2023年项目支出绩效目标自评表.pdf
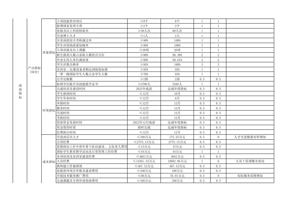
项目支出绩效目标自评表 (2022年度) 单位(盖章): 填报日期:2023/03/27 项目名称 铜仁职业技术学院 主管部门及代码 [#] 资 金 来 源 年初预算数 资金总额: 项目资金 (元) 实施单位 铜仁职业技术学院 全年预算数(A) 全年执行数(B) 执行率 得分 186237836.03 343382823.05 340858087.55 10 99.26 9.93 人员类项目: 151884500 180243670.02 180243670.02 - - - 运转类公用经费项目 : 27751300 21257117.00 21257117.00 - - - 395000 936000 936000.00 - - - 6207036.03 140946036.03 138421300.53 - - - 其他运转类: 特定目标类项目: 预期目标 年度 总体 目标 分值 实际完成情况 "目标1:完成铜仁职业技术学院双高建设 (2022年度)阶段任务,建设技能贵州; 目标2:完 完成铜仁职业技术学院双高建设 (2022年度)阶段任务,建设技能贵州; 完成 成教学任务和行政管理工作 ,对我院中高职学生,开展正常教学管理 。 教学任务和行政管理工作 ,对我院中高职学生 ,开展正常教学管理 。 一级指标 二级指标 数量指标 三级指标 年度指标值(A) 实际完成值(B) 分值 得分 招生人数 ≥4000人 4921人 3 3 招收一带一路沿线国家国家学生人数 ≥50人 152人 0.5 0.5 专利申请及保护数 ≥50项 100项 1 1 院级及以上课题研究数 ≥50项 70项 1 1 技能贵州项目申报数 ≥16个 18个 1 1 教师超工作量授课学时 ≥200000学时 208930学时 4 4 毕业生人数 ≥6000人 6844人 4 4 科技服务人次 ≥200次 500次 1 1 引进高层次人才及紧缺专业本科人数 ≥40人 41人 1 1 完成全省高校综合考核工作 ≥25项 25项 1 1 ≥21000人次 27056人次 2 2 ≥3300人 6220人 1 1 实训室建设数量 ≥2个 2个 1 1 编写思政类教材或专著数 ≥2部 2部 0.5 0.5 资助中高职学生人数 完成学历技能双提升人数 未完成原因分析 立项技能贵州项目 ≥8个 8个 1 1 新增国家发明专利 ≥2个 3个 1 1 ≥50人次 60人次 1 1 引进博士人才 ≥1人 2人 1 1 全省高校综合考核通过率 ≥90% 100% 1 1 学生对资助政策知晓率 ≥90% 100% 1 1 立项市级及以上课题 ≥20项 20项 1 1 新生报到人数占录取人数的百分比 ≥80% 86.38% 2 2 毕业生用人单位满意度 ≥90% 99.61% 2 2 学生评教合格率 ≥95% 100% 2 2 实训室、仪器设备采购达到验收标准 ≥95% 95% 1 1 一带一路国际学生人数占总学生人数 ≥70% 92% 1 1 公开出版数 ≥2部 2部 0.5 0.5 取得学历提升及技能提升证书 ≥2700人 5285人 1 1 完成培训及建设时间 2023年底前 达成年度指标 0.5 0.5 学生报到时间 ≤12月 10月 0.5 0.5 学生毕业时间 ≤12月 6月 0.5 0.5 申报时间 ≤12月 12月 0.5 0.5 服务时间 ≤12月 12月 0.5 0.5 引进时间 ≤12月 12月 0.5 0.5 省级及以上科技特派员 质量指标 产出指标 (50分) 绩 效 指 标 时效指标 考核时间 ≤12月 12月 0.5 0.5 2022年12月底前 达成年度指标 0.5 0.5 资金使用时效 按时完成 达成年度指标 0.5 0.5 经费执行时间 ≤12月 12月 0.5 0.5 引进高层次人才 ≤100万元 172.25万元 0.5 0 ≤2775.13万元 2775.13万元 0.5 0.5 思想政治工作中青年骨干队伍建设 、文化育人费用 ≤15万元 15万元 0.5 0.5 国际学生教育教学活动及日常管理工作经费 ≤44万元 44万元 1 1 各项培训及实训室建设经费 ≤4661万元 4661万元 0.5 0.5 ≤14361.33万元 19682.96万元 1 0 资助资金发放时间 公用经费 成本指标 人员经费 教师超工作量绩效 ≤467.12万元 467.12万元 0.5 0.5 技能贵州项目申报及建设费用 ≤100万元 100万元 0.5 0.5 开展技术服务推广费用 ≤60万元 76.01万元 0.5 0 完成课题及专利申请资助费用 ≤100万元 100万元 0.5 0.5 人才引进数量有所增加 人员工资调整及变动 实际服务范围增加 学生资助资金 课题及各项服务经费到款额 经济效益 上缴学住费收入 指标 省级以上项目经费到款额 效益指标 开展各类技术技能(含培训、鉴定)服务 (30分) 社会效益 指标 为铜仁市提供技术技能人才 可持续影 新增职业技能等级证书获得者 响指标 稳定办学规模 学生满意度 满意度指 满意度指 培训、技术服务对象满意度 标(10分) 标 教职工满意度 总 自 分 评 结 论 按时完成我单位2022年度相关工作,设定的指标均按时按质完成 。 联系人:刘芳芳 ≤5692.95万元 5422.54万元 0.5 0.5 ≥200万元 497.41万元 5 5 ≥4000万元 5563.91万元 4 4 ≥5000万元 5998万元 5 5 ≥10000人次 24200人次 5 5 ≥2000人 2581人 5 5 ≥1000人 1711人 3 3 ≥15000人 16466人 3 3 ≥90% 99.80% 3 3 ≥95% 97% 4 4 ≥90% 96.16% 3 90 3 97.93 部分学生资助资金属于今年发放 的

2023年项目支出绩效目标自评表.pdf

