杭州市2023年国家二级运动员技术等级审批名单.xlsx
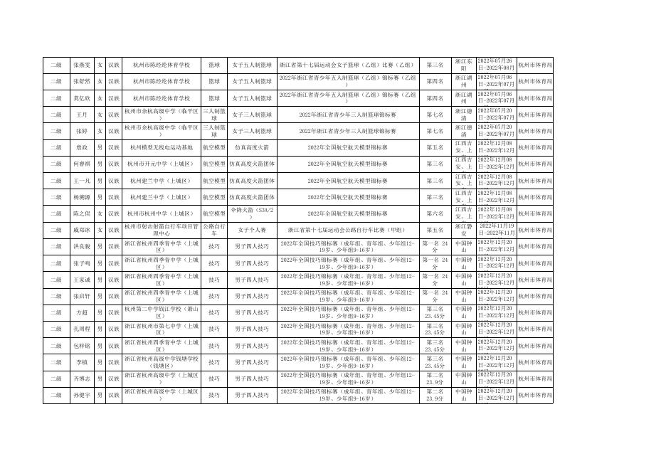
杭州市2023年国家二级运动员技术等级审批名单 技术等级 姓名 性别 民族 二级 姚恺诚 二级 代表单位 项目 小项 男 汉族 杭州市紫金港中学(西湖区) 田径 男子100米 冯怡欣 女 汉族 杭州市下沙中学(钱塘区) 田径 女子200米 二级 冯怡欣 女 汉族 杭州市下沙中学(钱塘区) 田径 女子100米 二级 陈伟枫 男 汉族 杭州捷英体育文化有限公司( 拱墅区) 田径 二级 陈伟枫 男 汉族 杭州捷英体育文化有限公司( 拱墅区) 二级 林雨杰 男 汉族 二级 余一恒 二级 比赛名称 2022年浙江省中学生田径锦标赛暨浙江省第十五届中学 生运动会田径比赛(高中地市组、高中学校组、初中组 ) 2022年浙江省中学生田径锦标赛暨浙江省第十五届中学 比赛成绩 比赛地点 比赛时间 审批单位 0:12.83 男子100米 生运动会田径比赛(高中地市组、高中学校组、初中组 ) 2022年U系列田径联赛(第5站) 田径 男子200米 2022年U系列田径联赛(第5站) 0:23.24 杭州市钱塘高级中学(钱塘区 ) 田径 男子铅球(6千克 ) 2022年U系列田径联赛(第5站) 14.53米 男 汉族 杭州市钱塘高级中学(钱塘区 ) 田径 男子100米 2022年U系列田径联赛(第5站) 0:11.59 李俊 男 汉族 杭州捷英体育文化有限公司( 拱墅区) 田径 男子100米 2022年U系列田径联赛(第5站) 0:11.57 二级 李俊 男 汉族 杭州捷英体育文化有限公司( 拱墅区) 田径 男子200米 2022年U系列田径联赛(第5站) 0:23.26 二级 梁瀚弘 男 汉族 杭州捷英体育文化有限公司( 拱墅区) 田径 男子100米 2022年U系列田径联赛(第5站) 0:11.56 二级 郭家乐 男 汉族 杭州市萧山区第三高级中学 田径 男子100米 2022年U系列田径联赛(第5站) 0:11.67 二级 方浩 男 汉族 杭州聚顺体育策划有限公司( 西湖区) 田径 男子200米 2022年U系列田径联赛(第5站) 0:23.31 二级 冯楚晴 女 汉族 浙江大学附属中学(西湖区) 网球 女子网球团体 第九届中国中学生网球锦标赛(初中组、高中组) 第五名 二级 李昊洲 男 汉族 杭州清新体育网球队 网球 男子网球团体 2022年全国网球青年团体锦标赛 第九名 浙江衢 2022年12月16 日-2022年12月 杭州市体育局 州 18日 浙江衢 2022年12月16 日-2022年12月 杭州市体育局 州 18日 浙江衢 2022年12月16 日-2022年12月 杭州市体育局 州 18日 浙江台 2022年11月04 日-2022年11月 杭州市体育局 州 06日 浙江台 2022年11月04 日-2022年11月 杭州市体育局 州 06日 浙江台 2022年11月04 日-2022年11月 杭州市体育局 州 06日 浙江台 2022年11月04 日-2022年11月 杭州市体育局 州 06日 浙江台 2022年11月04 日-2022年11月 杭州市体育局 州 06日 浙江台 2022年11月04 日-2022年11月 杭州市体育局 州 06日 浙江台 2022年11月04 日-2022年11月 杭州市体育局 州 06日 浙江台 2022年11月04 日-2022年11月 杭州市体育局 州 06日 浙江台 2022年11月04 日-2022年11月 杭州市体育局 州 06日 江西庐 2022年08月17 日-2022年08月 杭州市体育局 山 23日 2022年08月06 陕西杨凌 日-2022年08月 杭州市体育局 二级 金彦君 女 汉族 杭州全民健身中心 击剑 女子重剑个人 浙江省第十七届运动会击剑比赛(甲组) 第四名 13日 2022年09月27 浙江金华 日-2022年09月 杭州市体育局 二级 徐梦婷 女 汉族 杭州市余杭高级中学(临平区 ) 篮球 女子五人制篮球 2022年浙江省青少年五人制篮球(甲组)锦标赛(甲组 ) 第三名 二级 苏雨捷 女 汉族 杭州市余杭高级中学(临平区 ) 篮球 女子五人制篮球 2022年浙江省青少年五人制篮球(甲组)锦标赛(甲组 ) 第三名 二级 刘艺洁 女 汉族 杭州市余杭高级中学(临平区 ) 篮球 女子五人制篮球 2022年浙江省青少年五人制篮球(甲组)锦标赛(甲组 ) 第三名 二级 李思贤 女 汉族 杭州市陈经纶体育学校 篮球 女子五人制篮球 浙江省第十七届运动会女子篮球(乙组)比赛(乙组) 第三名 生运动会田径比赛(高中地市组、高中学校组、初中组 ) 2022年浙江省中学生田径锦标赛暨浙江省第十五届中学 0:11.59 0:26.53 0:11.39 30日 浙江湖 2022年07月12 日-2022年07月 杭州市体育局 州 18日 浙江湖 2022年07月12 日-2022年07月 杭州市体育局 州 18日 浙江湖 2022年07月12 日-2022年07月 杭州市体育局 州 18日 浙江东 2022年07月26 日-2022年08月 杭州市体育局 阳 02日 二级 张燕雯 女 汉族 杭州市陈经纶体育学校 篮球 女子五人制篮球 浙江省第十七届运动会女子篮球(乙组)比赛(乙组) 第三名 二级 张舒然 女 汉族 杭州市陈经纶体育学校 篮球 女子五人制篮球 2022年浙江省青少年五人制篮球(乙组)锦标赛(乙组 ) 第四名 二级 莫亿欣 女 汉族 杭州市陈经纶体育学校 篮球 女子五人制篮球 2022年浙江省青少年五人制篮球(乙组)锦标赛(乙组 ) 第四名 二级 王月 女 汉族 杭州市余杭高级中学(临平区 三人制篮 ) 球 女子三人制篮球 2022年浙江省青少年三人制篮球锦标赛 第七名 二级 张婷 女 汉族 杭州市余杭高级中学(临平区 三人制篮 ) 球 女子三人制篮球 2022年浙江省青少年三人制篮球锦标赛 第七名 二级 詹政 男 汉族 杭州模型无线电运动基地 航空模型 仿真高度火箭 2022年全国航空航天模型锦标赛 第五名 二级 何睿祺 男 汉族 杭州市开元中学(上城区) 航空模型 仿真高度火箭团体 2022年全国航空航天模型锦标赛 第三名 二级 王一凡 男 汉族 杭州建兰中学(上城区) 航空模型 仿真高度火箭团体 2022年全国航空航天模型锦标赛 第三名 二级 杨溯源 男 汉族 杭州建兰中学(上城区) 航空模型 仿真高度火箭团体 2022年全国航空航天模型锦标赛 第三名 二级 陈之俣 女 汉族 杭州市杭州中学(上城区) 航空模型 伞降火箭(S3A/2 ) 2022年全国航空航天模型锦标赛 第六名 二级 戚郑冰 女 汉族 杭州市射击射箭自行车项目管 公路自行 理中心 车 女子个人赛 浙江省第十七届运动会公路自行车比赛(甲组) 第五名 二级 洪良骏 男 汉族 浙江省杭州四季青中学(上城 区) 技巧 男子四人技巧 2022年全国技巧锦标赛(成年组、青年组、少年组1219岁、少年组9-16岁) 第一名 24 分 二级 张子鸣 男 汉族 浙江省杭州四季青中学(上城 区) 技巧 男子四人技巧 2022年全国技巧锦标赛(成年组、青年组、少年组1219岁、少年组9-16岁) 第一名 24 分 二级 王家诚 男 汉族 浙江省杭州四季青中学(上城 区) 技巧 男子四人技巧 2022年全国技巧锦标赛(成年组、青年组、少年组1219岁、少年组9-16岁) 第一名 24 分 二级 张启轩 男 汉族 浙江省杭州四季青中学(上城 区) 技巧 男子四人技巧 2022年全国技巧锦标赛(成年组、青年组、少年组1219岁、少年组9-16岁) 第一名 24 分 二级 方超 男 汉族 杭州第二中学钱江学校(萧山 区) 技巧 男子四人技巧 2022年全国技巧锦标赛(成年组、青年组、少年组1219岁、少年组9-16岁) 第三名 23.45分 二级 孔周程 男 汉族 浙江省杭州市第七中学(上城 区) 技巧 男子四人技巧 2022年全国技巧锦标赛(成年组、青年组、少年组1219岁、少年组9-16岁) 第三名 23.45分 二级 包梓铭 男 汉族 浙江省杭州四季青中学(上城 区) 技巧 男子四人技巧 2022年全国技巧锦标赛(成年组、青年组、少年组1219岁、少年组9-16岁) 第三名 23.45分 二级 李镇 男 汉族 浙江省杭州高级中学钱塘学校 (钱塘区) 技巧 男子四人技巧 2022年全国技巧锦标赛(成年组、青年组、少年组1219岁、少年组9-16岁) 第三名 23.45分 二级 齐博志 男 汉族 浙江省杭州高级中学(上城区 ) 技巧 男子四人技巧 2022年全国技巧锦标赛(成年组、青年组、少年组1219岁、少年组9-16岁) 第二名 23.9分 二级 孙健宇 男 汉族 浙江省杭州高级中学(上城区 ) 技巧 男子四人技巧 2022年全国技巧锦标赛(成年组、青年组、少年组1219岁、少年组9-16岁) 第二名 23.9分 浙江东 2022年07月26 日-2022年08月 杭州市体育局 阳 02日 浙江湖 2022年07月06 日-2022年07月 杭州市体育局 州 11日 浙江湖 2022年07月06 日-2022年07月 杭州市体育局 州 11日 浙江德 2022年07月20 日-2022年07月 杭州市体育局 清 24日 浙江德 2022年07月20 日-2022年07月 杭州市体育局 清 江西吉 24日 2022年12月08 安、上 日-2022年12月 杭州市体育局 海 江西吉 安、上 海 江西吉 18日 2022年12月08 日-2022年12月 杭州市体育局 18日 2022年12月08 安、上 日-2022年12月 杭州市体育局 海 18日 江西吉 2022年12月08 安、上 日-2022年12月 杭州市体育局 海 江西吉 安、上 海 浙江磐 安 18日 2022年12月08 日-2022年12月 杭州市体育局 18日 2022年11月19 日-2022年11月 杭州市体育局 21日 中国钟 2022年12月20 日-2022年12月 杭州市体育局 山 30日 中国钟 2022年12月20 日-2022年12月 杭州市体育局 山 30日 中国钟 2022年12月20 日-2022年12月 杭州市体育局 山 30日 中国钟 2022年12月20 日-2022年12月 杭州市体育局 山 30日 中国钟 2022年12月20 日-2022年12月 杭州市体育局 山 30日 中国钟 2022年12月20 日-2022年12月 杭州市体育局 山 30日 中国钟 2022年12月20 日-2022年12月 杭州市体育局 山 30日 中国钟 2022年12月20 日-2022年12月 杭州市体育局 山 30日 中国钟 2022年12月20 日-2022年12月 杭州市体育局 山 30日 中国钟 2022年12月20 日-2022年12月 杭州市体育局 山 30日 二级 任成灏 男 汉族 浙江省杭州高级中学(上城区 ) 技巧 男子四人技巧 2022年全国技巧锦标赛(成年组、青年组、少年组1219岁、少年组9-16岁) 第二名 23.9分 二级 王科翔 男 汉族 浙江省杭州高级中学(上城区 ) 技巧 男子四人技巧 2022年全国技巧锦标赛(成年组、青年组、少年组1219岁、少年组9-16岁) 第二名 23.9分 二级 张涵韵 女 汉族 浙江省杭州高级中学(上城区 ) 技巧 女子三人技巧 2022年全国技巧锦标赛(成年组、青年组、少年组1219岁、少年组9-16岁) 第四名 23.5分 二级 李思婷 女 汉族 浙江省杭州高级中学(上城区 ) 技巧 女子三人技巧 2022年全国技巧锦标赛(成年组、青年组、少年组1219岁、少年组9-16岁) 第四名 23.5分 二级 俞谦 女 汉族 浙江省杭州高级中学(上城区 ) 技巧 女子三人技巧 2022年全国技巧锦标赛(成年组、青年组、少年组1219岁、少年组9-16岁) 第四名 23.5分 二级 周咨君 女 汉族 杭州市夏衍初级中学(上城区 ) 手球 女子手球 2022年中国中学生手球锦标赛暨全国青少年传统校手球 锦标赛(U18/U16) 第四名 中国钟 2022年12月20 日-2022年12月 杭州市体育局 山 30日 中国钟 2022年12月20 日-2022年12月 杭州市体育局 山 30日 中国钟 2022年12月20 日-2022年12月 杭州市体育局 山 30日 中国钟 2022年12月20 日-2022年12月 杭州市体育局 山 30日 中国钟 2022年12月20 日-2022年12月 杭州市体育局 山 30日 2022年07月29 建德 日-2022年08月 杭州市体育局 二级 张甜甜 女 汉族 杭州市夏衍初级中学(上城区 ) 手球 女子手球 2022年中国中学生手球锦标赛暨全国青少年传统校手球 锦标赛(U18/U16) 第四名 建德 二级 徐佳奕 女 汉族 杭州市夏衍初级中学(上城区 ) 手球 女子手球 2022年中国中学生手球锦标赛暨全国青少年传统校手球 锦标赛(U18/U16) 第四名 建德 二级 汤子洱 女 汉族 杭州市夏衍初级中学(上城区 ) 手球 女子手球 2022年中国中学生手球锦标赛暨全国青少年传统校手球 锦标赛(U18/U16) 第四名 建德 二级 高一铭 男 汉族 杭州市夏衍初级中学(上城区 ) 手球 男子手球 2022年中国中学生手球锦标赛暨全国青少年传统校手球 锦标赛(U18/U16) 第六名 建德 二级 吴子宸 男 汉族 杭州市夏衍初级中学(上城区 ) 手球 男子手球 2022年中国中学生手球锦标赛暨全国青少年传统校手球 锦标赛(U18/U16) 第六名 建德 二级 王海诺 男 汉族 杭州市夏衍初级中学(上城区 ) 手球 男子手球 2022年中国中学生手球锦标赛暨全国青少年传统校手球 锦标赛(U18/U16) 第六名 建德 二级 杭辰 男 汉族 杭州市夏衍初级中学(上城区 ) 手球 男子手球 2022年中国中学生手球锦标赛暨全国青少年传统校手球 锦标赛(U18/U16) 第六名 二级 李学谦 女 汉族 杭州市陈经纶体育学校 篮球 女子五人制篮球 2022全国U17青少年篮球联赛前十六强决赛 第十名 13日 2022年07月29 日-2022年08月 杭州市体育局 13日 2022年07月29 日-2022年08月 杭州市体育局 13日 2022年07月29 日-2022年08月 杭州市体育局 13日 2022年07月29 日-2022年08月 杭州市体育局 13日 2022年07月29 日-2022年08月 杭州市体育局 13日 2022年07月29 日-2022年08月 杭州市体育局 13日 2022年07月29 日-2022年08月 杭州市体育局 13日 辽宁丹 2022年11月24 东、四 日-2022年12月 杭州市体育局 川内江 02日 建德

杭州市2023年国家二级运动员技术等级审批名单.xlsx

