2018年临时救助人员名单.pdf
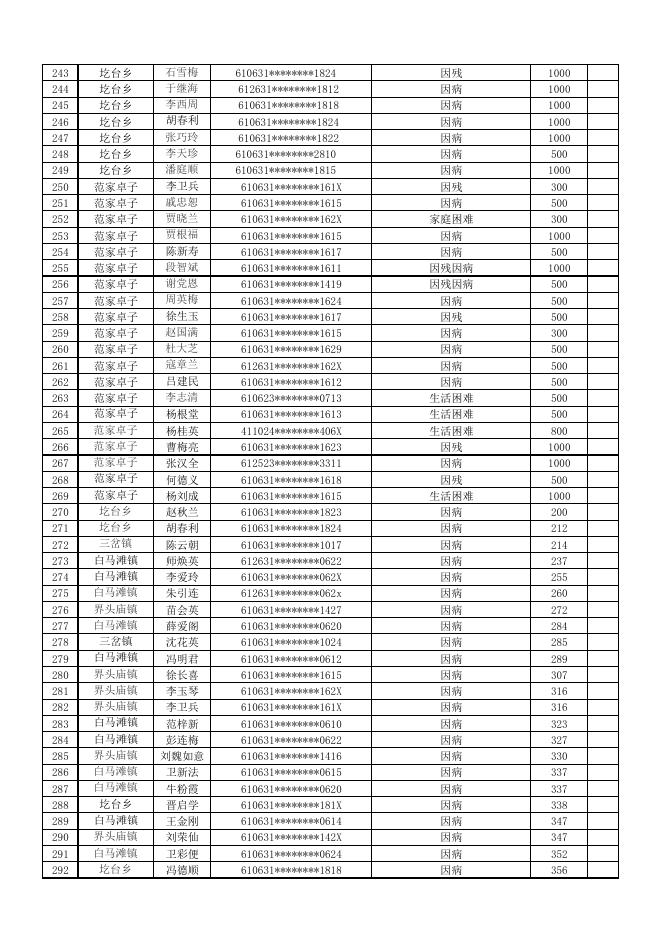
2018年临时救助人员名单 序号 乡镇(社区) 姓名 身份证号 救助事由 救助金额 备注 1 崾崄乡 郭永菊 612631********121x 患病 1000 2 崾崄乡 张寿青 612631********1230 残疾 1000 3 崾崄乡 徐德金 610631********1216 患病 500 4 崾崄乡 李玉英 610631********1225 残疾 500 5 崾崄乡 王立财 612631********1215 家庭困难 500 6 崾崄乡 王春霞 610631********122x 患病 500 王俊峰 610631********1216 因病 500 刘玉荣 132626********0528 因残 500 7 8 崾崄乡 崾崄乡 9 崾崄乡 高秀华 610631********1211 因病 500 10 崾崄乡 曹春生 610631********1233 残疾 500 11 城东社区 骈晓霞 610631********0028 患有骨肉瘤 1000 12 城东社区 宋艺含 610631********0043 因病 1000 13 城东社区 陈喜梅 610631********0022 常年有病,无劳动能力 1000 14 城东社区 李凤莲 612631********0021 常年有病,瘫痪在床 1000 15 城东社区 赵金玉 612631********0312 因病 2000 16 城东社区 412702********2733 常年有病,瘫痪在床 500 17 城东社区 刘福昌 陈恩轩 610629********0071 因病 1000 18 城东社区 何样巧 610631********0625 因病 500 19 城东社区 魏红军 610631********0613 因残,无劳动能力 3000 城东社区 成惠婷 612631********0025 因病 1000 21 三岔镇 刘俊前 610631********1012 因病 1000 22 三岔镇 胡世民 610631********1010 因病 1000 23 三岔镇 安应胜 610631********1036 因病 800 24 三岔镇 贺俊梅 610631********1041 因病 1000 25 三岔镇 袁新海 610631********1016 生活困难 600 三岔镇 韩守均 610631********1027 生活困难 600 27 三岔镇 田周 610631********1015 生活困难 500 28 三岔镇 冯世荣 610631********1014 因病 500 29 三岔镇 徐敬然 610631********1019 生活困难 1000 30 三岔镇 张惯平 610631********1001 生活困难 500 31 西社区 杨艳霞 610629********6529 因病 2000 西社区 李延玲 610581********0663 因病 2000 西社区 潘侠侠 610631********0020 因病 1000 34 西社区 张喜平 610631********0070 因残 500 35 西社区 郭志高 612631********0013 因病 3000 36 西社区 李银亭 612631********0026 生活困难 1000 37 西社区 杨敬梅 612631********0045 因病 1000 38 西社区 毛玉东 610631********0014 因病 2000 西社区 李万海 612631********0017 生活困难 1000 西社区 界头庙镇 界头庙镇 孙玉儒 610631********0016 610631********1423 610631********1612 因病,无生活来源 因病 因病 2000 500 500 20 26 32 33 39 40 41 42 习秀梅 罗移明 43 44 45 46 47 48 49 50 51 52 53 54 55 56 57 58 59 60 61 62 63 64 65 66 67 68 69 70 71 72 73 74 75 76 77 78 79 80 81 82 83 84 85 86 87 88 89 90 91 92 界头庙镇 界头庙镇 界头庙镇 界头庙镇 界头庙镇 界头庙镇 界头庙镇 界头庙镇 界头庙镇 西社区 西社区 西社区 西社区 西社区 西社区 西社区 西社区 西社区 西社区 西社区 西社区 西社区 西社区 西社区 西社区 西社区 西社区 西社区 西社区 柏峪 柏峪 柏峪 柏峪 柏峪 柏峪 柏峪 柏峪 柏峪 柏峪 柏峪 柏峪 柏峪 柏峪 柏峪 柏峪 柏峪 柏峪 柏峪 柏峪 红石崖社区 杨凤林 王文学 董艳丽 王党花 唐传安 徐根成 张磊磊 朱明学 解百文 吕荣 杨保来 高柱英 孟淑荣 岳爱云 李晨 汪冬梅 侯秀栓 刘斌 张际动 李顺芹 李淑英 屈兰英 刘连梅 王喜莲 高改叶 柴新燕 石斌朗 冯明朗 徐自兰 薛敏学 王慧芳 高启斌 雷景福 卫岁民 高英各 曹德明 张耀堂 潘雪兰 焦有各 刘民权 刘金奇 郑建春 孙少仓 薛金权 赵锁明 孙小宝 薛麦莲 刘随红 邢新平 周生全 610631********1614 610631********1417 610631********1426 610631********1429 610631********1414 610631********1413 610631********1418 610631********1412 610631********1417 610631********0020 610631********031x 610631********0327 610631********1629 612631********0028 610631********0038 612128********5528 610631********0028 610631********0318 612631********0017 612631********0022 610631********0045 612631********0027 610631********0022 612631********0021 610631********0025 612631********0045 612631********0011 610631********0012 610631********0314 610631********2216 610631********2228 610631********2218 610631********0070 610631********2212 610631********2224 610631********2215 610631********2218 610631********2223 610631********2224 610631********2212 612631********2218 610631********2210 610631********2211 610631********2213 610631********2235 610631********2211 610631********2228 610631********2213 610631********2211 612631********2018 生活困难 生活困难 因病 因病 因病 因病 生活困难 因病 因病 生活困难 生活困难 生活困难 因病 生活困难 生活困难 因病 因病 生活困难 生活困难 年龄大,常年有病 年龄大,无人照顾,生活困难 年龄大,常年患病,生活困难 老伴因胃癌去世,生活困难 生活困难 年龄大,常住院 生活困难 生活困难 年龄大,无生活来源,困难 生活困难 因病 因病 因病 因病 因病 年龄大,生活困难 常年有病 年龄大,生活困难 生活困难 因病 因病 因病 因病 年龄大,生活困难 常年有病 年龄大因病 因病 年龄大无劳力及经济来源 年龄大,生活困难 常年有病 因灾 500 500 300 500 300 500 500 500 500 1000 1000 1000 1000 2000 1000 1000 3000 1500 1000 1000 500 500 2000 500 1000 1000 1000 1000 1000 800 800 1000 1000 1000 800 600 600 600 800 600 600 600 600 600 600 600 800 600 600 1000 93 94 95 96 97 98 99 100 101 102 103 104 105 106 107 108 109 110 111 112 113 114 115 116 117 118 119 120 121 122 123 124 125 126 127 128 129 130 131 132 133 134 135 136 137 138 139 140 141 142 红石崖社区 红石崖社区 红石崖社区 红石崖社区 红石崖社区 红石崖社区 红石崖社区 红石崖社区 红石崖社区 红石崖社区 红石崖社区 红石崖社区 红石崖社区 红石崖社区 红石崖社区 红石崖社区 红石崖社区 红石崖社区 红石崖社区 石堡镇 石堡镇 石堡镇 石堡镇 石堡镇 石堡镇 石堡镇 石堡镇 石堡镇 石堡镇 石堡镇 石堡镇 石堡镇 石堡镇 石堡镇 石堡镇 石堡镇 石堡镇 石堡镇 石堡镇 石堡镇 石堡镇 石堡镇 石堡镇 石堡镇 石堡镇 石堡镇 石堡镇 石堡镇 石堡镇 白马滩镇 张振国 黄巧玲 杨有民 张锋娃 田忠民 周忠文 吴广文 付银凤 刘有军 周李娃 刘文海 王根才 刘学军 王福成 刘爱民 米忠锁 周增文 陈永俊 孙志学 陈守功 姬兰成 邹继发 武秀娥 李宗明 刘玉臣 马铁锁 薛天社 张兴安 乔加停 于爱青 李爱花 吴绪成 孙秀莲 张修民 侯宝民 程相云 袁忠平 李德平 刘玉臣 王菊花 杨树良 邬学莲 郑关清 米月勤 谢安平 彭家治 谷留忠 古原成 刘凤英 高成财 612631********2018 610631********2022 610631********2017 610631********2017 612631********2011 610631********2017 612631********2015 612631********2022 610631********2014 610631********2011 612631********2016 610631********2018 610631********2012 612631********2013 612631********2018? 610631********2016 612631********2012 610631********2018 610631********201X 610631********31x 610631********0316 612631********0319 610631********0321 612631********0339 610631********031x 610631********0315 612631********0353 612631********0317 610631********0319 610631********0323 610631********0328 610631********0319 610631********0321 610631********0318 610631********0314 610631********0311 610631********0310 610631********0311 610631********031x 610631********1022 612631********0311 612631********0326 612631********0313 612523********1526 612631********0315 610631********0318 612631********0316 610631********0318 610631********0329 610631********0613 因病 因病 因病 因病 因病 无收入 因病 因病 因病 因病 因病 因病 因病 因病 因灾 生活困难 生活困难 孩子上学 因病 因病 因病 因病 因病 因灾 因灾 因病 因病 因病 因病 生活困难 因病 因残 因学 生活困难 因残 因病 因灾 因病 因灾 因病 因病 因病 因病 因病 因病 因灾 因病 因病 因病 因病 1000 500 500 500 500 1000 1000 1000 500 500 500 500 1000 500 1000 1000 1000 1000 1000 500 1000 500 500 1000 1000 1000 1000 1000 1000 1000 1000 700 500 1000 1000 500 1000 500 1000 1000 500 1000 1000 300 300 1000 500 500 800 1000 143 144 145 146 147 148 149 150 151 152 153 154 155 156 157 158 159 160 161 162 163 164 165 166 167 168 169 170 171 172 173 174 175 176 177 178 179 180 181 182 183 184 185 186 187 188 189 190 191 192 白马滩镇 白马滩镇 白马滩镇 白马滩镇 白马滩镇 白马滩镇 白马滩镇 白马滩镇 白马滩镇 白马滩镇 白马滩镇 白马滩镇 白马滩镇 白马滩镇 白马滩镇 白马滩镇 白马滩镇 白马滩镇 白马滩镇 白马滩镇 白马滩镇 白马滩镇 白马滩镇 白马滩镇 白马滩镇 白马滩镇 白马滩镇 白马滩镇 白马滩镇 白马滩镇 白马滩镇 白马滩镇 白马滩镇 白马滩镇 白马滩镇 白马滩镇 白马滩镇 白马滩镇 白马滩镇 白马滩镇 白马滩镇 白马滩镇 白马滩镇 白马滩镇 白马滩镇 白马滩镇 白马滩镇 瓦子街镇 瓦子街镇 瓦子街镇 陈春安 宋喜唐 薛苗苗 张焕娣 张全法 赵会玲 冯爱英 吴建民 王凤春 王民德 韩桂花 王三民 薛卫锋 王焕绪 黄竹琴 卫英 彭连梅 李建玲 谢文刚 吴虎贤 李莲花 曹春焕 杨根英 张福贤 王便芳 刘三其 赵国发 李汉英 莫茂学 李秀兰 彭雪琴 王秀梅 李朝平 章华贵 宋永德 范连城 范灵学 王引凤 李金贵 同引阁 张伟明 孙赛勤 薛玉芳 邓唤梅 冯爱珍 冯明君 马红运 张嘉乐 刘永红 刘新财 610631********0611 610631********0632 610631********0628 610631********0629 610631********0637 610631********0622 610631********0620 610631********0613 610631********0623 610631********0611 610631********0624 610631********061X 610631********0610 610631********0629 610631********0629 610631********0628 610631********0622 610631********0642 612631********0614 610631********0610 610631********0622 612631********0624 610631********0620 610631********0617 610631********0624 610631********061X 612631********0615 612631********0637 610631********0611 610631********0621 610631********0622 612631********0622 610631********0613 610631********0615 610631********0650 610631********0617 610631********061X 612631********062X 610631********0615 612631********0649 610631********0612 610631********0627 612631********0623 610631********062x 610631********0627 610631********0612 610631********0610 610631********2616 610631********2635 612631********2615 因病 因病 因病 因病 因病 因病 因病 因病 因病 因病 因病 因病 因病 因病 因病 因病 因病 因病 因病 因病 因病 因病 因病 因病 因病 因病 因病 因病 因病 因病 因病 因病 因病 因病 因病 因病 因病 因病 因病 因病 因病 因病 因病 因病 因病 因病 因病 教育 教育 因病 1000 1000 1000 1000 1000 1000 1000 1000 1000 1000 1000 1000 1000 1000 1000 1000 1000 1000 1000 1000 1000 1000 1000 1000 1000 1000 1000 1000 1000 1000 1000 1000 1000 1000 1000 1000 1000 1000 1000 1000 1000 1000 1000 1000 1000 1000 1000 500 500 500 193 194 195 196 197 198 199 200 201 202 203 204 205 206 207 208 209 210 211 212 213 214 215 216 217 218 219 220 221 222 223 224 225 226 227 228 229 230 231 232 233 234 235 236 237 238 239 240 241 242 瓦子街镇 瓦子街镇 瓦子街镇 瓦子街镇 瓦子街镇 瓦子街镇 瓦子街镇 瓦子街镇 瓦子街镇 瓦子街镇 瓦子街镇 瓦子街镇 瓦子街镇 瓦子街镇 瓦子街镇 瓦子街镇 瓦子街镇 瓦子街镇 瓦子街镇 瓦子街镇 瓦子街镇 瓦子街镇 瓦子街镇 瓦子街镇 瓦子街镇 瓦子街镇 瓦子街镇 圪台乡 圪台乡 圪台乡 圪台乡 圪台乡 圪台乡 圪台乡 圪台乡 圪台乡 圪台乡 圪台乡 圪台乡 圪台乡 圪台乡 圪台乡 圪台乡 圪台乡 圪台乡 圪台乡 圪台乡 圪台乡 圪台乡 圪台乡 李树春 牛翠红 邵菊侠 高文升 乔虎娥 陈学召 刘东明 赵素萍 张凤华 韩瑞琴 白长兰 殷秀珍 孙喜亮 殷秀荣 周建东 刘红云 李兰花 黄玉库 陈桂娥 卜志军 周合合 贺春爱 薛蕊萍 史振东 雷震青 张明星 陈福召 马玉良 刘晓刚 苗竹青 常少虎 马文和 马应兰 任引莲 李俊停 马玉良 杨春和 孟成胜 张云龙 王便阁 宋增兰 潘红军 庞广志 石崇泽 杨治军 王启金 孙喜民 韩海玲 马章峰 白云桂 610631********2623 610631********2629 610631********2626 612631********261X 610631********2649 610631********2612 612631********2615 612631********2644 612631********2422 612631********2422 610631********2424 610631********2426 610631********2414 612631********2444 612624********4219 610631********2421 612631********2424 612631********2415 610631********2625 610631********2611 610631********2619 610631********2621 610631********2641 612631********2618 610631********2648 610631********2643 612631********2619 610631********2817 610631********1815 610631********1829 610631********1814 610631********1812 610631********1824 610631********1820 610631********1812 610631********2817 610631********1833 610631********1812 610631********1818 610631********1829 612128********1320 610631********1819 610631********2810 610631********1838 610631********1811 610631********1810 610631********1812 610631********1829 610631********1826 610631********1818 因病 因病 生活困难 生活困难 生活困难 因病 生活困难 因病 因病 因病 因病 教育 因病 生活困难 因病 教育 因病 因病 因病 因病 因病 因病 因病 残疾 残疾 生活困难 生活困难 火灾 重病 重病 重病 因病 残疾 生活困难 生活困难 火灾 家中着火 生活困难 因灾 无劳力,生活困难 生活困难 生活困难 重病 因病 生活困难 因病 生活困难 因病 残疾 因病 500 500 500 500 500 500 500 500 500 500 500 500 500 500 500 500 500 500 500 1000 1000 1000 1000 1000 1000 500 500 1000 1000 1000 1000 800 1000 500 500 1000 1000 300 1000 1000 1000 1000 1000 500 1000 500 500 600 1000 1000 243 244 245 246 247 248 249 250 251 252 253 254 255 256 257 258 259 260 261 262 263 264 265 266 267 268 269 270 271 272 273 274 275 276 277 278 279 280 281 282 283 284 285 286 287 288 289 290 291 292 圪台乡 圪台乡 圪台乡 圪台乡 圪台乡 圪台乡 圪台乡 范家卓子 范家卓子 范家卓子 范家卓子 范家卓子 范家卓子 范家卓子 范家卓子 范家卓子 范家卓子 范家卓子 范家卓子 范家卓子 范家卓子 范家卓子 范家卓子 范家卓子 范家卓子 范家卓子 范家卓子 圪台乡 圪台乡 三岔镇 白马滩镇 白马滩镇 白马滩镇 界头庙镇 白马滩镇 三岔镇 白马滩镇 界头庙镇 界头庙镇 界头庙镇 白马滩镇 白马滩镇 界头庙镇 白马滩镇 白马滩镇 圪台乡 白马滩镇 界头庙镇 白马滩镇 圪台乡 石雪梅 于继海 李西周 胡春利 张巧玲 李天珍 潘庭顺 李卫兵 戚忠恕 贾晓兰 贾根福 陈新寿 段智斌 谢党恩 周英梅 徐生玉 赵国满 杜大芝 寇章兰 吕建民 李志清 杨根堂 杨桂英 曹梅亮 张汉全 何德义 杨刘成 赵秋兰 胡春利 陈云朝 师焕英 李爱玲 朱引连 苗会英 薛爱阁 沈花英 冯明君 徐长喜 李玉琴 李卫兵 范梓新 彭连梅 刘魏如意 卫新法 牛粉霞 晋启学 王金刚 刘荣仙 卫彩便 冯德顺 610631********1824 612631********1812 610631********1818 610631********1824 610631********1822 610631********2810 610631********1815 610631********161X 610631********1615 610631********162X 610631********1615 610631********1617 610631********1611 610631********1419 610631********1624 610631********1617 610631********1615 610631********1629 612631********162X 610631********1612 610623********0713 610631********1613 411024********406X 610631********1623 612523********3311 610631********1618 610631********1615 610631********1823 610631********1824 610631********1017 612631********0622 610631********062X 612631********062x 610631********1427 610631********0620 610631********1024 610631********0612 610631********1615 610631********162X 610631********161X 610631********0610 610631********0622 610631********1416 610631********0615 610631********0620 610631********181X 610631********0614 610631********142X 610631********0624 610631********1818 因残 因病 因病 因病 因病 因病 因病 因残 因病 家庭困难 因病 因病 因残因病 因残因病 因病 因残 因病 因病 因病 因病 生活困难 生活困难 生活困难 因残 因病 因残 生活困难 因病 因病 因病 因病 因病 因病 因病 因病 因病 因病 因病 因病 因病 因病 因病 因病 因病 因病 因病 因病 因病 因病 因病 1000 1000 1000 1000 1000 500 1000 300 500 300 1000 500 1000 500 500 500 300 500 500 500 500 500 800 1000 1000 500 1000 200 212 214 237 255 260 272 284 285 289 307 316 316 323 327 330 337 337 338 347 347 352 356 293 294 295 296 297 298 299 300 301 302 303 304 305 306 307 308 309 310 311 312 313 314 315 316 317 318 319 320 321 322 323 324 325 326 327 328 329 330 331 332 333 334 335 336 337 338 339 340 341 342 圪台乡 白马滩镇 界头庙镇 瓦子街镇 石堡镇 瓦子街镇 界头庙镇 界头庙镇 界头庙镇 界头庙镇 圪台乡 石堡镇 界头庙镇 白马滩镇 崾崄乡 界头庙镇 崾崄乡 白马滩镇 界头庙镇 界头庙镇 三岔镇 白马滩镇 白马滩镇 界头庙镇 白马滩镇 圪台乡 白马滩镇 石堡镇 界头庙镇 界头庙镇 圪台乡 界头庙镇 圪台乡 崾崄乡 界头庙镇 白马滩镇 石堡镇 圪台乡 界头庙镇 界头庙镇 瓦子街镇 白马滩镇 瓦子街镇 崾崄乡 白马滩镇 界头庙镇 界头庙镇 界头庙镇 瓦子街镇 石堡镇 张逊芳 朱恩惠 孙如本 惠光兰 孙秀荣 张素珍 郭青兰 刘汉富 魏新民 秦彦玲 李淑珍 谢立琴 刘希殿 冯建民 吴维菊 刘凤霞 杨金兰 宋万民 杨伯党 董秀兰 张世斌 窦风琴 赵国发 刘丰原 王爱珍 牛润斗 杜转各 贾建明 王翠英 张福印 张巧玲 宋根生 李月英 姜玉莲 候起成 邱淑连 孙大洲 郝秀芳 白彦忠 刘丰原 陈进荣 陈春安 张桂菊 刘凤珍 毋巧珍 孙占秀 张广顺 段金芳 张廷升 常君睿 610631********1827 610631********0622 610631********1617 612631********2425 610631********0341 610631********262X 610631********1626 610631********1414 610631********1613 610631********1626 610631********1821 612631********0325 610631********1416 610631********0614 610631********1227 610631********1428 610631********1229 610631********0610 610631********1612 610631********1420 610631********1033 610631********0621 612631********0615 610631********1618 610631********0623 612731********4816 610631********0627 610631********0310 610631********1424 610631********141X 610631********1822 610631********1417 610631********1822 610631********1226 610631********1411 142431********3629 612631********0313 610631********1827 610631********1636 610631********1618 610631********2613 610631********0611 612631********2626 132629********6920 610631********0627 610631********142X 610631********1619 610631********1646 610631********2411 610631********0018 因病 因病 因病 因病 因病 因病 因病 因病 因病 因病 因病 因病 因病 因病 因病 因病 因病 因病 因病 因病 因病 因病 因病 因病 因病 因病 因病 因病 因病 因病 因病 因病 因病 因病 因病 因病 因病 因病 因病 因病 因病 因病 因病 因病 因病 因病 因病 因病 因病 因病 357 359 359 361 362 363 377 387 387 389 390 390 396 399 399 400 404 412 414 414 418 420 421 421 427 429 434 435 438 440 442 452 457 458 460 464 465 468 472 473 473 479 495 496 503 505 507 508 517 523 343 344 345 346 347 348 349 350 351 352 353 354 355 356 357 358 359 360 361 362 363 364 365 366 367 368 369 370 371 372 373 374 375 376 377 378 379 380 381 382 383 384 385 386 387 388 389 390 391 392 石堡镇 白马滩镇 圪台乡 界头庙镇 三岔镇 瓦子街镇 瓦子街镇 瓦子街镇 白马滩镇 崾崄乡 崾崄乡 界头庙镇 瓦子街镇 界头庙镇 界头庙镇 圪台乡 白马滩镇 白马滩镇 界头庙镇 瓦子街镇 白马滩镇 瓦子街镇 石堡镇 瓦子街镇 界头庙镇 圪台乡 瓦子街镇 石堡镇 石堡镇 石堡镇 三岔镇 白马滩镇 白马滩镇 界头庙镇 界头庙镇 界头庙镇 瓦子街镇 白马滩镇 界头庙镇 瓦子街镇 瓦子街镇 圪台乡 界头庙镇 瓦子街镇 石堡镇 瓦子街镇 瓦子街镇 白马滩镇 界头庙镇 白马滩镇 张柏叶 卫新法 宋有才 惠昌 田周 刘忠民 杨九娥 杨银娥 王焕珍 常金萍 张祥兰 谢景花 冯志科 周华 马柏银 李花 王芳民 张华明 刘凤霞 刘三祥 孙民法 冯彩珍 张柏叶 刘玉红 王月英 刘进福 陈进荣 朱云妮 张德恩 何样巧 刘生有 陈春安 张华明 陈云生 冯守权 李守中 杨银娥 王全阁 邱爱莲 乔红红 王秀花 李会民 韩振元 刘军利 贾建明 王玉环 刘玉红 王琴英 曹张保 孙志强 612631********002X 610631********0615 610631********281x 610631********1615 610631********1015 610631********2610 612630********1869 612631********2624 610631********2222 610631********1224 610631********1228 610631********1626 612631********2610 610631********1612 610631********1425 610631********182x 610631********2220 610631********0610 610631********1428 610631********2615 612631********061X 610631********2623 612631********002X 612631********2615 610631********162X 612631********181X 610631********2613 410223********6021 610631********0311 610631********0625 610631********1011 610631********0611 610631********0610 610631********1413 610631********1613 610631********1410 612631********2624 610631********0642 610631********1423 610631********2620 612631********2622 610631********181x 610631********1437 612631********2612 610631********0310 610631********2624 612631********2615 610631********0623 610631********1410 610631********0610 因病 因病 因病 因病 因病 因病 因病 因病 因病 因病 因病 因病 因病 因病 因病 因病 因病 因病 因病 因病 因病 因病 因病 因病 因病 因病 因病 因病 因病 因病 因病 因病 因病 因病 因病 因病 因病 因病 因病 因病 因病 因病 因病 因病 因病 因病 因病 因病 因病 因病 524 527 529 537 545 547 568 575 579 587 599 618 621 640 644 666 668 679 690 726 732 769 775 791 798 816 840 874 888 895 902 904 905 907 928 936 947 954 954 960 983 988 1004 1021 1032 1036 1037 1050 1078 1104 393 394 395 396 397 398 399 400 401 402 403 404 405 406 407 408 409 410 411 412 413 414 415 416 417 418 419 420 421 422 423 424 425 426 427 428 429 430 431 432 433 434 瓦子街镇 白马滩镇 三岔镇 白马滩镇 白马滩镇 崾崄乡 界头庙镇 白马滩镇 三岔镇 白马滩镇 圪台乡 界头庙镇 白马滩镇 界头庙镇 三岔镇 界头庙镇 界头庙镇 三岔镇 界头庙镇 界头庙镇 白马滩镇 三岔镇 石堡镇 崾崄乡 圪台乡 界头庙镇 白马滩镇 界头庙镇 三岔镇 崾崄乡 界头庙镇 三岔镇 瓦子街镇 圪台乡 瓦子街镇 圪台乡 白马滩镇 界头庙镇 白马滩镇 界头庙镇 瓦子街镇 瓦子街镇 孙永涛 孙琳 梁小丽 王存法 方便过 鲁国育 冯攀 朱恩惠 石宝飞 陈春安 李光珍 张忠秀 张喜堂 王秀香 都娟 赵连永 赵安海 吴瑞璞 李凤莲 金东友 孙会民 傅妙琴 焦凤英 倪月香 张晓红 鲁莺莺 张福贤 贺凤 吴瑞璞 范欣 唐广栋 傅妙琴 庞继芳 马文和 冯彩珍 杨明太 邓焕梅 张书彦 刘三其 姜存有 赵清平 丁克齐 612631********2612 610631********0624 610631********1020 610631********0619 610631********0617 610631********1217 610631********1616 610631********0622 610631********1019 610631********0611 610631********1841 610631********1414 610631********0611 610631********1425 610631********0024 610631********1415 610631********1414 610631********1011 610631********1426 610631********1415 610631********0616 612102********3122 612631********0048 612631********242X 610631********1844 610631********1623 610631********0617 610631********1421 610631********1011 610631********1225 610631********1416 612102********3122 612631********2621 610631********1812 610631********2623 610631********1816 610631********062x 610631********1618 610631********061x 610631********1416 612631********2413 610631********261x 因病 因病 因病 因病 因病 因病 因病 因病 因病 因病 因病 因病 因病 因病 因病 因病 因病 因病 因病 因病 因病 因病 因病 因病 因病 因病 因病 因病 因病 因病 因病 因病 因病 因病 因病 因病 因病 因病 因病 因病 因病 因病 1104 1112 1118 1161 1179 1191 1198 1209 1229 1248 1280 1324 1326 1333 1338 1373 1375 1380 1440 1449 1465 1480 1482 1524 1527 1623 1668 1674 1685 1689 1692 1705 1742 1798 1848 1858 1897 1913 1961 1971 1982 1995

2018年临时救助人员名单.pdf




