秦岭文库(kunmingchi.com)你想要的内容这里独有!

金秀瑶族自治县旅游发展委员会2018年度部门决算公开附表.xls

﹏Lost loveゝ17 页 63 KB下载文档
金秀瑶族自治县旅游发展委员会2018年度部门决算公开附表.xls金秀瑶族自治县旅游发展委员会2018年度部门决算公开附表.xls金秀瑶族自治县旅游发展委员会2018年度部门决算公开附表.xls金秀瑶族自治县旅游发展委员会2018年度部门决算公开附表.xls金秀瑶族自治县旅游发展委员会2018年度部门决算公开附表.xls金秀瑶族自治县旅游发展委员会2018年度部门决算公开附表.xls
当前文档共17页 下载后继续阅读

金秀瑶族自治县旅游发展委员会2018年度部门决算公开附表.xls

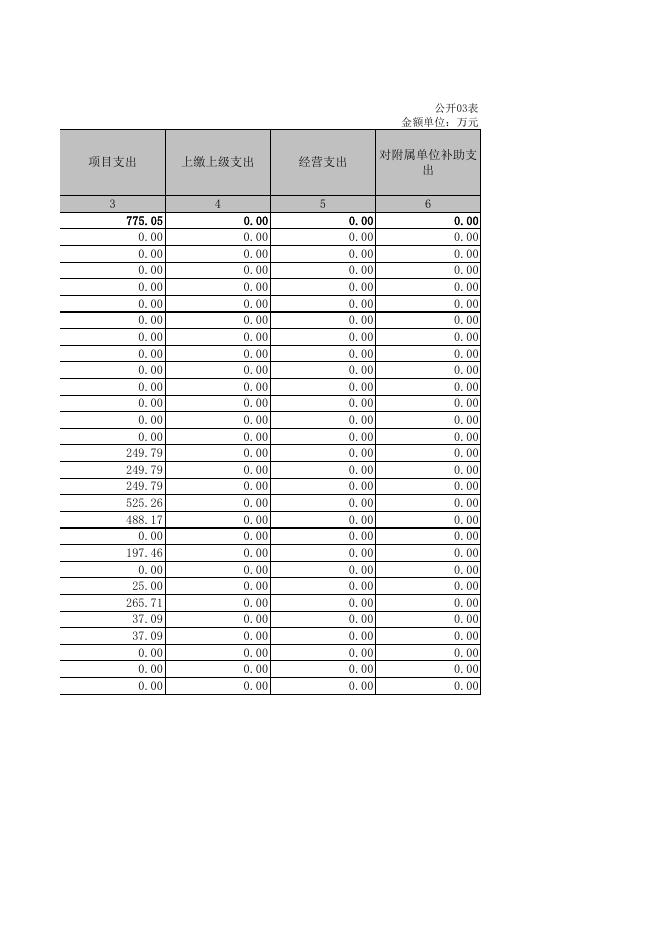
收入支出决算总表 部门:金秀县旅游发展委员会 收入 项目 栏次 一、财政拨款收入 二、上级补助收入 三、事业收入 四、经营收入 五、附属单位上缴收入 六、其他收入 行次 1 2 3 4 5 6 7 8 9 10 11 12 13 14 15 16 17 18 19 20 21 22 本年收入合计 23 用事业基金弥补收支差额 24 年初结转和结余 25 26 总计 27 注:本表反映部门本年度的总收支和年末结转结余情况。 金额 1 976.47 0.00 0.00 0.00 0.00 0.00 976.47 0.00 167.26 1,143.73 决算总表 公开01表 金额单位:万元 支出 项目 栏次 一、一般公共服务支出 二、外交支出 三、国防支出 四、公共安全支出 五、教育支出 六、科学技术支出 七、文化体育与传媒支出 八、社会保障和就业支出 九、医疗卫生与计划生育支出 十、节能环保支出 十一、城乡社区支出 十二、农林水支出 十三、交通运输支出 十四、资源勘探信息等支出 十五、商业服务业等支出 十六、金融支出 十七、援助其他地区支出 十八、国土海洋气象等支出 十九、住房保障支出 二十、粮油物资储备支出 二十一、其他支出 本年支出合计 结余分配 年末结转和结余 总计 行次 28 29 30 31 32 33 34 35 36 37 38 39 40 41 42 43 44 45 46 47 48 49 50 51 52 53 54 金额 2 49.80 0.00 0.00 0.00 0.00 0.00 0.00 21.69 8.81 0.00 0.00 249.79 0.00 0.00 745.40 0.00 0.00 0.00 12.62 0.00 0.00 1,088.12 0.00 55.62 1,143.73 收入决算表 公开02表 金额单位:万元 部门:金秀县旅游发展委员会 项目 功能分类 科目编码 201 20199 2019999 208 20805 2080501 2080505 210 21011 2101101 2101102 2101103 2101199 213 21305 2130504 2130599 216 21605 2160501 2160502 科目名称 栏次 合计 一般公共服务支出 其他一般公共服务支出 其他一般公共服务支出 社会保障和就业支出 行政事业单位离退休 归口管理的行政单位离退休 机关事业单位基本养老保险缴费支出 医疗卫生与计划生育支出 行政事业单位医疗 行政单位医疗 事业单位医疗 公务员医疗补助 其他行政事业单位医疗支出 农林水支出 扶贫 农村基础设施建设 其他扶贫支出 商业服务业等支出 旅游业管理与服务支出 行政运行 一般行政管理事务 本年收入合 财政拨款收 上级补助收入 计 入 1 976.47 49.80 49.80 49.80 21.69 21.69 1.20 20.49 8.81 8.81 2.06 3.19 2.74 0.82 252.48 252.48 252.46 0.02 631.06 559.36 144.46 187.92 2 976.47 49.80 49.80 49.80 21.69 21.69 1.20 20.49 8.81 8.81 2.06 3.19 2.74 0.82 252.48 252.48 252.46 0.02 631.06 559.36 144.46 187.92 3 0.00 0.00 0.00 0.00 0.00 0.00 0.00 0.00 0.00 0.00 0.00 0.00 0.00 0.00 0.00 0.00 0.00 0.00 0.00 0.00 0.00 0.00 事业收入 经营收入 附属单位上缴 收入 其他收入 4 5 6 7 0.00 0.00 0.00 0.00 0.00 0.00 0.00 0.00 0.00 0.00 0.00 0.00 0.00 0.00 0.00 0.00 0.00 0.00 0.00 0.00 0.00 0.00 0.00 0.00 0.00 0.00 0.00 0.00 0.00 0.00 0.00 0.00 0.00 0.00 0.00 0.00 0.00 0.00 0.00 0.00 0.00 0.00 0.00 0.00 0.00 0.00 0.00 0.00 0.00 0.00 0.00 0.00 0.00 0.00 0.00 0.00 0.00 0.00 0.00 0.00 0.00 0.00 0.00 0.00 0.00 0.00 0.00 0.00 0.00 0.00 0.00 0.00 0.00 0.00 0.00 0.00 0.00 0.00 0.00 0.00 0.00 0.00 0.00 0.00 0.00 0.00 0.00 0.00 2160504 旅游宣传 75.68 2160505 旅游行业业务管理 25.00 2160599 其他旅游业管理与服务支出 126.31 21660 旅游发展基金支出 71.70 2166004 地方旅游开发项目补助 71.70 221 住房保障支出 12.62 22102 住房改革支出 12.62 2210201 住房公积金 12.62 注:本表反映部门本年度取得的各项收入情况。 75.68 25.00 126.31 71.70 71.70 12.62 12.62 12.62 0.00 0.00 0.00 0.00 0.00 0.00 0.00 0.00 0.00 0.00 0.00 0.00 0.00 0.00 0.00 0.00 0.00 0.00 0.00 0.00 0.00 0.00 0.00 0.00 0.00 0.00 0.00 0.00 0.00 0.00 0.00 0.00 0.00 0.00 0.00 0.00 0.00 0.00 0.00 0.00 支出决算表 部门:金秀县旅游发展委员会 项目 功能分类 科目编码 科目名称 栏次 合计 201 一般公共服务支出 20199 其他一般公共服务支出 2019999 其他一般公共服务支出 208 社会保障和就业支出 20805 行政事业单位离退休 2080501 归口管理的行政单位离退休 2080505 机关事业单位基本养老保险缴费支出 210 医疗卫生与计划生育支出 21011 行政事业单位医疗 2101101 行政单位医疗 2101102 事业单位医疗 2101103 公务员医疗补助 2101199 其他行政事业单位医疗支出 213 农林水支出 21305 扶贫 2130504 农村基础设施建设 216 商业服务业等支出 21605 旅游业管理与服务支出 2160501 行政运行 2160502 一般行政管理事务 2160504 旅游宣传 2160505 旅游行业业务管理 2160599 其他旅游业管理与服务支出 21660 旅游发展基金支出 2166004 地方旅游开发项目补助 221 住房保障支出 22102 住房改革支出 2210201 住房公积金 注:本表反映部门本年度各项支出情况。 本年支出合计 1 1,088.12 49.80 49.80 49.80 21.69 21.69 1.20 20.49 8.81 8.81 2.06 3.19 2.74 0.82 249.79 249.79 249.79 745.40 708.31 144.46 197.46 75.68 25.00 265.71 37.09 37.09 12.62 12.62 12.62 基本支出 2 313.06 49.80 49.80 49.80 21.69 21.69 1.20 20.49 8.81 8.81 2.06 3.19 2.74 0.82 0.00 0.00 0.00 220.14 220.14 144.46 0.00 75.68 0.00 0.00 0.00 0.00 12.62 12.62 12.62 公开03表 金额单位:万元 项目支出 上缴上级支出 经营支出 对附属单位补助支 出 3 4 5 6 775.05 0.00 0.00 0.00 0.00 0.00 0.00 0.00 0.00 0.00 0.00 0.00 0.00 0.00 249.79 249.79 249.79 525.26 488.17 0.00 197.46 0.00 25.00 265.71 37.09 37.09 0.00 0.00 0.00 0.00 0.00 0.00 0.00 0.00 0.00 0.00 0.00 0.00 0.00 0.00 0.00 0.00 0.00 0.00 0.00 0.00 0.00 0.00 0.00 0.00 0.00 0.00 0.00 0.00 0.00 0.00 0.00 0.00 0.00 0.00 0.00 0.00 0.00 0.00 0.00 0.00 0.00 0.00 0.00 0.00 0.00 0.00 0.00 0.00 0.00 0.00 0.00 0.00 0.00 0.00 0.00 0.00 0.00 0.00 0.00 0.00 0.00 0.00 0.00 0.00 0.00 0.00 0.00 0.00 0.00 0.00 0.00 0.00 0.00 0.00 0.00 0.00 0.00 0.00 0.00 0.00 0.00 0.00 0.00 0.00 0.00 0.00 0.00 0.00 0.00 0.00 财政拨款收入支出决算总表 部门:金秀县旅游发展委员会 收 项目 栏次 一、一般公共预算财政拨款 二、政府性基金预算财政拨款 入 支 行次 金额 1 项目 栏次 904.77 一、一般公共服务支出 71.70 二、外交支出 三、国防支出 四、公共安全支出 五、教育支出 六、科学技术支出 七、文化体育与传媒支出 八、社会保障和就业支出 九、医疗卫生与计划生育支出 十、节能环保支出 十一、城乡社区支出 十二、农林水支出 十三、交通运输支出 十四、资源勘探信息等支出 十五、商业服务业等支出 十六、金融支出 十七、援助其他地区支出 十八、国土海洋气象等支出 十九、住房保障支出 二十、粮油物资储备支出 二十一、其他支出 976.47 本年支出合计 167.26 年末财政拨款结转和结余 167.26 0.00 1 2 3 4 5 6 7 8 9 10 11 12 13 14 15 16 17 18 19 20 21 本年收入合计 22 年初财政拨款结转和结余 23 一般公共预算财政拨款 24 政府性基金预算财政拨款 25 26 总计 27 1,143.73 总计 注:本表反映部门本年度一般公共预算财政拨款和政府性基金预算财政拨款的总收支和年末结转结余情况。 决算总表 公开04表 金额单位:万元 支 行次 28 29 30 31 32 33 34 35 36 37 38 39 40 41 42 43 44 45 46 47 48 49 50 51 52 53 54 和年末结转结余情况。 出 合计 一般公共预算财 政拨款 政府性基金预算 财政拨款 2 3 4 49.80 0.00 0.00 0.00 0.00 0.00 0.00 21.69 8.81 0.00 0.00 249.79 0.00 0.00 745.40 0.00 0.00 0.00 12.62 0.00 0.00 1,088.12 55.62 49.80 0.00 0.00 0.00 0.00 0.00 0.00 21.69 8.81 0.00 0.00 249.79 0.00 0.00 708.31 0.00 0.00 0.00 12.62 0.00 0.00 1,051.03 21.01 0.00 0.00 0.00 0.00 0.00 0.00 0.00 0.00 0.00 0.00 0.00 0.00 0.00 0.00 37.09 0.00 0.00 0.00 0.00 0.00 0.00 37.09 34.61 1,143.73 1,072.03 71.70 一般公共预算财政拨款支出决算表 部门:金秀县旅游发展委员会 项目 功能分类 科目编码 科目名称 栏次 合计 201 一般公共服务支出 20199 其他一般公共服务支出 2019999 其他一般公共服务支出 208 社会保障和就业支出 20805 行政事业单位离退休 2080501 归口管理的行政单位离退休 2080505 机关事业单位基本养老保险缴费支出 210 医疗卫生与计划生育支出 21011 行政事业单位医疗 2101101 行政单位医疗 2101102 事业单位医疗 2101103 公务员医疗补助 2101199 其他行政事业单位医疗支出 213 农林水支出 21305 扶贫 2130504 农村基础设施建设 216 商业服务业等支出 21605 旅游业管理与服务支出 2160501 行政运行 2160502 一般行政管理事务 2160504 旅游宣传 2160505 旅游行业业务管理 2160599 其他旅游业管理与服务支出 221 住房保障支出 22102 住房改革支出 2210201 住房公积金 注:本表反映部门本年度一般公共预算财政拨款支出情况。 本年支出 小计 1 1,051.03 49.80 49.80 49.80 21.69 21.69 1.20 20.49 8.81 8.81 2.06 3.19 2.74 0.82 249.79 249.79 249.79 708.31 708.31 144.46 197.46 75.68 25.00 265.71 12.62 12.62 12.62 政拨款支出决算表 公开05表 金额单位:万元 本年支出 基本支出 项目支出 2 3 313.06 49.80 49.80 49.80 21.69 21.69 1.20 20.49 8.81 8.81 2.06 3.19 2.74 0.82 0.00 0.00 0.00 220.14 220.14 144.46 0.00 75.68 0.00 0.00 12.62 12.62 12.62 737.96 0.00 0.00 0.00 0.00 0.00 0.00 0.00 0.00 0.00 0.00 0.00 0.00 0.00 249.79 249.79 249.79 488.17 488.17 0.00 197.46 0.00 25.00 265.71 0.00 0.00 0.00 部门:金秀县旅游发展委员会 人员经费 科目编 科目名称 码 301 工资福利支出 30101 基本工资 30102 津贴补贴 30103 奖金 30106 伙食补助费 30107 绩效工资 30108 机关事业单位基本养老保险缴费 30109 职业年金缴费 30110 职工基本医疗保险缴费 30111 公务员医疗补助缴费 30112 其他社会保障缴费 30113 住房公积金 30114 医疗费 30199 其他工资福利支出 303 对个人和家庭的补助 30301 离休费 30302 退休费 30303 退职(役)费 30304 抚恤金 30305 生活补助 30306 救济费 30307 医疗费补助 30308 助学金 30309 奖励金 30310 个人农业生产补贴 30399 其他对个人和家庭的补助支出 科目编 码 168.08 302 48.01 30201 17.81 30202 33.17 30203 0.00 30204 16.22 30205 20.49 30206 0.00 30207 5.25 30208 2.74 30209 0.82 30211 12.62 30212 0.00 30213 10.97 30214 1.30 30215 0.00 30216 0.00 30217 0.00 30218 0.00 30224 1.30 30225 0.00 30226 0.00 30227 0.00 30228 0.00 30229 0.00 30231 0.00 30239 30240 30299 人员经费合计 169.38 注:本表反映部门本年度一般公共预算财政拨款基本支出明细情况。 决算数 科目名称 商品和服务支出 办公费 印刷费 咨询费 手续费 水费 电费 邮电费 取暖费 物业管理费 差旅费 因公出国(境)费用 维修(护)费 租赁费 会议费 培训费 公务接待费 专用材料费 被装购置费 专用燃料费 劳务费 委托业务费 工会经费 福利费 公务用车运行维护费 其他交通费用 税金及附加费用 其他商品和服务支出 情况。 — 6 — 公用经费 科目编 决算数 码 143.68 307 7.39 30701 118.09 30702 0.00 310 0.00 31001 0.09 31002 0.71 31003 2.82 31005 0.00 31006 0.00 31007 6.42 31008 0.00 31009 0.00 31010 0.00 31011 0.00 31012 0.00 31013 1.77 31019 0.00 31021 0.00 31022 0.00 31099 0.00 399 0.00 39906 2.03 39907 0.00 39908 0.00 39999 4.38 0.00 0.00 公用经费合计 公开06表 金额单位:万元 公用经费 用经费合计 科目名称 债务利息及费用支出 国内债务付息 国外债务付息 资本性支出 房屋建筑物购建 办公设备购置 专用设备购置 基础设施建设 大型修缮 信息网络及软件购置更新 物资储备 土地补偿 安置补助 地上附着物和青苗补偿 拆迁补偿 公务用车购置 其他交通工具购置 文物和陈列品购置 无形资产购置 其他资本性支出 其他支出 赠与 国家赔偿费用支出 对民间非营利组织和群众性自治组织补贴 其他支出 决算数 0.00 0.00 0.00 0.00 0.00 0.00 0.00 0.00 0.00 0.00 0.00 0.00 0.00 0.00 0.00 0.00 0.00 0.00 0.00 0.00 0.00 0.00 0.00 0.00 0.00 143.68 一般公共预算财政拨款“三公”经费支 部门:金秀县旅游发展委员会 合计 因公出国(境 )费 1 2 2.30 0.00 预算数 公务用车购置及运行费 公务用车购置 公务用车运行 小计 费 费 3 4 5 0.00 0.00 0.00 公务接待费 6 2.30 注:本表反映部门本年度“三公”经费支出预决算情况。其中:预算数为“三公”经费年初预算数,决算数是包 款“三公”经费支出决算表 公开07表 金额单位:万元 合计 因公出国(境 )费 7 8 1.77 0.00 决算数 公务用车购置及运行费 公务用车购置 公务用车运行 小计 费 费 9 10 11 0.00 0.00 0.00 公务接待费 12 1.77 ”经费年初预算数,决算数是包括当年一般公共预算财政拨款和以前年度结转资金安排的实际支出。 政府性基金预算财政拨款收入支出决算表 部门:金秀县旅游发展委员会 项目 功能分类 科目编码 216 21660 2166004 科目名称 栏次 合计 商业服务业等支出 旅游发展基金支出 地方旅游开发项目补助 年初结转和结余 本年收入 1 2 0.00 0.00 0.00 0.00 注:本表反映部门本年度政府性基金预算财政拨款收入、支出及结转和结余情况。 71.70 71.70 71.70 71.70 政拨款收入支出决算表 况。 公开08表 金额单位:万元 本年支出 小计 基本支出 项目支出 3 4 5 37.09 37.09 37.09 37.09 0.00 0.00 0.00 0.00 年末结转和结余 6 37.09 37.09 37.09 37.09 34.61 34.61 34.61 34.61

相关文章