秦岭文库(kunmingchi.com)你想要的内容这里独有!

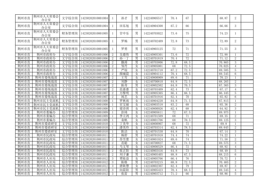
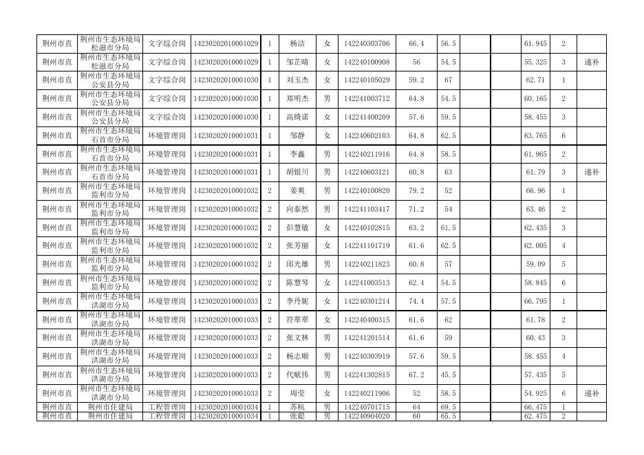
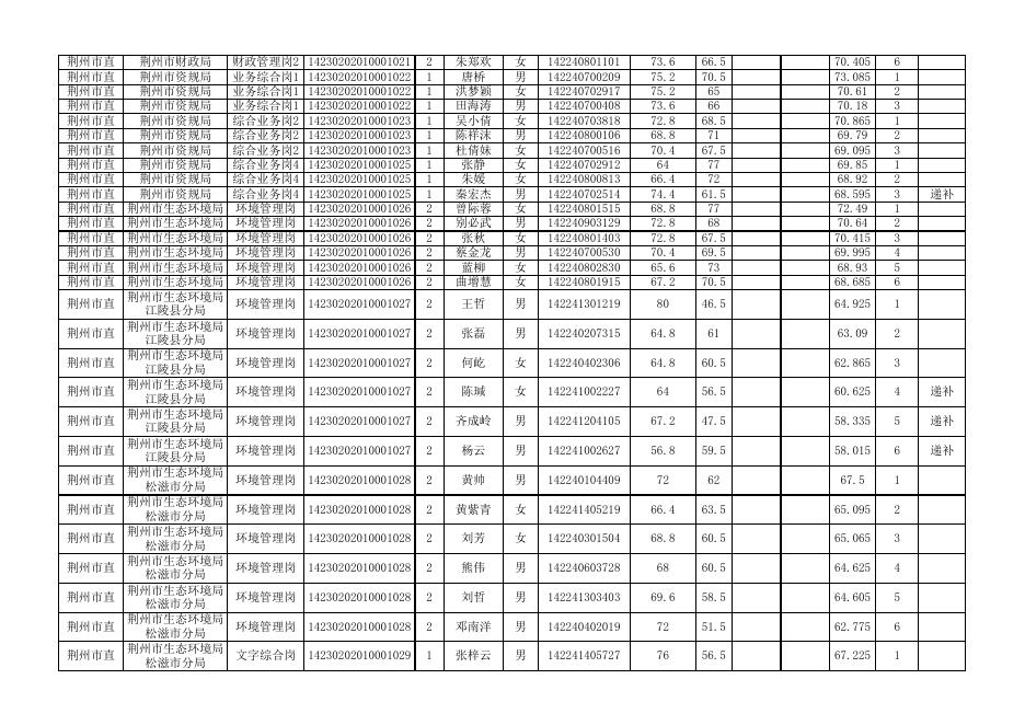
附件1.荆州市2023年度省市县乡考试录用公务员面试人员名单.xlsx

Pretext(借口)92 页 289.452 KB下载文档
附件1.荆州市2023年度省市县乡考试录用公务员面试人员名单.xlsx附件1.荆州市2023年度省市县乡考试录用公务员面试人员名单.xlsx附件1.荆州市2023年度省市县乡考试录用公务员面试人员名单.xlsx附件1.荆州市2023年度省市县乡考试录用公务员面试人员名单.xlsx附件1.荆州市2023年度省市县乡考试录用公务员面试人员名单.xlsx附件1.荆州市2023年度省市县乡考试录用公务员面试人员名单.xlsx
当前文档共92页 下载后继续阅读

附件1.荆州市2023年度省市县乡考试录用公务员面试人员名单.xlsx

附件1 荆州市2023年度省市县乡考试录用公务员面试名单 招录单位:中共荆州市委组织部 机构名称 荆州市直 荆州市直 荆州市直 荆州市直 荆州市直 荆州市直 荆州市直 荆州市直 荆州市直 荆州市直 荆州市直 荆州市直 荆州市直 荆州市直 荆州市直 荆州市直 荆州市直 荆州市直 荆州市直 荆州市直 荆州市直 荆州市直 荆州市直 荆州市直 荆州市直 荆州市直 荆州市直 荆州市直 荆州市直 荆州市直 招录机关 荆州市纪委监委机 关 荆州市纪委监委机 关 荆州市纪委监委机 关 荆州市纪委监委机 关 荆州市纪委监委机 关 荆州市纪委监委机 关 荆州市纪委监委机 关 荆州市纪委监委机 关 荆州市纪委监委机 关 荆州市纪委监委机 关 荆州市纪委监委机 关 荆州市纪委监委机 关 荆州市纪委监委机 关 荆州市纪委监委机 关 荆州市纪委监委机 关 荆州市纪委监委机 关 荆州市纪委监委机 关 荆州市纪委监委机 关 荆州市纪委监委机 关 荆州市纪委监委机 关 荆州市纪委监委机 关 荆州市纪委监委机 关 荆州市纪委监委机 关 荆州市纪委监委机 关 荆州市纪委监委机 关 荆州市纪委监委机 关 荆州市纪委监委机 关 荆州市纪委监委机 关 荆州市纪委监委机 关 荆州市纪委监委机 关 荆州市人大常委会 荆州市直 办公室 姓名 性别 准考证号 14230202010001001 14230202010001001 14230202010001001 14230202010001001 14230202010001001 14230202010001001 14230202010001001 14230202010001001 14230202010001001 14230202010001001 14230202010001001 14230202010001001 14230202010001002 14230202010001002 14230202010001002 14230202010001002 14230202010001002 14230202010001002 14230202010001002 14230202010001002 14230202010001002 14230202010001002 14230202010001002 14230202010001002 14230202010001003 14230202010001003 14230202010001003 14230202010001003 14230202010001003 14230202010001003 招 录 数 量 4 4 4 4 4 4 4 4 4 4 4 4 4 4 4 4 4 4 4 4 4 4 4 4 2 2 2 2 2 2 陈雪娇 陈曦 张超 杨怡 秦伟 王茜 张青松 张森 李聪 杨静 陈雨 梁欣 陈一凡 陈曦 詹科名 刘灿灿 钟肖玲 李响 周雪 陈伟 李相悦 钱裕丹 唐逸飞 陈明 岳凯 翁海伦 陈祺 田超尧 张琦 彭兴 女 女 男 女 男 女 男 男 女 女 女 女 男 女 男 女 女 男 女 男 女 女 男 男 男 女 女 男 女 男 142240700507 142240800422 142240903603 142240903225 142240904107 142240801201 142240703526 142240702401 142240903723 142240700410 142240800101 142240703916 142240802715 142240702701 142240903705 142240904704 142240904029 142240904312 142240905425 142240703602 142240700811 142240701901 142240700923 142240802227 142240801023 142240702407 142240701919 142240702824 142240904017 142240703609 70.4 72 68.8 67.2 71.2 68.8 67.2 68 69.6 65.6 68 68.8 76.8 71.2 68 69.6 70.4 70.4 68 68.8 67.2 62.4 65.6 67.2 73.6 70.4 67.2 66.4 69.6 65.6 78 74.5 73.5 74.5 69 71 72 71 69 73.5 69.5 67.5 73 71.5 72.5 70.5 68.5 68 70 69 70.5 75.5 71.5 69 77 72.5 74.5 71.5 66 68 73.82 73.125 70.915 70.485 70.21 69.79 69.36 69.35 69.33 69.155 68.675 68.215 75.09 71.335 70.025 70.005 69.545 69.32 68.9 68.89 68.685 68.295 68.255 68.1 75.13 71.345 70.485 68.695 67.98 66.68 1 2 3 4 5 6 7 8 9 10 11 12 1 2 3 4 5 6 7 8 9 10 11 12 1 2 3 4 5 6 文字综合岗 14230202010001004 1 李卓龙 男 142240702809 73.6 69 71.53 1 招录职位 职位代码 监督检查岗 监督检查岗 监督检查岗 监督检查岗 监督检查岗 监督检查岗 监督检查岗 监督检查岗 监督检查岗 监督检查岗 监督检查岗 监督检查岗 审查调查岗 审查调查岗 审查调查岗 审查调查岗 审查调查岗 审查调查岗 审查调查岗 审查调查岗 审查调查岗 审查调查岗 审查调查岗 审查调查岗 综合管理岗 综合管理岗 综合管理岗 综合管理岗 综合管理岗 综合管理岗 行政职业能 申论 力测验 公安专 业科目 综合知 笔试折 笔试成 识测试 算分 绩排名 备注 递补 荆州市直 荆州市直 荆州市直 荆州市直 荆州市直 荆州市直 荆州市直 荆州市直 荆州市直 荆州市直 荆州市直 荆州市直 荆州市直 荆州市直 荆州市直 荆州市直 荆州市直 荆州市直 荆州市直 荆州市直 荆州市直 荆州市直 荆州市直 荆州市直 荆州市直 荆州市直 荆州市直 荆州市直 荆州市直 荆州市直 荆州市直 荆州市直 荆州市直 荆州市直 荆州市直 荆州市直 荆州市直 荆州市人大常委会 办公室 荆州市人大常委会 办公室 荆州市人大常委会 办公室 荆州市人大常委会 办公室 荆州市人大常委会 办公室 荆州市政府办 荆州市政府办 荆州市政府办 荆州市政府办 荆州市政府办 荆州市政府办 荆州市委统战部 荆州市委统战部 荆州市委统战部 荆州市委统战部 荆州市委统战部 荆州市委统战部 荆州市民主党派机 关 荆州市民主党派机 关 荆州市民主党派机 关 荆州市委编办 荆州市委编办 荆州市委编办 荆州市委政研室 荆州市委政研室 荆州市委政研室 荆州市民政局 荆州市民政局 荆州市民政局 荆州市民政局 荆州市民政局 荆州市民政局 荆州市人社局 荆州市人社局 荆州市人社局 荆州市人社局 荆州市人社局 文字综合岗 14230202010001004 1 孙才 男 142240905517 70.4 67 68.87 2 文字综合岗 14230202010001004 1 田东旭 男 142240904308 67.2 66 66.66 3 财务管理岗 14230202010001005 1 甘中乐 男 142240703022 73.6 75 74.23 1 财务管理岗 14230202010001005 1 罗杨 男 142240702409 72.8 73 72.89 2 财务管理岗 14230202010001005 1 罗勇 男 142240903125 72 71 71.55 3 文字综合岗 文字综合岗 文字综合岗 文字综合岗 文字综合岗 文字综合岗 文字综合岗 文字综合岗 文字综合岗 文字综合岗 文字综合岗 文字综合岗 文字综合岗 文字综合岗 文字综合岗 综合管理岗 综合管理岗 综合管理岗 文字综合岗 文字综合岗 文字综合岗 综合管理岗 综合管理岗 综合管理岗 综合管理岗 综合管理岗 综合管理岗 综合管理岗 综合管理岗 综合管理岗 综合管理岗 综合管理岗 2 2 2 2 2 2 2 2 2 2 2 2 1 1 1 1 1 1 1 1 1 2 2 2 2 2 2 3 3 3 3 3 吴德伟 孙一丁 滕涛 邹丹 严琼 颜城晨 王雪 刘静 陈奇 范嘉惠 万黎明 闻艺 罗秋雨 官宝丽 梁诗琪 彭琦 李立鸿 袁帆 丁美华 漆美玲 陈洁 杨舒 苏雪蕾 范聪 马文琴 张正阳 刘子谦 覃陆益 陈格 唐耿慧 向晨阳 张雷 男 男 男 女 女 女 女 女 男 女 男 女 女 女 女 女 女 女 女 女 女 男 女 女 女 男 男 女 男 女 男 男 142240905301 142240701819 142240703806 142240905001 142240701718 142240904112 142240800909 142240700810 142240802502 142240703409 142240905305 142240701916 142240904220 142240903518 142240800926 142240905611 142240701509 142240801706 142240800907 142240703314 142240701530 142240701918 142240801924 142240700827 142240800529 142240903416 142240905405 142240905706 142240703215 142240802307 142240905423 142240903712 73.6 70.4 72.8 68 67.2 70.4 69.6 64.8 64.8 62.4 66.4 62.4 64.8 63.2 62.4 72 68 68 68 62.4 64.8 74.4 69.6 68 66.4 64.8 68.8 66.4 68.8 62.4 70.4 71.2 72 72 68.5 72.5 72.5 68.5 71 72.5 70.5 73 66.5 70 71.5 68 68 67.5 71 70.5 72 78.5 70 74 74 71.5 72 73 67.5 76 72.5 79 68.5 66 72.88 71.12 70.865 70.025 69.585 69.545 70.23 68.265 67.365 67.17 66.445 65.82 67.815 65.36 64.92 69.975 69.35 69.125 69.8 69.645 67.14 74.22 71.58 69.575 68.92 68.49 68.215 70.72 70.465 69.87 69.545 68.86 1 2 3 4 5 6 1 2 3 4 5 6 1 2 3 1 2 3 1 2 3 1 2 3 4 5 6 1 2 3 4 5 14230202010001006 14230202010001006 14230202010001006 14230202010001006 14230202010001006 14230202010001006 14230202010001007 14230202010001007 14230202010001007 14230202010001007 14230202010001007 14230202010001007 14230202010001008 14230202010001008 14230202010001008 14230202010001009 14230202010001009 14230202010001009 14230202010001010 14230202010001010 14230202010001010 14230202010001011 14230202010001011 14230202010001011 14230202010001011 14230202010001011 14230202010001011 14230202010001012 14230202010001012 14230202010001012 14230202010001012 14230202010001012 荆州市直 荆州市直 荆州市直 荆州市直 荆州市直 荆州市直 荆州市直 荆州市直 荆州市直 荆州市直 荆州市直 荆州市直 荆州市直 荆州市直 荆州市直 荆州市直 荆州市直 荆州市直 荆州市直 荆州市直 荆州市直 荆州市直 荆州市直 荆州市直 荆州市直 荆州市直 荆州市直 荆州市直 荆州市直 荆州市直 荆州市直 荆州市直 荆州市直 荆州市直 荆州市直 荆州市直 荆州市直 荆州市直 荆州市直 荆州市直 荆州市直 荆州市直 荆州市人社局 荆州市人社局 荆州市人社局 荆州市人社局 荆州市民宗委 荆州市民宗委 荆州市民宗委 荆州市农业农村局 荆州市农业农村局 荆州市农业农村局 荆州市农业农村局 荆州市农业农村局 荆州市农业农村局 荆州市农业农村局 荆州市农业农村局 荆州市农业农村局 荆州市农业农村局 荆州市农业农村局 荆州市农业农村局 荆州市科技局 荆州市科技局 荆州市科技局 荆州市科技局 荆州市科技局 荆州市科技局 荆州市科技局 荆州市科技局 荆州市科技局 荆州市科技局 荆州市科技局 荆州市科技局 荆州市财政局 荆州市财政局 荆州市财政局 荆州市财政局 荆州市财政局 荆州市财政局 荆州市财政局 荆州市财政局 荆州市财政局 荆州市财政局 荆州市财政局 综合管理岗 综合管理岗 综合管理岗 综合管理岗 综合管理岗 综合管理岗 综合管理岗 业务管理岗1 业务管理岗1 业务管理岗1 业务管理岗1 业务管理岗1 业务管理岗1 业务管理岗2 业务管理岗2 业务管理岗2 财务审计岗 财务审计岗 财务审计岗 综合管理岗 综合管理岗 综合管理岗 综合管理岗 综合管理岗 综合管理岗 综合管理岗 综合管理岗 综合管理岗 文字综合岗 文字综合岗 文字综合岗 财政管理岗1 财政管理岗1 财政管理岗1 财政管理岗1 财政管理岗1 财政管理岗1 财政管理岗2 财政管理岗2 财政管理岗2 财政管理岗2 财政管理岗2 14230202010001012 14230202010001012 14230202010001012 14230202010001012 14230202010001013 14230202010001013 14230202010001013 14230202010001014 14230202010001014 14230202010001014 14230202010001014 14230202010001014 14230202010001014 14230202010001015 14230202010001015 14230202010001015 14230202010001017 14230202010001017 14230202010001017 14230202010001018 14230202010001018 14230202010001018 14230202010001018 14230202010001018 14230202010001018 14230202010001018 14230202010001018 14230202010001018 14230202010001019 14230202010001019 14230202010001019 14230202010001020 14230202010001020 14230202010001020 14230202010001020 14230202010001020 14230202010001020 14230202010001021 14230202010001021 14230202010001021 14230202010001021 14230202010001021 3 3 3 3 1 1 1 2 2 2 2 2 2 1 1 1 1 1 1 3 3 3 3 3 3 3 3 3 1 1 1 2 2 2 2 2 2 2 2 2 2 2 杜雨薇 刘俊波 李璇 盛逸洁 黄庭烨 陈彩娥 王华格 曾祥伟 程闯 戈春之 付荣耀 徐文静 邓丹丹 冯韬 胡飞 曾艳 黄袁园 陈巧儿 朱雨围 谢作文 杜宇恒 朱永康 杨博策 余港 赵向宾 荣恬 张涛 田子豪 吴光辉 李鹏 肖雯琦 汪力 张建国 李雨丝 宁明羽 俞丽娜 吴周娇 刘清林 赵可可 吴茉 朱丽 张思航 女 男 女 女 女 女 女 男 男 女 男 女 女 男 男 女 女 女 女 男 男 男 男 男 男 女 男 男 男 男 女 女 男 女 女 女 女 男 男 女 女 男 142240701409 142240801222 142240701425 142240800108 142240701311 142240703209 142240700925 142240905622 142240800605 142240801726 142240801802 142240903327 142240801424 142240802827 142240801604 142240703502 142240702721 142240700425 142240703515 142240905502 142240701215 142240702722 142240903801 142240701113 142240700512 142240904601 142240800306 142240801208 142240703025 142240802329 142240903608 142240702319 142240702928 142240703712 142240802317 142240801714 142240702718 142240702914 142240701706 142240904516 142240802029 142240703918 67.2 65.6 69.6 63.2 64 60 60.8 76 70.4 69.6 66.4 69.6 62.4 80 74.4 65.6 63.2 64.8 65.6 79.2 72.8 76.8 70.4 68.8 71.2 64.8 75.2 67.2 69.6 69.6 60.8 76.8 71.2 71.2 68 66.4 69.6 71.2 73.6 73.6 69.6 68.8 70 71.5 66.5 74 71.5 76 71.5 72 74 70.5 68 64 72 67.5 64 74.5 73 70.5 69.5 69 71 65.5 70.5 69 66 73 57.5 67 70 62 72 68 72 70 72.5 73 67.5 75 71.5 69.5 73.5 72.5 68.46 68.255 68.205 68.06 67.375 67.2 65.615 74.2 72.02 70.005 67.12 67.08 66.72 74.375 69.72 69.605 67.61 67.365 67.355 74.61 71.99 71.715 70.445 68.89 68.86 68.49 67.235 67.11 69.78 66.18 65.84 72.84 71.56 70.66 70.025 69.37 68.655 72.91 72.655 71.755 71.355 70.465 6 7 8 9 1 2 3 1 2 3 4 5 6 1 2 3 1 2 3 1 2 3 4 5 6 7 8 9 1 2 3 1 2 3 4 5 6 1 2 3 4 5 递补 递补 递补 递补 荆州市直 荆州市直 荆州市直 荆州市直 荆州市直 荆州市直 荆州市直 荆州市直 荆州市直 荆州市直 荆州市直 荆州市直 荆州市直 荆州市直 荆州市直 荆州市直 荆州市直 荆州市直 荆州市直 荆州市直 荆州市直 荆州市直 荆州市直 荆州市直 荆州市直 荆州市直 荆州市直 荆州市直 荆州市直 荆州市财政局 荆州市资规局 荆州市资规局 荆州市资规局 荆州市资规局 荆州市资规局 荆州市资规局 荆州市资规局 荆州市资规局 荆州市资规局 荆州市生态环境局 荆州市生态环境局 荆州市生态环境局 荆州市生态环境局 荆州市生态环境局 荆州市生态环境局 荆州市生态环境局 江陵县分局 荆州市生态环境局 江陵县分局 荆州市生态环境局 江陵县分局 荆州市生态环境局 江陵县分局 荆州市生态环境局 江陵县分局 荆州市生态环境局 江陵县分局 荆州市生态环境局 松滋市分局 荆州市生态环境局 松滋市分局 荆州市生态环境局 松滋市分局 荆州市生态环境局 松滋市分局 荆州市生态环境局 松滋市分局 荆州市生态环境局 松滋市分局 荆州市生态环境局 松滋市分局 财政管理岗2 业务综合岗1 业务综合岗1 业务综合岗1 综合业务岗2 综合业务岗2 综合业务岗2 综合业务岗4 综合业务岗4 综合业务岗4 环境管理岗 环境管理岗 环境管理岗 环境管理岗 环境管理岗 环境管理岗 14230202010001021 14230202010001022 14230202010001022 14230202010001022 14230202010001023 14230202010001023 14230202010001023 14230202010001025 14230202010001025 14230202010001025 14230202010001026 14230202010001026 14230202010001026 14230202010001026 14230202010001026 14230202010001026 2 1 1 1 1 1 1 1 1 1 2 2 2 2 2 2 朱郑欢 唐桥 洪梦颖 田海涛 吴小倩 陈祥沫 杜倩妹 张静 朱媛 秦宏杰 曾际蓉 别必武 张秋 蔡金龙 蓝柳 曲增慧 女 男 女 男 女 男 女 女 女 男 女 男 女 男 女 女 142240801101 142240700209 142240702917 142240700408 142240703818 142240800106 142240700516 142240702912 142240800813 142240702514 142240801515 142240903129 142240801403 142240700530 142240802830 142240801915 73.6 75.2 75.2 73.6 72.8 68.8 70.4 64 66.4 74.4 68.8 72.8 72.8 70.4 65.6 67.2 66.5 70.5 65 66 68.5 71 67.5 77 72 61.5 77 68 67.5 69.5 73 70.5 70.405 73.085 70.61 70.18 70.865 69.79 69.095 69.85 68.92 68.595 72.49 70.64 70.415 69.995 68.93 68.685 6 1 2 3 1 2 3 1 2 3 1 2 3 4 5 6 环境管理岗 14230202010001027 2 王哲 男 142241301219 80 46.5 64.925 1 环境管理岗 14230202010001027 2 张磊 男 142240207315 64.8 61 63.09 2 环境管理岗 14230202010001027 2 何屹 女 142240402306 64.8 60.5 62.865 3 环境管理岗 14230202010001027 2 陈瑊 女 142241002227 64 56.5 60.625 4 递补 环境管理岗 14230202010001027 2 齐成岭 男 142241204105 67.2 47.5 58.335 5 递补 环境管理岗 14230202010001027 2 杨云 男 142241002627 56.8 59.5 58.015 6 递补 环境管理岗 14230202010001028 2 黄帅 男 142240104409 72 62 67.5 1 环境管理岗 14230202010001028 2 黄紫青 女 142241405219 66.4 63.5 65.095 2 环境管理岗 14230202010001028 2 刘芳 女 142240301504 68.8 60.5 65.065 3 环境管理岗 14230202010001028 2 熊伟 男 142240603728 68 60.5 64.625 4 环境管理岗 14230202010001028 2 刘哲 男 142241303403 69.6 58.5 64.605 5 环境管理岗 14230202010001028 2 邓南洋 男 142240402019 72 51.5 62.775 6 文字综合岗 14230202010001029 1 张梓云 男 142241405727 76 56.5 67.225 1 递补 荆州市直 荆州市直 荆州市直 荆州市直 荆州市直 荆州市直 荆州市直 荆州市直 荆州市直 荆州市直 荆州市直 荆州市直 荆州市直 荆州市直 荆州市直 荆州市直 荆州市直 荆州市直 荆州市直 荆州市直 荆州市直 荆州市直 荆州市生态环境局 松滋市分局 荆州市生态环境局 松滋市分局 荆州市生态环境局 公安县分局 荆州市生态环境局 公安县分局 荆州市生态环境局 公安县分局 荆州市生态环境局 石首市分局 荆州市生态环境局 石首市分局 荆州市生态环境局 石首市分局 荆州市生态环境局 监利市分局 荆州市生态环境局 监利市分局 荆州市生态环境局 监利市分局 荆州市生态环境局 监利市分局 荆州市生态环境局 监利市分局 荆州市生态环境局 监利市分局 荆州市生态环境局 洪湖市分局 荆州市生态环境局 洪湖市分局 荆州市生态环境局 洪湖市分局 荆州市生态环境局 洪湖市分局 荆州市生态环境局 洪湖市分局 荆州市生态环境局 洪湖市分局 荆州市住建局 荆州市住建局 文字综合岗 14230202010001029 1 杨洁 女 142240303706 66.4 56.5 61.945 2 文字综合岗 14230202010001029 1 邹芷晴 女 142240100908 56 54.5 55.325 3 文字综合岗 14230202010001030 1 刘玉杰 女 142240105029 59.2 67 62.71 1 文字综合岗 14230202010001030 1 郑明杰 男 142241003712 64.8 54.5 60.165 2 文字综合岗 14230202010001030 1 高绮诺 女 142241400209 57.6 59.5 58.455 3 环境管理岗 14230202010001031 1 邹静 女 142240602103 64.8 62.5 63.765 6 环境管理岗 14230202010001031 1 李鑫 男 142240211916 64.8 58.5 61.965 2 环境管理岗 14230202010001031 1 胡银川 男 142240603121 60.8 63 61.79 3 环境管理岗 14230202010001032 2 姜爽 男 142240100820 79.2 52 66.96 1 环境管理岗 14230202010001032 2 向泰然 男 142241103417 71.2 54 63.46 2 环境管理岗 14230202010001032 2 彭慧敏 女 142240102815 63.2 61.5 62.435 3 环境管理岗 14230202010001032 2 张芳丽 女 142241101719 61.6 62.5 62.005 4 环境管理岗 14230202010001032 2 邱光雄 男 142240211823 60.8 57 59.09 5 环境管理岗 14230202010001032 2 陈慧琴 女 142241003513 62.4 54.5 58.845 6 环境管理岗 14230202010001033 2 李丹妮 女 142240301214 74.4 57.5 66.795 1 环境管理岗 14230202010001033 2 符翠翠 女 142240400315 61.6 62 61.78 2 环境管理岗 14230202010001033 2 张文林 男 142241201514 61.6 59 60.43 3 环境管理岗 14230202010001033 2 杨志顺 男 142240303919 57.6 59.5 58.455 4 环境管理岗 14230202010001033 2 代赋伟 男 142241302815 67.2 45.5 57.435 5 环境管理岗 14230202010001033 2 周莹 女 142240211906 52 58.5 54.925 6 工程管理岗 14230202010001034 工程管理岗 14230202010001034 1 1 苏杭 张聪 男 男 142240701715 142240904020 64 60 69.5 65.5 66.475 62.475 1 2 递补 递补 递补 荆州市直 荆州市直 荆州市直 荆州市直 荆州市直 荆州市直 荆州市直 荆州市直 荆州市直 荆州市直 荆州市直 荆州市直 荆州市直 荆州市直 荆州市直 荆州市直 荆州市直 荆州市直 荆州市直 荆州市直 荆州市直 荆州市直 荆州市直 荆州市直 荆州市直 荆州市直 荆州市直 荆州市直 荆州市直 荆州市直 荆州市直 荆州市直 荆州市直 荆州市直 荆州市直 荆州市直 荆州市直 荆州市直 荆州市直 荆州市直 荆州市直 荆州市直 荆州市住建局 荆州市住建局 荆州市住建局 荆州市住建局 荆州市人防办 荆州市人防办 荆州市人防办 荆州市人防办 荆州市人防办 荆州市人防办 荆州市城管委 荆州市城管委 荆州市城管委 荆州市城管委 荆州市城管委 荆州市城管委 荆州市政数局 荆州市政数局 荆州市政数局 荆州市文旅局 荆州市文旅局 荆州市文旅局 荆州市司法局 荆州市司法局 荆州市司法局 荆州市司法局 荆州市司法局 荆州市司法局 荆州市司法局 荆州市司法局 荆州市司法局 荆州市国资委 荆州市国资委 荆州市国资委 荆州市地方金融局 荆州市地方金融局 荆州市地方金融局 荆州市水利和湖泊 局 荆州市水利和湖泊 局 荆州市水利和湖泊 局 荆州市卫健委 荆州市卫健委 工程管理岗 法律法规岗 法律法规岗 法律法规岗 综合管理岗 综合管理岗 综合管理岗 工程技术岗 工程技术岗 工程技术岗 文字综合岗 文字综合岗 文字综合岗 城市规划岗 城市规划岗 城市规划岗 文字综合岗 文字综合岗 文字综合岗 业务综合岗 业务综合岗 业务综合岗 综合管理岗 综合管理岗 综合管理岗 业务综合岗 业务综合岗 业务综合岗 业务综合岗 业务综合岗 业务综合岗 业务综合岗 业务综合岗 业务综合岗 业务综合岗 业务综合岗 业务综合岗 业务综合岗 业务综合岗 业务综合岗 综合管理岗 综合管理岗 14230202010001034 14230202010001035 14230202010001035 14230202010001035 14230202010001037 14230202010001037 14230202010001037 14230202010001038 14230202010001038 14230202010001038 14230202010001039 14230202010001039 14230202010001039 14230202010001040 14230202010001040 14230202010001040 14230202010001041 14230202010001041 14230202010001041 14230202010001042 14230202010001042 14230202010001042 14230202010001043 14230202010001043 14230202010001043 14230202010001044 14230202010001044 14230202010001044 14230202010001044 14230202010001044 14230202010001044 14230202010001045 14230202010001045 14230202010001045 14230202010001046 14230202010001046 14230202010001046 14230202010001047 14230202010001047 14230202010001047 14230202010001048 14230202010001048 1 1 1 1 1 1 1 1 1 1 1 1 1 1 1 1 1 1 1 1 1 1 1 1 1 2 2 2 2 2 2 1 1 1 1 1 1 1 1 1 1 1 周文博 龙意 陈璐瑶 彭书琴 邹时俊 刘青英 肖凯 谭翔 陈博伟 冯灵枝 潘亮亮 罗丹丹 朱逸雯 龚晋 姜明明 望道勇 李笑 朱兴亮 曾轩 葛灿灿 段文慧 谭雨蓉 王涂强 周金容 梁千越 石强 平萍 王康灵 金玉格 陈莲 程梦妮 曾凡烨 苏锐 汤诤 丁楚凡 田畅 王雷 裴云帆 崔昊 李亮 谢筱然 李应璞 男 男 女 女 男 女 男 男 男 女 男 女 女 男 男 男 男 男 男 女 女 女 男 女 女 男 女 女 女 女 女 男 男 女 男 女 女 男 男 男 男 男 142240701228 142240903104 142240702506 142240904409 142240701209 142240800405 142240702924 142240703416 142240701514 142240903219 142240701802 142240800728 142240703013 142240904626 142240801228 142240903910 142240903503 142240801914 142240903605 142240903407 142240800616 142240903027 142240703707 142240802614 142240802618 142240800412 142240903121 142240903124 142240905627 142240800620 142240701029 142240703903 142240800916 142240701117 142240703127 142240903310 142240702808 142240703610 142240903118 142240903309 142240801512 142240703107 56.8 62.4 55.2 58.4 70.4 64.8 69.6 72 69.6 66.4 64 62.4 55.2 60.8 64.8 66.4 68 70.4 70.4 73.6 68.8 68.8 72 71.2 73.6 66.4 67.2 68 65.6 67.2 68.8 72 68.8 69.6 70.4 68 68.8 73.6 72 66.4 68 58.4 67.5 72.5 73 64.5 70.5 74.5 66.5 67 68 67.5 65.5 66 71.5 67 59.5 57 71.5 65.5 65.5 71.5 73.5 68.5 74.5 72 68.5 72 70 66.5 67.5 64 61 72 71.5 70 70.5 72 68 65.5 67 70.5 48.5 57 61.615 66.945 63.21 61.145 70.445 69.165 68.205 69.75 68.88 66.895 64.675 64.02 62.535 63.59 62.415 62.17 69.575 68.195 68.195 72.655 70.915 68.665 73.125 71.56 71.305 68.92 68.46 67.325 66.455 65.76 65.29 72 70.015 69.78 70.445 69.8 68.44 69.955 69.75 68.245 59.225 57.77 3 1 2 3 1 2 3 1 2 3 1 2 3 1 2 3 1 2 2 1 2 3 1 2 3 1 2 3 4 5 6 1 2 3 1 2 3 1 2 3 1 2 递补 荆州市直 荆州市直 荆州市直 荆州市直 荆州市直 荆州市直 荆州市直 荆州市直 荆州市直 荆州市直 荆州市直 荆州市直 荆州市直 荆州市直 荆州市直 荆州市直 荆州市直 荆州市直 荆州市直 荆州市直 荆州市直 荆州市直 荆州市直 荆州市直 荆州市直 荆州市直 荆州市直 荆州市直 荆州市直 荆州市直 荆州市直 荆州市直 荆州市直 荆州市直 荆州市直 荆州市直 荆州市直 荆州市直 荆州市直 荆州市直 荆州市直 荆州市直 荆州市卫健委 荆州市审计局 荆州市审计局 荆州市审计局 荆州市审计局 荆州市审计局 荆州市审计局 荆州市医保局 荆州市医保局 荆州市医保局 荆州市教育局 荆州市教育局 荆州市教育局 荆州市教育局 荆州市教育局 荆州市教育局 荆州市检察院 荆州市检察院 荆州市检察院 荆州市检察院 荆州市检察院 荆州市检察院 荆州市检察院 荆州市检察院 荆州市检察院 荆州市交通运输局 荆州市交通运输局 荆州市交通运输局 荆州市交通运输局 荆州市交通运输局 荆州市交通运输局 荆州市交通运输局 荆州市交通运输局 荆州市交通运输局 荆州市科协 荆州市科协 荆州市科协 共青团荆州市委 共青团荆州市委 共青团荆州市委 荆州市社科联 荆州市社科联 综合管理岗 财务审计岗1 财务审计岗1 财务审计岗1 财务审计岗2 财务审计岗2 财务审计岗2 综合管理岗 综合管理岗 综合管理岗 综合管理岗1 综合管理岗1 综合管理岗1 综合管理岗2 综合管理岗2 综合管理岗2 司法警察岗 司法警察岗 司法警察岗 信息技术岗 信息技术岗 信息技术岗 文字综合岗 文字综合岗 文字综合岗 财务会计岗 财务会计岗 财务会计岗 政策法规岗 政策法规岗 政策法规岗 物流管理岗 物流管理岗 物流管理岗 综合管理岗 综合管理岗 综合管理岗 文字综合岗 文字综合岗 文字综合岗 文字综合岗 文字综合岗 14230202010001048 14230202010001049 14230202010001049 14230202010001049 14230202010001050 14230202010001050 14230202010001050 14230202010001051 14230202010001051 14230202010001051 14230202010001052 14230202010001052 14230202010001052 14230202010001053 14230202010001053 14230202010001053 14230202010001054 14230202010001054 14230202010001054 14230202010001055 14230202010001055 14230202010001055 14230202010001056 14230202010001056 14230202010001056 14230202010001057 14230202010001057 14230202010001057 14230202010001058 14230202010001058 14230202010001058 14230202010001059 14230202010001059 14230202010001059 14230202010001060 14230202010001060 14230202010001060 14230202010001061 14230202010001061 14230202010001061 14230202010001062 14230202010001062 1 1 1 1 1 1 1 1 1 1 1 1 1 1 1 1 1 1 1 1 1 1 1 1 1 1 1 1 1 1 1 1 1 1 1 1 1 1 1 1 1 1 李亚兰 万有臣 王丽莎 龚磊 胡逸飞 唐雄 文欣 王瑾 雷蕾 崔玥 李杨 乔昕 徐珂 田芳 李健 杨露月 徐辉 余召龙 朱家成 项博 张志宇 高轶康 余齐程 黄娇 徐志晨 田柳芳 周会茗 黄蓉 朱丽娟 刘梦茹 栗煜 贺兴隆 郑澳琦 刘骜 李广兴 方佳雨 梁林 肖昳璇 黄迟强 郭皓宇 鲁西子 胡静 女 男 女 男 男 男 女 女 女 女 女 女 女 女 男 女 男 男 男 男 男 男 男 女 女 女 男 女 女 女 女 男 女 男 男 女 女 女 男 男 女 女 142240702520 142240802405 142240904907 142240802002 142240801822 142240802309 142240905023 142240703501 142240904008 142240904521 142240702030 142240702413 142240800702 142240905522 142240905015 142240903706 142240702505 142240700107 142240905624 142240801524 142240905130 142240801709 142240801423 142240703405 142240903917 142240905424 142240702327 142240800309 142240703213 142240903218 142240701118 142240701817 142240703019 142240700125 142240801312 142240701017 142240802820 142240800414 142240702427 142240903007 142240801705 142240800420 51.2 76.8 68 64 71.2 66.4 71.2 68.8 60.8 60 65.6 69.6 67.2 64 60 57.6 56 60.8 56.8 76 72 66.4 77.6 70.4 74.4 74.4 73.6 67.2 64 62.4 56.8 77.6 72.8 68.8 73.6 72.8 72.8 69.6 71.2 76 71.2 64 62.5 68 66.5 69.5 73 73.5 67.5 68.5 64.5 62.5 71.5 66 68.5 74 68 65 72.5 65.5 67.5 74 71 71.5 72.5 76 67.5 67.5 67.5 74 63 64 70.5 70.5 74 76 74 74 73 78 69 62.5 70 74.5 56.285 72.84 67.325 66.475 72.01 69.595 69.535 68.665 62.465 61.125 68.255 67.98 67.785 68.5 63.6 60.93 63.425 62.915 61.615 75.1 71.55 68.695 75.305 72.92 71.295 71.295 70.855 70.26 63.55 63.12 62.965 74.405 73.34 72.04 73.78 73.34 72.89 73.38 70.21 69.925 70.66 68.725 3 1 2 3 1 2 3 1 2 3 1 2 3 1 2 3 1 2 3 1 2 3 1 2 3 1 2 3 1 2 3 1 2 3 1 2 3 1 2 3 1 2 递补 递补 递补 荆州市直 荆州市直 荆州市直 荆州市直 荆州市直 荆州市直 荆州市直 荆州市直 荆州市直 荆州市直 荆州市直 荆州市直 荆州市直 荆州市直 荆州市直 荆州市直 荆州市直 荆州市直 荆州市直 荆州市直 荆州市直 荆州市直 荆州市直 荆州市直 荆州市直 荆州市直 荆州市直 荆州市直 荆州市直 荆州市社科联 荆州市妇联 荆州市妇联 荆州市妇联 荆州市接待中心 荆州市接待中心 荆州市接待中心 荆州市红十字会 荆州市红十字会 荆州市红十字会 荆州市档案馆 荆州市档案馆 荆州市档案馆 荆州市档案馆 荆州市档案馆 荆州市档案馆 荆州市养老保险服 务中心 荆州市养老保险服 务中心 荆州市养老保险服 务中心 荆州市养老保险服 务中心 荆州市养老保险服 务中心 荆州市养老保险服 务中心 荆州市养老保险服 务中心 荆州市养老保险服 务中心 荆州市养老保险服 务中心 荆州市养老保险服 务中心 荆州市养老保险服 务中心 荆州市养老保险服 务中心 荆州市机关事务服 务中心 文字综合岗 综合管理岗 综合管理岗 综合管理岗 业务综合岗 业务综合岗 业务综合岗 综合管理岗 综合管理岗 综合管理岗 综合管理岗 综合管理岗 综合管理岗 综合管理岗 综合管理岗 综合管理岗 14230202010001062 14230202010001063 14230202010001063 14230202010001063 14230202010001064 14230202010001064 14230202010001064 14230202010001065 14230202010001065 14230202010001065 14230202010001066 14230202010001066 14230202010001066 14230202010001066 14230202010001066 14230202010001066 1 1 1 1 1 1 1 1 1 1 2 2 2 2 2 2 汪康 戴雨格 王平 李斑斑 赵韫琰 邹瀚祖 郭慧 张娅妮 李秋思 谢守婷 毛柱 刘杨林 刘综辉 黄园 程鹏 李云开 男 女 女 女 女 男 女 女 女 女 男 男 男 女 男 男 142240800803 142240903224 142240703709 142240801411 142240903530 142240801022 142240700115 142240802113 142240800115 142240703402 142240904501 142240904404 142240905014 142240702028 142240801824 142240904210 64.8 69.6 70.4 72.8 74.4 72 68.8 72 65.6 66.4 67.2 69.6 61.6 66.4 62.4 59.2 73.5 68 66.5 63.5 71 69.5 66.5 71 72 70.5 71 64 70 63 67 68.5 68.715 68.88 68.645 68.615 72.87 70.875 67.765 71.55 68.48 68.245 68.91 67.08 65.38 64.87 64.47 63.385 3 1 2 3 1 2 3 1 2 3 1 2 3 4 5 6 文字综合岗 14230202010001068 1 李荣娇 女 142240905727 66.4 71.5 68.695 1 文字综合岗 14230202010001068 1 徐玉娇 女 142240702121 63.2 69.5 66.035 2 文字综合岗 14230202010001068 1 杨梦琪 女 142240700108 53.6 76.5 63.905 3 业务综合岗1 14230202010001069 1 安泉 男 142240905109 72.8 72.5 72.665 1 业务综合岗1 14230202010001069 1 马婷 女 142240802203 62.4 69 65.37 2 业务综合岗1 14230202010001069 1 吴晓宇 女 142240800604 63.2 67.5 65.135 3 业务综合岗2 14230202010001070 2 王雅清 男 142240905005 72.8 69 71.09 1 业务综合岗2 14230202010001070 2 黄宇琪 女 142240903117 68.8 71 69.79 2 业务综合岗2 14230202010001070 2 杨家慧 女 142240703317 60 73 65.85 3 业务综合岗2 14230202010001070 2 覃世莲 女 142240703625 61.6 71 65.83 4 业务综合岗2 14230202010001070 2 徐斌 男 142240801230 62.4 68.5 65.145 5 业务综合岗2 14230202010001070 2 陈驰 男 142240701614 59.2 71 64.51 6 业务综合岗 14230202010001072 2 张缔 男 142240904512 68 75 71.15 1 荆州市直 荆州市直 荆州市直 荆州市直 荆州市直 荆州市直 荆州市直 荆州市直 荆州市直 荆州市直 荆州市直 荆州市直 荆州市直 荆州市直 荆州市直 荆州市直 荆州市直 荆州市直 荆州市直 荆州市直 荆州市直 荆州市机关事务服 务中心 荆州市机关事务服 务中心 荆州市机关事务服 务中心 荆州市机关事务服 务中心 荆州市机关事务服 务中心 湖北省洪湖分蓄洪 区工程管理局 湖北省洪湖分蓄洪 区工程管理局 湖北省洪湖分蓄洪 区工程管理局 湖北省洪湖分蓄洪 区工程管理局 湖北省洪湖分蓄洪 区工程管理局 湖北省洪湖分蓄洪 区工程管理局 荆州市长江河道管 理局 荆州市长江河道管 理局 荆州市长江河道管 理局 荆州市长江河道管 理局 荆州市长江河道管 理局 荆州市长江河道管 理局 荆州市长江河道管 理局 荆州市长江河道管 理局 荆州市长江河道管 理局 荆州市长江河道管 理局 业务综合岗 14230202010001072 2 李汉生 男 142240801727 68.8 72.5 70.465 2 业务综合岗 14230202010001072 2 肖书洲 男 142240802629 68.8 69 68.89 3 业务综合岗 14230202010001072 2 郑秋怡 女 142240800925 70.4 67 68.87 4 业务综合岗 14230202010001072 2 石小乐 男 142240700419 65.6 69 67.13 5 业务综合岗 14230202010001072 2 廖亚莉 女 142240800321 58.4 76 66.32 6 业务综合岗1 14230202010001076 1 朱旷 男 142240905222 68 64.5 66.425 1 业务综合岗1 14230202010001076 1 郑光磊 男 142240702306 57.6 69.5 62.955 2 业务综合岗1 14230202010001076 1 王吉庆 男 142240700421 63.2 57 60.41 3 业务综合岗2 14230202010001077 1 严格格 女 142240802507 54.4 73 62.77 1 业务综合岗2 14230202010001077 1 胡森 男 142240702228 58.4 67.5 62.495 2 业务综合岗2 14230202010001077 1 陈嘉敏 女 142240702011 66.4 56.5 61.945 3 综合管理岗1 14230202010001078 1 刘世曼 女 142240700318 71.2 70.5 70.885 1 综合管理岗1 14230202010001078 1 镇嗣维 女 142240905712 64.8 70 67.14 2 综合管理岗1 14230202010001078 1 杨嵩 男 142240702624 60.8 72 65.84 3 综合管理岗2 14230202010001079 1 刘飞 男 142240903412 64.8 69 66.69 1 综合管理岗2 14230202010001079 1 张绍笛 男 142240700520 56 78.5 66.125 2 综合管理岗2 14230202010001079 1 李桃 女 142240703822 61.6 67 64.03 3 业务综合岗 14230202010001080 2 袁冰洲 男 142240802516 71.2 74 72.46 1 业务综合岗 14230202010001080 2 胡圆卿 男 142240700821 70.4 69.5 69.995 2 业务综合岗 14230202010001080 2 文浩 男 142240905709 68.8 69 68.89 3 业务综合岗 14230202010001080 2 吴超 男 142240800516 65.6 72 68.48 4 荆州市直 荆州市直 荆州市直 荆州市直 荆州市直 荆州市直 荆州市直 荆州市直 荆州市直 荆州市直 荆州市直 荆州市直 荆州市直 荆州市直 荆州市直 荆州市直 荆州市直 荆州市直 荆州市直 荆州市直 荆州市直 荆州市直 荆州市直 荆州市直 荆州市直 荆州市直 荆州市直 荆州市直 荆州市长江河道管 理局 荆州市长江河道管 理局 湖北省荆江分蓄洪 区工程管理局 湖北省荆江分蓄洪 区工程管理局 湖北省荆江分蓄洪 区工程管理局 湖北省荆江分蓄洪 区工程管理局 湖北省荆江分蓄洪 区工程管理局 湖北省荆江分蓄洪 区工程管理局 湖北省荆江分蓄洪 区工程管理局 湖北省荆江分蓄洪 区工程管理局 湖北省荆江分蓄洪 区工程管理局 湖北省荆江分蓄洪 区工程管理局 湖北省荆江分蓄洪 区工程管理局 湖北省荆江分蓄洪 区工程管理局 荆州高新区管委会 荆州高新区管委会 荆州高新区管委会 荆州高新区管委会 荆州高新区管委会 荆州高新区管委会 荆州高新区管委会 荆州高新区管委会 荆州高新区管委会 荆州高新区管委会 荆州高新区管委会 荆州高新区管委会 荆州高新区管委会 荆州高新区管委会 业务综合岗 14230202010001080 2 覃彦福 女 142240702618 70.4 66 68.42 5 业务综合岗 14230202010001080 2 冯玉峰 男 142240800227 67.2 68 67.56 6 文字综合岗 14230202010001081 1 胡月 女 142240802419 63.2 60 61.76 1 文字综合岗 14230202010001081 1 吴方杰 男 142240701314 69.6 50 60.78 2 文字综合岗 14230202010001081 1 李寅 男 142240800630 46.4 58.5 51.845 3 业务综合岗1 14230202010001082 1 王姣 女 142240903614 68 75 71.15 1 业务综合岗1 14230202010001082 1 廖华颖 女 142240701013 65.6 72.5 68.705 2 业务综合岗1 14230202010001082 1 张熙然 女 142240800701 64.8 72 68.04 3 业务综合岗2 14230202010001083 2 沈博冰 男 142240800719 75.2 66.5 71.285 1 业务综合岗2 14230202010001083 2 秦玉琦 男 142240800624 74.4 67 71.07 2 业务综合岗2 14230202010001083 2 张梓轩 男 142240903822 65.6 72.5 68.705 3 业务综合岗2 14230202010001083 2 文涵 男 142240700114 68.8 65 67.09 4 业务综合岗2 14230202010001083 2 赵腾辉 男 142240700909 60.8 71 65.39 5 业务综合岗2 14230202010001083 2 曾培伦 男 142240800710 60 68.5 63.825 6 综合管理岗 综合管理岗 综合管理岗 综合管理岗 综合管理岗 综合管理岗 财务审计岗 财务审计岗 财务审计岗 规划建设岗 规划建设岗 规划建设岗 规划建设岗 规划建设岗 2 2 2 2 2 2 1 1 1 2 2 2 2 2 刘正文 周彦彬 余顺超 彭润泽 杨威 胡艺萍 张巍 李唯伟 王晓雅 廖忆茹 金庭 何生生 向东方 邓超军 女 女 男 男 男 女 男 女 女 女 女 男 男 男 142240700704 142240702930 142240703429 142240702206 142240802229 142240701528 142240800406 142240904710 142240700330 142240801407 142240905525 142240903601 142240800404 142240701306 69.6 64.8 70.4 74.4 70.4 60.8 68.8 66.4 67.2 77.6 72.8 69.6 69.6 71.2 75 78 67.5 62 66.5 75 72.5 68.5 65.5 67.5 71 71.5 68 65 72.03 70.74 69.095 68.82 68.645 67.19 70.465 67.345 66.435 73.055 71.99 70.455 68.88 68.74 1 2 3 4 5 6 1 2 3 1 2 3 4 5 14230202010001088 14230202010001088 14230202010001088 14230202010001088 14230202010001088 14230202010001088 14230202010001089 14230202010001089 14230202010001089 14230202010001090 14230202010001090 14230202010001090 14230202010001090 14230202010001090 递补 递补 荆州市直 荆州高新区管委会 荆州市高新区太湖 荆州市直 港街道办事处 荆州市高新区太湖 荆州市直 港街道办事处 荆州市高新区太湖 荆州市直 港街道办事处 荆州市高新区太湖 荆州市直 港街道办事处 荆州市高新区太湖 荆州市直 港街道办事处 荆州市高新区太湖 荆州市直 港街道办事处 荆州市高新区太湖 荆州市直 港街道办事处 荆州市高新区太湖 荆州市直 港街道办事处 荆州市高新区太湖 荆州市直 港街道办事处 荆州市高新区太湖 荆州市直 港街道办事处 荆州市高新区太湖 荆州市直 港街道办事处 荆州市高新区太湖 荆州市直 港街道办事处 荆州市高新区太湖 荆州市直 港街道办事处 荆州市高新区太湖 荆州市直 港街道办事处 荆州市高新区太湖 荆州市直 港街道办事处 荆州市高新区太湖 荆州市直 港街道办事处 荆州市高新区太湖 荆州市直 港街道办事处 荆州市高新区太湖 荆州市直 港街道办事处 荆州市高新区太湖 荆州市直 港街道办事处 荆州市高新区太湖 荆州市直 港街道办事处 规划建设岗 14230202010001090 2 赵诗琦 男 142240801116 60.8 75 67.19 6 文字综合岗 14230202010001091 3 陈佳 男 142240106504 69.6 62.5 66.405 1 文字综合岗 14230202010001091 3 杜雅秋 女 142240302510 66.4 62 64.42 2 文字综合岗 14230202010001091 3 陈越 男 142241000113 68 58 63.5 3 文字综合岗 14230202010001091 3 詹文涛 男 142240207904 64.8 60 62.64 4 文字综合岗 14230202010001091 3 沈丹妮 女 142241003007 64.8 59 62.19 5 文字综合岗 14230202010001091 3 肖飞宇 男 142240105030 67.2 55.5 61.935 6 文字综合岗 14230202010001091 3 王冲 男 142240207923 68 54.5 61.925 7 文字综合岗 14230202010001091 3 赖国丞 男 142240212624 63.2 60 61.76 8 文字综合岗 14230202010001091 3 瞿旺 男 142240100605 60.8 61.5 61.115 9 业务综合岗1 14230202010001092 2 汪小飞 男 142240303813 61.6 61.5 61.555 1 业务综合岗1 14230202010001092 2 陈家怡 女 142240601007 66.4 55 61.27 2 业务综合岗1 14230202010001092 2 甘发敏 女 142241402514 59.2 63 60.91 3 业务综合岗1 14230202010001092 2 向威 男 142240602629 60 59.5 59.775 4 业务综合岗1 14230202010001092 2 周玉璇 女 142240401416 60 59 59.55 5 业务综合岗1 14230202010001092 2 刘紫阳 男 142240601510 60.8 58 59.54 6 业务综合岗2 14230202010001093 2 李玲 女 142240600524 68 57 63.05 1 业务综合岗2 14230202010001093 2 肖超 男 142241400916 63.2 57.5 60.635 2 业务综合岗2 14230202010001093 2 黎维维 女 142241101130 64.8 54.5 60.165 3 业务综合岗2 14230202010001093 2 王子尧 男 142241003020 67.2 47 58.11 4 业务综合岗2 14230202010001093 2 刘非 男 142240301607 58.4 57.5 57.995 5 递补 递补 荆州市直 荆州市直 荆州市直 荆州市直 荆州市直 荆州市直 荆州市直 荆州市直 荆州市直 荆州市直 荆州市直 荆州市直 荆州市直 荆州市直 荆州市直 荆州市直 荆州市直 荆州市直 荆州市直 荆州市直 荆州市直 荆州市高新区太湖 港街道办事处 荆州市农业综合执 法支队 荆州市农业综合执 法支队 荆州市农业综合执 法支队 荆州市农业综合执 法支队 荆州市农业综合执 法支队 荆州市农业综合执 法支队 荆州市农业综合执 法支队 荆州市农业综合执 法支队 荆州市农业综合执 法支队 荆州市农业综合执 法支队 荆州市农业综合执 法支队 荆州市农业综合执 法支队 荆州市农业综合执 法支队 荆州市农业综合执 法支队 荆州市农业综合执 法支队 荆州市农业综合执 法支队 荆州市农业综合执 法支队 荆州市农业综合执 法支队 荆州市农业综合执 法支队 荆州市农业综合执 法支队 业务综合岗2 14230202010001093 2 倪航 男 142241300323 62.4 52.5 57.945 6 执法勤务岗1 14230202010001094 2 余前 男 142240703521 64 69 66.25 1 执法勤务岗1 14230202010001094 2 曹明伟 男 142240801430 59.2 70.5 64.285 2 执法勤务岗1 14230202010001094 2 陈晨 女 142240702821 60.8 67.5 63.815 3 执法勤务岗1 14230202010001094 2 蒋停婷 女 142240702314 64.8 62.5 63.765 4 执法勤务岗1 14230202010001094 2 娄江松 男 142240904419 63.2 64 63.56 5 执法勤务岗1 14230202010001094 2 汪杨 女 142240701824 52.8 72 61.44 6 执法勤务岗3 14230202010001096 1 龚源 男 142240801128 60.8 72.5 66.065 1 执法勤务岗3 14230202010001096 1 余影 男 142240904608 64 68 65.8 2 执法勤务岗3 14230202010001096 1 揭星星 女 142240903317 57.6 75 65.43 3 执法勤务岗4 14230202010001097 2 王一名 男 142240903312 62.4 71.5 66.495 1 执法勤务岗4 14230202010001097 2 张磊 男 142240801519 64 66.5 65.125 2 执法勤务岗4 14230202010001097 2 黄栋梁 男 142240904117 62.4 64.5 63.345 3 执法勤务岗4 14230202010001097 2 汪玄根 男 142240802014 55.2 71.5 62.535 4 执法勤务岗4 14230202010001097 2 金乐章 男 142240800902 62.4 60.5 61.545 5 执法勤务岗4 14230202010001097 2 刘佳莹 女 142240702316 56.8 64.5 60.265 6 执法勤务岗5 14230202010001098 2 兰弄潮 男 142240801919 72.8 68 70.64 1 执法勤务岗5 14230202010001098 2 徐嘉航 男 142240802430 65.6 64 64.88 2 执法勤务岗5 14230202010001098 2 黄强 男 142240802807 64.8 64.5 64.665 3 执法勤务岗5 14230202010001098 2 宁为民 男 142240800225 56.8 71 63.19 4 执法勤务岗5 14230202010001098 2 陈旭 女 142240703607 58.4 67 62.27 5 荆州市直 荆州市直 荆州市直 荆州市直 荆州市直 荆州市直 荆州市直 荆州市直 荆州市直 荆州市直 荆州市直 荆州市直 荆州市直 荆州市直 荆州市直 荆州市直 荆州区 荆州区 荆州区 荆州区 荆州区 荆州市农业综合执 法支队 荆州市纪南文旅区 管委会 荆州市纪南文旅区 管委会 荆州市纪南文旅区 管委会 荆州市纪南文旅区 管委会 荆州市纪南文旅区 管委会 荆州市纪南文旅区 管委会 荆州市纪南文旅区 管委会纪南镇机关 荆州市纪南文旅区 管委会纪南镇机关 荆州市纪南文旅区 管委会纪南镇机关 荆州市纪南文旅区 管委会纪南镇机关 荆州市纪南文旅区 管委会纪南镇机关 荆州市纪南文旅区 管委会纪南镇机关 荆州市纪南文旅区 管委会纪南镇机关 荆州市纪南文旅区 管委会纪南镇机关 荆州市纪南文旅区 管委会纪南镇机关 荆州市荆州区纪委 监委机关 荆州市荆州区纪委 监委机关 荆州市荆州区纪委 监委机关 荆州市荆州区纪委 监委机关 荆州市荆州区纪委 监委机关 执法勤务岗5 14230202010001098 2 祝本强 男 142240905322 60 62 60.9 6 文字综合岗 14230202010001107 2 柳笛 女 142240801118 70.4 73 71.57 1 文字综合岗 14230202010001107 2 周立芸 女 142240801528 70.4 72.5 71.345 2 文字综合岗 14230202010001107 2 伍磊 男 142240904824 71.2 69.5 70.435 3 文字综合岗 14230202010001107 2 钟叔孟 男 142240701004 67.2 68.5 67.785 4 文字综合岗 14230202010001107 2 张晶晶 女 142240904028 69.6 65.5 67.755 5 文字综合岗 14230202010001107 2 杨梦茹 女 142240701714 61.6 73 66.73 6 业务综合岗1 14230202010001110 2 万秋雨 女 142241000725 69.6 62 66.18 1 业务综合岗1 14230202010001110 2 候雷 男 142240103224 67.2 63 65.31 2 业务综合岗1 14230202010001110 2 石晨琛 女 142241202130 72.8 53 63.89 3 业务综合岗1 14230202010001110 2 胡雪莲 女 142240102225 66.4 58 62.62 4 业务综合岗1 14230202010001110 2 张锐铖 男 142241400311 65.6 56 61.28 5 业务综合岗1 14230202010001110 2 黄镇东 男 142241202129 61.6 55.5 58.855 6 业务综合岗2 14230202010001111 1 张豪 男 142241301612 62.4 57.5 60.195 1 业务综合岗2 14230202010001111 1 黄拯赫 男 142240100428 59.2 59 59.11 2 业务综合岗2 14230202010001111 1 郑洋 男 142240106306 60.8 57 59.09 3 纪检监察岗 14230202010002001 3 傅世杰 男 142240209122 69.6 60.5 65.505 1 纪检监察岗 14230202010002001 3 张峻阁 女 142240211702 64.8 61.5 63.315 2 纪检监察岗 14230202010002001 3 郭芳汐 女 142240402010 61.6 61.5 61.555 3 纪检监察岗 14230202010002001 3 孟星雨 女 142241204301 60 63 61.35 4 纪检监察岗 14230202010002001 3 黄宇 女 142241403501 68 53 61.25 5 递补 荆州区 荆州区 荆州区 荆州区 荆州区 荆州区 荆州区 荆州区 荆州区 荆州区 荆州区 荆州区 荆州区 荆州区 荆州区 荆州区 荆州区 荆州区 荆州区 荆州区 荆州区 荆州区 荆州区 荆州区 荆州区 荆州区 荆州市荆州区纪委 监委机关 荆州市荆州区纪委 监委机关 荆州市荆州区纪委 监委机关 荆州市荆州区纪委 监委机关 荆州市荆州区委办 公室 荆州市荆州区委办 公室 荆州市荆州区委办 公室 荆州市荆州区委宣 传部 荆州市荆州区委宣 传部 荆州市荆州区委宣 传部 荆州市荆州区委统 战部 荆州市荆州区委统 战部 荆州市荆州区委统 战部 荆州市荆州区委编 办 荆州市荆州区委编 办 荆州市荆州区委编 办 荆州市荆州区政府 办公室 荆州市荆州区政府 办公室 荆州市荆州区政府 办公室 荆州市荆州区发改 局 荆州市荆州区发改 局 荆州市荆州区发改 局 荆州市荆州区发改 局 荆州市荆州区发改 局 荆州市荆州区发改 局 荆州市荆州区教育 局 纪检监察岗 14230202010002001 3 钟智勇 男 142241301111 61.6 59.5 60.655 6 纪检监察岗 14230202010002001 3 向才琦 女 142240208505 61.6 57.5 59.755 7 纪检监察岗 14230202010002001 3 芮闻侦 女 142241002610 67.2 49 59.01 8 纪检监察岗 14230202010002001 3 刘吉林 女 142240402217 59.2 58.5 58.885 9 综合管理岗 14230202010002002 1 刘怡璐 女 142241400226 72 59.5 66.375 1 综合管理岗 14230202010002002 1 郭珂伊 女 142240100121 67.2 62.5 65.085 2 综合管理岗 14230202010002002 1 吴宇麟 男 142240403005 74.4 50.5 63.645 3 新闻宣传岗 14230202010002003 1 刘洋洋 女 142240209525 73.6 68.5 71.305 1 新闻宣传岗 14230202010002003 1 陈俊琳 女 142240401317 69.6 61 65.73 2 新闻宣传岗 14230202010002003 1 石峻伟 男 142240104114 67.2 61.5 64.635 3 综合管理岗 14230202010002004 1 刘丹 女 142240212827 81.6 60.5 72.105 1 综合管理岗 14230202010002004 1 孙端慧 女 142241301812 76.8 61.5 69.915 2 综合管理岗 14230202010002004 1 吴维棽 女 142241103804 65.6 71.5 68.255 3 综合管理岗 14230202010002005 综合管理岗 14230202010002005 综合管理岗 14230202010002005 1 1 1 刘洋 喻桂林 竺欣悦 男 男 女 142241400801 142240303029 142241202802 69.6 67.2 68 60 61.5 59 65.28 64.635 63.95 1 2 3 文字综合岗 14230202010002006 1 陈晗 男 142240602226 76.8 59 68.79 1 文字综合岗 14230202010002006 1 陈亦婷 女 142241301709 68.8 61.5 65.515 2 文字综合岗 14230202010002006 1 周黄健 男 142240301312 68.8 57.5 63.715 3 综合管理岗 综合管理岗 综合管理岗 财务审计岗 财务审计岗 财务审计岗 综合管理岗1 1 1 1 1 1 1 1 曾婉 冉黎明 易文静 郜冉冉 李淑慧 黄田恬 肖越 女 女 女 女 女 女 女 142240103927 142241302126 142241201430 142241401506 142240300813 142240213009 142240300611 69.6 72 68 70.4 68 64 66.4 62.5 58.5 62.5 62 58.5 59.5 64 66.405 65.925 65.525 66.62 63.725 61.975 65.32 1 2 3 1 2 3 1 14230202010002007 14230202010002007 14230202010002007 14230202010002008 14230202010002008 14230202010002008 14230202010002009 递补 荆州区 荆州区 荆州区 荆州区 荆州区 荆州区 荆州区 荆州区 荆州区 荆州区 荆州区 荆州区 荆州区 荆州区 荆州区 荆州区 荆州区 荆州区 荆州区 荆州区 荆州区 荆州区 荆州区 荆州区 荆州区 荆州区 荆州区 荆州区 荆州区 荆州区 荆州区 荆州区 荆州区 荆州区 荆州区 荆州区 荆州区 荆州区 荆州市荆州区教育 局 荆州市荆州区教育 局 荆州市荆州区教育 局 荆州市荆州区教育 局 荆州市荆州区教育 局 荆州市荆州区经信 局 荆州市荆州区经信 局 荆州市荆州区经信 局 荆州市荆州区经信 局 荆州市荆州区经信 局 荆州市荆州区经信 局 荆州市荆州区民政 局 荆州市荆州区民政 局 荆州市荆州区民政 局 荆州市荆州区司法 局 荆州市荆州区司法 局 荆州市荆州区司法 局 荆州市荆州区司法 局 荆州市荆州区司法 局 荆州市荆州区司法 局 荆州市荆州区司法 局 荆州市荆州区司法 局 荆州市荆州区司法 局 荆州市荆州区财政 局 荆州市荆州区财政 局 荆州市荆州区财政 局 荆州市荆州区人社 局 荆州市荆州区人社 局 荆州市荆州区人社 局 荆州市荆州区住建 局 荆州市荆州区住建 局 荆州市荆州区住建 局 荆州市荆州区住建 局 荆州市荆州区住建 局 荆州市荆州区住建 局 荆州市荆州区城管 执法局 荆州市荆州区城管 执法局 荆州市荆州区城管 执法局 综合管理岗1 综合管理岗1 综合管理岗2 综合管理岗2 综合管理岗2 经济运行岗 经济运行岗 经济运行岗 经济运行岗 经济运行岗 经济运行岗 综合管理岗 综合管理岗 综合管理岗 基层司法岗 基层司法岗 基层司法岗 基层司法岗 基层司法岗 基层司法岗 基层司法岗 基层司法岗 基层司法岗 财务审计岗 财务审计岗 财务审计岗 综合管理岗 综合管理岗 综合管理岗 综合管理岗1 综合管理岗1 综合管理岗1 综合管理岗2 综合管理岗2 综合管理岗2 14230202010002009 14230202010002009 14230202010002010 14230202010002010 14230202010002010 14230202010002011 14230202010002011 14230202010002011 14230202010002011 14230202010002011 14230202010002011 14230202010002012 14230202010002012 14230202010002012 14230202010002014 14230202010002014 14230202010002014 14230202010002014 14230202010002014 14230202010002014 14230202010002014 14230202010002014 14230202010002014 14230202010002015 14230202010002015 14230202010002015 14230202010002017 14230202010002017 14230202010002017 14230202010002018 14230202010002018 14230202010002018 14230202010002019 14230202010002019 14230202010002019 1 1 1 1 1 2 2 2 2 2 2 1 1 1 3 3 3 3 3 3 3 3 3 1 1 1 1 1 1 1 1 1 1 1 1 邓小星 王星雨 田伟 曾令宣 徐梦琪 张沁然 李妍妍 胡雪晴 王元军 贾晓涛 周子奇 陈雨婷 向春梅 朱张熔 朱雨慧 肖茵子 刘明清 周卓 郑欣喻 张睿宁 张甜 罗唤 庹李颖 徐芷璇 严攀 谢文倩 周利 肖光星 肖裕华 刘宇成 孙泽凯 刘溢 江龙 陈双林 李治 女 女 女 女 女 女 女 女 女 男 男 女 女 女 女 女 女 女 女 女 女 女 女 女 男 女 女 男 女 男 男 男 男 女 男 142241104103 142240303828 142240209827 142241402613 142240207206 142241302720 142241401018 142240301309 142240211013 142241000825 142240401323 142241004026 142241202817 142241203123 142241201715 142241204626 142240403807 142241102430 142240300318 142241103229 142241405405 142241304027 142240403007 142240303613 142240304027 142241203522 142240301127 142241300110 142241000902 142241405811 142241405412 142240600714 142241400122 142241400112 142240603429 65.6 64.8 71.2 65.6 67.2 72.8 66.4 73.6 71.2 72 70.4 68.8 64.8 62.4 68.8 66.4 63.2 60.8 58.4 64 63.2 55.2 64.8 68 63.2 68.8 73.6 75.2 72.8 69.6 69.6 69.6 70.4 60 64 58.5 58 58 63 57 63.5 64.5 55.5 57.5 56 57 59.5 62.5 62.5 67 65.5 68.5 57.5 60 52 52 61 48.5 59.5 59 52 65.5 59.5 58.5 65.5 64.5 62.5 62 64.5 56 62.405 61.74 65.26 64.43 62.61 68.615 65.545 65.455 65.035 64.8 64.37 64.615 63.765 62.445 67.99 65.995 65.585 59.315 59.12 58.6 58.16 57.81 57.465 64.175 61.31 61.24 69.955 68.135 66.365 67.755 67.305 66.405 66.62 62.025 60.4 2 3 1 2 3 1 2 3 4 5 6 1 2 3 1 2 3 4 5 6 7 8 9 1 2 3 1 2 3 1 2 3 1 2 3 综合管理岗1 14230202010002020 1 梅冬兰 女 142241302614 67.2 61.5 64.635 1 综合管理岗1 14230202010002020 1 张虎 男 142241304118 64.8 59.5 62.415 2 综合管理岗1 14230202010002020 1 黎欣雨 女 142240400630 63.2 60 61.76 3 递补 荆州区 荆州区 荆州区 荆州区 荆州区 荆州区 荆州区 荆州区 荆州区 荆州区 荆州区 荆州区 荆州区 荆州区 荆州区 荆州区 荆州区 荆州区 荆州区 荆州区 荆州区 荆州区 荆州区 荆州区 荆州区 荆州区 荆州区 荆州市荆州区城管 执法局 荆州市荆州区城管 执法局 荆州市荆州区城管 执法局 荆州市荆州区城管 执法局 荆州市荆州区城管 执法局 荆州市荆州区城管 执法局 荆州市荆州区交通 运输局 荆州市荆州区交通 运输局 荆州市荆州区交通 运输局 荆州市荆州区交通 运输局 荆州市荆州区交通 运输局 荆州市荆州区交通 运输局 荆州市荆州区水利 湖泊局 荆州市荆州区水利 湖泊局 荆州市荆州区水利 湖泊局 荆州市荆州区商务 局 荆州市荆州区商务 局 荆州市荆州区商务 局 荆州市荆州区商务 局 荆州市荆州区商务 局 荆州市荆州区商务 局 荆州市荆州区文旅 局 荆州市荆州区文旅 局 荆州市荆州区文旅 局 荆州市荆州区文旅 局 荆州市荆州区文旅 局 荆州市荆州区文旅 局 综合管理岗2 14230202010002021 2 李荣荣 女 142240303717 67.2 70.5 68.685 1 综合管理岗2 14230202010002021 2 刘子静 女 142241403123 68 58 63.5 2 综合管理岗2 14230202010002021 2 尹婷婷 女 142241104210 64 62.5 63.325 3 综合管理岗2 14230202010002021 2 黄靓怡 女 142240100114 64.8 60.5 62.865 4 综合管理岗2 14230202010002021 2 吴妍泓 女 142240102715 68 56.5 62.825 5 综合管理岗2 14230202010002021 2 邓巧丽 女 142240600430 65.6 58 62.18 6 交通工程岗 14230202010002022 1 李昕政 男 142241301616 68.8 61.5 65.515 1 交通工程岗 14230202010002022 1 龚亚男 女 142240105219 60 59 59.55 2 递补 交通工程岗 14230202010002022 1 文月明 女 142240209915 60 58 59.1 3 递补 行政审批岗 14230202010002023 1 宋琳 女 142240600617 72 64.5 68.625 1 行政审批岗 14230202010002023 1 田蓉 女 142240303116 74.4 55 65.67 2 行政审批岗 14230202010002023 1 孙倩月 女 142241400618 71.2 57.5 65.035 3 综合管理岗 14230202010002024 1 张曼秋 女 142241404708 73.6 60 67.48 1 综合管理岗 14230202010002024 1 杨雪婷 女 142241102109 71.2 57 64.81 2 综合管理岗 14230202010002024 1 谭梦静 女 142241404429 67.2 58 63.06 3 信息技术岗 信息技术岗 信息技术岗 文字综合岗 文字综合岗 文字综合岗 综合管理岗 综合管理岗 综合管理岗 综合管理岗 综合管理岗 综合管理岗 1 1 1 1 1 1 1 1 1 1 1 1 李子豪 卢琪航 姚静静 李莹 朱永琦 吴丽娅 严友为 熊晟萌 江云凯 曾杰 胡沾 李琳 男 男 女 女 男 女 女 男 男 男 女 女 142241202924 142240210126 142241102122 142240100625 142241001424 142240207504 142240400419 142241002728 142241002503 142241102210 142241201908 142241300805 76 72.8 64.8 64 65.6 62.4 69.6 68 69.6 73.6 61.6 63.2 56.5 55 64.5 60.5 56.5 57 65.5 60 55 62 66.5 62.5 67.225 64.79 64.665 62.425 61.505 59.97 67.755 64.4 63.03 68.38 63.805 62.885 1 2 3 1 2 3 1 2 3 1 2 3 14230202010002025 14230202010002025 14230202010002025 14230202010002026 14230202010002026 14230202010002026 14230202010002027 14230202010002027 14230202010002027 14230202010002028 14230202010002028 14230202010002028 递补 荆州区 荆州区 荆州区 荆州区 荆州区 荆州区 荆州区 荆州区 荆州区 荆州区 荆州区 荆州区 荆州区 荆州区 荆州区 荆州区 荆州区 荆州区 荆州区 荆州区 荆州区 荆州区 荆州区 荆州区 荆州区 荆州区 荆州区 荆州区 荆州区 荆州区 荆州区 荆州区 荆州区 荆州市荆州区卫健 局 荆州市荆州区卫健 局 荆州市荆州区卫健 局 荆州市荆州区卫健 局 荆州市荆州区卫健 局 荆州市荆州区卫健 局 荆州市荆州区应急 局 荆州市荆州区应急 局 荆州市荆州区应急 局 荆州市荆州区审计 局 荆州市荆州区审计 局 荆州市荆州区审计 局 荆州市荆州区统计 局 荆州市荆州区统计 局 荆州市荆州区统计 局 荆州市荆州区乡村 振兴局 荆州市荆州区乡村 振兴局 荆州市荆州区乡村 振兴局 荆州市荆州区政务 数据局 荆州市荆州区政务 数据局 荆州市荆州区政务 数据局 荆州市荆州区法院 荆州市荆州区法院 荆州市荆州区法院 荆州市荆州区法院 荆州市荆州区法院 荆州市荆州区法院 荆州市荆州区委党 校 荆州市荆州区委党 校 荆州市荆州区委党 校 荆州市荆州区融媒 体中心 荆州市荆州区融媒 体中心 荆州市荆州区融媒 体中心 疾病防控岗 疾病防控岗 疾病防控岗 财务审计岗 财务审计岗 财务审计岗 综合管理岗 综合管理岗 综合管理岗 审计业务岗 审计业务岗 审计业务岗 统计业务岗 统计业务岗 统计业务岗 14230202010002029 14230202010002029 14230202010002029 14230202010002030 14230202010002030 14230202010002030 14230202010002031 14230202010002031 14230202010002031 14230202010002032 14230202010002032 14230202010002032 14230202010002033 14230202010002033 14230202010002033 1 1 1 1 1 1 1 1 1 1 1 1 1 1 1 程虹 王磊 申世浩 胡杰 郭红芳 张诗雨 吴梓豪 陈明林 罗承高 张晨婧 刘冬雨 张文馨 李江含 王思聪 李晓玲 女 男 男 女 女 女 男 男 男 女 女 女 男 男 女 142241302417 142241002315 142241204009 142241202628 142240105012 142240105409 142241102612 142240602417 142240101104 142240402503 142241200630 142240103017 142241104426 142240105227 142241404517 68.8 63.2 72.8 68 70.4 68 76.8 68 69.6 67.2 67.2 68.8 79.2 68.8 64.8 50 56.5 44.5 64.5 58.5 58.5 53 60.5 58 65.5 65 58 57 54 58 60.34 60.185 60.065 66.425 65.045 63.725 66.09 64.625 64.38 66.435 66.21 63.94 69.21 62.14 61.74 1 2 3 1 2 3 1 2 3 1 2 3 1 2 3 综合管理岗 14230202010002034 1 王曾祺 男 142241001924 75.2 54.5 65.885 1 综合管理岗 14230202010002034 1 丁颖 女 142240303908 64 68 65.8 2 综合管理岗 14230202010002034 1 马家宝 男 142241301814 66.4 57 62.17 3 综合管理岗 14230202010002035 1 宋耀民 男 142241400702 68.8 61.5 65.515 1 综合管理岗 14230202010002035 1 张子轩 男 142240209503 68 62 65.3 2 综合管理岗 14230202010002035 1 杨柳 女 142241204809 68.8 58.5 64.165 3 司法执行岗 司法执行岗 司法执行岗 文字综合岗 文字综合岗 文字综合岗 综合管理岗 综合管理岗 综合管理岗 14230202010002037 14230202010002037 14230202010002037 14230202010002038 14230202010002038 14230202010002038 14230202010002039 14230202010002039 14230202010002039 1 1 1 1 1 1 1 1 1 向星瑶 刘子怡 田雪娇 孙玮蓬 朱诗涵 张绪荣 王秋实 刘珍妮 杨紫娟 女 女 女 女 女 女 女 女 女 142240213230 142241202714 142240401602 142241403028 142241004506 142240101301 142240103102 142240303407 142240301703 75.2 61.6 61.6 68.8 65.6 66.4 65.6 60.8 59.2 62 60 60 58 61.5 59 59.5 58.5 59 69.26 60.88 60.88 63.94 63.755 63.07 62.855 59.765 59.11 1 2 2 1 2 3 1 2 3 文字综合岗 14230202010002040 1 彭荻 男 142240101711 68.8 60 64.84 1 文字综合岗 14230202010002040 1 易静雯 女 142240211230 67.2 61.5 64.635 2 文字综合岗 14230202010002040 1 朱正宵 男 142241301804 62.4 63 62.67 3 递补 递补 递补 荆州区 荆州区 荆州区 荆州区 荆州区 荆州区 荆州区 荆州区 荆州区 荆州区 荆州区 荆州区 荆州区 荆州区 荆州区 荆州区 荆州区 荆州区 荆州区 荆州区 荆州区 荆州区 荆州市荆州区融媒 体中心 荆州市荆州区融媒 体中心 荆州市荆州区融媒 体中心 荆州市荆州区融媒 体中心 荆州市荆州区融媒 体中心 荆州市荆州区融媒 体中心 荆州市荆州区融媒 体中心 荆州市荆州区机关 事务中心 荆州市荆州区机关 事务中心 荆州市荆州区机关 事务中心 荆州市荆州区机关 事务中心 荆州市荆州区机关 事务中心 荆州市荆州区机关 事务中心 荆州市荆州区机关 事务中心 荆州市荆州区机关 事务中心 荆州市荆州区机关 事务中心 荆州市荆州区机关 事务中心 荆州市荆州区机关 事务中心 荆州市荆州区机关 事务中心 荆州市荆州区供销 社 荆州市荆州区供销 社 荆州市荆州区供销 社 新闻宣传岗 14230202010002041 2 陈巧玲 女 142241203702 64.8 66.5 65.565 1 新闻宣传岗 14230202010002041 2 郑思成 男 142241401717 68.8 57.5 63.715 2 新闻宣传岗 14230202010002041 2 李岩 女 142241303225 60.8 65.5 62.915 3 新闻宣传岗 14230202010002041 2 郭语瑄 女 142240102720 61.6 64 62.68 4 新闻宣传岗 14230202010002041 2 王思奇 女 142240303730 67.2 54 61.26 5 新闻宣传岗 14230202010002041 2 万雷萌 女 142240403401 67.2 54 61.26 5 新闻宣传岗 14230202010002041 2 周玉圻 女 142241201620 67.2 54 61.26 5 综合管理岗1 14230202010002042 1 陈柱 男 142240212522 66.4 61 63.97 1 综合管理岗1 14230202010002042 1 胡兆琨 女 142241202605 68 59 63.95 2 综合管理岗1 14230202010002042 1 郑萧婕 女 142241302301 64 63 63.55 3 综合管理岗2 14230202010002043 1 赵梦柯 男 142240211708 64.8 63.5 64.215 1 综合管理岗2 14230202010002043 1 杨晓冉 女 142240303123 68 58 63.5 2 综合管理岗2 14230202010002043 1 王金苗 女 142240106102 60.8 62 61.34 3 综合管理岗3 14230202010002044 2 伍毅 男 142240102206 73.6 59 67.03 1 综合管理岗3 14230202010002044 2 杨梦琪 女 142241405422 66.4 66 66.22 2 综合管理岗3 14230202010002044 2 王芷君 女 142240102211 68 64 66.2 3 综合管理岗3 14230202010002044 2 陈晓璇 女 142240300713 70.4 60.5 65.945 4 综合管理岗3 14230202010002044 2 胡海怡 女 142241302105 69.6 58.5 64.605 5 综合管理岗3 14230202010002044 2 郑佳丽 女 142240211419 64 62 63.1 6 综合管理岗 14230202010002045 综合管理岗 14230202010002045 综合管理岗 14230202010002045 1 1 1 陈雅君 刘雅琳 李文艳 女 女 女 142241002201 142240403009 142240400703 73.6 59.2 64.8 65.5 57.5 49 69.955 58.435 57.69 1 2 3 荆州区 荆州区 荆州区 荆州区 荆州区 荆州区 荆州区 荆州区 荆州区 荆州区 荆州区 荆州区 荆州区 荆州区 荆州区 荆州区 荆州区 荆州区 荆州区 荆州区 荆州区 荆州市荆州区党员 电化教育中心 荆州市荆州区党员 电化教育中心 荆州市荆州区党员 电化教育中心 荆州市荆州区老干 部活动中心 荆州市荆州区老干 部活动中心 荆州市荆州区老干 部活动中心 荆州市荆州区老干 部活动中心 荆州市荆州区老干 部活动中心 荆州市荆州区老干 部活动中心 荆州市荆州区东城 街道 荆州市荆州区东城 街道 荆州市荆州区东城 街道 荆州市荆州区东城 街道 荆州市荆州区东城 街道 荆州市荆州区东城 街道 荆州市荆州区东城 街道 荆州市荆州区东城 街道 荆州市荆州区东城 街道 荆州市荆州区西城 街道 荆州市荆州区西城 街道 荆州市荆州区西城 街道 综合管理岗 14230202010002046 1 闫全伟 男 142240210414 62.4 68.5 65.145 1 综合管理岗 14230202010002046 1 韩非凡 男 142241300523 60 62.5 61.125 2 综合管理岗 14230202010002046 1 刘博文 男 142240209120 64.8 55.5 60.615 3 活动管理岗 14230202010002047 1 胡钰嘉 女 142240106203 68 68.5 68.225 1 活动管理岗 14230202010002047 1 孙雄鹏 男 142241000927 75.2 55.5 66.335 2 活动管理岗 14230202010002047 1 黄枝莹 女 142241303627 70.4 56 63.92 3 党建综合岗 14230202010002048 1 黄健龙 男 142240602206 63.2 60.5 61.985 1 党建综合岗 14230202010002048 1 陈治宇 女 142241201115 67.2 54 61.26 2 党建综合岗 14230202010002048 1 刘心雨 女 142240207627 66.4 53.5 60.595 3 综合管理岗1 14230202010002049 1 舒学亮 男 142240211026 64.8 63 63.99 1 综合管理岗1 14230202010002049 1 晏柳青 女 142241004126 64 61 62.65 2 综合管理岗1 14230202010002049 1 付许文 男 142241402721 67.2 52.5 60.585 3 综合管理岗2 14230202010002050 2 王鹏淏 男 142240600129 63.2 62 62.66 1 综合管理岗2 14230202010002050 2 覃俊文 男 142240106315 68 49.5 59.675 2 综合管理岗2 14230202010002050 2 许愿 男 142240210313 63.2 54 59.06 3 综合管理岗2 14230202010002050 2 李霄然 男 142241202814 64 50 57.7 4 综合管理岗2 14230202010002050 2 童小倩 女 142241400206 52.8 63 57.39 5 综合管理岗2 14230202010002050 2 蹇琳 女 142240602829 61.6 50 56.38 6 综合管理岗1 14230202010002051 2 邢兵 男 142241002707 70.4 55.5 63.695 1 综合管理岗1 14230202010002051 2 郑姝玥 女 142240207118 65.6 60.5 63.305 2 综合管理岗1 14230202010002051 2 郭翔 男 142240303806 65.6 55.5 61.055 3 荆州区 荆州区 荆州区 荆州区 荆州区 荆州区 荆州区 荆州区 荆州区 荆州区 荆州区 荆州区 荆州区 荆州区 荆州区 荆州区 荆州区 荆州区 荆州区 荆州区 荆州区 荆州市荆州区西城 街道 荆州市荆州区西城 街道 荆州市荆州区西城 街道 荆州市荆州区西城 街道 荆州市荆州区西城 街道 荆州市荆州区西城 街道 荆州市荆州区西城 街道 荆州市荆州区西城 街道 荆州市荆州区西城 街道 荆州市荆州区西城 街道 荆州市荆州区西城 街道 荆州市荆州区西城 街道 荆州市荆州区西城 街道 荆州市荆州区西城 街道 荆州市荆州区西城 街道 荆州市荆州区城南 街道 荆州市荆州区城南 街道 荆州市荆州区城南 街道 荆州市荆州区城南 街道 荆州市荆州区城南 街道 荆州市荆州区城南 街道 综合管理岗1 14230202010002051 2 邱紫薇 女 142241203814 61.6 59.5 60.655 4 综合管理岗1 14230202010002051 2 赵倩 女 142240208005 68.8 50.5 60.565 5 综合管理岗1 14230202010002051 2 李奕呈 男 142240301224 62.4 57 59.97 6 综合管理岗2 14230202010002052 4 杨柳 女 142240302104 70.4 56.5 64.145 1 综合管理岗2 14230202010002052 4 江淑敏 女 142240600306 69.6 55 63.03 2 综合管理岗2 14230202010002052 4 张紫渊 女 142241402412 68 56 62.6 3 综合管理岗2 14230202010002052 4 李传威 男 142241403630 68 56 62.6 3 综合管理岗2 14230202010002052 4 胡新宇 男 142241001515 61.6 62 61.78 5 综合管理岗2 14230202010002052 4 王金晶 女 142241405504 64.8 57.5 61.515 6 综合管理岗2 14230202010002052 4 卢雯凤 女 142241104420 64 56 60.4 7 综合管理岗2 14230202010002052 4 王佳琪 女 142241400321 60.8 59.5 60.215 8 综合管理岗2 14230202010002052 4 魏任龙 男 142240302122 64 55 59.95 9 综合管理岗2 14230202010002052 4 林士杰 男 142241102803 62.4 56.5 59.745 10 综合管理岗2 14230202010002052 4 王广 男 142240208504 60 58 59.1 11 综合管理岗2 14230202010002052 4 严玉婷 女 142241402406 60 58 59.1 11 综合管理岗1 14230202010002053 1 许宇 男 142241402828 64.8 56.5 61.065 1 综合管理岗1 14230202010002053 1 周昕怡 女 142240601306 61.6 58 59.98 2 综合管理岗1 14230202010002053 1 侯玉婵 女 142240102103 59.2 60.5 59.785 3 综合管理岗2 14230202010002054 4 任逸敏 女 142240602603 70.4 60.5 65.945 1 综合管理岗2 14230202010002054 4 李婷婷 女 142241000803 72.8 57 65.69 2 综合管理岗2 14230202010002054 4 肖敏 女 142240105206 68 62.5 65.525 3 荆州区 荆州区 荆州区 荆州区 荆州区 荆州区 荆州区 荆州区 荆州区 荆州区 荆州区 荆州区 荆州区 荆州区 荆州区 荆州区 荆州区 荆州区 荆州区 荆州区 荆州区 沙市区 沙市区 沙市区 沙市区 沙市区 沙市区 荆州市荆州区城南 街道 荆州市荆州区城南 街道 荆州市荆州区城南 街道 荆州市荆州区城南 街道 荆州市荆州区城南 街道 荆州市荆州区城南 街道 荆州市荆州区城南 街道 荆州市荆州区城南 街道 荆州市荆州区城南 街道 荆州市荆州区川店 镇 荆州市荆州区川店 镇 荆州市荆州区川店 镇 荆州市荆州区川店 镇 荆州市荆州区川店 镇 荆州市荆州区川店 镇 荆州市荆州区马山 镇 荆州市荆州区马山 镇 荆州市荆州区马山 镇 荆州市荆州区李埠 镇 荆州市荆州区李埠 镇 荆州市荆州区李埠 镇 荆州市沙市区委组 织部 荆州市沙市区委组 织部 荆州市沙市区委组 织部 荆州市沙市区委宣 传部 荆州市沙市区委宣 传部 荆州市沙市区委宣 传部 综合管理岗2 14230202010002054 4 高英子 女 142241200129 68 55 62.15 4 综合管理岗2 14230202010002054 4 李中睿 男 142240600506 65.6 57.5 61.955 5 综合管理岗2 14230202010002054 4 高浩天 男 142240102524 68 54 61.7 6 综合管理岗2 14230202010002054 4 李勤勤 女 142240601812 64.8 56.5 61.065 7 综合管理岗2 14230202010002054 4 李珞箫 男 142240603322 60.8 59.5 60.215 8 综合管理岗2 14230202010002054 4 梁奕贤 女 142241200905 64.8 54.5 60.165 9 综合管理岗2 14230202010002054 4 赵淑麒 女 142241400909 64 54 59.5 10 综合管理岗2 14230202010002054 4 王晶辉 男 142241404927 62.4 55.5 59.295 11 综合管理岗2 14230202010002054 4 刘心怡 女 142241404515 62.4 55.5 59.295 11 综合管理岗 综合管理岗 综合管理岗 综合管理岗 综合管理岗 综合管理岗 综合管理岗 综合管理岗 综合管理岗 综合管理岗 综合管理岗 综合管理岗 14230202010002055 14230202010002055 14230202010002055 14230202010002055 14230202010002055 14230202010002055 14230202010002056 14230202010002056 14230202010002056 14230202010002057 14230202010002057 14230202010002057 2 2 2 2 2 2 1 1 1 1 1 1 孙梓晔 陈雨洁 叶瑞环 李小静 吴维 覃驰宇 张明昊 樊以俊 陈妮漫 李雅岚 张李强 程潇逸 男 女 女 女 女 男 男 男 女 女 男 男 142240402717 142241401104 142240106009 142241103210 142240105421 142240100716 142240600923 142241203705 142240401813 142241004009 142241100513 142240103324 69.6 62.4 56 54.4 52.8 52.8 67.2 57.6 59.2 64 64 60 60 54 54.5 55 56 56 52.5 58 55.5 59 52.5 55.5 65.28 58.62 55.325 54.67 54.24 54.24 60.585 57.78 57.535 61.75 58.825 57.975 1 2 3 4 5 5 1 2 3 1 2 3 文字宣传岗 14230202010003001 1 冯梦玉 女 142241405923 64 63 63.55 1 文字宣传岗 14230202010003001 1 王中媛 女 142240209908 62.4 63.5 62.895 2 文字宣传岗 14230202010003001 1 王东旭 男 142241001708 64 61.5 62.875 3 综合管理岗1 14230202010003002 1 郑力文 女 142240402817 68 64.5 66.425 1 综合管理岗1 14230202010003002 1 曹晶琎 女 142241402315 66.4 63 64.87 2 综合管理岗1 14230202010003002 1 边付杰 男 142240103806 64.8 64 64.44 3 递补 沙市区 沙市区 沙市区 沙市区 沙市区 沙市区 沙市区 沙市区 沙市区 沙市区 沙市区 沙市区 沙市区 沙市区 沙市区 沙市区 沙市区 沙市区 沙市区 沙市区 沙市区 沙市区 沙市区 沙市区 沙市区 沙市区 沙市区 沙市区 沙市区 沙市区 沙市区 沙市区 沙市区 沙市区 沙市区 沙市区 荆州市沙市区委宣 传部 荆州市沙市区委宣 传部 荆州市沙市区委宣 传部 荆州市沙市区委政 法委 荆州市沙市区委政 法委 荆州市沙市区委政 法委 荆州市沙市区委编 办 荆州市沙市区委编 办 荆州市沙市区委编 办 荆州市沙市区发改 局 荆州市沙市区发改 局 荆州市沙市区发改 局 荆州市沙市区发改 局 荆州市沙市区发改 局 荆州市沙市区发改 局 荆州市沙市区教育 局 荆州市沙市区教育 局 荆州市沙市区教育 局 荆州市沙市区教育 局 荆州市沙市区教育 局 荆州市沙市区教育 局 荆州市沙市区民政 局 荆州市沙市区民政 局 荆州市沙市区民政 局 荆州市沙市区民政 局 荆州市沙市区民政 局 荆州市沙市区民政 局 荆州市沙市区财政 局 荆州市沙市区财政 局 荆州市沙市区财政 局 荆州市沙市区财政 局 荆州市沙市区财政 局 荆州市沙市区财政 局 荆州市沙市区人社 局 荆州市沙市区人社 局 荆州市沙市区人社 局 综合管理岗2 14230202010003003 1 宋子怡 女 142240600609 72.8 57 65.69 1 综合管理岗2 14230202010003003 1 王子千慧 女 142241403209 69.6 59 64.83 2 递补 综合管理岗2 14230202010003003 1 徐猛 男 142241200509 60.8 65.5 62.915 3 递补 综合管理岗 14230202010003004 1 熊思薇 女 142241304130 67.2 67 67.11 1 综合管理岗 14230202010003004 1 姜琳珊 女 142241104227 74.4 53.5 64.995 2 综合管理岗 14230202010003004 1 朱淼 女 142241404118 65.6 63.5 64.655 3 综合管理岗 综合管理岗 综合管理岗 综合管理岗1 综合管理岗1 综合管理岗1 综合管理岗2 综合管理岗2 综合管理岗2 综合管理岗1 综合管理岗1 综合管理岗1 综合管理岗2 综合管理岗2 综合管理岗2 综合管理岗1 综合管理岗1 综合管理岗1 综合管理岗2 综合管理岗2 综合管理岗2 财务管理岗1 财务管理岗1 财务管理岗1 财务管理岗2 财务管理岗2 财务管理岗2 综合管理岗1 综合管理岗1 综合管理岗1 1 1 1 1 1 1 1 1 1 1 1 1 1 1 1 1 1 1 1 1 1 1 1 1 1 1 1 1 1 1 刘欣怡 廖萌 何紫怡 鲁普乐 许思懿 周澳 韩楚君 吴奕泽 雷严明 张旭 李诗 张曦 母雯 杜巧玲 曹智慧 杨思雨 胡正豪 王紫林 朱江云 刘毓 刘容 吴有为 程洋 王紫琴 张子灿 索沐昀 王欣甜 刘进 李文溅 刘世彬 女 男 女 女 女 男 女 男 男 男 女 女 女 女 女 女 男 女 女 女 女 男 女 女 男 男 女 男 男 男 142240103507 142240601629 142240212520 142241000512 142240212801 142241001015 142240302703 142241202811 142240211305 142240302913 142240208820 142240105424 142240402822 142241403230 142240602319 142240303110 142240303319 142241300813 142240601216 142240602703 142240100218 142240602114 142240602202 142241400714 142241304228 142241000103 142241204502 142241301701 142240101826 142240403619 67.2 64.8 60 72 68.8 71.2 68.8 69.6 64 68.8 67.2 65.6 75.2 62.4 49.6 72.8 72.8 72 69.6 64.8 65.6 71.2 64.8 66.4 69.6 64 66.4 75.2 68 57.6 58.5 56.5 59 56 58.5 51.5 67 59.5 63 58 58.5 59.5 60.5 61 56 62.5 59.5 57 59 56 54 63 65.5 62 59 61.5 58.5 55 55.5 58.5 63.285 61.065 59.55 64.8 64.165 62.335 67.99 65.055 63.55 63.94 63.285 62.855 68.585 61.77 52.48 68.165 66.815 65.25 64.83 60.84 60.38 67.51 65.115 64.42 64.83 62.875 62.845 66.11 62.375 58.005 1 2 3 1 2 3 1 2 3 1 2 3 1 2 3 1 2 3 1 2 3 1 2 3 1 2 3 1 2 3 14230202010003005 14230202010003005 14230202010003005 14230202010003006 14230202010003006 14230202010003006 14230202010003007 14230202010003007 14230202010003007 14230202010003008 14230202010003008 14230202010003008 14230202010003009 14230202010003009 14230202010003009 14230202010003010 14230202010003010 14230202010003010 14230202010003011 14230202010003011 14230202010003011 14230202010003012 14230202010003012 14230202010003012 14230202010003013 14230202010003013 14230202010003013 14230202010003014 14230202010003014 14230202010003014 递补 沙市区 沙市区 沙市区 沙市区 沙市区 沙市区 沙市区 沙市区 沙市区 沙市区 沙市区 沙市区 沙市区 沙市区 沙市区 沙市区 沙市区 沙市区 沙市区 沙市区 沙市区 沙市区 沙市区 沙市区 沙市区 沙市区 沙市区 沙市区 沙市区 沙市区 沙市区 沙市区 沙市区 沙市区 沙市区 沙市区 沙市区 沙市区 沙市区 荆州市沙市区人社 局 荆州市沙市区人社 局 荆州市沙市区人社 局 荆州市沙市区住建 局 荆州市沙市区住建 局 荆州市沙市区住建 局 荆州市沙市区住建 局 荆州市沙市区住建 局 荆州市沙市区住建 局 荆州市沙市区城管 局 荆州市沙市区城管 局 荆州市沙市区城管 局 荆州市沙市区交通 局 荆州市沙市区交通 局 荆州市沙市区交通 局 荆州市沙市区水利 局 荆州市沙市区水利 局 荆州市沙市区水利 局 荆州市沙市区农业 局 荆州市沙市区农业 局 荆州市沙市区农业 局 荆州市沙市区农业 局 荆州市沙市区农业 局 荆州市沙市区农业 局 荆州市沙市区乡村 振兴局 荆州市沙市区乡村 振兴局 荆州市沙市区乡村 振兴局 荆州市沙市区商务 局 荆州市沙市区商务 局 荆州市沙市区商务 局 荆州市沙市区文旅 局 荆州市沙市区文旅 局 荆州市沙市区文旅 局 荆州市沙市区文旅 局 荆州市沙市区卫健 局 荆州市沙市区卫健 局 荆州市沙市区卫健 局 荆州市沙市区应急 局 荆州市沙市区应急 局 综合管理岗2 综合管理岗2 综合管理岗2 综合管理岗 综合管理岗 综合管理岗 工程管理岗 工程管理岗 工程管理岗 综合管理岗 综合管理岗 综合管理岗 财务审计岗 财务审计岗 财务审计岗 综合管理岗 综合管理岗 综合管理岗 业务管理岗1 业务管理岗1 业务管理岗1 业务管理岗2 业务管理岗2 业务管理岗2 14230202010003015 14230202010003015 14230202010003015 14230202010003016 14230202010003016 14230202010003016 14230202010003017 14230202010003017 14230202010003017 14230202010003018 14230202010003018 14230202010003018 14230202010003019 14230202010003019 14230202010003019 14230202010003020 14230202010003020 14230202010003020 14230202010003021 14230202010003021 14230202010003021 14230202010003022 14230202010003022 14230202010003022 1 1 1 1 1 1 1 1 1 1 1 1 1 1 1 1 1 1 1 1 1 1 1 1 贺蓉薇 刘恒熠 李饶辉 聂苏雅 张丽婷 杨婉萤 方树涵 时恒 邱冰 赵芪 刘昕 谢肖宇 管锡杨 邓子力 石春晓 袁科 宁小雨 李雅琴 向贤裕 涂奇奇 左鼎 陈愿 简诗诗 周开相 女 男 女 女 女 女 男 男 女 女 男 男 男 女 女 男 女 女 女 女 男 女 女 男 142241303316 142241402818 142240101429 142241203828 142241203820 142240100115 142240210507 142240212508 142240106606 142240104915 142240106530 142241405824 142240602413 142240212821 142240601025 142241201429 142241001102 142240301019 142240302410 142240210911 142240602420 142241003230 142241402518 142241000115 69.6 73.6 75.2 58.4 62.4 58.4 70.4 64.8 68.8 65.6 68 60.8 68.8 68 68 69.6 73.6 68 73.6 61.6 64 68 68 71.2 67 56.5 52 61.5 55.5 59.5 61.5 63 58 61 54 60.5 62 57.5 55.5 66.5 57 59 58.5 66 58.5 68.5 67 60 68.43 65.905 64.76 59.795 59.295 58.895 66.395 63.99 63.94 63.53 61.7 60.665 65.74 63.275 62.375 68.205 66.13 63.95 66.805 63.58 61.525 68.225 67.55 66.16 1 2 3 1 2 3 1 2 3 1 2 3 1 2 3 1 2 3 1 2 3 1 2 3 文字综合岗 14230202010003023 1 湛畅 女 142240208806 68.8 57.5 63.715 1 文字综合岗 14230202010003023 1 罗彩妮 女 142240400513 69.6 55 63.03 2 文字综合岗 14230202010003023 1 陆中缘 男 142240402211 64 57 60.85 3 业务综合岗 业务综合岗 业务综合岗 执法勤务岗 执法勤务岗 执法勤务岗 执法勤务岗 综合管理岗 综合管理岗 综合管理岗 综合管理岗 综合管理岗 1 1 1 1 1 1 1 1 1 1 1 1 王紫薇 朱凯笛 彭小秦 陈帅 严京京 余松梅 刘亚杰 田昕鑫 张诗怡 郑思灵 郑珂 彭宇 女 女 女 男 女 女 男 女 女 女 女 女 142241101007 142241002330 142241202613 142240212514 142241400506 142240210420 142241203424 142240102209 142241405803 142240211908 142241302812 142241103220 71.2 64 60 74.4 67.2 66.4 66.4 64.8 66.4 67.2 72.8 72.8 63 57.5 56.5 59.5 58 58.5 58.5 61.5 59 57.5 63 61.5 67.51 61.075 58.425 67.695 63.06 62.845 62.845 63.315 63.07 62.835 68.39 67.715 1 2 3 1 2 3 3 1 2 3 1 2 14230202010003024 14230202010003024 14230202010003024 14230202010003025 14230202010003025 14230202010003025 14230202010003025 14230202010003026 14230202010003026 14230202010003026 14230202010003027 14230202010003027 递补 递补 递补 沙市区 沙市区 沙市区 沙市区 沙市区 沙市区 沙市区 沙市区 沙市区 沙市区 沙市区 沙市区 沙市区 沙市区 沙市区 沙市区 沙市区 沙市区 沙市区 沙市区 沙市区 沙市区 沙市区 沙市区 沙市区 沙市区 沙市区 沙市区 沙市区 沙市区 沙市区 沙市区 沙市区 沙市区 沙市区 沙市区 沙市区 沙市区 荆州市沙市区应急 局 荆州市沙市区审计 局 荆州市沙市区审计 局 荆州市沙市区审计 局 荆州市沙市区统计 局 荆州市沙市区统计 局 荆州市沙市区统计 局 荆州市沙市区医保 局 荆州市沙市区医保 局 荆州市沙市区医保 局 荆州市沙市区司法 局 荆州市沙市区司法 局 荆州市沙市区司法 局 荆州市沙市区司法 局 荆州市沙市区司法 局 荆州市沙市区司法 局 荆州市沙市区司法 局 荆州市沙市区司法 局 荆州市沙市区司法 局 荆州市沙市区法院 荆州市沙市区法院 荆州市沙市区法院 荆州市沙市区检察 院 荆州市沙市区检察 院 荆州市沙市区检察 院 荆州市沙市区检察 院 荆州市沙市区检察 院 荆州市沙市区检察 院 荆州市沙市区检察 院 荆州市沙市区检察 院 荆州市沙市区检察 院 荆州市沙市区检察 院 荆州市沙市区检察 院 荆州市沙市区检察 院 荆州市沙市区机关 事务中心 荆州市沙市区机关 事务中心 荆州市沙市区机关 事务中心 荆州市沙市区财保 中心 综合管理岗 文字综合岗 文字综合岗 文字综合岗 综合管理岗 综合管理岗 综合管理岗 政策法规岗 政策法规岗 政策法规岗 司法助理岗1 司法助理岗1 司法助理岗1 司法助理岗2 司法助理岗2 司法助理岗2 信息技术岗 信息技术岗 信息技术岗 信息管理岗 信息管理岗 信息管理岗 司法警察岗1 司法警察岗1 司法警察岗1 司法警察岗2 司法警察岗2 司法警察岗2 司法警察岗2 司法警察岗2 司法警察岗2 文字综合岗 文字综合岗 文字综合岗 14230202010003027 14230202010003028 14230202010003028 14230202010003028 14230202010003029 14230202010003029 14230202010003029 14230202010003030 14230202010003030 14230202010003030 14230202010003031 14230202010003031 14230202010003031 14230202010003032 14230202010003032 14230202010003032 14230202010003033 14230202010003033 14230202010003033 14230202010003034 14230202010003034 14230202010003034 14230202010003035 14230202010003035 14230202010003035 14230202010003036 14230202010003036 14230202010003036 14230202010003036 14230202010003036 14230202010003036 14230202010003037 14230202010003037 14230202010003037 1 1 1 1 1 1 1 1 1 1 1 1 1 1 1 1 1 1 1 1 1 1 1 1 1 2 2 2 2 2 2 1 1 1 罗蓉 管业峰 付继凯 代心熠 余治远 张璐瑶 赵相龙 邝姝悦 李可 甘妮萍 涂宇璇 朱静仪 唐敦灿 刘雨 毛春丁 贺喆鑫 丁颖 胡永康 胡永妍 陈露露 宁熊维 汪浏婷 薛云峰 鲁铭钦 李周林 彭智勇 邹时佳 熊哲晗 何沿龙 郑皓中 向柯 穆煜 熊杰 陈远涵 女 男 男 女 男 女 男 女 女 女 女 女 女 男 女 男 女 男 女 女 女 女 男 男 男 男 男 男 男 男 男 男 女 女 142240209214 142240102018 142241002618 142240301803 142240402021 142241402704 142240105115 142240211730 142240401604 142241405717 142240106517 142240208901 142241300406 142240208127 142240403506 142241204723 142240402701 142241003711 142240302814 142240304024 142241100630 142241303818 142240100504 142241300624 142240603703 142241001604 142240402405 142241400729 142240403821 142240105111 142241002327 142240105020 142241303313 142240602225 74.4 67.2 65.6 64.8 80.8 68.8 72.8 68 56.8 58.4 68 70.4 65.6 68.8 63.2 72.8 70.4 67.2 66.4 71.2 60.8 63.2 53.6 46.4 44.8 60 59.2 66.4 60 61.6 56.8 73.6 60.8 64 59 52.5 53 51.5 57 63.5 53.5 63 71 67.5 64 54.5 53.5 61.5 64 52 62 64 64 57 67 64 47 53 53.5 57 56 45 52 49.5 53.5 55.5 66.5 59 67.47 60.585 59.93 58.815 70.09 66.415 64.115 65.75 63.19 62.495 66.2 63.245 60.155 65.515 63.56 63.44 66.62 65.76 65.32 64.81 63.59 63.56 50.63 49.37 48.715 58.65 57.76 56.77 56.4 56.155 55.315 65.455 63.365 61.75 3 1 2 3 1 2 3 1 2 3 1 2 3 1 2 3 1 2 3 1 2 3 1 2 3 1 2 3 4 5 6 1 2 3 综合管理岗 14230202010003038 1 黎思佐 女 142241002023 63.2 63 63.11 1 综合管理岗 14230202010003038 1 刘璇 女 142241404115 58.4 65.5 61.595 2 综合管理岗 14230202010003038 1 王颖 女 142240207122 62.4 55 59.07 3 财务管理岗 14230202010003039 1 邬睿文 女 142240301322 73.6 57.5 66.355 1 递补 递补 沙市区 沙市区 沙市区 沙市区 沙市区 沙市区 沙市区 沙市区 沙市区 沙市区 沙市区 沙市区 沙市区 沙市区 沙市区 沙市区 沙市区 沙市区 沙市区 沙市区 沙市区 荆州市沙市区财保 中心 荆州市沙市区财保 中心 荆州市沙市区政务 中心 荆州市沙市区政务 中心 荆州市沙市区政务 中心 荆州市沙市区街道 机关 荆州市沙市区街道 机关 荆州市沙市区街道 机关 荆州市沙市区街道 机关 荆州市沙市区街道 机关 荆州市沙市区街道 机关 荆州市沙市区街道 机关 荆州市沙市区街道 机关 荆州市沙市区街道 机关 荆州市沙市区街道 机关 荆州市沙市区街道 机关 荆州市沙市区街道 机关 荆州市沙市区乡镇 机关 荆州市沙市区乡镇 机关 荆州市沙市区乡镇 机关 荆州市沙市区乡镇 机关 财务管理岗 14230202010003039 1 徐思卿 男 142240208620 64.8 59.5 62.415 2 财务管理岗 14230202010003039 1 秦亚军 男 142240106414 70.4 48.5 60.545 3 综合管理岗 14230202010003040 1 王秋云 女 142241300221 64.8 63.5 64.215 1 综合管理岗 14230202010003040 1 肖青云 女 142240300106 68.8 58 63.94 2 综合管理岗 14230202010003040 1 何礼艺 女 142241004419 65.6 60.5 63.305 3 文字综合岗1 14230202010003041 1 付晓宇 男 142240207320 73.6 57 66.13 1 文字综合岗1 14230202010003041 1 程冠中 男 142240301902 63.2 63.5 63.335 2 文字综合岗1 14230202010003041 1 李伦琦 男 142240208205 64 58 61.3 3 文字综合岗2 14230202010003042 1 曾侃 男 142241003413 60.8 57 59.09 1 文字综合岗2 14230202010003042 1 曹卓 男 142240211202 64.8 48.5 57.465 2 文字综合岗2 14230202010003042 1 袁媛 女 142241401328 49.6 64.5 56.305 3 综合管理岗1 14230202010003043 1 陈鹏 男 142241202721 65.6 61 63.53 1 综合管理岗1 14230202010003043 1 廖进进 女 142241002413 64 60 62.2 2 综合管理岗1 14230202010003043 1 陈许琪 女 142241001219 60 59 59.55 3 综合管理岗2 14230202010003044 1 侯涛 男 142240301321 67.2 58.5 63.285 1 综合管理岗2 14230202010003044 1 郑堂兴 男 142240300322 58.4 55.5 57.095 2 综合管理岗2 14230202010003044 1 竺加加 女 142240209129 52.8 60.5 56.265 3 文字综合岗 14230202010003045 1 王力 男 142240400414 64.8 55 60.39 1 文字综合岗 14230202010003045 1 张修华 女 142241401202 63.2 56 59.96 2 文字综合岗 14230202010003045 1 刘宜魁 男 142240603716 64.8 52.5 59.265 3 乡镇综合岗 14230202010003046 1 扈令 女 142241001117 76.8 54.5 66.765 1 沙市区 沙市区 荆州开发 区 荆州开发 区 荆州开发 区 荆州开发 区 荆州开发 区 荆州开发 区 荆州开发 区 荆州开发 区 荆州开发 区 荆州开发 区 荆州开发 区 荆州开发 区 荆州开发 区 荆州开发 区 荆州开发 区 洪湖市 洪湖市 洪湖市 洪湖市 洪湖市 洪湖市 洪湖市 洪湖市 洪湖市 荆州市沙市区乡镇 机关 荆州市沙市区乡镇 机关 荆州经开区所属乡 镇(街道) 荆州经开区所属乡 镇(街道) 荆州经开区所属乡 镇(街道) 荆州经开区所属乡 镇(街道) 荆州经开区所属乡 镇(街道) 荆州经开区所属乡 镇(街道) 荆州经开区所属乡 镇(街道) 荆州经开区所属乡 镇(街道) 荆州经开区所属乡 镇(街道) 荆州经开区所属乡 镇(街道) 荆州经开区所属乡 镇(街道) 荆州经开区所属乡 镇(街道) 荆州经开区所属乡 镇(街道) 荆州经开区所属乡 镇(街道) 荆州经开区所属乡 镇(街道) 洪湖市委统战部 洪湖市委统战部 洪湖市委统战部 洪湖市委办公室 洪湖市委办公室 洪湖市委办公室 洪湖市委政法委 洪湖市委政法委 洪湖市委政法委 乡镇综合岗 14230202010003046 1 陈雪琴 女 142240208003 56 59 57.35 2 乡镇综合岗 14230202010003046 1 肖凡 女 142240102311 54.4 60.5 57.145 3 综合管理岗1 14230202010004001 2 刘成龙 男 142241403723 62.4 61.5 61.995 1 综合管理岗1 14230202010004001 2 徐心园 女 142241401225 64 58.5 61.525 2 综合管理岗1 14230202010004001 2 胡筠 女 142240101728 66.4 53.5 60.595 3 综合管理岗1 14230202010004001 2 计雪婷 女 142240401120 62.4 57.5 60.195 4 综合管理岗1 14230202010004001 2 郭芳 女 142241204112 63.2 55 59.51 5 综合管理岗1 14230202010004001 2 孙梦瑶 女 142240303510 61.6 55.5 58.855 6 综合管理岗2 14230202010004002 2 姜志 男 142240300429 67.2 65.5 66.435 1 综合管理岗2 14230202010004002 2 张紫薇 女 142241202621 67.2 53.5 61.035 2 综合管理岗2 14230202010004002 2 何汶卓 女 142241000106 60 58 59.1 3 综合管理岗2 14230202010004002 2 龙小云 女 142240104202 55.2 62 58.26 4 综合管理岗2 14230202010004002 2 李薇 女 142241102228 47.2 65.5 55.435 5 综合管理岗2 14230202010004002 2 刘阳 男 142240603715 58.4 49.5 54.395 6 综合管理岗3 14230202010004003 1 章晓蓉 女 142241103113 55.2 60.5 57.585 1 综合管理岗3 14230202010004003 1 赵欣然 女 142240103206 55.2 55 55.11 2 综合管理岗3 14230202010004003 1 杨龙 男 142241203816 55.2 51 53.31 3 综合管理岗 综合管理岗 综合管理岗 综合管理岗 综合管理岗 综合管理岗 综合管理岗 综合管理岗 综合管理岗 1 1 1 1 1 1 1 1 1 晏依林 李思萌 秦道萍 夏玲 殷诗雨 董玥 刘任 赵佩 杜可馨 女 女 女 女 女 女 男 女 女 142241202723 142241401708 142240403825 142240100619 142240302520 142241302329 142240602310 142240208723 142240100509 56.8 56.8 53.6 74.4 50.4 48 68.8 68.8 54.4 60 51.5 53.5 57.5 56 56 61.5 57.5 54 58.24 54.415 53.555 66.795 52.92 51.6 65.515 63.715 54.22 1 2 3 1 2 3 1 2 3 14230202010005001 14230202010005001 14230202010005001 14230202010005002 14230202010005002 14230202010005002 14230202010005003 14230202010005003 14230202010005003 递补 递补 递补 递补 递补 递补 洪湖市 洪湖市 洪湖市 洪湖市 洪湖市 洪湖市 洪湖市 洪湖市 洪湖市 洪湖市 洪湖市 洪湖市 洪湖市 洪湖市 洪湖市 洪湖市 洪湖市 洪湖市 洪湖市 洪湖市 洪湖市 洪湖市 洪湖市 洪湖市 洪湖市 洪湖市 洪湖市 洪湖市 洪湖市 洪湖市 洪湖市 洪湖市 洪湖市 洪湖市 洪湖市 洪湖市 洪湖市发改局 洪湖市发改局 洪湖市发改局 洪湖市发改局 洪湖市发改局 洪湖市发改局 洪湖市审计局 洪湖市审计局 洪湖市审计局 洪湖市审计局 洪湖市审计局 洪湖市审计局 洪湖市民政局 洪湖市民政局 洪湖市民政局 洪湖市自然资源和 规划局 洪湖市自然资源和 规划局 洪湖市自然资源和 规划局 洪湖市自然资源和 规划局 洪湖市自然资源和 规划局 洪湖市自然资源和 规划局 洪湖市水利湖泊局 洪湖市水利湖泊局 洪湖市水利湖泊局 洪湖市水利湖泊局 洪湖市水利湖泊局 洪湖市水利湖泊局 洪湖市交通运输局 洪湖市交通运输局 洪湖市交通运输局 洪湖市政务数据局 洪湖市政务数据局 洪湖市政务数据局 洪湖市教育局 洪湖市教育局 洪湖市教育局 发改业务岗1 发改业务岗1 发改业务岗1 发改业务岗2 发改业务岗2 发改业务岗2 财务会计岗1 财务会计岗1 财务会计岗1 财务会计岗2 财务会计岗2 财务会计岗2 文字综合岗 文字综合岗 文字综合岗 14230202010005004 14230202010005004 14230202010005004 14230202010005005 14230202010005005 14230202010005005 14230202010005006 14230202010005006 14230202010005006 14230202010005007 14230202010005007 14230202010005007 14230202010005008 14230202010005008 14230202010005008 1 1 1 1 1 1 1 1 1 1 1 1 1 1 1 张逸菲 吴琰 郑晨薇 郑豪 陈愈萍 李佳丽 曾梦林 刘家良 徐梦源 何佳欢 何诗媛 唐秋雨 王新宇 袁瑶 冯婉莹 女 女 女 男 女 女 女 男 女 女 女 女 男 女 女 142240208828 142241303808 142240212512 142240401227 142240209618 142241002607 142241402914 142240212124 142241301921 142241001204 142241000429 142241101127 142241102924 142240301318 142241104013 76 72 62.4 67.2 66.4 64.8 60.8 63.2 62.4 72 65.6 64.8 60.8 56.8 62.4 62.5 51.5 57.5 57.5 57 58.5 63 58 58 60.5 64.5 59 59 62 55 69.925 62.775 60.195 62.835 62.17 61.965 61.79 60.86 60.42 66.825 65.105 62.19 59.99 59.14 59.07 1 2 3 1 2 3 1 2 3 1 2 3 1 2 3 综合管理岗 14230202010005009 2 郑京华 男 142241100914 75.2 57.5 67.235 1 综合管理岗 14230202010005009 2 张云霄 男 142241002709 69.6 57.5 64.155 2 综合管理岗 14230202010005009 2 杜临风 女 142241301706 69.6 55.5 63.255 3 综合管理岗 14230202010005009 2 鲁天悦 女 142241301802 61.6 58.5 60.205 4 综合管理岗 14230202010005009 2 周立妮 女 142240402726 57.6 55 56.43 5 递补 综合管理岗 14230202010005009 2 周威 男 142241302722 48.8 59.5 53.615 6 递补 综合管理岗1 综合管理岗1 综合管理岗1 综合管理岗2 综合管理岗2 综合管理岗2 综合管理岗 综合管理岗 综合管理岗 综合管理岗 综合管理岗 综合管理岗 综合管理岗 综合管理岗 综合管理岗 1 1 1 1 1 1 1 1 1 1 1 1 2 2 2 陈子洋 曹志旋 董甜甜 王桢 夏泽 刘雅婷 付文阳 况迪 彭元亮 张彩云 刘畅想 杜炯 周全 田佳玲 牟钰琪 男 男 女 男 男 女 男 男 男 女 男 男 女 女 女 142241200512 142240301418 142240602410 142240602913 142241400104 142241203414 142241101219 142241300515 142240210419 142241203729 142241002507 142240211411 142241303317 142241201328 142241404407 67.2 64.8 62.4 71.2 72 63.2 74.4 66.4 62.4 65.6 64.8 52.8 72.8 67.2 65.6 57 56.5 58.5 58.5 52 58.5 50.5 58.5 57.5 52.5 53 62.5 60 63.5 59.5 62.61 61.065 60.645 65.485 63 61.085 63.645 62.845 60.195 59.705 59.49 57.165 67.04 65.535 62.855 1 2 3 1 2 3 1 2 3 1 2 3 1 2 3 14230202010005010 14230202010005010 14230202010005010 14230202010005011 14230202010005011 14230202010005011 14230202010005012 14230202010005012 14230202010005012 14230202010005014 14230202010005014 14230202010005014 14230202010005015 14230202010005015 14230202010005015 递补 递补 洪湖市 洪湖市 洪湖市 洪湖市 洪湖市 洪湖市 洪湖市 洪湖市 洪湖市 洪湖市 洪湖市 洪湖市 洪湖市 洪湖市 洪湖市 洪湖市 洪湖市 洪湖市 洪湖市 洪湖市 洪湖市 洪湖市 洪湖市 洪湖市 洪湖市 洪湖市 洪湖市 洪湖市 洪湖市 洪湖市 洪湖市 洪湖市 洪湖市 洪湖市 洪湖市 洪湖市 洪湖市 洪湖市 洪湖市 洪湖市 洪湖市 洪湖市 洪湖市教育局 洪湖市教育局 洪湖市教育局 洪湖市商务局 洪湖市商务局 洪湖市商务局 洪湖市人社局 洪湖市人社局 洪湖市人社局 洪湖市人社局 洪湖市人社局 洪湖市人社局 洪湖市卫健局 洪湖市卫健局 洪湖市卫健局 洪湖市住建局 洪湖市住建局 洪湖市住建局 洪湖市统计局 洪湖市统计局 洪湖市统计局 洪湖市财政局 洪湖市财政局 洪湖市财政局 洪湖市财政局 洪湖市财政局 洪湖市财政局 洪湖市文旅局 洪湖市文旅局 洪湖市文旅局 洪湖市科技经信局 洪湖市科技经信局 洪湖市科技经信局 洪湖市医保局 洪湖市医保局 洪湖市医保局 洪湖市科协 洪湖市科协 洪湖市科协 洪湖市工商联 洪湖市工商联 洪湖市工商联 综合管理岗 综合管理岗 综合管理岗 综合管理岗 综合管理岗 综合管理岗 综合管理岗1 综合管理岗1 综合管理岗1 综合管理岗2 综合管理岗2 综合管理岗2 公共卫生岗 公共卫生岗 公共卫生岗 业务管理岗 业务管理岗 业务管理岗 综合管理岗 综合管理岗 综合管理岗 综合管理岗 综合管理岗 综合管理岗 综合管理岗 综合管理岗 综合管理岗 综合管理岗 综合管理岗 综合管理岗 综合管理岗1 综合管理岗1 综合管理岗1 文字综合岗 文字综合岗 文字综合岗 综合管理岗 综合管理岗 综合管理岗 综合管理岗 综合管理岗 综合管理岗 14230202010005015 14230202010005015 14230202010005015 14230202010005016 14230202010005016 14230202010005016 14230202010005017 14230202010005017 14230202010005017 14230202010005018 14230202010005018 14230202010005018 14230202010005019 14230202010005019 14230202010005019 14230202010005020 14230202010005020 14230202010005020 14230202010005021 14230202010005021 14230202010005021 14230202010005022 14230202010005022 14230202010005022 14230202010005022 14230202010005022 14230202010005022 14230202010005023 14230202010005023 14230202010005023 14230202010005024 14230202010005024 14230202010005024 14230202010005025 14230202010005025 14230202010005025 14230202010005026 14230202010005026 14230202010005026 14230202010005027 14230202010005027 14230202010005027 2 2 2 1 1 1 1 1 1 1 1 1 1 1 1 1 1 1 1 1 1 2 2 2 2 2 2 1 1 1 1 1 1 1 1 1 1 1 1 1 1 1 陈宇佳 陈霏 陶晓梅 李紫薇 陈子明 周楠 侯佳妮 董立明 李康 顾怡 彭思齐 叶冰清 李怡心 李春旺 莫家宽 王鹏程 熊强 倪雷 廖奥林 肖圣光 冯宇欣 黄玉妮 王杜子瞻 孙雅茜 王桂枝 杨硕 张子蓓 韩霞 马方义 曾成 舒本政 李雯 张俊 徐露 杨乾瑞 陈谦 周姝涵 冯蕾 谭杨 郭沛 徐畅 刘章汛 女 男 女 女 男 女 女 男 男 男 女 女 女 男 男 男 男 男 男 男 女 女 女 女 女 男 女 女 男 男 男 女 男 女 男 女 女 女 男 女 男 男 142240101222 142241101902 142240104323 142241002220 142241102422 142241303428 142240208016 142240600818 142240210023 142240106202 142241400829 142241403821 142240302808 142241102320 142240208809 142240208703 142240300730 142241303903 142240106510 142240213215 142241403324 142240603609 142240400802 142240105010 142241405728 142241002022 142241204016 142240300406 142241102129 142240602305 142241003618 142241300516 142241002920 142241102126 142241003326 142241405521 142240303024 142241401922 142240100216 142240602820 142241402925 142241401801 60 60 57.6 67.2 58.4 63.2 57.6 60.8 51.2 76 72 70.4 64.8 57.6 43.2 72 70.4 68.8 64.8 62.4 55.2 65.6 65.6 57.6 59.2 62.4 64 61.6 60.8 56.8 68.8 62.4 60.8 58.4 55.2 60 59.2 56.8 62.4 59.2 62.4 59.2 58.5 57.5 60 57.5 60 53.5 58 49.5 58.5 60.5 60 55 54 39.5 43 58 56.5 56.5 57 55 55.5 57.5 57 64.5 61.5 57.5 55 59 54.5 57.5 58 63.5 60.5 60 60 53.5 62 61.5 54.5 57.5 52 55.5 59.325 58.875 58.68 62.835 59.12 58.835 57.78 55.715 54.485 69.025 66.6 63.47 59.94 49.455 43.11 65.7 64.145 63.265 61.29 59.07 55.335 61.955 61.73 60.705 60.235 60.195 59.95 60.43 57.965 57.115 63.94 62.895 60.665 59.12 57.36 57.075 60.46 58.915 58.845 58.435 57.72 57.535 4 5 6 1 2 3 1 2 3 1 2 3 1 2 3 1 2 3 1 2 3 1 2 3 4 5 6 1 2 3 1 2 3 1 2 3 1 2 3 1 2 3 洪湖市 洪湖市 洪湖市 洪湖市 洪湖市 洪湖市 洪湖市 洪湖市 洪湖市 洪湖市 洪湖市 洪湖市 洪湖市 洪湖市 洪湖市 洪湖市 洪湖市 洪湖市 洪湖市 洪湖市 洪湖市 洪湖市 洪湖市 洪湖市 洪湖市 洪湖市 洪湖市 洪湖市 洪湖市 洪湖市 洪湖市 洪湖市 洪湖市 洪湖市 洪湖市 洪湖市 洪湖市 洪湖市 洪湖市 洪湖市 洪湖市 洪湖市 洪湖开发区管委会 洪湖开发区管委会 洪湖开发区管委会 洪湖市公安局 洪湖市公安局 洪湖市公安局 洪湖市公安局 洪湖市公安局 洪湖市公安局 洪湖市公安局 洪湖市公安局 洪湖市公安局 洪湖市公安局 洪湖市公安局 洪湖市公安局 洪湖市公安局 洪湖市公安局 洪湖市公安局 洪湖市公安局 洪湖市公安局 洪湖市公安局 洪湖市公安局 洪湖市公安局 洪湖市公安局 洪湖市公安局 洪湖市公安局 洪湖市公安局 洪湖市公安局 洪湖市公安局 洪湖市公安局 洪湖市公安局 洪湖市公安局 洪湖市公安局 洪湖市公安局 洪湖市公安局 洪湖市公安局 洪湖市公安局 洪湖市公安局 洪湖市公安局 洪湖市公安局 洪湖市公安局 洪湖市公安局 综合管理岗2 综合管理岗2 综合管理岗2 执法勤务岗1 执法勤务岗1 执法勤务岗1 执法勤务岗1 执法勤务岗1 执法勤务岗1 执法勤务岗1 执法勤务岗1 执法勤务岗1 执法勤务岗2 执法勤务岗2 执法勤务岗2 执法勤务岗2 执法勤务岗2 执法勤务岗2 执法勤务岗2 执法勤务岗2 执法勤务岗2 执法勤务岗2 执法勤务岗2 执法勤务岗2 执法勤务岗2 执法勤务岗2 执法勤务岗2 执法勤务岗3 执法勤务岗3 执法勤务岗3 执法勤务岗3 执法勤务岗3 执法勤务岗3 执法勤务岗3 执法勤务岗3 执法勤务岗3 执法勤务岗3 执法勤务岗3 执法勤务岗3 执法勤务岗4 执法勤务岗4 执法勤务岗4 14230202010005029 14230202010005029 14230202010005029 14230202010005030 14230202010005030 14230202010005030 14230202010005030 14230202010005030 14230202010005030 14230202010005030 14230202010005030 14230202010005030 14230202010005031 14230202010005031 14230202010005031 14230202010005031 14230202010005031 14230202010005031 14230202010005031 14230202010005031 14230202010005031 14230202010005031 14230202010005031 14230202010005031 14230202010005031 14230202010005031 14230202010005031 14230202010005032 14230202010005032 14230202010005032 14230202010005032 14230202010005032 14230202010005032 14230202010005032 14230202010005032 14230202010005032 14230202010005032 14230202010005032 14230202010005032 14230202010005033 14230202010005033 14230202010005033 1 1 1 3 3 3 3 3 3 3 3 3 5 5 5 5 5 5 5 5 5 5 5 5 5 5 5 4 4 4 4 4 4 4 4 4 4 4 4 5 5 5 谭一凡 陶聪 王洋 刘昌钰 姜叶 董思遥 储异 陈一泓 牟雄鑫 汪震 向威涛 张倬 钱志诚 杨盛凯 李顺翰 夏宇 张子雄 欧云 胡圣奥 陈强 黄孝 段睿 崔文旗 何凯强 熊震 刘登辉 杨唯航 李军政 李威 李振南 董兆雨 王君朝 李强 余先 贺子秋 田木楨 董笠 陈伟达 李梓文 郭志文 陈烨 盛扬 男 男 男 男 男 男 男 男 男 男 男 男 男 男 男 男 男 男 男 男 男 男 男 男 男 男 男 男 男 男 男 男 男 男 男 男 男 男 男 男 男 男 142240212721 142241002019 142240213014 142240503505 142240502712 142240502102 142240502019 142240503503 142240503811 142240503528 142240501927 142240502418 142240503723 142240501623 142240501024 142240503216 142240503904 142240502212 142240501616 142240501830 142240501924 142240504206 142240502320 142240502926 142240501923 142240504114 142240503715 142240504018 142240501020 142240500704 142240501615 142240503409 142240502326 142240502026 142240503003 142240501607 142240502004 142240501825 142240503323 142240501625 142240503621 142240502015 70.4 72.8 65.6 66.4 62.4 48 59.2 53.6 57.6 43.2 42.4 46.4 57.6 58.4 67.2 65.6 61.6 52 48 53.6 52.8 55.2 52 47.2 50.4 52 54.4 61.6 65.6 53.6 68.8 58.4 36 44 42.4 43.2 41.6 39.2 38.4 68 64.8 58.4 61 57 57.5 51 56.5 56.5 56.5 56.5 48.5 42.5 54.5 50 68 62 61.5 50.5 57.5 58.5 58.5 58.5 52.5 55.5 53.5 51 52 49.5 44 56.5 60.5 58 45.5 53.5 59 47 46 41.5 48.5 46 46.5 58.5 58 60 57 54 69 54 58 51 64 49 44 77 80 64 70 68 59 63 55 57 48 54 58 51 48 48 78 66 71 61 56 55 51 53 53 45 50 49 68 68 74 66.17 65.69 61.955 58.96 58.11 56.85 56.83 55.79 52.89 49.23 48.01 46.76 66.54 65.96 64.53 62.39 62.29 56.05 55.65 55.49 53.97 53.13 53.05 51.58 51.06 50.05 49.36 64.99 64.19 60.14 59.47 56.21 48.6 47 46.66 45.63 44.69 44.48 44.01 65.15 63.72 63.56 1 2 3 1 2 3 4 5 6 7 8 9 1 2 3 4 5 6 7 8 9 10 11 12 13 14 15 1 2 3 4 5 6 7 8 9 10 11 12 1 2 3 递补 洪湖市 洪湖市 洪湖市 洪湖市 洪湖市 洪湖市 洪湖市 洪湖市 洪湖市 洪湖市 洪湖市 洪湖市 洪湖市 洪湖市 洪湖市 洪湖市 洪湖市 洪湖市 洪湖市 洪湖市 洪湖市 洪湖市 洪湖市 洪湖市 洪湖市 洪湖市 洪湖市 洪湖市 洪湖市 洪湖市 洪湖市 洪湖市 洪湖市 洪湖市 洪湖市 洪湖市 洪湖市 洪湖市 洪湖市 洪湖市 洪湖市 洪湖市 洪湖市公安局 洪湖市公安局 洪湖市公安局 洪湖市公安局 洪湖市公安局 洪湖市公安局 洪湖市公安局 洪湖市公安局 洪湖市公安局 洪湖市公安局 洪湖市公安局 洪湖市公安局 洪湖市司法局 洪湖市司法局 洪湖市司法局 洪湖市司法局 洪湖市司法局 洪湖市司法局 洪湖市司法局 洪湖市司法局 洪湖市司法局 洪湖市司法局 洪湖市司法局 洪湖市司法局 洪湖市司法局 洪湖市司法局 洪湖市司法局 洪湖市司法局 洪湖市司法局 洪湖市司法局 洪湖市检察院 洪湖市检察院 洪湖市检察院 洪湖市检察院 洪湖市检察院 洪湖市检察院 洪湖市招商中心 洪湖市招商中心 洪湖市招商中心 洪湖市供销社 洪湖市供销社 洪湖市供销社 执法勤务岗4 执法勤务岗4 执法勤务岗4 执法勤务岗4 执法勤务岗4 执法勤务岗4 执法勤务岗4 执法勤务岗4 执法勤务岗4 执法勤务岗4 执法勤务岗4 执法勤务岗4 乡镇司法岗1 乡镇司法岗1 乡镇司法岗1 乡镇司法岗1 乡镇司法岗1 乡镇司法岗1 乡镇司法岗2 乡镇司法岗2 乡镇司法岗2 乡镇司法岗3 乡镇司法岗3 乡镇司法岗3 乡镇司法岗3 乡镇司法岗3 乡镇司法岗3 乡镇司法岗4 乡镇司法岗4 乡镇司法岗4 财务会计岗 财务会计岗 财务会计岗 文字综合岗 文字综合岗 文字综合岗 综合管理岗1 综合管理岗1 综合管理岗1 综合管理岗 综合管理岗 综合管理岗 14230202010005033 14230202010005033 14230202010005033 14230202010005033 14230202010005033 14230202010005033 14230202010005033 14230202010005033 14230202010005033 14230202010005033 14230202010005033 14230202010005033 14230202010005036 14230202010005036 14230202010005036 14230202010005036 14230202010005036 14230202010005036 14230202010005037 14230202010005037 14230202010005037 14230202010005038 14230202010005038 14230202010005038 14230202010005038 14230202010005038 14230202010005038 14230202010005039 14230202010005039 14230202010005039 14230202010005040 14230202010005040 14230202010005040 14230202010005041 14230202010005041 14230202010005041 14230202010005042 14230202010005042 14230202010005042 14230202010005045 14230202010005045 14230202010005045 5 5 5 5 5 5 5 5 5 5 5 5 2 2 2 2 2 2 1 1 1 2 2 2 2 2 2 1 1 1 1 1 1 1 1 1 1 1 1 1 1 1 沈蒙 汤洪军 邓来宾 李桂兵 李如春 孙威 姚雷 石教邦 孙志远 蒋浩文 王丰 杨舟 鲁安源 郑鹏 夏关云 谢宏威 鲍子聪 柳俊 朱宇豪 白文菁 肖继钰 苏飘 舒悦 徐维 向轶 张毅 刘娜 向娟 王胜 张依梦 邹国云 刘晓 屈奕婷 袁宇婷 孙梦洁 陈芷怡 范丽蓉 谢天 王雨婷 兰筝 冉秋兰 黄金权 男 男 男 男 男 男 男 男 男 男 男 男 女 男 男 男 男 男 男 女 女 男 女 男 女 男 女 女 男 女 女 女 女 女 女 女 女 男 女 女 女 男 142240503729 142240502128 142240502925 142240502519 142240501016 142240504214 142240503014 142240503520 142240501707 142240502810 142240502206 142240504105 142240601119 142240207530 142241404124 142240303007 142240301415 142240403317 142241403820 142240302229 142240101629 142240104912 142240105525 142241103512 142240304006 142240603028 142240402016 142241203609 142241401105 142241401101 142240302404 142241402827 142240100526 142241202701 142241202504 142240603729 142240208230 142241201506 142240103029 142240602117 142241200526 142241003016 63.2 68.8 56.8 59.2 60 57.6 57.6 60 52 53.6 57.6 61.6 65.6 66.4 71.2 68 64 55.2 67.2 64 51.2 64 60 62.4 59.2 60 53.6 66.4 68 60 67.2 68.8 67.2 64 59.2 46.4 65.6 64 60.8 72.8 63.2 56 54.5 51 49 52 57 56 51.5 49 59 60.5 52.5 44.5 60.5 58.5 52.5 54.5 58.5 58.5 55.5 57.5 59.5 60.5 57.5 54.5 57.5 51.5 57.5 62 57 61.5 65.5 62 62 56 58.5 65 62 61 56.5 53.5 62 63.5 70 64 74 66 56 59 63 60 59 54 55 57 62.63 62.02 59.62 59.08 57.9 57.54 57.39 56.7 56.2 55.79 55.29 55.09 63.305 62.845 62.785 61.925 61.525 56.685 61.935 61.075 54.935 62.425 58.875 58.845 58.435 56.175 55.355 64.42 63.05 60.675 66.435 65.74 64.86 60.4 58.885 54.77 63.98 62.65 58.865 64.115 62.66 59.375 4 5 6 7 8 9 10 11 12 13 14 15 1 2 3 4 5 6 1 2 3 1 2 3 4 5 6 1 2 3 1 2 3 1 2 3 1 2 3 1 2 3 递补 洪湖市 洪湖市 洪湖市 洪湖市 洪湖市 洪湖市 洪湖市 洪湖市 洪湖市 洪湖市 洪湖市 洪湖市 洪湖市 洪湖市 洪湖市 洪湖市 洪湖市 洪湖市 洪湖市 洪湖市 洪湖市 洪湖市 洪湖市 洪湖市 洪湖市 洪湖市 洪湖市 洪湖市 洪湖市 洪湖市 洪湖市 洪湖市 洪湖市 洪湖市 洪湖市 洪湖市 洪湖市 洪湖市 洪湖市 洪湖市 洪湖市 洪湖市 洪湖市红十字会 洪湖市红十字会 洪湖市红十字会 洪湖市红十字会 洪湖市红十字会 洪湖市红十字会 洪湖市街道 洪湖市街道 洪湖市街道 洪湖市街道 洪湖市街道 洪湖市街道 洪湖市街道 洪湖市街道 洪湖市街道 洪湖市街道 洪湖市街道 洪湖市街道 洪湖市街道 洪湖市街道 洪湖市街道 洪湖市街道 洪湖市街道 洪湖市街道 洪湖市街道 洪湖市街道 洪湖市街道 洪湖市街道 洪湖市街道 洪湖市街道 洪湖市街道 洪湖市街道 洪湖市街道 洪湖市街道 洪湖市街道 洪湖市街道 洪湖市乡镇 洪湖市乡镇 洪湖市乡镇 洪湖市乡镇 洪湖市乡镇 洪湖市乡镇 综合管理岗 综合管理岗 综合管理岗 赈灾宣传岗 赈灾宣传岗 赈灾宣传岗 综合管理岗1 综合管理岗1 综合管理岗1 综合管理岗1 综合管理岗1 综合管理岗1 综合管理岗1 综合管理岗1 综合管理岗1 综合管理岗1 综合管理岗1 综合管理岗1 综合管理岗1 综合管理岗1 综合管理岗1 综合管理岗2 综合管理岗2 综合管理岗2 综合管理岗2 综合管理岗2 综合管理岗2 综合管理岗2 综合管理岗2 综合管理岗2 综合管理岗2 综合管理岗2 综合管理岗2 综合管理岗2 综合管理岗2 综合管理岗2 综合管理岗1 综合管理岗1 综合管理岗1 综合管理岗1 综合管理岗1 综合管理岗1 14230202010005046 14230202010005046 14230202010005046 14230202010005047 14230202010005047 14230202010005047 14230202010005048 14230202010005048 14230202010005048 14230202010005048 14230202010005048 14230202010005048 14230202010005048 14230202010005048 14230202010005048 14230202010005048 14230202010005048 14230202010005048 14230202010005048 14230202010005048 14230202010005048 14230202010005049 14230202010005049 14230202010005049 14230202010005049 14230202010005049 14230202010005049 14230202010005049 14230202010005049 14230202010005049 14230202010005049 14230202010005049 14230202010005049 14230202010005049 14230202010005049 14230202010005049 14230202010005050 14230202010005050 14230202010005050 14230202010005050 14230202010005050 14230202010005050 1 1 1 1 1 1 5 5 5 5 5 5 5 5 5 5 5 5 5 5 5 5 5 5 5 5 5 5 5 5 5 5 5 5 5 5 4 4 4 4 4 4 江玥 刘佳艳 李古月 邓梦怡 付语盈 易东瑾 王子寒 叶梓怡 谢从源 徐迈 王辰煊 王荪玕 尹乐 孙悦 邓周 王紫云 徐凤 闫祖宏 邹妍 邱芊芊 廖朋 陈龙 卢旺 郭陈 李昌 范瑄 付阳 王旷怡 周斯琦 陈文涛 邹本威 何英好 曾晨 何晴 吴玮琦 刘文奥 王晨颖 王小婷 龚强龙 滕云 何莹 卢响 女 女 女 女 女 女 女 女 男 男 男 男 男 女 男 女 女 男 女 女 男 男 男 女 男 女 男 男 女 男 男 男 男 女 男 男 女 女 男 男 女 女 142240104321 142240601204 142240105817 142240212429 142240103125 142240401007 142241400528 142240104815 142240302617 142241403326 142241201629 142241003524 142240211627 142240213127 142240602917 142241002325 142241203312 142241003518 142240401222 142240106401 142240100914 142240212609 142241100210 142241202428 142240206905 142241001720 142241104317 142241304008 142241103414 142240208502 142241303222 142240401627 142241302128 142240103022 142240103325 142241301628 142240303228 142241201803 142241401417 142241405006 142241401929 142241102718 56 49.6 40 66.4 69.6 58.4 67.2 58.4 62.4 70.4 59.2 62.4 63.2 55.2 56.8 54.4 54.4 48 52.8 54.4 54.4 83.2 68.8 71.2 67.2 70.4 64 68.8 61.6 68 68 62.4 60.8 60.8 60.8 61.6 64.8 66.4 69.6 60 58.4 61.6 56 57.5 58 62.5 58.5 58 61.5 65.5 60 47 60.5 54.5 50.5 58 53 54 54 60.5 51.5 48.5 47 52.5 60.5 55 59 55 60.5 52.5 61 52.5 48 54.5 56 56 55.5 54 66 63 55.5 58 59 54.5 56 53.155 48.1 64.645 64.605 58.22 64.635 61.595 61.32 59.87 59.785 58.845 57.485 56.46 55.09 54.22 54.22 53.625 52.215 51.745 51.07 69.385 65.065 63.91 63.51 63.47 62.425 61.465 61.33 61.025 59 58.845 58.64 58.64 58.415 58.18 65.34 64.87 63.255 59.1 58.67 58.405 1 2 3 1 2 3 1 2 3 4 5 6 7 8 9 10 10 12 13 14 15 1 2 3 4 5 6 7 8 9 10 11 12 12 14 15 1 2 3 4 5 6 洪湖市 洪湖市 洪湖市 洪湖市 洪湖市 洪湖市 洪湖市 洪湖市 洪湖市 洪湖市 洪湖市 洪湖市 洪湖市 洪湖市 洪湖市 洪湖市 洪湖市 洪湖市 洪湖市 洪湖市 洪湖市 洪湖市 洪湖市 洪湖市 洪湖市 洪湖市 洪湖市 洪湖市 洪湖市 洪湖市 洪湖市 洪湖市 洪湖市 洪湖市 洪湖市 洪湖市 洪湖市 洪湖市 洪湖市 洪湖市 洪湖市 洪湖市 洪湖市乡镇 洪湖市乡镇 洪湖市乡镇 洪湖市乡镇 洪湖市乡镇 洪湖市乡镇 洪湖市乡镇 洪湖市乡镇 洪湖市乡镇 洪湖市乡镇 洪湖市乡镇 洪湖市乡镇 洪湖市乡镇 洪湖市乡镇 洪湖市乡镇 洪湖市乡镇 洪湖市乡镇 洪湖市乡镇 洪湖市乡镇 洪湖市乡镇 洪湖市乡镇 洪湖市乡镇 洪湖市乡镇 洪湖市乡镇 洪湖市乡镇 洪湖市乡镇 洪湖市乡镇 洪湖市乡镇 洪湖市乡镇 洪湖市乡镇 洪湖市乡镇 洪湖市乡镇 洪湖市乡镇 洪湖市乡镇 洪湖市乡镇 洪湖市乡镇 洪湖市乡镇 洪湖市乡镇 洪湖市乡镇 洪湖市乡镇 洪湖市乡镇 洪湖市乡镇 综合管理岗1 综合管理岗1 综合管理岗1 综合管理岗1 综合管理岗1 综合管理岗1 综合管理岗2 综合管理岗2 综合管理岗2 综合管理岗2 综合管理岗2 综合管理岗2 综合管理岗2 综合管理岗2 综合管理岗2 综合管理岗2 综合管理岗2 综合管理岗2 综合管理岗3 综合管理岗3 综合管理岗3 综合管理岗3 综合管理岗3 综合管理岗3 综合管理岗3 综合管理岗3 综合管理岗3 综合管理岗3 综合管理岗3 综合管理岗3 综合管理岗4 综合管理岗4 综合管理岗4 综合管理岗4 综合管理岗4 综合管理岗4 综合管理岗4 综合管理岗4 综合管理岗4 综合管理岗4 综合管理岗4 综合管理岗4 14230202010005050 14230202010005050 14230202010005050 14230202010005050 14230202010005050 14230202010005050 14230202010005051 14230202010005051 14230202010005051 14230202010005051 14230202010005051 14230202010005051 14230202010005051 14230202010005051 14230202010005051 14230202010005051 14230202010005051 14230202010005051 14230202010005052 14230202010005052 14230202010005052 14230202010005052 14230202010005052 14230202010005052 14230202010005052 14230202010005052 14230202010005052 14230202010005052 14230202010005052 14230202010005052 14230202010005053 14230202010005053 14230202010005053 14230202010005053 14230202010005053 14230202010005053 14230202010005053 14230202010005053 14230202010005053 14230202010005053 14230202010005053 14230202010005053 4 4 4 4 4 4 4 4 4 4 4 4 4 4 4 4 4 4 4 4 4 4 4 4 4 4 4 4 4 4 4 4 4 4 4 4 4 4 4 4 4 4 陈梓衿 蒋岩 熊雅文 蒋立洋 李锐 曾令宇 吴嘉楠 梁娇 余志扬 徐炎 李好 乔双超 曾攀 皮业成 曾壮 叶雨峰 刘梦婷 廖谦 周吴贺澳 瞿东京 王含秋 杨纯羽 欧阳俊杰 张心艺 冯家宝 姚行 徐硕 邓自冠 杜成路 肖汉捧 杨梦杰 王汝婕 廖镇宇 李露露 李志浩 王宜诚 杨利萍 肖世杰 徐君健 徐杨世杰 程楚奇 周雨甜 女 男 女 女 男 男 女 女 男 男 男 男 男 男 男 男 女 女 女 男 男 女 男 女 男 男 女 男 男 男 女 女 男 女 男 男 女 男 男 男 男 女 142241403409 142240600207 142240402113 142240104626 142241101416 142241003521 142240212311 142241104222 142241102913 142240208109 142240211919 142241200527 142240300820 142241203211 142241003225 142241102812 142240105130 142240403002 142241203024 142240207404 142241204517 142240105529 142240101202 142241203603 142240208110 142240403202 142241103612 142240102215 142240402426 142240102424 142240212303 142241100429 142241303006 142241203018 142240209301 142241200807 142240105218 142241102025 142240400928 142241405329 142241402723 142241204007 56 54.4 59.2 60.8 57.6 60 63.2 64 65.6 65.6 59.2 60 60 58.4 53.6 49.6 52 53.6 64.8 62.4 63.2 60.8 69.6 55.2 66.4 60 59.2 56.8 56 52 63.2 60.8 64.8 55.2 60 58.4 53.6 58.4 56.8 56.8 52 56 60 61.5 55.5 51.5 53.5 50 63.5 58.5 56 54 60 55 53.5 54 55.5 59.5 55 53 62.5 60 59 60.5 49.5 65.5 50.5 54.5 53.5 56 56 58.5 60 62.5 54 65.5 58 58 62 54.5 54.5 52.5 56.5 47 57.8 57.595 57.535 56.615 55.755 55.5 63.335 61.525 61.28 60.38 59.56 57.75 57.075 56.42 54.455 54.055 53.35 53.33 63.765 61.32 61.31 60.665 60.555 59.835 59.245 57.525 56.635 56.44 56 54.925 61.76 61.565 59.94 59.835 59.1 58.22 57.38 56.645 55.765 54.865 54.025 51.95 7 8 9 10 11 12 1 2 3 4 5 6 7 8 9 10 11 12 1 2 3 4 5 6 7 8 9 10 11 12 1 2 3 4 5 6 7 8 9 10 11 12 递补 递补 递补 递补 洪湖市 洪湖市 洪湖市 洪湖市 洪湖市 洪湖市 洪湖市 洪湖市 洪湖市 洪湖市 洪湖市 洪湖市 洪湖市 洪湖市 洪湖市 洪湖市 洪湖市 洪湖市 洪湖市 洪湖市 洪湖市 洪湖市 洪湖市 洪湖市 洪湖市 洪湖市 洪湖市 洪湖市 洪湖市 洪湖市 洪湖市 洪湖市 洪湖市 洪湖市 洪湖市 洪湖市 洪湖市 洪湖市 洪湖市 洪湖市 洪湖市 洪湖市 洪湖市乡镇 洪湖市乡镇 洪湖市乡镇 洪湖市乡镇 洪湖市乡镇 洪湖市乡镇 洪湖市乡镇 洪湖市乡镇 洪湖市乡镇 洪湖市乡镇 洪湖市乡镇 洪湖市乡镇 洪湖市乡镇 洪湖市乡镇 洪湖市乡镇 洪湖市乡镇 洪湖市乡镇 洪湖市乡镇 洪湖市乡镇 洪湖市乡镇 洪湖市乡镇 洪湖市乡镇 洪湖市乡镇 洪湖市乡镇 洪湖市乡镇 洪湖市乡镇 洪湖市乡镇 洪湖市乡镇 洪湖市乡镇 洪湖市乡镇 洪湖市乡镇 洪湖市乡镇 洪湖市乡镇 洪湖市乡镇 洪湖市乡镇 洪湖市乡镇 洪湖市乡镇 洪湖市乡镇 洪湖市乡镇 洪湖市乡镇 洪湖市乡镇 洪湖市乡镇 综合管理岗5 综合管理岗5 综合管理岗5 综合管理岗5 综合管理岗5 综合管理岗5 综合管理岗5 综合管理岗5 综合管理岗5 综合管理岗5 综合管理岗5 综合管理岗5 综合管理岗6 综合管理岗6 综合管理岗6 综合管理岗6 综合管理岗6 综合管理岗6 综合管理岗6 综合管理岗6 综合管理岗6 综合管理岗6 综合管理岗6 综合管理岗6 综合管理岗7 综合管理岗7 综合管理岗7 综合管理岗7 综合管理岗7 综合管理岗7 综合管理岗7 综合管理岗7 综合管理岗7 综合管理岗7 综合管理岗7 综合管理岗7 综合管理岗8 综合管理岗8 综合管理岗8 综合管理岗8 综合管理岗8 综合管理岗8 14230202010005054 14230202010005054 14230202010005054 14230202010005054 14230202010005054 14230202010005054 14230202010005054 14230202010005054 14230202010005054 14230202010005054 14230202010005054 14230202010005054 14230202010005055 14230202010005055 14230202010005055 14230202010005055 14230202010005055 14230202010005055 14230202010005055 14230202010005055 14230202010005055 14230202010005055 14230202010005055 14230202010005055 14230202010005056 14230202010005056 14230202010005056 14230202010005056 14230202010005056 14230202010005056 14230202010005056 14230202010005056 14230202010005056 14230202010005056 14230202010005056 14230202010005056 14230202010005057 14230202010005057 14230202010005057 14230202010005057 14230202010005057 14230202010005057 4 4 4 4 4 4 4 4 4 4 4 4 4 4 4 4 4 4 4 4 4 4 4 4 4 4 4 4 4 4 4 4 4 4 4 4 4 4 4 4 4 4 李相泉 陈冕 黄璞瑜 王晓枫 杨叶 秦浩东 龚子泉 张磊 曾宇 肖依 彭子怡 王雯 任復诚 杨凯文 杜杉 张志豪 汤从衡 杨梦影 隗炎 周宇 柳媛 叶可 杭桐桐 肖晓晗 黄兴 柯鄂鲁 张浓浓 万广 陈醉 杜佳文 王云洁 王露 周子键 张晨 周际耀 王梦雅 陈毅 周振 夏欢畅 陈广 杨帆 胡介愚 男 男 女 男 女 男 男 男 男 女 女 女 男 男 女 男 男 女 男 男 女 男 女 男 男 男 男 男 男 男 女 女 男 男 男 女 男 男 男 男 男 男 142241003505 142241400911 142241203213 142241400906 142241304014 142241200917 142241402217 142240212906 142240207009 142240212616 142240210007 142241200529 142240213129 142241300313 142241000910 142240100303 142240601715 142241100820 142240209011 142241402409 142241201026 142240303921 142241304217 142241100309 142241403316 142241200916 142241101928 142241404913 142241300825 142240301114 142240403114 142241202002 142240303011 142241003011 142241102428 142240100402 142241003926 142240209728 142240602627 142240403108 142240403013 142240104309 71.2 53.6 56.8 60.8 56.8 56 61.6 55.2 48 51.2 50.4 53.6 71.2 66.4 70.4 68 68.8 64.8 64 70.4 64 67.2 60.8 67.2 68 64.8 65.6 61.6 68 61.6 64.8 58.4 62.4 66.4 59.2 64.8 64.8 61.6 58.4 56.8 58.4 58.4 57.5 66.5 61 55 59.5 55 48 53 61 57 55 44 61.5 61.5 56 58.5 56.5 61 60 52 57.5 53 60 52 61.5 58.5 57 61.5 53.5 60.5 56.5 63.5 58.5 53.5 61.5 54.5 62.5 57.5 61 62.5 60.5 60 65.035 59.405 58.69 58.19 58.015 55.55 55.48 54.21 53.85 53.81 52.47 49.28 66.835 64.195 63.92 63.725 63.265 63.09 62.2 62.12 61.075 60.81 60.44 60.36 65.075 61.965 61.73 61.555 61.475 61.105 61.065 60.695 60.645 60.595 60.235 60.165 63.765 59.755 59.57 59.365 59.345 59.12 1 2 3 4 5 6 7 8 9 10 11 12 1 2 3 4 5 6 7 8 9 10 11 12 1 2 3 4 5 6 7 8 9 10 11 12 1 2 3 4 5 6 洪湖市 洪湖市 洪湖市 洪湖市 洪湖市 洪湖市 公安县 公安县 公安县 公安县 公安县 公安县 公安县 公安县 公安县 公安县 公安县 公安县 公安县 公安县 公安县 公安县 公安县 公安县 公安县 公安县 公安县 公安县 公安县 公安县 公安县 公安县 公安县 公安县 公安县 公安县 公安县 公安县 公安县 公安县 公安县 公安县 洪湖市乡镇 洪湖市乡镇 洪湖市乡镇 洪湖市乡镇 洪湖市乡镇 洪湖市乡镇 公安县委办公室 公安县委办公室 公安县委办公室 公安县政府办公室 公安县政府办公室 公安县政府办公室 公安县纪委监委机 关 公安县纪委监委机 关 公安县纪委监委机 关 公安县纪委监委机 关 公安县纪委监委机 关 公安县纪委监委机 关 公安县纪委监委机 关 公安县纪委监委机 关 公安县纪委监委机 关 公安县纪委监委机 关 公安县纪委监委机 关 公安县纪委监委机 关 公安县委组织部 公安县委组织部 公安县委组织部 公安县委政法委 公安县委政法委 公安县委政法委 公安县委巡察办 公安县委巡察办 公安县委巡察办 公安县委老干部局 公安县委老干部局 公安县委老干部局 公安县工商联 公安县工商联 公安县工商联 公安县发改局 公安县发改局 公安县发改局 综合管理岗8 综合管理岗8 综合管理岗8 综合管理岗8 综合管理岗8 综合管理岗8 综合管理岗 综合管理岗 综合管理岗 综合管理岗 综合管理岗 综合管理岗 综合管理岗 综合管理岗 综合管理岗 综合管理岗 综合管理岗 综合管理岗 审查调查岗 审查调查岗 审查调查岗 审查调查岗 审查调查岗 审查调查岗 综合管理岗 综合管理岗 综合管理岗 综合管理岗 综合管理岗 综合管理岗 综合管理岗 综合管理岗 综合管理岗 综合管理岗 综合管理岗 综合管理岗 综合管理岗 综合管理岗 综合管理岗 综合管理岗 综合管理岗 综合管理岗 14230202010005057 14230202010005057 14230202010005057 14230202010005057 14230202010005057 14230202010005057 14230202010006001 14230202010006001 14230202010006001 14230202010006002 14230202010006002 14230202010006002 14230202010006003 14230202010006003 14230202010006003 14230202010006003 14230202010006003 14230202010006003 14230202010006004 14230202010006004 14230202010006004 14230202010006004 14230202010006004 14230202010006004 14230202010006005 14230202010006005 14230202010006005 14230202010006007 14230202010006007 14230202010006007 14230202010006008 14230202010006008 14230202010006008 14230202010006009 14230202010006009 14230202010006009 14230202010006010 14230202010006010 14230202010006010 14230202010006011 14230202010006011 14230202010006011 4 4 4 4 4 4 1 1 1 1 1 1 2 2 2 2 2 2 2 2 2 2 2 2 1 1 1 1 1 1 1 1 1 1 1 1 1 1 1 2 2 2 万税 胡子怡 何子豪 杨宝平 张淇勋 杜萧 张思思 汪志奇 张晶晶 邹婧 史梓君 李红玉 谢昌文 肖茹 郑芳 吴安慧 彭博 李丹 张紫薇 黄竹青 范世明 贺炫皓 高衍明 孟晴 刘陈杰 王萌梓 彭文静 彭秋芸 刘林 张连纯 周雪睿 熊高雨 许洪平 王雪文 田文豪 易长思 唐瀚 邓阳杰 罗承锐 吴欣桐 黄曼迪 黄建华 男 女 男 男 男 男 女 男 女 女 女 女 女 女 女 女 男 女 女 女 男 男 男 女 男 男 女 女 女 女 女 女 男 女 男 男 男 女 男 女 女 男 142241302428 142240302611 142240210308 142240302115 142241000929 142240403106 142241403527 142240603528 142241004220 142240104330 142240403501 142240402202 142240102904 142241104205 142240303023 142241405602 142241405506 142240601305 142241300304 142241301114 142240208726 142240602002 142241100518 142240300612 142240302825 142240209317 142241405816 142241103208 142240303119 142240302418 142241304021 142241404528 142240212922 142241302320 142240402622 142241301303 142241302222 142241304114 142241404002 142240303722 142241300123 142240106123 64 55.2 60.8 59.2 50.4 48 67.2 56.8 56 62.4 58.4 53.6 66.4 71.2 66.4 59.2 64.8 58.4 62.4 60 68.8 66.4 62.4 61.6 64 64 64.8 69.6 54.4 60 64 60.8 59.2 66.4 64.8 65.6 75.2 68.8 68.8 68 65.6 63.2 47 57.5 50 51.5 60.5 56 56.5 57.5 54.5 59.5 57 53 62 54 59 66.5 57 57 63.5 65 52 53 56.5 56.5 57.5 56.5 52.5 60.5 58 49 62.5 60 61.5 65 63 60.5 55 62 61 59 61.5 64 56.35 56.235 55.94 55.735 54.945 51.6 62.385 57.115 55.325 61.095 57.77 53.33 64.42 63.46 63.07 62.485 61.29 57.77 62.895 62.25 61.24 60.37 59.745 59.305 61.075 60.625 59.265 65.505 56.02 55.05 63.325 60.44 60.235 65.77 63.99 63.305 66.11 65.74 65.29 63.95 63.755 63.56 7 8 9 10 11 12 1 2 3 1 2 3 1 2 3 4 5 6 1 2 3 4 5 6 1 2 3 1 2 3 1 2 3 1 2 3 1 2 3 1 2 3 递补 递补 公安县 公安县 公安县 公安县 公安县 公安县 公安县 公安县 公安县 公安县 公安县 公安县 公安县 公安县 公安县 公安县 公安县 公安县 公安县 公安县 公安县 公安县 公安县 公安县 公安县 公安县 公安县 公安县 公安县 公安县 公安县 公安县 公安县 公安县 公安县 公安县 公安县 公安县 公安县 公安县 公安县 公安县 公安县发改局 公安县发改局 公安县发改局 公安县教育局 公安县教育局 公安县教育局 公安县科技和经信 局 公安县科技和经信 局 公安县科技和经信 局 公安县委统战部 公安县委统战部 公安县委统战部 公安县城管局 公安县城管局 公安县城管局 公安县城管局 公安县城管局 公安县城管局 公安县卫健局 公安县卫健局 公安县卫健局 公安县应急局 公安县应急局 公安县应急局 公安县审计局 公安县审计局 公安县审计局 公安县审计局 公安县审计局 公安县审计局 公安县统计局 公安县统计局 公安县统计局 公安县公安局 公安县公安局 公安县公安局 公安县公安局 公安县公安局 公安县公安局 公安县公安局 公安县公安局 公安县公安局 综合管理岗 综合管理岗 综合管理岗 综合管理岗 综合管理岗 综合管理岗 综合管理岗 综合管理岗 综合管理岗 综合管理岗 综合管理岗 综合管理岗 综合管理岗 综合管理岗 综合管理岗 综合管理岗 综合管理岗 综合管理岗 综合管理岗 综合管理岗 综合管理岗 综合管理岗 综合管理岗 综合管理岗 审计业务岗 审计业务岗 审计业务岗 审计业务岗 审计业务岗 审计业务岗 综合管理岗 综合管理岗 综合管理岗 执法勤务岗1 执法勤务岗1 执法勤务岗1 执法勤务岗1 执法勤务岗1 执法勤务岗1 执法勤务岗1 执法勤务岗1 执法勤务岗1 14230202010006011 14230202010006011 14230202010006011 14230202010006012 14230202010006012 14230202010006012 14230202010006013 14230202010006013 14230202010006013 14230202010006014 14230202010006014 14230202010006014 14230202010006015 14230202010006015 14230202010006015 14230202010006015 14230202010006015 14230202010006015 14230202010006016 14230202010006016 14230202010006016 14230202010006017 14230202010006017 14230202010006017 14230202010006018 14230202010006018 14230202010006018 14230202010006018 14230202010006018 14230202010006018 14230202010006019 14230202010006019 14230202010006019 14230202010006020 14230202010006020 14230202010006020 14230202010006020 14230202010006020 14230202010006020 14230202010006020 14230202010006020 14230202010006020 2 2 2 1 1 1 1 1 1 1 1 1 2 2 2 2 2 2 1 1 1 1 1 1 2 2 2 2 2 2 1 1 1 3 3 3 3 3 3 3 3 3 马小宇 王业伟 许堯 敖琪 王静雅 张联 云馨奴 郭晓枫 周宏伟 李一豪 熊志 胡琳 田震宇 鲍蜜 雷亮 甘海清 欧阳智杰 胡蓉 朱能天 朱艳芬 杨雪 刘威 胡朵 刘景霖 邓植文 余鸿飞 谈子清 张庭 冉亢 付雪阳 邓芝燚 刘宇 刘力源 张劲松 马登登 牟峋铮 李龙璇 刘彪 李彦桦 张壮 周洋 谢昆沅 女 男 男 女 女 女 女 女 男 男 男 女 男 女 男 男 男 女 男 女 女 男 男 男 男 男 女 女 男 男 男 男 男 男 男 男 男 男 男 男 男 男 142240401210 142240102301 142240402820 142241402813 142240603002 142240104721 142240402611 142240211701 142241004113 142241002925 142241403803 142241303729 142240302630 142241202308 142240208025 142241102928 142240300823 142240105412 142241101829 142240104418 142241100614 142241200530 142241101908 142240401815 142241404403 142241004018 142240208509 142241003815 142241303526 142240207102 142241403330 142241405809 142240105917 142240502023 142240501817 142240502717 142240503401 142240503213 142240501612 142240503108 142240501425 142240501424 67.2 66.4 53.6 68.8 67.2 60.8 68 67.2 68 65.6 68.8 68 68.8 61.6 67.2 55.2 60 52.8 69.6 63.2 68.8 58.4 61.6 52 63.2 58.4 52 57.6 54.4 57.6 64 60.8 60.8 72 55.2 57.6 56 56 52.8 47.2 50.4 41.6 56.5 55 70.5 57.5 57.5 57.5 65 62.5 56.5 61.5 52 48.5 61.5 66.5 59 64.5 54.5 62.5 57 64.5 57.5 60 54 62 56.5 51.5 56.5 49.5 53 48 55 56.5 56 56.5 56 60.5 55 52 50 61 57.5 56 69 69 59 66 68 67 60 59 59 62.385 61.27 61.205 63.715 62.835 59.315 66.65 65.085 62.825 63.755 61.24 59.225 65.515 63.805 63.51 59.385 57.525 57.165 63.93 63.785 63.715 59.12 58.18 56.5 60.185 55.295 54.025 53.955 53.77 53.28 59.95 58.865 58.64 66.45 59.58 58.89 58.7 58.4 56.22 55.18 55.11 51.14 4 5 6 1 2 3 1 2 3 1 2 3 1 2 3 4 5 6 1 2 3 1 2 3 1 2 3 4 5 6 1 2 3 1 2 3 4 5 6 7 8 9 递补 递补 公安县 公安县 公安县 公安县 公安县 公安县 公安县 公安县 公安县 公安县 公安县 公安县 公安县 公安县 公安县 公安县 公安县 公安县 公安县 公安县 公安县 公安县 公安县 公安县 公安县 公安县 公安县 公安县 公安县 公安县 公安县 公安县 公安县 公安县 公安县 公安县 公安县 公安县 公安县 公安县 公安县 公安县 公安县公安局 公安县公安局 公安县公安局 公安县公安局 公安县公安局 公安县公安局 公安县公安局 公安县公安局 公安县公安局 公安县公安局 公安县公安局 公安县公安局 公安县公安局 公安县公安局 公安县公安局 公安县公安局 公安县公安局 公安县公安局 公安县公安局 公安县公安局 公安县公安局 公安县公安局 公安县公安局 公安县公安局 公安县公安局 公安县公安局 公安县公安局 公安县法院 公安县法院 公安县法院 公安县法院 公安县法院 公安县法院 公安县法院 公安县法院 公安县法院 公安县法院 公安县法院 公安县法院 公安县司法局 公安县司法局 公安县司法局 执法勤务岗2 执法勤务岗2 执法勤务岗2 综合管理岗 综合管理岗 综合管理岗 综合管理岗 综合管理岗 综合管理岗 综合管理岗 综合管理岗 综合管理岗 警务技术岗1 警务技术岗1 警务技术岗1 警务技术岗1 警务技术岗1 警务技术岗1 警务技术岗2 警务技术岗2 警务技术岗2 警务技术岗2 警务技术岗2 警务技术岗2 警务技术岗3 警务技术岗3 警务技术岗3 审判辅助岗1 审判辅助岗1 审判辅助岗1 审判辅助岗2 审判辅助岗2 审判辅助岗2 司法行政岗1 司法行政岗1 司法行政岗1 司法行政岗2 司法行政岗2 司法行政岗2 乡镇司法所 乡镇司法所 乡镇司法所 14230202010006021 14230202010006021 14230202010006021 14230202010006022 14230202010006022 14230202010006022 14230202010006022 14230202010006022 14230202010006022 14230202010006022 14230202010006022 14230202010006022 14230202010006023 14230202010006023 14230202010006023 14230202010006023 14230202010006023 14230202010006023 14230202010006024 14230202010006024 14230202010006024 14230202010006024 14230202010006024 14230202010006024 14230202010006025 14230202010006025 14230202010006025 14230202010006027 14230202010006027 14230202010006027 14230202010006028 14230202010006028 14230202010006028 14230202010006029 14230202010006029 14230202010006029 14230202010006030 14230202010006030 14230202010006030 14230202010006031 14230202010006031 14230202010006031 1 1 1 3 3 3 3 3 3 3 3 3 2 2 2 2 2 2 2 2 2 2 2 2 1 1 1 1 1 1 1 1 1 1 1 1 1 1 1 2 2 2 戴杨军 姚泽楷 刘赢 朱金婷 马杏 刘庆智 欧婷 曾童 黄悦 吴蔚 税鑫桂 王静雅 杨钊 黄培哲 李俊逸 贺凌飞 李文勇 吴孟瀚 曹顺康 王子元 杨俊毅 舒洪兵 杨和伟 向标 孙思逸 单世华 彭博亚 刘洋 孟宇 毛芳芊 谭立蓉 王炜东 马菱潞 郑山山 袁艳霞 杜小牧 曹颖 胡高扬 魏玮 王婧娴 郭方清 余万烽 男 男 男 女 女 女 女 男 女 女 女 女 男 男 男 男 男 男 男 男 男 男 男 男 男 男 男 女 女 女 女 男 女 男 女 女 女 男 女 女 男 男 142240501627 142240501228 142240501111 142240500913 142240503130 142240501125 142240501510 142240503828 142240501218 142240502604 142240503402 142240503614 142240502001 142240500929 142240502721 142240501727 142240502027 142240500723 142240504027 142240504120 142240502503 142240502420 142240503812 142240502605 142240502412 142240503106 142240504211 142240105802 142240211002 142241203301 142241100501 142240601506 142241002216 142240401520 142241301507 142241301723 142241401705 142241301906 142241401722 142240209206 142240100314 142241302325 60.8 52 49.6 60.8 55.2 56 56 57.6 54.4 52.8 50.4 57.6 69.6 63.2 64.8 64.8 61.6 60.8 64 57.6 59.2 56.8 58.4 56 62.4 55.2 52.8 57.6 55.2 59.2 67.2 63.2 57.6 54.4 53.6 53.6 74.4 68.8 61.6 67.2 68 68.8 51.5 57 51.5 55.5 55.5 59 51.5 44.5 45.5 51 52 50 60 46 47 53.5 47.5 50 59.5 64.5 59.5 57.5 52.5 52.5 61 50.5 51 57.5 56 50.5 58.5 63 63 57.5 55.5 51.5 60.5 59 67 63 59 56 57 60 54 59 62 52 54 56 59 55 54 41 67 73 66 59 65 63 64 62 63 60 59 62 66 67 69 56.87 55.9 51.49 58.67 57.33 55.7 54.05 53.19 53.11 52.92 51.96 50.34 65.94 60.98 59.82 59.67 58.39 58.22 62.65 60.99 60.43 57.97 56.81 56.75 63.06 57.33 57.12 57.555 55.56 55.285 63.285 63.11 60.03 55.795 54.455 52.655 68.145 64.39 64.03 65.31 63.95 63.04 1 2 3 1 2 3 4 5 6 7 8 9 1 2 3 4 5 6 1 2 3 4 5 6 1 2 3 1 2 3 1 2 3 1 2 3 1 2 3 1 2 3 公安县 公安县 公安县 公安县 公安县 公安县 公安县 公安县 公安县 公安县 公安县 公安县 公安县 公安县 公安县 公安县 公安县 公安县 公安县 公安县 公安县 公安县 公安县 公安县 公安县 公安县 公安县 公安县 公安县 公安县 公安县 公安县 公安县 公安县 公安县 公安县 公安县 公安县 公安县 公安县 公安县 公安县 公安县司法局 公安县司法局 公安县司法局 公安县司法局 公安县司法局 公安县司法局 公安县检察院 公安县检察院 公安县检察院 公安县检察院 公安县检察院 公安县检察院 公安县检察院 公安县检察院 公安县检察院 公安县委党校 公安县委党校 公安县委党校 公安县委党校 公安县委党校 公安县委党校 公安县供销社 公安县供销社 公安县供销社 公安县供销社 公安县供销社 公安县供销社 公安县乡镇机关 公安县乡镇机关 公安县乡镇机关 公安县乡镇机关 公安县乡镇机关 公安县乡镇机关 公安县乡镇机关 公安县乡镇机关 公安县乡镇机关 公安县乡镇机关 公安县乡镇机关 公安县乡镇机关 公安县乡镇机关 公安县乡镇机关 公安县乡镇机关 乡镇司法所 乡镇司法所 乡镇司法所 机关综合岗 机关综合岗 机关综合岗 司法警察岗 司法警察岗 司法警察岗 司法警察岗 司法警察岗 司法警察岗 技术管理岗 技术管理岗 技术管理岗 理论教务岗 理论教务岗 理论教务岗 理论教务岗 理论教务岗 理论教务岗 综合管理岗 综合管理岗 综合管理岗 综合管理岗 综合管理岗 综合管理岗 乡镇综合岗1 乡镇综合岗1 乡镇综合岗1 乡镇综合岗1 乡镇综合岗1 乡镇综合岗1 乡镇综合岗1 乡镇综合岗1 乡镇综合岗1 乡镇综合岗1 乡镇综合岗1 乡镇综合岗1 乡镇综合岗1 乡镇综合岗1 乡镇综合岗1 14230202010006031 14230202010006031 14230202010006031 14230202010006032 14230202010006032 14230202010006032 14230202010006033 14230202010006033 14230202010006033 14230202010006033 14230202010006033 14230202010006033 14230202010006034 14230202010006034 14230202010006034 14230202010006035 14230202010006035 14230202010006035 14230202010006035 14230202010006035 14230202010006035 14230202010006036 14230202010006036 14230202010006036 14230202010006036 14230202010006036 14230202010006036 14230202010006037 14230202010006037 14230202010006037 14230202010006037 14230202010006037 14230202010006037 14230202010006037 14230202010006037 14230202010006037 14230202010006037 14230202010006037 14230202010006037 14230202010006037 14230202010006037 14230202010006037 2 2 2 1 1 1 2 2 2 2 2 2 1 1 1 2 2 2 2 2 2 2 2 2 2 2 2 5 5 5 5 5 5 5 5 5 5 5 5 5 5 5 马建 贺凯翔 毛艺霖 冯晨 马偌玲 陈利 向文韬 陈泽雨 张飞虎 吕平 陈一磊 单邓超 张枫秋 胡思宇 庞博 贺悦 刘阳 彭聪 赵近近 赵沁钰 石炜丰 方鸿兰 袁倩 马丽蓉 周倩莹 龚殿 姚鳗倪 吴倩倩 曾郑宪伟 詹晓燕 梅轩 黄凤林 叶娜 于圣杰 张慧敏 吴家怡 苟樊锦 周慧 邹诗瑶 甘诗意 郭建鑫 王宋远航 男 男 女 女 女 女 男 男 男 男 男 男 男 女 男 女 女 女 女 女 男 女 女 女 女 男 女 女 男 女 男 女 女 女 女 女 女 女 女 男 女 男 142240401128 142240303928 142241102303 142240300229 142240301320 142240103926 142240301716 142241202227 142240301804 142241204527 142241004101 142241405024 142240301616 142240208705 142240211709 142241402316 142241204425 142241404110 142240302204 142240208803 142241403909 142240213130 142241302403 142240403429 142241201324 142240601626 142241403910 142240212718 142240300117 142241405208 142240602801 142241302502 142240602307 142241404805 142240207303 142241001212 142241401429 142241303826 142241202712 142240212205 142240104510 142241102404 68 68 60 72.8 64.8 62.4 71.2 64 65.6 59.2 60.8 53.6 70.4 64.8 64.8 75.2 72 67.2 64.8 64 70.4 64 67.2 62.4 52.8 58.4 56.8 68 69.6 65.6 62.4 65.6 61.6 56.8 62.4 50.4 61.6 55.2 52.8 57.6 56 52 56.5 55 64.5 60 63.5 63.5 64.5 58 53 60 54.5 55.5 67 59.5 57 59.5 60.5 64.5 66 57 48 69 57.5 58.5 61.5 54 55.5 68.5 63.5 66.5 63 56 58 63 54 68 54 60 60 52 53 57 62.825 62.15 62.025 67.04 64.215 62.895 68.185 61.3 59.93 59.56 57.965 54.455 68.87 62.415 61.29 68.135 66.825 65.985 65.34 60.85 60.32 66.25 62.835 60.645 56.715 56.42 56.215 68.225 66.855 66.005 62.67 61.28 59.98 59.59 58.62 58.32 58.18 57.36 56.04 55.08 54.65 54.25 4 5 6 1 2 3 1 2 3 4 5 6 1 2 3 1 2 3 4 5 6 1 2 3 4 5 6 1 2 3 4 5 6 7 8 9 10 11 12 13 14 15 递补 公安县 公安县 公安县 公安县 公安县 公安县 公安县 公安县 公安县 公安县 公安县 公安县 公安县 公安县 公安县 公安县 公安县 公安县 公安县 公安县 公安县 公安县 公安县 公安县 公安县 公安县 公安县 公安县 公安县 公安县 公安县 公安县 公安县 公安县 公安县 公安县 公安县 公安县 公安县 公安县 公安县 公安县 公安县乡镇机关 公安县乡镇机关 公安县乡镇机关 公安县乡镇机关 公安县乡镇机关 公安县乡镇机关 公安县乡镇机关 公安县乡镇机关 公安县乡镇机关 公安县乡镇机关 公安县乡镇机关 公安县乡镇机关 公安县乡镇机关 公安县乡镇机关 公安县乡镇机关 公安县乡镇机关 公安县乡镇机关 公安县乡镇机关 公安县乡镇机关 公安县乡镇机关 公安县乡镇机关 公安县乡镇机关 公安县乡镇机关 公安县乡镇机关 公安县乡镇机关 公安县乡镇机关 公安县乡镇机关 公安县乡镇机关 公安县乡镇机关 公安县乡镇机关 公安县乡镇机关 公安县乡镇机关 公安县乡镇机关 公安县乡镇机关 公安县乡镇机关 公安县乡镇机关 公安县乡镇机关 公安县乡镇机关 公安县乡镇机关 公安县乡镇机关 公安县乡镇机关 公安县乡镇机关 乡镇综合岗2 乡镇综合岗2 乡镇综合岗2 乡镇综合岗2 乡镇综合岗2 乡镇综合岗2 乡镇综合岗2 乡镇综合岗2 乡镇综合岗2 乡镇综合岗2 乡镇综合岗2 乡镇综合岗2 乡镇综合岗2 乡镇综合岗2 乡镇综合岗2 乡镇综合岗3 乡镇综合岗3 乡镇综合岗3 乡镇综合岗3 乡镇综合岗3 乡镇综合岗3 乡镇综合岗3 乡镇综合岗3 乡镇综合岗3 乡镇综合岗3 乡镇综合岗3 乡镇综合岗3 乡镇综合岗3 乡镇综合岗3 乡镇综合岗3 乡镇综合岗4 乡镇综合岗4 乡镇综合岗4 乡镇综合岗4 乡镇综合岗4 乡镇综合岗4 乡镇综合岗4 乡镇综合岗4 乡镇综合岗4 乡镇综合岗4 乡镇综合岗4 乡镇综合岗4 14230202010006038 14230202010006038 14230202010006038 14230202010006038 14230202010006038 14230202010006038 14230202010006038 14230202010006038 14230202010006038 14230202010006038 14230202010006038 14230202010006038 14230202010006038 14230202010006038 14230202010006038 14230202010006039 14230202010006039 14230202010006039 14230202010006039 14230202010006039 14230202010006039 14230202010006039 14230202010006039 14230202010006039 14230202010006039 14230202010006039 14230202010006039 14230202010006039 14230202010006039 14230202010006039 14230202010006040 14230202010006040 14230202010006040 14230202010006040 14230202010006040 14230202010006040 14230202010006040 14230202010006040 14230202010006040 14230202010006040 14230202010006040 14230202010006040 5 5 5 5 5 5 5 5 5 5 5 5 5 5 5 5 5 5 5 5 5 5 5 5 5 5 5 5 5 5 5 5 5 5 5 5 5 5 5 5 5 5 谭旭东 陶阳 刘雅婷 魏士朋 付璐 石文欣 刘良媛 周典 周文涛 赵吕霞 宋莹莹 任高毅 田欣雨 石晓璐 姜剑 肖舒欢 黄秋叶 王光远 姚远 朱怡欣 王维 杨璇 任薪元 黄福临 宋瑞雪 钟建勋 李响 余媛媛 易爽菊 胡欣 刘文豪 周家平 杨晓琴 钱星羽 陈鹏飞 刘丹丹 周琼 邬金新 王梅 胡振乾 徐紫依 毛玲 男 女 女 男 女 女 女 男 男 女 女 男 女 女 男 男 女 男 男 女 女 男 男 男 女 男 男 女 女 女 男 男 女 男 男 女 女 男 女 男 女 女 142240208203 142241402317 142241104321 142240211515 142241003905 142241002309 142241204324 142240209113 142240208715 142240403812 142240102405 142241201309 142240403110 142240211319 142240208917 142241204621 142241301106 142241402010 142240402305 142240603102 142240211102 142240400105 142240403210 142241405909 142240103722 142240402905 142240206801 142240106305 142240403225 142241302518 142240402307 142240102614 142240300912 142240301203 142240401610 142240100104 142240401303 142241203208 142241304312 142240303012 142240104719 142240209813 64.8 62.4 62.4 60 55.2 52.8 54.4 56.8 59.2 55.2 51.2 54.4 51.2 52 47.2 64.8 53.6 59.2 53.6 59.2 55.2 55.2 52 54.4 53.6 52.8 46.4 48 47.2 47.2 72 61.6 57.6 57.6 53.6 51.2 58.4 47.2 48 51.2 51.2 54.4 62 62.5 59.5 61.5 65.5 65.5 61 58 53 56 58.5 54 57.5 55.5 60.5 62 61 53.5 58.5 50.5 54.5 54 56 53 50 50.5 58 54.5 55 54 51 57 55.5 55.5 58.5 60 50.5 62.5 61.5 56.5 55.5 49 63.54 62.445 61.095 60.675 59.835 58.515 57.37 57.34 56.41 55.56 54.485 54.22 54.035 53.575 53.185 63.54 56.93 56.635 55.805 55.285 54.885 54.66 53.8 53.77 51.98 51.765 51.62 50.925 50.71 50.26 62.55 59.53 56.655 56.655 55.805 55.16 54.845 54.085 54.075 53.585 53.135 51.97 1 2 3 4 5 6 7 8 9 10 11 12 13 14 15 1 2 3 4 5 6 7 8 9 10 11 12 13 14 15 1 2 3 3 5 6 7 8 9 10 11 12 公安县 公安县 公安县 公安县 公安县 公安县 公安县 公安县 公安县 公安县 公安县 公安县 公安县 公安县 公安县 公安县 公安县 公安县 公安县 公安县 公安县 公安县 公安县 公安县 公安县 公安县 公安县 公安县 公安县 公安县 公安县 公安县 公安县 公安县 公安县 公安县 公安县 公安县 公安县 公安县 公安县 公安县 公安县乡镇机关 公安县乡镇机关 公安县乡镇机关 公安县乡镇机关 公安县乡镇机关 公安县乡镇机关 公安县乡镇机关 公安县乡镇机关 公安县乡镇机关 公安县乡镇机关 公安县乡镇机关 公安县乡镇机关 公安县乡镇机关 公安县乡镇机关 公安县乡镇机关 公安县乡镇机关 公安县乡镇机关 公安县乡镇机关 公安县乡镇机关 公安县乡镇机关 公安县乡镇机关 公安县乡镇机关 公安县乡镇机关 公安县乡镇机关 公安县乡镇机关 公安县乡镇机关 公安县乡镇机关 公安县乡镇机关 公安县乡镇机关 公安县乡镇机关 公安县乡镇机关 公安县乡镇机关 公安县乡镇机关 公安县乡镇机关 公安县乡镇机关 公安县乡镇机关 公安县乡镇机关 公安县乡镇机关 公安县乡镇机关 公安县乡镇机关 公安县乡镇机关 公安县乡镇机关 乡镇综合岗4 乡镇综合岗4 乡镇综合岗4 乡镇综合岗5 乡镇综合岗5 乡镇综合岗5 乡镇综合岗5 乡镇综合岗5 乡镇综合岗5 乡镇综合岗5 乡镇综合岗5 乡镇综合岗5 乡镇综合岗5 乡镇综合岗5 乡镇综合岗5 乡镇综合岗5 乡镇综合岗5 乡镇综合岗5 乡镇综合岗6 乡镇综合岗6 乡镇综合岗6 乡镇综合岗6 乡镇综合岗6 乡镇综合岗6 乡镇综合岗6 乡镇综合岗6 乡镇综合岗6 乡镇综合岗6 乡镇综合岗6 乡镇综合岗6 乡镇综合岗6 乡镇综合岗6 乡镇综合岗6 乡镇综合岗7 乡镇综合岗7 乡镇综合岗7 乡镇综合岗7 乡镇综合岗7 乡镇综合岗7 乡镇综合岗7 乡镇综合岗7 乡镇综合岗7 14230202010006040 14230202010006040 14230202010006040 14230202010006041 14230202010006041 14230202010006041 14230202010006041 14230202010006041 14230202010006041 14230202010006041 14230202010006041 14230202010006041 14230202010006041 14230202010006041 14230202010006041 14230202010006041 14230202010006041 14230202010006041 14230202010006042 14230202010006042 14230202010006042 14230202010006042 14230202010006042 14230202010006042 14230202010006042 14230202010006042 14230202010006042 14230202010006042 14230202010006042 14230202010006042 14230202010006042 14230202010006042 14230202010006042 14230202010006043 14230202010006043 14230202010006043 14230202010006043 14230202010006043 14230202010006043 14230202010006043 14230202010006043 14230202010006043 5 5 5 5 5 5 5 5 5 5 5 5 5 5 5 5 5 5 5 5 5 5 5 5 5 5 5 5 5 5 5 5 5 5 5 5 5 5 5 5 5 5 周煜博 邓志豪 徐旭红 鲁雄 刘祥民 王梅晗 高妍 王宇航 唐蝶 张必阳 付雅轩 牛丽莎 刘诗晗 谢雨欣 李龙真 许芳芳 吴业聪 刘嘉美慧 易呙林 李书萌 陈晨 陈心如 罗美琳 杜童 谢丹 汪明宇 张鸿伟 罗屾 彭熊颖 李小宇 夏云飞 彭启婷 刘坤 曹文强 姜启丛 朱传湛 吕承志 李奥 刘莉琳 王翰文 卢丹 廖高松 男 男 女 男 男 女 女 女 女 男 女 女 女 女 男 女 男 女 女 女 女 女 女 男 女 男 男 女 女 男 男 女 男 男 男 男 男 女 女 男 女 男 142241102304 142241403315 142240303910 142241203413 142241405919 142241404711 142240210017 142241200118 142240600730 142240212329 142241200925 142241405206 142241100605 142241000317 142240206821 142240210929 142240100511 142241302315 142240212025 142240603110 142241003719 142240208501 142240303703 142241303020 142241003412 142241402701 142240302930 142240300903 142240105828 142240304011 142240603617 142240106428 142241202912 142240212719 142240302211 142240100405 142241302624 142241002727 142241401109 142240101822 142240210512 142240603101 52.8 51.2 47.2 62.4 61.6 64 62.4 60 61.6 58.4 59.2 54.4 51.2 49.6 52.8 53.6 56.8 49.6 68.8 55.2 59.2 57.6 58.4 60 60 55.2 48 47.2 55.2 56 48.8 49.6 44 63.2 60.8 62.4 63.2 55.2 54.4 66.4 55.2 59.2 48 48.5 49.5 60 60.5 54 55.5 55.5 52 52.5 51 55 58 58.5 54.5 53.5 49 56.5 60.5 63.5 56 56 55 53 51 54 61.5 62 51.5 49 57.5 56 59 59 61.5 59 56 65.5 66 48.5 61.5 56.5 50.64 49.985 48.235 61.32 61.105 59.5 59.295 57.975 57.28 55.745 55.51 54.67 54.26 53.605 53.565 53.555 53.29 52.705 65.065 58.935 57.76 56.88 56.87 56.85 55.95 54.66 54.075 53.86 53.535 52.85 52.715 52.48 50.75 61.31 61.115 60.87 59.96 59.835 59.62 58.345 58.035 57.985 13 14 15 1 2 3 4 5 6 7 8 9 10 11 12 13 14 15 1 2 3 4 5 6 7 8 9 10 11 12 13 14 15 1 2 3 4 5 6 7 8 9 公安县 公安县 公安县 公安县 公安县 公安县 公安县 公安县 公安县 公安县 公安县 公安县 公安县 公安县 公安县 公安县 公安县 公安县 公安县 公安县 公安县 公安县 公安县 公安县 公安县 公安县 公安县 公安县 公安县 公安县 公安县 公安县 公安县 公安县 公安县 公安县 公安县 公安县 公安县 公安县 公安县 公安县 公安县乡镇机关 公安县乡镇机关 公安县乡镇机关 公安县乡镇机关 公安县乡镇机关 公安县乡镇机关 公安县乡镇机关 公安县乡镇机关 公安县乡镇机关 公安县乡镇机关 公安县乡镇机关 公安县乡镇机关 公安县乡镇机关 公安县乡镇机关 公安县乡镇机关 公安县乡镇机关 公安县乡镇机关 公安县乡镇机关 公安县乡镇机关 公安县乡镇机关 公安县乡镇机关 公安县乡镇机关 公安县乡镇机关 公安县乡镇机关 公安县乡镇机关 公安县乡镇机关 公安县乡镇机关 公安县乡镇机关 公安县乡镇机关 公安县乡镇机关 公安县乡镇机关 公安县乡镇机关 公安县乡镇机关 公安县乡镇机关 公安县乡镇机关 公安县乡镇机关 公安县乡镇机关 公安县乡镇机关 公安县乡镇机关 公安县乡镇机关 公安县乡镇机关 公安县乡镇机关 乡镇综合岗7 乡镇综合岗7 乡镇综合岗7 乡镇综合岗7 乡镇综合岗7 乡镇综合岗7 乡镇综合岗8 乡镇综合岗8 乡镇综合岗8 乡镇综合岗8 乡镇综合岗8 乡镇综合岗8 乡镇综合岗8 乡镇综合岗8 乡镇综合岗8 乡镇综合岗8 乡镇综合岗8 乡镇综合岗8 乡镇综合岗8 乡镇综合岗8 乡镇综合岗8 乡镇综合岗9 乡镇综合岗9 乡镇综合岗9 乡镇综合岗9 乡镇综合岗9 乡镇综合岗9 乡镇综合岗9 乡镇综合岗9 乡镇综合岗9 乡镇综合岗9 乡镇综合岗9 乡镇综合岗9 乡镇综合岗9 乡镇综合岗9 乡镇综合岗9 乡镇综合岗9 乡镇综合岗 10 乡镇综合岗 10 乡镇综合岗 10 乡镇综合岗 10 乡镇综合岗 10 14230202010006043 14230202010006043 14230202010006043 14230202010006043 14230202010006043 14230202010006043 14230202010006044 14230202010006044 14230202010006044 14230202010006044 14230202010006044 14230202010006044 14230202010006044 14230202010006044 14230202010006044 14230202010006044 14230202010006044 14230202010006044 14230202010006044 14230202010006044 14230202010006044 14230202010006045 14230202010006045 14230202010006045 14230202010006045 14230202010006045 14230202010006045 14230202010006045 14230202010006045 14230202010006045 14230202010006045 14230202010006045 14230202010006045 14230202010006045 14230202010006045 14230202010006045 14230202010006045 14230202010006046 14230202010006046 14230202010006046 14230202010006046 14230202010006046 5 5 5 5 5 5 5 5 5 5 5 5 5 5 5 5 5 5 5 5 5 5 5 5 5 5 5 5 5 5 5 5 5 5 5 5 5 5 5 5 5 5 谭格格 龚玲 段文杰 罗景宇 王军烨 沈可心 万晶凌 陈颖 桂必洋 许昌玉 郑小玉 付陈玮 廖展家 高磊 祝雯荷 王双 段绪 陈德茂 王子瑜 戴湘君 乾维鑫 王欣 毛宜慧 陈冰清 胡沈杰 黄恩灏 唐嘉蔚 杨泰 蒋鹏 张立汉 袁海涛 邓炼 赵焱 刘丹 肖贻梁 刘开开 秦昌昕 汪志妍 邬健 许子毅 弋为 沙士杨 女 女 男 男 男 女 女 女 男 女 女 女 男 男 女 女 男 男 男 女 男 女 女 女 男 男 男 男 男 男 男 男 女 女 男 女 男 女 男 男 男 男 142240210018 142241003630 142240211623 142241004314 142241004301 142240210815 142241102012 142240303113 142240303820 142240303423 142240209930 142241300105 142241000120 142240101415 142240206828 142240212021 142240207219 142241004027 142241402110 142240101322 142241002612 142240300303 142240209325 142241403019 142241000518 142240402015 142240101223 142240403518 142240212521 142240103716 142241403112 142240104002 142240402416 142241002012 142240104404 142241203330 142241403207 142240601124 142240208126 142240103421 142240103822 142241202407 55.2 56 64 56 58.4 52.8 65.6 60.8 59.2 52.8 52 52.8 60.8 52.8 55.2 56 52.8 52.8 54.4 52 50.4 62.4 64 64.8 56 56.8 57.6 56.8 57.6 56.8 53.6 56.8 57.6 53.6 52 55.2 55.2 69.6 65.6 61.6 59.2 59.2 60.5 59.5 49.5 58.5 52.5 58.5 55.5 58.5 57 63.5 61 59.5 49 58.5 55.5 54.5 58 55.5 53.5 54 55 62.5 56.5 55 65 62.5 60 60.5 58.5 58.5 62 57 56 59 60.5 56.5 56.5 64 60.5 63 59.5 58.5 57.585 57.575 57.475 57.125 55.745 55.365 61.055 59.765 58.21 57.615 56.05 55.815 55.49 55.365 55.335 55.325 55.14 54.015 53.995 52.9 52.47 62.445 60.625 60.39 60.05 59.365 58.68 58.465 58.005 57.565 57.38 56.89 56.88 56.03 55.825 55.785 55.785 67.08 63.305 62.23 59.335 58.885 10 11 12 13 14 15 1 2 3 4 5 6 7 8 9 10 11 12 13 14 15 1 2 3 4 5 6 7 8 9 10 11 12 13 14 15 15 1 2 3 4 5 递补 递补 递补 公安县 公安县 公安县 公安县 公安县 公安县 公安县 公安县 公安县 公安县 公安县 公安县 公安县 公安县 公安县 公安县 公安县 公安县 公安县 公安县 公安县 公安县 公安县 公安县 公安县 公安县 公安县 公安县 公安县 公安县 公安县 公安县 公安县 公安县 公安县 公安县 公安县 公安县 公安县 公安县 公安县 公安县 公安县乡镇机关 公安县乡镇机关 公安县乡镇机关 公安县乡镇机关 公安县乡镇机关 公安县乡镇机关 公安县乡镇机关 公安县乡镇机关 公安县乡镇机关 公安县乡镇机关 公安县乡镇机关 公安县乡镇机关 公安县乡镇机关 公安县乡镇机关 公安县乡镇机关 公安县乡镇机关 公安县乡镇机关 公安县乡镇机关 公安县乡镇机关 公安县乡镇机关 公安县乡镇机关 公安县乡镇机关 公安县乡镇机关 公安县乡镇机关 公安县乡镇机关 公安县乡镇机关 公安县乡镇机关 公安县乡镇机关 公安县乡镇机关 公安县乡镇机关 公安县乡镇机关 公安县乡镇机关 公安县乡镇机关 公安县乡镇机关 公安县乡镇机关 公安县乡镇机关 公安县乡镇机关 公安县乡镇机关 公安县乡镇机关 公安县乡镇机关 公安县乡镇机关 公安县乡镇机关 乡镇综合岗 10 乡镇综合岗 10 乡镇综合岗 10 乡镇综合岗 10 乡镇综合岗 10 乡镇综合岗 10 乡镇综合岗 10 乡镇综合岗 10 乡镇综合岗 10 乡镇综合岗 10 乡镇综合岗 11 乡镇综合岗 11 乡镇综合岗 11 乡镇综合岗 11 乡镇综合岗 11 乡镇综合岗 11 乡镇综合岗 11 乡镇综合岗 11 乡镇综合岗 11 乡镇综合岗 11 乡镇综合岗 11 乡镇综合岗 11 乡镇综合岗 11 乡镇综合岗 11 乡镇综合岗 11 乡镇综合岗 12 乡镇综合岗 12 乡镇综合岗 12 乡镇综合岗 12 乡镇综合岗 12 乡镇综合岗 12 乡镇综合岗 12 乡镇综合岗 12 乡镇综合岗 12 乡镇综合岗 12 乡镇综合岗 12 乡镇综合岗 12 乡镇综合岗 12 乡镇综合岗 12 乡镇综合岗 12 乡镇综合岗 13 乡镇综合岗 13 14230202010006046 14230202010006046 14230202010006046 14230202010006046 14230202010006046 14230202010006046 14230202010006046 14230202010006046 14230202010006046 14230202010006046 14230202010006047 14230202010006047 14230202010006047 14230202010006047 14230202010006047 14230202010006047 14230202010006047 14230202010006047 14230202010006047 14230202010006047 14230202010006047 14230202010006047 14230202010006047 14230202010006047 14230202010006047 14230202010006048 14230202010006048 14230202010006048 14230202010006048 14230202010006048 14230202010006048 14230202010006048 14230202010006048 14230202010006048 14230202010006048 14230202010006048 14230202010006048 14230202010006048 14230202010006048 14230202010006048 14230202010006049 14230202010006049 5 5 5 5 5 5 5 5 5 5 5 5 5 5 5 5 5 5 5 5 5 5 5 5 5 5 5 5 5 5 5 5 5 5 5 5 5 5 5 5 5 5 张惠 肖存章 刘越 陈杰 呙金林 韩曾菊 余子胥 潘想 钟媛媛 刘洪龙 魏子正 刚瑞阳 王鹏 陈悦 赖彦成 彭堃 吴成英 魏文多 杜童心 黄茜倩 刘宇坤 罗郑柱 季涵 陈思文 刘禹民 姜东 罗智文 朱谭宜慧 刘森林 兰玉泽 王硕 叶慧 江梦宇 杨正康 朱婵 舒庆田 李洋洋 甘再云 焦金龙 冉杰 黄万君 向怡静 女 男 女 男 女 女 女 男 女 男 男 男 男 男 男 男 女 男 男 女 男 男 女 男 男 男 男 女 男 男 男 女 女 男 女 男 男 男 男 男 男 女 142241203708 142241201124 142240210402 142241000610 142240213126 142240600304 142240601012 142241201621 142241002205 142240208830 142241405821 142240303315 142240603616 142241402923 142241405528 142240100125 142240211221 142241302610 142240212808 142240209719 142241404712 142240300528 142241401709 142240600709 142240102203 142240207305 142240208724 142240212720 142241403210 142240303115 142241000720 142241300727 142241103314 142240106622 142241303102 142241202805 142240212127 142241402522 142240402605 142241400529 142240105721 142241202813 53.6 56.8 50.4 53.6 48 44 45.6 44 45.6 52 69.6 70.4 67.2 69.6 62.4 61.6 60 67.2 60.8 56 59.2 60.8 62.4 64.8 62.4 68.8 66.4 68.8 64.8 66.4 64.8 64.8 68 60.8 66.4 68 60 62.4 61.6 61.6 66.4 66.4 59.5 52.5 57 52.5 54 54.5 52.5 54 52 43.5 66.5 57.5 58 55 59.5 60 59 49.5 54.5 59 55 53 51 46 48.5 62 61.5 57 61.5 58.5 59.5 59 54.5 63 53.5 51.5 60.5 57.5 58 58 59 58.5 56.255 54.865 53.37 53.105 50.7 48.725 48.705 48.5 48.48 48.175 68.205 64.595 63.06 63.03 61.095 60.88 59.55 59.235 57.965 57.35 57.31 57.29 57.27 56.34 56.145 65.74 64.195 63.49 63.315 62.845 62.415 62.19 61.925 61.79 60.595 60.575 60.225 60.195 59.98 59.98 63.07 62.845 6 7 8 9 10 11 12 13 14 15 1 2 3 4 5 6 7 8 9 10 11 12 13 14 15 1 2 3 4 5 6 7 8 9 10 11 12 13 14 14 1 2 公安县 公安县 公安县 公安县 公安县 公安县 公安县 公安县 公安县 公安县 公安县 公安县 公安县 公安县 公安县 公安县 公安县 公安县 公安县 公安县 公安县 公安县 公安县 公安县 公安县 公安县 公安县 公安县 公安县 公安县 公安县 公安县 公安县 公安县 公安县 公安县 公安县 公安县 公安县 公安县 公安县 公安县 公安县乡镇机关 公安县乡镇机关 公安县乡镇机关 公安县乡镇机关 公安县乡镇机关 公安县乡镇机关 公安县乡镇机关 公安县乡镇机关 公安县乡镇机关 公安县乡镇机关 公安县乡镇机关 公安县乡镇机关 公安县乡镇机关 公安县乡镇机关 公安县乡镇机关 公安县乡镇机关 公安县乡镇机关 公安县乡镇机关 公安县乡镇机关 公安县乡镇机关 公安县乡镇机关 公安县乡镇机关 公安县乡镇机关 公安县乡镇机关 公安县乡镇机关 公安县乡镇机关 公安县乡镇机关 公安县乡镇机关 公安县乡镇机关 公安县乡镇机关 公安县乡镇机关 公安县乡镇机关 公安县乡镇机关 公安县乡镇机关 公安县乡镇机关 公安县乡镇机关 公安县乡镇机关 公安县乡镇机关 公安县乡镇机关 公安县乡镇机关 公安县乡镇机关 公安县乡镇机关 乡镇综合岗 13 乡镇综合岗 13 乡镇综合岗 13 乡镇综合岗 13 乡镇综合岗 13 乡镇综合岗 13 乡镇综合岗 13 乡镇综合岗 13 乡镇综合岗 13 乡镇综合岗 13 乡镇综合岗 13 乡镇综合岗 13 乡镇综合岗 13 乡镇综合岗 14 乡镇综合岗 14 乡镇综合岗 14 乡镇综合岗 14 乡镇综合岗 14 乡镇综合岗 14 乡镇综合岗 14 乡镇综合岗 14 乡镇综合岗 14 乡镇综合岗 14 乡镇综合岗 14 乡镇综合岗 14 乡镇综合岗 14 乡镇综合岗 14 乡镇综合岗 14 乡镇综合岗 15 乡镇综合岗 15 乡镇综合岗 15 乡镇综合岗 15 乡镇综合岗 15 乡镇综合岗 15 乡镇综合岗 15 乡镇综合岗 15 乡镇综合岗 15 乡镇综合岗 15 乡镇综合岗 15 乡镇综合岗 15 乡镇综合岗 15 乡镇综合岗 15 14230202010006049 14230202010006049 14230202010006049 14230202010006049 14230202010006049 14230202010006049 14230202010006049 14230202010006049 14230202010006049 14230202010006049 14230202010006049 14230202010006049 14230202010006049 14230202010006050 14230202010006050 14230202010006050 14230202010006050 14230202010006050 14230202010006050 14230202010006050 14230202010006050 14230202010006050 14230202010006050 14230202010006050 14230202010006050 14230202010006050 14230202010006050 14230202010006050 14230202010006051 14230202010006051 14230202010006051 14230202010006051 14230202010006051 14230202010006051 14230202010006051 14230202010006051 14230202010006051 14230202010006051 14230202010006051 14230202010006051 14230202010006051 14230202010006051 5 5 5 5 5 5 5 5 5 5 5 5 5 5 5 5 5 5 5 5 5 5 5 5 5 5 5 5 5 5 5 5 5 5 5 5 5 5 5 5 5 5 向靖臣 潘杨 黄鸿敏 王元琨 覃宇龙 明宇 李昊 解勇 李凯 程波 乔浩楠 覃俊淇 刘贵娥 向延龙 王灿 涂宇航 周帅 田敏 胡迪 袁时帅 却正黎 官冰雪 曾俊凯 孙靖 曹阳阳 张磊 张易 姚涵 张玉庭 黄秋霞 雷天雄 张坤 覃天 张胜 林巧 毛勤政 张虎 魏晓健 邹阳堰 李娜 张蝶 邓卫雄 男 男 女 男 男 男 男 男 男 男 男 男 女 男 男 男 男 男 男 男 男 女 男 男 男 男 男 男 男 女 男 男 男 男 女 男 男 女 女 女 女 男 142240400230 142240103920 142240104829 142241004208 142241302822 142241102513 142240100326 142240213122 142241201207 142240401829 142241003816 142241403424 142241102624 142240403719 142241302729 142240303109 142241400722 142241301903 142241104021 142241004107 142240602728 142240206827 142241302212 142240207103 142241102528 142241204524 142241200324 142240601426 142240104126 142241303525 142241402509 142241000211 142241204529 142241001002 142241402901 142241002903 142240100612 142241404202 142241401609 142240103426 142240103728 142240213022 67.2 69.6 60 61.6 63.2 64 66.4 60.8 61.6 58.4 60 55.2 57.6 72.8 68.8 63.2 66.4 62.4 62.4 63.2 61.6 56.8 61.6 64.8 60.8 61.6 64 59.2 68.8 68.8 68 61.6 61.6 60 60.8 71.2 62.4 56.8 57.6 60 59.2 60 56 47.5 59 57 55 53.5 50.5 56 54.5 58 55.5 61 58 59.5 60.5 62 57 60.5 60.5 59.5 61 66.5 60.5 54.5 59 58 54.5 60 63 58.5 58.5 63 63 64.5 63.5 48 58.5 63 62 59 59.5 58 62.16 59.655 59.55 59.53 59.51 59.275 59.245 58.64 58.405 58.22 57.975 57.81 57.78 66.815 65.065 62.66 62.17 61.545 61.545 61.535 61.33 61.165 61.105 60.165 59.99 59.98 59.725 59.56 66.19 64.165 63.725 62.23 62.23 62.025 62.015 60.76 60.645 59.59 59.58 59.55 59.335 59.1 3 4 5 6 7 8 9 10 11 12 13 14 15 1 2 3 4 5 5 7 8 9 10 11 12 13 14 15 1 2 3 4 4 6 7 8 9 10 11 12 13 14 公安县 公安县 公安县 公安县 公安县 公安县 公安县 公安县 公安县 公安县 公安县 公安县 公安县 公安县 公安县 公安县 公安县 公安县 公安县 公安县 公安县 公安县 公安县 公安县 公安县 公安县 公安县 公安县 公安县 公安县 公安县 公安县 公安县 公安县 公安县 公安县 公安县 公安县 公安县 公安县 石首市 石首市 公安县乡镇机关 公安县乡镇机关 公安县乡镇机关 公安县乡镇机关 公安县乡镇机关 公安县乡镇机关 公安县乡镇机关 公安县乡镇机关 公安县乡镇机关 公安县乡镇机关 公安县乡镇机关 公安县乡镇机关 公安县乡镇机关 公安县乡镇机关 公安县乡镇机关 公安县乡镇机关 公安县乡镇机关 公安县乡镇机关 公安县乡镇机关 公安县乡镇机关 公安县乡镇机关 公安县乡镇机关 公安县乡镇机关 公安县乡镇机关 公安县乡镇机关 公安县乡镇机关 公安县乡镇机关 公安县乡镇机关 公安县乡镇机关 公安县乡镇机关 公安县乡镇机关 公安县乡镇机关 公安县乡镇机关 公安县乡镇机关 公安县乡镇机关 公安县乡镇机关 公安县乡镇机关 公安县乡镇机关 公安县乡镇机关 公安县乡镇机关 石首市纪委监委机 关 石首市纪委监委机 关 乡镇综合岗 15 乡镇综合岗 16 乡镇综合岗 16 乡镇综合岗 16 乡镇综合岗 16 乡镇综合岗 16 乡镇综合岗 16 乡镇综合岗 16 乡镇综合岗 16 乡镇综合岗 16 乡镇综合岗 16 乡镇综合岗 16 乡镇综合岗 16 乡镇综合岗 16 乡镇综合岗 16 乡镇综合岗 16 乡镇综合岗 17 乡镇综合岗 17 乡镇综合岗 17 乡镇综合岗 17 乡镇综合岗 17 乡镇综合岗 17 乡镇综合岗 17 乡镇综合岗 17 乡镇综合岗 17 乡镇综合岗 17 乡镇综合岗 17 乡镇综合岗 17 乡镇综合岗 17 乡镇综合岗 17 乡镇综合岗 17 乡镇综合岗 18 乡镇综合岗 18 乡镇综合岗 18 乡镇综合岗 18 乡镇综合岗 18 乡镇综合岗 18 乡镇综合岗 18 乡镇综合岗 18 乡镇综合岗 18 审查调查岗 审查调查岗 14230202010006051 14230202010006052 14230202010006052 14230202010006052 14230202010006052 14230202010006052 14230202010006052 14230202010006052 14230202010006052 14230202010006052 14230202010006052 14230202010006052 14230202010006052 14230202010006052 14230202010006052 14230202010006052 14230202010006053 14230202010006053 14230202010006053 14230202010006053 14230202010006053 14230202010006053 14230202010006053 14230202010006053 14230202010006053 14230202010006053 14230202010006053 14230202010006053 14230202010006053 14230202010006053 14230202010006053 14230202010006054 14230202010006054 14230202010006054 14230202010006054 14230202010006054 14230202010006054 14230202010006054 14230202010006054 14230202010006054 14230202010007001 14230202010007001 5 5 5 5 5 5 5 5 5 5 5 5 5 5 5 5 5 5 5 5 5 5 5 5 5 5 5 5 5 5 5 3 3 3 3 3 3 3 3 3 2 2 王云龙 万龙 齐炳椿 李成军 毛明 成造星 郭文杰 欧阳光 夏令 沈程 周文惠 王谊 杨行 张恒 王翰 杨刘 兰龙 叶立 杨晓艳 陈叶楠 冯芝强 王梦威 王世杰 谭甫明 杨茹青 姚念 朱雄 张行星 罗雨 邓娇 吴磊 杨涛 张健 罗炎 胡长兴 王涵宇 唐闻 刘悦昀 蔡美玲 时阳 王紫韵 吴慧 男 男 男 男 男 男 男 男 男 男 女 男 男 男 男 男 男 男 女 男 男 男 男 男 女 女 男 男 男 女 男 男 男 男 男 男 女 男 女 男 女 女 142241302530 142240301225 142240210522 142240601221 142240401919 142240104219 142240101302 142241303107 142240101919 142240304010 142240209902 142240602121 142241004505 142240211120 142240102223 142240401713 142240402815 142241002701 142241404321 142241204202 142241300423 142241401813 142240603507 142241103502 142241101117 142241302728 142241000815 142240100520 142241403714 142241101428 142240403213 142241202018 142241200919 142240302210 142241400929 142240102429 142240602329 142241400913 142240300703 142241103521 142240105106 142241002030 61.6 71.2 68.8 69.6 68.8 64.8 66.4 59.2 66.4 66.4 57.6 60.8 54.4 60.8 59.2 56 60.8 59.2 59.2 57.6 59.2 59.2 59.2 57.6 63.2 55.2 59.2 59.2 62.4 52.8 54.4 65.6 66.4 59.2 62.4 61.6 58.4 60 56.8 52.8 72.8 70.4 56 60.5 59.5 58 57.5 58.5 56 62.5 50.5 50.5 61 54.5 61.5 53 54.5 57.5 63.5 62 62 62 60 59 59 59 50 59 53.5 53 49 60 58 55.5 54.5 62 55.5 55 57.5 55.5 58 61 63.5 60 59.08 66.385 64.615 64.38 63.715 61.965 61.72 60.685 59.245 59.245 59.13 57.965 57.595 57.29 57.085 56.675 62.015 60.46 60.46 59.58 59.56 59.11 59.11 58.23 57.26 56.91 56.635 56.41 56.37 56.04 56.02 61.055 61.045 60.46 59.295 58.63 57.995 57.975 57.34 56.49 68.615 65.72 15 1 2 3 4 5 6 7 8 8 10 11 12 13 14 15 1 2 2 4 5 6 6 8 9 10 11 12 13 14 15 1 2 3 4 5 6 7 8 9 1 2 递补 递补 石首市 石首市 石首市 石首市 石首市 石首市 石首市 石首市 石首市 石首市 石首市 石首市 石首市 石首市 石首市 石首市 石首市 石首市 石首市 石首市 石首市 石首市 石首市 石首市 石首市 石首市 石首市 石首市 石首市 石首市 石首市 石首市 石首市 石首市 石首市 石首市 石首市 石首市 石首市 石首市 石首市 石首市 石首市纪委监委机 关 石首市纪委监委机 关 石首市纪委监委机 关 石首市纪委监委机 关 石首市纪委监委机 关 石首市纪委监委机 关 石首市纪委监委机 关 石首市纪委监委机 关 石首市纪委监委机 关 石首市纪委监委机 关 石首市纪委监委机 关 石首市纪委监委机 关 石首市纪委监委机 关 石首市委办公室 石首市委办公室 石首市委办公室 石首市委办公室 石首市委办公室 石首市委办公室 石首市委办公室 石首市委办公室 石首市委办公室 石首市委办公室 石首市委办公室 石首市委办公室 石首市委办公室 石首市委办公室 石首市委办公室 石首市委办公室 石首市委办公室 石首市委办公室 石首市政府办公室 石首市政府办公室 石首市政府办公室 石首市政府办公室 石首市政府办公室 石首市政府办公室 石首市政府办公室 石首市政府办公室 石首市政府办公室 石首市发改局 石首市发改局 审查调查岗 审查调查岗 审查调查岗 审查调查岗 监督检查岗 监督检查岗 监督检查岗 监督检查岗 监督检查岗 监督检查岗 监督检查岗 监督检查岗 监督检查岗 综合管理岗1 综合管理岗1 综合管理岗1 综合管理岗1 综合管理岗1 综合管理岗1 综合管理岗1 综合管理岗1 综合管理岗1 综合管理岗2 综合管理岗2 综合管理岗2 综合管理岗2 综合管理岗2 综合管理岗2 综合管理岗2 综合管理岗2 综合管理岗2 综合管理岗1 综合管理岗1 综合管理岗1 综合管理岗2 综合管理岗2 综合管理岗2 综合管理岗2 综合管理岗2 综合管理岗2 综合管理岗1 综合管理岗1 14230202010007001 14230202010007001 14230202010007001 14230202010007001 14230202010007002 14230202010007002 14230202010007002 14230202010007002 14230202010007002 14230202010007002 14230202010007002 14230202010007002 14230202010007002 14230202010007003 14230202010007003 14230202010007003 14230202010007003 14230202010007003 14230202010007003 14230202010007003 14230202010007003 14230202010007003 14230202010007004 14230202010007004 14230202010007004 14230202010007004 14230202010007004 14230202010007004 14230202010007004 14230202010007004 14230202010007004 14230202010007006 14230202010007006 14230202010007006 14230202010007007 14230202010007007 14230202010007007 14230202010007007 14230202010007007 14230202010007007 14230202010007008 14230202010007008 2 2 2 2 3 3 3 3 3 3 3 3 3 3 3 3 3 3 3 3 3 3 3 3 3 3 3 3 3 3 3 1 1 1 2 2 2 2 2 2 2 2 雷雨 邹旋 易玮迪 邓晗 汪家仁 陈欣 古松灵 任辉辉 李文静 曹自豪 姚传琴 刘曾聪 秦晓菡 赵祖龙 周强 程金鹏 赵声曼 毕君 秦巧云 李爽 范雅琪 杜璇 熊伟淇 易湘友 李千 张萌 孙虹雨 陈佳豪 孙雅童 王吉 鲁福安 郑阳菲 李佑胜 韦雪梅 李晗 覃俊杰 李佳欣 李星星 黄芊芊 傅卉文 陈姣 姜玉婷 男 男 女 男 男 女 男 男 女 男 女 男 女 男 男 男 女 男 女 女 女 女 男 女 男 女 女 男 女 女 女 女 男 女 男 男 女 女 女 女 女 女 142241001405 142241403110 142241304030 142241100712 142240603315 142241001804 142241204401 142241300613 142241404127 142241202123 142240106110 142240213020 142240212121 142241404909 142241402426 142241100208 142240104515 142240210716 142241003628 142240208315 142241405211 142240212722 142241203317 142241303129 142241204516 142240207112 142240106230 142241301221 142240403612 142241101820 142241101728 142240402814 142241104129 142240209810 142240301112 142240402102 142240208825 142240602813 142241203105 142241204729 142240208004 142241102118 68.8 61.6 61.6 64 72.8 72.8 69.6 64 67.2 65.6 62.4 56 60.8 71.2 70.4 66.4 68 64.8 69.6 60 64.8 64 73.6 71.2 71.2 67.2 68 70.4 61.6 68 64 64.8 66.4 59.2 72.8 68 72 67.2 60.8 64.8 59.2 65.6 61 59 58 52 61.5 59.5 58 60.5 56.5 56.5 59.5 65 57.5 65 65.5 62 58 61.5 54.5 65 58.5 58.5 58.5 60.5 58.5 58.5 57.5 53.5 63.5 54.5 58.5 60 56.5 60.5 60 64.5 56.5 60 60 52.5 68.5 59 65.29 60.43 59.98 58.6 67.715 66.815 64.38 62.425 62.385 61.505 61.095 60.05 59.315 68.41 68.195 64.42 63.5 63.315 62.805 62.25 61.965 61.525 66.805 66.385 65.485 63.285 63.275 62.795 62.455 61.925 61.525 62.64 61.945 59.785 67.04 66.425 65.025 63.96 60.44 59.265 63.385 62.63 3 4 5 6 1 2 3 4 5 6 7 8 9 1 2 3 4 5 6 7 8 9 1 2 3 4 5 6 7 8 9 1 2 3 1 2 3 4 5 6 1 2 递补 递补 递补 递补 石首市 石首市 石首市 石首市 石首市 石首市 石首市 石首市 石首市 石首市 石首市 石首市 石首市 石首市 石首市 石首市 石首市 石首市 石首市 石首市 石首市 石首市 石首市 石首市 石首市 石首市 石首市 石首市 石首市 石首市 石首市 石首市 石首市 石首市 石首市 石首市 石首市 石首市 石首市 石首市 石首市 石首市 石首市发改局 石首市发改局 石首市发改局 石首市发改局 石首市发改局 石首市发改局 石首市发改局 石首市财政局 石首市财政局 石首市财政局 石首市财政局 石首市财政局 石首市财政局 石首市统计局 石首市统计局 石首市统计局 石首市医保局 石首市医保局 石首市医保局 石首市水利和湖泊 局 石首市水利和湖泊 局 石首市水利和湖泊 局 石首市应急管理局 石首市应急管理局 石首市应急管理局 石首市应急管理局 石首市应急管理局 石首市应急管理局 石首市应急管理局 石首市应急管理局 石首市应急管理局 石首市应急管理局 石首市应急管理局 石首市应急管理局 石首市工商联 石首市工商联 石首市工商联 石首市城管局 石首市城管局 石首市城管局 石首市人社局 石首市人社局 综合管理岗1 综合管理岗1 综合管理岗1 综合管理岗1 综合管理岗2 综合管理岗2 综合管理岗2 财务管理岗 财务管理岗 财务管理岗 综合管理岗 综合管理岗 综合管理岗 统计调查岗 统计调查岗 统计调查岗 财务管理岗 财务管理岗 财务管理岗 综合管理岗 综合管理岗 综合管理岗 综合管理岗1 综合管理岗1 综合管理岗1 综合管理岗2 综合管理岗2 综合管理岗2 业务综合岗 业务综合岗 业务综合岗 业务综合岗 业务综合岗 业务综合岗 综合管理岗 综合管理岗 综合管理岗 综合管理岗 综合管理岗 综合管理岗 综合管理岗 综合管理岗 14230202010007008 14230202010007008 14230202010007008 14230202010007008 14230202010007009 14230202010007009 14230202010007009 14230202010007010 14230202010007010 14230202010007010 14230202010007011 14230202010007011 14230202010007011 14230202010007012 14230202010007012 14230202010007012 14230202010007013 14230202010007013 14230202010007013 14230202010007014 14230202010007014 14230202010007014 14230202010007015 14230202010007015 14230202010007015 14230202010007016 14230202010007016 14230202010007016 14230202010007017 14230202010007017 14230202010007017 14230202010007017 14230202010007017 14230202010007017 14230202010007018 14230202010007018 14230202010007018 14230202010007019 14230202010007019 14230202010007019 14230202010007020 14230202010007020 2 2 2 2 1 1 1 1 1 1 1 1 1 1 1 1 1 1 1 1 1 1 1 1 1 1 1 1 2 2 2 2 2 2 1 1 1 1 1 1 1 1 高梦婷 刘硕 陈仕丽 蒋祖华 周芳 刘清瑶 袁伟 廖嘉皓 廖云菡 张承志 刘锡文 袁昊 彭紫洁 彭勇 周玲 谢怡 苏奥 赵冰倩 赵茹 袁凌云 谭辉雷 顾苏鄂 胡剑 刘伟松 陈青霞 廖星 梁家兴 谭丽 关润晨 王铭 张一帆 张瑶 万若雨 杨雪盈任 李佑龙 陈习霞 徐晴 李如意 孙紫妍 黎盼 陈力 刘宵 女 女 女 男 女 女 男 男 女 男 男 男 女 男 女 女 男 女 女 男 男 男 男 男 女 女 男 女 男 男 男 女 女 女 男 女 女 女 女 女 男 女 142240603511 142240213228 142241100602 142240103429 142240401715 142240403706 142240603615 142240105120 142240303022 142241204018 142241000313 142241003806 142240207326 142241204114 142240105829 142241400815 142240603722 142241003010 142240400815 142241103920 142241001517 142240207809 142240103313 142241401316 142240602408 142241403916 142241300230 142240210906 142241101224 142240102216 142241101915 142240101608 142240101427 142241101019 142241101124 142240600501 142240301609 142240101929 142240600128 142241103428 142241101418 142240212113 63.2 56 61.6 52 69.6 68 62.4 60 54.4 58.4 70.4 61.6 48 69.6 67.2 66.4 59.2 64 63.2 76.8 60.8 60.8 73.6 70.4 56 64.8 64 62.4 62.4 62.4 64.8 48.8 54.4 45.6 61.6 61.6 56 61.6 62.4 55.2 73.6 63.2 60 62.5 52.5 64 59.5 54.5 60 55.5 58.5 50.5 50 54 48 62 63.5 53.5 61.5 54 49 60 58 54.5 55.5 58 54.5 62 57.5 57 61 54.5 48.5 54 46 54.5 61.5 59 59 55 51 54.5 57.5 60.5 61.76 58.925 57.505 57.4 65.055 61.925 61.32 57.975 56.245 54.845 61.22 58.18 48 66.18 65.535 60.595 60.235 59.5 56.81 69.24 59.54 57.965 65.455 64.82 55.325 63.54 61.075 59.97 61.77 58.845 57.465 51.14 50.62 49.605 61.555 60.43 57.35 58.63 57.27 54.885 66.355 61.985 3 4 5 6 1 2 3 1 2 3 1 2 3 1 2 3 1 2 3 1 2 3 1 2 3 1 2 3 1 2 3 4 5 6 1 2 3 1 2 3 1 2 递补 递补 递补 石首市 石首市 石首市 石首市 石首市 石首市 石首市 石首市 石首市 石首市 石首市 石首市 石首市 石首市 石首市 石首市 石首市 石首市 石首市 石首市 石首市 石首市 石首市 石首市 石首市 石首市 石首市 石首市 石首市 石首市 石首市 石首市 石首市 石首市 石首市 石首市 石首市 石首市 石首市 石首市人社局 石首市人社局 石首市人社局 石首市人社局 石首市卫健局 石首市卫健局 石首市卫健局 石首市交通局 石首市交通局 石首市交通局 石首市文旅局 石首市文旅局 石首市文旅局 石首市文旅局 石首市文旅局 石首市文旅局 石首市退役军人事 务局 石首市退役军人事 务局 石首市退役军人事 务局 共青团石首市委员 会 共青团石首市委员 会 共青团石首市委员 会 石首市民政局 石首市民政局 石首市民政局 石首市民政局 石首市民政局 石首市民政局 石首市教育局 石首市教育局 石首市教育局 石首市科经局 石首市科经局 石首市科经局 石首市科经局 石首市科经局 石首市科经局 石首市委党校 石首市委党校 综合管理岗 财务会计岗 财务会计岗 财务会计岗 综合业务岗 综合业务岗 综合业务岗 综合管理岗 综合管理岗 综合管理岗 综合管理岗1 综合管理岗1 综合管理岗1 综合管理岗2 综合管理岗2 综合管理岗2 14230202010007020 14230202010007021 14230202010007021 14230202010007021 14230202010007022 14230202010007022 14230202010007022 14230202010007024 14230202010007024 14230202010007024 14230202010007025 14230202010007025 14230202010007025 14230202010007026 14230202010007026 14230202010007026 1 1 1 1 1 1 1 1 1 1 1 1 1 1 1 1 李青蓝 吴乐文 徐诺 丁芮 伍肖倩 朱瓀萱 刘琬迪 闫国民 邱雨 李传荣 王励为 邱发 刘陈 杨承甲 韩若霞 刘石美 女 男 女 女 女 女 女 男 女 男 女 男 女 男 女 女 142241101316 142241404319 142240600810 142241204127 142241002107 142240100926 142240302629 142240105414 142241303608 142240100603 142240210112 142241304216 142241400422 142241103004 142240103720 142240102124 64.8 65.6 69.6 63.2 61.6 61.6 45.6 69.6 64 63.2 55.2 60.8 58.4 75.2 63.2 62.4 58.5 63.5 55.5 61.5 56.5 53.5 61.5 54 54.5 54.5 67 58 58 56 64.5 63.5 61.965 64.655 63.255 62.435 59.305 57.955 52.755 62.58 59.725 59.285 60.51 59.54 58.22 66.56 63.785 62.895 3 1 2 3 1 2 3 1 2 3 1 2 3 1 2 3 综合管理岗 14230202010007027 1 姚雨晴 女 142240106010 69.6 61.5 65.955 1 综合管理岗 14230202010007027 1 侯敏 女 142240303316 66.4 62.5 64.645 2 综合管理岗 14230202010007027 1 胡梦蝶 女 142240210224 68 60.5 64.625 3 综合管理岗 综合管理岗 综合管理岗 综合管理岗 综合管理岗 综合管理岗 信息技术岗 信息技术岗 信息技术岗 综合管理岗 综合管理岗 综合管理岗 综合管理岗 综合管理岗 综合管理岗 业务综合岗 业务综合岗 业务综合岗 业务综合岗2 业务综合岗2 1 1 1 1 1 1 1 1 1 1 1 1 1 1 1 1 1 1 1 1 刘璐 姚影慧 张弘 向芬 陈美琪 邓雅婷 陈江川 刘宇雄 汪浩泽 李美丽 李可 靳江艳 杨欢 罗朝政 何思雨 胡智钦 叶萍凡 王画 瞿秀平 刘向东 女 女 女 女 女 女 男 男 男 女 女 女 男 男 女 男 女 男 女 男 142241100127 142240301005 142240600520 142241404122 142240209621 142241400921 142240100912 142241202929 142241201319 142240102502 142240206907 142241401902 142240212218 142241100627 142240211810 142241300405 142240401906 142241303929 142241203014 142240208308 64 65.6 65.6 69.6 64 63.2 68 62.4 61.6 63.2 51.2 48.8 63.2 51.2 56.8 65.6 58.4 59.2 64 65.6 62.5 59 58 57.5 63.5 54.5 55.5 56.5 56 55.5 59.5 52 57 62 55 56.5 57 55 63 59 63.325 62.63 62.18 64.155 63.775 59.285 62.375 59.745 59.08 59.735 54.935 50.24 60.41 56.06 55.99 61.505 57.77 57.31 63.55 62.63 1 2 3 1 2 3 1 2 3 1 2 3 1 2 3 1 2 3 1 2 14230202010007028 14230202010007028 14230202010007028 14230202010007029 14230202010007029 14230202010007029 14230202010007030 14230202010007030 14230202010007030 14230202010007031 14230202010007031 14230202010007031 14230202010007032 14230202010007032 14230202010007032 14230202010007033 14230202010007033 14230202010007033 14230202010007035 14230202010007035 石首市 石首市 石首市 石首市 石首市 石首市 石首市 石首市 石首市 石首市 石首市 石首市 石首市 石首市 石首市 石首市 石首市 石首市 石首市 石首市 石首市 石首市 石首市 石首市 石首市 石首市 石首市 石首市 石首市 石首市 石首市 石首市 石首市 石首市 石首市 石首市 石首市 石首市 石首市 石首市 石首市 石首市 石首市委党校 石首市供销社 石首市供销社 石首市供销社 石首市公安局 石首市公安局 石首市公安局 石首市公安局 石首市公安局 石首市公安局 石首市公安局 石首市公安局 石首市公安局 石首市公安局 石首市公安局 石首市公安局 石首市公安局 石首市公安局 石首市公安局 石首市公安局 石首市公安局 石首市公安局 石首市公安局 石首市公安局 石首市公安局 石首市公安局 石首市公安局 石首市公安局 石首市公安局 石首市公安局 石首市公安局 石首市公安局 石首市公安局 石首市公安局 石首市公安局 石首市公安局 石首市公安局 石首市公安局 石首市公安局 石首市公安局 石首市公安局 石首市公安局 业务综合岗2 业务综合岗 业务综合岗 业务综合岗 执法勤务职 位1 执法勤务职 位1 执法勤务职 位1 执法勤务职 位1 执法勤务职 位1 执法勤务职 位1 执法勤务职 位1 执法勤务职 位1 执法勤务职 位1 执法勤务职 位1 执法勤务职 位1 执法勤务职 位1 执法勤务职 位2 执法勤务职 位2 执法勤务职 位2 执法勤务职 位2 执法勤务职 位2 执法勤务职 位2 执法勤务职 位2 执法勤务职 位2 执法勤务职 位2 执法勤务职 位2 执法勤务职 位2 执法勤务职 位2 执法勤务职 位3 执法勤务职 位3 执法勤务职 位3 执法勤务职 位3 执法勤务职 位3 执法勤务职 位3 执法勤务职 位3 执法勤务职 位3 执法勤务职 位3 执法勤务职 位3 执法勤务职 位3 执法勤务职 位3 执法勤务职 位3 执法勤务职 位3 14230202010007035 14230202010007037 14230202010007037 14230202010007037 14230202010007038 14230202010007038 14230202010007038 14230202010007038 14230202010007038 14230202010007038 14230202010007038 14230202010007038 14230202010007038 14230202010007038 14230202010007038 14230202010007038 14230202010007039 14230202010007039 14230202010007039 14230202010007039 14230202010007039 14230202010007039 14230202010007039 14230202010007039 14230202010007039 14230202010007039 14230202010007039 14230202010007039 14230202010007040 14230202010007040 14230202010007040 14230202010007040 14230202010007040 14230202010007040 14230202010007040 14230202010007040 14230202010007040 14230202010007040 14230202010007040 14230202010007040 14230202010007040 14230202010007040 1 1 1 1 4 4 4 4 4 4 4 4 4 4 4 4 4 4 4 4 4 4 4 4 4 4 4 4 5 5 5 5 5 5 5 5 5 5 5 5 5 5 姚晨光 田孝龙 陈文豪 白彬彬 杨永康 方江涛 柳钢 张宇轩 邹浩猛 刘叶涛 丁宇奇 田方浩 尹显 成傲 蔡泓毅 袁锦 彭李 魏源骏 王志成 黄鸿颖 曹杰 樊晓卓 杨松举 周奥 严共溢 何顺顺 饶大文 陈真 刘思源 金政贤 陈清波 秦晋 向荆东 朱雨田 田峻狄 温志凯 梁红鸣 彭泽奕 任必聪 黄汉春 杨晓东 吴超群 男 男 男 女 男 男 男 男 男 男 男 男 男 男 男 男 男 男 男 男 男 男 男 男 男 男 男 男 男 男 男 男 男 男 男 男 男 男 男 男 男 男 142241403229 142240103819 142241003624 142241101803 142240501918 142240502221 142240500709 142240503306 142240502002 142240503321 142240501829 142240504125 142240503204 142240504202 142240502207 142240500925 142240502722 142240503025 142240500821 142240501110 142240502808 142240503021 142240504204 142240502610 142240503917 142240501322 142240501907 142240502706 142240500722 142240502715 142240501030 142240504011 142240501227 142240500718 142240501309 142240502630 142240502425 142240501327 142240504009 142240501518 142240503022 142240502828 65.6 71.2 62.4 56 68 56 56.8 60 58.4 65.6 58.4 52.8 54.4 46.4 53.6 47.2 63.2 61.6 52.8 63.2 56.8 60.8 60 55.2 58.4 51.2 52 54.4 64.8 64.8 60 66.4 67.2 58.4 65.6 63.2 57.6 60.8 59.2 56 60 64 58 60.5 49.5 55 58 61.5 57.5 55.5 58 51 50 51 52 48.5 50 48.5 62 58 60 55 55 50.5 50.5 62 54.5 57 55 52 56.5 57.5 57.5 54.5 54 57.5 55.5 61.5 54.5 53 58 61.5 54.5 50.5 71 70 62 59 58 54 61 66 62 64 49 47 68 71 73 60 67 65 66 60 60 64 64 62 76 74 73 67 63 71 63 60 74 70 65 65 66 63 62.18 66.385 56.595 55.55 65.9 61.85 58.57 58.35 58.16 57.74 56.66 56.22 55.96 52.31 51.14 47.53 64.28 63.34 61.02 59.78 59.32 58.97 58.95 58.68 57.71 56.78 56.5 55.96 65.67 65.37 63.15 63.01 61.98 61.91 61.79 61.73 61.59 61.22 60.58 60.35 60.15 59.65 3 1 2 3 1 2 3 4 5 6 7 8 9 10 11 12 1 2 3 4 5 6 7 8 9 10 11 12 1 2 3 4 5 6 7 8 9 10 11 12 13 14 递补 石首市 石首市 石首市 石首市 石首市 石首市 石首市 石首市 石首市 石首市 石首市 石首市 石首市 石首市 石首市 石首市 石首市 石首市 石首市 石首市 石首市 石首市 石首市 石首市 石首市 石首市 石首市 石首市 石首市 石首市 石首市 石首市 石首市 石首市 石首市 石首市 石首市 石首市 石首市 石首市 石首市 石首市 石首市公安局 石首市公安局 石首市公安局 石首市公安局 石首市公安局 石首市公安局 石首市公安局 石首市公安局 石首市公安局 石首市公安局 石首市公安局 石首市公安局 石首市公安局 石首市公安局 石首市公安局 石首市公安局 石首市司法局 石首市司法局 石首市司法局 石首市司法局 石首市司法局 石首市司法局 石首市司法局 石首市司法局 石首市司法局 石首市司法局 石首市司法局 石首市司法局 石首市司法局 石首市司法局 石首市司法局 石首市司法局 石首市司法局 石首市司法局 石首市司法局 石首市司法局 石首市司法局 石首市人民法院 石首市人民法院 石首市人民法院 石首市人民法院 石首市人民法院 执法勤务职 位3 执法勤务职 位4 执法勤务职 位4 执法勤务职 位4 执法勤务职 位4 执法勤务职 位4 执法勤务职 位4 执法勤务职 位5 执法勤务职 位5 执法勤务职 位5 执法勤务职 位6 执法勤务职 位6 执法勤务职 位6 执法勤务职 位6 执法勤务职 位6 执法勤务职 位6 行政复议岗 行政复议岗 行政复议岗 行政复议岗 行政复议岗 行政复议岗 基层司法岗1 基层司法岗1 基层司法岗1 基层司法岗1 基层司法岗1 基层司法岗1 基层司法岗1 基层司法岗1 基层司法岗1 基层司法岗1 基层司法岗1 基层司法岗1 基层司法岗2 基层司法岗2 基层司法岗2 司法行政岗1 司法行政岗1 司法行政岗1 司法行政岗2 司法行政岗2 14230202010007040 14230202010007041 14230202010007041 14230202010007041 14230202010007041 14230202010007041 14230202010007041 14230202010007042 14230202010007042 14230202010007042 14230202010007043 14230202010007043 14230202010007043 14230202010007043 14230202010007043 14230202010007043 14230202010007044 14230202010007044 14230202010007044 14230202010007044 14230202010007044 14230202010007044 14230202010007045 14230202010007045 14230202010007045 14230202010007045 14230202010007045 14230202010007045 14230202010007045 14230202010007045 14230202010007045 14230202010007045 14230202010007045 14230202010007045 14230202010007046 14230202010007046 14230202010007046 14230202010007047 14230202010007047 14230202010007047 14230202010007048 14230202010007048 5 2 2 2 2 2 2 1 1 1 2 2 2 2 2 2 2 2 2 2 2 2 4 4 4 4 4 4 4 4 4 4 4 4 1 1 1 1 1 1 1 1 刘义朋 周阳 姚佳帆 毛铭 金晓敏 张吕 呙豫达 贺心为 祝力 杨为明 刘娟 万宇 朱林 刘青青 俞秋娴 黄金钗 罗石婕 章格 黄倩 张学豪 龚华 张婉娟 李金雨 卢峰 田澜 李何苗 夏琳 王骏 华克喜 习肖洋 王雅琳 万逸婕 梅才锡 叶浩良 程梦婷 高瞻远 石凤岐 程昊喆 吴丹 严艺 文世风 陈娱丹 男 男 男 男 男 男 男 男 男 男 女 男 男 女 女 女 女 女 女 男 女 女 女 男 女 女 女 男 男 女 女 女 男 男 女 男 女 女 女 男 男 女 142240502430 142240501221 142240503915 142240503713 142240501402 142240503214 142240503524 142240501216 142240503408 142240504215 142240501104 142240501325 142240501511 142240501427 142240502112 142240501010 142241302519 142241202224 142241202319 142240301204 142240104704 142241200320 142241003415 142240401226 142241402130 142240400405 142240208113 142240208424 142240102620 142240403026 142240301827 142241200215 142241301611 142241002006 142241302411 142240210820 142241101926 142240209207 142241202620 142240400528 142240400101 142241403930 56.8 64.8 61.6 56 58.4 62.4 60 62.4 59.2 60 69.6 65.6 70.4 61.6 62.4 52.8 67.2 65.6 64.8 64 60 56 70.4 72.8 64 64.8 65.6 65.6 58.4 54.4 57.6 56.8 59.2 56 68.8 65.6 68.8 64 50.4 52.8 66.4 68.8 51 59.5 57 53.5 56.5 47 51 58.5 54 51.5 57.5 56 56 62.5 61 63 60.5 61.5 53 52.5 56 59.5 61.5 54.5 60 58 57 56 64.5 68 61 61.5 55.5 59 59 59 53 58.5 56.5 49 58.5 54.5 72 69 69 73 62 62 60 68 67 54 72 73 66 69 64 70 59.62 64.47 62.44 60.35 58.91 57.66 57.3 62.91 59.98 55.65 66.69 64.94 64.76 64.09 62.46 61.02 64.185 63.755 59.49 58.825 58.2 57.575 66.395 64.565 62.2 61.74 61.73 61.28 61.145 60.52 59.13 58.915 57.535 57.35 64.39 62.63 61.69 61.525 53.145 51.09 62.845 62.365 15 1 2 3 4 5 6 1 2 3 1 2 3 4 5 6 1 2 3 4 5 6 1 2 3 4 5 6 7 8 9 10 11 12 1 2 3 1 2 3 1 2 递补 石首市 石首市 石首市 石首市 石首市 石首市 石首市 石首市 石首市 石首市 石首市 石首市 石首市 石首市 石首市 石首市 石首市 石首市 石首市 石首市 石首市 石首市 石首市 石首市 石首市 石首市 石首市 石首市 石首市 石首市 石首市 石首市 石首市 石首市 石首市 石首市 石首市 石首市 石首市 石首市 石首市 石首市 石首市人民法院 石首市人民法院 石首市人民法院 石首市人民法院 石首市人民检察院 石首市人民检察院 石首市人民检察院 石首市人民检察院 石首市人民检察院 石首市人民检察院 石首市人民检察院 石首市人民检察院 石首市人民检察院 石首市人民检察院 石首市人民检察院 石首市人民检察院 石首市人民检察院 石首市人民检察院 石首市人民检察院 石首市人民检察院 石首市人民检察院 石首市人民检察院 石首市人民检察院 石首市人民检察院 石首市人民检察院 石首市乡镇机关 石首市乡镇机关 石首市乡镇机关 石首市乡镇机关 石首市乡镇机关 石首市乡镇机关 石首市乡镇机关 石首市乡镇机关 石首市乡镇机关 石首市乡镇机关 石首市乡镇机关 石首市乡镇机关 石首市乡镇机关 石首市乡镇机关 石首市乡镇机关 石首市乡镇机关 石首市乡镇机关 司法行政岗2 财务会计岗 财务会计岗 财务会计岗 司法行政岗 司法行政岗 司法行政岗 司法行政岗 司法行政岗 司法行政岗 司法行政岗 司法行政岗 司法行政岗 司法行政岗 司法行政岗 司法行政岗 文字综合岗 文字综合岗 文字综合岗 文字综合岗 文字综合岗 文字综合岗 检察技术岗 检察技术岗 检察技术岗 乡镇综合岗1 乡镇综合岗1 乡镇综合岗1 乡镇综合岗1 乡镇综合岗1 乡镇综合岗1 乡镇综合岗1 乡镇综合岗1 乡镇综合岗1 乡镇综合岗1 乡镇综合岗1 乡镇综合岗1 乡镇综合岗1 乡镇综合岗1 乡镇综合岗1 乡镇综合岗2 乡镇综合岗2 14230202010007048 14230202010007049 14230202010007049 14230202010007049 14230202010007050 14230202010007050 14230202010007050 14230202010007050 14230202010007050 14230202010007050 14230202010007050 14230202010007050 14230202010007050 14230202010007050 14230202010007050 14230202010007050 14230202010007051 14230202010007051 14230202010007051 14230202010007051 14230202010007051 14230202010007051 14230202010007052 14230202010007052 14230202010007052 14230202010007053 14230202010007053 14230202010007053 14230202010007053 14230202010007053 14230202010007053 14230202010007053 14230202010007053 14230202010007053 14230202010007053 14230202010007053 14230202010007053 14230202010007053 14230202010007053 14230202010007053 14230202010007054 14230202010007054 1 1 1 1 4 4 4 4 4 4 4 4 4 4 4 4 2 2 2 2 2 2 1 1 1 5 5 5 5 5 5 5 5 5 5 5 5 5 5 5 3 3 郭静文 徐晶 肖璐璐 赵康丽 黄启豪 周顺 汪紫轩 胡振 陈思蓉 王鑫权 蔡在红 姚昕君 曾琴 陈郑豪 郭小琴 胡玥晗 吴婷 王梦洁 吴梦雅 赵依意 张康丽 罗春莲 廖芳 关朗 张永刚 尹洁 张苗 杨振宇 任爽 王佳欣 熊万智 刘畅 赵袁 李学才 毛泽见 程辉 孟楠 郑洁 余晏云 周瑶 李国毅 袁鹏钧 女 女 女 女 男 女 女 男 女 男 女 女 女 男 女 女 女 女 女 女 女 女 女 男 男 女 女 男 女 女 男 男 女 男 男 男 女 女 女 女 男 男 142240212613 142241405604 142241100604 142241003015 142240211421 142240104605 142241405015 142241201225 142241101702 142241202112 142241301704 142241003407 142240105222 142240104616 142240100109 142241403204 142241201726 142241203022 142241002002 142240102808 142241002109 142241301929 142241001507 142241003329 142241203010 142240301307 142240300805 142241200419 142240403304 142240101118 142240600514 142241004226 142241101419 142240209626 142241404619 142241301919 142241405018 142241100305 142240101207 142240402526 142241003714 142240403326 63.2 68.8 67.2 60.8 64.8 63.2 64.8 62.4 68 65.6 55.2 57.6 59.2 60.8 56 59.2 65.6 67.2 62.4 60.8 64 60.8 71.2 78.4 60 65.6 64.8 68.8 62.4 56 58.4 64 55.2 59.2 60.8 56 56.8 52.8 56.8 53.6 64.8 63.2 57 58 55.5 61.5 62.5 62.5 56.5 57.5 50 51.5 62.5 58.5 56.5 54 58.5 54.5 62 57 62 61.5 57.5 60 59.5 46.5 59 72 58 50.5 55.5 63 59.5 52.5 60.5 54 51.5 57 56 57.5 51 54 59.5 60.5 60.41 63.94 61.935 61.115 63.765 62.885 61.065 60.195 59.9 59.255 58.485 58.005 57.985 57.74 57.125 57.085 63.98 62.61 62.22 61.115 61.075 60.44 65.935 64.045 59.55 68.48 61.74 60.565 59.295 59.15 58.895 58.825 57.585 56.86 56.615 56.45 56.44 54.915 54.19 53.78 62.415 61.985 3 1 2 3 1 2 3 4 5 6 7 8 9 10 11 12 1 2 3 4 5 6 1 2 3 1 2 3 4 5 6 7 8 9 10 11 12 13 14 15 1 2 石首市 石首市 石首市 石首市 石首市 石首市 石首市 石首市 石首市 石首市 石首市 石首市 石首市 石首市 石首市 石首市 石首市 石首市 石首市 石首市 石首市 石首市 石首市 石首市 石首市 石首市 石首市 石首市 石首市 石首市 石首市 石首市 石首市 石首市 石首市 石首市 石首市 石首市 石首市 石首市 石首市 石首市 石首市乡镇机关 石首市乡镇机关 石首市乡镇机关 石首市乡镇机关 石首市乡镇机关 石首市乡镇机关 石首市乡镇机关 石首市乡镇机关 石首市乡镇机关 石首市乡镇机关 石首市乡镇机关 石首市乡镇机关 石首市乡镇机关 石首市乡镇机关 石首市乡镇机关 石首市乡镇机关 石首市乡镇机关 石首市乡镇机关 石首市乡镇机关 石首市乡镇机关 石首市乡镇机关 石首市乡镇机关 石首市乡镇机关 石首市乡镇机关 石首市乡镇机关 石首市乡镇机关 石首市乡镇机关 石首市乡镇机关 石首市乡镇机关 石首市乡镇机关 石首市乡镇机关 石首市街道机关 石首市街道机关 石首市街道机关 石首市街道机关 石首市街道机关 石首市街道机关 石首市街道机关 石首市街道机关 石首市街道机关 石首市街道机关 石首市街道机关 乡镇综合岗2 乡镇综合岗2 乡镇综合岗2 乡镇综合岗2 乡镇综合岗2 乡镇综合岗2 乡镇综合岗2 乡镇综合岗3 乡镇综合岗3 乡镇综合岗3 乡镇综合岗3 乡镇综合岗3 乡镇综合岗3 乡镇综合岗3 乡镇综合岗3 乡镇综合岗3 乡镇综合岗3 乡镇综合岗3 乡镇综合岗3 乡镇综合岗3 乡镇综合岗3 乡镇综合岗3 乡镇综合岗4 乡镇综合岗4 乡镇综合岗4 乡镇综合岗4 乡镇综合岗4 乡镇综合岗4 乡镇综合岗5 乡镇综合岗5 乡镇综合岗5 街道综合岗1 街道综合岗1 街道综合岗1 街道综合岗1 街道综合岗1 街道综合岗1 街道综合岗1 街道综合岗1 街道综合岗1 街道综合岗1 街道综合岗1 14230202010007054 14230202010007054 14230202010007054 14230202010007054 14230202010007054 14230202010007054 14230202010007054 14230202010007055 14230202010007055 14230202010007055 14230202010007055 14230202010007055 14230202010007055 14230202010007055 14230202010007055 14230202010007055 14230202010007055 14230202010007055 14230202010007055 14230202010007055 14230202010007055 14230202010007055 14230202010007056 14230202010007056 14230202010007056 14230202010007056 14230202010007056 14230202010007056 14230202010007057 14230202010007057 14230202010007057 14230202010007059 14230202010007059 14230202010007059 14230202010007059 14230202010007059 14230202010007059 14230202010007059 14230202010007059 14230202010007059 14230202010007059 14230202010007059 3 3 3 3 3 3 3 5 5 5 5 5 5 5 5 5 5 5 5 5 5 5 2 2 2 2 2 2 1 1 1 5 5 5 5 5 5 5 5 5 5 5 邓吉 李喆 李一舟 邹宗圆 刘红艳 谢仁峻 刘婉宜 李昊伟 张静越 万谦 尹燕 谭政 刘霞飞 李志港 谭蓉 袁柳 魏忠德 程前 黎康 向谭 陈真子 范格格 李俣浩 王易君 冯雪晨 牟爽 贺子悦 张惠 李书旺 白雪文 尹杏子 刘依格 程玥 李灵 刘佩娟 孟庆龄 黄睿 刘艳 刘卓然 张紫芊 邹训池 曹天力 女 男 男 女 女 男 女 男 女 男 女 男 女 男 女 女 男 男 男 男 女 女 男 男 男 男 女 女 男 女 女 女 女 男 女 女 女 女 女 女 女 男 142240402420 142241003908 142241201213 142241101317 142241405612 142240303607 142241400624 142241404624 142240105923 142240101806 142240602330 142240301009 142240102110 142241403107 142241000323 142240103327 142241303002 142240303612 142241400910 142241001122 142241102712 142241101006 142241401427 142241405201 142241002716 142240102506 142241204827 142241303520 142241104201 142240300226 142241103415 142241102222 142241200508 142241201505 142240303120 142240402304 142240100705 142241404512 142241001803 142241400519 142240603229 142241302122 63.2 68.8 56.8 61.6 52 54.4 57.6 68.8 71.2 68.8 65.6 64 60 65.6 60.8 62.4 63.2 63.2 65.6 67.2 63.2 64 63.2 58.4 64.8 61.6 52.8 59.2 68.8 67.2 56 67.2 65.6 62.4 60.8 63.2 56 58.4 60 56 56.8 61.6 59.5 51.5 63 55.5 61.5 58.5 54.5 60 56.5 59 59 60 64 57 60 58 57 56.5 53.5 51.5 56 54.5 58 59.5 50 51.5 60.5 52 53.5 53 60.5 61.5 61 64 65 58 65.5 61.5 59 62 58.5 52 61.535 61.015 59.59 58.855 56.275 56.245 56.205 64.84 64.585 64.39 62.63 62.2 61.8 61.73 60.44 60.42 60.41 60.185 60.155 60.135 59.96 59.725 60.86 58.895 58.14 57.055 56.265 55.96 61.915 60.81 58.025 64.635 63.53 63.12 62.69 60.86 60.275 59.795 59.55 58.7 57.565 57.28 3 4 5 6 7 8 9 1 2 3 4 5 6 7 8 9 10 11 12 13 14 15 1 2 3 4 5 6 1 2 3 1 2 3 4 5 6 7 8 9 10 11 递补 石首市 石首市 石首市 石首市 石首市 石首市 石首市 石首市 石首市 石首市 石首市 石首市 石首市 石首市 石首市 石首市 石首市 石首市 石首市 石首市 石首市 石首市 石首市 石首市 石首市 石首市 松滋市 松滋市 松滋市 松滋市 松滋市 松滋市 松滋市 松滋市 松滋市 松滋市 松滋市 松滋市 松滋市 松滋市 松滋市 松滋市 石首市街道机关 石首市街道机关 石首市街道机关 石首市街道机关 石首市街道机关 石首市街道机关 石首市街道机关 石首市街道机关 石首市街道机关 石首市街道机关 石首市街道机关 石首市街道机关 石首市街道机关 石首市街道机关 石首市街道机关 石首市街道机关 石首市街道机关 石首市街道机关 石首市街道机关 石首市街道机关 石首市街道机关 石首市街道机关 石首市街道机关 石首市街道机关 石首市街道机关 石首市街道机关 松滋市委办公室 松滋市委办公室 松滋市委办公室 松滋市纪委监委机 关 松滋市纪委监委机 关 松滋市纪委监委机 关 松滋市纪委监委机 关 松滋市纪委监委机 关 松滋市纪委监委机 关 松滋市纪委监委机 关 松滋市纪委监委机 关 松滋市纪委监委机 关 松滋市纪委监委机 关 松滋市纪委监委机 关 松滋市纪委监委机 关 松滋市纪委监委机 关 街道综合岗1 街道综合岗1 街道综合岗1 街道综合岗1 街道综合岗2 街道综合岗2 街道综合岗2 街道综合岗2 街道综合岗2 街道综合岗2 街道综合岗3 街道综合岗3 街道综合岗3 街道综合岗3 街道综合岗3 街道综合岗3 街道综合岗3 街道综合岗3 街道综合岗3 街道综合岗3 街道综合岗3 街道综合岗3 街道综合岗3 街道综合岗3 街道综合岗3 街道综合岗3 信息技术岗 信息技术岗 信息技术岗 监督检查岗 监督检查岗 监督检查岗 监督检查岗 监督检查岗 监督检查岗 监督检查岗 监督检查岗 监督检查岗 审计调查岗 审计调查岗 审计调查岗 审计调查岗 14230202010007059 14230202010007059 14230202010007059 14230202010007059 14230202010007060 14230202010007060 14230202010007060 14230202010007060 14230202010007060 14230202010007060 14230202010007061 14230202010007061 14230202010007061 14230202010007061 14230202010007061 14230202010007061 14230202010007061 14230202010007061 14230202010007061 14230202010007061 14230202010007061 14230202010007061 14230202010007061 14230202010007061 14230202010007061 14230202010007061 14230202010008001 14230202010008001 14230202010008001 14230202010008002 14230202010008002 14230202010008002 14230202010008002 14230202010008002 14230202010008002 14230202010008002 14230202010008002 14230202010008002 14230202010008003 14230202010008003 14230202010008003 14230202010008003 5 5 5 5 2 2 2 2 2 2 5 5 5 5 5 5 5 5 5 5 5 5 5 5 5 5 1 1 1 3 3 3 3 3 3 3 3 3 3 3 3 3 刘子昂 王世纪 齐梦婷 黄宁 孙汉容 马华杰 徐培蕾 刘灿 钟云梦 顾林 文成 张婷 袁小芳 洪辉 成李 杨梦婷 田天 郭欣 张柳 李智明 毛妍 王瑾 候娟 朱小强 赖小雪 赵润子 刘念 周鹏 张佳杰 付芳芳 曹祥颖 曾浩兰 汪莹 范振睿 周雨 周浩 黄绮文 李芳 李一诺 宋媛靓 江珊 李莹莹 男 男 女 男 男 女 女 男 男 女 男 女 女 男 男 女 女 女 女 男 女 男 女 男 女 男 女 男 女 女 女 男 女 男 男 男 女 女 男 女 女 女 142240403723 142240602312 142241103515 142241404017 142241402911 142240602823 142240208514 142240302603 142241300814 142241303721 142240602315 142241002913 142240211008 142241202220 142241400327 142241301201 142240303521 142241103503 142240101326 142240602006 142240401012 142240303609 142240602505 142241000930 142240303427 142240105711 142240104130 142241302515 142241002506 142240212022 142240102312 142240302818 142241000706 142240210413 142241101220 142241301404 142240207621 142241403807 142241302025 142241401701 142240207917 142241402324 58.4 56 62.4 61.6 59.2 44.8 51.2 46.4 50.4 47.2 76 68.8 68 68 70.4 61.6 69.6 66.4 66.4 64 69.6 61.6 62.4 65.6 60.8 60.8 69.6 61.6 67.2 61.6 63.2 65.6 58.4 59.2 56.8 68 57.6 57.6 68.8 67.2 65.6 63.2 55 57 49 49.5 58 66 52 55 50 52 55.5 61.5 61.5 61 56 66.5 56.5 60 57.5 59.5 52 60 59 54 59.5 59.5 59 60 51 61.5 59.5 55.5 64 62.5 64.5 49.5 61 59.5 60.5 61.5 60 62.5 56.87 56.45 56.37 56.155 58.66 54.34 51.56 50.27 50.22 49.36 66.775 65.515 65.075 64.85 63.92 63.805 63.705 63.52 62.395 61.975 61.68 60.88 60.87 60.38 60.215 60.215 64.83 60.88 59.91 61.555 61.535 61.055 60.92 60.685 60.265 59.675 59.13 58.455 65.065 64.635 63.08 62.885 12 13 14 15 1 2 3 4 5 6 1 2 3 4 5 6 7 8 9 10 11 12 13 14 15 15 1 2 3 1 2 3 4 5 6 7 8 9 1 2 3 4 递补 递补 递补 递补 松滋市 松滋市 松滋市 松滋市 松滋市 松滋市 松滋市 松滋市 松滋市 松滋市 松滋市 松滋市 松滋市 松滋市 松滋市 松滋市 松滋市 松滋市 松滋市 松滋市 松滋市 松滋市 松滋市 松滋市 松滋市 松滋市 松滋市 松滋市 松滋市 松滋市 松滋市 松滋市 松滋市 松滋市 松滋市 松滋市 松滋市 松滋市 松滋市 松滋市 松滋市 松滋市 松滋市纪委监委机 关 松滋市纪委监委机 关 松滋市纪委监委机 关 松滋市纪委监委机 关 松滋市纪委监委机 关 松滋市委组织部 松滋市委组织部 松滋市委组织部 松滋市委组织部 松滋市委组织部 松滋市委组织部 松滋市委政法委 松滋市委政法委 松滋市委政法委 松滋市委政法委 松滋市委政法委 松滋市委政法委 松滋市委统战部 松滋市委统战部 松滋市委统战部 松滋市政府办公室 松滋市政府办公室 松滋市政府办公室 松滋市政府办公室 松滋市政府办公室 松滋市政府办公室 松滋市政府办公室 松滋市政府办公室 松滋市政府办公室 松滋市法院 松滋市法院 松滋市法院 松滋市法院 松滋市法院 松滋市法院 松滋市检察院 松滋市检察院 松滋市检察院 松滋市人社局 松滋市人社局 松滋市人社局 松滋市人社局 审计调查岗 审计调查岗 审计调查岗 审计调查岗 审计调查岗 组织人事岗 组织人事岗 组织人事岗 组织人事岗 组织人事岗 组织人事岗 综治维稳岗 综治维稳岗 综治维稳岗 综治维稳岗 综治维稳岗 综治维稳岗 文字综合岗 文字综合岗 文字综合岗 文字综合岗 文字综合岗 文字综合岗 文字综合岗 文字综合岗 文字综合岗 综合管理岗 综合管理岗 综合管理岗 司法辅助岗 司法辅助岗 司法辅助岗 司法警察岗 司法警察岗 司法警察岗 司法行政岗 司法行政岗 司法行政岗 综合管理岗 综合管理岗 综合管理岗 财务审计岗 14230202010008003 14230202010008003 14230202010008003 14230202010008003 14230202010008003 14230202010008004 14230202010008004 14230202010008004 14230202010008004 14230202010008004 14230202010008004 14230202010008005 14230202010008005 14230202010008005 14230202010008005 14230202010008005 14230202010008005 14230202010008006 14230202010008006 14230202010008006 14230202010008007 14230202010008007 14230202010008007 14230202010008007 14230202010008007 14230202010008007 14230202010008008 14230202010008008 14230202010008008 14230202010008009 14230202010008009 14230202010008009 14230202010008010 14230202010008010 14230202010008010 14230202010008011 14230202010008011 14230202010008011 14230202010008013 14230202010008013 14230202010008013 14230202010008014 3 3 3 3 3 2 2 2 2 2 2 2 2 2 2 2 2 1 1 1 2 2 2 2 2 2 1 1 1 1 1 1 1 1 1 1 1 1 1 1 1 1 谢萌 青毅 付雨蒙 金姗姗 陈梦莹 张君臣 王榆黎 彭爽 索越 朱见民 罗春菊 袁天棋 向巧云 向兴鑫 郑雪倩 蔡璐 王雨烟 付傲雪 付梦兰 万莉 彭正维 程亚鹏 李子航 冷晓佳 杨淼淼 袁月 朱东麟 杨宇嘉 马姗姗 段伟 蹇永荣 张雅迪 李定坤 梅洪宇 李鑫 沈景杨 黄锦垚 谈小庆 陈奥 毛君豪 刘泽习 杜冲 女 男 女 女 女 女 女 女 男 男 女 女 女 女 女 女 女 女 女 女 男 男 男 女 女 女 男 男 女 女 女 女 男 男 男 男 男 女 女 男 男 男 142241102925 142241401624 142240303008 142241401719 142240601123 142241202718 142241402815 142240206912 142241100809 142241200112 142240600226 142240603503 142240209216 142241302613 142241400511 142240210210 142241304313 142241003608 142241405925 142241003203 142241300428 142240102612 142241404824 142241004125 142241002504 142241401905 142240601713 142241402224 142240600317 142241402906 142240209229 142241103102 142240103627 142241302529 142240401129 142240402621 142240104105 142241104422 142240101812 142240301726 142240207410 142240105404 68 64 65.6 64.8 60 64.8 63.2 65.6 60.8 61.6 56.8 65.6 65.6 60 70.4 68.8 64 60.8 62.4 61.6 72 61.6 62.4 66.4 62.4 54.4 74.4 69.6 61.6 63.2 59.2 48 64.8 57.6 53.6 70.4 67.2 68 63.2 68 61.6 70.4 53 55.5 53 51.5 55.5 63 60 56 58.5 55 60 67.5 64.5 70.5 57 56 61 61.5 59.5 59.5 51.5 61 58 51 55 64 56 55 60.5 61 58 48 53.5 58 48 58.5 62 59.5 64 57.5 51 59.5 61.25 60.175 59.93 58.815 57.975 63.99 61.76 61.28 59.765 58.63 58.24 66.455 65.105 64.725 64.37 63.04 62.65 61.115 61.095 60.655 62.775 61.33 60.42 59.47 59.07 58.72 66.12 63.03 61.105 62.21 58.66 48 59.715 57.78 51.08 65.045 64.86 64.175 63.56 63.275 56.83 65.495 5 6 7 8 9 1 2 3 4 5 6 1 2 3 4 5 6 1 2 3 1 2 3 4 5 6 1 2 3 1 2 3 1 2 3 1 2 3 1 2 3 1 递补 递补 递补 松滋市 松滋市 松滋市 松滋市 松滋市 松滋市 松滋市 松滋市 松滋市 松滋市 松滋市 松滋市 松滋市 松滋市 松滋市 松滋市 松滋市 松滋市 松滋市 松滋市 松滋市 松滋市 松滋市 松滋市 松滋市 松滋市 松滋市 松滋市 松滋市 松滋市 松滋市 松滋市 松滋市 松滋市 松滋市 松滋市 松滋市 松滋市 松滋市 松滋市人社局 松滋市人社局 松滋市科经局 松滋市科经局 松滋市科经局 松滋市科经局 松滋市科经局 松滋市科经局 松滋市科经局 松滋市科经局 松滋市科经局 松滋市城管局 松滋市城管局 松滋市城管局 松滋市城管局 松滋市城管局 松滋市城管局 松滋市城管局 松滋市城管局 松滋市城管局 松滋市退役军人事 务局 松滋市退役军人事 务局 松滋市退役军人事 务局 松滋市文旅局 松滋市文旅局 松滋市文旅局 松滋市文旅局 松滋市文旅局 松滋市文旅局 松滋市发改局 松滋市发改局 松滋市发改局 松滋市发改局 松滋市发改局 松滋市发改局 松滋市发改局 松滋市发改局 松滋市发改局 松滋市发改局 财务审计岗 财务审计岗 综合管理岗1 综合管理岗1 综合管理岗1 综合管理岗2 综合管理岗2 综合管理岗2 综合管理岗2 综合管理岗2 综合管理岗2 综合管理岗1 综合管理岗1 综合管理岗1 综合管理岗2 综合管理岗2 综合管理岗2 财务会计岗 财务会计岗 财务会计岗 14230202010008014 14230202010008014 14230202010008015 14230202010008015 14230202010008015 14230202010008016 14230202010008016 14230202010008016 14230202010008016 14230202010008016 14230202010008016 14230202010008017 14230202010008017 14230202010008017 14230202010008018 14230202010008018 14230202010008018 14230202010008019 14230202010008019 14230202010008019 1 1 1 1 1 2 2 2 2 2 2 1 1 1 1 1 1 1 1 1 张玥 梅刘超 谈笑 易家漪 曾庆丰 肖聪逸 郭雨竹 陈文涛 罗婧姿 谭立秦 左畅 杜金莲 周滨 刘志文 金铭 刘小蝶 邓乐 刘嘉豪 周子鈞 肖可 女 男 女 女 男 男 女 男 女 男 男 女 男 男 男 女 女 男 男 女 142241004511 142240105121 142240602705 142241203017 142241302402 142241204003 142240401514 142241100519 142241202513 142240402708 142241402904 142240302202 142241400918 142240303425 142240210908 142241000814 142241202001 142241004228 142241004319 142240401920 65.6 61.6 57.6 55.2 59.2 68 65.6 63.2 60 58.4 59.2 64 64.8 57.6 65.6 56 46.4 69.6 64.8 58.4 60 61.5 60.5 61.5 56.5 65 59 58.5 59 58.5 55.5 58 53.5 62 54 53 54.5 60 54 57.5 63.08 61.555 58.905 58.035 57.985 66.65 62.63 61.085 59.55 58.445 57.535 61.3 59.715 59.58 60.38 54.65 50.045 65.28 59.94 57.995 2 3 1 2 3 1 2 3 4 5 6 1 2 3 1 2 3 1 2 3 综合管理岗 14230202010008020 1 张哲 女 142240601508 67.2 60 63.96 1 综合管理岗 14230202010008020 1 姚喆 女 142241403622 62.4 64.5 63.345 2 综合管理岗 14230202010008020 1 周向婧 女 142240402720 62.4 55 59.07 3 公共文化岗 公共文化岗 公共文化岗 财务审计岗 财务审计岗 财务审计岗 综合管理岗 综合管理岗 综合管理岗 综合管理岗 综合管理岗 综合管理岗 综合管理岗 综合管理岗 综合管理岗 能源管理岗 1 1 1 1 1 1 3 3 3 3 3 3 3 3 3 1 孙昊婷 宋承文 胡祖辉 张亚 杨慧莲 李梦洁 周婧涵 杜舒颖 张子康 曹思秋 贺兰 李慧敏 李正浩 胡璇 邓安然 张政 女 男 男 女 女 女 女 女 男 男 女 女 男 女 女 男 142241103103 142241400719 142241301826 142241204628 142240601430 142241104022 142240208306 142241001211 142240402511 142240402925 142240402518 142241202104 142240207729 142241204002 142241401414 142240211317 70.4 59.2 54.4 64.8 60 54.4 67.2 64.8 64.8 63.2 64 59.2 58.4 55.2 59.2 76.8 52.5 55 57 58.5 60.5 59 64.5 58.5 56.5 57.5 53.5 57.5 54.5 57 52 65 62.345 57.31 55.57 61.965 60.225 56.47 65.985 61.965 61.065 60.635 59.275 58.435 56.645 56.01 55.96 71.49 1 2 3 1 2 3 1 2 3 4 5 6 7 8 9 1 14230202010008023 14230202010008023 14230202010008023 14230202010008024 14230202010008024 14230202010008024 14230202010008025 14230202010008025 14230202010008025 14230202010008025 14230202010008025 14230202010008025 14230202010008025 14230202010008025 14230202010008025 14230202010008026 递补 松滋市 松滋市 松滋市 松滋市 松滋市 松滋市 松滋市 松滋市 松滋市 松滋市 松滋市 松滋市 松滋市 松滋市 松滋市 松滋市 松滋市 松滋市 松滋市 松滋市 松滋市 松滋市 松滋市 松滋市 松滋市 松滋市 松滋市 松滋市 松滋市 松滋市 松滋市 松滋市 松滋市 松滋市 松滋市 松滋市 松滋市 松滋市 松滋市 松滋市 松滋市 松滋市 松滋市发改局 松滋市发改局 松滋市水利和湖泊 局 松滋市水利和湖泊 局 松滋市水利和湖泊 局 松滋市农业农村局 松滋市农业农村局 松滋市农业农村局 松滋市农业农村局 松滋市农业农村局 松滋市农业农村局 松滋市农业农村局 松滋市农业农村局 松滋市农业农村局 松滋市农业农村局 松滋市农业农村局 松滋市农业农村局 松滋市卫生健康局 松滋市卫生健康局 松滋市卫生健康局 松滋市卫生健康局 松滋市卫生健康局 松滋市卫生健康局 松滋市卫生健康局 松滋市卫生健康局 松滋市卫生健康局 松滋市交通运输局 松滋市交通运输局 松滋市交通运输局 松滋市交通运输局 松滋市交通运输局 松滋市交通运输局 松滋市交通运输局 松滋市交通运输局 松滋市交通运输局 松滋市财政局 松滋市财政局 松滋市财政局 松滋市财政局 松滋市财政局 松滋市财政局 松滋市审计局 能源管理岗 能源管理岗 行政审批岗 行政审批岗 行政审批岗 综合管理岗1 综合管理岗1 综合管理岗1 综合管理岗2 综合管理岗2 综合管理岗2 公共管理岗1 公共管理岗1 公共管理岗1 公共管理岗2 公共管理岗2 公共管理岗2 综合管理岗1 综合管理岗1 综合管理岗1 综合管理岗1 综合管理岗1 综合管理岗1 综合管理岗1 综合管理岗1 综合管理岗1 综合管理岗1 综合管理岗1 综合管理岗1 综合管理岗1 综合管理岗1 综合管理岗1 综合管理岗2 综合管理岗2 综合管理岗2 财务管理岗 财务管理岗 财务管理岗 文字综合岗 文字综合岗 文字综合岗 财务审计岗 14230202010008026 14230202010008026 14230202010008027 14230202010008027 14230202010008027 14230202010008028 14230202010008028 14230202010008028 14230202010008029 14230202010008029 14230202010008029 14230202010008030 14230202010008030 14230202010008030 14230202010008031 14230202010008031 14230202010008031 14230202010008032 14230202010008032 14230202010008032 14230202010008032 14230202010008032 14230202010008032 14230202010008032 14230202010008032 14230202010008032 14230202010008035 14230202010008035 14230202010008035 14230202010008035 14230202010008035 14230202010008035 14230202010008036 14230202010008036 14230202010008036 14230202010008037 14230202010008037 14230202010008037 14230202010008038 14230202010008038 14230202010008038 14230202010008039 1 1 1 1 1 1 1 1 1 1 1 1 1 1 1 1 1 3 3 3 3 3 3 3 3 3 2 2 2 2 2 2 1 1 1 1 1 1 1 1 1 1 刘新 胡镇涛 阮克胜 李林涵 杨新璐 彭雅茹 李泽霖 王欣雨 刘思禹 胡长松 廖昌池 袁曼雨 王思雨 姚奇佳 廖宇奥 庹心阳 裴志方 刘映雪 赵津梁 赵演远 谢天舜 杨艳君 许晓颖 佘雨欣 徐鸿谦 吴伦锋 张旭 别杰龙 陈帅 邓尚朗 卞英杰 陈龙 张维树 曾灿 冉曦茹 刘雁冰 杨敏 肖雅淇 胡杰 姜雨扣 刘冰妮 刘宇成 男 男 男 女 女 女 男 女 女 男 男 女 女 女 男 男 男 女 男 女 男 女 女 女 女 男 男 男 男 男 男 男 男 女 女 女 女 女 女 女 女 男 142240302906 142241401912 142240300904 142240600723 142240300628 142241405430 142241003025 142240207211 142240206701 142240207227 142241404716 142241102504 142240100505 142241103810 142240100713 142240400214 142240601514 142240209323 142240601827 142241200322 142241102022 142240100826 142240209502 142241303216 142240211907 142240402921 142241404530 142240104509 142240211015 142240402514 142240106317 142241300310 142241401128 142240301210 142241000421 142241000719 142241402912 142241301726 142240101116 142241102602 142241401914 142241405105 70.4 76 74.4 70.4 62.4 59.2 61.6 60.8 74.4 65.6 68.8 69.6 60 64 74.4 68.8 64.8 64 65.6 65.6 64.8 63.2 60.8 62.4 56.8 56 68 67.2 64.8 65.6 65.6 59.2 67.2 67.2 64.8 71.2 68 68 70.4 70.4 64 56.8 63.5 55 57 58.5 67.5 56.5 50 50.5 58.5 63 59 56.5 63.5 51 54 49 52 66 61 57 54.5 54 54 52 56.5 56 60 57.5 60 58 54 59 62.5 62 61 61 59 57.5 65 56.5 61.5 55.5 67.295 66.55 66.57 65.045 64.695 57.985 56.38 56.165 67.245 64.43 64.39 63.705 61.575 58.15 65.22 59.89 59.04 64.9 63.53 61.73 60.165 59.06 57.74 57.72 56.665 56 64.4 62.835 62.64 62.18 60.38 59.11 65.085 64.86 63.09 66.61 63.95 63.275 67.97 64.145 62.875 56.215 2 3 1 2 3 1 2 3 1 2 3 1 2 3 1 2 3 1 2 3 4 5 6 7 8 9 1 2 3 4 5 6 1 2 3 1 2 3 1 2 3 1 松滋市 松滋市 松滋市 松滋市 松滋市 松滋市 松滋市 松滋市 松滋市 松滋市 松滋市 松滋市 松滋市 松滋市 松滋市 松滋市 松滋市 松滋市 松滋市 松滋市 松滋市 松滋市 松滋市 松滋市 松滋市 松滋市 松滋市 松滋市 松滋市 松滋市 松滋市 松滋市 松滋市 松滋市 松滋市 松滋市 松滋市 松滋市 松滋市 松滋市 松滋市 松滋市 松滋市审计局 松滋市审计局 松滋市审计局 松滋市审计局 松滋市审计局 松滋市民政局 松滋市民政局 松滋市民政局 松滋市民政局 松滋市民政局 松滋市民政局 松滋市统计局 松滋市统计局 松滋市统计局 松滋市教育局 松滋市教育局 松滋市教育局 松滋市司法局 松滋市司法局 松滋市司法局 松滋市司法局 松滋市司法局 松滋市司法局 松滋市资规局 松滋市资规局 松滋市资规局 松滋市资规局 松滋市资规局 松滋市资规局 松滋市公安局 松滋市公安局 松滋市公安局 松滋市公安局 松滋市公安局 松滋市公安局 松滋市公安局 松滋市公安局 松滋市公安局 松滋市公安局 松滋市公安局 松滋市公安局 松滋市公安局 财务审计岗 财务审计岗 工程审计岗 工程审计岗 工程审计岗 文字管理岗 文字管理岗 文字管理岗 综合管理岗 综合管理岗 综合管理岗 信息技术岗 信息技术岗 信息技术岗 文字综合岗 文字综合岗 文字综合岗 司法业务岗1 司法业务岗1 司法业务岗1 司法行政岗2 司法行政岗2 司法行政岗2 政策法规岗 政策法规岗 政策法规岗 生态修复岗 生态修复岗 生态修复岗 综合管理岗 综合管理岗 综合管理岗 警务技术岗1 警务技术岗1 警务技术岗1 警务技术岗1 警务技术岗1 警务技术岗1 执法勤务岗1 执法勤务岗1 执法勤务岗1 执法勤务岗1 14230202010008039 14230202010008039 14230202010008040 14230202010008040 14230202010008040 14230202010008041 14230202010008041 14230202010008041 14230202010008042 14230202010008042 14230202010008042 14230202010008043 14230202010008043 14230202010008043 14230202010008044 14230202010008044 14230202010008044 14230202010008045 14230202010008045 14230202010008045 14230202010008046 14230202010008046 14230202010008046 14230202010008047 14230202010008047 14230202010008047 14230202010008048 14230202010008048 14230202010008048 14230202010008050 14230202010008050 14230202010008050 14230202010008051 14230202010008051 14230202010008051 14230202010008051 14230202010008051 14230202010008051 14230202010008053 14230202010008053 14230202010008053 14230202010008053 1 1 1 1 1 1 1 1 1 1 1 1 1 1 1 1 1 1 1 1 1 1 1 1 1 1 1 1 1 1 1 1 2 2 2 2 2 2 5 5 5 5 贾雨璐 熊媛媛 王昱力 胡佳慧 宋黄婧 刘梦宇 田晶晶 邹华星 刘礼宝 王覃莉 刘思源 钱恒 万乐 胡秋杨 马虹伊 胡静雯 刘熠 覃金枝 陈思行 祁棋 李慧芳 李山 肖彭魁 毛宇伦 赵灿璨 胡琳敏 张智威 周泓铭 黄成 邹璇 饶明蕾 陈美奇 周轶昭 覃春宇 黄凯 蔡学 熊宇翔 叶向阳 黄成秘 章习斌 牟玉峰 吴洪钊 女 女 男 女 女 女 女 女 男 女 男 男 男 女 女 女 女 女 女 女 女 男 男 女 女 女 男 男 男 女 女 女 男 男 男 男 男 男 男 男 男 男 142241101920 142241400604 142241001427 142241200204 142240400126 142241403203 142240211516 142241103523 142240303420 142240100416 142241403402 142240601222 142240301725 142240301015 142241203401 142240106418 142240104712 142240402515 142240210306 142240602113 142240106121 142241403520 142241001622 142241102611 142240106608 142240301030 142240602725 142240602606 142241304424 142240501015 142240503903 142240502526 142240503816 142240504029 142240501715 142240504117 142240502525 142240504102 142240501418 142240500920 142240503315 142240503309 52 56.8 68 64 62.4 64 56.8 60 64 54.4 62.4 71.2 66.4 58.4 68.8 65.6 64.8 60.8 58.4 48 66.4 63.2 63.2 62.4 53.6 57.6 68.8 64 65.6 61.6 62.4 63.2 67.2 60 49.6 48.8 63.2 59.2 58.4 67.2 51.2 60 60 53.5 57 60 56.5 60.5 59.5 51 72 64 54 60 51.5 60 64 60 55 60 54 51 58 60.5 59.5 63 61 53.5 65 59 57 64 56.5 53.5 57.5 55.5 58 52.5 44.5 40.5 61 53.5 60 53.5 62 66 59 63 68 60 61 48 55 71 66 70 64 55.6 55.315 63.05 62.2 59.745 62.425 58.015 55.95 67.6 58.72 58.62 66.16 59.695 59.12 66.64 63.08 60.39 60.44 56.42 49.35 62.62 61.985 61.535 62.67 56.93 55.755 67.09 61.75 61.73 62.44 61.71 59.03 63.03 61.05 55.24 53.57 53.03 52.33 62.96 62.73 59.48 59.25 2 3 1 2 3 1 2 3 1 2 3 1 2 3 1 2 3 1 2 3 1 2 3 1 2 3 1 2 3 1 2 3 1 2 3 4 5 6 1 2 3 4 递补 递补 松滋市 松滋市 松滋市 松滋市 松滋市 松滋市 松滋市 松滋市 松滋市 松滋市 松滋市 松滋市 松滋市 松滋市 松滋市 松滋市 松滋市 松滋市 松滋市 松滋市 松滋市 松滋市 松滋市 松滋市 松滋市 松滋市 松滋市 松滋市 松滋市 松滋市 松滋市 松滋市 松滋市 松滋市 松滋市 松滋市 松滋市 松滋市 松滋市 松滋市 松滋市 松滋市 松滋市公安局 松滋市公安局 松滋市公安局 松滋市公安局 松滋市公安局 松滋市公安局 松滋市公安局 松滋市公安局 松滋市公安局 松滋市公安局 松滋市公安局 松滋市公安局 松滋市公安局 松滋市公安局 松滋市公安局 松滋市公安局 松滋市公安局 松滋市公安局 松滋市公安局 松滋市公安局 松滋市公安局 松滋市公安局 松滋市公安局 松滋市公安局 松滋市公安局 松滋市公安局 松滋市公安局 松滋市公安局 松滋市公安局 松滋市公安局 松滋市公安局 松滋市公安局 松滋市公安局 松滋市公安局 松滋市公安局 松滋市公安局 松滋市公安局 松滋市公安局 松滋市公安局 松滋市公安局 松滋市公安局 松滋市公安局 执法勤务岗1 执法勤务岗1 执法勤务岗1 执法勤务岗1 执法勤务岗1 执法勤务岗1 执法勤务岗1 执法勤务岗1 执法勤务岗1 执法勤务岗1 执法勤务岗1 执法勤务岗2 执法勤务岗2 执法勤务岗2 执法勤务岗2 执法勤务岗2 执法勤务岗2 执法勤务岗2 执法勤务岗2 执法勤务岗2 执法勤务岗2 执法勤务岗2 执法勤务岗2 执法勤务岗2 执法勤务岗2 执法勤务岗2 执法勤务岗3 执法勤务岗3 执法勤务岗3 执法勤务岗3 执法勤务岗3 执法勤务岗3 执法勤务岗3 执法勤务岗3 执法勤务岗3 执法勤务岗4 执法勤务岗4 执法勤务岗4 执法勤务岗4 执法勤务岗4 执法勤务岗4 执法勤务岗4 14230202010008053 14230202010008053 14230202010008053 14230202010008053 14230202010008053 14230202010008053 14230202010008053 14230202010008053 14230202010008053 14230202010008053 14230202010008053 14230202010008054 14230202010008054 14230202010008054 14230202010008054 14230202010008054 14230202010008054 14230202010008054 14230202010008054 14230202010008054 14230202010008054 14230202010008054 14230202010008054 14230202010008054 14230202010008054 14230202010008054 14230202010008055 14230202010008055 14230202010008055 14230202010008055 14230202010008055 14230202010008055 14230202010008055 14230202010008055 14230202010008055 14230202010008056 14230202010008056 14230202010008056 14230202010008056 14230202010008056 14230202010008056 14230202010008056 5 5 5 5 5 5 5 5 5 5 5 5 5 5 5 5 5 5 5 5 5 5 5 5 5 5 3 3 3 3 3 3 3 3 3 4 4 4 4 4 4 4 刘彦 郭清越 姚鹏 李罡 邓得聪 蔡金鑫 徐磊 张文爽 杨成龙 陈子文 马海藉 龚成 张强威 金治宇 熊崧任 万钦 覃世强 裴琪 万志强 杨文樑 曹冲 苏秦爽 龚寒宇 权瑞 严茂文 刘碧雨 李矗 吕飞龙 张忠毅 向标 郑渊少 雷济东 胡苏纪 曾言 汤卓然 陈紫钦 何勉 张宇 李许洈 黎翰翼 范俊 李忠伟 男 男 男 男 男 男 男 男 男 男 男 男 男 男 男 男 男 男 男 男 男 男 男 男 男 男 男 男 男 男 男 男 男 男 男 男 男 男 男 男 男 男 142240501602 142240502901 142240501319 142240502115 142240502404 142240502407 142240501906 142240501312 142240502615 142240501807 142240501718 142240502214 142240502208 142240501802 142240501405 142240503722 142240503801 142240503218 142240501128 142240503028 142240503212 142240501708 142240501113 142240502513 142240503803 142240501119 142240500721 142240502602 142240500923 142240502223 142240503412 142240502910 142240503711 142240502618 142240503202 142240502017 142240503615 142240501404 142240501310 142240502319 142240501025 142240500914 58.4 64.8 48.8 59.2 48.8 50.4 53.6 50.4 50.4 45.6 44 68.8 64.8 68 65.6 67.2 64 72 61.6 53.6 60.8 57.6 60 55.2 55.2 55.2 64.8 65.6 52 58.4 59.2 59.2 56 59.2 59.2 76 66.4 59.2 57.6 52.8 52.8 49.6 49 39.5 58 55.5 57.5 49 58.5 55.5 48.5 54 60.5 59 58.5 57 58 61 55 51 58 58.5 52.5 59 61 55.5 61 55.5 61 52.5 60 57.5 51 52.5 48.5 45 36.5 63.5 63.5 59 56.5 58 51 60 70 70 72 56 63 69 55 62 67 65 58 79 75 71 72 64 70 62 66 75 70 67 61 71 65 69 75 61 64 54 58 55 63 56 61 74 58 65 60 63 67 62 59.06 58.77 58.52 57.13 55.67 55.56 55.49 55.41 54.81 53.94 53.15 68.92 65.97 65.6 65.24 64.38 63.1 62.7 61.84 61.49 61.07 60.84 60.6 60.03 59.88 59.43 66.72 60.29 58 56.81 56.38 55.93 55.85 53.98 52.93 71.65 63.01 60.88 57.99 57.42 56.52 56.44 5 6 7 8 9 10 11 12 13 14 15 1 2 3 4 5 6 7 8 9 10 11 12 13 14 15 1 2 3 4 5 6 7 8 9 1 2 3 4 5 6 7 递补 递补 递补 递补 递补 松滋市 松滋市 松滋市 松滋市 松滋市 松滋市 松滋市 松滋市 松滋市 松滋市 松滋市 松滋市 松滋市 松滋市 松滋市 松滋市 松滋市 松滋市 松滋市 松滋市 松滋市 松滋市 松滋市 松滋市 松滋市 松滋市 松滋市 松滋市 松滋市 松滋市 松滋市 松滋市 松滋市 松滋市 松滋市 松滋市 松滋市 松滋市 松滋市 松滋市 松滋市 松滋市 松滋市公安局 松滋市公安局 松滋市公安局 松滋市公安局 松滋市公安局 松滋市团委 松滋市团委 松滋市团委 松滋市残联 松滋市残联 松滋市残联 松滋市委党校 松滋市委党校 松滋市委党校 松滋市委党校 松滋市委党校 松滋市委党校 松滋市供销社 松滋市供销社 松滋市供销社 松滋市供销社 松滋市供销社 松滋市供销社 松滋市乡镇机关 松滋市乡镇机关 松滋市乡镇机关 松滋市乡镇机关 松滋市乡镇机关 松滋市乡镇机关 松滋市乡镇机关 松滋市乡镇机关 松滋市乡镇机关 松滋市乡镇机关 松滋市乡镇机关 松滋市乡镇机关 松滋市乡镇机关 松滋市乡镇机关 松滋市乡镇机关 松滋市乡镇机关 松滋市乡镇机关 松滋市乡镇机关 松滋市乡镇机关 执法勤务岗4 执法勤务岗4 执法勤务岗4 执法勤务岗4 执法勤务岗4 综合管理岗 综合管理岗 综合管理岗 综合管理岗 综合管理岗 综合管理岗 综合管理岗 综合管理岗 综合管理岗 教学管理岗 教学管理岗 教学管理岗 经济发展岗 经济发展岗 经济发展岗 财务会计岗 财务会计岗 财务会计岗 乡镇管理岗1 乡镇管理岗1 乡镇管理岗1 乡镇管理岗1 乡镇管理岗1 乡镇管理岗1 乡镇管理岗1 乡镇管理岗1 乡镇管理岗1 乡镇管理岗1 乡镇管理岗1 乡镇管理岗1 乡镇管理岗1 乡镇管理岗1 乡镇管理岗1 乡镇管理岗2 乡镇管理岗2 乡镇管理岗2 乡镇管理岗2 14230202010008056 14230202010008056 14230202010008056 14230202010008056 14230202010008056 14230202010008057 14230202010008057 14230202010008057 14230202010008058 14230202010008058 14230202010008058 14230202010008059 14230202010008059 14230202010008059 14230202010008060 14230202010008060 14230202010008060 14230202010008061 14230202010008061 14230202010008061 14230202010008062 14230202010008062 14230202010008062 14230202010008063 14230202010008063 14230202010008063 14230202010008063 14230202010008063 14230202010008063 14230202010008063 14230202010008063 14230202010008063 14230202010008063 14230202010008063 14230202010008063 14230202010008063 14230202010008063 14230202010008063 14230202010008064 14230202010008064 14230202010008064 14230202010008064 4 4 4 4 4 1 1 1 1 1 1 1 1 1 1 1 1 1 1 1 1 1 1 5 5 5 5 5 5 5 5 5 5 5 5 5 5 5 5 5 5 5 章习彤 陈暅 胡晓宇 李昌 陈昊宇 吴祉祎 黄伟 杜磊 刘长青 侯品臣 朱艳 熊雨桐 王志杰 马玉莲 蹇佳 刘冰双 邓成宇 高磊 张金磊 齐芷阳 张晓霜 伍成龙 覃珊 闫姝辰 严文莉 王志豪 付瑶瑶 张林焱 皮博雅 胡开英 谢东升 曹澳 覃雅欣 胡少波 李赵程 田媛媛 牟薪宇 余伟豪 付君阳 刘淑媛 印子豪 熊凯 男 男 男 男 男 女 男 男 女 男 女 女 女 女 女 女 女 男 男 女 女 男 女 女 女 男 女 女 女 女 男 女 女 男 男 女 女 男 女 女 男 男 142240502423 142240504007 142240502920 142240503901 142240501124 142241102911 142241103304 142240212213 142240602915 142241200410 142240303203 142240303408 142241301724 142240208015 142240400202 142240209509 142240600606 142241301620 142241402402 142240601326 142240209511 142240211019 142240303705 142240300925 142240100116 142241202430 142240106321 142240600417 142241404924 142240603205 142241001328 142240103602 142240102529 142240403530 142240101725 142241405008 142241101004 142240402218 142241101611 142240105027 142240400228 142241403715 53.6 49.6 54.4 46.4 47.2 64.8 68 69.6 66.4 63.2 64.8 64.8 64.8 59.2 67.2 57.6 60 66.4 62.4 56 68 68.8 66.4 60 62.4 63.2 61.6 57.6 60 53.6 57.6 56 56.8 51.2 53.6 50.4 50.4 48 70.4 68.8 64.8 65.6 51 48 48 49.5 45 62.5 58.5 56.5 58 58 56 59 53.5 58 55 60.5 55.5 58.5 63 60 62.5 58.5 60.5 61.5 57 53.5 53.5 57 53.5 57 52 53 50.5 56 53 56.5 55.5 56.5 63 59 63.5 59 53 55 43 46 40 52.64 50.74 49.06 47.21 44.38 63.765 63.725 63.705 62.62 60.86 60.84 62.19 59.715 58.66 61.71 58.905 57.975 62.845 62.67 57.8 65.525 64.165 63.745 60.675 59.97 58.835 57.955 57.33 57.075 55.13 55.08 54.65 53.965 53.36 53.33 53.145 52.695 51.825 67.07 64.39 64.215 62.63 8 9 10 11 12 1 2 3 1 2 3 1 2 3 1 2 3 1 2 3 1 2 3 1 2 3 4 5 6 7 8 9 10 11 12 13 14 15 1 2 3 4 递补 递补 递补 松滋市 松滋市 松滋市 松滋市 松滋市 松滋市 松滋市 松滋市 松滋市 松滋市 松滋市 松滋市 松滋市 松滋市 松滋市 松滋市 松滋市 松滋市 松滋市 松滋市 松滋市 松滋市 松滋市 松滋市 松滋市 松滋市 松滋市 松滋市 松滋市 松滋市 松滋市 松滋市 松滋市 松滋市 松滋市 松滋市 松滋市 松滋市 松滋市 松滋市 松滋市 松滋市 松滋市乡镇机关 松滋市乡镇机关 松滋市乡镇机关 松滋市乡镇机关 松滋市乡镇机关 松滋市乡镇机关 松滋市乡镇机关 松滋市乡镇机关 松滋市乡镇机关 松滋市乡镇机关 松滋市乡镇机关 松滋市乡镇机关 松滋市乡镇机关 松滋市乡镇机关 松滋市乡镇机关 松滋市乡镇机关 松滋市乡镇机关 松滋市乡镇机关 松滋市乡镇机关 松滋市乡镇机关 松滋市乡镇机关 松滋市乡镇机关 松滋市乡镇机关 松滋市乡镇机关 松滋市乡镇机关 松滋市乡镇机关 松滋市乡镇机关 松滋市乡镇机关 松滋市乡镇机关 松滋市乡镇机关 松滋市乡镇机关 松滋市乡镇机关 松滋市乡镇机关 松滋市乡镇机关 松滋市乡镇机关 松滋市乡镇机关 松滋市乡镇机关 松滋市乡镇机关 松滋市乡镇机关 松滋市乡镇机关 松滋市乡镇机关 松滋市乡镇机关 乡镇管理岗2 乡镇管理岗2 乡镇管理岗2 乡镇管理岗2 乡镇管理岗2 乡镇管理岗2 乡镇管理岗2 乡镇管理岗2 乡镇管理岗2 乡镇管理岗2 乡镇管理岗2 乡镇管理岗3 乡镇管理岗3 乡镇管理岗3 乡镇管理岗3 乡镇管理岗3 乡镇管理岗3 乡镇管理岗3 乡镇管理岗3 乡镇管理岗3 乡镇管理岗3 乡镇管理岗3 乡镇管理岗3 乡镇管理岗3 乡镇管理岗3 乡镇管理岗3 乡镇管理岗4 乡镇管理岗4 乡镇管理岗4 乡镇管理岗4 乡镇管理岗4 乡镇管理岗4 乡镇管理岗4 乡镇管理岗4 乡镇管理岗4 乡镇管理岗4 乡镇管理岗4 乡镇管理岗4 乡镇管理岗4 乡镇管理岗4 乡镇管理岗4 乡镇管理岗5 14230202010008064 14230202010008064 14230202010008064 14230202010008064 14230202010008064 14230202010008064 14230202010008064 14230202010008064 14230202010008064 14230202010008064 14230202010008064 14230202010008065 14230202010008065 14230202010008065 14230202010008065 14230202010008065 14230202010008065 14230202010008065 14230202010008065 14230202010008065 14230202010008065 14230202010008065 14230202010008065 14230202010008065 14230202010008065 14230202010008065 14230202010008066 14230202010008066 14230202010008066 14230202010008066 14230202010008066 14230202010008066 14230202010008066 14230202010008066 14230202010008066 14230202010008066 14230202010008066 14230202010008066 14230202010008066 14230202010008066 14230202010008066 14230202010008067 5 5 5 5 5 5 5 5 5 5 5 5 5 5 5 5 5 5 5 5 5 5 5 5 5 5 5 5 5 5 5 5 5 5 5 5 5 5 5 5 5 5 朱承嗣 唐雪 李尧 刘凯 雷向阳 曹健 吴皓阳 张强 李海 谢芳 陈惠雪 袁懿 周盈吟 李冰茹 裴雅琴 黄根 田惠文 彭慨 龚晓宇 雷诗梦 鲍强 尤文茜 刘心然 陈新哲 佃华月 孔望月 王彩燕 王丹丹 康烨 王文辉 覃瀚林 程振鹏 徐浩 张焱军 易晓婷 涂亚元 诸江宇 熊荣波 陈剑 覃晓冬 李淑滨 张杨 男 女 男 男 男 男 男 男 男 女 女 男 女 女 女 男 女 男 男 女 男 女 男 男 女 女 女 女 男 男 男 男 男 男 女 女 男 男 男 女 女 男 142240301219 142241002102 142241001905 142241204514 142240402713 142240106603 142240207921 142241002810 142240105814 142241203425 142241202121 142241002906 142241101819 142240402427 142240401904 142240300511 142241101230 142241401318 142240303723 142240101028 142240105815 142240100421 142240210602 142241405012 142240401221 142241403710 142240102021 142240210618 142240402026 142240600808 142240209518 142240212126 142241404106 142240106621 142240211203 142241405124 142241102429 142240300520 142241402411 142241104027 142241404216 142241203115 67.2 66.4 64.8 69.6 63.2 61.6 62.4 64.8 63.2 62.4 56 65.6 62.4 69.6 64.8 66.4 55.2 59.2 63.2 57.6 58.4 60 54.4 57.6 55.2 55.2 64 65.6 66.4 63.2 64 68 64 65.6 62.4 67.2 64.8 63.2 59.2 60 56 72.8 55.5 55 56.5 50.5 58 57.5 55.5 52.5 53.5 54 61.5 58 58 48.5 53.5 49.5 62 56 50.5 56.5 55.5 51 57 52 54 53.5 66.5 63 59 60.5 58.5 53.5 58 55.5 59 53 54.5 56 60.5 59.5 63 60 61.935 61.27 61.065 61.005 60.86 59.755 59.295 59.265 58.835 58.62 58.475 62.18 60.42 60.105 59.715 58.795 58.26 57.76 57.485 57.105 57.095 55.95 55.57 55.08 54.66 54.435 65.125 64.43 63.07 61.985 61.525 61.475 61.3 61.055 60.87 60.81 60.165 59.96 59.785 59.775 59.15 67.04 5 6 7 8 9 10 11 12 13 14 15 1 2 3 4 5 6 7 8 9 10 11 12 13 14 15 1 2 3 4 5 6 7 8 9 10 11 12 13 14 15 1 递补 递补 松滋市 松滋市 松滋市 松滋市 松滋市 松滋市 松滋市 松滋市 松滋市 松滋市 松滋市 松滋市 松滋市 松滋市 松滋市 松滋市 松滋市 松滋市 松滋市 松滋市 松滋市 松滋市 松滋市 松滋市 松滋市 松滋市 松滋市 松滋市 松滋市 松滋市 松滋市 松滋市 松滋市 松滋市 松滋市 松滋市 松滋市 松滋市 松滋市 松滋市 松滋市 松滋市 松滋市乡镇机关 松滋市乡镇机关 松滋市乡镇机关 松滋市乡镇机关 松滋市乡镇机关 松滋市乡镇机关 松滋市乡镇机关 松滋市乡镇机关 松滋市乡镇机关 松滋市乡镇机关 松滋市乡镇机关 松滋市乡镇机关 松滋市乡镇机关 松滋市乡镇机关 松滋市乡镇机关 松滋市乡镇机关 松滋市乡镇机关 松滋市乡镇机关 松滋市乡镇机关 松滋市乡镇机关 松滋市乡镇机关 松滋市乡镇机关 松滋市乡镇机关 松滋市乡镇机关 松滋市乡镇机关 松滋市乡镇机关 松滋市乡镇机关 松滋市乡镇机关 松滋市乡镇机关 松滋市乡镇机关 松滋市乡镇机关 松滋市乡镇机关 松滋市乡镇机关 松滋市乡镇机关 松滋市乡镇机关 松滋市乡镇机关 松滋市乡镇机关 松滋市乡镇机关 松滋市乡镇机关 松滋市乡镇机关 松滋市乡镇机关 松滋市乡镇机关 乡镇管理岗5 乡镇管理岗5 乡镇管理岗5 乡镇管理岗5 乡镇管理岗5 乡镇管理岗5 乡镇管理岗5 乡镇管理岗5 乡镇管理岗5 乡镇管理岗5 乡镇管理岗5 乡镇管理岗5 乡镇管理岗5 乡镇管理岗5 乡镇管理岗6 乡镇管理岗6 乡镇管理岗6 乡镇管理岗6 乡镇管理岗6 乡镇管理岗6 乡镇管理岗6 乡镇管理岗6 乡镇管理岗6 乡镇管理岗6 乡镇管理岗6 乡镇管理岗6 乡镇管理岗6 乡镇管理岗6 乡镇管理岗6 乡镇管理岗7 乡镇管理岗7 乡镇管理岗7 乡镇管理岗7 乡镇管理岗7 乡镇管理岗7 乡镇管理岗7 乡镇管理岗7 乡镇管理岗7 乡镇管理岗7 乡镇管理岗7 乡镇管理岗7 乡镇管理岗7 14230202010008067 14230202010008067 14230202010008067 14230202010008067 14230202010008067 14230202010008067 14230202010008067 14230202010008067 14230202010008067 14230202010008067 14230202010008067 14230202010008067 14230202010008067 14230202010008067 14230202010008068 14230202010008068 14230202010008068 14230202010008068 14230202010008068 14230202010008068 14230202010008068 14230202010008068 14230202010008068 14230202010008068 14230202010008068 14230202010008068 14230202010008068 14230202010008068 14230202010008068 14230202010008069 14230202010008069 14230202010008069 14230202010008069 14230202010008069 14230202010008069 14230202010008069 14230202010008069 14230202010008069 14230202010008069 14230202010008069 14230202010008069 14230202010008069 5 5 5 5 5 5 5 5 5 5 5 5 5 5 5 5 5 5 5 5 5 5 5 5 5 5 5 5 5 5 5 5 5 5 5 5 5 5 5 5 5 5 李涛 陈梦 刘佑宁 许晓峰 王震 刘陈 胡鹏 张旺 刘林森 付琪 刘翠莲 翟永钊 杨世星 田登淞 秦午阳 陈春桦 郑雨晴 刘青松 李朱玲 邹时杰 冉慧娟 易刘 冉梓玲 王雄峰 张语桐 肖金镕 文露阳 程悦 李荣森 冯怿 李媛 胡芳林 吴志宇 李京亚 王敏 张卫 李思弯 申黎 李言霸 余野 幸娟娟 吴超超 男 女 男 男 男 女 男 男 男 女 女 男 男 男 女 女 女 男 女 男 女 男 女 男 女 男 女 女 男 男 女 女 男 女 男 男 女 女 男 男 女 男 142240104909 142240208814 142241201913 142240105019 142241201818 142240208102 142241000708 142240602819 142241101622 142240403301 142240603001 142241404629 142241301305 142240102522 142241103525 142240603517 142240105813 142241203607 142241302930 142241201125 142241000621 142241101329 142240601902 142241103607 142240209204 142241405703 142240603630 142241204014 142241301808 142241401205 142240209025 142241100111 142241405527 142241101103 142241102930 142241302828 142240213010 142241000810 142241404012 142240211024 142241203120 142240209110 68.8 70.4 74.4 62.4 67.2 63.2 68 62.4 64 68 63.2 57.6 60.8 64 64 68 70.4 64 64 64 56.8 57.6 50.4 52 57.6 57.6 50.4 50.4 52 74.4 60.8 62.4 59.2 60 63.2 64 58.4 60 60.8 59.2 54.4 60 61 58 51 65 57 61.5 54 59.5 57.5 52 57.5 64 60 56 69 62 58.5 62.5 60.5 54.5 62 54 60.5 58 51 49 57 56.5 54.5 61.5 63 60.5 63.5 62 54 53 59 57 56 57 62.5 54 65.29 64.82 63.87 63.57 62.61 62.435 61.7 61.095 61.075 60.8 60.635 60.48 60.44 60.4 66.25 65.3 65.045 63.325 62.425 59.725 59.14 55.98 54.945 54.7 54.63 53.73 53.37 53.145 53.125 68.595 61.79 61.545 61.135 60.9 59.06 59.05 58.67 58.65 58.64 58.21 58.045 57.3 2 3 4 5 6 7 8 9 10 11 12 13 14 15 1 2 3 4 5 6 7 8 9 10 11 12 13 14 15 1 2 3 4 5 6 7 8 9 10 11 12 13 递补 松滋市 松滋市 松滋市 松滋市 松滋市 松滋市 松滋市 松滋市 松滋市 松滋市 松滋市 松滋市 松滋市 松滋市 松滋市 松滋市 松滋市 松滋市 松滋市 松滋市 松滋市 松滋市 松滋市 松滋市 松滋市 松滋市 松滋市 松滋市 松滋市 松滋市 松滋市 松滋市 松滋市 松滋市 松滋市 松滋市 松滋市 松滋市 松滋市 松滋市 松滋市 松滋市 松滋市乡镇机关 松滋市乡镇机关 松滋市乡镇机关 松滋市乡镇机关 松滋市乡镇机关 松滋市乡镇机关 松滋市乡镇机关 松滋市乡镇机关 松滋市乡镇机关 松滋市乡镇机关 松滋市乡镇机关 松滋市乡镇机关 松滋市乡镇机关 松滋市乡镇机关 松滋市乡镇机关 松滋市乡镇机关 松滋市乡镇机关 松滋市乡镇机关 松滋市乡镇机关 松滋市乡镇机关 松滋市乡镇机关 松滋市乡镇机关 松滋市乡镇机关 松滋市乡镇机关 松滋市乡镇机关 松滋市乡镇机关 松滋市乡镇机关 松滋市乡镇机关 松滋市乡镇机关 松滋市乡镇机关 松滋市乡镇机关 松滋市乡镇机关 松滋市乡镇机关 松滋市乡镇机关 松滋市乡镇机关 松滋市乡镇机关 松滋市乡镇机关 松滋市乡镇机关 松滋市乡镇机关 松滋市乡镇机关 松滋市乡镇机关 松滋市乡镇机关 乡镇管理岗7 乡镇管理岗7 乡镇管理岗8 乡镇管理岗8 乡镇管理岗8 乡镇管理岗8 乡镇管理岗8 乡镇管理岗8 乡镇管理岗8 乡镇管理岗8 乡镇管理岗8 乡镇管理岗8 乡镇管理岗8 乡镇管理岗8 乡镇管理岗8 乡镇管理岗8 乡镇管理岗8 乡镇管理岗9 乡镇管理岗9 乡镇管理岗9 乡镇管理岗9 乡镇管理岗9 乡镇管理岗9 乡镇管理岗9 乡镇管理岗9 乡镇管理岗9 乡镇管理岗9 乡镇管理岗9 乡镇管理岗9 乡镇管理岗9 乡镇管理岗9 乡镇管理岗9 乡镇管理岗 10 乡镇管理岗 10 乡镇管理岗 10 乡镇管理岗 10 乡镇管理岗 10 乡镇管理岗 10 乡镇管理岗 11 乡镇管理岗 11 乡镇管理岗 11 乡镇管理岗 11 14230202010008069 14230202010008069 14230202010008070 14230202010008070 14230202010008070 14230202010008070 14230202010008070 14230202010008070 14230202010008070 14230202010008070 14230202010008070 14230202010008070 14230202010008070 14230202010008070 14230202010008070 14230202010008070 14230202010008070 14230202010008071 14230202010008071 14230202010008071 14230202010008071 14230202010008071 14230202010008071 14230202010008071 14230202010008071 14230202010008071 14230202010008071 14230202010008071 14230202010008071 14230202010008071 14230202010008071 14230202010008071 14230202010008072 14230202010008072 14230202010008072 14230202010008072 14230202010008072 14230202010008072 14230202010008073 14230202010008073 14230202010008073 14230202010008073 5 5 5 5 5 5 5 5 5 5 5 5 5 5 5 5 5 5 5 5 5 5 5 5 5 5 5 5 5 5 5 5 2 2 2 2 2 2 3 3 3 3 李安琪 冉晓明 涂乔木 郑凯 刘自强 廖秋磊 邹利伟 冉俊辉 刘成杰 周磊 姚继红 谭昆 段振巍 付华灿 胡斌诚 覃浩 刘瑜添 许万林 欧阳昭晨 孙兆强 吴泽家 申彬彬 胥明辉 冯韵 陈杰 陈云 李瑞令 李锐 张汤杰 朱立湘 沈泽坤 谭依 张林 熊志鹄 龚艳黎 裴潇 张建航 彭孜涵 李冰 张晓红 胡炜洋 陈雪 女 男 男 男 男 女 男 男 男 男 女 男 男 男 女 男 女 男 女 男 男 男 男 男 男 男 女 男 男 男 男 男 男 男 女 女 男 女 男 女 男 女 142241405807 142241102412 142241100322 142240601818 142240301620 142241300826 142241003028 142241003720 142241403305 142241401528 142241401023 142241000415 142240206805 142241201305 142240208629 142240302916 142240403030 142241201210 142241405610 142240602611 142241004415 142240400213 142241001516 142240101503 142240208124 142241302016 142240402418 142240104914 142241101508 142241201105 142241204509 142241103725 142241302118 142241004025 142241405926 142241300425 142240603109 142240100925 142240402811 142241202029 142241401924 142241401515 60 60.8 64.8 67.2 63.2 67.2 60.8 58.4 64.8 62.4 60 59.2 64 62.4 58.4 59.2 52.8 66.4 69.6 60 58.4 64.8 66.4 63.2 60 64 56.8 60 61.6 58.4 64 56 67.2 55.2 53.6 51.2 49.6 47.2 66.4 59.2 67.2 52.8 54 53 63 57.5 60 52.5 58 60.5 51.5 54 56.5 56.5 50.5 51.5 56 54.5 60.5 63.5 55.5 64 65 57 54.5 57.5 59.5 54.5 63 58.5 56.5 60 52 61 57 58 54.5 57 58 49 49 55 44.5 61 57.3 57.29 63.99 62.835 61.76 60.585 59.54 59.345 58.815 58.62 58.425 57.985 57.925 57.495 57.32 57.085 56.265 65.095 63.255 61.8 61.37 61.29 61.045 60.635 59.775 59.725 59.59 59.325 59.305 59.12 58.6 58.25 62.61 56.46 54.005 53.81 53.38 48.01 58.57 57.31 56.985 56.49 13 15 1 2 3 4 5 6 7 8 9 10 11 12 13 14 15 1 2 3 4 5 6 7 8 9 10 11 12 13 14 15 1 2 3 4 5 6 1 2 3 4 递补 递补 递补 递补 递补 松滋市 松滋市 松滋市 松滋市 松滋市 松滋市 松滋市 松滋市 松滋市 松滋市 松滋市 松滋市 松滋市 松滋市 松滋市 松滋市 松滋市 江陵县 江陵县 江陵县 江陵县 江陵县 江陵县 江陵县 江陵县 江陵县 江陵县 江陵县 江陵县 江陵县 江陵县 江陵县 江陵县 江陵县 江陵县 江陵县 江陵县 江陵县 江陵县 江陵县 江陵县 江陵县 松滋市乡镇机关 松滋市乡镇机关 松滋市乡镇机关 松滋市乡镇机关 松滋市乡镇机关 松滋市街道机关 松滋市街道机关 松滋市街道机关 松滋市街道机关 松滋市街道机关 松滋市街道机关 松滋市街道机关 松滋市街道机关 松滋市街道机关 松滋市街道机关 松滋市街道机关 松滋市街道机关 江陵县纪委监委机 关 江陵县纪委监委机 关 江陵县纪委监委机 关 江陵县纪委监委机 关 江陵县纪委监委机 关 江陵县纪委监委机 关 江陵县纪委监委机 关 江陵县纪委监委机 关 江陵县纪委监委机 关 江陵县纪委监委机 关 江陵县纪委监委机 关 江陵县纪委监委机 关 江陵县纪委监委机 关 江陵县纪委监委机 关 江陵县纪委监委机 关 江陵县委办公室 江陵县委办公室 江陵县委办公室 江陵县委办公室 江陵县委办公室 江陵县委办公室 江陵县信访局 江陵县信访局 江陵县信访局 江陵县发改局 乡镇管理岗 11 乡镇管理岗 11 乡镇管理岗 11 乡镇管理岗 11 乡镇管理岗 11 街道管理岗1 街道管理岗1 街道管理岗1 街道管理岗1 街道管理岗1 街道管理岗1 街道管理岗2 街道管理岗2 街道管理岗2 街道管理岗2 街道管理岗2 街道管理岗2 综合业务岗1 综合业务岗1 综合业务岗1 综合业务岗1 综合业务岗1 综合业务岗1 综合业务岗2 综合业务岗2 综合业务岗2 综合管理岗1 综合管理岗1 综合管理岗1 综合管理岗2 综合管理岗2 综合管理岗2 综合管理岗1 综合管理岗1 综合管理岗1 综合管理岗2 综合管理岗2 综合管理岗2 综合管理岗 综合管理岗 综合管理岗 综合管理岗1 14230202010008073 14230202010008073 14230202010008073 14230202010008073 14230202010008073 14230202010008074 14230202010008074 14230202010008074 14230202010008074 14230202010008074 14230202010008074 14230202010008075 14230202010008075 14230202010008075 14230202010008075 14230202010008075 14230202010008075 14230202010009001 14230202010009001 14230202010009001 14230202010009001 14230202010009001 14230202010009001 14230202010009002 14230202010009002 14230202010009002 14230202010009003 14230202010009003 14230202010009003 14230202010009004 14230202010009004 14230202010009004 14230202010009005 14230202010009005 14230202010009005 14230202010009006 14230202010009006 14230202010009006 14230202010009007 14230202010009007 14230202010009007 14230202010009008 3 3 3 3 3 2 2 2 2 2 2 2 2 2 2 2 2 2 2 2 2 2 2 1 1 1 1 1 1 1 1 1 1 1 1 1 1 1 1 1 1 1 孙隆雨 佘敏 顾晓阳 罗汉宁 张笛 向媛媛 谢坤 杨恒 刘安 李冬冬 余彬 杨伟 陈功 卢致远 方熙 镇红 屈杰文 何丹 杨鑫怡 马欢欣 吴天宝 何小雨 李越男 陈敬凤 许胤爔 李冰 丁武斌 向琪媛 刘凡 张建平 沈琛 吕家臣 武俊培 吴理民 刘晓君 吴年平 王兆鹏 张祖涵 张思远 李慧玲 严晨 袁章 男 男 男 男 男 女 男 男 男 男 男 男 男 男 男 女 男 男 女 女 男 女 女 女 男 女 男 女 女 男 男 男 女 男 女 男 男 男 男 女 男 女 142240100621 142241001521 142241300328 142240105207 142241000122 142240104805 142240602003 142241304409 142240105014 142240209130 142240403814 142240302313 142241204708 142241301215 142240106522 142241302904 142240403624 142241003022 142241403521 142240207526 142240402808 142241400824 142240600802 142240209918 142241104212 142241200601 142241203915 142241200212 142240212912 142241102524 142240403220 142240212008 142241302923 142240207807 142241201201 142241200207 142241001927 142241300819 142240104807 142240300811 142241400523 142240301924 56 54.4 59.2 56 56 68 65.6 61.6 66.4 60 64.8 69.6 71.2 67.2 60.8 58.4 60 67.2 61.6 64.8 62.4 58.4 59.2 64 65.6 64.8 63.2 65.6 60 77.6 69.6 62.4 68.8 62.4 69.6 62.4 75.2 59.2 71.2 63.2 64 61.6 53.5 55 49 50 49.5 62.5 63 61.5 55 61.5 53 57.5 53.5 54 58.5 58.5 56 60 63 57 55 57.5 55 63.5 57.5 52 67.5 64 65.5 61.5 60 55 60.5 62 51.5 63.5 45 58.5 58.5 60 57.5 64 54.875 54.67 54.61 53.3 53.075 65.525 64.43 61.555 61.27 60.675 59.49 64.155 63.235 61.26 59.765 58.445 58.2 63.96 62.23 61.29 59.07 57.995 57.31 63.775 61.955 59.04 65.135 64.88 62.475 70.355 65.28 59.07 65.065 62.22 61.455 62.895 61.61 58.885 65.485 61.76 61.075 62.68 5 6 7 8 9 1 2 3 4 5 6 1 2 3 4 5 6 1 2 3 4 5 6 1 2 3 1 2 3 1 2 3 1 2 3 1 2 3 1 2 3 1 江陵县 江陵县 江陵县 江陵县 江陵县 江陵县 江陵县 江陵县 江陵县 江陵县 江陵县 江陵县 江陵县 江陵县 江陵县 江陵县 江陵县 江陵县 江陵县 江陵县 江陵县 江陵县 江陵县 江陵县 江陵县 江陵县 江陵县 江陵县 江陵县 江陵县 江陵县 江陵县 江陵县 江陵县 江陵县 江陵县 江陵县 江陵县 江陵县 江陵县 江陵县 江陵县 江陵县发改局 江陵县发改局 江陵县发改局 江陵县发改局 江陵县发改局 江陵县民政局 江陵县民政局 江陵县民政局 江陵县民政局 江陵县民政局 江陵县民政局 江陵县人社局 江陵县人社局 江陵县人社局 江陵县人社局 江陵县人社局 江陵县人社局 江陵县卫健局 江陵县卫健局 江陵县卫健局 江陵县教育局 江陵县教育局 江陵县教育局 江陵县教育局 江陵县教育局 江陵县教育局 江陵县教育局 江陵县教育局 江陵县教育局 江陵县教育局 江陵县教育局 江陵县教育局 江陵县教育局 江陵县教育局 江陵县教育局 江陵县教育局 江陵县教育局 江陵县教育局 江陵县科技局 江陵县科技局 江陵县科技局 江陵县水利湖泊局 综合管理岗1 综合管理岗1 综合管理岗2 综合管理岗2 综合管理岗2 综合管理岗1 综合管理岗1 综合管理岗1 综合管理岗2 综合管理岗2 综合管理岗2 综合管理岗 综合管理岗 综合管理岗 财务会计岗 财务会计岗 财务会计岗 疾控管理岗 疾控管理岗 疾控管理岗 财务会计岗 财务会计岗 财务会计岗 财务会计岗 财务会计岗 财务会计岗 人事管理岗 人事管理岗 人事管理岗 综合管理岗 综合管理岗 综合管理岗 基础教育岗 基础教育岗 基础教育岗 安全信防岗 安全信防岗 安全信防岗 文字综合岗 文字综合岗 文字综合岗 文字综合岗 14230202010009008 14230202010009008 14230202010009009 14230202010009009 14230202010009009 14230202010009010 14230202010009010 14230202010009010 14230202010009011 14230202010009011 14230202010009011 14230202010009012 14230202010009012 14230202010009012 14230202010009013 14230202010009013 14230202010009013 14230202010009014 14230202010009014 14230202010009014 14230202010009015 14230202010009015 14230202010009015 14230202010009015 14230202010009015 14230202010009015 14230202010009016 14230202010009016 14230202010009016 14230202010009017 14230202010009017 14230202010009017 14230202010009018 14230202010009018 14230202010009018 14230202010009019 14230202010009019 14230202010009019 14230202010009020 14230202010009020 14230202010009020 14230202010009021 1 1 1 1 1 1 1 1 1 1 1 1 1 1 1 1 1 1 1 1 2 2 2 2 2 2 1 1 1 1 1 1 1 1 1 1 1 1 1 1 1 1 黄雪晴 张诗雯 常杰 严帅 杜彬 陈祎 侯京玉 黄明晶 张丹丽 郭雨蝶 刘鹿鸣 荣紫蕴 赵艳 齐子月 邹越 陈佳敏 涂佳舜 张颖 林慧雪 廖丽 黄梦丹 高竺宇 向娇 陈家诺 鲁子欣 张永杰 何坤 邢志强 杜雨晴 张子怡 谭雅琦 何倩 罗苗 朱云昊 邓枭 刘丹丹 谭银艳 王欣 周滢 胡海斌 彭雅倩 范跃斌 女 女 男 男 男 女 女 女 女 女 男 女 女 女 男 女 男 女 女 女 女 女 女 女 女 男 女 男 女 女 女 女 女 男 女 女 女 男 女 男 女 男 142240208512 142240209705 142241403430 142241301302 142241204218 142241102420 142240212012 142240207716 142241303309 142240603111 142240401509 142240601425 142241000426 142240207216 142241203723 142241002209 142241405228 142240300919 142241202122 142241103909 142241304227 142240403125 142240103305 142241403205 142241203103 142240300426 142240105003 142240300130 142241400315 142240303028 142241003512 142240209316 142240105823 142241400904 142241401728 142241405126 142241004005 142241100909 142240104113 142241301907 142240207108 142240301011 68 69.6 60.8 65.6 69.6 68 64.8 67.2 69.6 60 59.2 62.4 62.4 60.8 64.8 64.8 70.4 62.4 58.4 58.4 72.8 60.8 64 59.2 59.2 62.4 70.4 70.4 66.4 57.6 55.2 57.6 67.2 69.6 58.4 59.2 59.2 58.4 63.2 64 66.4 68 55.5 52 65 57 52 54 57.5 54 49 58 54 63.5 60.5 56 59.5 55 47.5 57 58 56 60.5 63 58 61.5 61.5 57.5 61 56.5 58.5 64 54.5 50 60 52.5 57.5 65 61 56.5 66.5 57.5 51.5 57 62.375 61.68 62.69 61.73 61.68 61.7 61.515 61.26 60.33 59.1 56.86 62.895 61.545 58.64 62.415 60.39 60.095 59.97 58.22 57.32 67.265 61.79 61.3 60.235 60.235 60.195 66.17 64.145 62.845 60.48 54.885 54.18 63.96 61.905 57.995 61.81 60.01 57.545 64.685 61.075 59.695 63.05 2 3 1 2 3 1 2 3 1 2 3 1 2 3 1 2 3 1 2 3 1 2 3 4 4 6 1 2 3 1 2 3 1 2 3 1 2 3 1 2 3 1 递补 江陵县 江陵县 江陵县 江陵县 江陵县 江陵县 江陵县 江陵县 江陵县 江陵县 江陵县 江陵县 江陵县 江陵县 江陵县 江陵县 江陵县 江陵县 江陵县 江陵县 江陵县 江陵县 江陵县 江陵县 江陵县 江陵县 江陵县 江陵县 江陵县 江陵县 江陵县 江陵县 江陵县 江陵县 江陵县 江陵县 江陵县 江陵县 江陵县 江陵县 江陵县 江陵县 江陵县水利湖泊局 江陵县水利湖泊局 江陵县农业农村局 江陵县农业农村局 江陵县农业农村局 江陵县住建局 江陵县住建局 江陵县住建局 江陵县应急局 江陵县应急局 江陵县应急局 江陵县应急局 江陵县应急局 江陵县应急局 江陵县应急局 江陵县应急局 江陵县应急局 江陵县医保局 江陵县医保局 江陵县医保局 江陵县医保局 江陵县医保局 江陵县医保局 江陵县审计局 江陵县审计局 江陵县审计局 江陵县统计局 江陵县统计局 江陵县统计局 江陵县总工会 江陵县总工会 江陵县总工会 共青团江陵县委 共青团江陵县委 共青团江陵县委 江陵县妇联 江陵县妇联 江陵县妇联 江陵县残联 江陵县残联 江陵县残联 江陵县委党校 文字综合岗 文字综合岗 综合管理岗 综合管理岗 综合管理岗 财务会计岗 财务会计岗 财务会计岗 综合管理岗 综合管理岗 综合管理岗 行政执法岗1 行政执法岗1 行政执法岗1 行政执法岗2 行政执法岗2 行政执法岗2 综合管理岗1 综合管理岗1 综合管理岗1 综合管理岗2 综合管理岗2 综合管理岗2 财务审计岗 财务审计岗 财务审计岗 综合管理岗 综合管理岗 综合管理岗 综合管理岗 综合管理岗 综合管理岗 综合管理岗 综合管理岗 综合管理岗 综合管理岗 综合管理岗 综合管理岗 综合管理岗 综合管理岗 综合管理岗 教务科研岗 14230202010009021 14230202010009021 14230202010009022 14230202010009022 14230202010009022 14230202010009023 14230202010009023 14230202010009023 14230202010009024 14230202010009024 14230202010009024 14230202010009025 14230202010009025 14230202010009025 14230202010009026 14230202010009026 14230202010009026 14230202010009027 14230202010009027 14230202010009027 14230202010009028 14230202010009028 14230202010009028 14230202010009029 14230202010009029 14230202010009029 14230202010009030 14230202010009030 14230202010009030 14230202010009031 14230202010009031 14230202010009031 14230202010009032 14230202010009032 14230202010009032 14230202010009033 14230202010009033 14230202010009033 14230202010009034 14230202010009034 14230202010009034 14230202010009035 1 1 1 1 1 1 1 1 1 1 1 1 1 1 1 1 1 1 1 1 1 1 1 1 1 1 1 1 1 1 1 1 1 1 1 1 1 1 1 1 1 1 吕佳聪 覃蓉 肖梓杰 汪威 崔淑敏 莫略 丁文丽 张梅梅 沈晨 周锦 马柳 陈孝东 吴灿 王同昕 许龙 王友志 肖露 王徐豆 黄雅烽 杨宇航 朱妮静 张劲康 胡祥伟 王萌萌 蒋婧 方磊 黄婧 周盼 彭皓若 吴羽琦 熊诗禹 何修远 吴政宇 黄静静 熊静 刘昆侠 张桓 夏天 黄乐 徐茜梦 文敏 孙鑫星 女 女 男 男 女 男 女 女 女 女 女 男 男 男 男 男 女 男 女 女 女 男 男 女 女 男 女 男 男 女 女 男 男 女 女 男 男 女 女 女 女 女 142241301406 142241401713 142240211414 142241300317 142240403113 142241405130 142241403626 142241200713 142241403506 142240105609 142241004015 142241202715 142241400925 142241003716 142241103816 142240300920 142240106101 142240303624 142241200609 142240300909 142240102901 142240601617 142240402206 142241200421 142241103624 142241002003 142241101919 142240103923 142241402823 142241100330 142240211602 142241401803 142241402226 142241303322 142240101218 142241401511 142241204806 142241402516 142241401502 142240101917 142241103317 142240403421 64 59.2 68 65.6 62.4 66.4 66.4 60.8 71.2 59.2 54.4 59.2 60.8 64 65.6 67.2 64.8 68 61.6 59.2 63.2 61.6 60.8 65.6 60.8 56.8 73.6 64.8 64.8 60 58.4 62.4 69.6 64 60.8 69.6 61.6 63.2 62.4 63.2 63.2 59.2 54.5 58.5 60.5 54 52 64 63 62 62.5 57.5 59.5 62.5 56.5 52 59 56.5 58.5 56.5 62.5 57 58.5 55.5 55 57 58 62 61 55.5 52.5 61.5 60 45.5 54 59.5 62 54 61 57.5 60.5 56.5 56 62.5 59.725 58.885 64.625 60.38 57.72 65.32 64.87 61.34 67.285 58.435 56.695 60.685 58.865 58.6 62.63 62.385 61.965 62.825 62.005 58.21 61.085 58.855 58.19 61.73 59.54 59.14 67.93 60.615 59.265 60.675 59.12 54.795 62.58 61.975 61.34 62.58 61.33 60.635 61.545 60.185 59.96 60.685 2 3 1 2 3 1 2 3 1 2 3 1 2 3 1 2 3 1 2 3 1 2 3 1 2 3 1 2 3 1 2 3 1 2 3 1 2 3 1 2 3 1 江陵县 江陵县 江陵县 江陵县 江陵县 江陵县 江陵县 江陵县 江陵县 江陵县 江陵县 江陵县 江陵县 江陵县 江陵县 江陵县 江陵县 江陵县 江陵县 江陵县 江陵县 江陵县 江陵县 江陵县 江陵县 江陵县 江陵县 江陵县 江陵县 江陵县委党校 江陵县委党校 江陵县红十字会 江陵县红十字会 江陵县红十字会 江陵县农村经济经 营管理服务中心 江陵县农村经济经 营管理服务中心 江陵县农村经济经 营管理服务中心 江陵县农村经济经 营管理服务中心 江陵县农村经济经 营管理服务中心 江陵县农村经济经 营管理服务中心 江陵县农村经济经 营管理服务中心 江陵县农村经济经 营管理服务中心 江陵县农村经济经 营管理服务中心 江陵县国库收付中 心 江陵县国库收付中 心 江陵县国库收付中 心 江陵县国库收付中 心 江陵县国库收付中 心 江陵县国库收付中 心 江陵县国库收付中 心 江陵县国库收付中 心 江陵县国库收付中 心 江陵县国库收付中 心 江陵县国库收付中 心 江陵县国库收付中 心 江陵县政府投资审 计中心 江陵县政府投资审 计中心 江陵县政府投资审 计中心 教务科研岗 教务科研岗 综合管理岗 综合管理岗 综合管理岗 14230202010009035 14230202010009035 14230202010009036 14230202010009036 14230202010009036 1 1 1 1 1 申品才 李慧洁 焦修宽 戴妍 陈双桥 男 女 男 女 男 142241001407 142241400502 142241104128 142241401517 142240402803 64 65.6 68.8 63.2 65.6 56 53 57 63.5 57 60.4 59.93 63.49 63.335 61.73 2 3 1 2 3 综合管理岗1 14230202010009037 2 陈声奥 女 142240208916 66.4 58.5 62.845 1 综合管理岗1 14230202010009037 2 史开鹏 男 142240300720 63.2 62 62.66 2 综合管理岗1 14230202010009037 2 代罗东 男 142241302525 62.4 62.5 62.445 3 综合管理岗1 14230202010009037 2 汪压疆 男 142240402429 65.6 57.5 61.955 4 综合管理岗1 14230202010009037 2 李曹阳 男 142240303221 59.2 60 59.56 5 综合管理岗1 14230202010009037 2 黎杨凯 男 142240600823 64.8 50.5 58.365 6 综合管理岗2 14230202010009038 1 熊虎 男 142241103712 71.2 55.5 64.135 1 综合管理岗2 14230202010009038 1 谌辉 男 142240210517 64.8 59 62.19 2 综合管理岗2 14230202010009038 1 范博宇 男 142241002528 60 58.5 59.325 3 综合管理岗1 综合管理岗1 综合管理岗1 综合管理岗1 综合管理岗1 综合管理岗1 综合管理岗2 综合管理岗2 综合管理岗2 综合管理岗2 综合管理岗2 综合管理岗2 14230202010009039 14230202010009039 14230202010009039 14230202010009039 14230202010009039 14230202010009039 14230202010009040 14230202010009040 14230202010009040 14230202010009040 14230202010009040 14230202010009040 2 2 2 2 2 2 2 2 2 2 2 2 李亮 陈雪晴 张妙 刘航 张雅莉 毛晗樨 熊妍语 张蜂 杨慧 张端 刘洋 燕雨佳 男 女 女 男 女 男 女 男 女 男 女 男 142240402220 142240402221 142241300708 142241204027 142241304102 142241304002 142240103409 142241001014 142241405104 142240603421 142240104614 142240303827 69.6 65.6 60 56.8 54.4 51.2 74.4 68 71.2 72 69.6 66.4 52.5 55 56.5 59.5 54.5 57.5 62.5 64.5 60.5 59.5 61 64.5 61.905 60.83 58.425 58.015 54.445 54.035 69.045 66.425 66.385 66.375 65.73 65.545 1 2 3 4 5 6 1 2 3 4 5 6 财务审计岗 14230202010009041 2 黄吉祥 女 142240403730 72.8 58 66.14 1 财务审计岗 14230202010009041 2 颜妍 女 142241203805 60.8 63 61.79 2 财务审计岗 14230202010009041 2 张思雨 女 142241400627 60.8 61 60.89 3 递补 江陵县 江陵县 江陵县 江陵县 江陵县 江陵县 江陵县 江陵县 江陵县 江陵县 江陵县 江陵县 江陵县 江陵县 江陵县 江陵县 江陵县 江陵县 江陵县 江陵县 江陵县 江陵县 江陵县 江陵县 江陵县 江陵县 江陵县 江陵县 江陵县 江陵县 江陵县 江陵县 江陵县 江陵县 江陵县 江陵县 江陵县政府投资审 计中心 江陵县政府投资审 计中心 江陵县政府投资审 计中心 江陵县政府投资审 计中心 江陵县政府投资审 计中心 江陵县政府投资审 计中心 江陵县公安局 江陵县公安局 江陵县公安局 江陵县司法局 江陵县司法局 江陵县司法局 江陵县司法局 江陵县司法局 江陵县司法局 江陵县司法局 江陵县司法局 江陵县司法局 江陵县人民法院 江陵县人民法院 江陵县人民法院 江陵县人民法院 江陵县人民法院 江陵县人民法院 江陵县人民法院 江陵县人民法院 江陵县人民法院 江陵县人民法院 江陵县人民法院 江陵县人民法院 江陵县乡镇机关 江陵县乡镇机关 江陵县乡镇机关 江陵县乡镇机关 江陵县乡镇机关 江陵县乡镇机关 财务审计岗 14230202010009041 2 殷越 女 142240206706 67.2 53 60.81 4 财务审计岗 14230202010009041 2 张睿 女 142241204823 56 64.5 59.825 5 财务审计岗 14230202010009041 2 严剑桥 女 142241003130 57.6 61.5 59.355 6 业务综合岗 14230202010009042 1 黄哲 男 142241003129 59.2 62 60.46 1 业务综合岗 14230202010009042 1 郭子崎 男 142240100522 64 52 58.6 2 业务综合岗 14230202010009042 1 吴灿 男 142241401505 61.6 53 57.73 3 执法勤务岗 执法勤务岗 执法勤务岗 综合业务岗 综合业务岗 综合业务岗 综合业务岗 综合业务岗 综合业务岗 综合管理岗 综合管理岗 综合管理岗 综合管理岗1 综合管理岗1 综合管理岗1 综合管理岗1 综合管理岗1 综合管理岗1 综合管理岗2 综合管理岗2 综合管理岗2 综合管理岗2 综合管理岗2 综合管理岗2 综合管理岗1 综合管理岗1 综合管理岗1 综合管理岗1 综合管理岗1 综合管理岗1 1 1 1 2 2 2 2 2 2 1 1 1 2 2 2 2 2 2 2 2 2 2 2 2 4 4 4 4 4 4 唐寅 陶程鹏 秦震 王庆钊 谢梦婷 黄晗影 黄泽 余思瑶 崔娟 廖月华 金龙 孔天 刘宇桅 张钒 贺舒凌 张祖卓 胡馨月 胡国才 杨昕宇 汪金晶 张金婷 李子娟 裘素素 余钦伟 朱贝依 王倩 朱超凡 黄枭鹏 金世豪 龚星星 男 男 男 男 女 女 男 女 女 男 男 女 男 女 男 男 女 男 女 女 女 女 女 男 女 女 女 男 男 男 142240502013 142240501315 142240502101 142240209528 142240602318 142241102904 142240403505 142241402028 142241402502 142241403504 142240301414 142240102702 142240303507 142240602115 142240603328 142240104112 142241204119 142240105024 142241103710 142240303724 142241303529 142241203905 142241402710 142240603018 142241100113 142240300310 142240105515 142240104904 142241400406 142241405421 59.2 52.8 36.8 64.8 60.8 59.2 51.2 55.2 47.2 65.6 52 52.8 72.8 72 71.2 65.6 68 64 68.8 71.2 72.8 68.8 59.2 59.2 60.8 59.2 61.6 58.4 56 56 56.5 54 50 58.5 60 59.5 60.5 51.5 56 56 62.5 61 62.5 58.5 54.5 61 58 59 62 58.5 56 60 64 62 70 60.5 57 58 60 59 61.63 52.92 46.52 61.965 60.44 59.335 55.385 53.535 51.16 61.28 56.725 56.49 68.165 65.925 63.685 63.53 63.5 61.75 65.74 65.485 65.24 64.84 61.36 60.46 64.94 59.785 59.53 58.22 57.8 57.35 1 2 3 1 2 3 4 5 6 1 2 3 1 2 3 4 5 6 1 2 3 4 5 6 1 2 3 4 5 6 14230202010009043 14230202010009043 14230202010009043 14230202010009044 14230202010009044 14230202010009044 14230202010009044 14230202010009044 14230202010009044 14230202010009045 14230202010009045 14230202010009045 14230202010009046 14230202010009046 14230202010009046 14230202010009046 14230202010009046 14230202010009046 14230202010009047 14230202010009047 14230202010009047 14230202010009047 14230202010009047 14230202010009047 14230202010009049 14230202010009049 14230202010009049 14230202010009049 14230202010009049 14230202010009049 70 52 56 递补 递补 递补 江陵县 江陵县 江陵县 江陵县 江陵县 江陵县 江陵县 江陵县 江陵县 江陵县 江陵县 江陵县 江陵县 江陵县 江陵县 江陵县 江陵县 江陵县 江陵县 江陵县 江陵县 江陵县 江陵县 江陵县 江陵县 江陵县 江陵县 江陵县 江陵县 江陵县 江陵县 江陵县 江陵县 江陵县 江陵县 江陵县 监利市 监利市 监利市 监利市 监利市 监利市 江陵县乡镇机关 江陵县乡镇机关 江陵县乡镇机关 江陵县乡镇机关 江陵县乡镇机关 江陵县乡镇机关 江陵县乡镇机关 江陵县乡镇机关 江陵县乡镇机关 江陵县乡镇机关 江陵县乡镇机关 江陵县乡镇机关 江陵县乡镇机关 江陵县乡镇机关 江陵县乡镇机关 江陵县乡镇机关 江陵县乡镇机关 江陵县乡镇机关 江陵县乡镇机关 江陵县乡镇机关 江陵县乡镇机关 江陵县乡镇机关 江陵县乡镇机关 江陵县乡镇机关 江陵县乡镇机关 江陵县乡镇机关 江陵县乡镇机关 江陵县乡镇机关 江陵县乡镇机关 江陵县乡镇机关 江陵县乡镇机关 江陵县乡镇机关 江陵县乡镇机关 江陵县乡镇机关 江陵县乡镇机关 江陵县乡镇机关 监利市纪委监委机 关 监利市纪委监委机 关 监利市纪委监委机 关 监利市纪委监委机 关 监利市纪委监委机 关 监利市纪委监委机 关 综合管理岗1 综合管理岗1 综合管理岗1 综合管理岗1 综合管理岗1 综合管理岗1 综合管理岗2 综合管理岗2 综合管理岗2 综合管理岗2 综合管理岗2 综合管理岗2 综合管理岗2 综合管理岗2 综合管理岗2 综合管理岗2 综合管理岗2 综合管理岗2 综合管理岗3 综合管理岗3 综合管理岗3 综合管理岗3 综合管理岗3 综合管理岗3 综合管理岗3 综合管理岗3 综合管理岗3 综合管理岗3 综合管理岗3 综合管理岗3 综合管理岗4 综合管理岗4 综合管理岗4 综合管理岗6 综合管理岗6 综合管理岗6 执纪监督岗 执纪监督岗 执纪监督岗 执纪监督岗 执纪监督岗 执纪监督岗 14230202010009049 14230202010009049 14230202010009049 14230202010009049 14230202010009049 14230202010009049 14230202010009050 14230202010009050 14230202010009050 14230202010009050 14230202010009050 14230202010009050 14230202010009050 14230202010009050 14230202010009050 14230202010009050 14230202010009050 14230202010009050 14230202010009051 14230202010009051 14230202010009051 14230202010009051 14230202010009051 14230202010009051 14230202010009051 14230202010009051 14230202010009051 14230202010009051 14230202010009051 14230202010009051 14230202010009052 14230202010009052 14230202010009052 14230202010009054 14230202010009054 14230202010009054 14230202010010001 14230202010010001 14230202010010001 14230202010010001 14230202010010001 14230202010010001 4 4 4 4 4 4 4 4 4 4 4 4 4 4 4 4 4 4 4 4 4 4 4 4 4 4 4 4 4 4 1 1 1 1 1 1 4 4 4 4 4 4 张玙琦 余彤 粟枫 王颖 钟雨涵 潘坤 郑智鑫 李卓然 段宇乐 邓灿 杨子勤 王静 田野 朱雅玟 赵倩倩 彭丹惠 黄秋娜 陈宇 杨辰骁 宋崇毅 贺君逸 毕朝侠 程明瑀 黄雅倩 曾德雨 李新月 谭佳佳 李雨琴 肖仕楠 许子涵 代慧 皮傲阳 薛天航 黄瑾 刘会 郑明明 陈梦妮 郭晨翔 许子旺 谢泽 宋凯 刘雅婷 女 女 男 女 女 男 男 男 男 男 男 女 男 女 女 女 女 女 男 男 男 男 女 女 男 女 女 女 女 男 女 男 男 男 女 男 女 男 男 男 男 女 142240104924 142241300529 142241303011 142240403222 142241400330 142241405019 142240603307 142240105604 142241304103 142240102613 142241401906 142241101724 142241002604 142240208506 142240104228 142240601721 142241401725 142240105617 142240208829 142241403120 142241100704 142241102419 142241101723 142241203016 142240600218 142240400221 142241404722 142240209929 142241000110 142240212228 142240211923 142241202725 142240207027 142240102222 142240300402 142241401330 142240207916 142240100126 142241001926 142240303306 142241404302 142240602711 57.6 60 56.8 56.8 55.2 56.8 65.6 65.6 61.6 59.2 61.6 58.4 59.2 56 51.2 52.8 50.4 52.8 65.6 60.8 61.6 61.6 56.8 56 48 48 51.2 48.8 40.8 49.6 68 60.8 60 66.4 69.6 52.8 71.2 70.4 75.2 72.8 67.2 64 56.5 53.5 57 56 56 54 64 55.5 57 59 55 57 55 55.5 60 58 58 53.5 55.5 58.5 57.5 56.5 61 54.5 59.5 53.5 49 48.5 58 45 58 58.5 59 65 58 64 64 63.5 54.5 56 60 63.5 57.105 57.075 56.89 56.44 55.56 55.54 64.88 61.055 59.53 59.11 58.63 57.77 57.31 55.775 55.16 55.14 53.82 53.115 61.055 59.765 59.755 59.305 58.69 55.325 53.175 50.475 50.21 48.665 48.54 47.53 63.5 59.765 59.55 65.77 64.38 57.84 67.96 67.295 65.885 65.24 63.96 63.775 7 8 9 10 11 12 1 2 3 4 5 6 7 8 9 10 11 12 1 2 3 4 5 6 7 8 9 10 11 12 1 2 3 1 2 3 1 2 3 4 5 6 递补 递补 递补 递补 监利市 监利市 监利市 监利市 监利市 监利市 监利市 监利市 监利市 监利市 监利市 监利市 监利市 监利市 监利市 监利市 监利市 监利市 监利市 监利市 监利市 监利市 监利市 监利市 监利市 监利市 监利市 监利市 监利市 监利市 监利市 监利市 监利市 监利市 监利市 监利市 监利市 监利市 监利市 监利市纪委监委机 关 监利市纪委监委机 关 监利市纪委监委机 关 监利市纪委监委机 关 监利市纪委监委机 关 监利市纪委监委机 关 监利市纪委监委机 关 监利市纪委监委机 关 监利市纪委监委机 关 监利市纪委监委机 关 监利市纪委监委机 关 监利市纪委监委机 关 监利市委巡察工作 领导小组办公室 监利市委巡察工作 领导小组办公室 监利市委巡察工作 领导小组办公室 监利市委办公室 监利市委办公室 监利市委办公室 监利市委宣传部 监利市委宣传部 监利市委宣传部 监利市委统战部 监利市委统战部 监利市委统战部 监利市委政法委 监利市委政法委 监利市委政法委 监利市委政研室 监利市委政研室 监利市委政研室 监利市信访局 监利市信访局 监利市信访局 监利市委老干局 监利市委老干局 监利市委老干局 监利市发改局 监利市发改局 监利市发改局 执纪监督岗 执纪监督岗 执纪监督岗 执纪监督岗 执纪监督岗 执纪监督岗 文字综合岗 文字综合岗 文字综合岗 文字综合岗 文字综合岗 文字综合岗 14230202010010001 14230202010010001 14230202010010001 14230202010010001 14230202010010001 14230202010010001 14230202010010002 14230202010010002 14230202010010002 14230202010010002 14230202010010002 14230202010010002 4 4 4 4 4 4 2 2 2 2 2 2 张翔 陈雅晴 江润龙 曾俊杰 鲁怡婷 黄倩 秦娜 廖玲星 夏婉仪 易茂灵 吴彤 刘铭辉 男 女 男 男 女 女 女 女 女 女 女 男 142241200607 142240602221 142241100410 142240401228 142241301614 142240601120 142240300227 142241405212 142241101530 142241404717 142241000926 142241400612 70.4 68.8 73.6 66.4 65.6 60.8 65.6 62.4 60.8 49.6 52 50.4 55 55.5 48.5 57 57 62 62 58.5 59 59 50.5 45 63.47 62.815 62.305 62.17 61.73 61.34 63.98 60.645 59.99 53.83 51.325 47.97 7 8 9 10 11 12 1 2 3 4 5 6 文字综合岗 14230202010010003 1 张莹荟 女 142241402608 64.8 59.5 62.415 1 文字综合岗 14230202010010003 1 王立 男 142240207902 61.6 58 59.98 2 文字综合岗 14230202010010003 1 平佳 女 142241001317 51.2 54 52.46 3 综合管理岗 综合管理岗 综合管理岗 综合管理岗 综合管理岗 综合管理岗 综合管理岗 综合管理岗 综合管理岗 综合管理岗 综合管理岗 综合管理岗 文字综合岗 文字综合岗 文字综合岗 文字综合岗 文字综合岗 文字综合岗 综合管理岗 综合管理岗 综合管理岗 文字材料岗 文字材料岗 文字材料岗 1 1 1 1 1 1 1 1 1 1 1 1 1 1 1 1 1 1 1 1 1 1 1 1 方承雄 马欣璐 何仁东 穆泽玮 龚孟婷 叶子文 程前 吴正庆 胡星 李妮 胡庆 王楠 方岳 薛宇宙 吴伦广 胡燕 方松 杨可 曾寒艳 王杰 杨露 郑梦林 张姜江 张雨婷 男 女 男 男 女 男 男 男 男 女 女 女 男 男 男 女 男 女 女 男 女 女 女 女 142240207413 142240302411 142241405423 142240600519 142241104024 142241405013 142240103010 142240300724 142240105912 142240403613 142241300129 142241103418 142241404414 142240211119 142240212325 142240600619 142241403829 142241002714 142241300422 142241004024 142240212907 142241204821 142241100202 142240603308 76.8 66.4 64 62.4 61.6 52.8 67.2 65.6 61.6 71.2 63.2 63.2 72 71.2 56.8 71.2 59.2 62.4 69.6 72.8 68.8 59.2 59.2 60 59.5 59.5 60.5 63.5 53.5 41 67 60.5 56 58 57.5 53.5 55.5 54 58.5 54 64 54.5 65.5 57 59 62 58 57 69.015 63.295 62.425 62.895 57.955 47.49 67.11 63.305 59.08 65.26 60.635 58.835 64.575 63.46 57.565 63.46 61.36 58.845 67.755 65.69 64.39 60.46 58.66 58.65 1 2 3 1 2 3 1 2 3 1 2 3 1 2 3 1 2 3 1 2 3 1 2 3 14230202010010004 14230202010010004 14230202010010004 14230202010010005 14230202010010005 14230202010010005 14230202010010006 14230202010010006 14230202010010006 14230202010010007 14230202010010007 14230202010010007 14230202010010008 14230202010010008 14230202010010008 14230202010010009 14230202010010009 14230202010010009 14230202010010010 14230202010010010 14230202010010010 14230202010010011 14230202010010011 14230202010010011 递补 递补 递补 递补 递补 递补 监利市 监利市 监利市 监利市 监利市 监利市 监利市 监利市 监利市 监利市 监利市 监利市 监利市 监利市 监利市 监利市 监利市 监利市 监利市 监利市 监利市 监利市 监利市 监利市 监利市 监利市 监利市 监利市 监利市 监利市 监利市 监利市 监利市 监利市 监利市 监利市 监利市 监利市发改局 监利市发改局 监利市发改局 监利市教育局 监利市教育局 监利市教育局 监利市教育局 监利市教育局 监利市教育局 监利市科经局 监利市科经局 监利市科经局 监利市科经局 监利市科经局 监利市科经局 监利市民政局 监利市民政局 监利市民政局 监利市民政局 监利市民政局 监利市民政局 监利市财政局 监利市财政局 监利市财政局 监利市财政局 监利市财政局 监利市财政局 监利市人社局 监利市人社局 监利市人社局 监利市人社局 监利市人社局 监利市人社局 监利市自然资源和 规划局 监利市自然资源和 规划局 监利市自然资源和 规划局 监利市自然资源和 规划局 综合管理岗 综合管理岗 综合管理岗 文字综合岗 文字综合岗 文字综合岗 信息技术岗 信息技术岗 信息技术岗 综合管理岗 综合管理岗 综合管理岗 综合管理岗 综合管理岗 综合管理岗 文字综合岗 文字综合岗 文字综合岗 财务会计岗 财务会计岗 财务会计岗 财务管理岗 财务管理岗 财务管理岗 综合管理岗 综合管理岗 综合管理岗 综合管理岗1 综合管理岗1 综合管理岗1 综合管理岗2 综合管理岗2 综合管理岗2 14230202010010012 14230202010010012 14230202010010012 14230202010010013 14230202010010013 14230202010010013 14230202010010014 14230202010010014 14230202010010014 14230202010010015 14230202010010015 14230202010010015 14230202010010015 14230202010010015 14230202010010015 14230202010010016 14230202010010016 14230202010010016 14230202010010017 14230202010010017 14230202010010017 14230202010010018 14230202010010018 14230202010010018 14230202010010019 14230202010010019 14230202010010019 14230202010010020 14230202010010020 14230202010010020 14230202010010021 14230202010010021 14230202010010021 1 1 1 1 1 1 1 1 1 2 2 2 2 2 2 1 1 1 1 1 1 1 1 1 1 1 1 1 1 1 1 1 1 胡文 徐梦琴 左光鹏 胡雨霏 严雨蒙 郭念 黎宇轩 许安涛 朱辉 王军 张语玲 杨瑞灯 朱雨阳 孙华明 柳絮 熊星雨 刘羽立 张楠 张慧枫 罗傲立 周汪汪 何莲莲 周雨茜 杨汝婷 周紫琴 万椰子 张千子 周强强 胡兰 李文敏 项思梦 胡帆 李佩文 男 女 男 女 女 男 男 男 男 男 女 男 男 男 男 女 女 女 女 女 女 女 女 女 女 女 女 男 女 女 女 女 女 142241301119 142241403130 142240601201 142241002505 142240105114 142240102730 142240601706 142240403330 142241002228 142240212330 142241405525 142240602806 142241000822 142240211415 142241004211 142240210802 142241100329 142241302716 142241101205 142241404820 142241403529 142240211926 142241104105 142241001229 142241402206 142241000714 142240401817 142241404802 142240210705 142241303722 142240101210 142240302511 142240103420 72 68 65.6 56.8 56.8 57.6 71.2 75.2 73.6 66.4 68 65.6 63.2 63.2 64 65.6 60 51.2 65.6 64.8 61.6 66.4 61.6 56.8 65.6 64 60 65.6 59.2 61.6 52 56.8 58.4 55 53 55 62 58 55 74.5 58.5 51.5 65 53.5 55 57.5 55.5 54 55 48 50 60 55.5 57.5 63.5 51.5 54 59 58 54 58 58.5 53 70 64 62 64.35 61.25 60.83 59.14 57.34 56.43 72.685 67.685 63.655 65.77 61.475 60.83 60.635 59.735 59.5 60.83 54.6 50.66 63.08 60.615 59.755 65.095 57.055 55.54 62.63 61.3 57.3 62.18 58.885 57.73 60.1 60.04 60.02 1 2 3 1 2 3 1 2 3 1 2 3 4 5 6 1 2 3 1 2 3 1 2 3 1 2 3 1 2 3 1 2 3 综合管理岗 14230202010010022 1 杜潇越 女 142240102911 64.8 59 62.19 1 综合管理岗 14230202010010022 1 江鹏 男 142240105521 63.2 51.5 57.935 2 综合管理岗 14230202010010022 1 汪小茜 女 142241001113 54.4 60.5 57.145 3 信息技术岗 14230202010010023 1 杨旺龙 男 142240207101 67.2 56 62.16 1 递补 监利市 监利市 监利市 监利市 监利市 监利市 监利市 监利市 监利市 监利市 监利市 监利市 监利市 监利市 监利市 监利市 监利市 监利市 监利市 监利市 监利市 监利市 监利市 监利市 监利市 监利市 监利市 监利市 监利市 监利市 监利市 监利市 监利市 监利市 监利市 监利市 监利市 监利市 监利市 监利市 监利市自然资源和 规划局 监利市自然资源和 规划局 监利市住建局 监利市住建局 监利市住建局 监利市住建局 监利市住建局 监利市住建局 监利市交通局 监利市交通局 监利市交通局 监利市交通局 监利市交通局 监利市交通局 监利市水利和湖泊 局 监利市水利和湖泊 局 监利市水利和湖泊 局 监利市商务局 监利市商务局 监利市商务局 监利市卫健局 监利市卫健局 监利市卫健局 监利市应急局 监利市应急局 监利市应急局 监利市审计局 监利市审计局 监利市审计局 监利市审计局 监利市审计局 监利市审计局 监利市统计局 监利市统计局 监利市统计局 监利市医保局 监利市医保局 监利市医保局 监利市医保局 监利市医保局 信息技术岗 14230202010010023 1 王维嘉 男 142241204620 63.2 53 58.61 2 信息技术岗 14230202010010023 1 黄淼 男 142240103626 64.8 51 58.59 3 文字综合岗 文字综合岗 文字综合岗 业务管理岗 业务管理岗 业务管理岗 综合管理岗 综合管理岗 综合管理岗 财务会计岗 财务会计岗 财务会计岗 综合管理岗 综合管理岗 综合管理岗 综合管理岗 综合管理岗 综合管理岗 业务管理岗 业务管理岗 业务管理岗 安全监督岗 安全监督岗 安全监督岗 财务管理岗1 财务管理岗1 财务管理岗1 财务管理岗2 财务管理岗2 财务管理岗2 综合管理岗 综合管理岗 综合管理岗 综合管理岗 综合管理岗 综合管理岗 信息技术岗 信息技术岗 1 1 1 1 1 1 1 1 1 1 1 1 1 1 1 1 1 1 1 1 1 1 1 1 1 1 1 1 1 1 1 1 1 1 1 1 1 1 胡婉欣 李思思 刘倩銮 连晶 武子俊 王薛嘉 乐靖雯 周子星 何薇 张博 付嘉慧 冉龙英 方腾 吴子言 谢猛 穆文静 何衡 田邹 董训康 徐智 黄千千 熊欣月 马力 吴迪 张大睿 杨芷晴 洪祥 杨兰 曹文婷 李雪樱 何子怡 谭青峰 廖江波 丰杨洪 江奇 曹晶 龚佳 黄枭 女 女 女 男 男 男 女 女 女 男 女 女 男 男 男 女 男 女 男 男 女 女 男 女 男 女 男 女 女 女 女 男 男 男 男 男 女 男 142240601209 142240401308 142240212404 142240213207 142240302317 142241300909 142241000603 142240600701 142241103623 142241101408 142240401019 142240400210 142240402909 142241103730 142241401326 142240402602 142240603510 142241100412 142241104302 142240106525 142241000514 142240104908 142240300412 142241401214 142241303918 142240210706 142240105022 142240302307 142241400809 142241400607 142240603730 142240100221 142241100214 142241100505 142240209513 142240303527 142240105427 142240304029 65.6 58.4 52 64.8 73.6 65.6 72 53.6 52 65.6 60.8 51.2 72.8 70.4 68 67.2 65.6 58.4 69.6 61.6 61.6 60.8 55.2 44.8 70.4 72.8 73.6 66.4 65.6 65.6 68.8 70.4 64.8 71.2 69.6 70.4 68.8 63.2 55.5 57 59 60 47.5 57 67 59 57 59 61 57 61 54.5 52.5 62 61 57.5 52 55 52.5 55.5 51 52 59.5 56.5 53.5 61.5 59 56.5 57.5 52.5 53.5 56.5 56 50 59.5 53 61.055 57.77 55.15 62.64 61.855 61.73 69.75 56.03 54.25 62.63 60.89 53.81 67.49 63.245 61.025 64.86 63.53 57.995 61.68 58.63 57.505 58.415 53.31 48.04 65.495 65.465 64.555 64.195 62.63 61.505 63.715 62.345 59.715 64.585 63.48 61.22 64.615 58.61 1 2 3 1 2 3 1 2 3 1 2 3 1 2 3 1 2 3 1 2 3 1 2 3 1 2 3 1 2 3 1 2 3 1 2 3 1 2 14230202010010024 14230202010010024 14230202010010024 14230202010010025 14230202010010025 14230202010010025 14230202010010026 14230202010010026 14230202010010026 14230202010010027 14230202010010027 14230202010010027 14230202010010028 14230202010010028 14230202010010028 14230202010010029 14230202010010029 14230202010010029 14230202010010031 14230202010010031 14230202010010031 14230202010010033 14230202010010033 14230202010010033 14230202010010034 14230202010010034 14230202010010034 14230202010010035 14230202010010035 14230202010010035 14230202010010036 14230202010010036 14230202010010036 14230202010010037 14230202010010037 14230202010010037 14230202010010038 14230202010010038 监利市 监利市 监利市 监利市 监利市 监利市 监利市 监利市 监利市 监利市 监利市 监利市 监利市 监利市 监利市 监利市 监利市 监利市 监利市 监利市 监利市 监利市 监利市 监利市 监利市 监利市 监利市 监利市 监利市 监利市 监利市 监利市 监利市 监利市 监利市 监利市 监利市 监利市 监利市 监利市 监利市 监利市 监利市医保局 监利市公安局 监利市公安局 监利市公安局 监利市公安局 监利市公安局 监利市公安局 监利市公安局 监利市公安局 监利市公安局 监利市公安局 监利市公安局 监利市公安局 监利市公安局 监利市公安局 监利市公安局 监利市公安局 监利市公安局 监利市公安局 监利市公安局 监利市公安局 监利市公安局 监利市公安局 监利市公安局 监利市公安局 监利市公安局 监利市公安局 监利市公安局 监利市公安局 监利市公安局 监利市公安局 监利市公安局 监利市公安局 监利市公安局 监利市公安局 监利市公安局 监利市公安局 监利市公安局 监利市公安局 监利市公安局 监利市公安局 监利市公安局 信息技术岗 综合管理岗 综合管理岗 综合管理岗 执法勤务岗1 执法勤务岗1 执法勤务岗1 执法勤务岗1 执法勤务岗1 执法勤务岗1 执法勤务岗1 执法勤务岗1 执法勤务岗1 执法勤务岗2 执法勤务岗2 执法勤务岗2 执法勤务岗2 执法勤务岗2 执法勤务岗2 执法勤务岗2 执法勤务岗2 执法勤务岗2 执法勤务岗3 执法勤务岗3 执法勤务岗3 执法勤务岗3 执法勤务岗3 执法勤务岗3 执法勤务岗3 执法勤务岗3 执法勤务岗3 执法勤务岗3 执法勤务岗3 执法勤务岗3 执法勤务岗4 执法勤务岗4 执法勤务岗4 执法勤务岗4 执法勤务岗4 执法勤务岗4 执法勤务岗4 执法勤务岗4 14230202010010038 14230202010010039 14230202010010039 14230202010010039 14230202010010040 14230202010010040 14230202010010040 14230202010010040 14230202010010040 14230202010010040 14230202010010040 14230202010010040 14230202010010040 14230202010010041 14230202010010041 14230202010010041 14230202010010041 14230202010010041 14230202010010041 14230202010010041 14230202010010041 14230202010010041 14230202010010042 14230202010010042 14230202010010042 14230202010010042 14230202010010042 14230202010010042 14230202010010042 14230202010010042 14230202010010042 14230202010010042 14230202010010042 14230202010010042 14230202010010043 14230202010010043 14230202010010043 14230202010010043 14230202010010043 14230202010010043 14230202010010043 14230202010010043 1 1 1 1 3 3 3 3 3 3 3 3 3 3 3 3 3 3 3 3 3 3 4 4 4 4 4 4 4 4 4 4 4 4 4 4 4 4 4 4 4 4 陈逸妮 邓瑶 刘琳娣 吴炫兮 陈明 蔡夙峰 胡清全 李翔 覃笠 胡三祥 瞿逸达 胡青 祝齐 魏虎 高逵 宁杰 刘盛越 杨周 邓磊 候成龙 魏昊 罗晓琪 李亚飞 李广 伍雄风 李叶龙 宋桢涛 刘清华 曹凌云 陆凌鹏 李征 李永康 雷春晓 周子健 彭奇昊 杨棋 欧阳晨光 胡浩 龚险峰 曹攀 蔡云 肖杰 女 女 女 女 男 男 男 男 男 男 男 男 男 男 男 男 男 男 男 男 男 男 男 男 男 男 男 男 男 男 男 男 男 男 男 男 男 男 男 男 男 男 142241102715 142240502827 142240501316 142240500902 142240502303 142240501429 142240502820 142240500930 142240502603 142240501009 142240501224 142240503526 142240501505 142240501415 142240502204 142240502701 142240502006 142240503013 142240502608 142240500720 142240504005 142240501314 142240503206 142240503517 142240503201 142240503405 142240502007 142240502414 142240502406 142240502729 142240501916 142240501416 142240503530 142240500810 142240500908 142240501515 142240504012 142240503916 142240501210 142240503418 142240501126 142240501629 58.4 64 60 52 68.8 69.6 63.2 59.2 58.4 57.6 52 50.4 60.8 68 68 63.2 58.4 52 62.4 56 59.2 56.8 68 66.4 59.2 59.2 59.2 64 60.8 60 56.8 56 47.2 56 74.4 58.4 64.8 60.8 56 53.6 59.2 52.8 58.5 59.5 48 42.5 58 55 56 52.5 59 54.5 51 57 36 58 61 49.5 52 62.5 47.5 55 54.5 47 57.5 52 60 53 51.5 55 54 51 61 58 58.5 51.5 58 57 56.5 48.5 49 58 54 43.5 56 44 58 74 65 67 69 56 61 68 63 63 66 55 65 65 62 63 59 55 63 73 75 64 68 68 58 62 66 60 63 74 69 74 74 64 62 67 60 54 55 58.445 60.25 51.6 50.95 67.12 63.84 62.18 60.13 57.86 57.69 56.5 56.16 54.02 64.4 62 59.63 58.46 58.15 58.11 56.6 56.53 55.72 66.35 64.66 60.88 59.98 59.53 59.5 59.12 59.1 59.02 58.7 58.63 58.55 69.36 62.66 62.07 57.47 57.2 56.84 56.08 50.67 3 1 2 3 1 2 3 4 5 6 7 8 9 1 2 3 4 5 6 7 8 9 1 2 3 4 5 6 7 8 9 10 11 12 1 2 3 4 5 6 7 8 递补 监利市 监利市 监利市 监利市 监利市 监利市 监利市 监利市 监利市 监利市 监利市 监利市 监利市 监利市 监利市 监利市 监利市 监利市 监利市 监利市 监利市 监利市 监利市 监利市 监利市 监利市 监利市 监利市 监利市 监利市 监利市 监利市 监利市 监利市 监利市 监利市 监利市 监利市 监利市 监利市 监利市 监利市 监利市公安局 监利市公安局 监利市公安局 监利市公安局 监利市公安局 监利市公安局 监利市公安局 监利市公安局 监利市公安局 监利市公安局 监利市公安局 监利市公安局 监利市公安局 监利市公安局 监利市公安局 监利市公安局 监利市公安局 监利市公安局 监利市公安局 监利市公安局 监利市公安局 监利市公安局 监利市司法局 监利市司法局 监利市司法局 监利市司法局 监利市司法局 监利市司法局 监利市司法局 监利市司法局 监利市司法局 监利市司法局 监利市司法局 监利市司法局 监利市司法局 监利市司法局 监利市司法局 监利市人民法院 监利市人民法院 监利市人民法院 监利市人民法院 监利市人民法院 执法勤务岗4 执法勤务岗4 执法勤务岗4 执法勤务岗4 执法勤务岗5 执法勤务岗5 执法勤务岗5 执法勤务岗5 执法勤务岗5 执法勤务岗5 执法勤务岗6 执法勤务岗6 执法勤务岗6 执法勤务岗6 执法勤务岗6 执法勤务岗6 执法勤务岗6 执法勤务岗6 执法勤务岗6 执法勤务岗6 执法勤务岗6 执法勤务岗6 乡镇司法所 岗 乡镇司法所 岗 乡镇司法所 岗 乡镇司法所 岗 乡镇司法所 岗 乡镇司法所 岗 乡镇司法所 岗 乡镇司法所 岗 乡镇司法所 岗 文字综合岗 文字综合岗 文字综合岗 财务管理岗 财务管理岗 财务管理岗 网络信息岗 网络信息岗 网络信息岗 财务管理岗 财务管理岗 14230202010010043 14230202010010043 14230202010010043 14230202010010043 14230202010010044 14230202010010044 14230202010010044 14230202010010044 14230202010010044 14230202010010044 14230202010010045 14230202010010045 14230202010010045 14230202010010045 14230202010010045 14230202010010045 14230202010010045 14230202010010045 14230202010010045 14230202010010045 14230202010010045 14230202010010045 14230202010010046 14230202010010046 14230202010010046 14230202010010046 14230202010010046 14230202010010046 14230202010010046 14230202010010046 14230202010010046 14230202010010047 14230202010010047 14230202010010047 14230202010010048 14230202010010048 14230202010010048 14230202010010049 14230202010010049 14230202010010049 14230202010010050 14230202010010050 4 4 4 4 2 2 2 2 2 2 4 4 4 4 4 4 4 4 4 4 4 4 3 3 3 3 3 3 3 3 3 1 1 1 1 1 1 1 1 1 1 1 尹沛 胡前洲 朱立赛 柳少峰 郑启 井雅辰 李万吉 鲁昱皓 李同 孙胜代 戴云龙 康文明 陈林 郑俊 程思瀚 喻昊辰 孙吉鹏 黄曾辉 覃飞鸿 欧阳昱 张庄健 柳昂 吴涵 陈青云 李镇伶 王露潞 张力力 吴丹 袁睿 张艺白 杨鸣 彭伊娃 霍小草 余一园 王凯薇 徐雨微 刘莎 王航 郝佳 李成 何家怡 赵军 男 男 男 男 男 男 男 男 男 男 男 男 男 男 男 男 男 男 男 男 男 男 女 男 女 女 女 女 男 女 女 女 女 女 女 女 女 男 女 男 女 男 142240503011 142240502517 142240504216 142240502210 142240501013 142240504213 142240503116 142240501714 142240501211 142240501022 142240500712 142240501903 142240503311 142240502104 142240502411 142240501207 142240501904 142240503109 142240500802 142240503627 142240503608 142240502113 142241002824 142240207601 142241102028 142241303928 142241004109 142240402517 142241003907 142240603011 142240301111 142240209318 142240603414 142241004227 142240104129 142240603727 142241404719 142240303625 142241201012 142241400705 142241403016 142240402501 44.8 43.2 38.4 42.4 50.4 49.6 48.8 58.4 48.8 46.4 65.6 64.8 64.8 62.4 59.2 54.4 52.8 48 60 56 46.4 49.6 68 63.2 64 57.6 59.2 53.6 55.2 52.8 52.8 66.4 66.4 62.4 67.2 64.8 65.6 75.2 55.2 55.2 60.8 66.4 54 42.5 47.5 42 60 56.5 52 51 46 52.5 58.5 55.5 50.5 52.5 51.5 59 53 52.5 38.5 51 55 58 55.5 58 56.5 56 53 59.5 57.5 60 58.5 60 54 53.5 60 61 55.5 60.5 61 56.5 59 51.5 51 51 50 42 63 60 65 44 54 50 62 65 67 57 55 53 60 62 60 52 54 46 49.42 45.33 44.61 42.16 57.06 54.79 54.62 51.86 49.52 49.31 62.39 62.07 61.17 57.81 55.63 55.36 55.02 53.55 53.55 53.3 51.26 51.04 62.375 60.86 60.625 56.88 56.41 56.255 56.235 56.04 55.365 63.52 60.82 58.395 63.96 63.09 61.055 68.585 57.81 55.785 59.99 59.695 9 10 11 12 1 2 3 4 5 6 1 2 3 4 5 6 7 8 8 10 11 12 1 2 3 4 5 6 7 8 9 1 2 3 1 2 3 1 2 3 1 2 递补 监利市 监利市 监利市 监利市 监利市 监利市 监利市 监利市 监利市 监利市 监利市 监利市 监利市 监利市 监利市 监利市 监利市 监利市 监利市 监利市 监利市 监利市 监利市 监利市 监利市 监利市 监利市 监利市 监利市 监利市 监利市 监利市 监利市 监利市 监利市 监利市 监利市 监利市 监利市 监利市 监利市 监利市 监利市人民法院 监利市人民法院 监利市人民法院 监利市人民法院 监利市人民法院 监利市人民法院 监利市人民法院 监利市人民检察院 监利市人民检察院 监利市人民检察院 监利市人民检察院 监利市人民检察院 监利市人民检察院 监利市委党校 监利市委党校 监利市委党校 监利市委党校 监利市委党校 监利市委党校 监利市乡镇机关 监利市乡镇机关 监利市乡镇机关 监利市乡镇机关 监利市乡镇机关 监利市乡镇机关 监利市乡镇机关 监利市乡镇机关 监利市乡镇机关 监利市乡镇机关 监利市乡镇机关 监利市乡镇机关 监利市乡镇机关 监利市乡镇机关 监利市乡镇机关 监利市乡镇机关 监利市乡镇机关 监利市乡镇机关 监利市乡镇机关 监利市乡镇机关 监利市乡镇机关 监利市乡镇机关 监利市乡镇机关 财务管理岗 综合管理岗 综合管理岗 综合管理岗 综合管理岗 综合管理岗 综合管理岗 行政管理岗 行政管理岗 行政管理岗 检查技术岗 检查技术岗 检查技术岗 综合管理岗 综合管理岗 综合管理岗 综合管理岗 综合管理岗 综合管理岗 综合管理岗1 综合管理岗1 综合管理岗1 综合管理岗1 综合管理岗1 综合管理岗1 综合管理岗1 综合管理岗1 综合管理岗1 综合管理岗1 综合管理岗1 综合管理岗1 综合管理岗1 综合管理岗1 综合管理岗1 综合管理岗2 综合管理岗2 综合管理岗2 综合管理岗2 综合管理岗2 综合管理岗2 综合管理岗2 综合管理岗2 14230202010010050 14230202010010051 14230202010010051 14230202010010051 14230202010010051 14230202010010051 14230202010010051 14230202010010052 14230202010010052 14230202010010052 14230202010010053 14230202010010053 14230202010010053 14230202010010054 14230202010010054 14230202010010054 14230202010010054 14230202010010054 14230202010010054 14230202010010055 14230202010010055 14230202010010055 14230202010010055 14230202010010055 14230202010010055 14230202010010055 14230202010010055 14230202010010055 14230202010010055 14230202010010055 14230202010010055 14230202010010055 14230202010010055 14230202010010055 14230202010010056 14230202010010056 14230202010010056 14230202010010056 14230202010010056 14230202010010056 14230202010010056 14230202010010056 1 2 2 2 2 2 2 1 1 1 1 1 1 2 2 2 2 2 2 5 5 5 5 5 5 5 5 5 5 5 5 5 5 5 5 5 5 5 5 5 5 5 覃雨杰 金彩 李巍然 欧阳莹 朱杰 伍思思 刘文 陈娟子 龚德权 柳丹 赵少奇 张嘉芃 史常媛 邹艳玲 金晨 陈斐 聂丽萍 杨澳丽 王颖 崔海容 邱紫豪 王思平 夏思祺 刘梦轩 方正 杨森 周正龙 黄致 吴太阁 侯彭菲雪 沈传亮 卢思伟 罗燕 杨名 刘慧敏 危青 廖强 余佳琪 邓巧巧 郭天奎 王燕 胡玲 男 女 男 女 男 女 男 女 男 女 女 女 女 女 男 女 女 女 女 男 男 男 女 女 男 男 男 男 男 女 男 男 女 男 女 女 男 男 女 男 女 女 142241301426 142240102005 142241201519 142241104402 142241201902 142240211715 142240106607 142240104505 142240104824 142240207224 142240301201 142241003421 142240300625 142241301001 142240211927 142241302004 142240403116 142241102603 142241104322 142240212929 142241001705 142241201023 142241301120 142240402516 142240105511 142240602418 142240106626 142240209328 142240402801 142240104428 142241103922 142241202829 142241104208 142240100123 142241403613 142240302324 142241405609 142240600915 142241300205 142241201601 142241404715 142240603113 52 64 72.8 68 72.8 64.8 70.4 68.8 64.8 59.2 72 56 57.6 64 63.2 60.8 61.6 56 64 65.6 74.4 59.2 60.8 60 64 55.2 57.6 62.4 57.6 48 56 56.8 53.6 51.2 61.6 64.8 61.6 62.4 56.8 60.8 60 55.2 64 73 62 64 56.5 61.5 52.5 55.5 52 56.5 51.5 61 55 59.5 58 59.5 58.5 63 53 60 49 61.5 59.5 58.5 53.5 59.5 56 50 53 64.5 54.5 52.5 51.5 49 60 55.5 58.5 55.5 58.5 53.5 54 59 57.4 68.05 67.94 66.2 65.465 63.315 62.345 62.815 59.04 57.985 62.775 58.25 56.43 61.975 60.86 60.215 60.205 59.15 59.05 63.08 62.97 60.235 60.215 59.325 59.275 57.135 56.88 56.82 55.53 55.425 55.325 54.865 52.655 50.21 60.88 60.615 60.205 59.295 57.565 57.515 57.3 56.91 3 1 2 3 4 5 6 1 2 3 1 2 3 1 2 3 4 5 6 1 2 3 4 5 6 7 8 9 10 11 12 13 14 15 1 2 3 4 5 6 7 8 递补 递补 监利市 监利市 监利市 监利市 监利市 监利市 监利市 监利市 监利市 监利市 监利市 监利市 监利市 监利市 监利市 监利市 监利市 监利市 监利市 监利市 监利市 监利市 监利市 监利市 监利市 监利市 监利市 监利市 监利市 监利市 监利市 监利市 监利市 监利市 监利市 监利市 监利市 监利市 监利市 监利市 监利市 监利市 监利市乡镇机关 监利市乡镇机关 监利市乡镇机关 监利市乡镇机关 监利市乡镇机关 监利市乡镇机关 监利市乡镇机关 监利市乡镇机关 监利市乡镇机关 监利市乡镇机关 监利市乡镇机关 监利市乡镇机关 监利市乡镇机关 监利市乡镇机关 监利市乡镇机关 监利市乡镇机关 监利市乡镇机关 监利市乡镇机关 监利市乡镇机关 监利市乡镇机关 监利市乡镇机关 监利市乡镇机关 监利市乡镇机关 监利市乡镇机关 监利市乡镇机关 监利市乡镇机关 监利市乡镇机关 监利市乡镇机关 监利市乡镇机关 监利市乡镇机关 监利市乡镇机关 监利市乡镇机关 监利市乡镇机关 监利市乡镇机关 监利市乡镇机关 监利市乡镇机关 监利市乡镇机关 监利市乡镇机关 监利市乡镇机关 监利市乡镇机关 监利市乡镇机关 监利市乡镇机关 综合管理岗2 综合管理岗2 综合管理岗2 综合管理岗2 综合管理岗2 综合管理岗2 综合管理岗2 综合管理岗3 综合管理岗3 综合管理岗3 综合管理岗3 综合管理岗3 综合管理岗3 综合管理岗3 综合管理岗3 综合管理岗3 综合管理岗3 综合管理岗3 综合管理岗3 综合管理岗3 综合管理岗3 综合管理岗3 综合管理岗4 综合管理岗4 综合管理岗4 综合管理岗4 综合管理岗4 综合管理岗4 综合管理岗4 综合管理岗4 综合管理岗4 综合管理岗4 综合管理岗4 综合管理岗4 综合管理岗4 综合管理岗4 综合管理岗4 综合管理岗5 综合管理岗5 综合管理岗5 综合管理岗5 综合管理岗5 14230202010010056 14230202010010056 14230202010010056 14230202010010056 14230202010010056 14230202010010056 14230202010010056 14230202010010057 14230202010010057 14230202010010057 14230202010010057 14230202010010057 14230202010010057 14230202010010057 14230202010010057 14230202010010057 14230202010010057 14230202010010057 14230202010010057 14230202010010057 14230202010010057 14230202010010057 14230202010010058 14230202010010058 14230202010010058 14230202010010058 14230202010010058 14230202010010058 14230202010010058 14230202010010058 14230202010010058 14230202010010058 14230202010010058 14230202010010058 14230202010010058 14230202010010058 14230202010010058 14230202010010059 14230202010010059 14230202010010059 14230202010010059 14230202010010059 5 5 5 5 5 5 5 5 5 5 5 5 5 5 5 5 5 5 5 5 5 5 5 5 5 5 5 5 5 5 5 5 5 5 5 5 5 5 5 5 5 5 黎奥 贺辉辉 朱晨 贺古月 杨梓谦 黄水生 刘秋雨 沈烈康 杨彤 夏政 王雨晴 彭滢 吴皓华 刘靖宇 武昊阡 张华 吴砚池 文畅 唐慧 储亚立 万亮帆 周龙 杨捷 叶子鹏 杨亮 李帅 李威 周佳敏 王聪 赵敏 胡伟航 刘珂颖 何政宇 李一剑 陈椰 孙学 向卉 方艳 杨雨琦 刘雨纤 彭英 丁阳 男 男 女 男 男 男 女 男 女 男 女 女 男 女 男 男 女 女 女 女 女 男 男 男 男 男 男 女 男 女 男 女 男 男 女 男 女 女 女 女 女 男 142241304010 142240104017 142240207509 142241001004 142240602625 142241401321 142240402606 142241102005 142240208722 142240303409 142241300807 142241102630 142240602027 142241100510 142241400202 142240103113 142240303018 142240208329 142241303810 142241003302 142240302124 142241004008 142241203308 142240207116 142241300514 142241200814 142241001201 142241303514 142240104212 142241002310 142240304005 142240212403 142240209928 142241000809 142241200824 142240104410 142240400914 142240301807 142241403617 142241201206 142240211506 142240603216 54.4 57.6 54.4 58.4 58.4 60 56.8 68.8 64 60 59.2 65.6 59.2 58.4 66.4 60.8 59.2 51.2 60.8 53.6 54.4 53.6 62.4 65.6 58.4 64.8 65.6 60.8 62.4 57.6 56 56 52.8 61.6 47.2 48 53.6 67.2 63.2 60.8 68 59.2 58 54 57.5 52.5 51 49 52.5 60 61.5 59 59 50 57.5 57 46.5 53 54 62.5 50.5 58.5 57.5 55.5 60.5 55.5 62.5 54 53 58 55.5 60.5 62 57 55.5 41 58.5 57.5 49 58 60.5 63 53 60 56.02 55.98 55.795 55.745 55.07 55.05 54.865 64.84 62.875 59.55 59.11 58.58 58.435 57.77 57.445 57.29 56.86 56.285 56.165 55.805 55.795 54.455 61.545 61.055 60.245 59.94 59.93 59.54 59.295 58.905 58.7 56.45 54.015 52.33 52.285 52.275 51.53 63.06 61.985 61.79 61.25 59.56 9 10 11 12 13 14 15 1 2 3 4 5 6 7 8 9 10 11 12 13 14 15 1 2 3 4 5 6 7 8 9 10 11 12 13 14 15 1 2 3 4 5 递补 递补 递补 递补 监利市 监利市 监利市 监利市 监利市 监利市 监利市 监利市 监利市 监利市 监利市 监利市 监利市 监利市 监利市 监利市 监利市 监利市 监利市 监利市 监利市 监利市 监利市 监利市 监利市 监利市 监利市 监利市 监利市 监利市 监利市 监利市 监利市 监利市 监利市 监利市 监利市 监利市 监利市 监利市 监利市 监利市 监利市乡镇机关 监利市乡镇机关 监利市乡镇机关 监利市乡镇机关 监利市乡镇机关 监利市乡镇机关 监利市乡镇机关 监利市乡镇机关 监利市乡镇机关 监利市乡镇机关 监利市乡镇机关 监利市乡镇机关 监利市乡镇机关 监利市乡镇机关 监利市乡镇机关 监利市乡镇机关 监利市乡镇机关 监利市乡镇机关 监利市乡镇机关 监利市乡镇机关 监利市乡镇机关 监利市乡镇机关 监利市乡镇机关 监利市乡镇机关 监利市乡镇机关 监利市乡镇机关 监利市乡镇机关 监利市乡镇机关 监利市乡镇机关 监利市乡镇机关 监利市乡镇机关 监利市乡镇机关 监利市乡镇机关 监利市乡镇机关 监利市乡镇机关 监利市乡镇机关 监利市乡镇机关 监利市乡镇机关 监利市乡镇机关 监利市乡镇机关 监利市乡镇机关 监利市乡镇机关 综合管理岗5 综合管理岗5 综合管理岗5 综合管理岗5 综合管理岗5 综合管理岗5 综合管理岗5 综合管理岗5 综合管理岗5 综合管理岗5 综合管理岗6 综合管理岗6 综合管理岗6 综合管理岗6 综合管理岗6 综合管理岗6 综合管理岗6 综合管理岗6 综合管理岗6 综合管理岗6 综合管理岗6 综合管理岗6 综合管理岗6 综合管理岗6 综合管理岗6 综合管理岗7 综合管理岗7 综合管理岗7 综合管理岗7 综合管理岗7 综合管理岗7 综合管理岗7 综合管理岗7 综合管理岗7 综合管理岗7 综合管理岗7 综合管理岗7 综合管理岗7 综合管理岗7 综合管理岗7 综合管理岗7 综合管理岗8 14230202010010059 14230202010010059 14230202010010059 14230202010010059 14230202010010059 14230202010010059 14230202010010059 14230202010010059 14230202010010059 14230202010010059 14230202010010060 14230202010010060 14230202010010060 14230202010010060 14230202010010060 14230202010010060 14230202010010060 14230202010010060 14230202010010060 14230202010010060 14230202010010060 14230202010010060 14230202010010060 14230202010010060 14230202010010060 14230202010010061 14230202010010061 14230202010010061 14230202010010061 14230202010010061 14230202010010061 14230202010010061 14230202010010061 14230202010010061 14230202010010061 14230202010010061 14230202010010061 14230202010010061 14230202010010061 14230202010010061 14230202010010061 14230202010010062 5 5 5 5 5 5 5 5 5 5 5 5 5 5 5 5 5 5 5 5 5 5 5 5 5 5 5 5 5 5 5 5 5 5 5 5 5 5 5 5 5 5 万佳轩 李冉 刘铭 陈爽 董佳熙 瞿运好 梁馨怡 武昊陌 段静仪 高枫 杨威 王敏 雷琴 杨俊 唐力 龚山强 周思汝 郭松江 李庆 王静 潘琪 陈文孝 魏超 邹栗 别克 陈婷 张子康 叶玲 兰若旭 赵童卓 彭进新 黄轩 田助铭 刘冰峰 冉佩 曾金 田璐璐 张诚 代自立 钱天鸿 马陈星 黎安安 女 女 男 男 男 男 女 女 女 男 男 女 女 男 男 男 女 男 男 女 女 男 男 男 男 女 男 女 男 男 男 男 男 男 男 男 女 男 男 男 男 女 142241103608 142241404920 142240402430 142240302515 142240301711 142241203509 142241003922 142241404129 142241101711 142240208608 142240602001 142240402112 142241204830 142240303830 142240207312 142240301519 142241003819 142240209426 142241104406 142240400727 142240211505 142240106502 142240211920 142240100823 142240400121 142241405029 142240212204 142240104305 142241002225 142240600316 142241304012 142240302923 142241202706 142241003102 142241405120 142240100429 142241202503 142240602105 142240400406 142241002224 142240603523 142241302607 57.6 62.4 59.2 56.8 54.4 51.2 49.6 42.4 44 47.2 72 66.4 64 65.6 62.4 69.6 66.4 60 64.8 65.6 61.6 56.8 52.8 57.6 59.2 72 69.6 67.2 61.6 67.2 66.4 61.6 64 63.2 58.4 58.4 60 62.4 59.2 58.4 58.4 68 60 53.5 49.5 52 50.5 54 49.5 57.5 55.5 48.5 63 66 64.5 60.5 61 51.5 54.5 60.5 54 52.5 57 61.5 65.5 59.5 57.5 60 60.5 59 64 57 56.5 62 56.5 56 61 60.5 58.5 55.5 57.5 57.5 57.5 63 58.68 58.395 54.835 54.64 52.645 52.46 49.555 49.195 49.175 47.785 67.95 66.22 64.225 63.305 61.77 61.455 61.045 60.225 59.94 59.705 59.53 58.915 58.515 58.455 58.435 66.6 65.505 63.51 62.68 62.61 61.945 61.78 60.625 59.96 59.57 59.345 59.325 59.295 58.435 57.995 57.995 65.75 6 7 8 9 10 11 12 13 14 15 1 2 3 4 5 6 7 8 9 10 11 12 13 14 15 1 2 3 4 5 6 7 8 9 10 11 12 13 14 15 15 1 递补 监利市 监利市乡镇机关 综合管理岗8 监利市 监利市乡镇机关 综合管理岗8 监利市 监利市乡镇机关 综合管理岗8 监利市 监利市乡镇机关 综合管理岗8 监利市 监利市乡镇机关 综合管理岗8 监利市 监利市乡镇机关 综合管理岗8 监利市 监利市乡镇机关 综合管理岗8 监利市 监利市乡镇机关 综合管理岗8 监利市 监利市乡镇机关 综合管理岗8 监利市 监利市乡镇机关 综合管理岗8 监利市 监利市乡镇机关 综合管理岗8 监利市 监利市乡镇机关 综合管理岗8 监利市 监利市乡镇机关 综合管理岗8 监利市 监利市乡镇机关 综合管理岗8 监利市 监利市乡镇机关 综合管理岗9 监利市 监利市乡镇机关 综合管理岗9 监利市 监利市乡镇机关 综合管理岗9 监利市 监利市乡镇机关 综合管理岗9 监利市 监利市乡镇机关 综合管理岗9 监利市 监利市乡镇机关 综合管理岗9 监利市 监利市乡镇机关 综合管理岗9 监利市 监利市乡镇机关 综合管理岗9 监利市 监利市乡镇机关 综合管理岗9 监利市 监利市乡镇机关 综合管理岗9 监利市 监利市乡镇机关 综合管理岗9 监利市 监利市乡镇机关 综合管理岗9 监利市 监利市乡镇机关 综合管理岗9 监利市 监利市乡镇机关 综合管理岗9 监利市 监利市乡镇机关 综合管理岗9 荆州市乡 镇(街道 )机关招 荆州市荆州区乡镇 综合管理岗 (街道)机关 录村(社 区)干部 职位 荆州市乡 14230202010010062 14230202010010062 14230202010010062 14230202010010062 14230202010010062 14230202010010062 14230202010010062 14230202010010062 14230202010010062 14230202010010062 14230202010010062 14230202010010062 14230202010010062 14230202010010062 14230202010010063 14230202010010063 14230202010010063 14230202010010063 14230202010010063 14230202010010063 14230202010010063 14230202010010063 14230202010010063 14230202010010063 14230202010010063 14230202010010063 14230202010010063 14230202010010063 14230202010010063 5 5 5 5 5 5 5 5 5 5 5 5 5 5 5 5 5 5 5 5 5 5 5 5 5 5 5 5 5 王祎 董惠芳 李军 付秋玲 王龙舟 程亚琴 王敦 胡潇 李舟舟 黄楷荣 程曦 金诗琦 罗忍 李新苗 王彩霞 马蓉 张滔 冉良彦 刘彩绵 徐羽珊 连政 付家奇 聂彭 唐梦荣 胡雪怡 曾佳琪 沈康 付言婕子 郝彪 男 女 男 女 男 女 男 女 男 男 男 男 男 女 女 女 男 男 女 女 男 男 男 女 女 女 男 女 男 142240103014 142240104026 142240211125 142241404602 142241101214 142241403724 142240400813 142240105702 142241000227 142240302625 142240209111 142240210024 142241301410 142240213229 142240300530 142240101928 142241002809 142241300302 142240104215 142240400610 142241203726 142240601807 142241405416 142241102216 142240303313 142241404125 142241400317 142241202611 142240102925 14230202010011001 2 田珊山 女 442306005219 2 马聂 男 442306219018 镇(街道 )机关招 荆州市荆州区乡镇 综合管理岗 14230202010011001 (街道)机关 录村(社 区)干部 职位 63.2 59.2 64.8 60.8 61.6 56.8 60 57.6 56.8 60.8 64.8 60 63.2 51.2 67.2 67.2 69.6 64.8 65.6 66.4 64.8 70.4 68 66.4 58.4 56.8 64.8 62.4 56 62.5 64 57 58.5 57 62.5 58.5 61 61.5 56 50 53 49 62 63.5 62 56.5 61.5 59.5 58.5 59 52 54.5 56 65.5 66.5 56 56 62.5 62.885 61.36 61.29 59.765 59.53 59.365 59.325 59.13 58.915 58.64 58.14 56.85 56.81 56.06 65.535 64.86 63.705 63.315 62.855 62.845 62.19 62.12 61.925 61.72 61.595 61.165 60.84 59.52 58.925 2 3 4 5 6 7 8 9 10 11 12 13 14 15 1 2 3 4 5 6 7 8 9 10 11 12 13 14 15 64 64 1 60 60 2 递补 荆州市乡 镇(街道 )机关招 荆州市荆州区乡镇 综合管理岗 14230202010011001 (街道)机关 录村(社 区)干部 职位 荆州市乡 镇(街道 )机关招 荆州市荆州区乡镇 综合管理岗 14230202010011001 (街道)机关 录村(社 区)干部 职位 荆州市乡 镇(街道 )机关招 荆州市荆州区乡镇 综合管理岗 14230202010011001 (街道)机关 录村(社 区)干部 职位 荆州市乡 镇(街道 )机关招 荆州市荆州区乡镇 综合管理岗 14230202010011001 (街道)机关 录村(社 区)干部 职位 荆州市乡 镇(街道 )机关招 录村(社 区)干部 职位 荆州市乡 镇(街道 )机关招 录村(社 区)干部 职位 荆州市乡 镇(街道 )机关招 录村(社 区)干部 职位 荆州市乡 镇(街道 )机关招 录村(社 区)干部 职位 2 刘心亚 女 442306110606 58.5 58.5 3 2 郭金玉 女 442306219217 58 58 4 2 刘安娜 女 442306213412 57.5 57.5 5 2 刘祺 女 442306005512 54.5 54.5 6 江陵县乡镇机关 综合管理岗1 14230202010011002 2 李敏 男 442306212123 59 59 1 江陵县乡镇机关 综合管理岗1 14230202010011002 2 郭锋 男 442306215807 53 53 2 江陵县乡镇机关 综合管理岗1 14230202010011002 2 陈凌云 男 442306002108 52.5 52.5 3 江陵县乡镇机关 综合管理岗1 14230202010011002 2 张溯凡 男 442306212106 50 50 4 荆州市乡 镇(街道 )机关招 录村(社 区)干部 职位 荆州市乡 镇(街道 )机关招 录村(社 区)干部 职位 荆州市乡 镇(街道 )机关招 录村(社 区)干部 职位 荆州市乡 镇(街道 )机关招 录村(社 区)干部 职位 荆州市乡 镇(街道 )机关招 录村(社 区)干部 职位 荆州市乡 镇(街道 )机关招 录村(社 区)干部 职位 荆州市乡 镇(街道 )机关招 录村(社 区)干部 职位 荆州市乡 镇(街道 )机关招 录村(社 区)干部 职位 江陵县乡镇机关 综合管理岗1 14230202010011002 2 李俊 男 442306106227 49.5 49.5 5 江陵县乡镇机关 综合管理岗1 14230202010011002 2 徐威 男 442306213208 47.5 47.5 6 江陵县乡镇机关 综合管理岗1 14230202010011002 2 黄毅 男 442306002730 47.5 47.5 6 江陵县乡镇机关 综合管理岗2 14230202010011003 2 黄键 男 442306107317 57 57 1 江陵县乡镇机关 综合管理岗2 14230202010011003 2 雷洁 女 442306213721 54.5 54.5 2 江陵县乡镇机关 综合管理岗2 14230202010011003 2 严小曼 女 442306109427 52 52 3 江陵县乡镇机关 综合管理岗2 14230202010011003 2 付扬 男 442306111112 48 48 4 江陵县乡镇机关 综合管理岗2 14230202010011003 2 何文文 男 442306110121 48 48 4 荆州市乡 镇(街道 )机关招 录村(社 区)干部 职位 荆州市乡 镇(街道 )机关招 录村(社 区)干部 职位 荆州市乡 镇(街道 )机关招 录村(社 区)干部 职位 荆州市乡 镇(街道 )机关招 录村(社 区)干部 职位 荆州市乡 镇(街道 )机关招 录村(社 区)干部 职位 荆州市乡 镇(街道 )机关招 录村(社 区)干部 职位 荆州市乡 镇(街道 )机关招 录村(社 区)干部 职位 荆州市乡 镇(街道 )机关招 录村(社 区)干部 职位 江陵县乡镇机关 综合管理岗2 14230202010011003 2 侯世林 男 442306003011 48 47 6 松滋市乡镇机关 综合管理岗1 14230202010011004 3 江彪 男 442306218317 60.5 60.5 1 松滋市乡镇机关 综合管理岗1 14230202010011004 3 袁金海 男 442306107519 60.5 60.5 1 松滋市乡镇机关 综合管理岗1 14230202010011004 3 刘静 女 442306002413 60 60 3 松滋市乡镇机关 综合管理岗1 14230202010011004 3 吴陈张 男 442306218406 60 60 3 松滋市乡镇机关 综合管理岗1 14230202010011004 3 李凌军 男 442306217115 58.5 58.5 5 松滋市乡镇机关 综合管理岗1 14230202010011004 3 邓小伟 男 442306108218 58.5 58.5 5 松滋市乡镇机关 综合管理岗1 14230202010011004 3 肖梅香 女 442306219616 56 56 7 递补 荆州市乡 镇(街道 )机关招 录村(社 区)干部 职位 荆州市乡 镇(街道 )机关招 录村(社 区)干部 职位 荆州市乡 镇(街道 )机关招 录村(社 区)干部 职位 荆州市乡 镇(街道 )机关招 录村(社 区)干部 职位 荆州市乡 镇(街道 )机关招 录村(社 区)干部 职位 荆州市乡 镇(街道 )机关招 录村(社 区)干部 职位 荆州市乡 镇(街道 )机关招 录村(社 区)干部 职位 荆州市乡 镇(街道 )机关招 录村(社 区)干部 职位 松滋市乡镇机关 综合管理岗1 14230202010011004 3 倪灿灿 男 442306219127 54 54 8 松滋市乡镇机关 综合管理岗1 14230202010011004 3 胡春苗 女 442306214502 52 52 9 松滋市乡镇机关 综合管理岗2 14230202010011005 3 李保乐 男 442306106406 63.5 63.5 1 松滋市乡镇机关 综合管理岗2 14230202010011005 3 王夏冰 男 442306000909 63 63 2 松滋市乡镇机关 综合管理岗2 14230202010011005 3 许沐 女 442306321203 56 56 3 松滋市乡镇机关 综合管理岗2 14230202010011005 3 邓晶晶 女 442306005605 54 54 4 松滋市乡镇机关 综合管理岗2 14230202010011005 3 欧松篱 女 442306109403 53.5 53.5 5 松滋市乡镇机关 综合管理岗2 14230202010011005 3 任海方 女 442306319914 53 53 6 递补 荆州市乡 镇(街道 )机关招 录村(社 区)干部 职位 荆州市乡 镇(街道 )机关招 录村(社 区)干部 职位 荆州市乡 镇(街道 )机关招 录村(社 区)干部 职位 荆州市乡 镇(街道 )机关招 录村(社 区)干部 职位 荆州市乡 镇(街道 )机关招 录村(社 区)干部 职位 荆州市乡 镇(街道 )机关招 录村(社 区)干部 职位 荆州市乡 镇(街道 )机关招 录村(社 区)干部 职位 荆州市乡 镇(街道 )机关招 录村(社 区)干部 职位 松滋市乡镇机关 综合管理岗2 14230202010011005 3 黄晋 男 442306109420 52.5 52.5 7 松滋市乡镇机关 综合管理岗2 14230202010011005 3 游兴梅 女 442306214327 51.5 51.5 8 松滋市乡镇机关 综合管理岗2 14230202010011005 3 胡伟 男 442306106628 51.5 51.5 8 松滋市乡镇机关 综合管理岗2 14230202010011005 3 邓国团 男 442306005226 51.5 51.5 8 公安县乡镇机关 综合管理岗 14230202010011006 3 陈丹丹 女 442306212121 61 61 1 公安县乡镇机关 综合管理岗 14230202010011006 3 汪黎黎 女 442306110330 60.5 60.5 2 公安县乡镇机关 综合管理岗 14230202010011006 3 梅思琦 女 442306110927 59.5 59.5 3 公安县乡镇机关 综合管理岗 14230202010011006 3 姚胤坤 男 442306005412 58.5 58.5 4 荆州市乡 镇(街道 )机关招 录村(社 区)干部 职位 荆州市乡 镇(街道 )机关招 录村(社 区)干部 职位 荆州市乡 镇(街道 )机关招 录村(社 区)干部 职位 荆州市乡 镇(街道 )机关招 录村(社 区)干部 职位 荆州市乡 镇(街道 )机关招 录村(社 区)干部 职位 荆州市乡 镇(街道 )机关招 录村(社 区)干部 职位 荆州市乡 镇(街道 )机关招 录村(社 区)干部 职位 荆州市乡 镇(街道 )机关招 录村(社 区)干部 职位 公安县乡镇机关 综合管理岗 14230202010011006 3 周小琴 女 442306219115 57 57 5 公安县乡镇机关 综合管理岗 14230202010011006 3 谭方彪 男 442306216920 56.5 56.5 6 公安县乡镇机关 综合管理岗 14230202010011006 3 李康 男 442306001924 55.5 55.5 7 公安县乡镇机关 综合管理岗 14230202010011006 3 邹斌享 男 442306001920 55.5 55.5 7 公安县乡镇机关 综合管理岗 14230202010011006 3 袁海 男 442306108114 53.5 53.5 9 石首市乡镇机关 综合管理岗 14230202010011007 1 雷洪 男 442306108729 51 51 1 石首市乡镇机关 综合管理岗 14230202010011007 1 邢小英 女 442306005517 50.5 50.5 2 石首市乡镇机关 综合管理岗 14230202010011007 1 邹先国 男 442306107723 50.5 50.5 2 荆州市乡 镇(街道 )机关招 录村(社 区)干部 职位 荆州市乡 镇(街道 )机关招 录村(社 区)干部 职位 荆州市乡 镇(街道 )机关招 录村(社 区)干部 职位 荆州市乡 镇(街道 )机关招 录村(社 区)干部 职位 荆州市乡 镇(街道 )机关招 录村(社 区)干部 职位 荆州市乡 镇(街道 )机关招 录村(社 区)干部 职位 荆州市乡 镇(街道 )机关招 录村(社 区)干部 职位 荆州市乡 镇(街道 )机关招 录村(社 区)干部 职位 监利市乡镇机关 综合管理岗 14230202010011008 2 王杏 男 442306109213 65 65 1 监利市乡镇机关 综合管理岗 14230202010011008 2 陈琳 女 442306106521 59 59 2 监利市乡镇机关 综合管理岗 14230202010011008 2 胡敏 女 442306001411 59 59 2 监利市乡镇机关 综合管理岗 14230202010011008 2 曹锐 男 442306107113 57 57 4 监利市乡镇机关 综合管理岗 14230202010011008 2 朱军军 女 442306322304 57 57 4 监利市乡镇机关 综合管理岗 14230202010011008 2 毛智勇 男 442306213114 56.5 56.5 6 洪湖市乡镇机关 综合管理岗1 14230202010011009 1 杜齐 男 442306110628 52.5 52.5 1 洪湖市乡镇机关 综合管理岗1 14230202010011009 1 周大傲 男 442306005016 46.5 46.5 2 荆州市乡 镇(街道 )机关招 录村(社 区)干部 职位 荆州市乡 镇(街道 )机关招 录村(社 区)干部 职位 荆州市乡 镇(街道 )机关招 录村(社 区)干部 职位 荆州市乡 镇(街道 )机关招 录村(社 区)干部 职位 荆州市乡 镇(街道 )机关招 录村(社 区)干部 职位 荆州市乡 镇(街道 )机关招 录村(社 区)干部 职位 荆州市乡 镇(街道 )机关招 录村(社 区)干部 职位 荆州市公 安机关 荆州市公 安机关 荆州市公 安机关 洪湖市乡镇机关 综合管理岗1 14230202010011009 1 刘粲 男 442306001515 46.5 46.5 2 洪湖市乡镇机关 综合管理岗2 14230202010011010 2 冯道福 男 442306004012 59.5 59.5 1 洪湖市乡镇机关 综合管理岗2 14230202010011010 2 陈国良 男 442306109421 56.5 56.5 2 洪湖市乡镇机关 综合管理岗2 14230202010011010 2 徐旋 女 442306003110 55 55 3 洪湖市乡镇机关 综合管理岗2 14230202010011010 2 彭旺 女 442306107105 53.5 53.5 4 洪湖市乡镇机关 综合管理岗2 14230202010011010 2 严兵 男 442306212621 51.5 51.5 5 洪湖市乡镇机关 综合管理岗2 14230202010011010 2 余果 女 442306215428 50.5 50.5 6 4 陈子豪 男 142240500218 64 71.5 70 68.05 1 4 熊海涛 男 142240500426 68.8 63.5 62 65.17 2 4 吴秋彤 男 142240500113 61.6 65.5 62 62.89 3 荆州市公安局 荆州市公安局 荆州市公安局 执法勤务岗 14230202010012001 (巡特警)1 执法勤务岗 14230202010012001 (巡特警)1 执法勤务岗 14230202010012001 (巡特警)1 荆州市公 安机关 荆州市公 安机关 荆州市公 安机关 荆州市公 安机关 荆州市公 安机关 荆州市公 安机关 荆州市公 安机关 荆州市公 安机关 荆州市公 安机关 荆州市公 安机关 荆州市公 安机关 荆州市公 安机关 荆州市公 安机关 荆州市公 安机关 荆州市公 安机关 荆州市公 安机关 荆州市公 安机关 荆州市公 安机关 荆州市公 安机关 荆州市公 安机关 荆州市公 安机关 荆州市公安局 荆州市公安局 荆州市公安局 荆州市公安局 荆州市公安局 荆州市公安局 荆州市公安局 荆州市公安局 荆州市公安局 荆州市公安局 荆州市公安局 荆州市公安局 荆州市公安局 荆州市公安局 荆州市公安局 荆州市公安局 荆州市公安局 荆州市公安局 荆州市公安局 荆州市公安局 荆州市公安局 执法勤务岗 (巡特警)1 执法勤务岗 (巡特警)1 执法勤务岗 (巡特警)1 执法勤务岗 (巡特警)1 执法勤务岗 (巡特警)1 执法勤务岗 (巡特警)1 执法勤务岗 (巡特警)1 执法勤务岗 (巡特警)1 执法勤务岗 (巡特警)1 执法勤务岗 (巡特警)2 执法勤务岗 (巡特警)2 执法勤务岗 (巡特警)2 执法勤务岗 (巡特警)2 执法勤务岗 (巡特警)2 执法勤务岗 (巡特警)2 执法勤务岗 (巡特警)2 执法勤务岗 (巡特警)2 执法勤务岗 (巡特警)2 执法勤务岗 (巡特警)2 执法勤务岗 (巡特警)2 执法勤务岗 (巡特警)2 14230202010012001 4 杜诗墨 男 142240500127 57.6 66 58 60.24 4 14230202010012001 4 王盈锋 男 142240500523 56 71 54 59.9 5 14230202010012001 4 黄赵灿 男 142240500416 58.4 66.5 54 59.51 6 14230202010012001 4 吴鹏飞 男 142240500519 54.4 70.5 54 59.11 7 14230202010012001 4 程相旺 男 142240500222 52.8 55.5 65 57.27 8 14230202010012001 4 艾振涛 男 142240500506 55.2 56.5 59 56.73 9 14230202010012001 4 熊南鄂 男 142240500510 54.4 59 56 56.26 10 14230202010012001 4 高永彬 男 142240500126 57.6 52.5 58 56.19 11 14230202010012001 4 雷铭 男 142240500405 55.2 55 51 53.88 12 14230202010012002 4 陈聪 男 142240500120 76.8 66 64 69.72 1 14230202010012002 4 杨超凡 男 142240500511 55.2 73 60 61.98 2 14230202010012002 4 张雨鹏 男 142240500102 59.2 68.5 59 61.93 3 14230202010012002 4 任崔鑫 男 142240500310 60 57.5 59 58.95 4 14230202010012002 4 张小川 男 142240500521 53.6 68.5 56 58.79 5 14230202010012002 4 刘伊燃 男 142240500122 48 64.5 65 58.05 6 14230202010012002 4 裘永琪 男 142240500420 56.8 54.5 62 57.67 7 14230202010012002 4 李必东 男 142240500101 57.6 58.5 55 57.09 8 14230202010012002 4 齐俊 男 142240500520 56 52.5 62 56.75 9 14230202010012002 4 齐旭东 男 142240500406 54.4 52 54 53.56 10 14230202010012002 4 罗正旭 男 142240500304 45.6 64 47 51.54 11 14230202010012002 4 熊昆 男 142240500307 44.8 62 47 50.62 12 荆州市公 安机关 荆州市公 安机关 荆州市公 安机关 荆州市公 安机关 荆州市公 安机关 荆州市公 安机关 荆州市公 安机关 荆州市公 安机关 荆州市公 安机关 荆州市公 安机关 荆州市公 安机关 荆州市公 安机关 荆州市公 安机关 荆州市公 安机关 荆州市公 安机关 荆州市公 安机关 荆州市公 安机关 荆州市公 安机关 荆州市公 安机关 荆州市公 安机关 荆州市公 安机关 荆州市公安局 荆州市公安局 荆州市公安局 荆州市公安局 荆州市公安局 荆州市公安局 荆州市公安局 荆州市公安局 荆州市公安局 荆州市公安局 荆州市公安局 荆州市公安局 荆州市公安局 荆州市公安局 荆州市公安局 荆州市公安局 荆州市公安局 荆州市公安局 荆州市公安局 荆州市公安局 荆州市公安局 执法勤务岗 (巡特警)3 执法勤务岗 (巡特警)3 执法勤务岗 (巡特警)3 执法勤务岗 (巡特警)3 执法勤务岗 (巡特警)3 执法勤务岗 (巡特警)3 执法勤务岗 (巡特警)3 执法勤务岗 (巡特警)3 执法勤务岗 (巡特警)3 执法勤务岗 (巡特警)3 执法勤务岗 (巡特警)3 执法勤务岗 (巡特警)3 执法勤务岗 (巡特警)3 执法勤务岗 (巡特警)3 执法勤务岗 (巡特警)3 执法勤务岗 (巡特警)4 执法勤务岗 (巡特警)4 执法勤务岗 (巡特警)4 执法勤务岗 (巡特警)4 执法勤务岗 (巡特警)4 执法勤务岗 (巡特警)4 14230202010012003 5 付登林 男 142240500530 69.6 70.5 71 70.29 1 14230202010012003 5 谭奎 男 142240500205 55.2 76 73 66.78 2 14230202010012003 5 金鑫 男 142240500103 56 68.5 71 64.25 3 14230202010012003 5 谢可翰 男 142240500517 63.2 56.5 67 62.33 4 14230202010012003 5 谢子恒 男 142240500516 61.6 65 60 62.14 5 14230202010012003 5 何子恒 男 142240500604 52.8 67 66 61.02 6 14230202010012003 5 谢光运 男 142240500612 56.8 66.5 59 60.37 7 14230202010012003 5 魏文杰 男 142240500605 50.4 71 61 59.76 8 14230202010012003 5 张林 男 142240500326 47.2 64 65 57.58 9 14230202010012003 5 龙泽鹏 男 142240500422 52.8 57.5 52 53.97 10 14230202010012003 5 张欣宇 男 142240500201 48.8 64.5 50 53.87 11 14230202010012003 5 刘卓浩 男 142240500515 49.6 57.5 54 53.29 12 14230202010012003 5 王印 男 142240500107 53.6 52 52 52.64 13 14230202010012003 5 单李奥 男 142240500119 48.8 60.5 49 52.37 14 14230202010012003 5 马庆 男 142240500508 50.4 59 46 51.66 15 14230202010012004 5 易章 男 142240500512 63.2 76.5 69 68.93 1 14230202010012004 5 李徐 男 142240500513 68 67.5 69 68.15 2 14230202010012004 5 明平宇 男 142240500507 59.2 70 72 66.28 3 14230202010012004 5 李周卫 男 142240500601 60 72.5 58 63.15 4 14230202010012004 5 杨少杰 男 142240500210 65.6 54 59 60.14 5 14230202010012004 5 张珮 男 142240500124 52 72 58 59.8 6 荆州市公 安机关 荆州市公 安机关 荆州市公 安机关 荆州市公 安机关 荆州市公 安机关 荆州市公 安机关 荆州市公 安机关 荆州市公 安机关 荆州市公 安机关 荆州市公 安机关 荆州市公 安机关 荆州市公 安机关 荆州市公 安机关 荆州市公 安机关 荆州市公 安机关 荆州市公 安机关 荆州市公 安机关 荆州市公 安机关 荆州市公 安机关 荆州市公 安机关 荆州市公 安机关 荆州市公安局 荆州市公安局 荆州市公安局 荆州市公安局 荆州市公安局 荆州市公安局 荆州市公安局 荆州市公安局 荆州市公安局 荆州市公安局 荆州市公安局 荆州市公安局 荆州市公安局 荆州市公安局 荆州市公安局 荆州市公安局 荆州市公安局 荆州市公安局 荆州市公安局 荆州市公安局 荆州市公安局 执法勤务岗 (巡特警)4 执法勤务岗 (巡特警)4 执法勤务岗 (巡特警)4 执法勤务岗 (巡特警)4 执法勤务岗 (巡特警)4 执法勤务岗 (巡特警)4 执法勤务岗 (巡特警)4 执法勤务岗 (巡特警)4 执法勤务岗 (巡特警)4 执法勤务岗 (巡特警)5 执法勤务岗 (巡特警)5 执法勤务岗 (巡特警)5 执法勤务岗 (巡特警)5 执法勤务岗 (巡特警)5 执法勤务岗 (巡特警)5 执法勤务岗 (巡特警)5 执法勤务岗 (巡特警)5 执法勤务岗 (巡特警)5 执法勤务岗 (巡特警)5 执法勤务岗 (巡特警)5 执法勤务岗 (巡特警)5 14230202010012004 5 李家尧 男 142240500610 60 60.5 58 59.55 7 14230202010012004 5 王光志 男 142240500224 46.4 65 61 56.36 8 14230202010012004 5 胡显涛 男 142240500202 54.4 58 56 55.96 9 14230202010012004 5 陆晨阳 男 142240500104 60.8 52 51 55.22 10 14230202010012004 5 苏坦 男 142240500428 52.8 56.5 55 54.57 11 14230202010012004 5 田宇 男 142240500419 50.4 60 54 54.36 12 14230202010012004 5 刘宣廷 男 142240500225 52.8 56 48 52.32 13 14230202010012004 5 刘铠 男 142240500213 50.4 53 52 51.66 14 14230202010012004 5 姚西玄 男 142240500215 40 63.5 53 50.95 15 14230202010012005 4 赵民 男 142240500526 73.6 62 73 69.94 1 14230202010012005 4 陈石 男 142240500418 66.4 72 66 67.96 2 14230202010012005 4 汪畅畅 男 142240500116 68 63.5 63 65.15 3 14230202010012005 4 刘承振 男 142240500220 56 65.5 69 62.75 4 14230202010012005 4 皮孝天 男 142240500228 57.6 62.5 67 61.89 5 14230202010012005 4 许可 男 142240500318 57.6 63.5 61 60.39 6 14230202010012005 4 彭灿 男 142240500214 51.2 58 56 54.68 7 14230202010012005 4 唐文雄 男 142240500407 46.4 69 51 54.56 8 14230202010012005 4 方瑞 男 142240500110 48.8 67.5 48 54.17 9 14230202010012005 4 王顺警 男 142240500209 44 64.5 57 54.05 10 14230202010012005 4 方润浩 男 142240500509 49.6 50.5 52 50.59 11 14230202010012005 4 刘亮 男 142240500325 46.4 51.5 54 50.21 12 荆州市公 安机关 荆州市公 安机关 荆州市公 安机关 荆州市公 安机关 荆州市公 安机关 荆州市公 安机关 荆州市公 安机关 荆州市公 安机关 荆州市公 安机关 荆州市公 安机关 荆州市公 安机关 荆州市公 安机关 荆州市公 安机关 荆州市公 安机关 荆州市公 安机关 荆州市公 安机关 荆州市公 安机关 荆州市公 安机关 荆州市公 安机关 荆州市公 安机关 荆州市公 安机关 荆州市公安局 荆州市公安局 荆州市公安局 荆州市公安局 荆州市公安局 荆州市公安局 荆州市公安局 荆州市公安局 荆州市公安局 荆州市公安局 荆州市公安局 荆州市公安局 荆州市公安局 荆州市公安局 荆州市公安局 荆州市公安局 荆州市公安局 荆州市公安局 荆州市公安局 荆州市公安局 荆州市公安局 执法勤务岗 (巡特警)6 执法勤务岗 (巡特警)6 执法勤务岗 (巡特警)6 执法勤务岗 (巡特警)6 执法勤务岗 (巡特警)6 执法勤务岗 (巡特警)6 执法勤务岗 (巡特警)6 执法勤务岗 (巡特警)6 执法勤务岗 (巡特警)6 执法勤务岗 (巡特警)6 执法勤务岗 (巡特警)6 执法勤务岗 (巡特警)6 执法勤务岗 (巡特警)6 执法勤务岗 (巡特警)6 执法勤务岗 (巡特警)6 执法勤务岗 (巡特警)7 执法勤务岗 (巡特警)7 执法勤务岗 (巡特警)7 执法勤务岗 (巡特警)7 执法勤务岗 (巡特警)7 执法勤务岗 (巡特警)7 14230202010012006 5 何中琪 男 142240500404 60 70.5 65 64.65 1 14230202010012006 5 刘康 男 142240500609 72 59 55 63 2 14230202010012006 5 李晓龙 男 142240500525 57.6 68.5 64 62.79 3 14230202010012006 5 杨贝宁 男 142240500208 58.4 67.5 63 62.51 4 14230202010012006 5 李政俞 男 142240500613 65.6 57 61 61.64 5 14230202010012006 5 涂德仟 男 142240500315 58.4 59.5 64 60.41 6 14230202010012006 5 孙俊清 男 142240500423 52.8 63.5 63 59.07 7 14230202010012006 5 覃博 男 142240500316 50.4 64.5 64 58.71 8 14230202010012006 5 吴逸飞 男 142240500118 58.4 58 55 57.26 9 14230202010012006 5 王紫权 男 142240500602 61.6 53 54 56.74 10 14230202010012006 5 刘政宏 男 142240500524 60.8 57.5 50 56.57 11 14230202010012006 5 严先谨 男 142240500321 45.6 65.5 52 53.49 12 14230202010012006 5 孙彬文 男 142240500121 47.2 62.5 48 52.03 13 14230202010012006 5 袁闯 男 142240500414 43.2 61 54 51.78 14 14230202010012006 5 覃帆 男 142240500129 41.6 60 46 48.44 15 14230202010012007 5 汪洋 男 142240500211 67.2 73 71 70.08 1 14230202010012007 5 熊墨舟 男 142240500522 68.8 68 72 69.52 2 14230202010012007 5 蒋浩然 男 142240500329 68 67 70 68.3 3 14230202010012007 5 王梓超 男 142240500117 67.2 68 67 67.38 4 14230202010012007 5 杨起展 男 142240500402 63.2 70 66 66.08 5 14230202010012007 5 张勐飞 男 142240500217 62.4 66.5 70 65.91 6 荆州市公 安机关 荆州市公 安机关 荆州市公 安机关 荆州市公 安机关 荆州市公 安机关 荆州市公 安机关 荆州市公 安机关 荆州市公 安机关 荆州市公 安机关 荆州市公 安机关 荆州市公 安机关 荆州市公 安机关 荆州市公 安机关 荆州市公 安机关 荆州市公 安机关 荆州市公 安机关 荆州市公 安机关 荆州市公 安机关 荆州市公 安机关 荆州市公 安机关 荆州市公 安机关 荆州市公安局 荆州市公安局 荆州市公安局 荆州市公安局 荆州市公安局 荆州市公安局 荆州市公安局 荆州市公安局 荆州市公安局 荆州市公安局 荆州市公安局 荆州市公安局 荆州市公安局 荆州市公安局 荆州市公安局 荆州市公安局 荆州市公安局 荆州市公安局 荆州市公安局 荆州市公安局 荆州市公安局 执法勤务岗 (巡特警)7 执法勤务岗 (巡特警)7 执法勤务岗 (巡特警)7 执法勤务岗 (巡特警)7 执法勤务岗 (巡特警)7 执法勤务岗 (巡特警)7 执法勤务岗 (巡特警)7 执法勤务岗 (巡特警)7 执法勤务岗 (巡特警)7 执法勤务岗 (巡特警)8 执法勤务岗 (巡特警)8 执法勤务岗 (巡特警)8 执法勤务岗 (巡特警)8 执法勤务岗 (巡特警)8 执法勤务岗 (巡特警)8 执法勤务岗 (巡特警)8 执法勤务岗 (巡特警)8 执法勤务岗 (巡特警)8 执法勤务岗 (巡特警)8 执法勤务岗 (巡特警)8 执法勤务岗 (巡特警)8 14230202010012007 5 曾严 男 142240500112 59.2 65 74 65.38 7 14230202010012007 5 王洲 男 142240500309 64.8 67.5 63 65.07 8 14230202010012007 5 尹政昊 男 142240500502 54.4 71.5 65 62.71 9 14230202010012007 5 黄奥 男 142240500223 60.8 64.5 63 62.57 10 14230202010012007 5 张昊天 男 142240500529 64 56 61 60.7 11 14230202010012007 5 陈磊 男 142240500317 49.6 68 68 60.64 12 14230202010012007 5 龚子非 男 142240500111 60 64 57 60.3 13 14230202010012007 5 梁山 男 142240500230 53.6 61 62 58.34 14 14230202010012007 5 姜淇源 男 142240500306 55.2 64.5 51 56.73 15 14230202010012008 5 刘展翼 男 142240500108 67.2 72.5 74 70.83 1 14230202010012008 5 黄森林 男 142240500330 65.6 65 72 67.34 2 14230202010012008 5 陈雨 男 142240500408 58.4 68.5 72 65.51 3 14230202010012008 5 刘刚彪 男 142240500123 62.4 71 63 65.16 4 14230202010012008 5 吴治钢 男 142240500603 64.8 57 72 64.62 5 14230202010012008 5 何毅哲 男 142240500413 62.4 65 64 63.66 6 14230202010012008 5 刘腾飞 男 142240500608 57.6 67 64 62.34 7 14230202010012008 5 杨志铭 男 142240500427 56.8 62 70 62.32 8 14230202010012008 5 陈慈锋 男 142240500403 58.4 72.5 54 61.31 9 14230202010012008 5 孙小钦 男 142240500319 52 71.5 58 59.65 10 14230202010012008 5 刘义成 男 142240500130 53.6 66 52 56.84 11 14230202010012008 5 祝悉悉 男 142240500421 52.8 63.5 53 56.07 12 荆州市公 安机关 荆州市公 安机关 荆州市公 安机关 荆州市公 安机关 荆州市公 安机关 荆州市公 安机关 荆州市公 安机关 荆州市公 安机关 荆州市公 安机关 荆州市公 安机关 荆州市公 安机关 荆州市公 安机关 荆州市公 安机关 荆州市公 安机关 荆州市公 安机关 荆州市公 安机关 荆州市公 安机关 荆州市公 安机关 荆州市公 安机关 荆州市公 安机关 荆州市公 安机关 荆州市公安局 荆州市公安局 荆州市公安局 荆州市公安局城区 分局 荆州市公安局城区 分局 荆州市公安局城区 分局 荆州市公安局城区 分局 荆州市公安局城区 分局 荆州市公安局城区 分局 荆州市公安局城区 分局 荆州市公安局城区 分局 荆州市公安局城区 分局 荆州市公安局城区 分局 荆州市公安局城区 分局 荆州市公安局城区 分局 荆州市公安局城区 分局 荆州市公安局城区 分局 荆州市公安局城区 分局 荆州市公安局城区 分局 荆州市公安局城区 分局 荆州市公安局城区 分局 执法勤务岗 14230202010012008 (巡特警)8 执法勤务岗 14230202010012008 (巡特警)8 执法勤务岗 14230202010012008 (巡特警)8 5 秦仕杰 男 142240500615 49.6 66 52 55.24 13 5 黄济民 男 142240500207 49.6 54.5 52 51.79 14 5 邓宇浩 男 142240500430 52.8 57 44 51.42 15 执法勤务岗1 14230202010012009 4 徐格非 男 142240503325 72.8 62.5 81 72.17 1 执法勤务岗1 14230202010012009 4 周宇健 男 142240504116 61.6 58.5 78 65.59 2 执法勤务岗1 14230202010012009 4 陈豪 男 142240504019 65.6 55.5 68 63.29 3 执法勤务岗1 14230202010012009 4 蔡学禹 男 142240503101 69.6 51.5 65 62.79 4 执法勤务岗1 14230202010012009 4 杜宇 男 142240501026 60.8 58 70 62.72 5 执法勤务岗1 14230202010012009 4 熊纪华 男 142240502705 59.2 55.5 64 59.53 6 执法勤务岗1 14230202010012009 4 李军杰 男 142240502601 52.8 60 64 58.32 7 执法勤务岗1 14230202010012009 4 熊俊贻 男 142240501411 59.2 50.5 51 54.13 8 执法勤务岗1 14230202010012009 4 梅柳学 男 142240501912 52.8 49 61 54.12 9 执法勤务岗1 14230202010012009 4 张昌毅 男 142240501803 52 48.5 58 52.75 10 执法勤务岗1 14230202010012009 4 王竟成 男 142240501413 44 58 57 52.1 11 执法勤务岗1 14230202010012009 4 张智辉 男 142240503510 57.6 42.5 51 51.09 12 执法勤务岗2 14230202010012010 3 周静 男 142240502621 71.2 59.5 69 67.03 1 执法勤务岗2 14230202010012010 3 王朝 男 142240503020 61.6 65.5 63 63.19 2 执法勤务岗2 14230202010012010 3 朱小鹏 男 142240503508 64.8 52 72 63.12 3 执法勤务岗2 14230202010012010 3 姜威 男 142240501925 65.6 53 67 62.24 4 执法勤务岗2 14230202010012010 3 雷华凯 男 142240502130 66.4 57.5 57 60.91 5 执法勤务岗2 14230202010012010 3 马泽明 男 142240503420 59.2 55.5 62 58.93 6 递补 荆州市公 安机关 荆州市公 安机关 荆州市公 安机关 荆州市公 安机关 荆州市公 安机关 荆州市公 安机关 荆州市公 安机关 荆州市公 安机关 荆州市公 安机关 荆州市公 安机关 荆州市公 安机关 荆州市公 安机关 荆州市公 安机关 荆州市公 安机关 荆州市公 安机关 荆州市公 安机关 荆州市公 安机关 荆州市公 安机关 荆州市公 安机关 荆州市公 安机关 荆州市公 安机关 荆州市公安局城区 分局 荆州市公安局城区 分局 荆州市公安局城区 分局 荆州市公安局城区 分局 荆州市公安局城区 分局 荆州市公安局城区 分局 荆州市公安局城区 分局 荆州市公安局城区 分局 荆州市公安局城区 分局 荆州市公安局城区 分局 荆州市公安局城区 分局 荆州市公安局城区 分局 荆州市公安局城区 分局 荆州市公安局城区 分局 荆州市公安局城区 分局 荆州市公安局城区 分局 荆州市公安局城区 分局 荆州市公安局城区 分局 荆州市公安局城区 分局 荆州市公安局城区 分局 荆州市公安局城区 分局 执法勤务岗2 14230202010012010 3 程荣星 男 142240501525 60 59.5 55 58.35 7 执法勤务岗2 14230202010012010 3 许翔 男 142240502020 63.2 55 51 57.08 8 执法勤务岗2 14230202010012010 3 谭希松 男 142240504013 55.2 46.5 63 54.93 9 执法勤务岗3 14230202010012011 3 倪绍鑫 男 142240500825 76 63 71 70.6 1 执法勤务岗3 14230202010012011 3 陈梦飞 男 142240503717 71.2 55 71 66.28 2 执法勤务岗3 14230202010012011 3 杨华 男 142240502402 62.4 54 69 61.86 3 执法勤务岗3 14230202010012011 3 龚志杰 男 142240501812 69.6 55.5 57 61.59 4 执法勤务岗3 14230202010012011 3 刘泽阳 男 142240500706 56 58 64 59 5 执法勤务岗3 14230202010012011 3 杨熙子 男 142240504209 59.2 52 63 58.18 6 执法勤务岗3 14230202010012011 3 熊宇航 男 142240501530 60 59 54 57.9 7 执法勤务岗3 14230202010012011 3 刘洋 男 142240502708 55.2 47.5 59 54.03 8 执法勤务岗3 14230202010012011 3 熊高波 男 142240502506 55.2 51.5 54 53.73 9 执法勤务岗4 14230202010012012 3 叶秋瑞 男 142240501205 81.6 56.5 79 73.29 1 执法勤务岗4 14230202010012012 3 肖俊杰 男 142240503730 64.8 55 81 66.72 2 执法勤务岗4 14230202010012012 3 胡世海 男 142240502302 68.8 62.5 65 65.77 3 执法勤务岗4 14230202010012012 3 徐宗明 男 142240503504 68 54 73 65.3 4 执法勤务岗4 14230202010012012 3 刘奥 男 142240502409 68 61.5 61 63.95 5 执法勤务岗4 14230202010012012 3 汪华昆 男 142240502929 60.8 55.5 71 62.27 6 执法勤务岗4 14230202010012012 3 谭潇 男 142240503118 57.6 59 69 61.44 7 执法勤务岗4 14230202010012012 3 张佳伦 男 142240502730 62.4 55 63 60.36 8 执法勤务岗4 14230202010012012 3 吴雪锋 男 142240503312 59.2 57.5 61 59.23 9 荆州市公 安机关 荆州市公 安机关 荆州市公 安机关 荆州市公 安机关 荆州市公 安机关 荆州市公 安机关 荆州市公 安机关 荆州市公 安机关 荆州市公 安机关 荆州市公 安机关 荆州市公 安机关 荆州市公 安机关 荆州市公 安机关 荆州市公 安机关 荆州市公 安机关 荆州市公 安机关 荆州市公 安机关 荆州市公 安机关 荆州市公 安机关 荆州市公 安机关 荆州市公 安机关 荆州市公安局城区 分局 荆州市公安局城区 分局 荆州市公安局城区 分局 荆州市公安局城区 分局 荆州市公安局城区 分局 荆州市公安局城区 分局 荆州市公安局城区 分局 荆州市公安局城区 分局 荆州市公安局城区 分局 荆州市公安局城区 分局 荆州市公安局城区 分局 荆州市公安局城区 分局 荆州市公安局城区 分局 荆州市公安局城区 分局 荆州市公安局城区 分局 荆州市公安局城区 分局 荆州市公安局城区 分局 荆州市公安局城区 分局 荆州市公安局城区 分局 荆州市公安局城区 分局 荆州市公安局城区 分局 执法勤务岗5 14230202010012013 3 廖炳章 男 142240502516 71.2 62 65 66.58 1 执法勤务岗5 14230202010012013 3 徐兴宇 男 142240502215 65.6 57 75 65.84 2 执法勤务岗5 14230202010012013 3 张国庆 男 142240500820 67.2 57 71 65.28 3 执法勤务岗5 14230202010012013 3 刘彬 男 142240500719 68 51 73 64.4 4 执法勤务岗5 14230202010012013 3 陶云鹏 男 142240503804 64 60 68 64 5 执法勤务岗5 14230202010012013 3 曾帅杰 男 142240501704 61.6 60.5 69 63.49 6 执法勤务岗5 14230202010012013 3 张忠帆 男 142240500822 58.4 61.5 63 60.71 7 执法勤务岗5 14230202010012013 3 成伟 男 142240502825 53.6 59 66 58.94 8 执法勤务岗5 14230202010012013 3 陈智侃 男 142240500830 57.6 48 61 55.74 9 执法勤务岗6 14230202010012014 3 张晓清 女 142240502317 66.4 64.5 77 69.01 1 执法勤务岗6 14230202010012014 3 刘柳 女 142240502512 72 58 71 67.5 2 执法勤务岗6 14230202010012014 3 覃矾 女 142240502727 65.6 61.5 76 67.49 3 执法勤务岗6 14230202010012014 3 陈雁翎 女 142240501814 69.6 60.5 71 67.29 4 执法勤务岗6 14230202010012014 3 王君 女 142240503124 65.6 56.5 75 65.69 5 执法勤务岗6 14230202010012014 3 王可可 女 142240503902 68 54 72 65 6 执法勤务岗6 14230202010012014 3 田学敏 女 142240503926 66.4 57 71 64.96 7 执法勤务岗6 14230202010012014 3 郭彦如 女 142240503229 71.2 56.5 62 64.03 8 执法勤务岗6 14230202010012014 3 王琴 女 142240501514 64 57.5 68 63.25 9 警务技术岗 14230202010012015 4 李秀全 男 142240502724 68.8 60 76 68.32 1 警务技术岗 14230202010012015 4 张奔 男 142240500730 72 57 73 67.8 2 警务技术岗 14230202010012015 4 谢光宇 男 142240501120 67.2 60 75 67.38 3 递补 荆州市公 安机关 荆州市公 安机关 荆州市公 安机关 荆州市公 安机关 荆州市公 安机关 荆州市公 安机关 荆州市公 安机关 荆州市公 安机关 荆州市公 安机关 荆州市公安局城区 分局 荆州市公安局城区 分局 荆州市公安局城区 分局 荆州市公安局城区 分局 荆州市公安局城区 分局 荆州市公安局城区 分局 荆州市公安局城区 分局 荆州市公安局城区 分局 荆州市公安局城区 分局 警务技术岗 14230202010012015 4 黄晓 男 142240502511 69.6 56 70 65.64 4 警务技术岗 14230202010012015 4 贺飞鹏 男 142240500817 71.2 57.5 64 64.93 5 警务技术岗 14230202010012015 4 龚传江 男 142240501911 71.2 52.5 67 64.33 6 警务技术岗 14230202010012015 4 张贵星 男 142240501813 69.6 52 69 64.14 7 警务技术岗 14230202010012015 4 伍嘉诚 男 142240503703 60 55.5 66 60.45 8 警务技术岗 14230202010012015 4 李晗晗 男 142240501002 60.8 54 64 59.72 9 警务技术岗 14230202010012015 4 谭虎成 男 142240501711 56.8 57 66 59.62 10 警务技术岗 14230202010012015 4 李鑫 男 142240502218 69.6 49 56 59.34 11 警务技术岗 14230202010012015 4 韩启明 男 142240503721 59.2 61 55 58.48 12

相关文章