2023-2024 学年第一学期教材选用情况汇总表(2).pdf
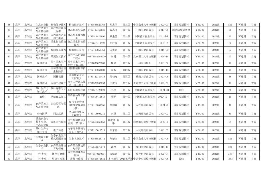
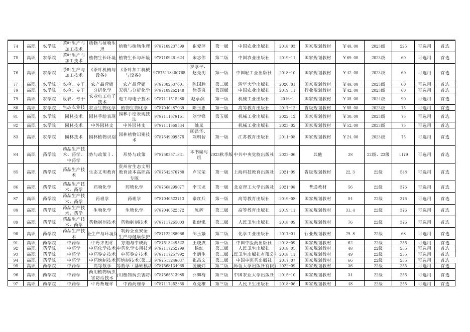
附件 铜仁职业技术学院2023-2024 学年第一学期教材选用情况汇总表 序号 层次 二级单位 专业 课程名称 教材名称 书号(ISBN) 第一主编 版次 出版单位 出版时间 类别 单价 使用年级 1 高职 农学院 畜牧兽医 动物医学 畜牧学概论 畜牧学概论 9787109106796 吴健 第一版 中国农业出版社 2021-07 国家规划教材 ¥56.00 2023级 540 可选用 首选 2 高职 农学院 畜牧兽医 吴秀敏 第一版 科学出版社 2021-08 其他 ¥69.00 2023级 130 可选用 首选 3 高职 农学院 畜牧兽医 赵晨霞 第一版 中国农业大学出版社 2015-08 国家规划教材 ¥36.00 2022级 320 可选用 首选 4 高职 农学院 动物医学、 畜牧兽医 9787565525247 贺生中 第二版 中国农业大学出版社 2022-03 国家规划教材 ¥45.00 2022级 453 可选用 首选 5 高职 农学院 畜牧兽医 9787109297210 朱俊平 第二版 中国农业出版社有限 公司 2023-02 国家规划教材 ¥43.50 2022级 396 可选用 首选 6 高职 农学院 9787565507960 张京和 第一版 中国农业大学出版社 2013-09 校本优质教材 ¥19.00 2022级 225 可选用 首选 7 高职 农学院 9787576300079 吴强 第二版 北京理工大学出版社 2022-08 校本优质教材 ¥65.00 2022级 222 可选用 首选 8 高职 农学院 9787109225749 李玉冰 第二版 中国农业出版社 2017-01 国家规划教材 ¥39.00 2022级 162 可选用 首选 9 高职 农学院 9787565524783 陈玉库 第三版 中国农业大学出版社 2021-01 国家规划教材 ¥52.00 2022级 339 可选用 首选 10 高职 农学院 畜牧兽医 兽医临床诊疗技 9787109271418 术 曹授俊 第三版 中国农业出版社 2020-8 国家规划教材 ¥48.00 2022级 154 可选用 首选 11 高职 农学院 畜牧兽医、 宠物美容与护 宠物美容与护理 9787122368775 动物医学 理 王艳立 第三版 化学工业出版社 2020-12 国家规划教材 ¥46.00 2022级 154 可选用 首选 12 高职 农学院 动物医学 第二版 中国农业出版社 2014-12 国家规划教材 ¥38.00 2022级 181 可选用 首选 13 高职 农学院 动物医学 刘秀玲 第一版 中国农业出版社 2015-02 国家规划教材 ¥43.50 2022级 181 可选用 首选 14 高职 农学院 动物医学 刘明生 第三版 中国农业出版社 2021-08 国家规划教材 ¥45.00 2022级 181 可选用 首选 15 高职 农学院 动物医学 邢晓玲 第二版 中国农业出版社 2018-02 国家规划教材 ¥32.00 2022级 144 可选用 首选 16 高职 农学院 尹武 第一版 西安电子科技大学出 版社 2021-01 普通高等教育 ¥15.00 2022 77 可选用 首选 17 高职 农学院 蔡飞 第一版 西北工业大学出版社 2015-5 校本优质教材 ¥27.00 2022级 77 可选用 首选 18 高职 农学院 蔡海 第一版 西北工业大学出版社 2015-10 其他 ¥21.00 2022级 77 可选用 首选 农产品质量安 农产品质量安全 9787030611741 全 管理理论与实践 农产品质量安 农产品质量安全 9787565513312 全 概论 动物药理 动物药理 动物防疫检疫 动物防疫与检疫 技术 技术 畜牧场经营与 畜牧场经营与管 管理 理 中西兽医结合 中西兽医结合应 应用技术 用技术 宠物临床诊断 宠物疾病临床诊 技术 疗技术 畜牧兽医 动物医学 畜牧兽医 动物医学 畜牧兽医 动物医学 动物医学、 宠物疾病防治 畜牧兽医 动物临床诊断 动物免疫 宠物疾病防治 兽医免疫学 9787109200302 动物性产品检 动物性食品卫生 9787501999392 验技术 检验技术 动物流行病调 动物传染病 9787109270466 查技术 兽药生产与营 兽药生产技术 9787109230675 销 设施农业与 农业物联网应 装备、生态 农业物联网导论 9787560661797 用 农业技术 设施农业与 农业设施设计 农业设施设计与 9787561243275 装备 与建造 建造 设施农业与 设施农业环境 设施环境与调控 9787561244326 装备 监测与调控 崔治中 选用册数 审读结论 选次 19 高职 农学院 20 高职 农学院 21 高职 农学院 22 高职 农学院 23 高职 农学院 24 高职 农学院 25 高职 农学院 26 高职 农学院 27 高职 农学院 28 高职 农学院 29 高职 农学院 30 高职 农学院 31 高职 农学院 32 高职 农学院 33 高职 农学院 34 高职 农学院 35 高职 农学院 36 高职 农学院 37 高职 农学院 设施农业与 装备、生态 农业技术 设施农业与 装备、生态 农业技术 设施农业与 装备、生态 农业技术 设施农业与 装备 茶叶生产与 加工技术 茶叶生产与 加工技术 茶叶生产加 工技术 茶叶生产与 加工技术 设施蔬菜生产 设施蔬菜生产技 9787568290494 技术 术 果树生产技术 赵会芳 第一版 北京理工大学出版社 2020-10 《果树生产技术 》 国家规划教材 ¥52.00 校本优质教材 2022级 276 可选用 首选 2022级 150 可选用 首选 第三版 中国农业出版社有限 公司 2022-01 国家规划教材 ¥42.00 2022级 188 可选用 首选 杨慧、顾 昌华 第一版 北京理工大学出版社 2019-05 校本优质教材 ¥39.00 2022级 77 可选用 首选 刘展良 第一版 中国科学技术大学出 版社 2021-01 国家规划教材 ¥59.80 2022级 77 可选用 首选 朱列文 第一版 中国轻工业出版社 2014-08 国家规划教材 ¥42.00 2022级 46 可选用 首选 谭琳 第三版 中国农业出版社 2021-08 国家规划教材 ¥42.00 2022级 77 可选用 首选 饶雪梅 第三版 科学出版社 2019-11 国家规划教材 ¥38.00 2022级 148 可选用 首选 周炎花、 李清 第一版 中国农业出版社出版 2021-11 国家规划教材 ¥56.00 2022级 77 可选用 首选 茶叶市场营销 茶叶市场营销学 9787109143135 学 姜含春 第二版 中国农业出版社 2021-06 国家规划教材 ¥49.50 2022级 77 可选用 首选 茶叶包装设计 包装设计与实训 9787560994840 刘懿 第二版 华中科技大学出版社 2013-3 国家规划教材 ¥48.00 2022级 46 可选用 首选 茶叶检验技术 茶叶生物化学实 9787518440580 验指导 杨晓萍 第一版 中国轻工业出版社 2022-09 国家规划教材 ¥39.00 2021级 81 可选用 首选 茶食品加工 茶叶深加工学 9787109164659 林金科 第一版 中国农业出版社 2012-01 国家规划教材 ¥39.50 2021级 81 可选用 首选 插花艺术 插花花艺设计 9787111590125 杨淑娟 第五版 机械工业出版社 2023-03 国家规划教材 ¥59.00 2021级 81 可选用 首选 代用茶加工学 9787109226791 黄友谊 第一版 中国农业出版社 2019-05 其他 ¥39.00 2021级 81 可选用 首选 休闲农业 创新创业指导与 创业实务 训练 《现代企业管 《现代企业管理 理》 实务》 茶馆酒肆的经营 茶叶生产与 茶馆经营与管 与管理-基于南 加工技术 理 京茶肆的实证研 究 9787576307252 王琨 第一版 北京理工大学出版社 2023-01 校本优质教材 ¥39.00 2021级 191 可选用 首选 9787121437398 陈承欢 第二版 电子工业出版社 2022-01 国家规划教材 ¥42.50 2021级 81 可选用 首选 9787111701446 马春莲 第二版第 1次 机械工业出版社 2022-05 国家规划教材 ¥49.00 2021级 81 可选用 首选 9787519467500 孙绪芹 第一版 光明日报出版社 2023-01 其他 ¥68.00 2021级 81 可选用 首选 食用菌生产技 9787109261778 食用菌生产技术 术 陈俏彪 设施花卉生产 技术 花卉生产技术 9787576320343 茶叶品质化学 茶叶品质化学 9787520813419 服务礼仪与形体 9787501997862 训练 茶树病虫害绿 茶树病虫害防治 9787109285385 色防治技术 学 茶艺形体训练 茶艺 茶艺服务与管理 9787030634252 茶叶生产与 《茶叶审评技 《茶叶感官审评 9787109162259 加工技术 术》 技术》 茶叶生产与 加工技术 茶叶生产与 加工技术 茶叶生产与 加工技术 茶叶生产与 加工技术 茶叶生产与 加工技术 茶叶生产与 加工技术 动物医学 茶叶生产与 加工技术 茶叶生产与 加工技术 类茶资源综合 利用 休闲农业 38 高职 农学院 39 高职 农学院 40 高职 农学院 41 高职 农学院 42 高职 农学院 43 高职 农学院 44 高职 农学院 45 高职 农学院 46 高职 农学院 47 高职 农学院 48 高职 农学院 49 高职 农学院 50 高职 农学院 51 高职 农学院 52 高职 农学院 53 高职 农学院 54 高职 农学院 55 高职 农学院 56 高职 农学院 57 高职 农学院 生态农业技 术 农产品加工 与质量检测 农产品加工 与质量检测 农产品加工 与质量检测 农产品加工 与质量检测 农产品加工 与质量检测 植物保护技术 植物保护技术 农产品法规与 食品标准与法规 标准 国内外农产品 食品加工技术概 加工概论 论 微生物检验技 食品微生物检验 术 技术 9787565527166 胡志凤 第三版 中国农业大学出版社 2022-03 国家规划教材 ¥59.00 2022级 121 可选用 首选 9787109157637 钱志伟 第一版 中国农业出版社 2011-08 国家级规划教材 ¥35.00 2022级 56 可选用 首选 9787518422890 顾金兰 第一版 中国轻工业出版社 2021-01 国家规划教材 ¥54.00 2022级 97 可选用 首选 9787518417728 罗红霞 第一版 中国轻工业出版社 2018-2 国家规划教材 ¥33.20 2022级 97 可选用 首选 粮油加工技术 9787109250161 宋宏光 第一版 中国农业出版社 2019-03 国家规划教材 ¥44.00 2022级 97 可选用 首选 97875682905030 江明 第一版 北京理工大学出版社 2020-10 国家规划教材 ¥45.00 2023级 97 可选用 首选 9787030676900 魏岩 第二版 科学出版社 2021-06 国家规划教材 ¥59.00 2022级 78 可选用 首选 9787109261587 强磊 第四版 中国农业出版社 2019-11 国家规划教材 ¥50.00 2022级 78 可选用 首选 9787122149435 周初梅 第五版 重庆大学出版社 2021-08 国家规划教材 ¥68.00 2022级 78 可选用 首选 9787568536837 王俊河 第二版 大连理工大学出版社 2022-01 国家规划教材 ¥55.00 2022级 78 可选用 首选 9787518428021 尹祎 第一版 中国轻工业出版社 2021-01 其他 ¥52.00 2023级 31 可选用 首选 9787518411849 陈平 第一版 中国轻工业出版社 2022-12 国家规划教材 ¥34.00 2022级 41 可选用 首选 9787115561756 李朝辉 第一版 人民邮电出版社 2021-8 国家规划教材 ¥49.80 2022级 41 可选用 首选 9787115603234 宋卫 第二版 人民邮电出版社 2023-02 国家规划教材 ¥54.00 2022级 89 可选用 首选 9787563566259 冀俊茹 陈 琳 第二版 北京邮电大学出版社 2022-4 国家规划教材 ¥39.80 2022级 29 可选用 首选 9787115613714 白东蕊 第二版 人民邮电出版社 2023-05 国家规划教材 ¥56.00 2023级 81 可选用 首选 9787565525711 刘德江 第二版 中国农业大学出版社 2021-08 国家规划教材 ¥43.00 2022级 121 可选用 首选 9787561576571 戴程 第一版 厦门大学出版社 2019-11 行业规划教材 ¥49.00 2022级 121 可选用 首选 97875519130534 方儒钦 第一版 教育科学出版社 2022-04 国家规划教材 ¥49.80 2022级 735 可选用 首选 9787503571831 本书编写 2023秋季版 中共中央党校出版社 组 2023-06 其他 ¥38.00 2022级 1653 可选用 首选 粮油加工技术 园艺产品贮藏加 工技术 园林苗木生产 园林苗木生产与 园林技术 与经营 经营(第二版) 园林植物有害 《园林植物保护 园林技术 生物防治 》 园林规划设计 园林技术 园林设计 (第5版) 园林工程施工技 园林技术 园林工程施工 术(第二版) 茶叶生产与 茶叶标准与法 茶叶标准与法规 加工技术 规 焙烤食品加工技 农检 烘焙食品加工 术 现代企业管理 农产品加工 企业经营与管 (附微课视频第 与质量检测 理 3版) 网店运营实务 动物医学 网店运营 (第2版) 设施农业与 电气控制技术及 装备专业、 农机电气控制 应用(第2版) 生态农业技 术 茶叶生产与 电子商务基础与 电子商务 加工技术 实务(双色) 生态农业生产 生态农业技 模式及配套技 生态农业技术 术 术 生态农业技 农产品品牌培 农产品品牌建设 术 育与管理 与营销 现代高职体育与 7个专业 体育与健康 健康 7个专业 形势与政策 形势与政策 果蔬加工技术 贵州省生态文明 生态文明教育 教育读本高职高 专版 农业和农村经 4个专干班 农业经济基础 济 村镇规划与社 4个专干班 村镇规划 区管理 农村统计与调 4个专干班 农村统计与调查 查 农业项目与管 农业项目管理实 畜牧兽医 理 务 口才与社交礼 沟通与礼仪(第 畜牧兽医 仪 3版) 茶叶生产与 高职应用写作 应用文写作 加工技术 (第五版) 习近平新时代中 习近平新时代 7个专业+4个 国特色社会主义 中国特色社会 专干班 思想学生读本大 主义思想 学 7个专业+4个 思想道德与法 思想道德与法治 专干班 治 58 高职 农学院 7个专业 59 高职 农学院 60 高职 农学院 61 高职 农学院 62 高职 农学院 63 高职 农学院 64 高职 农学院 65 高职 农学院 66 高职 农学院 67 高职 农学院 7个专业+4个 专干班 公共英语 68 高职 农学院 7个专业+4个 专干班 大学语文 69 高职 农学院 7个专业+4个 专干班 信息技术 70 高职 农学院 71 高职 农学院 72 高职 农学院 73 高职 农学院 9787542870780 卢宝荣 第一版 上海科技教育出版社 2021-09 省级规划教材 ¥22.30 2022级 843 可选用 首选 9.78757E+12 刘雯 第一版 中国农业大学出版社 2020-09 国家规划教材 ¥29.00 2022级 167 可选用 首选 9787564184391 金兆森 第四版 东南大学出版社 2019-08 行业规划教材 ¥89.00 2022级 167 可选用 首选 9787040407143 刘芳 第一版 高等教育出版社 2014-09 其他:北京市高等 教育精品教材 ¥39.80 2022级 167 可选用 首选 9787565507908 吕娜 第一版 中国农业大学出版社 2013-08 行业规划教材 ¥33.00 2022级 57 可选用 首选 9787121377785 袁锦贵 第3版 电子工业出版社 2022-1 国家规划教材 ¥58.00 2022级 57 可选用 首选 9787040573091 杨文丰 (第五 版) 高等教育出版社 2022-01 国家规划教材 ¥48.80 2022级 31 可选用 首选 教育部组 织编写 2023版 人民出版社 2023-03 国家规划教材 2023 735 可选用 首选 9787040599022 本书编写组 23版 高等教育出版社 2023-03 国家规划教材 2023级 735 可选用 首选 第五版 高等教育出版社 2021-10 国家规划教材 ¥49.80 2023级 735 可选用 首选 第四版 高等教育出版社 2018-09 国家规划教材 ¥36.80 2023级 735 可选用 首选 聂爱林 第一版 航空工业 2023-01 国家规划教材 ¥55.00 2023级 735 可选用 首选 9787516528181 黄淑敏 第二版 航空工业出版社 2021-12 国家规划教材 ¥34.90 2023级 735 可选用 首选 9787576307481 黄江 第二版 北京理工大学出版社 2021-11 其他 ¥39.00 2023级 735 可选用 首选 9787109261006 李京杰 第三版 中国农业出版社 2019-09 国家规划教材 ¥38.00 2023级 325 可选用 首选 9787109260962 周其虎 第三版 中国农业出版社 2019-09 国家规划教材 ¥43.50 2023级 325 可选用 首选 新编实用英语综 9787040527766 合教程1 大学语文(第四 9787040504392 版) 大学信息技术基 础与应用 [Win10+Office 9787516522974 2019] (双色) (含微课) 大学生职业生 7个专业+4个 大学生职业生涯 涯规划与就业 专干班 规划与就业指导 指导 7个专业+4个 劳动教育 大学生劳动教育 专干班 畜牧兽医、 动物生物化学 动物医学、 动物生物化学 (第三版) 牧医专干班 畜牧兽医、 动物医学、 动物解剖生理 动物解剖生理 牧医专干班 《新编实 用英语》 教材编写 组 孙昕光 茶叶生产与 植物与植物生 植物与植物生理 9787109237599 加工技术 理 茶叶生产与 植物生长环境 植物生长与环境 9787109261624 加工技术 74 高职 农学院 75 高职 农学院 76 高职 农学院 茶叶生产与 《茶叶机械与 《茶叶加工机械 97875118400768 加工技术 设备》 与设备》 77 78 高职 高职 农学院 农学院 农检、专干 农检、专干 79 高职 农学院 80 高职 农学院 81 高职 农学院 82 高职 农学院 农产品营销 农产品营销 分析化学 无机与分析化学 农业电工电子 设农、专干 电工与电子技术 技术 生态农业技 农业生物化学 植物生物化学 术 园林手绘表现技 园林技术 园林手绘表现 法 园林技术 中外园林史 中外园林史 83 高职 农学院 园林技术 84 高职 药学院 85 高职 药学院 86 高职 药学院 87 高职 药学院 88 高职 药学院 89 高职 药学院 90 高职 药学院 91 92 93 94 95 高职 高职 高职 高职 高职 药学院 药学院 药学院 药学院 药学院 96 高职 药学院 97 高职 药学院 园林植物识别 崔爱萍 第一版 中国农业出版社 2018-03 国家规划教材 ¥48.00 2023级 225 可选用 首选 宋志伟 第二版 中国农业出版社 2019-11 国家规划教材 ¥69.00 2023级 60 可选用 首选 罗学平, 赵先明 第一版 中国轻工业出版社 2018-10 国家规划教材 ¥42.00 2023级 60 可选用 首选 9787302537601 9787109262140 陈国胜 徐英岚 第三版 第四版 清华大学出版社 中国农业出版社 2020-01 2019-11 国家规划教材 行业规划教材 ¥48.00 ¥42.00 2023级 2023级 60 60 可选用 可选用 首选 首选 9787111518280 赵承滨 第一版 机械工业出版社 2016-1 国家规划教材 ¥35.00 2024级 90 可选用 首选 9787040487039 陈玉惠 第一版 高等教育出版社 2017-12 省级规划教材 ¥55.00 2023级 75 可选用 首选 9787111578161 刘学锋 第五版 机械工业出版社 2022-12 国家规划教材 ¥30.00 2023级 75 可选用 首选 9787111569534 姚岚 顾昌华, 刘明智 机械工业出版社 2023-02 国家规划教材 ¥52.00 2023级 75 可选用 首选 江苏教育出版社 2011-08 国家规划教材 ¥24.00 2023级 75 可选用 首选 本书编写 2023秋季版 中共中央党校出版社 组 2023-06 其他 38 22级、23级 1179 可选用 首选 卢宝荣 第一版 上海科技教育出版社 2021-09 省级规划教材 22.3 22级 548 可选用 首选 李玉龙 第一版 北京理工大学出版社 2021-08 普通教材 56 22级 376 可选用 首选 秦红兵 第一版 高等教育出版社 2019-08 国家规划教材 54 22级 376 可选用 首选 陈辉 第三版 高等教育出版社 2019-11 国家规划教材 31.4 22级 376 可选用 首选 张健泓 第三版 人民卫生出版社 2018-09 国家规划教材 76 22级 376 可选用 首选 邹玉繁 第二版 化学工业出版社 2017-01 行业规划教材 29.8 22级 68 可选用 首选 王晓戍 杨红 李炳生 张昌文 凌巍炜 第一版 中国中医药出版社 2018-09 第三版 人民卫生出版社 2018-05 第三版 人民卫生出版社有限公司 2018-11 第二版 中国中医药出版社 2017-07 第二版 长春东北师范大学出版社有限责 2022-09 国家规划教材 国家规划教材 国家规划教材 国家规划教材 国家规划教材 62 48 49 66 36 22级 22级 22级 22级 22级 255 255 255 255 255 可选用 可选用 可选用 可选用 可选用 首选 首选 首选 首选 首选 乔卿梅 第三版 中国农业大学出版社 2015-10 国家规划教材 34 22级 255 可选用 首选 袁先雄 第三版 人民卫生出版社 2018-06 国家规划教材 48 22级 255 可选用 首选 园林植物识别技 9787549909575 术 药品生产技 术、药学、形势与政策Ⅰ、Ⅲ 形势与政策 9787503571831 中药学 贵州省生态文明 药品生产技 生态文明教育 教育读本高职高 9787542870780 术 专版 药品生产技 药物化学 药物化学 9787568299077 术、药学 药品生产技 药理学 药理学 9787040523713 术、药学 药品生产技 生物化学 生物化学 9787040522372 术、药学 药品生产技 药物制剂技术 药物制剂技术 9787117265003 术、药学 药品生产技 制药企业安全 制药安全生产与环境保 9787122285966 术 生产与健康保护 中药学 中药方剂学 方剂与中成药 9787513249522 中药学 中药化学技术 中药化学实用技术 9787117252799 中药学 中药鉴定技术 中药鉴定技术 9787117257992 中药学 中药炮制技术 中药炮制技术(第二版) 9787513248037 中药学 高等数学 高等数学(基础模块) 9787568134965 药用植物病虫 中药学 药用植物病虫害防治9787565513985 害防治技术 中药学 中药药理学 中药药理学 9787117252355 第一版 98 99 100 高职 高职 高职 药学院 药学院 药学院 101 高职 药学院 102 高职 药学院 103 高职 药学院 104 高职 药学院 105 高职 药学院 106 高职 药学院 107 高职 药学院 108 高职 药学院 109 高职 药学院 110 高职 药学院 111 112 113 高职 高职 高职 药学院 药学院 药学院 114 高职 工学院 115 高职 工学院 116 高职 工学院 117 高职 工学院 药学 药品推销技巧 推销员素质与技巧 9787304073213 饶茂阳 第一版 中央广播电视大学出版社 2015-08 药品生产技 药品营销技术 药品市场营销技术 饶茂阳 第一版 铜仁职业技术学院 术 药学 药物检测技术 药物检测技术 陈敏 第三版 铜仁职业技术学院 2023-05 药品生产技 现代高职体育与 术、药学、 体育与健康Ⅰ 97875519130534 方儒钦 第一版 教育科学出版社 2022-04 健康 中药学 药品生产技 术、药学、 思想道德与法治 思想道德与法治 9787040599022 本书编写组 2023版 高等教育出版社 2023-03 中药学 《新编实 药品生产技 新编实用英语综 术、药学、 公共英语(1) 9787040527766 用英语》 第五版 高等教育出版社 2021-10 合教程1 教材编写 中药学 组 习近平新时代中 药品生产技 国特色社会主义 习近平新时代中国特色社会主 术、药学、 教育部组织编写2023版 人民出版社 2023-03 思想学生读本大 中药学 学 药品生产技 大学语文(医药 张建、呙 术、药学、 大学语文 9787040327304 第二版 高等教育出版社 2014-08 版)(第二版) 立军 中药学 药品生产技 大学生职业生涯 术、药学、 大学生职业生涯规 9787516528181 黄淑敏 第二版 航空工业出版社 2021-12 规划与就业指导 中药学 药品生产技 术、药学、 药用基础化学 无机及分析化学 9787568521147 吴华 第三版 大连理工大学出版社 2019-08 中药学 药品生产技药用微生物与免疫 药用微生物学基础 9787521425567 陈明琪 第四版 中国医药科技出版社 2021-08 术 药品生产技 术、药学、 解剖生理学 人体解剖生理学 9787117265362 贺伟 第三版 人民卫生出版社 2018-08 中药学 智能制药设备 药品生产技 使用 制剂设备操作技术 9787564558697 韩恩远 第一版 郑州大学出版社 2018-09 术 与维护技术 药学、中药 药学文化 药学文化概论 9787566415684 卫强 第二版 安徽大学出版社 2018-11 学 中药学 中医学基础 中医学基础理论 9787117262170 陈刚 第四版 人民卫生出版社 2021-03 中药学 药用植物学 药用植物学 9787117262545 郑小吉 第四版 人民卫生出版社 2018-07 建筑工程技 建筑工程造价控 工程造价控制 9787562344940 郑宁 第二版 华南理工大学出版社 2022-06 术 制 建筑工程技 建筑结构 建筑结构 9787567798267 吴琳 第一版 吉林大学出版社 2020-08 术 建筑工程技 姚谨英、 建筑施工技术 建筑施工技术 9787112274635 第七版 中国建筑工业出版社 2022-07 术 姚晓霞 建筑工程技 建筑工程测量 工程测量 9787569202632 高始慧 第一版 吉林大学出版社 2021-03 术 普通教材 校本优质教材 校本优质教材 39 22级 22级 22级 308 68 308 可选用 可选用 可选用 首选 首选 首选 国家规划教材 49.8 23级 548 可选用 首选 国家规划教材 18 23级 548 可选用 首选 国家规划教材 49.80 23级 548 可选用 首选 23级 548 可选用 首选 国家规划教材 国家规划教材 23.9 23级 548 可选用 首选 国家规划教材 34.9 23级 548 可选用 首选 国家规划教材 37.80 23级 548 可选用 首选 国家规划教材 38 23级 353 可选用 首选 国家规划教材 79 23级 548 可选用 首选 国家规划教材 39 23级 98 可选用 首选 普通教材 国家规划教材 国家规划教材 49 39 62 23级 23级 23级 450 230 230 可选用 可选用 可选用 首选 首选 首选 国家规划教材 ¥39.00 2022级 57 可选用 首选 行业规划教材 ¥58.00 2022级 143 可选用 首选 国家规划教材 ¥59.00 2022级 192 可选用 首选 国家规划教材 ¥59.80 2022级 192 可选用 首选 118 高职 工学院 119 高职 工学院 120 高职 工学院 121 高职 工学院 122 高职 工学院 123 高职 工学院 124 高职 工学院 125 高职 工学院 126 高职 工学院 127 高职 工学院 128 高职 工学院 129 高职 工学院 130 高职 工学院 131 高职 工学院 132 高职 工学院 133 高职 工学院 134 高职 工学院 135 高职 工学院 136 高职 工学院 137 高职 工学院 建筑工程技 工程经济学(第 工程经济 9787112251742 术 四版) 建筑工程技 建设工程法规 建设工程法规 9787111585589 术 建筑工程技 建筑工程计量 建筑工程计量与 9787301318898 术 与计价 计价 建筑工程技 土力学与地基基 工程岩土 9787562479611 术 础 bim建筑信息模 建筑工程技 bim建模 型—revit操作 9787302536093 术 教程 建筑工程技 建筑工程施工 建筑工程施工组 9787305254123 术 组织 织 建筑工程技 建筑工程质量 建筑工程质量与 9787560368016 术 与安全管理 安全管理 机电一体化 自动生产线安 现代电气控制系 9787113230425 技术 装与调试 统安装与调试 工业机器人应用 机电一体化 工业机器人编 编程(FANUC) 9787040548952 技术 程与操作 初级 机电一体化 高职应用写作 应用文写作 9787040573091 技术 (第五版) 机电一体化 机电产品三维 UG NX10.0实例 9787111600732 技术 设计 基础教程 机电一体化 现代企业车间 现代企业管理 9787040530254 技术 管理 (第四版) 机电一体化 机械设计基础 机械设计基础 9787111680055 技术 机电一体化 C语言编程 C语言程序设计 9787040285680 技术 “碧播”电力与 机电一体化 电力与能源管 能源管理课程: 9787121325342 技术 理 电气操作实践练 习手册 建筑工程技术 建筑材料 建筑材料 9787568266406 建筑工程技 建筑设备与识 建筑设备(第3 9787576309805 术 图 版) 建筑工程技 工程识图制图 建筑制图与识图 9787563536535 术 与CAD 1 建筑工程技 工程识图制图 建筑制图与识图 9787563536542 术 与CAD 1 习题集 机电一体化 电工电子技术 电工技术与技能 9787561250198 技术 刘晓君 第四版 中国建筑工业出版社 2021-01 行业规划教材 ¥48.00 2023级 57 可选用 首选 鲁正 第一版 机械工业出版社 2023-01 国家规划教材 ¥45.00 223级 192 可选用 首选 杨建林 第二版 北京大学出版社 2021-12 国家规划教材 ¥59.00 2023级 57 可选用 首选 肖进 第四版 重庆大学出版社 2023-02 国家规划教材 ¥55.00 2022级 192 可选用 首选 柴美娟 第二版 清华大学出版社 2022-04 国家规划教材 ¥46.00 2022级 192 可选用 首选 吴琛 第二版 南京大学出版社 2022-02 国家规划教材 ¥48.00 2022级 192 可选用 首选 王万德 第二版 哈尔滨工业大学出版 社 2019-07 国家规划教材 ¥44.00 2022级 143 可选用 首选 汤晓华 第二版 中国铁道出版社 2021-10 行业规划教材 ¥42.00 2022级 226 可选用 首选 王志强 第一版 高等教育出版社 2020-12 国家规划教材 ¥59.00 2022级 226 可选用 首选 杨文丰 第五版 高等教育出版社 2022-12 国家规划教材 ¥50.00 2022级 226 可选用 首选 赵秀文 第一版 机械工业出版社 2023-02 国家规划教材 ¥49.00 2022级 226 可选用 首选 由建勋 第四版 高等教育出版社 2020-01 国家规划教材 ¥44.80 2022级 226 可选用 首选 胡家秀 第四版 机械工业出版社 2023-1-14 国家规划教材 ¥55.00 2022级 226 可选用 首选 赵睿 第二版 高等教育出版社 2021-01 国家规划教材 ¥36.00 2022级 226 可选用 首选 第一版 电子工业出版社 2021-10 普通教材 ¥37.50 2022级 226 可选用 首选 第三版 北京理工大学出版社 2019-01 国家规划教材 ¥49.00 2023级 180 可选用 首选 王鹏 第三版 北京理工大学出版社 2022-07 国家规划教材 ¥58.00 2023级 180 可选用 首选 张喆 第一版 北京邮电大学出版社 2021-07 行业规划教材 ¥39.00 2023级 180 可选用 首选 张喆 第一版 北京邮电大学出版社 2021-07 行业规划教材 ¥32.00 2023级 180 可选用 首选 苗晓培 第一版 西北工业大学出版社 2021-1 国家规划教材 ¥39.50 2023级 180 可选用 首选 施耐德电 气(中 国)有限 公司 王欣 138 高职 工学院 139 高职 工学院 140 高职 工学院 141 高职 工学院 142 高职 工学院 143 高职 工学院 144 高职 工学院 145 高职 工学院 146 高职 工学院 147 高职 工学院 148 高职 工学院 149 高职 工学院 150 高职 工学院 机械制图(双 机电一体化 色版)(含习 工程制图及CAD 9787512435667 张佑林 技术 题集) 机电一体化 思想道德与法 技术、建筑 思想道德与法治 9787040599022 本书编写组 治 工程技术 机电一体化 习近平新时代 习近平新时代中 技术、建筑 中国特色社会 国特色社会主义 工程技术 主义思想 思想学生读本 机电一体化 技术、建筑 工程技术 机电一体化 技术、建筑 工程技术 机电一体化 技术、建筑 工程技术 机电一体化 技术、建筑 工程技术 机电一体化 技术、建筑 工程技术 机电一体化 技术、建筑 工程技术 第一版 北京航空航天大学出 版社 2022-06 国家规划教材 23版 高等教育出版社 2023-03 2023版 人民出版社 第五版 方儒钦 易文安 教育部组 织编写 公共英语(1) 新编实用英语综 9787040527766 合教程1 体育与健康I 现代高职体育与 97875519130534 健康 军事理论 新编普通高等学 9787567305458 校军事课教程 《新编实 用英语》 教材编写 组 ¥79.00 2023级 180 可选用 首选 国家规划教材 2023级 360 可选用 首选 2023-03 国家规划教材 2023级 360 可选用 首选 高等教育出版社 2021-10 国家规划教材 ¥49.80 2023级 360 可选用 首选 第一版 教育科学出版社 2022-04 国家规划教材 ¥49.80 2023级 360 可选用 首选 2023版 国防科技大学出版社 2023-06 国家规划教材 ¥42.80 2023级 360 可选用 首选 形势与政策I 形势与政策 9787503571831 本书编写 2023秋季版 中共中央党校出版社 组 2023-06 其他 ¥38.00 2022、2023 级 775 可选用 首选 大学语文 大学语文(第四 版) 9787040504392 孙昕光 第四版 高等教育出版社 2018-0927 国家规划教材 ¥36.80 2023级 360 可选用 首选 信息技术 大学信息技术基 础与应用 [Win10+Office 9787516522974 2019] (双色) (含微课) 聂爱林 第一版 航空工业 2023-01 国家规划教材 ¥55.00 2023级 360 可选用 首选 黄淑敏 第二版 航空工业出版社 2021-12 国家规划教材 ¥34.90 2023级 360 可选用 首选 黄江 第二版 北京理工大学出版社 2021-11 普通教材 ¥39.00 2023级 360 可选用 首选 侯风波 第五版 高等教育出版社 2018-09 国家规划教材 ¥49.80 2023级 360 可选用 首选 卢宝荣 第一版 上海科技教育出版社 2021-09 省级规划教材 ¥22.30 2022级 415 可选用 首选 机电一体化 大学生职业规 大学生职业生涯 技术、建筑 9787516528181 划生涯 规划与就业指导 工程技术 机电一体化 技术、建筑 劳动教育 大学生劳动教育 9787576307481 工程技术 机电一体化 高等数学(第五 技术、建筑 高等数学 9787040503852 版) 工程技术 机电一体化 贵州省生态文明 技术、建筑 生态文明教育 教育读本高职高 9787542870780 工程技术 专版 151 高职 152 高职 153 高职 154 高职 155 高职 156 高职 157 高职 158 高职 159 经济与管 理学院 经济与管 理学院 经济与管 理学院 经济与管 理学院 经济与管 理学院 经济与管 理学院 经济与管 理学院 经济与管 理学院 电子商务 电子商务 电子商务 网店运营实务 (第2版) 网络营销(第二 网络营销 版) 品牌管理(第2 电商品牌管理 版) 网店运营 9787115603234 宋卫 第二版 人民邮电出版社 2023-02 国家规划教材 54.00 2022级 133 可选用 首选 9787040511994 汪永华 第一版 高等教育出版社 2019-01 国家规划教材 43.80 2022级 133 可选用 首选 9787568299046 李逾男 第2版 北京理工大学出版社 2021-01 国家规划教材 79.00 2022级 133 可选用 首选 电子商务 电商直播 直播电商运营 9787568293242 汪永华 最新 北京理工大学出版社 2021-02 国家规划教材 66.00 2022级 133 可选用 首选 电子商务 新媒体营销 新媒体营销 9787040562040 林海 第二版 高等教育出版社 2021-08 国家规划教材 45.00 2022级 133 可选用 首选 电子商务 农业物联网应 农业物联网导论 9787560661797 用 尹武 第一版 西安电子科技大学出 版社 2021-01 其他 30.00 2022级 133 可选用 首选 9787040547184 毕思勇 第五版 高等教育出版社 2020-10 国家规划教材 48.50 2023级 180 可选用 首选 电子商务基础与 9787115613714 实务(双色) 白东蕊 第二版 人民邮电出版社 2023-05 国家规划教材 56.00 2023级 180 可选用 首选 高职 企业经营管理 经济与管 大数据与会 ERP沙盘模拟企 沙盘与自我认 9787111626398 理学院 计 业经营实训教程 知 崔晓敏 第一版 机械工业出版社 2019-07 行业规划教材 25.00 2022级 350 可选用 首选 160 高职 经济与管 大数据与会 Python在财务 财务大数据分析 9787542969668 理学院 计 分析中的应用 程淮中 最新 立信会计出版社 2022/02 其他 49.00 2022级 350 可选用 首选 161 高职 经济与管 大数据与会 理学院 计 刘春华 第二版 东北财经大学出版社 2022-09 国家规划教材 45.00 2022级 350 可选用 首选 162 高职 经济与管 大数据与会 精编出纳岗位实 出纳业务操作 9787040563139 理学院 计 务 第二版 高等教育出版社 2021-09 行业规划教材 48.80 2022级 350 可选用 首选 163 高职 2020-06 国家规划教材 44.80 2022级 350 可选用 首选 164 高职 2022-02 国家规划教材 49.50 2022级 350 可选用 首选 165 高职 国家规划教材 32.00 2022级 350 可选用 首选 166 高职 国家规划教材 46.80 2023级 260 可选用 首选 167 高职 168 高职 电子商务 市场营销 电子商务 电子商务基础 财务管理 市场营销 财务管理 经济与管 大数据与会 财经应用文写作 会计文书写作 理学院 计 (第三版) 会计信息系统应 经济与管 大数据与会 会计信息化系 用(用友U8 理学院 计 统 V10.1版)(第 三版) 经济与管 大数据与会 管理会计(第二 管理会计基础 理学院 计 版)(双色) 经济与管 大数据与会 经济学 经济学基础 理学院 计 经济与管 大数据与会 基础会计 基础会计 理学院 计 经济与管 现代农业经 管理学基础 《管理学基础》 理学院 济管理 9787565446153 9787040314212 厦门网中 网软件有 限公司中 华会计网 校 李薇 9787040572292 李爱红 第三版 高等教育出版社 9787040504484 范世森 周 遊 第二版 高等教育出版社 9787040587623 冯瑞 第三版 高等教育出版社 2018-09 2022-01修 订 2022-08 9787115574190 王辉 第四版 人民邮电出版社 2021-10 国家规划教材 49.80 2023级 260 可选用 首选 9787040559712 单凤儒 第七版 高等教育出版社 2021-01 国家规划教材 45.80 2023级 60 可选用 首选 第三版 高等教育出版社 169 高职 170 高职 171 高职 172 高职 173 高职 174 高职 175 高职 176 高职 177 高职 178 高职 179 高职 180 高职 181 182 高职 高职 经济与管 理学院 经济与管 理学院 经济与管 理学院 经济与管 理学院 经济与管 理学院 现代农业经 济管理 现代农业经 济管 现代农业经 济管理 现代农业经 济管理 现代农业经 济管理 农产品储藏加 《农产品贮藏加 工 工技术》 农产品物流管 农产品物流管理 理 农业企业经营 现代企业管理 管理 农业经济统计 统计学基础及应 与分析 用 乡村旅游开发 乡村旅游创新开 与经营 发与经营实务 9787122061065 张怀珠 第一版 化学工业出版社 2020-11 其他 39.80 2022级 45 可选用 首选 9787109283695 赵春杰 第一版 中国农业出版社 2021-08 国家规划教材 32.00 2022级 45 可选用 首选 9787040530254 由建勋 第四版 高等教育出版社 2020-07 国家规划教材 44.80元 2022级 45 可选用 首选 9787115589255 洑建红 第四版 人民邮电出版社 2022-05 国家规划教材 49.80 2022级 45 可选用 首选 9787305246999 张骏 第一版 南京大学出版社 2021-08 国家规划教材 48.00 2022级 45 可选用 首选 经济与管 现代农业经 农产品电子商 农产品电子商务 9787300299228 理学院 济管理 务 实务 杜理明 第一版 中国人民大学出版社 有限公司 2021-10 国家规划教材 26.00 2022级 45 可选用 首选 王海萍 第一版 中国农业大学出版社 2021-07 其他 45.00 2023级 60 可选用 首选 刘华 第六版 大连理工大学出版社 2022-01 国家规划教材 53.80 2023级 60 可选用 首选 吴俊丽 第一版 中国农业大学出版社 2014-03 行业规划教材 27.00 2022级 45 可选用 首选 卢宝荣 第一版 上海科技教育出版社 2021-09 省级规划教材 22.3 2022级 530 可选用 首选 教育部组 织编写 2023版 人民出版社 2023-03 国家规划教材 2023级 500 可选用 全国通用 本书编写 组 2023版 高等教育出版社 2023-03 国家规划教材 18.00 2023级 500 可选用 全国通用 《新编实 用英语》 教材编写 组 第五版 高等教育出版社 2021-10 国家规划教材 49.80 2023级 500 可选用 首选 易文安 2023版 国防科技大学出版社 2023-06 其他 42.80 2023级 500 可选用 首选 经济与管 现代农业经 农业概论 现代农业概论 9787565525971 理学院 济管理 经济与管 现代农业经 经济学基础 经济学基础 978568537261 理学院 济管理 经济与管 现代农业经 农村新型经济 农村合作经济组 9787565508523 理学院 济管理 组织管理 织管理实务 大数据与会 贵州省生态文明 经济与管 计、电子商 生态文明教育 教育读本高职高 9787542870780 理学院 务、现代农 专版 业经济管理 大数据与会 习近平新时代 习近平新时代中 经济与管 计、电子商 中国特色社会 国特色社会主义 理学院 务、现代农 主义思想概论 思想学生读本 业经济管理 大数据与会 经济与管 计、电子商 思想道德与法 思想道德与法治 9787040599022 理学院 务、现代农 治 业经济管理 大数据与会 经济与管 计、电子商 新编实用英语综 公共英语(1) 9787040527766 理学院 务、现代农 合教程1 业经济管理 大数据与会 经济与管 计、电子商 理学院 务、现代农 业经济管理 军事理论 新编普通高等学 9787567305458 校军事课教程 183 高职 184 高职 185 高职 186 高职 187 高职 188 高职 189 高职 190 高职 191 高职 192 高职 193 高职 194 高职 195 高职 196 高职 197 高职 大数据与会 经济与管 计、电子商 形势与政策Ⅰ 形势与政策 9787503571831 理学院 务、现代农 业经济管理 大数据与会 经济与管 计、电子商 大学语文(第四 大学语文 9787040504392 理学院 务、现代农 版) 业经济管理 大数据与会 经济与管 计、电子商 理学院 务、现代农 业经济管理 信息技术 大学信息技术基 础与应用 [Win10+Office 9787516522974 2019] (双色) (含微课) 大数据与会 经济与管 计、电子商 大学生职业生 大学生职业生涯 9787516528181 理学院 务、现代农 涯规划 规划与就业指导 业经济管理 国际教育 《HSK标准课程4 国际语言生 HSK课程 9787561939031 学院 上》 《发展汉语(第 国际教育 国际语言生 汉语写作 2版)中级写作 9787561932865 学院 (Ⅰ)》 国际教育 《发展汉语·初 国际语言生 汉语综合 9787561930779 学院 级综合》(Ⅱ) 国际教育 《发展汉语·初 国际语言生 汉语口语 9787561932988 学院 级口语II》 《发展汉语(第 国际教育 国际语言生 汉语听力 2版)初级听力 9787561930632 学院 (Ⅰ)》 国际教育 《发展汉语·中 国际语言生 汉语阅读 9787561931233 学院 级阅读1》 国际教育 国际语言生 中国概况 《中国概况》 9787564775728 学院 国际教育 《发展汉语·初 国际语言生 汉语综合 9787561930762 学院 级综合》(Ⅰ) 国际教育 《发展汉语·初 国际语言生 汉语阅读 9787561933602 学院 级读写1》 国际教育 《发展汉语·初 国际语言生 汉语口语 9787561932476 学院 级口语1》 医学影像技 医学影像诊断 医学院 医学影像诊断学 9787117285667 术 学 本书编写 组 2023秋季 中共中央党校出版社 版 2023-06 其他 38.00 2022级 2023 级 1030 可选用 首选 孙昕光 第四版 高等教育出版社 2018-09 国家规划教材 36.80 2023级 500 可选用 首选 聂爱林 第一版 航空工业 2023-01 国家规划教材 55 2023级 500 可选用 首选 黄淑敏 第二版 航空工业出版社 2021-12 国家规划教材 34.90 2023级 500 可选用 首选 姜丽萍 第一版 北京语言大学出版社 2014-11 行业规划教材 78 2023级(中 级班) 10 可选用 首选 蔡永强 第二版 北京语言大学出版社 2012-06 国家规划教材 35 2023级(中 级班) 10 可选用 首选 徐桂梅 第二版 北京语言大学出版社 2012-02 国家规划教材 75 10 可选用 首选 王淑红 第二版 北京语言大学出版社 2012-06 国家规划教材 74 10 可选用 首选 幺书君 第二版 北京语言大学出版社 2011-09 国家规划教材 79 10 可选用 首选 徐承伟 第二版 北京语言大学 2012-08 国家规划教材 29 10 可选用 首选 陈钰萍 第一版 电子科技大学出版社 2019-12 其他 38 10 可选用 首选 荣继华 第二版 北京语言大学出版社 2011-07 国家规划教材 79 10 可选用 首选 李泉 第二版 北京语言大学出版社 2012-08 国家规划教材 32 10 可选用 首选 王淑红 第二版 北京语言大学 2012-03 国家规划教材 65 10 可选用 首选 夏瑞明 第四版 人民卫生出版社 2020-11 国家规划教材 88.00 145 可选用 首选 2023级(中 级班) 2023级(中 级班) 2023级(中 级班) 2023级(中 级班) 2023级(中 级班) 2023级(初 级班) 2023级(初 级班) 2023级(初 级班) 2022级 198 高职 医学院 199 高职 医学院 200 高职 医学院 201 高职 医学院 202 高职 医学院 203 高职 医学院 204 高职 205 医学影像技 医学影像信息 医学影像信息技 术 学 术与应用 医学影像技 临床医学概论 临床医学概要 术 医学影像技 超声检查技术 超声检查技术 术 9787117317030 杨德武 第一版 人民卫生出版社 2021-11 国家规划教材 59.00 2022级 145 可选用 首选 9787117288330 周建军 第二版 2021-12 国家规划教材 75.00 2022级 145 可选用 首选 9787117292665 周进祝 第一版 人民卫生出版社 人民卫 生出版社 2020-07 国家规划教材 78.00 2022级 145 可选用 首选 9787117292641 李萌 第一版 2021-07 国家规划教材 56.00 2022级 145 可选用 首选 CT检查技术 CT检查技术 9787117292658 张卫萍 第一版 2020-07 国家规划教材 55.00 2022级 145 可选用 首选 临床医学 常用社区护理 常用社区护理技 技术 术 9787040497786 赵晓华 第二版 2018-08 国家规划教材 38.00 2022级 320 可选用 首选 医学院 临床医学 医学影像学 医学影像学 9787117263757 徐克 第八版 2018.08 国家规划教材 72.00 2022级 320 可选用 首选 高职 医学院 临床医学 9787568044097 杨柳清 第一版 华中科技大学出版社 2021-02 国家规划教材 49.80 2022级 320 可选用 首选 206 高职 医学院 9787565920905 艾娟 第5版 北京大学医学出版社 2019-10 国家规划教材 80.00 2022级 320 可选用 首选 207 高职 医学院 9787117299558 苏碧芳 第二版 人民卫生出版社 2020-05 国家规划教材 45.00 2022级 465 可选用 首选 208 高职 医学院 临床医学 临床医学、 卫生法律法规 卫生法律法规 医学影像技 术 临床医学 预防医学 预防医学 第一版 人民卫生出版社 2019-03 国家规划教材 35.00 2022级 320 可选用 首选 209 高职 医学院 临床医学 诊断学 诊断学 9787117283779 第八版 人民卫生出版社有限 公司 2019-09 国家规划教材 88.00 2022级 320 可选用 首选 210 高职 医学院 临床医学 儿科学 儿科学 9787117266055 第八版 人民卫生出版社 2021-10 国家规划教材 48.00 2022级 320 可选用 首选 211 高职 医学院 临床医学 外科学 外科学 9787117275538 第8版 人民卫生出版社 2018-11 国家规划教材 80.00 2022级 320 可选用 首选 212 高职 医学院 213 高职 医学院 214 高职 医学院 215 高职 医学院 216 高职 医学院 217 高职 医学院 218 高职 医学院 康复治疗技 术 康复治疗技 术 康复治疗技 术 康复治疗技 术 康复治疗技 术 康复治疗技 术 康复治疗技 术 219 高职 医学院 医学影像技 术 医学影像技 术 临床医学 X线检查技术 X线摄影检查技 术 基本公共卫生 基层公共卫生服 服务实务 务技术 内科学 内科学 人民卫生出版社有限 公司 人民卫生出版社有限 公司 高等教育出版社有限 公司 人民卫生出版社有限 公司 刘明清 9787117272131 许有华 黄华 龙明 运动治疗技术 运动治疗技术 物理因子治疗 物理因子治疗技 技术 术 康复心理学 康复心理学 康复辅助器具 康复辅助器具技 技术 术 9787117292702 章稼 第三版 人民卫生出版社 2020-05 国家规划教材 82.00 2022级 190 可选用 首选 9787117280761 张维杰 第三版 人民卫生出版社 2019-05 国家规划教材 52.00 2022级 190 可选用 首选 9787117282444 周郁秋 肖晓鸿 第三版 人民卫生出版社 2019-07 国家规划教材 45.00 2022级 190 可选用 首选 第二版 人民卫生出版社 2019-7 国家规划教材 72.00 2022级 190 可选用 首选 言语治疗技术 言语治疗技术 9787521414349 第一版 中国医药科技出版社 2019-12 国家规划教材 35.00 2022级 190 可选用 首选 作业治疗技术 作业治疗技术 老年健康照护与 老年照护 促进 人体解剖学、 人体解剖学与组 组织学与胚胎 织胚胎学 学 9787117284776 闵水平 第一版 人民卫生出版社 2020-03 国家规划教材 68.00 2022级 190 可选用 首选 9787117273756 周郁秋 第一版 人民卫生出版社 2019-09 国家规划教材 40.90 2022级 190 可选用 首选 9787117270274 吴建清 第八版 人民卫生出版社 2018-12 国家规划教材 88.00 2023级 320 可选用 首选 9787117284097 张海霞 220 高职 医学院 临床医学 221 高职 医学院 临床医学 222 223 224 225 226 227 228 高职 高职 高职 高职 高职 高职 高职 医学院 医学院 医学院 医学院 医学院 医学院 医学院 229 高职 医学院 230 高职 医学院 231 高职 医学院 232 高职 医学院 233 高职 医学院 234 高职 医学院 235 高职 医学院 236 高职 医学院 237 高职 医学院 238 高职 医学院 9787117271868 田国华 第2版 人民卫生出版社 2018-10 国家规划教材 30.00 2023级 320 可选用 首选 9787117271615 关晶 第六版 人民卫生出版社 2019-03 国家规划教材 36.96 2023级 320 可选用 首选 医学检验技 9787117315876 术 医学检验技 9787117292719 术 医学检验技 9787117292917 术 康复治疗技 9787117281416 术 康复治疗技 9787117277877 术 康复治疗技 9787117316057 术 康复治疗技 9787117281409 术 医学检验技 9787040503852 术 临床医学、 现代高职体育与 康复治疗技 体育与健康I 97875519130534 健康 术、医学检 验技术 临床医学、 新编普通高等学 康复治疗技 军事理论 9787567305458 校军事课教程 术、医学检 验技术 临床医学、 大学生职业规 大学生职业生涯 康复治疗技 9787516528181 划生涯 规划与就业指导 术、医学检 验技术 临床医学、 思想道德与法 康复治疗技 思想道德与法治 9787040599022 治 术、医学检 验技术 临床医学、 习近平新时代中 习近平新时代 康复治疗技 国特色社会主义 中国特色社会 术、医学检 思想学生读本大 主义思想 验技术 学 临床医学、 新时代实用英语 康复治疗技 公共英语1 9787305247361 1 术、医学检 验技术 临床医学、 大学语文(医药 康复治疗技 大学语文 9787040327304 版)(第二版) 术、医学检 验技术 临床医学、 贵州省生态文明 康复治疗技 生态文明教育 教育读本高职高 9787542870780 术、医学影 专版 像技术 临床医学、 孙红梅 曹晓群 王美玲 陈尚 白波 何建成 王俊华 第3版 第二版 第二版 第1版 第8版 第3版 第一版 人民卫生出版社 人民卫生出版社 人民卫生出版社 人民卫生出版社 人民卫生出版社 人民卫生出版社 人民卫生出版社 2021-12 国家规划教材 85.00 2021-04 国家规划教材 49.00 2021-09 国家规划教材 42.00 国家卫生健康委员会“十三五”规72.00 2019-05 国家卫生健康委员会“十三五”规46.00 2022-01 2021-09 国家规划教材 80.00 2020-03 国家规划教材 32.00 2023级 2023级 2023级 2023级 2023级 2023级 2023级 160 160 160 190 190 190 190 可选用 可选用 可选用 可选用 可选用 可选用 可选用 首选 首选 首选 首选 首选 首选 首选 侯风波 第五版 高等教育出版社 2018-09 国家规划教材 49.80 2023级 160 可选用 首选 方儒钦 第一版 教育科学出版社 2022-04 国家规划教材 49.80 2023级 670 可选用 首选 易文安 23版 国防科技大学出版社 2023-06 其他 42.80 2023级 670 可选用 首选 黄淑敏 第二版 航空工业出版社 2021-12 国家规划教材 34.90 2023级 670 可选用 首选 本书编写 组 23版 高等教育出版社 2023-03 国家规划教材 18.00 2023级 670 可选用 全国通用 教育部组 织编写 23版 人民出版社 2023-03 国家规划教材 2023级 670 可选用 全国通用 邹申 第二版 南京大学出版社 202107 国家规划教材 62.00 2023级 670 可选用 首选 张建、呙 立军 第二版 高等教育出版社 2014-08 国家规划 23.90 2023级 670 可选用 首选 卢宝荣 第一版 上海科技教育出版社 2021-09 省规划教材 22.30 2022级 640 可选用 首选 本书编写 组 2023秋季 中共中央党校出版社 版 2023-06 其他 38.00 2022、2023 级 1300 可选用 首选 康复治疗技 术、医学影 像技术、医 学检验技术 医患沟通 医患沟通 细胞生物学与 细胞生物学与医 医学遗传学 学遗传学 正常人体学 正常人体学 有机化学 有机化学 无机化学 无机化学 人体解剖学 人体解剖学 生理学 生理学 中医学基础 中医学基础 康复医学概论 康复医学导论 高等数学(第五 高等数学 版) 形势与政策 I,形势与政 形势与政策 策Ⅲ 9787503571831 239 高职 人文学院 旅游管理 240 高职 人文学院 旅游管理 241 高职 人文学院 旅游管理 242 高职 人文学院 旅游管理 243 高职 人文学院 旅游管理 244 高职 人文学院 旅游管理 245 高职 人文学院 旅游管理 246 高职 人文学院 婴幼儿托育 幼儿教师礼仪 服务与管理 与沟通 247 高职 人文学院 248 高职 249 高职 250 高职 人文学院 251 高职 人文学院 252 高职 253 高职 254 高职 人文学院 255 高职 人文学院 256 高职 257 高职 婴幼儿托育 服务与管理 婴幼儿托育 人文学院 服务与管理 婴幼儿托育 人文学院 服务与管理 婴幼儿托育 服务与管理 婴幼儿托育 服务与管理 婴幼儿托育 人文学院 服务与管理 婴幼儿托育 人文学院 服务与管理 婴幼儿托育 服务与管理 婴幼儿托育 服务与管理 婴幼儿托育 人文学院 服务与管理 婴幼儿托育 人文学院 服务与管理 9787040555509 全国导游 资格考试 统编教材 专家编写 组 李娌 9787302284871 贾晓龙 第一版 清华大学出版社 2012-7 国家规划教材 36 2022级 126 可选用 首选 9787545607307 韦萍 第一版 贵州教育出版社 2020年1月 省规划教材 28 2023级 177 可选用 首选 9787313177988 洪帅 第三版 上海交通大学出版社 2022年1月 国家规划教材 48.2 2023级 177 可选用 首选 9787300292298 李妍 第二版 中国人民大学出版社 2021年4月 国家规划教材 39.00 2023级 177 可选用 首选 9787563742424 薛兵旺、 杨崇君 第一版 2021年8月 国家规划教材 46 2023级 177 可选用 首选 9787309148886 唐志华 第三版 复旦大学出版社有限 2020.4.1 公司 国家规划教材 35.00 2022级 271 可选用 首选 9787510185670 李立新 第一版 中国人口出版社 2022.08.0 1 其他 52 2022级 271 可选用 首选 第一版 河南大学出版社 2021.08 其他 25 2022级 271 可选用 首选 第一版 中国人口出版社 2022.08 其他 52 2022级 271 可选用 首选 导游基础知识 地方导游基础知 9787503269783 应用 识 旅行社经营管 旅行社经营管理 理 实务(第四版) 酒店服务综合 酒店服务技能与 技能 实训 贵州省普通话培 普通话 训测试用书 旅游认知基础 旅游学概论 酒店认知与管 现代酒店管理基 理基础 础 研学旅行认知 研学旅行概论 幼儿教师礼仪基 础教程(第三 版) 婴幼儿回应性 婴幼儿回应性照 照料 护 幼师资格证考 保教知识与能力 试 婴幼儿行为观 婴幼儿行为观察 察与记录 与记录 奥尔夫音乐教学 奥尔夫音乐 法实用教程(第 二版) 婴幼儿感觉统合 感觉统合课程 教育实操教程 幼儿常见疾病 幼儿常见疾病的 与预防 预防 蒙台梭利教学 蒙台梭利教学法 法 托育服务政策 托育服务政策法 法规与职业伦 规与职业伦理 理 婴幼儿营养与 0-3岁婴幼儿营 喂养 养与喂养 婴幼儿卫生与 婴幼儿卫生与保 保健 健 婴幼儿生理基 婴幼儿生理基础 础 第六版 中国旅游出版社 2022年8月 考试指定教材 33 2022级 126 可选用 首选 第四版 高等教育出版社 2021.04 国家规划教材 43.8 2022级 126 可选用 首选 旅游教育出版社 9787510166914 教师资格 考试研究 院 徐冉 9787309124309 方少萌 第二版 复旦大学出版社 2016/10/1 国家规划教材 32 2022级 271 可选用 首选 9787309148312 张楠 第一版 复旦大学出版社 2020.03 国家规划教材 30 2022级 271 可选用 首选 9798040421545 金莉 、 刘心洁 第一版 高等教育出版社 2015.05 国家规划教材 16 2022级 271 可选用 首选 9787568155137 杜瑞丽 第一版 华东师范大学出版社 2019.02 国家规划教材 38 2022级 271 可选用 首选 9787510185731 张原震 第一版 中国人口出版社 2022.08 其他 50 2022级 271 可选用 首选 9787576002447 宋媛 第二版 华东师范大学出版社 2021.9 其他 38 2022级 271 可选用 首选 9787510185977 洪阳 第一版 中国人口出版社 2022.08.0 1 其他 65 2023级 198 可选用 首选 9787510185984 陈慧玲 第一版 中国人口出版社 2022.08 其他 50 2023级 198 可选用 首选 9787309119541 258 高职 259 高职 260 高职 261 高职 262 高职 263 高职 264 高职 265 高职 266 高职 267 高职 268 高职 269 高职 270 高职 旅游管理、 人文学院 婴幼儿托育 服务与管理 大学语文 大学语文(第四 版) 习近平新时代中 旅游管理、 习近平新时代 国特色社会主义 人文学院 婴幼儿托育 中国特色社会 思想学生读本大 服务与管理 主义思想概论 学 旅游管理、 思想道德与法 人文学院 婴幼儿托育 思想道德与法治 治 服务与管理 旅游管理、 新编实用英语综 人文学院 婴幼儿托育 公共英语1 合教程1 服务与管理 旅游管理、 现代高职体育与 人文学院 婴幼儿托育 体育与健康I 健康 服务与管理 旅游管理、 新编普通高等学 人文学院 婴幼儿托育 军事理论 校军事课教程 服务与管理 旅游管理、 形势与政策Ⅰ 人文学院 婴幼儿托育 形势与政策 、Ⅲ 服务与管理 大学信息技术基 旅游管理、 础与应用 人文学院 婴幼儿托育 信息技术 [Win10+Office 服务与管理 2019] (双色) (含微课) 9787040504392 孙昕光 高等教育出版社 2018-0927 国家规划教材 36.8 2023级 375 可选用 首选 人民出版社 2023-03 国家规划教材 40 2023级 375 可选用 首选 2023版 高等教育出版社 2023-03 国家规划教材 18 2023级 375 可选用 首选 第五版 高等教育出版社 2021-10 国家规划教材 49.8 2023级 375 可选用 首选 第四版 教育部组织编写2023版 9787040599022 本书编写组 9787040527766 《新编实 用英语》 教材编写 组 97875519130534 方儒钦 第一版 教育科学出版社 2022-04 国家规划教材 49.8 2023级 375 可选用 首选 9787567305458 易文安 23版 国防科技大学出版社 2023-06 其他 42.8 2023级 375 可选用 首选 9787503571831 本书编写 组 2023秋季 中共中央党校出版社 版 2023-06 其他 38 2022、2023 级 772 可选用 首选 9787516522974 聂爱林 第一版 航空工业 2023-01 国家规划教材 55 2023级 375 可选用 首选 黄淑敏 第二版 航空工业出版社 2021-12 国家规划教材 34.9 2023级 375 可选用 首选 卢宝荣 第一版 上海科技教育出版社 2021-09 省规划教材 22.30 2022级 397 可选用 首选 李丰 第二版 电子工业出版社 2022-02 国家规划教材 45 2023级普通 生班 300 可选用 首选 盛立军 第二版 上海交通大学出版社 2023-07 国家规划教材 58.8 2023级 155 可选用 首选 赖红 第一版 电子工业出版社 2020-03 国家规划教材 49 2022级 2021级扩招 154 可选用 首选 旅游管理、 大学生职业规 大学生职业生涯 人文学院 婴幼儿托育 9787516528181 划生涯 规划与就业指导 服务与管理 旅游管理、 贵州省生态文明 人文学院 婴幼儿托育 生态文明教育 教育读本高职高 9787542870780 服务与管理 专版 信息工程 计算机网络 计算机组装与 计算机组装与 9787121429675 学院 技术 维护 维护 信息工程 人工智能技 计算机网络技 9787313176837/ 计算机网络技术 学院 术应用 术 05 基础(双色) 信息工程 物联网应用 Android物联 《Android应用 9787121375927 学院 技术 网应用开发 开发基础》 271 高职 272 高职 273 高职 274 高职 275 高职 276 高职 277 高职 278 高职 279 高职 280 高职 281 高职 282 高职 283 高职 284 高职 285 高职 人工智能技 C程序设计项目 信息工程 术应用、计 C语言程序设 教程(第2版) 算机网络技 学院 计 (双色)(含微 术、大数据 课) 技术 信息工程 大数据平台部 Hadoop大数据开 大数据技术 发基础(第 学院 署与维护 2版) HTML+CSS+JavaS 信息工程 计算机网络 html+css+jav cript网页制作 学院 技术 ascript (Web前端开 发) HTML5+CSS3 Web 信息工程 web前端技术 前端设计基础教 大数据技术 学院 基础 程(第2版) (微课版) Java Web应用开 信息工程 物联网应用 JavaWeb网页 发项目教程(第 学院 技术 设计 3版) 大数据技术 信息工程 java程序设计 Java语言程序设 、物联网应 学院 基础 计实践指导 用技术 信息工程 计算机网络 Linux操作系 Linux网络操作 学院 技术 统管理 系统配置与管理 MySQL数据库基 信息工程 计算机网络 数据库应用技 础实例教程(微 学院 技术 术 课版) 信息工程 MySQL数据库项 大数据技术 数据库技术 学院 目化教程 Photoshop CC新 信息工程 物联网应用 PHOTOSHOP平 媒体图形图像设 学院 技术 面设计 计与制作(全彩 慕课版) Python 3 基础 信息工程 物联网应用 Python程序设 教程(第2版) 学院 技术 计 (慕课版) 信息工程 Python爬虫项目 大数据技术 数据采集技术 学院 教程(微课版) 信息工程 Python数据预处 大数据技术 数据预处理 学院 理 信息工程 物联网应用 自动识别技术 RFID技术及应用 学院 技术 信息工程 物联网应用 传感器应用技 传感器技术与应 学院 技术 术 用(第2版) 9787516527894 魏宇红 第二版 航空工业出版社 2023-06 国家规划教材 59.8 2023级 668 可选用 首选 9787115575623 张军 第2版 人民邮电出版社 2022-12 国家规划教材 59.8 2022级 208 可选用 首选 9787111686064 刘瑞新 第三版 机械工业出版社 2021-09 国家规划教材 65 2022级 283 可选用 首选 第2版 人民邮电出版社 2020-10 国家规划教材 49.8 2022级 208 可选用 首选 9787115545145 吴丰 9787121379369 王俊松 第三版 电子工业出版社 2021-12 国家规划教材 59 2021级扩招 24 可选用 首选 9787576319705 王汝山 黎 小花 段永 平 第一版 北京理工大学出版社 2023-06 校本优质教材 42 2022级 338 可选用 首选 9787040501780 许斗 第二版 高等教育出版社 2018-09 国家规划教材 38.8 2022级 283 可选用 首选 9787115564634 周德伟 第二版 人民邮电出版社 2021-07 国家规划教材 49.8 2022级 283 可选用 首选 9787576319682 杨琳 第一版 北京理工大学出版社 2023-06 校本优质教材 47 2022级 208 可选用 首选 9787115534422 周建国 第一版 人民邮电出版社 2022-12 国家规划教材 55.8 2022级 130 可选用 首选 9787115531292 刘凡馨 第一版 人民邮电出版社 2020-04 国家规划教材 49.8 2021级扩招 24 可选用 首选 9787115569998 黄锐军 第一版 人民邮电出版社 2022-12 国家规划教材 59.8 2022级 208 可选用 首选 9787115562067 黑马程序 员 第一版 人民邮电出版社 2023-02 行业规划教材 39 2022级 208 可选用 首选 9787040514346 黄从贵 第一版 高等教育出版社 2019-09 国家规划教材 41.8 2022级 130 可选用 首选 9787040547306 武新 第二版 高等教育出版社 2021-03 国家规划教材 48 2022级 130 可选用 首选 286 高职 287 高职 288 高职 289 高职 290 高职 291 高职 292 高职 293 高职 294 高职 295 高职 296 高职 297 高职 大数据导论(第 信息工程 大数据技术 大数据导论 9787302607984 2版)(微课 学院 版) 计算机网络 技术、人工 信息工程 大学生职业生 大学生职业生涯 9787516528181 智能技术应 学院 涯规划 规划与就业指导 用、大数据 技术 大学信息技术基 计算机网络 础与应用 信息工程 技术、人工 信息技术 [Win10+Office 9787516522974 学院 智能技术、 2019] (双色) 大数据技术 (含微课) 计算机网络 信息工程 技术、人工 学院 智能技术、 大数据技术 大学语文 大学语文(第四 版) 单片机应用技术 信息工程 物联网应用 单片机应用技 项目教程(微课 学院 技术 术 版) 计算机网络 信息工程 技术、人工 高等数学(第五 高等数学 学院 智能技术、 版) 大数据技术 计算机网络 贵州省生态文明 信息工程 技术、物联 生态文明教育 教育读本高职高 网应用技术 学院 专版 、大数据技 术 计算机网络 信息工程 计算机网络基 技术、大数 计算机网络基础 学院 础 据技术 嵌入式技术与应 信息工程 物联网应用 嵌入式技术 用开发项目教程 学院 技术 (STM32版) 计算机网络 信息工程 技术、人工 思想道德与法 思想道德与法治 智能技术应 学院 治 用、大数据 技术 信息工程 计算机网络 网络安全设备 网络安全技术与 学院 技术 信息工程 计算机网络 学院 技术 配置与管理 网页美工 周苏 第2版 清华大学出版社 2022.07.0 大数据专业书籍 1 68 2023级 230 可选用 首选 黄淑敏 第二版 航空工业出版社 2021-12 国家规划教材 34.9 2023级2023 级普通生班 、新西兰班 725 可选用 首选 聂爱林 第一版 航空工业 2023-01 国家规划教材 55 2023级 725 可选用 首选 9787040504392 孙昕光 第四版 高等教育出版社 2018-0927 国家规划教材 36.8 2023级2023 级普通生班 、新西兰班 725 可选用 首选 9787115504210 郭志勇 第一版 人民邮电出版社 2019-01 国家规划教材 59.8 2022级 130 可选用 首选 9787040503852 侯风波 第五版 高等教育出版社 2018-09 国家规划教材 49.8 2022级 668 可选用 首选 9787542870780 卢宝荣 第一版 上海科技教育出版社 2021-09 省级规划教材 22.3 2022级 625 可选用 首选 9787040526738 钱锋 第二版 高等教育出版社 2019-11 国家规划教材 33 2023级2023 级普通生班 、新西兰班 570 可选用 首选 978711508263 郭志勇 第一版 人民邮电出版社 2019-03 国家规划教材 59.8 2021级扩招 24 可选用 首选 2023版 高等教育出版社 2023-03 国家规划教材 18 2023级2023 级普通生班 、新西兰班 725 可选用 首选 杨云 第三版 大连理工大学出版社 2021-08 国家规划教材 55 2022级 283 可选用 首选 赵殊 第二版 高等教育出版社 2017-08 国家规划教材 60 2022级 283 可选用 首选 9787040599022 本书编写组 9787568530811 实施 网页美工设计实 9787040482034 训 298 高职 299 高职 300 高职 301 高职 302 高职 303 高职 304 高职 无线局域网应用 信息工程 物联网应用 无线组网技术 技术(微课版) 9787115594273 学院 技术 (第2版) 信息工程 计算机网络 无线网络技术 无线网络技术 9787121330483 学院 技术 应用 计算机网络 习近平新时代 习近平新时代中 信息工程 技术、人工 智能技术应 中国特色社会 国特色社会主义 学院 主义思想概论 思想 用、大数据 技术 计算机网络 信息工程 技术、人工 现代高职体育与 体育与健康Ⅰ 97875519130534 学院 智能技术、 健康 大数据技术 信息工程 计算机网络 学院 技术 军事理论 新编普通高等学 9787567305458 校军事课教程 计算机网络 信息工程 技术、人工 形势与政策Ⅰ 形势与政策 学院 智能技术、 大数据技术 信息工程 计算机网络 网络综合布线 综合布线 学院 技术 计算机网络 信息工程 技术、人工 新编实用英语综 公共英语(1) 学院 智能技术、 合教程1 大数据技术 护理、助产 形势与政策Ⅲ 护理学院 、老年保健 、形势与政策 形势与政策 与管理 Ⅰ 贵州省生态文明 护理学院 护理、助产 生态文明教育 教育读本高职高 专版 儿科护理学(第 二版) 护理学院 护理、助产 儿科护理 ——“十四五” 职业教育河南省 规划教材 黄君羡 第二版 人民邮电出版社 2022-09 国家规划教材 59.8 2021级扩招 24 可选用 首选 刘威 第二版 电子工业出版社 2017-12 国家规划教材 35 2022级 283 可选用 首选 本书编写 组 23版 高等教育出版社 2023-03 国家规划教材 2023级2023 级普通生班 、新西兰班 725 可选用 首选 方儒钦 第一版 教育科学出版社 2022-04 国家规划教材 49.8 2023级2023 级普通生班 、新西兰班 725 可选用 首选 易文安 23版 国防科技大学出版社 2023-06 其他 42.8 2023级2023 级普通生班 、新西兰班 725 可选用 首选 9787503571831 本书编写 组 2023秋季 中共中央党校出版社 版 2023-06 其他 38 2023级2023 级普通生班 、新西兰班 1374 可选用 首选 9787121433504 伦洪山 第二版 电子工业出版社 2022-06 国家规划教材 48 2023级新西 兰班 40 可选用 首选 9787040527766 《新编实 用英语》 教材编写 组 第五版 高等教育出版社 2021-10 国家规划教材 49.8 2023级2023 级普通生班 、新西兰班 725 可选用 首选 9787503571831 本书编写 组 2023秋季 中共中央党校出版社 版 2023-06 其他 38.00 223级、205 级、233级、 215级 1086 可选用 首选 9787542870780 卢宝荣 第一版 上海科技教育出版社 2023-06 省级规划教材 22.30 223级、205 级 600 可选用 首选 9787568533409 孟晓红 黄 勤 程 红 第一版 大连理工大学出版社 2021.11 国家规划教材 52.80 223级、205 级 600 可选用 首选 600 可选用 首选 600 可选用 首选 305 高职 306 高职 307 高职 308 高职 309 高职 护理学院 护理、助产 内科护理 内科护理学 9787117274586 冯丽华、 史铁英 第四版 人民卫生出版社 2018-12 国家规划教材 62.00 310 高职 护理学院 护理、助产 外科护理 外科护理学 9787112769131 熊云新 第四版 人民卫生出版社 2018-11 国家规划教材 72.00 223级、205 级 223级、205 级 外科护理学 实训指导及习题 9787560879604 集 吕金星 第一版 急危重症护理 9787040554304 胡爱招 第1版 护理学院 护理、助产 传染病护理 传染病护理学 9787560890609 梁惠萍 第一版 同济大学出版社 高职 护理学院 护理、助产 护理心理学 护理心理学 9787200157079 蔡篮 第二版 315 高职 护理学院 护理、助产 营养与健康 营养与膳食 9787117277853 季兰芳 316 高职 护理学院 护理 妇产科护理 妇产科护理 9787117300827 317 高职 护理学院 护理 老年护理 318 319 高职 高职 护理学院 护理学院 助产 助产 320 高职 护理学院 助产 321 高职 护理学院 护理、老年 保健与管理 322 高职 护理学院 323 高职 护理学院 324 高职 护理学院 325 高职 护理学院 326 高职 护理学院 327 高职 护理学院 护理、老年 保健与管理 328 高职 护理学院 护理、老年 保健与管理 311 高职 护理学院 护理、助产 312 高职 护理学院 护理、助产 急危重症护理 313 高职 314 护理、老年 保健与管理 护理、老年 保健与管理 护理、老年 保健与管理 护理、老年 保健与管理 护理、老年 保健与管理 外科护理 36.8 国家规划教材 42 2019-12 国家规划教材 59.00 北京出版社 2020-07 国家规划教材 38.00 第四版 人民卫生出版社 2019-09 国家规划教材 42.00 李淑文 第二版 人民卫生出版社 2020-08 国家规划教材 55.00 9787560884158 潘彦彦 第1版 国家规划教材 35.00 妇科护理 妇科护理学 9787117277433 助产学 助产学 9787117270199 优生优育与母 优生优育与母婴 9787117268479 婴保健 保健 习近平新时代中 习近平新时代 国特色社会主义 中国特色社会 思想学生读本大 主义思想 学 思想道德与法 思想道德与法治 9787040599022 治 新时代实用英语 公共英语(1) 9787305247361 1 现代高职体育与 体育与健康Ⅰ 97875519130534 健康 新编普通高等学 军事理论 9787567305458 校军事课教程 大学语文(医药 大学语文 9787040327304 版)(第二版) 大学信息技术基 础与应用 信息技术 [Win10+Office 9787516522974 2019] (双色) (含微课) 大学生职业生 大学生职业生涯 9787516528181 涯规划 规划与就业指导 程瑞峰 魏碧蓉 第2版 第2版 行业规划教材 国家规划教材 39.00 58.00 223级、205 级 223级、205 级 223级、205 级、233级、 215级 223级、205 级、233级、 215级 223级、205 级 223级、205 级 223级 223级 陈丽霞 第二版 人民卫生出版社 2018-12 行业规划教材 35.00 教育部组 织编写 2023版 人民出版社 2023-03 国家规划教材 2023版 高等教育出版社 2023-03 国家规划教材 18.00 第二版 南京大学出版社 2021-07 国家规划教材 62.00 第一版 教育科学出版社 2022-04 国家规划教材 49.80 易文安 2023版 国防科技大学出版社 2023-06 其他 42.80 张建、呙 立军 第二版 高等教育出版社 2014-08 国家规划教材 23.90 聂爱林 第一版 航空工业 2023-01 国家规划教材 55.00 黄淑敏 第二版 航空工业出版社 2021-12 国家规划教材 34.90 本书编写 组 邹申、徐 小贞、李 桂兰 方儒钦 2018-07 223级、205 级 其他 老年护理 同济大学出版社 高等教育出版社有限 2021年4月 公司 同济大学出版社有限 2019-02 公司 人民卫生出版社 2019年1月 人民卫生出生 2021年 600 可选用 首选 600 可选用 首选 600 可选用 首选 885 可选用 首选 975 可选用 首选 500 可选用 首选 500 可选用 首选 105 105 可选用 可选用 首选 首选 223级 105 可选用 首选 233级、215 级 486 可选用 首选 486 可选用 首选 486 可选用 首选 486 可选用 首选 486 可选用 首选 486 可选用 首选 233级、215 级 486 可选用 首选 233级、215 级 486 可选用 首选 233级、215 级 233级、215 级 233级、215 级 233级、215 级 233级、215 级 329 高职 护理学院 护理 330 高职 护理学院 护理 331 高职 护理学院 护理 332 高职 护理学院 护理 333 高职 护理学院 护理 334 高职 护理学院 335 高职 336 高职 337 高职 老年保健与 管理 老年保健与 护理学院 管理 老年保健与 护理学院 管理 老年保健与 护理学院 管理 护士礼仪与沟 护理礼仪与人际 通 沟通 人体解剖与组 人体解剖学与组 织胚胎学I 织胚胎学 病原生物与免 病原生物与免疫 疫学 学 9787565919985 位汶军 第1版 北京大学医学出版社 2019-08 国家规划教材 30.00 9787117309639 任辉 第二版 人民卫生出版社 2021-03 国家规划教材 78.00 9787117271882 刘荣臻 第4版 2019-02 国家规划教材 54.00 护理学导论 护理学导论 9787117272179 李晓松 第四版 2018-11 国家规划教材 32.00 生物化学 9787117271820 吕士杰 第八版 2019-01 国家规划教材 46.00 9787301247440 李朝鹏 第一版 北京大学出版社 2014-10 国家规划教材 45.00 9787117325417 苑秋兰 第一版 人民卫生出版社 2022-02 9787117322942 徐晨 第一版 人民卫生出版社 2021-11 9787301241561 卢霞 第一版 北京大学出版社 2014-04 生物化学 人体结构与功 老年人体结构与 能 功能 老年人生理与 老年人生理与心 心理概论 理概论 老年人沟通技 老年人沟通技巧 巧 老年服务与管 老年服务与管理 理概论 概论 人民卫生出版社有限 公司 人民卫生出版社有限 公司 人民卫生出版社有限 公司 国家卫生健康委 员会“十四五” 规划教材全国高 国家卫生健康委 员会“十四五” 规划教材全国高 国家规划教材 233级、215 级 233级、215 级 233级、215 级 233级、215 级 233级、215 级 375 可选用 首选 375 可选用 首选 375 可选用 首选 375 可选用 首选 375 可选用 首选 233级 115 可选用 首选 55.00 233级 115 可选用 首选 45.00 233级 115 可选用 首选 49.00 233级 115 可选用 首选

2023-2024 学年第一学期教材选用情况汇总表(2).pdf 




