利容 机电一体化技术 普通高考招生 茶叶生产与加工技术 87 361 2022820197 刘欢 婴幼儿托育服务与管理 普通高考招生 茶叶生产与加工技术 61 362 2022320303 陈涛 计算机网络技术 普通高考招生 畜牧兽医 76.5 363 2022540050 田金艳 生态农业技术 分类考试招生 畜牧兽医 67.5 364 2022550039 陈兰 园林技术 普通高考招生 畜牧兽医 78.5 365 2022550004 张婷婷 园林技术 普通高考招生 畜牧兽医 92.5 366 2022550024 万紫红 园林技术 普通高考招生 畜牧兽医 91.5 367 2022540133 张如 生态农业技术 普通高考招生 畜牧兽医 90 368 2022540081 冯庆康 生态农业技术 普通高考招生 畜牧兽医 缺考 369 2022610125 代涛 机电一体化技术 普通高考招生 畜牧兽医 65 370 2022610144 龙莎 机电一体化技术 普通高考招生 畜牧兽医 66.5 371 2022610148 石继岚 机电一体化技术 普通高考招生 畜牧兽医 48.5 372 2022610213 舒玉奇 机电一体化技术 普通高考招生 畜牧兽医 72 373 2022610230 杨福林 机电一体化技术 普通高考招生 畜牧兽医 60.5 374 2022620098 唐宇 建筑工程技术 分类考试招生 畜牧兽医 31.5 375 2022620215 谭朝耀 建筑工程技术 普通高考招生 畜牧兽医 缺考 376 202241296 杨文成 大数据与会计 普通高考招生 畜牧兽医 50.5 377 202244148 郑兴华 电子商务 普通高考招生 畜牧兽医 81 378 202244153 余爽 电子商务 普通高考招生 畜牧兽医 72.5 379 2022730008 付滨禾 药学 普通高考招生 畜牧兽医 79.5 380 2022730223 肖室均 药学 分类考试招生 畜牧兽医 44.5 381 2022720240 刘代润 中药学 普通高考招生 畜牧兽医 75 382 2022720218 李龙 中药学 分类考试招生 畜牧兽医 38.5 383 2022820038 卢香 婴幼儿托育服务与管理 普通高考招生 畜牧兽医 80 384 2022820039 杨平 婴幼儿拖育服务与管理 普通高考招生 畜牧兽医 80.5 385 2022810133 吴天镇 旅游管理 分类考试招生 畜牧兽医 39.5 386 2022320024 李俊杰 计算机网络技术 分类考试招生 畜牧兽医 缺考 387 覃鲜艳 畜牧兽医 畜牧兽医 66 388 张鸿飞 畜牧兽医 畜牧兽医 52 389 姚佳伟 畜牧兽医 畜牧兽医 62 390 刘圹天 畜牧兽医 畜牧兽医 45 第 7 页 成绩 备注 序 号 学号 姓名 录取专业 录取类型 申请专业 成绩 391 李玉鸿 设施农业与装备 设施农业与装备 68 392 张彬 设施农业与装备 设施农业与装备 39.5 393 2022320292 邹思渝 计算机网络技术 普通高考招生 动物医学 51 394 2022320275 马丹慧 计算机网络技术 普通高考招生 动物医学 缺考 395 2022320297 周华英 计算机网络技术 普通高考招生 动物医学 81.5 396 2022330009 杨雨洁 大数据技术 普通高考招生 动物医学 67.5 397 2022330157 姜恒先 大数据技术 分类考试招生 动物医学 66 398 2022520006 贺胜 设施农业与装备 普通高考招生 动物医学 82.5 399 2022530031 董玲 茶叶生产与加工技术 高职扩招 动物医学 51 400 2022540106 邵东 生态农业技术 普通高考招生 动物医学 43.5 401 2022610054 张梓莹 机电一体化技术 普通高考招生 动物医学 97.5 402 2022610286 肖浪浪 机电一体化技术 普通高考招生 动物医学 97 403 2022620006 陈念希 建筑工程技术 普通高考招生 动物医学 93.5 404 202244054 张苏亚 电子商务 普通高考招生 动物医学 87.5 405 2022730009 张米雪 药学 分类考试招生 动物医学 缺考 406 2022220180 王永 康复治疗技术 普通高考招生 动物医学 81.5 407 2022820236 彭芙蓉 婴幼儿托育服务 分类考试招生 动物医学 56.5 408 2022820327 罗艳未 婴幼儿托育服务与管理 分类考试招生 动物医学 72.5 409 2022820305 罗玉凤 婴幼儿托育服务与管理 普通高考招生 动物医学 69.5 410 2022810027 田新 旅游管理 分类考试招生 动物医学 54.5 411 2022810026 石春燕 旅游管理 分类考试招生 动物医学 33.5 412 2022810021 潘秀 旅游管理 分类考试招生 动物医学 52 413 2022810037 梅文波 旅游管理 分类考试招生 动物医学 36.5 414 2022810113 杨享先 旅游管理 高考招生 动物医学 63 415 2022810112 谭露 旅游管理 高考招生 动物医学 82.5 416 2022810062 罗阿松 旅游管理 高考招生 动物医学 68.5 417 2022810173 张叶 旅游管理 普通高考 动物医学 62.5 418 2022810154 彭思富 旅游管理 高考 动物医学 73.5 419 2022810164 段亚州 旅游管理 分类考试招生 动物医学 缺考 420 2022810119 罗松涛 旅游管理 普通高考 动物医学 缺考 421 2022610130 何海江 机电一体化技术 普通高考招生 农产品加工与质量检测 95 422 2022610245 龚米娜 机电一体化技术 普通高考招生 农产品加工与质量检测 62.5 423 2022610250 李富婷 机电一体化技术 普通高考招生 农产品加工与质量检测 81.5 424 202244070 田晓云 电子商务 普通高考招生 农产品加工与质量检测 76 425 李德科 农产品加工与质量检测 农产品加工与质量检测 48.5 426 张铭铭 农产品加工与质量检测 农产品加工与质量检测 88.5 427 周佳瑶 农产品加工与质量检测 农产品加工与质量检测 70.5 428 安亚凤 农产品加工与质量检测 农产品加工与质量检测 68 429 瞿奇 农产品加工与质量检测 农产品加工与质量检测 45.5 430 吴开祥 农产品加工与质量检测 农产品加工与质量检测 缺考 431 2022320057 汪兰 计算机网络技术 分类考试招生 婴幼儿托育服务与管理 57 432 2022320323 左春艳 计算机网络技术 普通高考招生 婴幼儿托育服务与管理 11 433 2022320302 罗英 计算机网络技术 普通高考招生 婴幼儿托育服务与管理 75 434 2022320301 陈小倩 计算机网络技术 普通高考招生 婴幼儿托育服务与管理 84.5 435 2022310046 卢青 物联网应用技术 普通高考招生 婴幼儿托育服务与管理 70 436 2022570108 罗秦夷 动物医学 分类考试招生 婴幼儿托育服务与管理 35 437 2022620215 刘嘉慧 大数据与会计 分类考试招生 婴幼儿托育服务与管理 58.5 438 2022810065 常玲 旅游管理 分类考试招生 婴幼儿托育服务与管理 46 439 2022810081 李瑶 旅游管理 分类考试招生 婴幼儿托育服务与管理 52 第 8 页 备注

铜仁职业技术学院2022年转专业暨乡村振兴班选拔考试成绩.xlsx




