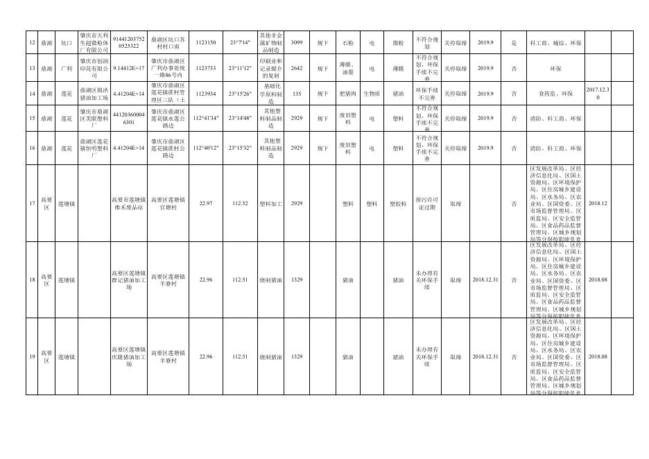
肇庆市“散乱污”工业企业(场所)综合整治清单.pdf
附件 肇庆市“散乱污”工业企业(场所)综合整治清单 县 序 (市 号 、 区) 乡镇 街 工业企业 (场所) 名称 组织机构 代码 地址 经度 纬度 行业类 行业代 企业规 主要原 主要燃 主要产 别 码 模 料 料 品 存在问 题 是否属 于(城 市交界 改造具 计划完成 处/工业 体措施 时间 集聚区/ 村级工 业园) 责任部门 实际完 成时间 一、拟关停取缔类企业 1 端州 区 睦岗 无名鸡毛加 工厂 / 睦岗镇 23.08 112.41 加工 1941 小规模 鸡毛 鸡毛 鸡毛加工 品 污染严重 关停 2018年底前 否 工商局 2 端州 区 睦岗 无名家私小 作坊 / 睦岗镇 23.04 112.42 建材 2031 小规模 木材、 油漆 木材 家具 污染严重 关停 2018年底前 否 工商局 肇庆市鼎湖区 坑口苏村村口 直入30米南边 工业区内西北 112°31'49" 23°7'16" 植物油加 工 1332 规下 松脂 电 植物蒎烯 燃料油、 环保生物 燃料 不符合规 划 关停取缔 2019.9 是 科工商、城综、环保 2018.5.22 3 鼎湖 坑口 肇庆市新迪 信生物能源 91441203MA 有限公司鼎 4URBT383 湖分公司 4 鼎湖 坑口 鼎湖区仲华 92441203MA 五金机械厂 51N8HB2Q 鼎湖区坑口苏 村村口南 1123145 23°7'16" 金属结构 制造 3311 规下 五金材 料 电 五金件 不符合规 划 关停取缔 2019.9 是 、科工商、城综、环 保 5 鼎湖 坑口 鼎湖区俊泓 92441203L43 521183N 金属制品厂 鼎湖区坑口苏 村村口南 1123148 23°7'18" 金属结构 制造 3311 规下 五金材 料 电 五金件 不符合规 划 关停取缔 2019.9 是 、科工商、城综、环 保 6 鼎湖 坑口 鼎湖区建信 44120360012 4953 线芯厂 鼎湖区坑口苏 村村口南 1123147 23°7'16" 有色金属 冶炼和压 延加工业 3140 规下 磁粉 电 线芯 不符合规 划 关停取缔 2019.9 是 科工商、城综、环保 7 鼎湖 坑口 肇庆市正海 91441203MA 机械设备制 4UW5K4X9 造有限公司 鼎湖区坑口苏 村村口南 1123147 23°7'17" 金属结构 制造 3311 规下 五金材 料 电 五金件 不符合规 划 关停取缔 2019.9 是 科工商、城综、环保 8 鼎湖 坑口 肇庆华峰达 91441203303 电子有限公 932999T 司 鼎湖区坑口苏 村村口南 1123147 23°7'15" 金属结构 制造 3311 规下 五金材 料 电 五金件 不符合规 划 关停取缔 2019.9 是 科工商、城综、环保 2018.4 9 鼎湖 坑口 肇庆冠磁科 9.14412E+17 技有限公司 鼎湖区坑口苏 村村口南 1123147 23°7'14" 铁合金冶 炼 3140 规下 磁粉 电 元器件 不符合规 划 关停取缔 2019.9 是 科工商、城综、环保 2018.4 10 鼎湖 坑口 鼎湖区禹宏 44120360012 3502 建材加工场 鼎湖区坑口苏 村村口南 1123147 23°7'17" 防水建筑 材料制造 3033 规下 防水粉 料 电 防水 不符合规 划 关停取缔 2019.9 是 科工商、城综、环保 2018.9 11 鼎湖 坑口 鼎湖区睿泽 44120360006 鼎湖区坑口苏 生物质颗粒 2109/L387834 村村口南 9-6 厂 1123147 23°7'17" 生物质致 密成型燃 料加工 2542 规下 生物质 电 生物质颗 粒燃料 不符合规 划 关停取缔 2019.9 是 科工商、城综、环保 2018.9 备注 12 鼎湖 坑口 肇庆市天利 91441203752 生超微粉体 0525322 厂有限公司 鼎湖区坑口苏 村村口南 肇庆市鼎湖区 广利办事处统 一路86号内 13 鼎湖 广利 肇庆市创润 印花有限公 9.14412E+17 司 14 鼎湖 莲花 鼎湖区锦洪 4.41204E+14 猪油加工场 肇庆市鼎湖区 莲花镇蔗村管 理区三队(土 名:朱仓) 肇庆市鼎湖区 莲花镇永莲公 路边 肇庆市鼎湖区 莲花镇蔗村公 路边 15 鼎湖 莲花 肇庆市鼎湖 44120360004 区美联塑料 6301 厂 16 鼎湖 莲花 鼎湖区莲花 镇恒明塑料 4.41204E+14 厂 23°7'14" 其他非金 属矿物制 品制造 1123733 23°11'12" 印刷业和 记录媒介 的复制 1123934 23°15'26" 基础化 学原料制 造 112°41'34" 23°14'48" 其他塑 料制品制 造 112°40'12" 23°15'32" 其他塑 料制品制 造 1123150 3099 微粉 不符合规 划 关停取缔 2019.9 是 科工商、城综、环保 电 薄膜 不符合规 划,环保 手续不完 善 关停取缔 2019.9 否 环保 生物质 猪油 环保手续 不完善 关停取缔 2019.9 否 食药监、环保 关停取缔 2019.9 否 消防、科工商、环保 关停取缔 2019.9 否 消防、科工商、环保 规下 石粉 2642 规下 薄膜、 油墨 135 规下 肥猪肉 2929 规下 废旧塑 料 电 塑料 2929 规下 废旧塑 料 电 塑料 17 高要 莲塘镇 区 高要市莲塘镇 高要区莲塘镇 维禾废品站 官塘村 22.97 112.52 塑料加工 2929 塑料 18 高要 莲塘镇 区 高要区莲塘镇 高要区莲塘镇 群记猪油加工 羊寮村 场 22.96 112.51 烧制猪油 1329 19 高要 莲塘镇 区 高要区莲塘镇 高要区莲塘镇 庆隆猪油加工 羊寮村 场 22.96 112.51 烧制猪油 1329 电 不符合规 划,环保 手续不完 善 不符合规 划,环保 手续不完 善 塑胶粒 排污许可 证过期 取缔 猪油 猪油 未办理有 关环保手 续 取缔 2018.12.31 否 猪油 猪油 未办理有 关环保手 续 取缔 2018.12.31 否 塑料 否 区发展改革局、区经 济信息化局、区国土 资源局、区环境保护 局、区住房城乡建设 局、区水务局、区农 业局、区国资委、区 市场监督管理局、区 质监局、区安全监管 局、区食品药品监督 管理局、区城乡规划 局等分别按职能负责 区发展改革局、区经 济信息化局、区国土 资源局、区环境保护 局、区住房城乡建设 局、区水务局、区农 业局、区国资委、区 市场监督管理局、区 质监局、区安全监管 局、区食品药品监督 管理局、区城乡规划 局等分别按职能负责 区发展改革局、区经 济信息化局、区国土 资源局、区环境保护 局、区住房城乡建设 局、区水务局、区农 业局、区国资委、区 市场监督管理局、区 质监局、区安全监管 局、区食品药品监督 管理局、区城乡规划 局等分别按职能负责 2017.12.3 0 2018.12 2018.08 2018.08 20 高要 莲塘镇 区 高要区恒华建 高要区莲塘镇 材厂 羊寮村 23.96 113.51 煤炭加工 3131 煤炭 煤炭 未办理有 关环保手 续 21 高要 莲塘镇 区 高要市莲塘镇 高要区莲塘镇 昊成色母材料 波洞村牙寮岗 厂 22.92 112.52 塑料加工 2929 塑料 塑胶粒 22 高要 莲塘镇 区 高要市莲塘镇 高要区莲塘镇 丰恒塑料厂 波洞村山边地 22.93 112.52 塑料加工 2929 塑料 23 高要 莲塘镇 区 高要区莲塘镇 高要市莲塘镇 罗勒村大坟路 传声塑料厂 段 22.95 112.5 塑料加工 2929 24 高要 莲塘镇 区 高要市莲塘镇 高要区莲塘镇 诚泽五金塑料 温贯村 厂 22.96 112.51 塑料加工 2929 2018.12.31 否 排污许可 证过期 办理相关 2018.12.31 证件 否 塑胶粒 排污许可 证过期 办理相关 2018.12.31 证件 否 塑料 塑胶粒 排污许可 证过期 办理相关 2018.12.31 证件 否 塑料 塑胶粒 排污许可 证过期 办理相关 2018.12.31 证件 否 取缔 区发展改革局、区经 济信息化局、区国土 资源局、区环境保护 局、区住房城乡建设 局、区水务局、区农 业局、区国资委、区 市场监督管理局、区 质监局、区安全监管 局、区食品药品监督 管理局、区城乡规划 局等分别按职能负责 区发展改革局、区经 济信息化局、区国土 资源局、区环境保护 局、区住房城乡建设 局、区水务局、区农 业局、区国资委、区 市场监督管理局、区 质监局、区安全监管 局、区食品药品监督 管理局、区城乡规划 局等分别按职能负责 区发展改革局、区经 济信息化局、区国土 资源局、区环境保护 局、区住房城乡建设 局、区水务局、区农 业局、区国资委、区 市场监督管理局、区 质监局、区安全监管 局、区食品药品监督 管理局、区城乡规划 局等分别按职能负责 区发展改革局、区经 济信息化局、区国土 资源局、区环境保护 局、区住房城乡建设 局、区水务局、区农 业局、区国资委、区 市场监督管理局、区 质监局、区安全监管 局、区食品药品监督 管理局、区城乡规划 局等分别按职能负责 区发展改革局、区经 济信息化局、区国土 资源局、区环境保护 局、区住房城乡建设 局、区水务局、区农 业局、区国资委、区 市场监督管理局、区 质监局、区安全监管 局、区食品药品监督 管理局、区城乡规划 局等分别按职能负责 2018.08 25 高要 莲塘镇 区 高要市莲塘镇 高要区莲塘镇 友诚塑料厂 温贯村 塑料加工 2929 塑料 26 高要区金渡镇 肇庆市高要区 92441283L3 112.5668667 23.04903425 高要 金渡镇 雄广五金铸造 金渡镇水边村 五金铸件 7128414E 551 98 区 厂 黄铁岗桥头 3130 金属 27 高要市金渡镇 高要市鑫威五 佛仔岭脚(高 4412830000 112.5253402 23.03137223 高要 金模具有限公 要市金渡镇金 金渡镇 五金制品 38046 090 53 区 司 渡社区居民委 员会用地) 3392 金属 五金制品 28 肇庆市高要区 金渡镇水边管 加工、销 高要区金渡镇 理区(张伟和 92441283L8 112.5450273 23.04530797 售:铁 高要 金渡镇 李永生铁桶加 、张文三、张 5131538M 390 66 区 桶,胶桶 工店 巧仪、张玉仪 。 住宅用地)【 住改商】 3329 金属、 塑胶 铁桶,胶 桶 29 高要 金渡镇 区 黄坑桥头无名 肇庆市高要区 112.5670706 23.04985859 建筑涂料 建筑涂料加工 金渡镇黄坑桥 029 89 加工 厂 头 2641 化工原 料 建筑涂料 22.96 112.51 焦炭 塑胶粒 排污许可 证过期 五金铸件 属低效传 统行业 办理相关 2018.12.31 证件 否 关停 43435 否 关停 43436 否 环保手续 不完善 关停 43437 否 环保手续 不完善 关停 43438 否 区发展改革局、区经 济信息化局、区国土 资源局、区环境保护 局、区住房城乡建设 局、区水务局、区农 业局、区国资委、区 市场监督管理局、区 质监局、区安全监管 局、区食品药品监督 管理局、区城乡规划 局等分别按职能负责 区发展改革局、区经 济信息化局、区国土 资源局、区环境保护 局、区住房城乡建设 局、区水务局、区农 业局、区国资委、区 市场监督管理局、区 质监局、区安全监管 局、区食品药品监督 管理局、区城乡规划 局等分别按职能负责 区发展改革局、区经 济信息化局、区国土 资源局、区环境保护 局、区住房城乡建设 局、区水务局、区农 业局、区国资委、区 市场监督管理局、区 质监局、区安全监管 局、区食品药品监督 管理局、区城乡规划 局等分别按职能负责 区发展改革局、区经 济信息化局、区国土 资源局、区环境保护 局、区住房城乡建设 局、区水务局、区农 业局、区国资委、区 市场监督管理局、区 质监局、区安全监管 局、区食品药品监督 管理局、区城乡规划 局等分别按职能负责 区发展改革局、区经 济信息化局、区国土 资源局、区环境保护 局、区住房城乡建设 局、区水务局、区农 业局、区国资委、区 市场监督管理局、区 质监局、区安全监管 局、区食品药品监督 管理局、区城乡规划 局等分别按职能负责 ######## ######## ######## ######## 30 生产、销 肇庆市高要区 高要市金渡镇 售:化工 4412836001 112.5264881 23.02980231 高要 金渡镇 金渡镇信达康 金渡村委会原 产品(不 32445 945 58 区 化工厂 佛仔岭基地 含危险化 学品)。 2619 31 加工、销 肇庆市高要区 售:电子 金渡区G3小区 高要区金渡镇 4412836004 112.5661887 23.04958579 材料制 高要 金渡镇 森荣地电子材 五股社区居民 01393 456 57 品,塑料 区 料加工厂 委员会临设厂 制品。 房2之一 3824 32 肇庆市高要区 92441283M 金渡镇西头村 高要 金渡镇同利硅 金渡镇 A4WMWA (西头社区第 区 胶材料厂 Q72 十一经济合作 社厂房) 加工、销 售:硅胶 材料。 化工原 料 环保手续 不完善 关停 43439 否 电子材料 制品,塑 料制品 关停 43440 否 化工产品 2919 硅胶 硅胶材料 关停 43441 否 33 加工、销 高要区金渡镇 高要市金渡镇 4412836002 112.5995126 23.02734060 售:五金 高要 金渡镇 来昌五金塑料 平布村大槎 、塑料。 06881 612 30 区 加工厂 (土名) 2432 塑料 五金塑料 关停 43442 否 34 高要市金渡镇 高要市金渡镇 4412836002 西头村272省道 高要 金渡镇 浩星硅胶加工 80355 区 旁(冯国权住 店 宅用地) 加工、销 售:二氧 化硅制 品,工艺 品 2919 二氧化 硅 二氧化硅 制品,工 艺品 取缔 43443 否 区发展改革局、区经 济信息化局、区国土 资源局、区环境保护 局、区住房城乡建设 局、区水务局、区农 业局、区国资委、区 市场监督管理局、区 质监局、区安全监管 局、区食品药品监督 管理局、区城乡规划 局等分别按职能负责 区发展改革局、区经 济信息化局、区国土 资源局、区环境保护 局、区住房城乡建设 局、区水务局、区农 业局、区国资委、区 市场监督管理局、区 质监局、区安全监管 局、区食品药品监督 管理局、区城乡规划 局等分别按职能负责 区发展改革局、区经 济信息化局、区国土 资源局、区环境保护 局、区住房城乡建设 局、区水务局、区农 业局、区国资委、区 市场监督管理局、区 质监局、区安全监管 局、区食品药品监督 管理局、区城乡规划 局等分别按职能负责 区发展改革局、区经 济信息化局、区国土 资源局、区环境保护 局、区住房城乡建设 局、区水务局、区农 业局、区国资委、区 市场监督管理局、区 质监局、区安全监管 局、区食品药品监督 管理局、区城乡规划 局等分别按职能负责 区发展改革局、区经 济信息化局、区国土 资源局、区环境保护 局、区住房城乡建设 局、区水务局、区农 业局、区国资委、区 市场监督管理局、区 质监局、区安全监管 局、区食品药品监督 管理局、区城乡规划 局等分别按职能负责 ######## ######## ######## ######## ######## 35 加工:铁 92441283M 高要区金渡镇 肇庆市高要区 桶;普通 112.5443287 23.04684593 高要 货物运输 金渡镇 A4W0W5D9 远灿铁桶加工 金渡镇水边村 368 90 区 。 X 店 九豆(土名) 高要市金渡镇 高要市金渡镇 煜永利机械五 日新大道侧 金部 36 高要 金渡镇 区 37 肇庆市高要区 肇庆市高要区 9144128377 高要 禄步镇 富顺铸造有限 禄步镇白土二 62111121 区 公司 村 23.225521 112.312653 38 肇庆市高要区 4412836000 禄步镇圩头永 高要 禄步镇 禄步镇圩头村 75571 区 顺石灰场 委会圩头村 23.24918 112.31956 39 高要 禄步镇 区 肇庆市高要区 肇庆市高要区 禄步镇顺联铸 禄步镇西郊 造厂 加工:机 械五金。 3329 小型 金属 3391 铸造 3130 注册资本 废旧生 50万,有 铁 工人5名 建材 3012 年产约 400吨石 石灰石 灰,有工 人3名 3130 金属铸造 件 铸造 铁桶 环保手续 不完善 关停 43441 否 机械五金 环保手续 不完善 关停 43441 否 使用落后 生产设备 冲天炉生 产 关停取缔 2019.5.30 否 使淘汰的“ 土立窑”工 关停取缔 艺生产 2019.5.30 否 使用落后 生产设备 冲天炉生 产 已完成 否 焦碳 金属铸造 件 煤 石灰 金属铸造 件 已停产及 注销营业 执照 环保办 ######## 区发展改革局、区经 济信息化局、区国土 资源局、区环境保护 局、区住房城乡建设 局、区水务局、区农 业局、区国资委、区 ######## 市场监督管理局、区 质监局、区安全监管 局、区食品药品监督 管理局、区城乡规划 局等分别按职能负责 区发展改革局、区经 济信息化局、区国土 资源局、区环境保护 局、区住房城乡建设 局、区水务局、区农 业局、区国资委、区 市场监督管理局、区 质监局、区安全监管 局、区食品药品监督 管理局、区城乡规划 局等分别按职能负责 区发展改革局、区经 济信息化局、区国土 资源局、区环境保护 局、区住房城乡建设 局、区水务局、区农 业局、区国资委、区 市场监督管理局、区 质监局、区安全监管 局、区食品药品监督 管理局、区城乡规划 局等分别按职能负责 区发展改革局、区经 济信息化局、区国土 资源局、区环境保护 局、区住房城乡建设 局、区水务局、区农 2018年11 业局、区国资委、区 月 市场监督管理局、区 质监局、区安全监管 局、区食品药品监督 管理局、区城乡规划 局等分别按职能负责 40 高要 禄步镇 区 肇庆市高要区 高要区禄步镇 禄步镇隔水村 禄发皮革制品 旁(土名为杨树 厂 赖) 41 高要 禄步镇 区 42 皮革 无办理相 关环保手 续 已停产及 注销营业 执照 已完成 否 3031 建筑墙体 材料 无办理相 关环保手 续 已停产及 注销营业 执照 已完成 否 来料加工 3361 五金锁 无办理相 关环保手 续 已停产及 注销营业 执照 已完成 否 高要 禄步镇 区 肇庆市高要区 禄步镇岩口村 高要区禄步镇 岩口经济合作 禄兴水泥预制 社土名:牛栏 件加工场 洞(梁亚珍厂 房) 加工 3021 水泥预制 件 无办理相 关环保手 续 已停产及 注销营业 执照 已完成 否 高要 禄步镇 区 高要区禄步镇 肇庆市高要区 建兴陶瓷原料 禄步镇镇围新 场 村 加工 1019 瓷砂 无办理相 关环保手 续 已停产及 注销营业 执照 已完成 否 皮革 1910 肇庆市高要区 肇庆市高要区 禄步镇长松新 禄步镇北根村 型建材厂 制砖 高要 禄步镇 区 高要区禄步镇 肇庆市高要区 澳永达五金锁 禄步镇民乐巷 业加工厂 43 44 加工 矿石 国土局、 活道镇镇 已完成 政府 否 区发展改革局、区经 济信息化局、区国土 资源局、区环境保护 局、区住房城乡建设 局、区水务局、区农 业局、区国资委、区 ######## 市场监督管理局、区 质监局、区安全监管 局、区食品药品监督 管理局、区城乡规划 局等分别按职能负责 区发展改革局、区经 济信息化局、区国土 资源局、区环境保护 局、区住房城乡建设 局、区水务局、区农 2018年6 业局、区国资委、区 月 市场监督管理局、区 质监局、区安全监管 局、区食品药品监督 管理局、区城乡规划 局等分别按职能负责 区发展改革局、区经 济信息化局、区国土 资源局、区环境保护 局、区住房城乡建设 局、区水务局、区农 2018年2 业局、区国资委、区 月 市场监督管理局、区 质监局、区安全监管 局、区食品药品监督 管理局、区城乡规划 局等分别按职能负责 区发展改革局、区经 济信息化局、区国土 资源局、区环境保护 局、区住房城乡建设 局、区水务局、区农 2018年4 业局、区国资委、区 月 市场监督管理局、区 质监局、区安全监管 局、区食品药品监督 管理局、区城乡规划 局等分别按职能负责 区发展改革局、区经 济信息化局、区国土 资源局、区环境保护 局、区住房城乡建设 局、区水务局、区农 2018年4 业局、区国资委、区 月 市场监督管理局、区 质监局、区安全监管 局、区食品药品监督 管理局、区城乡规划 局等分别按职能负责 45 高要 禄步镇 区 高要市禄步镇 高要市禄步镇 波鸿土特产加 文直路(旧砖厂) 工场 加工 o163 农副土特 产品 无办理相 关环保手 续 已停产及 注销营业 执照 已完成 否 46 高要 禄步镇 区 高要市禄步镇 高要市禄步镇 兴顺修理店 新龙西路 机电修理 4390 机电修理 无办理相 关环保手 续 已停产及 注销营业 执照 已完成 否 47 高要 禄步镇 区 高要市禄步镇 高要市禄步镇 永康路82号 联兴织造厂 制衣 1711 毛衣 无办理相 关环保手 续 已停产及 注销营业 执照 已完成 否 48 高要 禄步镇 区 高要市禄步镇 高要市禄步镇 顺达砖厂 白土二村 制砖 3031 环保砖 无办理相 关环保手 续 已停产及 注销营业 执照 已完成 否 49 高要 禄步镇 区 高要市禄步镇 高要市禄步镇 荣业手袋加工 曲江东1号(原桂 皮站旧仓库) 厂 制衣 1910 手袋 无办理相 关环保手 续 已停产及 注销营业 执照 已完成 否 区发展改革局、区经 济信息化局、区国土 资源局、区环境保护 局、区住房城乡建设 局、区水务局、区农 2018年6 业局、区国资委、区 月 市场监督管理局、区 质监局、区安全监管 局、区食品药品监督 管理局、区城乡规划 局等分别按职能负责 区发展改革局、区经 济信息化局、区国土 资源局、区环境保护 局、区住房城乡建设 局、区水务局、区农 2018年5 业局、区国资委、区 月 市场监督管理局、区 质监局、区安全监管 局、区食品药品监督 管理局、区城乡规划 局等分别按职能负责 区发展改革局、区经 济信息化局、区国土 资源局、区环境保护 局、区住房城乡建设 局、区水务局、区农 2018年6 业局、区国资委、区 月 市场监督管理局、区 质监局、区安全监管 局、区食品药品监督 管理局、区城乡规划 局等分别按职能负责 区发展改革局、区经 济信息化局、区国土 资源局、区环境保护 局、区住房城乡建设 局、区水务局、区农 2018年11 业局、区国资委、区 月 市场监督管理局、区 质监局、区安全监管 局、区食品药品监督 管理局、区城乡规划 局等分别按职能负责 区发展改革局、区经 济信息化局、区国土 资源局、区环境保护 局、区住房城乡建设 局、区水务局、区农 2018年9 业局、区国资委、区 月 市场监督管理局、区 质监局、区安全监管 局、区食品药品监督 管理局、区城乡规划 局等分别按职能负责 50 高要 禄步镇 区 高要市禄步镇 高要市禄步镇 拓为小五金加 曲江东(68号第 10、11卡) 工场 加工五金 3392 小五金配 件 无办理相 关环保手 续 已停产及 注销营业 执照 已完成 否 51 高要 禄步镇 区 高要市禄步镇 高要市禄步镇 禄镇围柑园村 禄福表面加工 (土名:庙 场 坑) 加工五金 3392 表面 无办理相 关环保手 续 已停产及 注销营业 执照 已完成 否 52 高要 禄步镇 区 高要市禄步镇 高要市禄步镇 民生针织加工 文直路29、31 店 号 制衣 1757 针织品、 毛衫 无办理相 关环保手 续 已停产及 注销营业 执照 已完成 否 53 高要 禄步镇 区 高要区禄步镇 肇庆市高要区 成世石艺加工 禄步镇文直路 39号首层 部 建材 3032 石材 无办理相 关环保手 续 已停产及 注销营业 执照 已完成 否 54 高要 禄步镇 区 高要市禄步镇 高要市禄步镇 富健新型墙体 北根西角村 材料厂 制砖 3031 环保砖 无办理相 关环保手 续 已停产及 注销营业 执照 已完成 否 环保砖 区发展改革局、区经 济信息化局、区国土 资源局、区环境保护 局、区住房城乡建设 局、区水务局、区农 2018年6 业局、区国资委、区 月 市场监督管理局、区 质监局、区安全监管 局、区食品药品监督 管理局、区城乡规划 局等分别按职能负责 区发展改革局、区经 济信息化局、区国土 资源局、区环境保护 局、区住房城乡建设 局、区水务局、区农 2018年6 业局、区国资委、区 月 市场监督管理局、区 质监局、区安全监管 局、区食品药品监督 管理局、区城乡规划 局等分别按职能负责 区发展改革局、区经 济信息化局、区国土 资源局、区环境保护 局、区住房城乡建设 局、区水务局、区农 2018年6 业局、区国资委、区 月 市场监督管理局、区 质监局、区安全监管 局、区食品药品监督 管理局、区城乡规划 局等分别按职能负责 区发展改革局、区经 济信息化局、区国土 资源局、区环境保护 局、区住房城乡建设 局、区水务局、区农 2018年7 业局、区国资委、区 月 市场监督管理局、区 质监局、区安全监管 局、区食品药品监督 管理局、区城乡规划 局等分别按职能负责 区发展改革局、区经 济信息化局、区国土 资源局、区环境保护 局、区住房城乡建设 局、区水务局、区农 2018年10 业局、区国资委、区 月 市场监督管理局、区 质监局、区安全监管 局、区食品药品监督 管理局、区城乡规划 局等分别按职能负责 55 56 57 58 59 高要 区 高要 区 高要 区 高要 区 高要 区 南岸 南岸 南岸 南岸 南岸 4412836001 高要市马安凤 03843 凰纸袋加工厂 高要区马安煤 矿工务仓 高要区马安志 4412836001 高要区马安下 博塑料五金制 56888 坑村旁 品厂 南岸街道定江 4412836004 高要区马安庆 村定江经济合 12870 作社冷水朗厂 隆猪油厂 房东第1-3卡 高要区马安新 4412836002 高要市马安万 江一四队(邓 70913 强工业猪油厂 万强) 91441283M 肇庆市高要区 肇庆市高要区 南岸街道马安 A4UX8YT7 嘉亨五金制品 大垠南面厂房 K 有限公司 之一 E112˚22´54. N22˚59´9.26ʺ 塑料制品 49ʺ E112˚22´56. N22˚59´12.18 塑料制品 73ʺ ʺ E112˚24´41. 农副食品 N23˚0´8.61ʺ 24ʺ 加工业 E112˚24´6.2 N22˚59´20.27 农副食品 2ʺ ʺ 加工业 E112˚22´35. 有色金属 N22˚59´9.16ʺ 22ʺ 冶炼 2231 2924 1329 1329 3219 小规模 小规模 小规模 小规模 小规模 废塑料 废铁/塑 料 肥猪 油,猪 渣 肥猪 油,猪 渣 废旧铝 渣 用电 纸袋,塑 胶粒 没有取得 相关环保 证件,生 产车间没 有除尘除 味的环保 措施,废 水没有进 行环保处 理直接排 放 已关闭 否 煤电 没有取得 相关环保 铁铸品/塑 证件,废 水没有进 料花 行环保处 理排放 已关闭 否 柴火 工业猪油 没有取得 相关环保 证件,生 产车间没 有除味的 环保措 施,废水 没有进行 环保处理 直接排放 已关闭 否 工业猪油 没有取得 相关环保 证件,生 产车间没 有除味的 环保措 施,废水 没有进行 环保处理 直接排放 已关闭 否 铝锭 没有取得 相关环保 证件,生 产车间没 有除尘除 味的环保 措施,废 水没有进 行环保处 理直接排 放 已关闭 否 柴火 煤 区发展改革局、区经 济信息化局、区国土 资源局、区环境保护 局、区住房城乡建设 局、区水务局、区农 业局、区国资委、区 市场监督管理局、区 质监局、区安全监管 局、区食品药品监督 管理局、区城乡规划 局等分别按职能负责 区发展改革局、区经 济信息化局、区国土 资源局、区环境保护 局、区住房城乡建设 局、区水务局、区农 业局、区国资委、区 市场监督管理局、区 质监局、区安全监管 局、区食品药品监督 管理局、区城乡规划 局等分别按职能负责 区发展改革局、区经 济信息化局、区国土 资源局、区环境保护 局、区住房城乡建设 局、区水务局、区农 业局、区国资委、区 市场监督管理局、区 质监局、区安全监管 局、区食品药品监督 管理局、区城乡规划 局等分别按职能负责 区发展改革局、区经 济信息化局、区国土 资源局、区环境保护 局、区住房城乡建设 局、区水务局、区农 业局、区国资委、区 市场监督管理局、区 质监局、区安全监管 局、区食品药品监督 管理局、区城乡规划 局等分别按职能负责 区发展改革局、区经 济信息化局、区国土 资源局、区环境保护 局、区住房城乡建设 局、区水务局、区农 业局、区国资委、区 市场监督管理局、区 质监局、区安全监管 局、区食品药品监督 管理局、区城乡规划 局等分别按职能负责 60 61 62 63 64 高要 区 高要 区 高要 区 高要 区 高要 区 南岸 南岸 南岸 南岸 南岸 肇庆市高要区 文记废品收购 南岸街道马安 站 旧圩丰盛纸厂 旁边 91441200M 肇庆市恒源化 肇庆市高要区 A4uMDNR4 工科技有限公 南岸街道下南 7 司 岸村旧石场内 高要区马安李 肇庆市高要区 4.41284E+14 柳平铁桶加工 马安垃圾场附 店 近 高要区南岸鸿 肇庆市高要区 兴达废品回收 马安定江沙帽 场 江新村 高要区南岸李 肇庆市高要区 江金属加工厂 南岸旧鸿图厂 E112˚23´23. N22˚59´21.02 废品塑料 27ʺ ʺ 处理 E112˚26´36. N23˚01´12.96 塑料制品 26ʺ ʺ E112˚24´38. 金属回收 N23˚01´7.86ʺ 96ʺ 处理 E112˚24´48. N22˚59´58.01 塑料加工 39ʺ ʺ E112˚27´26. N23˚01´35.71 五金加工 39ʺ ʺ 2929 2929 3329 2929 3392 小规模 大规模 小规模 小规模 小规模 台布、 床单 废旧铁 桶 塑料粒 没有取得 相关环保 证件,生 产车间没 有除味的 环保措 施,废水 没有进行 环保处理 直接排放 已关闭 否 胶粒 没有取得 相关环保 证件,生 产车间没 有除尘除 味的环保 措施 已关闭 否 旧铁桶 未取得环 保许可证 和危险废 物经营许 可证,生 产过程中 排放危险 废物 已关闭 否 废塑料 没有取得 相关环保 证件,超 出经营范 围,在生 产过程中 涉及环保 污染 已关闭 否 金属模具 没有取得 相关环保 证件,生 产车间没 有除尘除 味的环保 措施,生 产过程中 涉及排放 废水、废 气污染。 已关闭 否 区发展改革局、区经 济信息化局、区国土 资源局、区环境保护 局、区住房城乡建设 局、区水务局、区农 业局、区国资委、区 市场监督管理局、区 质监局、区安全监管 局、区食品药品监督 管理局、区城乡规划 局等分别按职能负责 区发展改革局、区经 济信息化局、区国土 资源局、区环境保护 局、区住房城乡建设 局、区水务局、区农 业局、区国资委、区 市场监督管理局、区 质监局、区安全监管 局、区食品药品监督 管理局、区城乡规划 局等分别按职能负责 区发展改革局、区经 济信息化局、区国土 资源局、区环境保护 局、区住房城乡建设 局、区水务局、区农 业局、区国资委、区 市场监督管理局、区 质监局、区安全监管 局、区食品药品监督 管理局、区城乡规划 局等分别按职能负责 区发展改革局、区经 济信息化局、区国土 资源局、区环境保护 局、区住房城乡建设 局、区水务局、区农 业局、区国资委、区 市场监督管理局、区 质监局、区安全监管 局、区食品药品监督 管理局、区城乡规划 局等分别按职能负责 区发展改革局、区经 济信息化局、区国土 资源局、区环境保护 局、区住房城乡建设 局、区水务局、区农 业局、区国资委、区 市场监督管理局、区 质监局、区安全监管 局、区食品药品监督 管理局、区城乡规划 局等分别按职能负责 肇庆市高要区 肇庆市高要区 彭氏五金制品 南岸下岸村旧 有限公司 村 胶袋 没有取得 相关环保 证件,生 产过程中 涉及废气 排放。 煤炭 没有取得 相关环保 证件 否 电 五金制品 没有取得 相关环保 证件 否 五金 电 五金制品 没有取得 相关环保 证件 否 石材 电 石台 未批先建 E112˚26´37. N23˚01´12.92 塑料加工 54ʺ ʺ 2924 小规模 高要市南岸李 高要市南岸银 E112 ˚26´27ʺ N23 ˚01´16ʺ 销售服务 氏货场 星公路边 5161 小规模 煤炭 南岸 肇庆市高要区 肇庆市政轩五 南岸乌榕村原 E112 ˚29´1.3 91441283M 五金制品 金制品有限公 乌榕小学教学 N23 ˚01´49ʺ A510UA969 加工 7ʺ 司 主楼一楼第三 卡 3392 小规模 五金 南岸 肇庆市高要区 肇庆市高要区 南岸乌榕村乌 E112 ˚29´0.7 五金制品 4.41283E+14 振强五金有限 N23 ˚01´58ʺ 榕小学教学主 加工 2ʺ 公司 楼一楼第一卡 3392 小规模 蛟塘 高要市蛟塘镇 高要市蛟塘镇 4412836002 新金龙村侧肇 国胜石材加工 58042 江公路边(土 场 名:那边水) 3032 - 65 高要 区 南岸 66 高要 区 南岸 4.41284E+14 67 高要 区 68 高要 区 69 高要 区 112°35' 22°54' 非金属矿 物制品业 已关闭 取缔 2018.10.31 否 是 区发展改革局、区经 济信息化局、区国土 资源局、区环境保护 局、区住房城乡建设 局、区水务局、区农 业局、区国资委、区 市场监督管理局、区 质监局、区安全监管 局、区食品药品监督 管理局、区城乡规划 局等分别按职能负责 区发展改革局、区经 济信息化局、区国土 资源局、区环境保护 局、区住房城乡建设 局、区水务局、区农 业局、区国资委、区 市场监督管理局、区 质监局、区安全监管 局、区食品药品监督 管理局、区城乡规划 局等分别按职能负责 区发展改革局、区经 济信息化局、区国土 资源局、区环境保护 局、区住房城乡建设 局、区水务局、区农 业局、区国资委、区 市场监督管理局、区 质监局、区安全监管 局、区食品药品监督 管理局、区城乡规划 局等分别按职能负责 区发展改革局、区经 济信息化局、区国土 资源局、区环境保护 局、区住房城乡建设 局、区水务局、区农 业局、区国资委、区 市场监督管理局、区 质监局、区安全监管 局、区食品药品监督 管理局、区城乡规划 局等分别按职能负责 区发展改革局、区经 济信息化局、区国土 资源局、区环境保护 局、区住房城乡建设 局、区水务局、区农 2018.10.3 业局、区国资委、区 1 市场监督管理局、区 质监局、区安全监管 局、区食品药品监督 管理局、区城乡规划 局等分别按职能负责 70 高要市蛟塘镇 高要市蛟塘镇 4412836002 高要 蛟塘镇 肇兴塑料制品 塱下村委会塱 90971 区 厂 下村苏塘口 71 高要 区 活道 镇 活道镇东横江 梁志雄猪油厂 村禾叉坑 72 高要 区 活道 镇 活道镇新迳村 徐国良塑料厂 委会芝湖塱 73 高要 区 活道 镇 74 高要 区 活道 镇 凛溪洗砂石厂 112°35' 22°54' 塑料制品 2929 - 1329 个体 无证经 营,无办 理相关环 保收续 2929 市场监督 管理局, 活道镇政 府 活道镇水口村 梁小娇猪油厂 委会西就坑村 长坑 加工 1329 省道S273凛溪 路口 加工 加工 废旧塑料加 工 胶粒 个体 猪肉、 猪内脏 废旧塑 料 关停 已完成 否 拆除厂房 及设备 已完成 否 木柴 猪油 违法建 筑,无办 理相关环 保手续 否 胶粒 无办理相 关环保手 续 拆除设备 已完成 否 猪油 违法建 筑,无办 理相关环 保手续 拆除厂房 及设备 已完成 否 矿石 无办理相 关环保手 续 已查封 已完成 否 无 区发展改革局、区经 济信息化局、区国土 资源局、区环境保护 局、区住房城乡建设 局、区水务局、区农 业局、区国资委、区 市场监督管理局、区 质监局、区安全监管 局、区食品药品监督 管理局、区城乡规划 局等分别按职能负责 区发展改革局、区经 济信息化局、区国土 资源局、区环境保护 局、区住房城乡建设 局、区水务局、区农 业局、区国资委、区 市场监督管理局、区 质监局、区安全监管 局、区食品药品监督 管理局、区城乡规划 局等分别按职能负责 区发展改革局、区经 济信息化局、区国土 资源局、区环境保护 局、区住房城乡建设 局、区水务局、区农 业局、区国资委、区 市场监督管理局、区 质监局、区安全监管 局、区食品药品监督 管理局、区城乡规划 局等分别按职能负责 区发展改革局、区经 济信息化局、区国土 资源局、区环境保护 局、区住房城乡建设 局、区水务局、区农 业局、区国资委、区 市场监督管理局、区 质监局、区安全监管 局、区食品药品监督 管理局、区城乡规划 局等分别按职能负责 区发展改革局、区经 济信息化局、区国土 资源局、区环境保护 局、区住房城乡建设 局、区水务局、区农 业局、区国资委、区 市场监督管理局、区 质监局、区安全监管 局、区食品药品监督 管理局、区城乡规划 局等分别按职能负责 2018.12.3 1 ######## 2018年11 月 ######## 75 高要 区 活道 镇 高要区建邦新 活道镇槎头村 型建材厂 大坡 建材 3011 水泥 无办理相 关环保手 续 已停产及 注销营业 执照 已完成 否 76 高要 区 活道 镇 高要区活道镇 活道镇横石村 粤鑫木材加工 十二队贵坑 厂 木材加工 2039 木材 无办理相 关环保手 续 已停产及 注销营业 执照 已完成 否 77 高要 区 活道 镇 肇庆市高要区 高要区活道镇 活道镇活道村 金雄小食店 委会沙尾村 饮食 6291 食品 无办理相 关环保手 续 已停产及 注销营业 执照 已完成 否 78 高要 区 活道 镇 高要区活道镇 承云焊接服务 部 活道镇横石村 委会禾塘村 (冯志勇厂 房) 建材 2432 钢材 无办理相 关环保手 续 已停产及 注销营业 执照 已完成 否 79 高要 区 活道 镇 活道镇活道村 高要市活道镇 委会蟠龙围村 活龙汽修店 (吕志强宅) 汽修 4390 汽修 无办理相 关环保手 续 已停产及 注销营业 执照 已完成 否 区发展改革局、区经 济信息化局、区国土 资源局、区环境保护 局、区住房城乡建设 局、区水务局、区农 业局、区国资委、区 市场监督管理局、区 质监局、区安全监管 局、区食品药品监督 管理局、区城乡规划 局等分别按职能负责 区发展改革局、区经 济信息化局、区国土 资源局、区环境保护 局、区住房城乡建设 局、区水务局、区农 业局、区国资委、区 市场监督管理局、区 质监局、区安全监管 局、区食品药品监督 管理局、区城乡规划 局等分别按职能负责 区发展改革局、区经 济信息化局、区国土 资源局、区环境保护 局、区住房城乡建设 局、区水务局、区农 业局、区国资委、区 市场监督管理局、区 质监局、区安全监管 局、区食品药品监督 管理局、区城乡规划 局等分别按职能负责 区发展改革局、区经 济信息化局、区国土 资源局、区环境保护 局、区住房城乡建设 局、区水务局、区农 业局、区国资委、区 市场监督管理局、区 质监局、区安全监管 局、区食品药品监督 管理局、区城乡规划 局等分别按职能负责 区发展改革局、区经 济信息化局、区国土 资源局、区环境保护 局、区住房城乡建设 局、区水务局、区农 业局、区国资委、区 市场监督管理局、区 质监局、区安全监管 局、区食品药品监督 管理局、区城乡规划 局等分别按职能负责 2018年3 月 2018年2 月 2018年2 月 2018年4 月 2018年3 月 80 高要 区 活道 镇 高要市活道镇 活道镇活道村 彩媚皮包加工 (赵贵明商 店 铺) 加工 1922 皮包 无办理相 关环保手 续 已停产及 注销营业 执照 已完成 否 81 高要 区 活道 镇 高要市活道镇 活道镇槎头村 荣运竹制品厂 (土名)围墩 竹制品 2041 竹制品 无办理相 关环保手 续 已停产及 注销营业 执照 已完成 否 82 高要 区 活道 镇 高要区活道镇 召深修理部 活道镇圩镇 汽修 4390 汽修 无办理相 关环保手 续 已停产及 注销营业 执照 已完成 否 83 高要 区 活道 镇 高要区活道镇 活道镇蟠龙围 罗汉建材经营 村罗汉仓库 部 建材 3011 水泥 无办理相 关环保手 续 已停产及 注销营业 执照 已完成 否 84 高要 区 活道 镇 高要区活道镇 建烨木材加工 厂 木材加工 2039 木材 无办理相 关环保手 续 已停产及 注销营业 执照 已完成 否 活道镇石村 区发展改革局、区经 济信息化局、区国土 资源局、区环境保护 局、区住房城乡建设 局、区水务局、区农 2018年8 业局、区国资委、区 月 市场监督管理局、区 质监局、区安全监管 局、区食品药品监督 管理局、区城乡规划 局等分别按职能负责 区发展改革局、区经 济信息化局、区国土 资源局、区环境保护 局、区住房城乡建设 局、区水务局、区农 2018年7 业局、区国资委、区 月 市场监督管理局、区 质监局、区安全监管 局、区食品药品监督 管理局、区城乡规划 局等分别按职能负责 区发展改革局、区经 济信息化局、区国土 资源局、区环境保护 局、区住房城乡建设 局、区水务局、区农 2018年9 业局、区国资委、区 月 市场监督管理局、区 质监局、区安全监管 局、区食品药品监督 管理局、区城乡规划 局等分别按职能负责 区发展改革局、区经 济信息化局、区国土 资源局、区环境保护 局、区住房城乡建设 局、区水务局、区农 2018年11 业局、区国资委、区 月 市场监督管理局、区 质监局、区安全监管 局、区食品药品监督 管理局、区城乡规划 局等分别按职能负责 区发展改革局、区经 济信息化局、区国土 资源局、区环境保护 局、区住房城乡建设 局、区水务局、区农 2018年9 业局、区国资委、区 月 市场监督管理局、区 质监局、区安全监管 局、区食品药品监督 管理局、区城乡规划 局等分别按职能负责 活道 镇 高要区活道镇 活道镇横石五 骏一机制环保 、六、七、八 炭加工厂 经济合作 85 高要 区 86 高要 蚬岗镇 区 高要市蚬岗镇 张伟不锈钢制 品厂 蚬岗镇南村 112。4.9 87 高要 蚬岗镇 区 高要区雅乐玻 璃器皿制品厂 蚬岗工业园 88 高要 蚬岗镇 区 高要区权辉五 金加工厂 89 高要 蚬岗镇 区 范山无名铝厂 加工 2542 23。1.55 不锈钢加 工 3392 占地面积 450平方 不锈钢 米 112。39.44 23。3.42 玻璃制品 3059 占地面积 2300平方 米 玻璃 蚬岗双金路 112。4.01 23。2.32 废铁 3392 占地面积 2800平方 米 生铁 蚬岗范山 112。65.47 23.05.58 铝制品加 工 3392 占地面积 3600平方 米 铝 环保碳 无办理相 关环保手 续 已停产及 注销营业 执照 已完成 否 铸件 未能提供 相关证照 已取缔 2018.9.26 否 玻璃杯 未能提供 相关证照 已取缔 是 生铁 铸件 未能提供 相关证照 已取缔 否 生物质 铝锭 未能提供 相关证照 已取缔 否 生物质 区发展改革局、区经 济信息化局、区国土 资源局、区环境保护 局、区住房城乡建设 局、区水务局、区农 业局、区国资委、区 市场监督管理局、区 质监局、区安全监管 局、区食品药品监督 管理局、区城乡规划 局等分别按职能负责 区发展改革局、区经 济信息化局、区国土 资源局、区环境保护 局、区住房城乡建设 局、区水务局、区农 业局、区国资委、区 市场监督管理局、区 质监局、区安全监管 局、区食品药品监督 管理局、区城乡规划 局等分别按职能负责 区发展改革局、区经 济信息化局、区国土 资源局、区环境保护 局、区住房城乡建设 局、区水务局、区农 业局、区国资委、区 市场监督管理局、区 质监局、区安全监管 局、区食品药品监督 管理局、区城乡规划 局等分别按职能负责 区发展改革局、区经 济信息化局、区国土 资源局、区环境保护 局、区住房城乡建设 局、区水务局、区农 业局、区国资委、区 市场监督管理局、区 质监局、区安全监管 局、区食品药品监督 管理局、区城乡规划 局等分别按职能负责 区发展改革局、区经 济信息化局、区国土 资源局、区环境保护 局、区住房城乡建设 局、区水务局、区农 业局、区国资委、区 市场监督管理局、区 质监局、区安全监管 局、区食品药品监督 管理局、区城乡规划 局等分别按职能负责 2018年10 月 2018.9.25 2018.8.25 2018.5.21 2018.5.23 高要 蚬岗镇 区 肇庆市高要 肇庆市高要区 区启达猪牛皮 蚬岗镇古迳村 337936357 购销加工场 (麦启登工业 用地) 91 高要 蚬岗镇 区 600089339 高要市蚬岗镇 八联南岭头大 水气(土名) (文兴电镀厂 第三车间) 92 高要 蚬岗镇 区 90 93 94 1931 占地面积 11000平 方米 电镀 2432 占地面积 2300平方 米 高要区蚬岗镇 肇庆市高要区 L64064823 万通五金制品 蚬岗镇南村村 厂 委会马槽尾 铝制品 3392 占地面积 5300平方 米 高要 蚬岗镇 区 肇庆市高要区 蚬岗镇二村土 高要区蚬岗 L52725321 名“大圳”高速公 镇炜麒铜材厂 路口边(之 二) 铜材加工 3392 高要 蚬岗镇 区 肇庆市高要区 蚬岗镇蚬岗工 高要区蚬岗 业园(土名沙 镇星联五金制 洲)蚬岗二村 品厂 民委员会用地 (西至华宇租 地) 五金制品 3392 高要市旺兴 五金电镀厂 电源 猪牛皮 未能提供 相关证照 已取缔 2018.12.31 否 电源 金属 未能提供 相关证照 已取缔 2018.12.31 否 铝 生物质 金属 未能提供 相关证照 已取缔 2018.12.31 否 占地面积 15000平 方米 铜 电源 铜材 未能提供 相关证照 已取缔 2018.12.31 是 占地面积 1900平方 米 五金 电源 不锈钢制 品 未能提供 相关证照 已取缔 2018.12.31 是 牛皮 区发展改革局、区经 济信息化局、区国土 资源局、区环境保护 局、区住房城乡建设 局、区水务局、区农 业局、区国资委、区 市场监督管理局、区 质监局、区安全监管 局、区食品药品监督 管理局、区城乡规划 局等分别按职能负责 区发展改革局、区经 济信息化局、区国土 资源局、区环境保护 局、区住房城乡建设 局、区水务局、区农 业局、区国资委、区 市场监督管理局、区 质监局、区安全监管 局、区食品药品监督 管理局、区城乡规划 局等分别按职能负责 区发展改革局、区经 济信息化局、区国土 资源局、区环境保护 局、区住房城乡建设 局、区水务局、区农 业局、区国资委、区 市场监督管理局、区 质监局、区安全监管 局、区食品药品监督 管理局、区城乡规划 局等分别按职能负责 区发展改革局、区经 济信息化局、区国土 资源局、区环境保护 局、区住房城乡建设 局、区水务局、区农 业局、区国资委、区 市场监督管理局、区 质监局、区安全监管 局、区食品药品监督 管理局、区城乡规划 局等分别按职能负责 区发展改革局、区经 济信息化局、区国土 资源局、区环境保护 局、区住房城乡建设 局、区水务局、区农 业局、区国资委、区 市场监督管理局、区 质监局、区安全监管 局、区食品药品监督 管理局、区城乡规划 局等分别按职能负责 2018.7.25 2018.08.1 3 2018.08.1 1 2018.7.21 2018.6.23 95 高要 蚬岗镇 区 高要市蚬岗镇 工业园内高要 高要市蚬岗镇 市顺兴饰品材 古韵雕塑工艺 料有限公司厂 厂 区东侧(赵业 成租地第三 卡) 96 高要 蚬岗镇 区 高要市蚬岗镇 高要市蚬岗镇 八联农贸市场 索隆五金加工 (尹祝平住宅 店 用地) 五金制品 3216 占地面积 1500平方 米 97 高要 蚬岗镇 区 肇庆市高要区 高要区蚬岗 蚬岗镇富佛富 镇愉业废品回 四村(李癞仔 收站 宅) 废旧物资 4210 占地面积 2500平方 米 高要 蚬岗镇 区 肇庆市高要区 蚬岗镇双金路 高要区蚬岗镇 南李绍明宅首 好姐饮食店 层第一卡(新 城一路73号) 餐饮 6291 占地面积 200平方 米 高要 蚬岗镇 区 肇庆市高要区 蚬岗镇工业园 内高要市顺兴 高要区蚬岗 饰品材料有限 镇上泉五金配 公司厂区东侧 件加工厂 (赵业成租地 东北角第二 卡) 五金制品 3130 占地面积 4300平方 米 98 99 雕刻 2431 占地面积 8900平方 米 泥 电源 墙 未能提供 相关证照 已取缔 2018.12.31 是 生铁 电源 五金挂件 未能提供 相关证照 已取缔 2018.12.31 否 废铁 未能提供 相关证照 已取缔 2018.12.31 否 天然气 餐饮 废气收集 不完善 已取缔 2018.12.31 否 电源 五金挂件 未能提供 相关证照 已取缔 2018.12.31 是 五金 区发展改革局、区经 济信息化局、区国土 资源局、区环境保护 局、区住房城乡建设 局、区水务局、区农 业局、区国资委、区 市场监督管理局、区 质监局、区安全监管 局、区食品药品监督 管理局、区城乡规划 局等分别按职能负责 区发展改革局、区经 济信息化局、区国土 资源局、区环境保护 局、区住房城乡建设 局、区水务局、区农 业局、区国资委、区 市场监督管理局、区 质监局、区安全监管 局、区食品药品监督 管理局、区城乡规划 局等分别按职能负责 区发展改革局、区经 济信息化局、区国土 资源局、区环境保护 局、区住房城乡建设 局、区水务局、区农 业局、区国资委、区 市场监督管理局、区 质监局、区安全监管 局、区食品药品监督 管理局、区城乡规划 局等分别按职能负责 区发展改革局、区经 济信息化局、区国土 资源局、区环境保护 局、区住房城乡建设 局、区水务局、区农 业局、区国资委、区 市场监督管理局、区 质监局、区安全监管 局、区食品药品监督 管理局、区城乡规划 局等分别按职能负责 区发展改革局、区经 济信息化局、区国土 资源局、区环境保护 局、区住房城乡建设 局、区水务局、区农 业局、区国资委、区 市场监督管理局、区 质监局、区安全监管 局、区食品药品监督 管理局、区城乡规划 局等分别按职能负责 2018.5.16 2018.4.19 2018.4.29 2018.4.27 2018.3.18 高要 金利镇 区 金盛二期无牌 金利镇金盛二 无证压铸厂 期 高要 101 金利镇 区 金盛二期无牌 金利镇金盛二 无证五金厂 期 高要 102 金利镇 区 金利镇旧糖厂 金利镇旧糖厂 内无牌无证洗 内 手粉厂 高要 金利镇 区 金利镇金马大 金利镇金马大 桥底无牌无证 桥底 桶板加工厂 高要 104 金利镇 区 珠江村无牌无 金利镇珠江村 证抛光厂之一 100 103 五金加工 五金加工 五金加工 五金加工 3412 3130 规下 规下 2681 规下 3329 规下 3360 规下 五金件 五金零部 件 无办理环 保手续, 无排污治 理设施 关停取缔 否 五金件 五金零部 件 无办理环 保手续, 无排污治 理设施 关停取缔 否 无 洗手粉 无办理环 保手续, 无排污治 理设施 关停取缔 否 无 铁板 无办理环 保手续, 无排污治 理设施 关停取缔 否 无 五金零部 件 无办理环 保手续, 无排污治 理设施 关停取缔 五金件 五金件 无 2019.7.1 否 区发展改革局、区经 济信息化局、区国土 资源局、区环境保护 局、区住房城乡建设 局、区水务局、区农 业局、区国资委、区 市场监督管理局、区 质监局、区安全监管 局、区食品药品监督 管理局、区城乡规划 局等分别按职能负责 区发展改革局、区经 济信息化局、区国土 资源局、区环境保护 局、区住房城乡建设 局、区水务局、区农 业局、区国资委、区 市场监督管理局、区 质监局、区安全监管 局、区食品药品监督 管理局、区城乡规划 局等分别按职能负责 区发展改革局、区经 济信息化局、区国土 资源局、区环境保护 局、区住房城乡建设 局、区水务局、区农 业局、区国资委、区 市场监督管理局、区 质监局、区安全监管 局、区食品药品监督 管理局、区城乡规划 局等分别按职能负责 区发展改革局、区经 济信息化局、区国土 资源局、区环境保护 局、区住房城乡建设 局、区水务局、区农 业局、区国资委、区 市场监督管理局、区 质监局、区安全监管 局、区食品药品监督 管理局、区城乡规划 局等分别按职能负责 区发展改革局、区经 济信息化局、区国土 资源局、区环境保护 局、区住房城乡建设 局、区水务局、区农 业局、区国资委、区 市场监督管理局、区 质监局、区安全监管 局、区食品药品监督 管理局、区城乡规划 局等分别按职能负责 已完成整 改 已完成整 改 已完成整 改 已完成整 改 高要 金利镇 区 珠江村无牌无 金利镇珠江村 证抛光厂之二 高要 106 金利镇 区 石林村无牌无 金利镇石林村 证五金厂之一 高要 107 金利镇 区 石林村无牌无 金利镇石林村 证五金厂之二 五金加工 3360 规下 高要 金利镇 区 金利一甲村无 牌无证抛光厂 金利镇一甲村 之一 五金加工 3360 规下 高要 109 金利镇 区 金利一甲村无 牌无证抛光厂 金利镇一甲村 之二 105 108 五金加工 五金加工 五金加工 3360 3360 3360 规下 规下 规下 无 五金零部 件 无办理环 保手续, 无排污治 理设施 关停取缔 2019.7.1 否 无 五金零部 件 无办理环 保手续, 无排污治 理设施 关停取缔 2019.7.1 否 五金件 无 五金零部 件 无办理环 保手续, 无排污治 理设施 关停取缔 2019.7.1 否 五金件 无 五金零部 件 无办理环 保手续, 无排污治 理设施 关停取缔 2019.7.1 否 无 五金零部 件 无办理环 保手续, 无排污治 理设施 关停取缔 2019.7.1 否 五金件 五金件 五金件 区发展改革局、区经 济信息化局、区国土 资源局、区环境保护 局、区住房城乡建设 局、区水务局、区农 业局、区国资委、区 市场监督管理局、区 质监局、区安全监管 局、区食品药品监督 管理局、区城乡规划 局等分别按职能负责 区发展改革局、区经 济信息化局、区国土 资源局、区环境保护 局、区住房城乡建设 局、区水务局、区农 业局、区国资委、区 市场监督管理局、区 质监局、区安全监管 局、区食品药品监督 管理局、区城乡规划 局等分别按职能负责 区发展改革局、区经 济信息化局、区国土 资源局、区环境保护 局、区住房城乡建设 局、区水务局、区农 业局、区国资委、区 市场监督管理局、区 质监局、区安全监管 局、区食品药品监督 管理局、区城乡规划 局等分别按职能负责 区发展改革局、区经 济信息化局、区国土 资源局、区环境保护 局、区住房城乡建设 局、区水务局、区农 业局、区国资委、区 市场监督管理局、区 质监局、区安全监管 局、区食品药品监督 管理局、区城乡规划 局等分别按职能负责 区发展改革局、区经 济信息化局、区国土 资源局、区环境保护 局、区住房城乡建设 局、区水务局、区农 业局、区国资委、区 市场监督管理局、区 质监局、区安全监管 局、区食品药品监督 管理局、区城乡规划 局等分别按职能负责 高要 金利镇 区 金利一甲村无 牌无证抛光厂 金利镇一甲村 之三 高要 111 金利镇 区 金利一甲村无 牌无证抛光厂 金利镇一甲村 之四 高要 112 金利镇 区 金利一甲村无 牌无证抛光厂 金利镇一甲村 之五 五金加工 3360 规下 高要 金利镇 区 金利一甲村无 牌无证抛光厂 金利镇一甲村 之六 五金加工 3360 规下 高要 114 金利镇 区 金利一甲村无 牌无证抛光厂 金利镇一甲村 之七 110 113 五金加工 五金加工 五金加工 3360 3360 3360 规下 规下 规下 无 五金零部 件 无办理环 保手续, 无排污治 理设施 关停取缔 2019.7.1 否 无 五金零部 件 无办理环 保手续, 无排污治 理设施 关停取缔 2019.7.1 否 五金件 无 五金零部 件 无办理环 保手续, 无排污治 理设施 关停取缔 2019.7.1 否 五金件 无 五金零部 件 无办理环 保手续, 无排污治 理设施 关停取缔 2018.12.31 否 无 五金零部 件 无办理环 保手续, 无排污治 理设施 关停取缔 2018.12.31 否 五金件 五金件 五金件 区发展改革局、区经 济信息化局、区国土 资源局、区环境保护 局、区住房城乡建设 局、区水务局、区农 业局、区国资委、区 市场监督管理局、区 质监局、区安全监管 局、区食品药品监督 管理局、区城乡规划 局等分别按职能负责 区发展改革局、区经 济信息化局、区国土 资源局、区环境保护 局、区住房城乡建设 局、区水务局、区农 业局、区国资委、区 市场监督管理局、区 质监局、区安全监管 局、区食品药品监督 管理局、区城乡规划 局等分别按职能负责 区发展改革局、区经 济信息化局、区国土 资源局、区环境保护 局、区住房城乡建设 局、区水务局、区农 业局、区国资委、区 市场监督管理局、区 质监局、区安全监管 局、区食品药品监督 管理局、区城乡规划 局等分别按职能负责 区发展改革局、区经 济信息化局、区国土 资源局、区环境保护 局、区住房城乡建设 局、区水务局、区农 业局、区国资委、区 市场监督管理局、区 质监局、区安全监管 局、区食品药品监督 管理局、区城乡规划 局等分别按职能负责 区发展改革局、区经 济信息化局、区国土 资源局、区环境保护 局、区住房城乡建设 局、区水务局、区农 业局、区国资委、区 市场监督管理局、区 质监局、区安全监管 局、区食品药品监督 管理局、区城乡规划 局等分别按职能负责 高要 金利镇 区 金利一甲村无 牌无证抛光厂 金利镇一甲村 之八 高要 116 金利镇 区 肇庆市高要区 金利茅湾返还 金利镇肇星五 地无牌无证抛 金表面技术处 光厂之一 理工业园 高要 117 金利镇 区 肇庆市高要区 金利茅湾返还 金利镇肇星五 地无牌无证抛 金表面技术处 光厂之二 理工业园 五金加工 3360 规下 高要 金利镇 区 肇庆市高要区 金利茅湾返还 金利镇肇星五 地无牌无证抛 金表面技术处 光厂之三 理工业园 五金加工 3360 规下 高要 119 金利镇 区 肇庆市高要区 金利茅湾返还 金利镇肇星五 地无牌无证抛 金表面技术处 光厂之四 理工业园 115 118 五金加工 五金加工 五金加工 3360 3360 3360 规下 规下 规下 无 五金零部 件 无办理环 保手续, 无排污治 理设施 关停取缔 2018.12.31 否 无 五金零部 件 无办理环 保手续, 无排污治 理设施 关停取缔 2018.12.31 否 五金件 无 五金零部 件 无办理环 保手续, 无排污治 理设施 关停取缔 2018.12.31 否 五金件 无 五金零部 件 无办理环 保手续, 无排污治 理设施 关停取缔 2018.12.31 否 无 五金零部 件 无办理环 保手续, 无排污治 理设施 关停取缔 2018.12.31 否 五金件 五金件 五金件 区发展改革局、区经 济信息化局、区国土 资源局、区环境保护 局、区住房城乡建设 局、区水务局、区农 业局、区国资委、区 市场监督管理局、区 质监局、区安全监管 局、区食品药品监督 管理局、区城乡规划 局等分别按职能负责 区发展改革局、区经 济信息化局、区国土 资源局、区环境保护 局、区住房城乡建设 局、区水务局、区农 业局、区国资委、区 市场监督管理局、区 质监局、区安全监管 局、区食品药品监督 管理局、区城乡规划 局等分别按职能负责 区发展改革局、区经 济信息化局、区国土 资源局、区环境保护 局、区住房城乡建设 局、区水务局、区农 业局、区国资委、区 市场监督管理局、区 质监局、区安全监管 局、区食品药品监督 管理局、区城乡规划 局等分别按职能负责 区发展改革局、区经 济信息化局、区国土 资源局、区环境保护 局、区住房城乡建设 局、区水务局、区农 业局、区国资委、区 市场监督管理局、区 质监局、区安全监管 局、区食品药品监督 管理局、区城乡规划 局等分别按职能负责 区发展改革局、区经 济信息化局、区国土 资源局、区环境保护 局、区住房城乡建设 局、区水务局、区农 业局、区国资委、区 市场监督管理局、区 质监局、区安全监管 局、区食品药品监督 管理局、区城乡规划 局等分别按职能负责 高要 金利镇 区 肇庆市高要区 金利茅湾返还 金利镇肇星五 地无牌无证抛 金表面技术处 光厂之五 理工业园 高要 121 金利镇 区 肇庆市高要区 金利茅湾返还 金利镇肇星五 地无牌无证抛 金表面技术处 光厂之六 理工业园 高要 122 金利镇 区 肇庆市高要区 金利茅湾返还 金利镇肇星五 地无牌无证抛 金表面技术处 光厂之七 理工业园 五金加工 3360 规下 123 高要 金利镇 区 肇庆市高要区 高要区金利镇 金利镇肇星五 大展宏五金压 金表面技术处 铸厂 理工业园 五金加工 3259 124 高要 金利镇 区 鑫沙五金加工 高要区金利镇 厂 小洲社区 112度45分 23度5分18妙 五金加工 25妙 3360 120 五金加工 五金加工 3360 3360 无 五金零部 件 无办理环 保手续, 无排污治 理设施 关停取缔 2018.12.31 否 无 五金零部 件 无办理环 保手续, 无排污治 理设施 关停取缔 2018.12.31 否 五金件 无 五金零部 件 无办理环 保手续, 无排污治 理设施 关停取缔 2018.12.31 否 规下 五金件 无 五金零部 件 无办理环 保手续, 无排污治 理设施 关停取缔 2018.12.31 否 规下 不锈钢 、五金 无 五金产品 未办理环 评审批手 续 关停取缔 2018.8.30 是 规下 规下 五金件 五金件 区发展改革局、区经 济信息化局、区国土 资源局、区环境保护 局、区住房城乡建设 局、区水务局、区农 业局、区国资委、区 市场监督管理局、区 质监局、区安全监管 局、区食品药品监督 管理局、区城乡规划 局等分别按职能负责 区发展改革局、区经 济信息化局、区国土 资源局、区环境保护 局、区住房城乡建设 局、区水务局、区农 业局、区国资委、区 市场监督管理局、区 质监局、区安全监管 局、区食品药品监督 管理局、区城乡规划 局等分别按职能负责 区发展改革局、区经 济信息化局、区国土 资源局、区环境保护 局、区住房城乡建设 局、区水务局、区农 业局、区国资委、区 市场监督管理局、区 质监局、区安全监管 局、区食品药品监督 管理局、区城乡规划 局等分别按职能负责 区发展改革局、区经 济信息化局、区国土 资源局、区环境保护 局、区住房城乡建设 局、区水务局、区农 已经完成 业局、区国资委、区 整改 市场监督管理局、区 质监局、区安全监管 局、区食品药品监督 管理局、区城乡规划 局等分别按职能负责 区发展改革局、区经 济信息化局、区国土 资源局、区环境保护 局、区住房城乡建设 局、区水务局、区农 业局、区国资委、区 2018.8.18 市场监督管理局、区 质监局、区安全监管 局、区食品药品监督 管理局、区城乡规划 局等分别按职能负责 3360 规下 五金 无 五金抛光 产品 未办理环 评审批手 续 关停取缔 2018.8.30 是 112度44分 23度5分25妙 五金加工 12秒 3360 规下 不锈钢 无 不锈钢印 花 未办理环 评审批手 续 关停取缔 2018.8.30 是 高要市金利镇 高要区金利镇 力源五金压铸 圩镇社区 厂 五金加工 3259 五金零部 件 未办理环 评审批手 续 关停取缔 2018.12.31 否 高要 金利镇 区 高要区金利镇 高要区金利镇 江边无名泡沫 江边村委会 塑料厂 塑料加工 2924 塑料制品 未办理环 评审批手 续 关停取缔 2018.12.31 否 高要 金利镇 区 高要区金利镇 高要区金利镇 茅岗庆隆无名 茅岗村委会 家具厂 木制品 2110 木制家具 配件 未办理环 评审批手 续 关停取缔 2018.12.31 否 125 高要 金利镇 区 军屯抛光厂 高要区金利镇 小洲社区 126 高要 金利镇 区 长城不锈钢加 高要区金利镇 工厂 石林社区 127 高要 金利镇 区 128 129 112度45分 23度5分41妙 38妙 抛光 区发展改革局、区经 济信息化局、区国土 资源局、区环境保护 局、区住房城乡建设 局、区水务局、区农 业局、区国资委、区 市场监督管理局、区 质监局、区安全监管 局、区食品药品监督 管理局、区城乡规划 局等分别按职能负责 区发展改革局、区经 济信息化局、区国土 资源局、区环境保护 局、区住房城乡建设 局、区水务局、区农 业局、区国资委、区 市场监督管理局、区 质监局、区安全监管 局、区食品药品监督 管理局、区城乡规划 局等分别按职能负责 区发展改革局、区经 济信息化局、区国土 资源局、区环境保护 局、区住房城乡建设 局、区水务局、区农 业局、区国资委、区 市场监督管理局、区 质监局、区安全监管 局、区食品药品监督 管理局、区城乡规划 局等分别按职能负责 区发展改革局、区经 济信息化局、区国土 资源局、区环境保护 局、区住房城乡建设 局、区水务局、区农 业局、区国资委、区 市场监督管理局、区 质监局、区安全监管 局、区食品药品监督 管理局、区城乡规划 局等分别按职能负责 区发展改革局、区经 济信息化局、区国土 资源局、区环境保护 局、区住房城乡建设 局、区水务局、区农 业局、区国资委、区 市场监督管理局、区 质监局、区安全监管 局、区食品药品监督 管理局、区城乡规划 局等分别按职能负责 2018.8.18 2018.8.18 2018.12.1 2018.12.1 2018.12.1 高要 金利镇 区 高要区金利镇 高要区金利镇 盈大五金喷涂 显茅村委会 厂 五金加工 3360 五金零部 件 未办理环 评审批手 续 关停取缔 2018.12.31 否 高要 131 金利镇 区 高要区金利镇 高要区金利镇 圩镇社区新中 金笨牛牛五金 心城区(罗锦 加工厂 桃厂房之一) 五金加工 3360 五金零部 件 未办理环 评审批手 续 关停取缔 2018.12.31 否 132 高要 金利镇 区 高要区金利镇 金利镇金利社 黎先生无牌无 区西村工业园 证五金厂 五金加工 3360 五金零部 件 未办理环 评审批手 续 关停取缔 2018.12.31 是 133 高要 金利镇 区 高要区金利镇 金利镇西围社 华洪永盛金属 区 制品厂 五金加工 3360 五金零部 件 未办理环 评审批手 续 关停取缔 2018.12.31 否 134 高要 金利镇 区 高要市金利镇 金利镇圩镇社 凯竣玻璃工艺 区 厂 五金加工 3059 五金零部 件 未办理环 评审批手 续 关停取缔 2018.12.31 否 130 区发展改革局、区经 济信息化局、区国土 资源局、区环境保护 局、区住房城乡建设 局、区水务局、区农 业局、区国资委、区 市场监督管理局、区 质监局、区安全监管 局、区食品药品监督 管理局、区城乡规划 局等分别按职能负责 区发展改革局、区经 济信息化局、区国土 资源局、区环境保护 局、区住房城乡建设 局、区水务局、区农 业局、区国资委、区 市场监督管理局、区 质监局、区安全监管 局、区食品药品监督 管理局、区城乡规划 局等分别按职能负责 区发展改革局、区经 济信息化局、区国土 资源局、区环境保护 局、区住房城乡建设 局、区水务局、区农 业局、区国资委、区 市场监督管理局、区 质监局、区安全监管 局、区食品药品监督 管理局、区城乡规划 局等分别按职能负责 区发展改革局、区经 济信息化局、区国土 资源局、区环境保护 局、区住房城乡建设 局、区水务局、区农 业局、区国资委、区 市场监督管理局、区 质监局、区安全监管 局、区食品药品监督 管理局、区城乡规划 局等分别按职能负责 区发展改革局、区经 济信息化局、区国土 资源局、区环境保护 局、区住房城乡建设 局、区水务局、区农 业局、区国资委、区 市场监督管理局、区 质监局、区安全监管 局、区食品药品监督 管理局、区城乡规划 局等分别按职能负责 2018.12.1 2018.12.1 2018.12.1 2018.12.1 2018.12.1 135 高要 金利镇 区 金利镇和兴五 金利镇茅岗村 金弹簧厂 委会 五金零部 件 未办理环 评审批手 续 竹 竹制品 无办理相 关环保手 续 竹 竹 竹制品 规模以下 木板 / 规模以下 钢材 / 五金加工 3360 木材加工 92441283M 高要区新桥镇 112°24′20.00 和木、竹 高要 高要区新桥镇 136 ″ 22°57′27.78″ 、藤、棕 新桥镇 A4XPJPCX 何洁英竹制品 区 站前路 D 厂 、草制品 业 2041 规模以下 竹 木材加工 92441283M 高要区新桥镇 高要区新桥镇 和木、竹 高要 赤坎村委会塘 22°57′24.99″ 112°24′40.39 137 新桥镇 A51HNQK1 伟健竹制品加 、藤、棕 ″ 区 边村厂房,即 0 工厂 、草制品 塘边村厂房 业 2041 规模以下 木材加工 和木、竹 4412836001 高要区新桥镇 高要区新桥镇 高要 138 22°56′53.63″ 112°23′50.08 、藤、棕 新桥镇 80645 区 永华音箱厂 田螺村 、草制品 业 3983 肇庆市高要区 92441283M 高要区新桥镇 新桥镇324线国 22°57′42.63″ 112°24′28.84 高要 139 新桥镇 A4XDC8X9 龙发钢制家具 办公用品 ″ 区 道边湾边大沙 3 厂 工业园 2130 已搬离金 2018.12.31 利镇 否 关停 2018.10.20 否 无办理相 关环保手 续 关停 2018.10.20 否 音箱 无办理相 关环保手 续 关停 2018.10.20 否 钢制文件 柜 无办理相 关环保手 续 办理环评 2018.11.30 否 区发展改革局、区经 济信息化局、区国土 资源局、区环境保护 局、区住房城乡建设 局、区水务局、区农 业局、区国资委、区 市场监督管理局、区 质监局、区安全监管 局、区食品药品监督 管理局、区城乡规划 局等分别按职能负责 区发展改革局、区经 济信息化局、区国土 资源局、区环境保护 局、区住房城乡建设 局、区水务局、区农 业局、区国资委、区 市场监督管理局、区 质监局、区安全监管 局、区食品药品监督 管理局、区城乡规划 局等分别按职能负责 区发展改革局、区经 济信息化局、区国土 资源局、区环境保护 局、区住房城乡建设 局、区水务局、区农 业局、区国资委、区 市场监督管理局、区 质监局、区安全监管 局、区食品药品监督 管理局、区城乡规划 局等分别按职能负责 区发展改革局、区经 济信息化局、区国土 资源局、区环境保护 局、区住房城乡建设 局、区水务局、区农 业局、区国资委、区 市场监督管理局、区 质监局、区安全监管 局、区食品药品监督 管理局、区城乡规划 局等分别按职能负责 区发展改革局、区经 济信息化局、区国土 资源局、区环境保护 局、区住房城乡建设 局、区水务局、区农 2018.11.3 业局、区国资委、区 0 市场监督管理局、区 质监局、区安全监管 局、区食品药品监督 管理局、区城乡规划 局等分别按职能负责 140 高要 新桥镇 区 新桥镇闽乐新 高要区新桥镇 型墙体材料厂 布塘村何元朗 粘土砖瓦 及建筑砌 块制造 141 高要 新桥镇 区 肇庆市高要区 高要区新桥镇 晨华木业有限 长湖管理区卖 公司 鸡岗 木材加工 高要 142 新桥镇 区 高要市康泰涂 新桥镇广塘村 装厂 加工漆器 工艺 3031 红砖 无办理相 关环保手 续及国家 明令禁止 生产产品 2039 木材 无办理相 关环保手 续 2641 加工漆器 工艺 关停取缔 2018.12.30 否 关停 2018.10.30 是 生产技术 落后,环 保手续未 完善 关停 2018.11.30 是 关停 2018.12.30 否 关停 2018.12.30 否 143 高要 新桥镇 区 高要区新桥镇 新桥镇湾边村 明宇星藤艺厂 路口324国道旁 藤艺加工 1629 竹藤 没有取得 相关环保 手续,废 气未经处 理直接排 放 144 高要 新桥镇 区 超记烧腊档 新桥镇张屋村 路口 烧腊加工 6291 烧腊 废气未经 处理直接 排放 区发展改革局、区经 济信息化局、区国土 资源局、区环境保护 局、区住房城乡建设 局、区水务局、区农 业局、区国资委、区 市场监督管理局、区 质监局、区安全监管 局、区食品药品监督 管理局、区城乡规划 局等分别按职能负责 区发展改革局、区经 济信息化局、区国土 资源局、区环境保护 局、区住房城乡建设 局、区水务局、区农 2018.10.3 业局、区国资委、区 0 市场监督管理局、区 质监局、区安全监管 局、区食品药品监督 管理局、区城乡规划 局等分别按职能负责 区发展改革局、区经 济信息化局、区国土 资源局、区环境保护 局、区住房城乡建设 局、区水务局、区农 2018.11.3 业局、区国资委、区 0 市场监督管理局、区 质监局、区安全监管 局、区食品药品监督 管理局、区城乡规划 局等分别按职能负责 区发展改革局、区经 济信息化局、区国土 资源局、区环境保护 局、区住房城乡建设 局、区水务局、区农 业局、区国资委、区 市场监督管理局、区 质监局、区安全监管 局、区食品药品监督 管理局、区城乡规划 局等分别按职能负责 区发展改革局、区经 济信息化局、区国土 资源局、区环境保护 局、区住房城乡建设 局、区水务局、区农 业局、区国资委、区 市场监督管理局、区 质监局、区安全监管 局、区食品药品监督 管理局、区城乡规划 局等分别按职能负责 145 高要 新桥镇 区 高要市中泰木 高要市新桥镇 厂 鱼粮窦 木材加工 2039 木材 无办理相 关环保手 续 关停 2018.10.30 否 146 高要 新桥镇 区 高要市新桥镇 高要区新桥镇 新展制衣厂 广海北路 制衣加工 1819 制衣 无办理相 关环保手 续 关停 2018.12.30 否 147 高要 新桥镇 区 高要市新桥镇 高要区新桥镇 日权石材加工 布塘开发区324 场 旁 石材加工 1019 石材 无办理相 关环保手 续 关停 2018.10.30 否 148 高要 新桥镇 区 高要市新桥镇 高要市新桥镇 金博手袋厂 大坳项 制衣加工 1819 制衣 无办理相 关环保手 续 关停 2018.10.30 否 149 高要 新桥镇 区 高要市新桥镇 高要市新桥镇 新彩服装加工 大坳项 场 制衣加工 1819 制衣 无办理相 关环保手 续 关停 2018.10.30 否 区发展改革局、区经 济信息化局、区国土 资源局、区环境保护 局、区住房城乡建设 局、区水务局、区农 业局、区国资委、区 市场监督管理局、区 质监局、区安全监管 局、区食品药品监督 管理局、区城乡规划 局等分别按职能负责 区发展改革局、区经 济信息化局、区国土 资源局、区环境保护 局、区住房城乡建设 局、区水务局、区农 业局、区国资委、区 市场监督管理局、区 质监局、区安全监管 局、区食品药品监督 管理局、区城乡规划 局等分别按职能负责 区发展改革局、区经 济信息化局、区国土 资源局、区环境保护 局、区住房城乡建设 局、区水务局、区农 业局、区国资委、区 市场监督管理局、区 质监局、区安全监管 局、区食品药品监督 管理局、区城乡规划 局等分别按职能负责 区发展改革局、区经 济信息化局、区国土 资源局、区环境保护 局、区住房城乡建设 局、区水务局、区农 业局、区国资委、区 市场监督管理局、区 质监局、区安全监管 局、区食品药品监督 管理局、区城乡规划 局等分别按职能负责 区发展改革局、区经 济信息化局、区国土 资源局、区环境保护 局、区住房城乡建设 局、区水务局、区农 业局、区国资委、区 市场监督管理局、区 质监局、区安全监管 局、区食品药品监督 管理局、区城乡规划 局等分别按职能负责 2018.10.3 0 2018.12.3 0 2018.10.3 0 2018.10.3 0 2018.10.3 0 150 高要 新桥镇 区 151 高要 区 152 高要区新桥镇 肇庆市高要区 心力手袋厂 新桥镇振兴区 制衣 无办理相 关环保手 续 关停 2018.11.30 否 煤 蓝湿皮 无 无 2019.6.30 否 皮革碎 料 煤 蓝湿皮 无 无 2019.6.30 否 0-50人 皮革碎 料 煤 蓝湿皮 无 无 2019.6.30 否 0-50人 皮革碎 料 煤 蓝湿皮 无 无 2019.6.30 否 制衣加工 1910 乐城 91441283M 肇庆市高要区 思可村委会往 112°20′47.22 A4UJLD56 乐城镇明鑫皮 23°20′0.564″ 皮革制品 ″ 罗院村方向 U 革制品厂 1929 0-50人 皮革碎 料 高要 区 乐城 肇庆市高要区 9144128366 思可村委会往 112°20′56.2″ 23°19′56.6″ 皮革制品 乐城镇新大迪 1549463N 罗院村方向 皮革厂 1929 0-50人 153 高要 区 乐城 9144128369 高要区德高皮 思可村委会犀 112°20′22.5″ 23°20′18.3″ 皮革制品 9769832K 革有限公司 牛口 1929 154 高要 区 乐城 肇庆市乐城兴 9144120067 布浮村委会布 112°19′42.4″ 23°21′21.4″ 皮革制品 业皮业有限公 7059960L 浮桥头 司 1929 区发展改革局、区经 济信息化局、区国土 资源局、区环境保护 局、区住房城乡建设 局、区水务局、区农 2018.11.3 业局、区国资委、区 0 市场监督管理局、区 质监局、区安全监管 局、区食品药品监督 管理局、区城乡规划 局等分别按职能负责 区发展改革局、区经 济信息化局、区国土 资源局、区环境保护 局、区住房城乡建设 局、区水务局、区农 业局、区国资委、区 市场监督管理局、区 质监局、区安全监管 局、区食品药品监督 管理局、区城乡规划 局等分别按职能负责 区发展改革局、区经 济信息化局、区国土 资源局、区环境保护 局、区住房城乡建设 局、区水务局、区农 业局、区国资委、区 市场监督管理局、区 质监局、区安全监管 局、区食品药品监督 管理局、区城乡规划 局等分别按职能负责 区发展改革局、区经 济信息化局、区国土 资源局、区环境保护 局、区住房城乡建设 局、区水务局、区农 业局、区国资委、区 市场监督管理局、区 质监局、区安全监管 局、区食品药品监督 管理局、区城乡规划 局等分别按职能负责 区发展改革局、区经 济信息化局、区国土 资源局、区环境保护 局、区住房城乡建设 局、区水务局、区农 业局、区国资委、区 市场监督管理局、区 质监局、区安全监管 局、区食品药品监督 管理局、区城乡规划 局等分别按职能负责 155 高要 区 乐城 肇庆市高要区 9114128366 银村村委会沉 曼皮克皮业有 9899205F 百塘 限公司 23°20′10.2″ 皮革制品 1929 0-50人 皮革碎 料 煤 环保皮 无 无 2019.6.30 否 156 高要 区 乐城 91441283M 肇庆市高要区 23°21′36.458 布浮村委会白 A4UHX338 乐城镇新顺达 112°19′56.1″ 塑胶行业 ″ 沙坑 G 塑料制品厂 2920 0-50人 有机玻 璃 煤 有机塑料 (液体半 成品) 无 无 2019.6.30 否 157 高要 区 乐城 肇庆高要区乐 布浮村委会布 112°20′22.5″ 23°20′18.3″ 塑胶行业 城镇明顺塑胶 浮桥头 厂 2920 0-50人 塑料 煤 骰子 无 无 2019.6.30 否 158 高要 区 乐城 肇庆高要区乐 城镇赛钢金属 铸造厂 112°20′22.5″ 23°20′18.3″ 五金制品 3392 0-50人 金属 煤 钢珠 无 无 2019.6.30 否 159 高要 白诸镇 区 高要区海纳五 下坡凤尾石场 112゜17ˊ53" 22゜56ˊ39.5" 塑料制品 金塑料厂 2432 中小 木屑 生物质 五金塑料 未办理相 关环保手 续 关停 2019.6.30 否 924412830 112°20′1.6″ 区发展改革局、区经 济信息化局、区国土 资源局、区环境保护 局、区住房城乡建设 局、区水务局、区农 业局、区国资委、区 市场监督管理局、区 质监局、区安全监管 局、区食品药品监督 管理局、区城乡规划 局等分别按职能负责 区发展改革局、区经 济信息化局、区国土 资源局、区环境保护 局、区住房城乡建设 局、区水务局、区农 业局、区国资委、区 市场监督管理局、区 质监局、区安全监管 局、区食品药品监督 管理局、区城乡规划 局等分别按职能负责 区发展改革局、区经 济信息化局、区国土 资源局、区环境保护 局、区住房城乡建设 局、区水务局、区农 业局、区国资委、区 市场监督管理局、区 质监局、区安全监管 局、区食品药品监督 管理局、区城乡规划 局等分别按职能负责 区发展改革局、区经 济信息化局、区国土 资源局、区环境保护 局、区住房城乡建设 局、区水务局、区农 业局、区国资委、区 市场监督管理局、区 质监局、区安全监管 局、区食品药品监督 管理局、区城乡规划 局等分别按职能负责 区发展改革局、区经 济信息化局、区国土 资源局、区环境保护 局、区住房城乡建设 局、区水务局、区农 业局、区国资委、区 市场监督管理局、区 质监局、区安全监管 局、区食品药品监督 管理局、区城乡规划 局等分别按职能负责 160 高要市白诸镇 4412836001 高要市强记金 高要 白诸镇 河洞村猪肚岗 35015 区 属铸造厂 (山名)鸡场 161 高要 白诸镇 区 罗乐十二根洋 罗乐村委会十 猪油厂 二根洋 162 高要 小湘镇 区 高要市小湘镇 茶湾村华岗顶 321国道边 恒业瓷砂场 陶瓷原料 堆放销售 1019 高岭土 无 163 高要 小湘镇 区 高要市小湘镇 茶湾村华岗顶 笋围清桂石粉 322国道边 购销部 陶瓷原料 加工销售 1019 高岭土 164 高要 小湘镇 区 高要市小湘镇 孔湾村321国道 顺华瓷沙装卸 边 场 陶瓷原料 销售装卸 1019 高岭土 112°21′12 22°56′48 金属制造 3392 中小 五金 未办理相 关环保手 续 关停 2019.6.30 否 未办理相 关环保手 续 已取缔 2018.10.31 否 陶瓷原料 环保手续 不完善 取缔 否 无 陶瓷原料 环保手续 不完善 取缔 否 无 陶瓷原料 环保手续 不完善 取缔 否 生物质 五金制品 1329 区发展改革局、区经 济信息化局、区国土 资源局、区环境保护 局、区住房城乡建设 局、区水务局、区农 业局、区国资委、区 市场监督管理局、区 质监局、区安全监管 局、区食品药品监督 管理局、区城乡规划 局等分别按职能负责 区发展改革局、区经 济信息化局、区国土 资源局、区环境保护 局、区住房城乡建设 局、区水务局、区农 业局、区国资委、区 市场监督管理局、区 质监局、区安全监管 局、区食品药品监督 管理局、区城乡规划 局等分别按职能负责 区发展改革局、区经 济信息化局、区国土 资源局、区环境保护 局、区住房城乡建设 局、区水务局、区农 业局、区国资委、区 市场监督管理局、区 质监局、区安全监管 局、区食品药品监督 管理局、区城乡规划 局等分别按职能负责 区发展改革局、区经 济信息化局、区国土 资源局、区环境保护 局、区住房城乡建设 局、区水务局、区农 业局、区国资委、区 市场监督管理局、区 质监局、区安全监管 局、区食品药品监督 管理局、区城乡规划 局等分别按职能负责 区发展改革局、区经 济信息化局、区国土 资源局、区环境保护 局、区住房城乡建设 局、区水务局、区农 业局、区国资委、区 市场监督管理局、区 质监局、区安全监管 局、区食品药品监督 管理局、区城乡规划 局等分别按职能负责 165 高要 小湘镇 区 高要市小湘镇 孔湾村322国道 广运陶瓷原料 边 场 陶瓷原料 销售 1019 高岭土 无 陶瓷原料 环保手续 不完善 取缔 否 166 高要 小湘镇 区 高要市小湘镇 茶湾村华岗顶 321国道边 伟新瓷砂场 陶瓷原料 堆放销售 1019 高岭土 无 陶瓷原料 环保手续 不完善 取缔 否 167 高要 小湘镇 区 高要市小湘镇 孔湾村322国道 骏盛陶瓷原料 边 场 陶瓷原料 加工销售 1019 高岭土 无 陶瓷原料 环保手续 不完善 取缔 否 168 高要 小湘镇 区 高要市小湘镇 孔湾村322国道 全顺瓷砂场 边 陶瓷原料 销售 1019 高岭土 无 陶瓷原料 环保手续 不完善 取缔 否 169 高要 小湘镇 区 高要市小湘镇 茶湾村西江造 五湖陶瓷原料 船厂西侧 场 陶瓷原料 加工销售 1019 高岭土 无 陶瓷原料 环保手续 不完善 取缔 否 区发展改革局、区经 济信息化局、区国土 资源局、区环境保护 局、区住房城乡建设 局、区水务局、区农 业局、区国资委、区 市场监督管理局、区 质监局、区安全监管 局、区食品药品监督 管理局、区城乡规划 局等分别按职能负责 区发展改革局、区经 济信息化局、区国土 资源局、区环境保护 局、区住房城乡建设 局、区水务局、区农 业局、区国资委、区 市场监督管理局、区 质监局、区安全监管 局、区食品药品监督 管理局、区城乡规划 局等分别按职能负责 区发展改革局、区经 济信息化局、区国土 资源局、区环境保护 局、区住房城乡建设 局、区水务局、区农 业局、区国资委、区 市场监督管理局、区 质监局、区安全监管 局、区食品药品监督 管理局、区城乡规划 局等分别按职能负责 区发展改革局、区经 济信息化局、区国土 资源局、区环境保护 局、区住房城乡建设 局、区水务局、区农 业局、区国资委、区 市场监督管理局、区 质监局、区安全监管 局、区食品药品监督 管理局、区城乡规划 局等分别按职能负责 区发展改革局、区经 济信息化局、区国土 资源局、区环境保护 局、区住房城乡建设 局、区水务局、区农 业局、区国资委、区 市场监督管理局、区 质监局、区安全监管 局、区食品药品监督 管理局、区城乡规划 局等分别按职能负责 170 高要 小湘镇 区 高要市小湘镇 笋围村321国道 优博陶瓷原料 边(旧镇雕) 场 陶瓷原料 销售 1019 高岭土 无 陶瓷原料 环保手续 不完善 取缔 否 171 高要 小湘镇 区 高要市小湘镇 茶湾村321国道 永盈盛陶瓷原 边(西船对 料场 面) 陶瓷原料 销售 1019 高岭土 无 陶瓷原料 环保手续 不完善 取缔 否 172 高要 小湘镇 区 高要市小湘镇 孔湾村322国道 华清瓷沙装卸 边 场 简易码头 1019 码头报批 手续不完 善 取缔 否 173 高要 小湘镇 区 高要区小湘镇 笋围村321国道 银汇猪油场 边 猪油加工 1329 猪肉边 料 木柴 工业猪油 环保手续 不完善 取缔 否 174 高要 小湘镇 区 高要区小湘镇 祥烽铸造厂 铸造 3130 生铁 焦煤 各类铁铸 件 环保手续 不完善 取缔 否 西江船厂内 无 区发展改革局、区经 济信息化局、区国土 资源局、区环境保护 局、区住房城乡建设 局、区水务局、区农 业局、区国资委、区 市场监督管理局、区 质监局、区安全监管 局、区食品药品监督 管理局、区城乡规划 局等分别按职能负责 区发展改革局、区经 济信息化局、区国土 资源局、区环境保护 局、区住房城乡建设 局、区水务局、区农 业局、区国资委、区 市场监督管理局、区 质监局、区安全监管 局、区食品药品监督 管理局、区城乡规划 局等分别按职能负责 区发展改革局、区经 济信息化局、区国土 资源局、区环境保护 局、区住房城乡建设 局、区水务局、区农 业局、区国资委、区 市场监督管理局、区 质监局、区安全监管 局、区食品药品监督 管理局、区城乡规划 局等分别按职能负责 区发展改革局、区经 济信息化局、区国土 资源局、区环境保护 局、区住房城乡建设 局、区水务局、区农 业局、区国资委、区 市场监督管理局、区 质监局、区安全监管 局、区食品药品监督 管理局、区城乡规划 局等分别按职能负责 区发展改革局、区经 济信息化局、区国土 资源局、区环境保护 局、区住房城乡建设 局、区水务局、区农 业局、区国资委、区 市场监督管理局、区 质监局、区安全监管 局、区食品药品监督 管理局、区城乡规划 局等分别按职能负责 175 高要 小湘镇 区 小湘镇无名铝 灰厂 176 高要 小湘镇 区 177 铝灰加工 3252 铝灰 煤 铝锭 无证经营 取缔 否 小湘镇无名灰 笋围村321国道 油场 边 灰油加工 2019 灰粉 木柴 灰油 无证经营 取缔 否 高要 小湘镇 区 高要区小湘镇 肇庆市高要区 宇星陶瓷原料 小湘镇迳口村 一村67号 经营部 销售:瓷 沙,石粉 。 1019 环保手续 不完善 取缔 否 高要 178 小湘镇 区 肇庆市高要区 高要区小湘镇 小湘镇金凤路 洁容小食店 (邓小月商铺首 层) 餐饮服务 。 6291 环保手续 不完善 取缔 否 高要 179 小湘镇 区 高要市小湘镇 高要市小湘镇 山村瓷沙坭场 孔湾村 货物装 卸;销 售:瓷沙 。 1019 环保手续 不完善 取缔 否 茶湾村庙坑 区发展改革局、区经 济信息化局、区国土 资源局、区环境保护 局、区住房城乡建设 局、区水务局、区农 业局、区国资委、区 市场监督管理局、区 质监局、区安全监管 局、区食品药品监督 管理局、区城乡规划 局等分别按职能负责 区发展改革局、区经 济信息化局、区国土 资源局、区环境保护 局、区住房城乡建设 局、区水务局、区农 业局、区国资委、区 市场监督管理局、区 质监局、区安全监管 局、区食品药品监督 管理局、区城乡规划 局等分别按职能负责 区发展改革局、区经 济信息化局、区国土 资源局、区环境保护 局、区住房城乡建设 局、区水务局、区农 业局、区国资委、区 市场监督管理局、区 质监局、区安全监管 局、区食品药品监督 管理局、区城乡规划 局等分别按职能负责 区发展改革局、区经 济信息化局、区国土 资源局、区环境保护 局、区住房城乡建设 局、区水务局、区农 业局、区国资委、区 市场监督管理局、区 质监局、区安全监管 局、区食品药品监督 管理局、区城乡规划 局等分别按职能负责 区发展改革局、区经 济信息化局、区国土 资源局、区环境保护 局、区住房城乡建设 局、区水务局、区农 业局、区国资委、区 市场监督管理局、区 质监局、区安全监管 局、区食品药品监督 管理局、区城乡规划 局等分别按职能负责 180 高要 小湘镇 区 高要市金俊土 高要市小湘镇 金龙路18号 石方工程部 服务:土 石方工程 。 3032 环保手续 不完善 取缔 否 181 高要 小湘镇 区 高要市小湘镇 高要市小湘镇 月婵五金加工 新街23号 场 来料加 工:五金 杂件。 3361 环保手续 不完善 取缔 否 182 高要 小湘镇 区 高要市小湘镇 高要市小湘镇 海记五金加工 圩镇(原笋围 场 粮所仓库) 来料加 工:五金 杂件。 3361 环保手续 不完善 取缔 否 183 高要 小湘镇 区 高要市小湘镇 高要市小湘镇 珍爱皮具加工 孔湾村 厂 加工:皮 具。 1929 环保手续 不完善 取缔 否 184 高要 小湘镇 区 高要市小湘镇 高要市小湘镇 迳口村委会天 兴运砖厂 湖江村 加工、销 售:环保 砖。 3031 环保手续 不完善 取缔 否 区发展改革局、区经 济信息化局、区国土 资源局、区环境保护 局、区住房城乡建设 局、区水务局、区农 业局、区国资委、区 市场监督管理局、区 质监局、区安全监管 局、区食品药品监督 管理局、区城乡规划 局等分别按职能负责 区发展改革局、区经 济信息化局、区国土 资源局、区环境保护 局、区住房城乡建设 局、区水务局、区农 业局、区国资委、区 市场监督管理局、区 质监局、区安全监管 局、区食品药品监督 管理局、区城乡规划 局等分别按职能负责 区发展改革局、区经 济信息化局、区国土 资源局、区环境保护 局、区住房城乡建设 局、区水务局、区农 业局、区国资委、区 市场监督管理局、区 质监局、区安全监管 局、区食品药品监督 管理局、区城乡规划 局等分别按职能负责 区发展改革局、区经 济信息化局、区国土 资源局、区环境保护 局、区住房城乡建设 局、区水务局、区农 业局、区国资委、区 市场监督管理局、区 质监局、区安全监管 局、区食品药品监督 管理局、区城乡规划 局等分别按职能负责 区发展改革局、区经 济信息化局、区国土 资源局、区环境保护 局、区住房城乡建设 局、区水务局、区农 业局、区国资委、区 市场监督管理局、区 质监局、区安全监管 局、区食品药品监督 管理局、区城乡规划 局等分别按职能负责 185 高要 小湘镇 区 高要市笋围四 高要市小湘镇 川饭店 笋围开发区 中餐制 售;零 售:定型 包装食品 及酒类。 186 高要 小湘镇 区 高要市小湘镇 高要市小湘镇 联星大湘口村 顺客源小食店 (刘友权宅) 餐饮服务 。 6291 环保手续 不完善 取缔 否 高要 187 小湘镇 区 高要市小湘镇 高要市小湘镇 大湘口村边商 合兴菜馆 铺 餐饮服务 。(具体 经营项目 凭许可证 经营) 6291 环保手续 不完善 取缔 否 高要 小湘镇 区 高要市小湘镇 高要市小湘镇 联星区上水大 辉煌饭店 湘口“横基滩” 中餐制 售;零 售:卷烟 、雪茄烟 。 6291 环保手续 不完善 取缔 否 高要 小湘镇 区 高要市小湘镇 高要市笋围曲 笋围东321国道 江建水饭店 边 中餐制 售;零 售:定型 包装食品 。 6291 环保手续 不完善 取缔 否 188 189 6210 环保手续 不完善 取缔 否 区发展改革局、区经 济信息化局、区国土 资源局、区环境保护 局、区住房城乡建设 局、区水务局、区农 业局、区国资委、区 市场监督管理局、区 质监局、区安全监管 局、区食品药品监督 管理局、区城乡规划 局等分别按职能负责 区发展改革局、区经 济信息化局、区国土 资源局、区环境保护 局、区住房城乡建设 局、区水务局、区农 业局、区国资委、区 市场监督管理局、区 质监局、区安全监管 局、区食品药品监督 管理局、区城乡规划 局等分别按职能负责 区发展改革局、区经 济信息化局、区国土 资源局、区环境保护 局、区住房城乡建设 局、区水务局、区农 业局、区国资委、区 市场监督管理局、区 质监局、区安全监管 局、区食品药品监督 管理局、区城乡规划 局等分别按职能负责 区发展改革局、区经 济信息化局、区国土 资源局、区环境保护 局、区住房城乡建设 局、区水务局、区农 业局、区国资委、区 市场监督管理局、区 质监局、区安全监管 局、区食品药品监督 管理局、区城乡规划 局等分别按职能负责 区发展改革局、区经 济信息化局、区国土 资源局、区环境保护 局、区住房城乡建设 局、区水务局、区农 业局、区国资委、区 市场监督管理局、区 质监局、区安全监管 局、区食品药品监督 管理局、区城乡规划 局等分别按职能负责 高要 小湘镇 区 高要市小湘镇 高要市小湘镇 明辉饭店 孔湾管理区 中餐制售 (不包含 凉菜、烧 卤熟肉、 裱花蛋糕 、生吃海 产品等) 。 高要 小湘镇 区 肇庆市高要区 小湘镇孔湾村 高要区小湘镇 (即321国道旁 大鹏瓷沙场 土名:煤窑 下) 生产(仅 限于加 工)、销 售:瓷 沙;服 务:货物 装卸。 1019 环保手续 不完善 取缔 否 高要 192 小湘镇 区 肇庆市高要区 小湘镇孔湾村 高要区小湘镇 (土名:亚公 兴汇陶瓷原料 塘)汇盛陶瓷 购销部 原料场二楼 (仅限办公用 途) 销售:陶 瓷原料, 建筑材 料,装饰 材料。 1019 环保手续 不完善 取缔 否 193 高要 小湘镇 区 肇庆市高要区 小湘镇孔湾村 高要区小湘镇 (土名:亚公 升汇建筑材料 塘)汇盛陶瓷 购销部 原料场办公楼 首层之一 销售:建 筑材料。 1019 环保手续 不完善 取缔 否 194 高要 小湘镇 区 高要市小湘镇 高要市小湘镇 新好家具店 朗口村霞乐队 加工、销 售:木制 家具。 2110 环保手续 不完善 取缔 否 190 191 6210 环保手续 不完善 取缔 否 区发展改革局、区经 济信息化局、区国土 资源局、区环境保护 局、区住房城乡建设 局、区水务局、区农 业局、区国资委、区 市场监督管理局、区 质监局、区安全监管 局、区食品药品监督 管理局、区城乡规划 局等分别按职能负责 区发展改革局、区经 济信息化局、区国土 资源局、区环境保护 局、区住房城乡建设 局、区水务局、区农 业局、区国资委、区 市场监督管理局、区 质监局、区安全监管 局、区食品药品监督 管理局、区城乡规划 局等分别按职能负责 区发展改革局、区经 济信息化局、区国土 资源局、区环境保护 局、区住房城乡建设 局、区水务局、区农 业局、区国资委、区 市场监督管理局、区 质监局、区安全监管 局、区食品药品监督 管理局、区城乡规划 局等分别按职能负责 区发展改革局、区经 济信息化局、区国土 资源局、区环境保护 局、区住房城乡建设 局、区水务局、区农 业局、区国资委、区 市场监督管理局、区 质监局、区安全监管 局、区食品药品监督 管理局、区城乡规划 局等分别按职能负责 区发展改革局、区经 济信息化局、区国土 资源局、区环境保护 局、区住房城乡建设 局、区水务局、区农 业局、区国资委、区 市场监督管理局、区 质监局、区安全监管 局、区食品药品监督 管理局、区城乡规划 局等分别按职能负责 高要 小湘镇 区 肇庆市高要区 高要区小湘镇 小湘镇迳口村 万顺石材厂 委会天湖江(土 名:水翁坑) 加工、销 售:石材 。 3032 环保手续 不完善 取缔 否 高要 196 小湘镇 区 肇庆市高要区 高要区小湘镇 小湘镇爱民小 珍珍美食店 区(杜国权商 铺第八卡) 餐饮服务 。 6291 环保手续 不完善 取缔 否 高要 197 小湘镇 区 肇庆市高要区 高要区小湘镇 小湘镇孔湾村 悦朗塑料加工 (原金湾手袋厂 店 之2号厂房) 加工、销 售:塑料 制品。 2929 环保手续 不完善 取缔 否 195 198 四会 四会市升华 石狗镇 市 陶瓷原料厂 无 199 四会市石狗 四会 石狗镇 镇天晨陶瓷 市 原料加工场 无 200 四会 无名废油加 石狗镇 市 工厂 无 201 四会 城中街 四会市兴发 市 道 鞋面加工店 无 202 四会市城中 四会 城中街 区雄文废纸 市 道 回收站 无 203 四会市城中 四会 城中街 区威利鞋花 市 道 加工厂 无 204 四会 城中街 宏达印刷有 市 道 限公司 778347312 石狗镇都崀村 委会 112°35′50.86 23°22′40.69″ ″ 石狗镇都崀村 112°35′50.88 23°22′40.69″ ″ 委会水口旧加 油站 112°35′50.74 23°24′30.95″ 石狗镇原讴坑 ″ 鸵鸟养殖基地 四会市高狮寺 边西村(土 名)三十亩厂 房 四会市城中区 白沙村(寺菇 屈) 四会市高狮寺 边西村(土 名)三十亩厂 房 城中区高狮村 委 3074 陶瓷原料 小型企业 制造 碎石 无 陶瓷原料 3074 陶瓷原料 小型企业 制造 碎石 无 陶瓷原料 小型企业 废油 无 2521 其他 无相关环 评手续、 无营业执 照 无相关环 区发展改革局、区经 济信息化局、区国土 资源局、区环境保护 局、区住房城乡建设 局、区水务局、区农 业局、区国资委、区 市场监督管理局、区 质监局、区安全监管 局、区食品药品监督 管理局、区城乡规划 局等分别按职能负责 区发展改革局、区经 济信息化局、区国土 资源局、区环境保护 局、区住房城乡建设 局、区水务局、区农 业局、区国资委、区 市场监督管理局、区 质监局、区安全监管 局、区食品药品监督 管理局、区城乡规划 局等分别按职能负责 区发展改革局、区经 济信息化局、区国土 资源局、区环境保护 局、区住房城乡建设 局、区水务局、区农 业局、区国资委、区 市场监督管理局、区 质监局、区安全监管 局、区食品药品监督 管理局、区城乡规划 局等分别按职能负责 关停取缔 2018.6.1 否 石狗镇人民政府、都 崀村委会 2018.6.1 评手续、 无营业执 照 无相关环 关停取缔 2018.6.1 否 石狗镇人民政府、都 崀村委会 2018.6.1 油 评手续、 无营业执 照 无相关环 关停取缔 2018.6.1 否 石狗镇人民政府、讴 坑村委会 2018.6.1 112°39′51 23°21′13 ″ 1952 原料制造 小型企业 皮革 无 鞋面 关停取缔 2018.6.1 否 四会市城中街道、高 2018.4.29 狮村委会 112°38′58 23°21′5 ″ 评手续、 无营业执 照、违法 无相关环 5191 原料制造 小型企业 废纸 无 纸张 评手续、 无营业执 照、违法 无相关环 关停取缔 2018.6.1 否 四会市城中街道、白 2018.5.28 沙村委会 112°40′3″ 23°21′28″ 1959 原料制造 小型企业 纤维 无 鞋花 评手续、 无营业执 照、违法 无相关环 关停取缔 2018.6.1 否 四会市城中街道、高 2018.5.29 狮村委会 112°40′3″ 23°21′28″ 1710 原料制造 小型企业 纸张 无 纸张 关停取缔 2018.6.1 否 四会市城中街道,高 狮村委会 评手续、 违法违规 用地 2018.4.4 龚永经营的 四会 城中街 (宇宏塑 205 市 道 框)塑料果 篮厂 无 城中街道 112°39′28″ 23°21′23″ 2220 原料制造 小型企业 塑料 无 果篮 206 四会 城中街 阿全塑业厂 市 道 无 四会市城中区 112°39′28″ 23°21′23″ 2220 原料制造 小型企业 塑料 无 塑料制品 207 四会 城中街 荣森喷涂厂 市 道 无 四会市城中区 112°39′28″ 23°21′23″ 2641 小型企业 涂料 无 涂喷产品 112° 39′28″ 23°21′23″ 2220 原料制造 小型企业 塑料 无 塑料包装 112°40′3″ 23°21′28″ 2220 原料制造 小型企业 塑料 无 塑料制品 112°40′3″ 23°21′28″ 2220 原料制造 小型企业 塑料 无 塑料制品 112°40′3″ 23°21′28″ 2220 原料制造 小型企业 塑料 无 塑料制品 112°40′3″ 23°21′28″ 2220 原料制造 小型企业 塑料 无 塑料制品 四会市城中 四会 城中街 区双胜塑料 市 道 包装厂 四会 城中街 四会市品盈 209 市 道 塑料厂 208 无 无 210 四会 城中街 四会市金宏 市 道 塑料厂 无 211 四会 城中街 四会市顺盈 市 道 丰塑料厂 无 212 四会 城中街 四会市沈氏 市 道 塑料厂 无 四会 城中街 四会市华东 市 道 塑料厂 四会 城中街 四会市鼎球 214 市 道 塑料厂 213 215 四会 城中街 四会市君利 市 道 塑框厂 216 四会 城中街 市 道 217 四会 城中街 市 道 四会 城中街 市 道 四会 城中街 219 市 道 218 220 四会 城中街 市 道 221 四会 城中街 市 道 222 四会 城中街 市 道 223 四会 城中街 市 道 四会市海川 非金属矿物 材料有限公 司对面塑料 包装场 四会市城中 区崑记花盘 厂 四会市下布 利华陶瓷厂 四会市多能 陶土粉厂 四会市城中 区丰盛塑料 加工厂 四会市伟华 金属碎料加 工场 林文锦经营 的泥土破碎 场 四会市好发 展竹木加工 厂 高布村(北大 公学实验学校 旁) 四会市城中街 道济广塘木瓜 四会市城中街 道济广塘木瓜 地 四会市城中街 道济广塘木瓜 地 四会市城中街 道济广塘木瓜 地 其他 无相关环 评手续、 违法违规 用地 无相关环 评手续、 无营业执 照、违法 无相关环 评手续、 无营业执 照、违法 无相关环 评手续、 违法违规 无环保许 可证 无相关环 评手续、 无营业执 无相关环 评手续、 无营业执 无相关环 评手续、 无营业执 无环保许 可证 无环保许 可证 无相关环 评手续、 无营业执 照、违法 关停取缔 2018.6.1 否 四会市城中街道 2018.4.30 关停取缔 2018.6.1 否 四会市城中街道 2018.4.30 关停取缔 2018.6.1 否 四会市城中街道 2018.4.22 关停取缔 2018.6.1 否 四会市城中街道、高 2018.4.30 布村委会 关停取缔 2018.6.1 否 四会市城中街道,高 2018.4.22 狮村委会 关停取缔 2018.6.1 否 四会市城中街道,高 2018.4.20 狮村委会 关停取缔 2018.6.1 否 四会市城中街道,高 2018.4.20 狮村委会 关停取缔 2018.6.1 否 四会市城中街道,高 2018.4.20 狮村委会 关停取缔 2018.6.1 否 四会市城中街道 2018.5.30 关停取缔 2018.6.1 否 四会市城中街道 2018.5.28 关停取缔 2018.6.1 否 四会市城中街道'上沙 2018.3.30 村委会 无 城中街道 112°39′28″ 23°21′23″ 2220 原料制造 小型企业 塑料 无 塑料制品 无 城中街道 112°39′28″ 23°21′23″ 2220 原料制造 小型企业 塑料 无 塑料制品 无 城中街道上沙 村委会 112°37′4″ 23°21′10″ 2220 原料制造 小型企业 塑料 无 塑料制品 无 四会市城中街 道白沙村委会 112°38′58″ 23°21′5″ 2220 原料制作 小型企业 塑料粒 无 塑料框 位于水源 保护区内 关停取缔 2018.6.1 否 四会市城中街道、白 沙村委会 2017.8 无 四会市城中街 道白沙村委会 112°38′58″ 23°21′5″ 3076 原料制作 小型企业 泥土 无 花盘 位于水源 保护区内 关停取缔 2018.6.1 否 四会市城中街道、白 沙村委会 2017.4 四会市城中街 道下布高速口 四会市城中街 道白沙村委会 四会市城中街 道白沙村委会 白沙小学侧 112°39′28″ 23°21′23″ 3076 原料制作 小型企业 泥土 无 瓷 关停取缔 2018.6.1 否 2017.11 112°38′58″ 23°21′5″ 3074 原料制作 小型企业 石英 无 石英粉 关停取缔 2018.6.1 否 四会市城中街道、下 布村委会 四会市城中街道、白 沙村委会 112°38′58″ 23°21′5″ 2220 原料制作 小型企业 塑料粒 无 塑料框 位于水源 保护区内 关停取缔 2018.6.1 否 四会市城中街道、白 沙村委会 2017.11 4.41285E+14 四会市城中街 道白沙村委会 112°38′58″ 23°21′5″ 4210 原料制作 小型企业 废旧金 属 无 金属碎料 位于水源 保护区内 关停取缔 2018.6.1 否 四会市城中街道、白 沙村委会 2016.4 无 四会市城中街 道白沙村委会 112°38′58″ 23°21′5″ 3074 原料制作 小型企业 泥土 无 泥土 位于水源 保护区内 关停取缔 2018.6.1 否 四会市城中街道、白 沙村委会 2016.4 4.41285E+14 四会市城中街 道白沙村委会 112°38′58″ 23°21′5″ 2022 原料制作 小型企业 树皮 无 树皮渣 位于水源 保护区内 关停取缔 2018.6.1 否 四会市城中街道、白 沙村委会 2017.11 4.41285E+14 无 4.41285E+14 无环保许 可证 位于水源 保护区内 2016.1 224 225 226 227 228 229 230 231 232 233 234 235 236 237 238 239 240 241 242 243 244 245 四会 城中街 长盈拉丝厂 市 道 四会市德磁 四会 城中街 电子器件加 市 道 工厂 四会市金祥 四会 城中街 盛陶瓷制品 市 道 有限公司 四会 城中街 建宏助剂厂 市 道 四会市盛方 四会 城中街 圆投资实业 市 道 有限公司 四会市城中 四会 城中街 区华柏吸塑 市 道 包装厂 四会 南江工 大沙镇能兴 市 业园 五金加工厂 四会 南江工 大沙镇建业 市 业园 五金厂 四会 南江工 大沙镇成兴 市 业园 五金加工厂 四会市金圣 四会 南江工 陶新型陶瓷 市 业园 原料有限公 司 四会市大东 四会 南江工 五金塑料有 市 业园 限公司 四会市易达 四会 南江工 塑料料有限 市 业园 公司 四会市桥邦 四会 南江工 金属有限公 市 业园 司 四会 南江工 四会市伟昌 市 业园 金属制品厂 四会市华丽 四会 南江工 玻璃马赛克 市 业园 厂 四会 南江工 四会市益嘉 市 业园 陶瓷加工厂 四会 南江工 四会市西联 市 业园 电木厂 四会 南江工 四会市辉业 市 业园 五金制品厂 四会市佳利 四会 南江工 石料有限公 市 业园 司 四会 南江工 四会市大地 市 业园 煤厂 四会 南江工 四会市升隆 市 业园 金属制品厂 四会 南江工 四会市晶碧 市 业园 玻璃工艺厂 无 四会市城中街 道白沙村委会 112°38′58″ 23°21′5″ 3340 原料制作 小型企业 铁 无 铁线圈 位于水源 保护区内 关停取缔 2018.6.1 否 四会市城中街道、白 沙村委会 2017.8 4.41285E+14 四会市城中街 道白沙村委会 112°38′58″ 23°21′5″ 3919 原料制作 小型企业 电子产 品原料 无 电子产品 位于水源 保护区内 关停取缔 2018.6.1 否 四会市城中街道、白 沙村委会 2016.8 559124557 四会市城中区 下布高速出口 112°39′28″ 23°21′23″ 3071 原料制作 小型企业 陶瓷粉 无 陶瓷 位于水源 保护区内 关停取缔 2018.6.1 否 四会市城中街道、下 布村委会 2017.4 724398800 城中区白沙头 化工一厂 112°38′58″ 23°21′5″ 2661 原料制作 小型企业 助剂 无 助剂 位于水源 保护区内 关停取缔 2018.6.1 否 四会市城中街道、白 沙村委会 2017.2 315011580 城中区高狮管 理区侧三层 112°40′3″ 23°21′28″ 3074 原料制作 小型企业 石英石 无 石英粉 位于水源 保护区内 关停取缔 2018.6.1 否 四会市城中街道、高 狮社区 2016.8 4.41285E+14 四会市城中街 道仓岗社区校 办区侧 112°39′28″ 23°21′23″ 2220 原料制作 小型企业 塑料粒 无 塑料框 位于水源 保护区内 关停取缔 2018.6.1 否 四会市城中街道、仓 岗社区 2016.6 南江工业园 112°49′42.5″ 23°13′48.3″ 3240 金属加工 小型企业 南江工业园 112°49′42.8″ 23°13′48.6″ 3240 南江工业园 112°49′42.8″ 23°13′48.5″ 3240 废旧金 属 废旧金 金属加工 小型企业 属 废旧金 金属加工 小型企业 属 电、木 粒 电、木 粒 电、重 油 91441284324 8874962 南江工业园 112°50′48.2″ 23°13′47.5″ 3074 陶瓷原料 陶瓷原 小型企业 加工 料 电、煤 91441284677 08623XT 南江工业园 112°51′38.2″ 23°13′50.3″ 2927 塑料加工 小型企业 废旧塑 料 南江工业园 112°49′53.5″ 23°13′49.6″ 2923 塑料加工 小型企业 91441200744 471366P 南江工业园 112°50′48.6″ 23°13′49.2″ 4210 44128400000 8606 南江工业园 112°49′50.6″ 23°13′48.5″ 91441284740 848357C 南江工业园 92441284G33 870076B 91441284682 498925T 92441284L08 5939661 91441284797 735994Y 44128460010 8999 44128460023 4060 92441284MA 4WEGTC6Y 91441284MA 4UMPK745 44128460031 7308 91441284755 621569Q 91441284673 143823G 不符合产 业政策 不符合产 业政策 不符合产 业政策 关停取缔 2019年年底 是 南江管理委员会 2018.7.20 关停取缔 2019年年底 是 南江管理委员会 2018.9.1 关停取缔 2019年年底 是 南江管理委员会 2018.7.20 陶瓷辅料 不符合产 业政策 关停取缔 2019年年底 是 南江管理委员会 2018.8.24 电 塑料制品 不符合产 业政策 关停取缔 2019年年底 是 南江管理委员会 2018.4.20 废旧塑 料 电 塑料制品 不符合产 业政策 关停取缔 2019年年底 是 南江管理委员会 2018.3.18 金属加工 小型企业 废旧金 属 电 铝金属 不符合产 业政策 关停取缔 2019年年底 是 南江管理委员会 2018.8.3 3252 金属加工 小型企业 钢板 电 带钢 不符合产 业政策 关停取缔 2019年年底 是 南江管理委员会 2018.8.3 112°49′51.2″ 23°13′48.3″ 3054 马赛克加 陶瓷原 小型企业 工 料 电 马赛克 不符合产 业政策 关停取缔 2019年年底 是 南江管理委员会 2018.5.4 南江工业园 112°84′57.8″ 23°24′22.9″ 3071 建材加工 小型企业 陶瓷次 品 木粒 梯级、地 脚线 关停取缔 2019年年底 是 南江管理委员会 2018.7.6 南江工业园 112°83′90.8″ 23°23′21.3″ 29 无 无 无 关停取缔 2019年年底 是 南江管理委员会 2018.8.7 南江工业园 112°84′61.6″ 23°24′24.1″ 3252 橡胶和塑 小型企业 料制品业 金属制品 小型企业 业 铝材 环保油 铝型材 不符合产 业政策 不符合产 业政策 不符合产 业政策 关停取缔 2019年年底 是 南江管理委员会 2018.9.20 南江工业园 112°85′69.8″ 23°24′25.7″ 1012 非金属矿 小型企业 物制品业 石料 电 石料 不符合产 业政策 关停取缔 2019年年底 是 南江管理委员会 2018.8.22 南江工业园 112°82′99.1″ 23°23′13.9″ 2529 其他制造 小型企业 业 煤 无 煤炭 关停取缔 2019年年底 是 南江管理委员会 2018.9.27 南江工业园 112°80′45.2″ 23°23′55.3″ 3252 铝材加工 小型企业 铝材 无 铝型材 关停取缔 2019年年底 是 南江管理委员会 2018.7.18 南江工业园 112°83′42.5″ 23°24′11.7″ 3054 玻璃制品 小型企业 玻璃 环保油 日用玻璃 不符合产 业政策 不符合产 业政策 不符合产 业政策 关停取缔 2019年年底 是 南江管理委员会 2018.6.19 铝产品 铝产品 铝产品 246 247 248 249 250 251 252 253 254 255 256 257 258 259 260 四会市昌盛 四会 南江工 玻璃有限公 市 业园 司 四会市冠美 四会 南江工 五金尺业有 市 业园 限公司 四会市爱的 四会 南江工 水晶石有限 市 业园 公司 四会市丰泰 四会 南江工 石材有限公 市 业园 司 四会市新新 四会 南江工 五金塑料制 市 业园 品厂 四会市大沙 四会 南江工 镇旌信包装 市 业园 材料厂 四会市金泰 四会 南江工 五金制品有 市 业园 限公司 四会 东城街 清塘吴头村 市 道 超声波片区 91441284696 4073000 南江工业园 112°83′66.8″ 23°23′98.3″ 3054 玻璃制品 小型企业 玻璃 环保油 日用玻璃 不符合产 业政策 关停取缔 2019年年底 是 南江管理委员会 2018.6.28 91441284065 160929Q 南江工业园 112°83′19.6″ 23°24′55.1″ 2599 五金、金 废旧五 小型企业 属加工 金 电、重 油 五金制品 不符合产 业政策 关停取缔 2019年底前 是 南江管委会 2018.11.2 1 91441284759 21934XR 南江工业园 112°83′15.3″ 23°23′26.9″ 91441284324 846344T 南江工业园 112°82′98.5″ 23°25′26″ 3012 4.41285E+14 南江工业园 112°83′22″ 23°23′55.6″ 2599 44128460028 1093 南江工业园 112°82′18.9″ 23°24′65.3″ 91441200673 1107000 南江工业园 无 四会市三友 四会 东城街 塑料有限公 无 市 道 司 四会 东城街 四会市恒盈 92441284MA 市 道 塑料加工厂 4WWC668W 四会市信利 44128460012 四会 东城街 塑料片材加 6044 市 道 工场 四会市东城 92441284MA 四会 东城街 区高升铁桶 4WGTXK3M 市 道 加工场 清东荷村二 四会 东城街 队1号无名 无 市 道 电镀加工作 清东荷村二 四会 东城街 队6号无名 无 市 道 电镀加工作 清东荷村二 四会 东城街 队1号旁边 无 市 道 无名电镀加 工作坊 四会市众康 四会 东城街 餐具消毒中 无 市 道 心 建材 小型企业 玻璃 环保油 水晶石 不符合产 业政策 关停取缔 2019年年底 是 南江管理委员会 2018.5.11 建材 小型企业 石料 无 石灰石、 白云石 不符合产 业政策 关停取缔 2019年年底 是 南江管理委员会 2018.6.13 五金、金 五金制 小型企业 属加工 品 环保油 五金,塑 料制品 不符合产 业政策 关停取缔 2019年年底 是 南江管理委员会 2018.4.11 1079 造纸和纸 小型企业 纸制品 制品 电、重 油 纸箱包装 不符合产 业政策 关停取缔 2019年底前 是 南江管委会 2018.5.30 112°82′10.3″ 23°23′56.3″ 2599 五金、金 废旧五 小型企业 属加工 金 电、天 然气、 重油 五金制品 不符合产 业政策 关停取缔 2019年底前 是 南江管委会 2018.6.8 四会市清塘小 学背后 112°42′28.0 23°21′19.88 6″ ″ 2431 玉石加工 小型企业 玉石 无 玉石 关停取缔 2018.12.31 否 东城街道办事处 四会市沙头村 九顺利厂房 112 23 °45′29.28″ °17′45.10″ 2922 塑料加工 小型企业 废塑料 无 塑料粒 关停取缔 2018.12.31 否 东城街道办事处 2018.8.31 四会市沙头村 九顺利厂房 四会市清塘大 道燕岭工业区 (原苗圃场) 东岳对面无名 (华泰高速公 路侧) 112 23 °45′31.08″ °17′47.41″ 2922 塑料加工 小型企业 废塑料 无 塑料粒 关停取缔 2018.12.31 否 东城街道办事处 2018.8.31 23 112°42′15.8 9″ °21′39.71″ 2922 塑料加工 小型企业 塑料片 材 无 塑料制品 无环保手 续 关停取缔 2018.12.31 否 东城街道办事处 112 23°18′13.70″ °46′57.43″ 8219 铁桶加工 小型企业 铁桶 无 铁桶 无环保手 续 关停取缔 2018.12.31 否 东城街道办事处 2018.8.17 清东荷村二队1 号 112 °40′40.24″ 23°22′4.49″ 3360 电镀 小型企业 玉石钻 头 无 玉石钻头 关停取缔 2018.12.31 否 东城街道办事处 2018.11.1 5 清东荷村二队6 号 112 °40′40.24″ 23°22′4.49″ 3360 电镀 小型企业 玉石钻 头 无 玉石钻头 关停取缔 2018.12.31 否 东城街道办事处 2018.11.1 5 清东荷村二队1 号旁边 112 °40′40.24″ 23°22′4.49″ 3360 电镀 小型企业 玉石钻 头 无 玉石钻头 关停取缔 2018.12.31 否 东城街道办事处 2018.11.1 5 8219 洗涤行业 小型企业 消毒剂 无 碗具消毒 关停取缔 2018.12.31 否 东城街道办事处 2018.5.29 2599 塑料加工 废塑料 无 五金塑料 关停取缔 2018.12.31 否 东城街道办事处 2018.5.30 1319 食品加工 小型企业 大豆 木柴 豆腐 无环保手 续、无营 业执照 关停取缔 2018.12.31 否 东城街道办事处 2018.4.18 1411 食品加工 面粉 无 面包 无环保环 评手续 关停取缔 2018.12.31 否 东城街道办事处 2016.12.1 5 112 23 卫民路盈丰花 园侧门直入100 °42′43.38 °20′24.49 米 ″ ″ 四会市东城街 112 23 四会市裕昌 92441284MA 道新江沙头村 四会 东城街 262 °46′32.61 °17′56.00 五金塑料加 4Y9ERM4C 委会红一、三 市 道 工场 ″ ″ 村(坑边) 112 23 陈选武经营 四会 东城街 东城怡翠花园 263 °42′40.59 °19′41.76 的豆腐加工 无 市 道 别墅区背后 坊 ″ ″ 四会市东城街 四会 东城街 四会市超群 91441284304 道高观东路七 112°41′36.77 264 23°20′40.08″ 258553N ″ 市 道 食品厂 巷三座5至8号 (二楼) 261 规下 规下 无相关环 评手续、 无营业执 无相关环 评手续、 无营业执 无环保手 续 无相关环 评手续、 无营业执 无相关环 评手续、 无营业执 无相关环 评手续、 无营业执 照 无相关环 评手续、 无营业执 照 无环保手 续、无营 业执照 原四会市豪 四会 东城街 美电镀厂旧 市 道 址内生产车 间 原四会市辉 四会 东城街 联金属制品 266 市 道 有限公司旧 265 无 沙头村委 112°46′14.55 23°17′53.31″ ″ 3216 铝灰 规下 铝灰 无 铝灰 无 沙头村委 112°46′15.75 23°17′57.14″ ″ 3216 铝灰 规下 铝灰 无 铝灰 4210 废弃资源 综合利用 业 规下 废弃资 源 无 废弃资源 2599 橡胶和塑 料制品业 规下 塑料 无 五金塑料 2220 塑料制品 规下 塑料 无 塑料栏 无相关环 评手续、 无营业执 照 无相关环 关停取缔 2018.12.31 否 东城街道办事处 2016.12.8 评手续、 无营业执 照 无环保环 评手续 关停取缔 2018.12.31 否 东城街道办事处 2016.12.8 关停取缔 2018.12.31 否 东城街道办事处 2016.12.8 无环保环 评手续 关停取缔 2018.12.31 否 东城街道办事处 2016.12.8 关停取缔 2018.12.31 否 东城街道办事处 2016.12.8 267 址内生产车 四会市德汇 44128400002 四会 东城街 生物质环保 4495 市 道 能源厂 268 四会市勇丰 44128460028 四会 东城街 五金塑料加 1462 市 道 工厂 269 四会 东城街 四会市宇宏 市 道 塑料制品厂 无 270 四会市东城 四会 东城街 区贺明玉石 市 道 加工场 无 清塘村委会 112°42′18.65 23°21′40.23″ ″ 3360 超声波 规下 玉器钻 头 无 玉器钻头 关停取缔 2018.12.31 否 东城街道办事处 2018.1.31 271 四会市宏利 四会 东城街 塑料制品公 市 道 司 无 清东消息岭 112°43′28.67 23°21′17.49″ ″ 评手续、 无营业执 照 无相关环 2220 塑料制品 规下 塑料 无 胶匙羹 关停取缔 2018.12.31 否 东城街道办事处 2016.12.6 272 四会 东城街 四会市民得 市 道 利饲料店 无 新旺路原德保 仓库 评手续、 无营业执 照 无相关环 1329 饲料 规下 饲料 无 饲料 关停取缔 2018.12.31 否 东城街道办事处 2016.12.1 0 273 四会市龙甫 92441284L00 四会 龙甫镇 镇清塘新潮 320285M 市 家具店 评手续、 无营业执 照 无环保环 评手续 关停取缔 2018.12.31 否 龙甫镇人民政府 2018.4 四会市珍珍 四会 龙甫镇 环保炭加工 无 市 场 四会市豪兴 91441284677 四会 275 龙甫镇 铝业有限公 082669R 市 司(铜泥酸 洗车间) 四会市盛宝 44128400000 四会 276 龙甫镇 再生资源有 2043 市 限公司 274 277 林亚金经营 四会 龙甫镇 的五金加工 市 场 278 四会市龙甫 44128460023 四会 龙甫镇 镇永骏塑料 6872 市 金属制品厂 279 四会市澳田 91441284473 四会 龙甫镇 油墨有限公 21841089 市 司 无 四会市东城区 112°45′14.16 23°18′1.36″ 新江黄岗村委 ″ 会松木岗地段 四会市东城街 道新江五马岗 112°46′13.04 23°17′54.51″ ″ 沙头村委丽岗 村红塘岗 112°44′20.65 四会大道大德 ″ 23°18′47.51″ 纸业对面 112°47′39.14 ″ 23°18′25.49″ 112 23 四会市龙甫镇 大首聚宝庄 °42′41.7″ °22′25.9″ 2039 家具加工 小型企业 半成品 家具 无 家具 112 °43′58″ 23 °24′48.6″ 2529 环保炭加 小型企业 环保炭 工 无 环保炭 无环保手 续、无营 业执照 关停取缔 2018.12.31 否 龙甫镇人民政府 2018.3.19 四会市龙甫镇 112°43′44.03 23°24′52.341 龙头村委龙头 8″ ″ 迳 3252 金属加工 小型企业 金属 煤 铝合金 无环保环 评手续 关停取缔 2016.12.31 否 龙甫镇人民政府 2016.11 四会市龙甫镇 112°43′59.91 23°24′54.118 3″ ″ 水土保持站 2599 废旧金属 废旧金 小型企业 塑料回收 属塑料 煤 塑料、金 属 无环保环 评手续 关停取缔 2016.12.31 否 龙甫镇人民政府 2016.9 四会市龙甫镇 112°42′46.66 23°22′34.392 3″ ″ 政府背后 2599 塑料\金 塑料、 小型企业 金属 属加工 煤 塑料、金 属 关停取缔 2016.12.31 否 龙甫镇人民政府 2016.6 2599 塑料\金 塑料、 小型企业 金属 属加工 煤 塑料、金 属 关停取缔 2016.12.31 否 龙甫镇人民政府 2016.6 2642 普通油墨 小型企业 加工 油墨 无 普通油墨 无环保环 评手续 关停取缔 2016.12.31 否 龙甫镇人民政府 2016.7 42 废弃资源 废弃资 小型企业 综合利用 源 无 废旧机油 无环保环 评手续 关停取缔 2016.12.31 否 龙甫镇人民政府 2016.9 1710 纸竹制品 小型企业 加工 无 纸竹制品 无环保环 评手续 关停取缔 2016.12.31 否 龙甫镇人民政府 2016.9 龙甫镇水土保 持站 四会市龙甫镇 白沙岭一村四 112°43′17.12 23°22′49.078 7″ ″ 迳公路边白沙 岭路口 四会市龙甫镇 112°42′39.46 23°22′21.897 96″ 3″ 燕玲村委侧 四会市龙甫镇 112°43′45.95 23°24′57.266 四会 李国勇经营 4.41285E+14 龙头桥往福龙 龙甫镇 0″ ″ 市 的炼油厂 方向约300米右 转直入约800米 四会 四会市和兴 四会市龙甫镇 112°42′46.66 23°22′34.392 281 4.41284E+14 龙甫镇 3″ ″ 市 纸竹工艺厂 政府背后 280 无相关环 评手续、 无营业执 照 无相关环 纸竹 无相关环 评手续、 无营业执 照 无环保环 评手续 282 四会市顺联 44128400002 四会 龙甫镇 农副产品加 6347 市 工厂 四会市龙甫镇 112°43′46.55 23°25′1 .761″ 水土保持站北 9″ 坝口 283 四会 四会市康海 4.41285E+14 大沙镇 市 有色金属厂 四会市大沙镇 岗美工业区 112°45′56″ 23°14′56″ 284 四会市大沙 四会 大沙镇 镇广成五金 4.41285E+14 市 熔铸厂 四会市大沙镇 岗美工业区 112°45′56″ 23°14′56″ 285 四会市大沙 四会 大沙镇 镇顺兴五金 市 熔铸厂 四会市大沙镇 岗美工业区 112°45′56″ 23°14′56″ 286 四会市大沙 四会 四会市大沙镇 大沙镇 镇信业金属 MA4X2RYL7 市 岗美工业区 加工厂 112°45′56″ 23°14′56″ 287 四会 四会市艺兴 大沙马房青岐 MA4YHQ3P2 大沙镇 市 塑料厂 路口 112°45′56″ 23°14′56″ 288 四会 四会市丰和 4.41285E+14 大沙镇 市 陶瓷原料厂 大沙马房工业 旧区 112°45′56″ 23°14′56″ 289 四会 四会市石磊 4.41285E+14 大沙镇 市 石材经营部 大沙马房工业 旧区 112°45′56″ 23°14′56″ 290 四会市耀广 四会 大沙镇 陶瓷原料加 市 工场 L64097086 大沙马房工业 旧区 112°45′56″ 23°14′56″ 291 四会 无名废玻璃 大沙镇 市 胶回收厂 无 大沙镇横塞村 321国道边 112°45′56″ 23°14′56″ 无 大沙马房青岐 路口 112°45′56″ 23°14′56″ 无 大沙马房青岐 路口 112°45′56″ 23°14′56″ 司旁) 嘉合兴建材 四会 294 大沙镇 有限公司厂 市 房 无 大沙马房青岐 路口 112°45′56″ 23°14′56″ 295 简绍斌经营 四会 大沙镇 的油桶翻新 市 车间 无 大沙镇旧墟基 围旁 112°45′56″ 23°14′56″ 296 陈碧全经营 四会 大沙镇 的塑料加工 市 车间 无 大沙镇岗美地 磅斜对面 112°45′56″ 23°14′56″ 297 四会市大沙 四会 大沙镇 镇顺景塑料 4.41285E+14 市 破碎加工店 马房工业区 112°45′56″ 23°14′56″ 2922 塑料加工 小型企业 298 欧国强经营 四会 大沙镇 的金属件酸 市 洗工场 马房工业区 112°45′56″ 23°14′56″ 3252 金属酸洗 小型企业 四会市振华 四会 大沙镇 玻璃有限公 市 司原料加工 车间 玻璃胶制品 四会 厂(嘉合兴 293 大沙镇 市 建材有限公 292 无 无 1530 农副产品 农副产 小型企业 加工 品 无 茶叶 无环保环 评手续 关停取缔 2016.12.31 否 龙甫镇人民政府 2016.11 3240 熔铸 小型企业 废铝 煤 铝锭 环保设施 落后 关停取缔 2018.6.30 是 大沙镇人民政府 2018.6.15 3240 熔铸 小型企业 废铝 煤 铝锭 环保设施 落后 关停取缔 2018.6.30 是 大沙镇人民政府 2018.6.15 3240 熔铸 小型企业 废铝 煤 铝锭 环保设施 落后、无 营业执照 关停取缔 2018.6.30 是 大沙镇人民政府 2018.6.15 3240 熔铸 小型企业 废铝 煤 铝锭 环保设施 落后 关停取缔 2018.6.30 是 大沙镇人民政府 2018.6.15 2922 塑料 小型企业 废塑料 无 塑料原料 关停取缔 2018.9.30 是 大沙镇人民政府 2018.9.23 陶瓷原料 小型企业 石英砂 制造 无 石英砂 评手续、 违法违规 用地 无相关环 关停取缔 2018.9.30 是 大沙镇人民政府 2018.9.23 小型企业 石英砂 无 石英砂 关停取缔 2018.9.30 是 大沙镇人民政府 2018.9.23 3079 陶瓷原料 小型企业 石英砂 制造 评手续、 违法违规 用地 无相关环 无 石英砂 评手续、 违法违规 用地 无相关环 关停取缔 2018.9.30 是 大沙镇人民政府 2018.9.23 3049 玻璃回收 小型企业 玻璃 无 玻璃 关停取缔 2018.9.30 是 大沙镇人民政府 2018.9.23 3079 玻璃原料 小型企业 石英砂 加工 评手续、 无营业执 照、违法 无相关环 无 石英砂 关停取缔 2018.9.30 是 大沙镇人民政府 2018.9.23 2219 玻璃胶制 小型企业 玻璃胶 品 评手续、 违法违规 用地 无相关环 无 玻璃胶 评手续、 无营业执 照、违法 无相关环 关停取缔 2018.9.30 是 大沙镇人民政府 2018.9.23 无 塑料原料 评手续、 无营业执 照、违法 无相关环 关停取缔 2018.9.30 是 大沙镇人民政府 2018.9.23 油桶 无 铁皮 评手续、 无营业执 照、违法 无相关环 关停取缔 2018.9.30 是 大沙镇人民政府 2018.9.23 小型企业 废塑料 无 塑料原料 关停取缔 2018.9.30 是 大沙镇人民政府 2018.9.23 塑料 电 塑料成品 评手续、 无营业执 照、违法 无环保手 续 关停取缔 2018.06 是 大沙镇人民政府 2018.01 金属 电 铝材 关停取缔 2018.06 是 大沙镇人民政府 2018.01 3079 3079 2922 8219 2922 建材 建材 小型企业 废塑料 油桶翻新 小型企业 塑料 无相关环 评手续、 违法违规 用地 无相关环 无相关环 评手续、 无营业执 照 299 四会市大沙 四会 大沙镇 镇三江塑料 4.41285E+14 市 加工厂 马房工业区 112°45′56″ 23°14′56″ 2922 塑料加工 小型企业 塑料 电 塑料成品 无环保手 续 关停取缔 2018.06 是 大沙镇人民政府 2018.01 300 四会市大沙 四会 大沙镇 镇富力图五 4.41285E+14 市 金加工厂 马房挞泊村 112°45′56″ 23°14′56″ 3252 五金加工 小型企业 金属 电 铝制品 无环保手 续 关停取缔 2018.06 是 大沙镇人民政府 2018.01 301 四会市大沙 四会 大沙镇 镇永旺胶桶 4.41285E+14 市 销售店 马房国道边 112°45′56″ 23°14′56″ 5191 胶桶销售 小型企业 胶桶 电 胶桶 无环保手 续 关停取缔 2018.06 是 大沙镇人民政府 2018.01 302 四会 四会市乐氏 大沙镇 市 化工粘胶厂 大旺路口 112°45′56″ 23°14′56″ 2029 化工加工 小型企业 化学原 料 电 化学成品 关停取缔 2018.06 是 大沙镇人民政府 2018.01 303 四会 四会市马房 4.41285E+14 大沙镇 市 油料经营部 马房工业区 112°45′56″ 23°14′56″ 2519 油料加工 小型企业 油料 电 油料成品 关停取缔 2018.06 是 大沙镇人民政府 2018.01 304 四会市百隆 四会 大沙镇 陶瓷原材料 市 加工场 马房工业区 112°45′56″ 23°14′56″ 3071 陶瓷加工 小型企业 陶瓷原 料 电 陶瓷 关停取缔 2018.06 是 大沙镇人民政府 2018.01 305 四会市大沙 四会 大沙镇 镇德昌五金 4.41285E+14 市 油桶加工店 富溪国道边 112°45′56″ 23°14′56″ 8219 五金油桶 五金原 小型企业 加工 料 电 铁皮 关停取缔 2018.06 是 大沙镇人民政府 2018.01 306 四会市大沙 四会 大沙镇 镇泽记五金 4.41285E+14 市 铁皮加工店 富溪国道边 112°45′56″ 23°14′56″ 8219 油桶加工 小型企业 油桶 电 铁皮 无环保手 续 关停取缔 2018.06 是 大沙镇人民政府 2018.01 307 四会市大沙 四会 大沙镇 镇创华五金 4.41285E+14 市 加工厂 岗美轻轨站底 112°45′56″ 23°14′56″ 3252 五金加工 小型企业 金属 煤 铝材 无环保手 续 关停取缔 2018.06 是 大沙镇人民政府 2018.01 308 四会市大沙 四会 大沙镇 镇合力塑料 4.41285E+14 市 加工场 岗美轻轨站底 112°45′56″ 23°14′56″ 2922 塑料加工 小型企业 塑料 电 塑料成品 无环保手 续 关停取缔 2018.06 是 大沙镇人民政府 2018.01 309 四会市合和 四会 大沙镇 五金建材有 市 限公司 590063158 富溪桥底 112°45′56″ 23°14′56″ 3130 五金加工 小型企业 金属 电 钢制品 无环保手 续 关停取缔 2018.06 是 大沙镇人民政府 2018.01 310 四会市伟嘉 四会 大沙镇 纸制品加工 4.41285E+14 市 厂 大布介石街 112°45′56″ 23°14′56″ 1709 小型企业 木材 电 纸箱 无环保手 续 关停取缔 2018.06 是 大沙镇人民政府 2018.01 311 四会 四会市景成 4.41285E+14 大沙镇 市 金属制品厂 岗美新区 112°45′56″ 23°14′56″ 3252 金属加工 小型企业 金属 煤 铝材 无环保手 续 关停取缔 2018.06 是 大沙镇人民政府 2018.01 312 四会新域金 四会 大沙镇 属制造有限 4.41284E+14 市 公司 马房工业区 112°45′56″ 23°14′56″ 3252 金属加工 小型企业 金属 电 铝材 无环保手 续 关停取缔 2018.06 是 大沙镇人民政府 2018.01 313 四会市大沙 四会 大沙镇 镇雨舟家私 市 加工店 大布介石街 112°45′56″ 23°14′56″ 2039 家私加工 小型企业 木材 电 家私 关停取缔 2018.06 是 大沙镇人民政府 2018.01 314 四会市大沙 四会 大沙镇 镇龙记纸箱 4.41285E+14 市 加工部 大布介石街 112°45′56″ 23°14′56″ 1709 小型企业 纸 电 纸箱 关停取缔 2018.06 是 大沙镇人民政府 2018.01 315 大沙镇莲塘 四会 大沙镇 莲发五金铸 市 造厂 马房工业区 112°45′56″ 23°14′56″ 3252 金属加工 小型企业 金属 煤 铝材 关停取缔 2018.06 是 大沙镇人民政府 2018.01 无 无 无 无 制纸 制纸 无相关环 评手续、 无营业执 照 无环保手 续 无相关环 评手续、 无营业执 照 无环保手 续 无相关环 评手续、 无营业执 照 无环保手 续 无相关环 评手续、 无营业执 照 316 四会市大沙 四会 大沙镇 镇坤天五金 4.41285E+14 市 加工厂 大布介石街 112°45′56″ 23°14′56″ 3252 金属加工 小型企业 金属 煤 铝材 无环保手 续 关停取缔 2018.06 是 大沙镇人民政府 2018.01 317 四会市大沙 四会 大沙镇 镇联谊陶瓷 4.41285E+14 市 加工厂 大布介石街 112°45′56″ 23°14′56″ 3071 陶瓷加工 小型企业 陶瓷原 料 电 陶瓷成品 无环保手 续 关停取缔 2018.06 是 大沙镇人民政府 2018.01 318 四会市大沙 四会 大沙镇 镇伟浩印花 4.41285E+14 市 加工厂 大布介石街 112°45′56″ 23°14′56″ 1709 印花加工 小型企业 纸 电 印花 无环保手 续 关停取缔 2018.06 是 大沙镇人民政府 2018.01 319 四会市大沙 四会 大沙镇 镇子良塑料 4.41285E+14 市 加工厂 大布集镇旧货 场 112°45′56″ 23°14′56″ 2922 塑料加工 小型企业 塑料 电 塑胶成品 无环保手 续 关停取缔 2018.06 是 大沙镇人民政府 2018.01 320 四会市大沙 四会 大沙镇 镇伟利五金 4.41285E+14 市 塑料厂 大布集镇旧货 场 112°45′56″ 23°14′56″ 2922 五金加工 小型企业 金属 电 塑料成品 无环保手 续 关停取缔 2018.06 是 大沙镇人民政府 2018.01 321 四会市瀚高 四会 大沙镇 建筑陶瓷切 4.41285E+14 市 割加工厂 青岐路口 112°45′56″ 23°14′56″ 3071 陶瓷加工 小型企业 陶瓷原 料 电 陶瓷成品 无环保手 续 关停取缔 2018.06 是 大沙镇人民政府 2018.01 322 四会 四会市科涛 大沙镇 市 摩托配件厂 无 大布集镇 112°45′56″ 23°14′56″ 3351 摩托配件 小型企业 加工 塑料 电 摩托配件 关停取缔 2018.06 是 大沙镇人民政府 2018.01 323 四会市展兴 四会 大沙镇 钢结构工程 市 有限公司 077927445 马房挞泊村 112°45′56″ 23°14′56″ 3130 钢 电 钢 关停取缔 2018.06 是 大沙镇人民政府 2018.01 324 肇庆市陶宝 四会 大沙镇 科技有限公 市 司 559109277 岗美村委会对 面 112°45′56″ 23°14′56″ 3071 陶瓷加工 小型企业 陶瓷原 料 电 陶瓷成品 无环保手 续 关停取缔 2018.06 是 大沙镇人民政府 2018.01 325 四会市大沙 四会 大沙镇 镇联友铸造 4.41222E+14 市 厂 马房工业区 112°45′56″ 23°14′56″ 3252 五金加工 小型企业 金属 电 铝制品 无环保手 续 关停取缔 2018.06 是 大沙镇人民政府 2018.01 326 四会市大沙 四会 大沙镇 镇海源五金 4.41285E+14 市 加工厂 岗美工业区 112°45′56″ 23°14′56″ 3252 五金加工 小型企业 金属 电 铝制品 无环保手 续 关停取缔 2018.06 是 大沙镇人民政府 2018.01 327 四会 四会市盈裕 92441284MA 大沙镇 502KAL76 市 塑料厂 马房小学对面 112°45′56″ 23°14′56″ 2922 塑料加工 小型企业 塑料 电 塑胶成品 无环保手 续 关停取缔 2018.06 是 大沙镇人民政府 2018.01 328 四会市融强 四会 大沙镇 金属钢瓦销 4.41285E+14 市 售部 大沙法院侧 112°45′56″ 23°14′56″ 3311 五金加工 小型企业 金属 电 金属钢瓦 无环保手 续 关停取缔 2018.06 是 大沙镇人民政府 2018.01 2599 五金加工 小型企业 金属 电 五金配件 无环保手 续 关停取缔 2018.12.31 是 大沙镇人民政府 2018.07 2599 五金加工 小型企业 金属 电 五金配件 无环保手 续 关停取缔 2018.12.31 是 大沙镇人民政府 2018.07 废旧橡 胶塑料 木柴 重油 无环保手 续 关停取缔 2016.12.31 否 罗源镇人民政府 2016.12 废旧线路 废旧线 板碎屑加 小型企业 路板 工 无 铜屑 无环保手 续、无营 业执照 关停取缔 2016.12.31 否 罗源镇人民政府 2016.12 四会市大沙镇 四会市文德 23°14′56″ 马房开发区旧 112°45′56″ 四会 大沙镇 五金配件加 4.41285E+14 321国道路段基 市 工厂 脚(土名) 四会市大沙镇 旧321国道马房 112°45′56″ 23°14′56″ 四会 四会祥圣五 330 MA5178R41 大沙镇 村路段往广州 市 金经营部 方向左转厂房 四会市永业 四会 罗源镇铁坑村 331 112°45'7.56" 23°34'2.892" 罗源镇 废旧物资回 4.41285E+14 市 马四村小组 收店 329 332 王先艳经营 四会 罗源镇 的废旧线路 市 板加工场 无 23°33'59.533 罗源镇铁坑村 112°45'7.83" 1" 马四村小组 2519 2432 建筑 炼油 小型企业 小型企业 无相关环 评手续、 无营业执 照 无环保手 续 333 四会市罗源 四会 罗源镇 镇瑞隆木材 4.41285E+14 市 厂 罗源镇铁坑村 112°45'13.23 23°34'27.188 罗源水泥二厂 " 4" 对面 2039 刨花板制 小型企业 造 原木 无 刨花板 无环保手 续 关停取缔 2016.12.31 否 罗源镇人民政府 2016.12 334 四会市中裕 91441284775 四会 贞山街 包装有限公 053562D 市 道 司 四会市贞山区 112°38'22.99 23°20'44.14" " 柑榄 2239 包装装璜 小型企业 纸箱、 油墨 无 纸箱加工 、包装装 璜印刷品 无环保手 续 关停取缔 2018.12.31 否 贞山街道办事处 2018.10.3 0 335 四会市贞山 44128460014 四会 贞山街 区佰飞木门 7798 市 道 厂 四会市贞山区 112°39'51.70 23°20'34.79" " 河西公路边 2032 木门制造 小型企业 木材 无 木门 位于水源 保护区内 关停取缔 2018.12.31 否 贞山街道办事处 2018.4.18 336 四会 贞山街 四会市红棉 44128400001 2717 市 道 印刷厂 四会市贞山区 112°39'57.94 23°20'36.38" 河西路16号 " 2319 印刷业 小型企业 纸张、 油墨 无 印刷品 位于水源 保护区内 关停取缔 2018.12.31 否 贞山街道办事处 2018.4.25 337 四会市浩昇 四会 贞山街 鞋业有限公 市 道 司 1959 制鞋 小型企业 鞋 无 儿童鞋 无环保手 续 关停取缔 2018.12.31 否 贞山街道办事处 2018.10.2 3 338 四会市智达 91441284560 四会 贞山街 包装制品有 8749374 市 道 限公司 2922 塑料包装 中型企业 塑料 无 塑料包装 制品 位于水源 保护区内 关停取缔 2018.12.31 否 贞山街道办事处 2018.5.9 339 四会 贞山街 四会市新星 91441284075 123582B 市 道 纸品厂 四会市贞山区 独岗上沙六村 112°40'12" 23°21'33.14" 48号 四会市贞山街 道柑榄村厂区 112°38'3.92" 23°20'49.74" 内(四会市白 沙水电站东 四会市贞山街 112°39'57.94 23°20'36.38" 道河西路10号 " 2239 纸制品加 小型企业 工 纸 无 纸制品 位于水源 保护区内 关停取缔 2018.12.31 否 贞山街道办事处 2018.5.30 340 四会 贞山街 贞山恒特耐 44128460022 0688 市 道 润元件厂 四会市贞山区 112°39'56.37 23°20'36.01" 河西路16号 " 341 四会 贞山街 广东众合建 91441284570 134668A 市 道 材有限公司 342 四会 贞山街 四会市教育 44128400000 7404 市 道 印刷厂 343 四会市地豆 四会 地豆镇 镇彩明陶器 4.41285E+14 市 厂 地豆镇赤草莨 扒头柄 344 59587956X 2599 五金 小型企业 五金 无 五金制品 位于水源 保护区内 关停取缔 2018.12.31 否 贞山街道办事处 2018.4.11 3039 建材 小型企业 建材 无 建筑外墙 保温材料 位于水源 保护区内 关停取缔 2018.12.31 否 贞山街道办事处 2018.5.9 2319 印刷业 小型企业 纸张、 油墨 无 印刷品 无环保手 续 关停取缔 2018.12.31 否 贞山街道办事处 2018.10.2 2 112°44'34.32 23°34'13.011 48" 6" 3071 非金属矿 小型企业 物制品业 瓷泥 木柴 瓷器 无环保手 续、违法 违规用地 关停取缔 2018.12.31 否 地豆镇人民政府 2018.3.15 四会 四会市志达 4.41285E+14 地豆镇 市 木制品厂 地豆镇粘米迳 112°42'4.356 23°33'56.44" " 工业园 2019 木制品 小型企业 木材 无 木衣架 无环保手 续 关停取缔 2016.12.31 否 地豆镇人民政府 2016.11.1 7 345 四会 四会市豪兴 4.41285E+14 地豆镇 市 炉渣处理厂 地豆镇狮岭工 112°41'12.66 23°32'42.576 " " 业区 4210 回收处理 小型企业 炉渣 无 辅助材料 无环保手 续 关停取缔 2016.12.31 否 地豆镇人民政府 2016.10.2 1 346 四会 四会市三创 4.41284E+14 下茆镇 市 金属制品厂 下茆镇福龙工 业区 112°43′59.08 23°29′6.828″ 8″ 3525 有色金属 冶炼和压 小型企业 延加工 废铁 电 模具铁 无环保手 续、违法 违规用地 关停取缔 2018.12.31 是 下茆镇人民政府 2017.12 347 四会 四会市致发 下茆镇 市 五金熔铸厂 无 四会市下茆镇 高崀村委(鸡 公塘) 112°43′50″ 23°29′16″ 2130 有色金属 冶炼和压 小型企业 延加工业 废铁 煤 铸铁 环保设施 落后、无 营业执照 关停取缔 2017.12.31 否 下茆镇人民政府 2017.6.14 348 四会市晶龙 四会 下茆镇 五金金属材 市 料厂 无 四会市下茆镇 龙湾渔云村辣 山口桥头 112°44′03″ 23°28′45″ 2029 金属制品 小型企业 业 铜板 生物质 硫酸铜 环保设施 落后、无 营业执照 关停取缔 2017.12.31 是 下茆镇人民政府 2017.6.1 349 四会市盈泰 四会 下茆镇 化工有限公 市 司扩建车间 无 四会市下茆镇 龙湾福龙工业 区 112°44′24″ 23°28′54″ 2029 其他基础 化学原料 小型企业 制造 铜板 生物质 硫酸铜 环保设施 落后、无 营业执照 关停取缔 2017.12.31 是 下茆镇人民政府 2017.6.8 四会市贞山街 道独岗村委上 112°39'52.83 23°20'35.12" " 沙六村河西公 路南边 四会市贞山街 112°40'25.11 23°20'18.80" 道贞山居委会 " 四莲路11号 四会市江谷 镇泓泰建材 91441284666 四会 350 江谷镇 厂(原“江 506614Q 市 谷榄岗镇建 材厂”) 四会市江谷镇 榄岗村 112°39′50" 23°31'37" 3017 建材 小型企业 瓷土 无 新型墙体 材料砖 环保设施 落后 关停取缔 2017.12.31 否 江谷镇人民政府 2017.6.14 351 四会 四会市江谷 4.41285E+14 江谷镇 市 镇金兴木厂 四会市江谷镇 培崀村 112°38'23" 23°29'45" 2039 轻工 小型企业 木材 无 木制品家 具 环保设施 落后 关停取缔 2017.12.31 否 江谷镇人民政府 2017.6.14 352 四会市菲利 四会 黄田镇 艾红木加工 市 厂 四会市黄田镇 原江头小学内 112°31′34″ 23°25′43″ 2039 制造业 小型企业 红木 无 红木家具 无环保手 续 关停取缔 2017.12.31 否 黄田镇人民政府 2017.7.10 353 四会 四会市大传 4.41285E+14 黄田镇 市 塑料制品厂 112°31'12" 23°25'48" 2922 塑料加工 小型企业 塑料 电 塑胶成品 无环保手 续 关停取缔 2016.12.31 否 黄田镇人民政府 2016.11 354 李善强经营 四会 迳口镇 的铁锡分离 市 车间 1124955 232947 3214 五金熔铸 小型企业 金属废 品 煤、碳 晶 锡 关停取缔 2016.12.31 是 迳口镇人民政府 2016.9.6 355 四会 四会市明和 4.41222E+12 迳口镇 市 五金熔铸厂 四会市迳口镇 1124906.348 232925.044 冠山工业区 3251 五金熔铸 小型企业 金属废 品 煤、碳 晶 铜制品 关停取缔 2016.12.31 是 迳口镇人民政府 2016.12.1 9 356 四会市福和 四会 迳口镇 五金熔铸厂 市 四会市高山 四会 迳口镇 金属制品有 市 限公司 四会市长实 四会 迳口镇 金属制品有 市 限公司 四会 四会市惠兴 迳口镇 市 五金制品厂 四会市明业 四会 迳口镇 五金熔铸有 市 限公司 四会市宏盛 四会 迳口镇 金属熔铸有 市 限公司 四会市永华 四会 迳口镇 树脂制品有 市 限公司 四会市振鸿 四会 迳口镇 五金熔铸有 市 限公司 四会 四会市伟达 迳口镇 市 五金熔铸厂 四会 四会市嘉盈 迳口镇 市 五金熔铸厂 四会市海琪 四会 迳口镇 五金铸造有 市 限公司 四会市威合 四会 迳口镇 制釉有限公 市 司 4.41222E+12 四会市迳口镇 1124906.348 232925.044 冠山工业区 3252 煤、碳 晶 铝锭 不符合产 业政策 关停取缔 2016.12.31 是 迳口镇人民政府 2016.12.2 3 677120215 四会市迳口镇 1124906.348 232925.044 冠山工业区 2130 金属制造 金属废 小型企业 业 品 有色金属 金属废 冶炼和压 小型企业 品 延加工业 煤 铝锭 不符合产 业政策 关停取缔 2016.12.31 是 迳口镇人民政府 2016.7.15 59910826 四会市迳口镇 1124906.348 232925.044 冠山工业区 3252 金属制品 金属废 小型企业 业 品 煤 铜锭 不符合产 业政策 关停取缔 2016.12.31 是 迳口镇人民政府 2016.9.12 无 四会市迳口镇 1124906.348 232925.044 冠山工业区 3252 煤 铜条 不符合产 业政策 关停取缔 2016.12.31 是 迳口镇人民政府 2016.4.22 4.41284E+14 四会市迳口镇 1124906.348 232925.044 冠山工业区 2130 煤 铜 不符合产 业政策 关停取缔 2016.12.31 是 迳口镇人民政府 2016.5.16 678850762 四会市迳口镇 1124906.348 232925.044 冠山工业区 2130 煤 铝 不符合产 业政策 关停取缔 2016.12.31 是 迳口镇人民政府 2016.4.16 680564327 四会市迳口镇 1124906.348 232925.044 冠山工业区 2619 金属制品 小型企业 碎铜 业 有色金属 冶炼和压 小型企业 铜泥 延加工业 有色金属 金属废 冶炼和压 小型企业 品 延加工业 化学原料 和化学制 小型企业 胶 品制造业 煤 树脂 不符合产 业政策 关停取缔 2016.12.31 是 迳口镇人民政府 2016.5.27 4.41284E+14 四会市迳口镇 1124906.348 232925.044 冠山工业区 3252 金属制品 金属废 小型企业 业 品 煤 铜 不符合产 业政策 关停取缔 2016.12.31 是 迳口镇人民政府 2016.6.19 4.41222E+12 四会市迳口镇 1124906.348 232925.044 冠山工业区 四会市迳口镇 1124906.348 232925.044 冠山工业区 3252 电解质 铜,铝 关停取缔 2016.12.31 是 迳口镇人民政府 2016.9.23 煤 铝 不符合产 业政策 不符合产 业政策 关停取缔 2016.12.31 是 迳口镇人民政府 2016.7.19 4.41284E+14 四会市迳口镇 1124906.348 232925.044 冠山工业区 2130 金属制品 铜板, 小型企业 业 铁板 金属制品 金属废 小型企业 业 品 有色金属 冶炼和压 小型企业 碎铜 延加工业 煤 铜锭 不符合产 业政策 关停取缔 2016.12.31 是 迳口镇人民政府 2016.8.15 678859863 四会市迳口镇 1124906.348 232925.044 冠山工业区 3099 煤 陶瓷面料 不符合产 业政策 关停取缔 2016.12.31 是 迳口镇人民政府 2016.6.13 357 358 359 360 361 362 363 364 365 366 367 L6944017-0 无 731473901 四会市黄田镇 江头村委会沙 塘坑藕塘口路 口 四会市迳口镇 冠山工业区 3252 非金属矿 小型企业 物制品业 瓷泥 不符合产 业政策、 无营业执 照 不符合产 业政策 368 四会市迳口 四会 迳口镇 镇太国五金 市 制品厂 369 四会 四会市鑫邦 4.41285E+14 迳口镇 市 有色金属厂 370 371 372 373 374 375 四会市迳口 四会 迳口镇 镇能达五金 市 熔铸厂 杨美香猪油 广宁 南街镇 厂 程达明猪油 广宁 南街镇 厂 成旺碎片加 广宁 南街镇 工厂 广宁县横山 广宁 横山镇 镇双鹰沥青 纸厂 广宁县横山 广宁 横山镇 镇忠盛五金 模具厂 四会市迳口镇 1124906.348 232925.044 冠山工业区 2130 四会市迳口镇 1124906.348 232925.044 冠山工业区 2130 4.41285E+14 四会市迳口镇 1124906.348 232925.044 冠山工业区 3252 92441223MA 4W3E593C 92441223MA 4W3E593C 圣堂社区白沙 112°25′9.90″ 23°37′32.39″ 制生物油 坑 112°24′41.05 23°37′17.28″ 制生物油 小迳管理区 ″ 荷木村委会三 112°28′15.43 生物质加 23°40′17.50″ ″ 丫塘村 工 无 4.41224E+14 4.41224E+14 379 广宁 石涧镇 380 广宁 江屯镇 381 广宁 古水镇 382 广宁 石咀镇 383 广宁 石咀镇 高坪管理区 是 迳口镇人民政府 2016.10.2 5 煤,电 锡 不符合产 业政策 关停取缔 2016.12.31 是 迳口镇人民政府 2016.10.2 9 煤 锌锭 不符合产 业政策 关停取缔 2016.12.31 是 迳口镇人民政府 2016.9.13 已取缔 否 广宁县人民政府 ######## 1352 规下企业 肥猪肉 木材 猪油 已取缔 否 广宁县人民政府 ######## 2012 规下企业 木糠 木材 木炭 已取缔 否 广宁县人民政府 ######## 25 规下企业 沥青 木材 沥青纸 已取缔 否 广宁县人民政府 3429 规下企业 废铁 煤炭 铸铁件 已取缔 否 广宁县人民政府 造纸 2239 小 竹子 生物质 会纸 造纸 2239 小 竹子 生物质 会纸 非金属矿 物制品业 3199 小规模 高岭土 木材 陶瓷土 321 5人 废铁 炭 铸铁件 2032 规下 竹木 用电 竹木制品 1352 小作坊 肥猪肉 木材 猪油 3131 小型 瓷泥 木柴 青砖 3131 小型 瓷泥 木柴 青砖 横岗村社学大 桥头 茶园村 600128937 江布纸厂 广宁顺水陶 瓷原料加工 厂 广宁县肇通 44122360018 0722 机械部 江屯镇泰丰 木厂 古水镇荣记 44122360022 0589 猪油厂 孔成娣青砖 无注册 窑 孔祥华青砖 无注册 窑 关停取缔 2016.12.31 猪油 600122635 377 广宁 五和镇 不符合产 业政策 木材 其他 E112°22′3.4 N23°29′48.8″ 4″ E112°21′19. N23°27′41.34 51″ ″ 铜锭 规下企业 肥猪肉 厚溪村委正坳 金属工具 112°13′40.62 23°40′17.95″ 塘 制造 横岗纸厂 金属制品 金属废 小型企业 业 品 煤 1352 4.41224E+14 376 广宁 五和镇 378 广宁 螺岗镇 大江村 有色金属 冶炼和压 小型企业 碎铜 延加工业 有色金属 冶炼和压 小型企业 金属泥 延加工业 仁尚里村委马 E112°27′8.4 N23°31′36.57 铸铁 1″ ″ 坳村 义和村委会坳 112°38'33.87 木制品加 23°46'45.5" " 仔村 工 大坪梨仔村村 E112°17′4.0 N23°39′56.98 制生物油 3″ 口公路边厂房 ″ 岗坪村委会沙 E112°10′6.7 N23°36′39.1 砖瓦窑 场侧 〞 〞 E112°10′4.5 N23°36′41.1 岗坪村委会旧 砖瓦窑 油站侧 〞 〞 宾亨镇云溪 4.41224E+14 纸厂 罗溪村委会云 E112°24'7.99 迷信纸制 N23°23'5.19" " 溪小学侧 造 2239 小型加工 作坊 竹子 生物质 土纸 宾亨镇华轩 4412236NA00 385 广宁 宾亨镇 竹纤维加工 0031X 合作社 广宁县宾亨 386 广宁 宾亨镇 镇杬仔迳陶 4.41224E+14 器厂 广宁县排沙 44122360011 387 广宁 排沙镇 镇清水坑纸 9502 厂 江屯镇云南 388 广宁 江屯镇 全隆茶叶加 L2407877X 工厂 江屯镇联和 389 广宁 江屯镇 775063971 竹木工艺厂 罗蚌村委会六 E112°24'20.7 N23°23'29.98 迷信纸制 古村 8" " 造 2239 小型加工 作坊 竹子 生物质 土纸 宾亨镇寺湾村 E112°26'55.8 小型手工 N23°30'2.61" 委会榄仔迳桥 5" 制造业 头 3129 小型加工 黄泥土 作坊 生物质 园艺茶盘 384 广宁 宾亨镇 390 怀集 中洲镇 县 水下竹厂 无排污措 施 无排污措 施 没有大气 污染设施 没有环评 手续 无环保合 法手续 无 无排污措 施 无排污措 施 原料未清 理、机械 未拆除 原料未清 理、机械 未拆除 原料未清 理、机械 未拆除 已取缔 2018.1 否 广宁县人民政府 2018.08 已取缔 2018.12 否 广宁县人民政府 2018.1 已取缔 2017.8 否 广宁县人民政府 2017.8 已取缔 43070 否 广宁县人民政府 2017/7/1 取缔 42552 否 广宁县人民政府 ######## 已取缔 2018年 否 广宁县人民政府 ######## 否 广宁县人民政府 2018.10 否 广宁县人民政府 2018.10 43311 否 广宁县人民政府 ######## 43311 否 广宁县人民政府 ######## 关闭(已 停产) 43311 否 广宁县人民政府 ######## 已取缔 已取缔 关闭(已 断电、停 产) 关闭(已 断电、停 产) 2018年10月 底 2018年10月 底 2239 小型 青皮竹 / 会纸 无环保合 法手续 取缔 43464 否 广宁县人民政府 112°37'34.68 23°43'36.33" 茶叶加工 " 3632 规下 茶 用电 茶制品 无环保合 法手续 取缔 43466 否 广宁县人民政府 江屯镇河口村 112°40'4.044 木制品加 23°43'2.496" " 委会 工 2032 规下 竹木 用电 竹木制品 取缔 43435 否 广宁县人民政府 其他纸制 品制造 2239 小 竹 散煤 土纸原材 料 取缔 2018年底前 否 中洲镇政府 清水坑四队 112°31'43.5" 23°28'42.24" 粮管所仓库 中洲镇水下村 112.151076 24.183735 造纸 无环保合 法手续 没有工商 执照、没 有环保手 2018年 12月 黄沙村 铝锭厂 391 怀集 洽水镇 县 392 怀集 龙门村石仔 凤岗镇 县 加工厂 393 封开 蒙钦培铝灰 江口镇 县 加工场 394 封开县江口 44122560006 封开 江口镇 镇二叔公饭 9044 县 店 395 / 封开 封开县江口 44122560007 江口镇 1826 县 镇老沈饭店 否 洽水镇镇府 2018年 11月 取缔 2018年底前 否 凤岗镇镇府 2018年 8月 两断三清 10月底 否 县环保局 11月22日 两断 三清 12月底 否 县环保局 11月8日 两断 三清 12月底 否 县环保局 11月8日 两断 三清 12月底 否 县环保局 11月8日 两断 三清 12月底 否 县环保局 11月8日 食品 未办理相 关审批手 续;违法 用地、污 染治理设 施不完备 两断 三清 12月底 否 县环保局 11月8日 食品 未办理相 关审批手 续;违法 用地、污 染治理设 施不完备 两断 三清 12月底 否 县环保局 11月8日 24.188413 铝冶炼 3216 小 铝灰 散煤 铝锭 凤岗镇龙门村 112.415993 24.002974 粘土及其 他土砂石 开采 1090 小 石块 散煤 碎石 封开县江口镇 三元东路旧开 源化工厂内 111°30'48 23°24'46 铝冶炼 C3216 小型 铝灰 煤 铝锭 封开县江口镇 扶来村 111°30'26 23°28'35 餐饮 H6210 小型 食品原 材料 煤气 食品 111°30'26 23°28'35 餐饮 H6210 小型 食品原 材料 煤气 食品 396 封开县江口 44122560007 封开 江口镇 镇蓬莱阁饭 6558 县 店 封开县江口镇 扶来村 111°30'22 23°29'18 餐饮 H6210 小型 食品原 材料 煤气 食品 397 封开县江口 92441225MA 封开 江口镇 镇渔家庄饭 4WB9MD45 县 店 封开县江口镇 扶来村 111°30'26 23°28'35 餐饮 H6210 小型 食品原 材料 煤气 食品 398 399 封开县江口 44122560014 封开 江口镇 镇容记餐厅 0463 县 扶来店 封开 封开县江口 44122560014 江口镇 9261 县 镇老李饭店 封开县江口镇 扶来村 封开县江口镇 扶来村 111°30'15 111°30'26 23°24'01 23°28'35 餐饮 餐饮 H6210 H6210 小型 小型 食品原 材料 食品原 材料 煤气 煤气 未办理相 关审批手 续;违法 用地、污 染治理设 施不完备 2018年底前 112.341127 封开县江口镇 扶来村 没有工商 执照、没 有环保手 没有工商 执照、没 有环保手 不符合国 家产业政 策、未办 理相关审 批手续; 污染治理 设施不完 备 未办理相 关审批手 续;违法 用地、污 染治理设 施不完备 取缔 洽水镇黄沙村 未办理相 关审批手 续;违法 用地、污 染治理设 施不完备 未办理相 关审批手 续;违法 用地、污 染治理设 施不完备 两断 三清 12月底 否 县环保局 11月8日 两断 三清 12月底 否 县环保局 11月8日 两断 三清 12月底 否 县环保局 11月8日 两断 三清 12月底 否 县环保局 11月8日 两断 三清 12月底 否 县环保局 10月25日 两断三清 2018年底前 否 回龙镇、发改、经信 、环保、安监、消防 两断三清 2018年底前 否 德城街道办、发改、 经信、环保、安监、 消防 不符合规 划,没有 通过相关 部门审批 两断三清 2018年底前 否 德城街道办、环保、 安监、消防 无 各类五金 配件 不符合规 划,没有 通过相关 部门审批 两断三清 2018年底前 否 德城街道办、环保、 安监、消防 无 家具 没有通过 相关部门 审批 两断三清 2018年底前 否 德城街道、环保、安 监、消防 400 封开 封开县江口 92441225MA 江口镇 县 镇德叔饭店 4X4NJT75 封开县江口镇 扶来村 111°30'15 23°24'01 餐饮 H6210 小型 食品原 材料 煤气 食品 401 封开 江口镇 县 五婶饭店 封开县江口镇 扶来村 111°30'15 23°24'01 餐饮 H6210 小型 食品原 材料 煤气 食品 402 封开 江口镇 县 大宝河鲜 封开县江口镇 扶来村 111°30'15 23°24'01 餐饮 H6210 小型 食品原 材料 煤气 食品 403 封开 江口镇 县 贺水人家 封开县江口镇 扶来村 111°30'15 23°24'01 餐饮 H6210 小型 食品原 材料 煤气 食品 404 封开 封开县大旺 江口镇 县 无名铝灰厂 封开县江口镇 大旺村 111°27'42 23°25'58 铝冶炼 c3216 小型 铝灰 煤 铝锭 405 德庆县回龙 德庆 回龙镇 镇建宇化工 县 经营部 不详 大塘村委会冲 袍村 东经 北纬 树脂加工 E111°40′14. N23°12′42.22 制造 60″ ″ 2663 小型企业 松香 木柴 松香产品 406 德庆 德城街 德庆县康城 县 道 铸造厂 不详 德庆县原农机 二厂 东经 北纬 黑色金属 E111°45′57. N23°08′49.09 铸造 18″ ″ 3130 小型企业 废铁 煤炭 家用铁件 不详 德庆县德城镇 大桥村委会西 侧 东经 北纬 机械零部 E111°47′24. N23°08′48.72 件加工 92″ ″ 3484 个体工商 户 无 各类五金 配件 德庆县德城 德庆 德城街 408 诚德数控车 县 道 床加工厂 不详 德庆县德城镇 环城路镇府商 品楼地下商铺 第7卡 东经 北纬 机械零部 E111°46′3.5 N23°08′49.09 件加工 7″ ″ 3484 个体工商 户 铁 德庆 德城街 德庆县先志 县 道 家具厂 不详 朝阳西路(旧 原四小内) 东经 北纬 家具制造 E111°45′7.9 N23°08′41.74 业 4″ ″ 2110 小型企业 木材 德庆县德城 德庆 德城街 407 蓝宇机床加 县 道 工服务中心 409 铁 未办理相 关审批手 续;违法 用地、污 染治理设 施不完备 未办理相 关审批手 续;违法 用地、污 染治理设 施不完备 未办理相 关审批手 续;违法 用地、污 染治理设 施不完备 未办理相 关审批手 续;违法 用地、污 染治理设 施不完备 不符合国 家产业政 策、未办 理相关审 批手续; 污染治理 设施不完 备 不符合产 业政策, 没有通过 相关部门 审批 不符合规 划,没有 通过相关 部门审批 历麻南冲村 东经 北纬 树脂加工 E111°43′17. N23°11′7.90″ 制造 30″ 2663 小型企业 松香 木柴 重油 历麻南冲村 东经 北纬 树脂加工 E111°43′17. N23°11′7.90″ 制造 30″ 2663 小型企业 松香 木柴 重油 不详 东经 德庆县新圩河 北纬 东管理区青榕 E111°53′21. 其他木材 31″ N23°08′6.35″ 村321国道旁深 加工 冲地块 2019 个体工商 户 木材 无 家具、木 装饰品 德庆县官圩 德庆 413 官圩镇 镇程记加工 县 厂 不详 谢村化工厂北 侧 东经 北纬 农副食品 E111°47′43. N23°14′24.95 加工业 21″ ″ 1495 猪皮、 小型企业 猪内脏 木柴 猪油 414 德庆德天塑 德庆 官圩镇 胶制品有限 县 公司 不详 德庆县官圩镇 沙井涌 东经 北纬 再生橡胶 E111°46′51. N23°14′21.72 制造 80″ ″ 2914 小型企业 废塑料 无 塑胶袋 415 德庆海量塑 德庆 官圩镇 料制品有限 县 公司 不详 德庆县官圩镇 沙井涌 东经 北纬 再生橡胶 E111°46′50. N23°14′18.88 制造 18″ ″ 2914 小型企业 废塑料 无 塑胶袋 德庆县官圩 德庆 416 官圩镇 镇荣兴化工 县 厂 不详 官圩镇谢村管 理区 东经 北纬 树脂加工 E111°47′43. N23°14′24.95 制造 21″ ″ 2663 小型企业 松香 木柴 烈化油 417 德庆 官圩镇实惠 官圩镇 县 塑胶厂 不详 五福村委会路 口 东经 北纬 塑料制品 E111°47′48. N23°15′28.94 业 69″ ″ 2927 小型企业 废塑料 无 塑料颗粒 418 德庆 播植镇 新合养猪场 县 不详 播植镇新合村 北纬 东经 N23°14′30.91 E112°8′47″ ″ 畜牧业 313 小型企业 养殖猪 只 无 猪只 419 德庆 播植橡胶原 播植镇 县 料加工厂 不详 北纬 东经 德庆县播植镇 树脂加工 N23°17′45.31 E112°9′39.6″ 植村 制造 ″ 2663 小型企业 松香 无 烈化油 420 德庆县悦城 德庆 悦城镇 镇金砂建材 县 码头装卸部 不详 德庆县悦城镇 中地村委会白 汾坑 东经 北纬 E112°09′5.4 货运港口 N23°05′0.21″ 1″ 5532 个体工商 货物水 户 上运输 无 货物水上 运输 421 德庆 德庆县悦城 悦城镇 县 镇海全码头 不详 德庆县悦城镇 洲林村委会星 海油站对面 东经 北纬 E112°13′49. N23°07′16.38 货运港口 27″ ″ 5532 个体工商 货物水 户 上运输 无 货物水上 运输 不详 德庆县悦城镇 垠坑 东经 北纬 石灰和石 E112°03′59. N23°06′44.07 膏制造 06″ ″ 3012 个体工商 石灰石 户 历麻君林香 德庆 410 新圩镇 脂综合分理 县 厂 不详 德庆 历麻松扬树 新圩镇 县 脂厂 不详 411 德庆县德盛 德庆 412 新圩镇 木制品加工 县 场 德庆县悦城 德庆 422 悦城镇 镇罗洪垠坑 县 大窑石灰厂 煤炭 石灰 不符合产 业政策, 没有通过 相关部门 不符合产 业政策, 没有通过 相关部门 不符合规 划,没有 通过相关 部门审批 不符合产 业政策, 没有通过 相关部门 不符合规 划,没有 通过相关 部门审批 不符合规 划,没有 通过相关 部门审批 不符合产 业政策, 没有通过 相关部门 不符合规 划,没有 通过相关 部门审批 不符合规 划,没有 通过相关 部门审批 不符合产 业政策, 没有通过 相关部门 不符合规 划,没有 通过相关 部门审批 不符合规 划,没有 通过相关 部门审批 不符合规 划,没有 通过相关 部门审批 两断三清 2018年底前 否 新圩镇、发改、经信 、环保、安监、消防 两断三清 2018年底前 否 新圩镇、发改、经信 、环保、安监、消防 两断三清 2018年底前 否 新圩镇、环保、安监 、消防 两断三清 2018年底前 否 官圩镇、食药监、环 保 两断三清 2018年底前 否 官圩镇、发改、环保 、安监 两断三清 2018年底前 否 官圩镇、发改、环保 、安监 两断三清 2018年底前 否 官圩镇、发改、经信 、环保、安监、消防 两断三清 2018年底前 否 官圩镇、发改、环保 、消防 两断三清 2018年底前 否 播植镇、农业、畜牧 、环保、国土 两断三清 2018年底前 否 播植镇、发改、经信 、环保、安监、消防 两断三清 2018年底前 否 悦城镇、交通 两断三清 2018年底前 否 悦城镇、交通 两断三清 2018年底前 否 悦城镇、发改、经信 、环保 德庆县大圣 德庆 423 悦城镇 码头有限公 县 司 德庆县九市 德庆 424 九市镇 镇三洲塑料 县 管加工场 德庆县凤村 德庆 425 凤村镇 镇美之雨雨 县 具加工厂 二、拟整合搬迁类企业 肇庆市中环 端州 环保废旧五 1 睦岗 区 金塑料处理 有限公司 肇庆市恒通 端州 2 睦岗 塑料制品有 区 限公司 肇庆市锦城 端州 3 睦岗 再生资源有 区 限公司 肇庆国益塑 端州 4 睦岗 胶再生有限 区 公司 肇庆国奥塑 端州 5 睦岗 胶再生有限 区 公司 肇庆市鼎湖 区沙浦镇铨 6 鼎湖 沙浦 崧农副土特 产加工场 7 高要 金渡镇 区 不详 德庆县悦城镇 中地村委马加 冲村 东经 北纬 E112°09′47. N23°04′53.17 货运港口 12″ ″ 不详 德庆县九市镇 三洲村原光润 家具厂东边新 建的厂房 东经 北纬 再生橡胶 E112°01′30. N23°05′13.00 制造 78″ ″ 不详 德庆县凤村镇 大村 东经 北纬 其他日用 E112°05′48. N23°13′44.78 杂品制造 39″ ″ / / / 东经 北纬 火车站货场西 112.4299216 23.07798873 侧 404 02 睦岗西郊兰龙 村蛇尾石场路 厂房 端州八路18 号(过境公路 北侧天富公司 / 睦岗镇西郊小 湘大龙管理区 / 西郊大龙管理 区嘉隆公司厂 肇庆市鼎湖区 沙浦镇沙二小 学(旧地址) 高要市金渡镇 高要市金渡镇 思进路侧(张 天天鑫塑胶五 振良住宅用 金制品厂 地) 东经 112.718092 7501 东经 112.735026 2467 东经 111.718761 8501 东经 112.4299216 408 北纬 23.35084077 74 北纬 23.38833004 73 北纬 22.61954818 29 北纬 23.07798873 02 112°40'25" 23°09'19" 货物水上 运输 不符合规 划,没有 通过相关 部门审批 两断三清 2018年底前 否 悦城镇、交通 塑料管 不符合规 划,没有 通过相关 部门审批 两断三清 2018年底前 否 九市镇、发改、经信 、环保、安监、消防 两断三清 2018年底前 否 凤村镇、环保、安监 、消防 5532 货物水 小型企业 上运输 2914 个体工商 废旧塑 户 料 4119 防水布 个体工商 、支架 户 、胶水 无 各式雨伞 不符合规 划,没有 通过相关 部门审批 回收 3082 小规模 塑料 / 塑胶合成 品 废气 搬迁 2018年底前 否 经信局 加工 3082 小规模 塑料 / 塑胶合成 品 废气 搬迁 2018年底前 否 经信局 加工 431 小规模 / / / 废气 搬迁 2018年底前 否 环保局 加工 3082 小规模 塑料 / 塑胶再生 品 废气 搬迁 2018年底前 否 经信局 加工 3082 小规模 塑料 / 塑胶再生 品 废气 搬迁 2018年底前 否 经信局 农副食品 加工 2710 小型 农副产 品 生物质 药材 环保手续 不完善 搬迁 2019.9 否 环保 加工、销 售:塑胶 制品,五 金制品。 2929 无 无 塑胶制品 、五金制 品 环保手续 不完善 搬迁 43441 否 区发展改革局、区经 济信息化局、区国土 资源局、区环境保护 局、区住房城乡建设 局、区水务局、区农 业局、区国资委、区 ######## 市场监督管理局、区 质监局、区安全监管 局、区食品药品监督 管理局、区城乡规划 局、广东电网公司肇 庆高要供电局等分别 8 9 10 11 高要 金渡镇 区 肇庆市高要区 高要区金渡镇 金渡镇金晖街 新艺五金塑料 (张召良宅首 制品厂 层) 高要 金渡镇 区 肇庆市高要区 高要市金渡镇 金渡镇金晖街 顺东五金加工 以东(莫文安 厂 宅首层) 高要 金渡镇 区 肇庆市高要区 高要区金渡镇 金渡镇金晖街 祥龙坊硅胶礼 以东第二排 (何坚培宅一 品厂 楼第3卡) 高要 金渡镇 区 高要市金渡镇 高要市金渡镇 宏溢工艺五金 金晖街(何肇 加工厂 权住宅用地) 加工、销 售:五金 制品,五 金模具, 塑料制 品,硅胶 制品,金 属零配件 。 加工、销 售:五金 制品,硅 胶制品。 加工、销 售:硅胶 工艺品。 加工:五 金,二氧 化硅制品 。 2929 五金制品 、硅胶制 品 环保手续 不完善 搬迁 43441 否 3391 五金制品 、硅胶制 品 环保手续 不完善 搬迁 43441 否 2919 硅胶制品 环保手续 不完善 搬迁 43441 否 3391 硅胶制品 环保手续 不完善 搬迁 43441 否 区发展改革局、区经 济信息化局、区国土 资源局、区环境保护 局、区住房城乡建设 局、区水务局、区农 业局、区国资委、区 市场监督管理局、区 质监局、区安全监管 局、区食品药品监督 管理局、区城乡规划 局、广东电网公司肇 庆高要供电局等分别 区发展改革局、区经 济信息化局、区国土 资源局、区环境保护 局、区住房城乡建设 局、区水务局、区农 业局、区国资委、区 市场监督管理局、区 质监局、区安全监管 局、区食品药品监督 管理局、区城乡规划 局、广东电网公司肇 庆高要供电局等分别 区发展改革局、区经 济信息化局、区国土 资源局、区环境保护 局、区住房城乡建设 局、区水务局、区农 业局、区国资委、区 市场监督管理局、区 质监局、区安全监管 局、区食品药品监督 管理局、区城乡规划 局、广东电网公司肇 庆高要供电局等分别 区发展改革局、区经 济信息化局、区国土 资源局、区环境保护 局、区住房城乡建设 局、区水务局、区农 业局、区国资委、区 市场监督管理局、区 质监局、区安全监管 局、区食品药品监督 管理局、区城乡规划 局、广东电网公司肇 庆高要供电局等分别 ######## ######## ######## ######## 12 高要 金渡镇 区 高要市金渡镇 高要市金渡镇 金晖街以东第 春东塑料制品 二排(田小清 店 宅) 加工、销 售:塑料 制品。 2929 硅胶制品 环保手续 不完善 搬迁 43441 否 13 高要 金渡镇 区 肇庆市高要区 高要区金渡镇 金渡镇新风巷 亿华硅胶制品 (莫星文宅一 加工厂 楼) 加工、销 售:硅胶 制品。 2919 硅胶制品 环保手续 不完善 搬迁 43441 否 14 高要 金渡镇 区 肇庆市高要区 高要区金渡镇 金渡镇广场东 华诚硅胶制品 路(梁建荣宅 加工厂 首层) 来料加 工:硅胶 制品。 2919 硅胶制品 环保手续 不完善 搬迁 43441 否 15 肇庆市高要区 91441283M 肇庆市高要区 金渡镇平布村 高要 金渡镇 A4UWDHU 维兴铸造有限 岗头(金渡平 区 51 公司 布社区居委会 厂房) 搬迁 43435 否 生产、加 工、铸造 、销售: 五金制品 3412 金属 五金制品 区发展改革局、区经 济信息化局、区国土 资源局、区环境保护 局、区住房城乡建设 局、区水务局、区农 业局、区国资委、区 市场监督管理局、区 质监局、区安全监管 局、区食品药品监督 管理局、区城乡规划 局、广东电网公司肇 庆高要供电局等分别 区发展改革局、区经 济信息化局、区国土 资源局、区环境保护 局、区住房城乡建设 局、区水务局、区农 业局、区国资委、区 市场监督管理局、区 质监局、区安全监管 局、区食品药品监督 管理局、区城乡规划 局、广东电网公司肇 庆高要供电局等分别 区发展改革局、区经 济信息化局、区国土 资源局、区环境保护 局、区住房城乡建设 局、区水务局、区农 业局、区国资委、区 市场监督管理局、区 质监局、区安全监管 局、区食品药品监督 管理局、区城乡规划 局、广东电网公司肇 庆高要供电局等分别 区发展改革局、区经 济信息化局、区国土 资源局、区环境保护 局、区住房城乡建设 局、区水务局、区农 业局、区国资委、区 市场监督管理局、区 质监局、区安全监管 局、区食品药品监督 管理局、区城乡规划 局、广东电网公司肇 庆高要供电局等分别 ######## ######## ######## ######## 16 生产、销 售:铸件 高要市金渡镇 4412836001 高要市金渡镇 高要 。 112.5209288 23.03324903 金渡镇 佳城机械铸造 南金路 83684 区 厂 3412 金属 17 加工、销 肇庆市高要区 肇庆市高要区 9144128379 高要 售:五金 金渡镇 健业五金涂料 金渡镇世纪大 112.5169546 23.03416568 9359232T 区 、铬黄、 厂 道金坑 化工涂料 2641 18 生产、销 肇庆市高要区 售:锦纶 金渡镇外资工 9144128334 高要区众泰化 业区金渡花坛 弹力丝, 高要 112.5313863 23.03515456 金渡镇 5457831D 纤有限公司 东侧300米(莫 涤纶弹力 区 丝。 幸才厂房之 二) 1751 19 研发、生 产、销 售:精密 金属部品 及相关科 肇庆市高要区 肇庆市鸿仁金 研所需的 9144128330 金渡镇工业集 112.5199547 23.03523902 高要 金渡镇 属科技有限公 原辅材料 402284X1 664 72 聚基地二期宏 区 司 、仪器仪 达路3号之二 表、模检 夹具、机 械设备; 进出口业 务。 3412 五金制品 搬迁 43436 否 金属、 化工原 料 五金、铬 黄、化工 涂料 搬迁 43437 否 涤纶 锦纶弹力 丝,涤纶 弹力丝 搬迁 43438 否 精密金属 部品及相 关科研所 需的原辅 材料、仪 器仪表、 模检夹具 、机械设 备 搬迁 43439 否 焦炭 区发展改革局、区经 济信息化局、区国土 资源局、区环境保护 局、区住房城乡建设 局、区水务局、区农 业局、区国资委、区 市场监督管理局、区 质监局、区安全监管 局、区食品药品监督 管理局、区城乡规划 局、广东电网公司肇 庆高要供电局等分别 区发展改革局、区经 济信息化局、区国土 资源局、区环境保护 局、区住房城乡建设 局、区水务局、区农 业局、区国资委、区 市场监督管理局、区 质监局、区安全监管 局、区食品药品监督 管理局、区城乡规划 局、广东电网公司肇 庆高要供电局等分别 区发展改革局、区经 济信息化局、区国土 资源局、区环境保护 局、区住房城乡建设 局、区水务局、区农 业局、区国资委、区 市场监督管理局、区 质监局、区安全监管 局、区食品药品监督 管理局、区城乡规划 局、广东电网公司肇 庆高要供电局等分别 区发展改革局、区经 济信息化局、区国土 资源局、区环境保护 局、区住房城乡建设 局、区水务局、区农 业局、区国资委、区 市场监督管理局、区 质监局、区安全监管 局、区食品药品监督 管理局、区城乡规划 局、广东电网公司肇 庆高要供电局等分别 按职能负责督导 ######## ######## ######## ######## 20 21 22 23 生产、加 工、销 售:木制 肇庆市高要区 品,五金 金渡镇金渡村 制品,塑 91441283M 高要区友邦木 土名“山塘尾”高 112.5107476 23.03335867 胶制品, 高要 金渡镇 A4UJBGFX 制品实业有限 481 54 烟具制品 区 要环宇金属加 D 公司 及配件, 工厂第一车间 饰品;房 厂房 地产开发 经营。 生产、销 售:复混 肥料,有 高要区绿宝丹 9144128372 高要 肇庆市高要区 112.5202367 23.03257402 机肥料, 金渡镇 复合肥有限公 70770331 664 72 微生物肥 区 金渡镇南金路 司 料,水溶 肥料。 高要 区 高要 区 南岸 南岸 肇庆市高要区 4412836003 高要市马安美 马安天资塘 12987 丝洗涤店 (胜利二村留 底) 肇庆市高要区 92441283M 高要区南岸瑞 科德新村对面 A4ux1YL28 康餐具服务部 第三卡厂房 洗涤服务 洗涤服务 木、五 金、塑 料 2039 2681 搬迁 43440 否 搬迁 43442 否 无 没有取得 相关环保 证件,废 水没有进 行环保处 理排放 已搬迁 否 无 没有取得 相关环保 证件,洗 涤污水排 放不符合 环保标准 已搬迁 否 复混肥 料,有机 肥料,微 生物肥 料,水溶 肥料。 2624 2681 木制品, 五金制 品,塑胶 制品,烟 具制品及 配件,饰 品 小规模 小规模 台布、 床单 台布、 床单 区发展改革局、区经 济信息化局、区国土 资源局、区环境保护 局、区住房城乡建设 局、区水务局、区农 业局、区国资委、区 ######## 市场监督管理局、区 质监局、区安全监管 局、区食品药品监督 管理局、区城乡规划 局、广东电网公司肇 庆高要供电局等分别 区发展改革局、区经 济信息化局、区国土 资源局、区环境保护 局、区住房城乡建设 局、区水务局、区农 业局、区国资委、区 ######## 市场监督管理局、区 质监局、区安全监管 局、区食品药品监督 管理局、区城乡规划 局、广东电网公司肇 庆高要供电局等分别 区发展改革局、区经 济信息化局、区国土 资源局、区环境保护 局、区住房城乡建设 局、区水务局、区农 业局、区国资委、区 市场监督管理局、区 质监局、区安全监管 局、区食品药品监督 管理局、区城乡规划 局、广东电网公司肇 庆高要供电局等分别 区发展改革局、区经 济信息化局、区国土 资源局、区环境保护 局、区住房城乡建设 局、区水务局、区农 业局、区国资委、区 市场监督管理局、区 质监局、区安全监管 局、区食品药品监督 管理局、区城乡规划 局、广东电网公司肇 庆高要供电局等分别 24 高要 区 25 高要 区 26 高要 区 27 高要 区 大湾 肇庆市高要区 92441283L7 高要区大湾镇 大湾镇开发区 5649675J 锦文家具厂 (潘献波厂房 之二) E112°23′57. N23°02′49.59 家具制造 06″ ″ 业 大湾 肇庆市高要区 92441283L0 高要区西江红 大湾镇三期开 97838334 木家私厂 发区 E112°23′10. 家具制造 23°02′57.18″ 98″ 业 大湾 高要区大湾镇 肇庆市高要区 92441283L7 达昌红木工艺 大湾镇龙冲区 3195868N 厂 伟仔村 E112°23′58. N23°02′55.34 家具制造 09″ ″ 业 大湾 92441283M 高要区大湾镇 肇庆市高要区 A4XA89P2 明古轩红木家 大湾镇环镇路 44号 Q 具厂 E112°23′35. N23°02′43.97 家具制造 16″ ″ 业 2110 2110 2110 2110 木质家具 未能提供 排污许可 证 要求办理 相关证 照,引导 入园经营 2019.6.30 否 木质家具 未能提供 排污许可 证 要求办理 相关证 照,引导 入园经营 2019.6.30 否 木质家具 未能提供 排污许可 证 要求办理 相关证 照,引导 入园经营 2019.6.30 否 木质家具 未能提供 排污许可 证 要求办理 相关证 照,引导 入园经营 2019.6.30 否 区发展改革局、区经 济信息化局、区国土 资源局、区环境保护 局、区住房城乡建设 局、区水务局、区农 业局、区国资委、区 市场监督管理局、区 质监局、区安全监管 局、区食品药品监督 管理局、区城乡规划 局、广东电网公司肇 庆高要供电局等分别 区发展改革局、区经 济信息化局、区国土 资源局、区环境保护 局、区住房城乡建设 局、区水务局、区农 业局、区国资委、区 市场监督管理局、区 质监局、区安全监管 局、区食品药品监督 管理局、区城乡规划 局、广东电网公司肇 庆高要供电局等分别 区发展改革局、区经 济信息化局、区国土 资源局、区环境保护 局、区住房城乡建设 局、区水务局、区农 业局、区国资委、区 市场监督管理局、区 质监局、区安全监管 局、区食品药品监督 管理局、区城乡规划 局、广东电网公司肇 庆高要供电局等分别 区发展改革局、区经 济信息化局、区国土 资源局、区环境保护 局、区住房城乡建设 局、区水务局、区农 业局、区国资委、区 市场监督管理局、区 质监局、区安全监管 局、区食品药品监督 管理局、区城乡规划 局、广东电网公司肇 庆高要供电局等分别 28 高要 区 29 高要 区 30 高要 区 31 高要 区 大湾 高要区大湾镇 92441283L3 肇庆市高要区 广隆红木家私 54159387 大湾镇环镇路 厂 E112°23′45. N23°02′46.90 家具制造 34″ ″ 业 大湾 高要区大湾镇 肇庆市高要区 92441283L2 艺翔红木工艺 大湾镇环镇路 976113X3 E112°23′55. N23°02′50.16 家具制造 07″ ″ 业 92441283M 高要区大湾富 肇庆市高要区 A4WAT8Y6 城红木工艺厂 大湾镇豆头街 6 E112°23′5.4 N23°03′12.90 家具制造 9″ ″ 业 大湾 大湾 肇庆市高要区 92441283M 高要区大湾镇 大湾镇大田管 A4WJKX87 富华红木工艺 理区(廖桂均 5 家具厂 宅) E112°23′56. N23°02′50.62 家具制造 92″ ″ 业 2110 2110 2110 2110 木质家具 未能提供 排污许可 证 要求办理 相关证 照,引导 入园经营 2019.6.30 否 木质家具 未能提供 排污许可 证 要求办理 相关证 照,引导 入园经营 2019.6.30 否 木质家具 未能提供 排污许可 证 要求办理 相关证 照,引导 入园经营 2019.6.30 否 木质家具 未能提供 排污许可 证 要求办理 相关证 照,引导 入园经营 2019.6.30 否 区发展改革局、区经 济信息化局、区国土 资源局、区环境保护 局、区住房城乡建设 局、区水务局、区农 业局、区国资委、区 市场监督管理局、区 质监局、区安全监管 局、区食品药品监督 管理局、区城乡规划 局、广东电网公司肇 庆高要供电局等分别 区发展改革局、区经 济信息化局、区国土 资源局、区环境保护 局、区住房城乡建设 局、区水务局、区农 业局、区国资委、区 市场监督管理局、区 质监局、区安全监管 局、区食品药品监督 管理局、区城乡规划 局、广东电网公司肇 庆高要供电局等分别 区发展改革局、区经 济信息化局、区国土 资源局、区环境保护 局、区住房城乡建设 局、区水务局、区农 业局、区国资委、区 市场监督管理局、区 质监局、区安全监管 局、区食品药品监督 管理局、区城乡规划 局、广东电网公司肇 庆高要供电局等分别 区发展改革局、区经 济信息化局、区国土 资源局、区环境保护 局、区住房城乡建设 局、区水务局、区农 业局、区国资委、区 市场监督管理局、区 质监局、区安全监管 局、区食品药品监督 管理局、区城乡规划 局、广东电网公司肇 庆高要供电局等分别 32 高要 区 33 高要 区 34 高要 区 35 高要 区 大湾 肇庆市高要区 92441283M 高要区大湾镇 大湾镇龙冲村 A4W09EN5 光信红木家具 委会龙冲村 L 厂 (陈友祥仓库 用地) E112°23′36. 家具制造 N23°03′8.82″ 23″ 业 大湾 肇庆市高要区 高要区大湾镇 4412836002 大湾镇大田村 国祥红木加工 85425 委会坑尾村 厂 (廖国祥厂) E112°23′15. 家具制造 N23°02′54.9″ 5″ 业 大湾 肇庆市高要区 高要区大湾镇 大湾镇开发区 4412836004 浩羽红木家具 (商业九) 18536 厂 (陈子焯商 铺) 家具制造 E112°23′25″ N23°02′45.5″ 业 大湾 92441283M 高要区大湾镇 肇庆市高要区 A4X3DEK9 联发红木家具 大湾镇开发区 L 厂 E112°23′49. 6″ N23°3′1.4″ 家具制造 业 2110 2110 2110 2110 木质家具 未能提供 排污许可 证 要求办理 相关证 照,引导 入园经营 2019.6.30 否 木质家具 未能提供 排污许可 证 要求办理 相关证 照,引导 入园经营 2019.6.30 否 木质家具 未能提供 排污许可 证 要求办理 相关证 照,引导 入园经营 2019.6.30 否 木质家具 未能提供 排污许可 证 要求办理 相关证 照,引导 入园经营 2019.6.30 否 区发展改革局、区经 济信息化局、区国土 资源局、区环境保护 局、区住房城乡建设 局、区水务局、区农 业局、区国资委、区 市场监督管理局、区 质监局、区安全监管 局、区食品药品监督 管理局、区城乡规划 局、广东电网公司肇 庆高要供电局等分别 区发展改革局、区经 济信息化局、区国土 资源局、区环境保护 局、区住房城乡建设 局、区水务局、区农 业局、区国资委、区 市场监督管理局、区 质监局、区安全监管 局、区食品药品监督 管理局、区城乡规划 局、广东电网公司肇 庆高要供电局等分别 区发展改革局、区经 济信息化局、区国土 资源局、区环境保护 局、区住房城乡建设 局、区水务局、区农 业局、区国资委、区 市场监督管理局、区 质监局、区安全监管 局、区食品药品监督 管理局、区城乡规划 局、广东电网公司肇 庆高要供电局等分别 区发展改革局、区经 济信息化局、区国土 资源局、区环境保护 局、区住房城乡建设 局、区水务局、区农 业局、区国资委、区 市场监督管理局、区 质监局、区安全监管 局、区食品药品监督 管理局、区城乡规划 局、广东电网公司肇 庆高要供电局等分别 36 高要 区 37 高要 区 38 高要 区 39 高要 区 大湾 肇庆市高要区 高要区大湾镇 4412836003 大湾镇龙冲第 名豪轩红木加 94203 八队(刘有友 工厂 宅) 大湾 肇庆市高要区 高要区大湾镇 92441283L1 大湾镇小塘管 家具制造 E112°23′2.0″ N23°03′5.6″ 南鸿红木工艺 5113801E 理区小塘村 业 厂 (冼国岩宅) 大湾 92441283M 高要区大湾镇 肇庆市高要区 A4WEP7U8 祥赞红木工艺 大湾镇槎航开 W 厂 发区 E112°22′44. N23°03′20.04 家具制造 90″ ″ 业 大湾 高要区大湾镇 肇庆市高要区 92441283L6 中福红木工艺 大湾镇龙冲村 1870280X 厂 委会 E112°23′43. N23°02′46.65 家具制造 77″ ″ 业 E112°23′55. N23°02′59.41 家具制造 27″ ″ 业 2110 2110 2110 2110 木质家具 未能提供 排污许可 证 要求办理 相关证 照,引导 入园经营 2019.6.30 否 木质家具 未能提供 排污许可 证 要求办理 相关证 照,引导 入园经营 2019.6.30 否 木质家具 未能提供 排污许可 证 要求办理 相关证 照,引导 入园经营 2019.6.30 否 木质家具 未能提供 排污许可 证 要求办理 相关证 照,引导 入园经营 2019.6.30 否 区发展改革局、区经 济信息化局、区国土 资源局、区环境保护 局、区住房城乡建设 局、区水务局、区农 业局、区国资委、区 市场监督管理局、区 质监局、区安全监管 局、区食品药品监督 管理局、区城乡规划 局、广东电网公司肇 庆高要供电局等分别 区发展改革局、区经 济信息化局、区国土 资源局、区环境保护 局、区住房城乡建设 局、区水务局、区农 业局、区国资委、区 市场监督管理局、区 质监局、区安全监管 局、区食品药品监督 管理局、区城乡规划 局、广东电网公司肇 庆高要供电局等分别 区发展改革局、区经 济信息化局、区国土 资源局、区环境保护 局、区住房城乡建设 局、区水务局、区农 业局、区国资委、区 市场监督管理局、区 质监局、区安全监管 局、区食品药品监督 管理局、区城乡规划 局、广东电网公司肇 庆高要供电局等分别 区发展改革局、区经 济信息化局、区国土 资源局、区环境保护 局、区住房城乡建设 局、区水务局、区农 业局、区国资委、区 市场监督管理局、区 质监局、区安全监管 局、区食品药品监督 管理局、区城乡规划 局、广东电网公司肇 庆高要供电局等分别 40 高要 区 41 高要 区 42 高要 区 43 高要 区 大湾 肇庆市高要区 高要区大湾镇 大湾镇高熊圩 92441283M 晨星红木加工 地村(罗日强 A4XR2584H 厂 宅)首层【住 改商】 E112°23′5.6 家具制造 N23°03′4.75″ 3″ 业 大湾 高要区大湾镇 92441283L5 肇庆市高要区 富文红木工艺 6788952L 大湾镇佛仔村 厂 E112°24′7.2 N23°02′46.70 家具制造 4″ ″ 业 大湾 高要市大湾镇 高要区大湾镇 4412836003 龙冲冲里村6队 E112°23′16. N23°02′58.74 家具制造 广艺红木家具 57923 04″ ″ (土名:地 业 厂 脊) 大湾 肇庆市高要区 大湾镇环镇大 92441283M 高要区大湾镇 道旁土名“汪口” E112°23′25. 家具制造 A4WF4RX8 锦龙会红木家 (肇庆市高要 N23°02′44.9″ 8″ 业 K 具厂 区大湾镇龙冲 村第八经济合 作社商铺) 2110 2110 2110 2110 木质家具 未能提供 排污许可 证 要求办理 相关证 照,引导 入园经营 2019.6.30 否 木质家具 未能提供 排污许可 证 要求办理 相关证 照,引导 入园经营 2019.6.30 否 木质家具 未能提供 排污许可 证 要求办理 相关证 照,引导 入园经营 2019.6.30 否 木质家具 未能提供 排污许可 证 要求办理 相关证 照,引导 入园经营 2019.6.30 否 区发展改革局、区经 济信息化局、区国土 资源局、区环境保护 局、区住房城乡建设 局、区水务局、区农 业局、区国资委、区 市场监督管理局、区 质监局、区安全监管 局、区食品药品监督 管理局、区城乡规划 局、广东电网公司肇 庆高要供电局等分别 区发展改革局、区经 济信息化局、区国土 资源局、区环境保护 局、区住房城乡建设 局、区水务局、区农 业局、区国资委、区 市场监督管理局、区 质监局、区安全监管 局、区食品药品监督 管理局、区城乡规划 局、广东电网公司肇 庆高要供电局等分别 区发展改革局、区经 济信息化局、区国土 资源局、区环境保护 局、区住房城乡建设 局、区水务局、区农 业局、区国资委、区 市场监督管理局、区 质监局、区安全监管 局、区食品药品监督 管理局、区城乡规划 局、广东电网公司肇 庆高要供电局等分别 区发展改革局、区经 济信息化局、区国土 资源局、区环境保护 局、区住房城乡建设 局、区水务局、区农 业局、区国资委、区 市场监督管理局、区 质监局、区安全监管 局、区食品药品监督 管理局、区城乡规划 局、广东电网公司肇 庆高要供电局等分别 44 高要 区 45 高要 区 46 高要 区 47 高要 区 大湾 肇庆市高要区 高要区大湾锦 大湾镇开发区 92441283L5 艺红木工艺厂 (张健强宅首 4957601M 层) E112°23′59. N23°02′50.25 家具制造 75″ ″ 业 大湾 肇庆市高要区 高要区大湾镇 4412836004 大湾镇环镇路 炬丰红木家具 03442 (陈家永商 厂 铺) E112°23′34. 家具制造 N23°02′42.9″ 6″ 业 大湾 92441283M 高要区大湾镇 肇庆市高要区 A4X3DEK9 联发红木家具 大湾镇开发区 L 厂 E112°23′48. 家具制造 N23°03′3.39″ 66″ 业 大湾 肇庆市高要区 4412836004 高要区大湾镇 大湾镇开发区 家具制造 E112°23′3.4″ N23°02′47.5″ 00866 联艺红木厂 商业七(陈子 业 焯商铺) 2110 2110 2110 2110 木质家具 未能提供 排污许可 证 要求办理 相关证 照,引导 入园经营 2019.6.30 否 木质家具 未能提供 排污许可 证 要求办理 相关证 照,引导 入园经营 2019.6.30 否 木质家具 未能提供 排污许可 证 要求办理 相关证 照,引导 入园经营 2019.6.30 否 木质家具 未能提供 排污许可 证 要求办理 相关证 照,引导 入园经营 2019.6.30 否 区发展改革局、区经 济信息化局、区国土 资源局、区环境保护 局、区住房城乡建设 局、区水务局、区农 业局、区国资委、区 市场监督管理局、区 质监局、区安全监管 局、区食品药品监督 管理局、区城乡规划 局、广东电网公司肇 庆高要供电局等分别 区发展改革局、区经 济信息化局、区国土 资源局、区环境保护 局、区住房城乡建设 局、区水务局、区农 业局、区国资委、区 市场监督管理局、区 质监局、区安全监管 局、区食品药品监督 管理局、区城乡规划 局、广东电网公司肇 庆高要供电局等分别 区发展改革局、区经 济信息化局、区国土 资源局、区环境保护 局、区住房城乡建设 局、区水务局、区农 业局、区国资委、区 市场监督管理局、区 质监局、区安全监管 局、区食品药品监督 管理局、区城乡规划 局、广东电网公司肇 庆高要供电局等分别 区发展改革局、区经 济信息化局、区国土 资源局、区环境保护 局、区住房城乡建设 局、区水务局、区农 业局、区国资委、区 市场监督管理局、区 质监局、区安全监管 局、区食品药品监督 管理局、区城乡规划 局、广东电网公司肇 庆高要供电局等分别 48 高要 区 49 高要 区 50 高要 区 51 高要 区 大湾 肇庆市高要区 高要区大湾南 92441283L3 大湾镇第三期 昌红木家具工 9543064Y 开发区(余家 艺厂 好厂房) E112°23′4.3 家具制造 N23°03′5.90″ 2″ 业 大湾 高要区大湾镇 92441283X1 肇庆市高要区 南通红木工艺 7810771Y 大湾镇环镇路 厂 E112°23′51. N23°02′48.82 家具制造 27″ ″ 业 大湾 高要区大湾镇 92441283M 肇庆市高要区 下南红木工艺 A4W37B41 大湾镇开发区 厂 D E112°23′48. 家具制造 N23°03′1.80″ 20″ 业 大湾 肇庆市高要区 92441283L2 高要区大湾祥 大湾镇第一期 2402716H 鸿红木工艺厂 开发区(第一 街坊) E112°23′49. 8″ 家具制造 N23°02′48″ 业 2110 2110 2110 2110 木质家具 未能提供 排污许可 证 要求办理 相关证 照,引导 入园经营 2019.6.30 否 木质家具 未能提供 排污许可 证 要求办理 相关证 照,引导 入园经营 2019.6.30 否 木质家具 未能提供 排污许可 证 要求办理 相关证 照,引导 入园经营 2019.6.30 否 木质家具 未能提供 排污许可 证 要求办理 相关证 照,引导 入园经营 2019.6.30 否 区发展改革局、区经 济信息化局、区国土 资源局、区环境保护 局、区住房城乡建设 局、区水务局、区农 业局、区国资委、区 市场监督管理局、区 质监局、区安全监管 局、区食品药品监督 管理局、区城乡规划 局、广东电网公司肇 庆高要供电局等分别 区发展改革局、区经 济信息化局、区国土 资源局、区环境保护 局、区住房城乡建设 局、区水务局、区农 业局、区国资委、区 市场监督管理局、区 质监局、区安全监管 局、区食品药品监督 管理局、区城乡规划 局、广东电网公司肇 庆高要供电局等分别 区发展改革局、区经 济信息化局、区国土 资源局、区环境保护 局、区住房城乡建设 局、区水务局、区农 业局、区国资委、区 市场监督管理局、区 质监局、区安全监管 局、区食品药品监督 管理局、区城乡规划 局、广东电网公司肇 庆高要供电局等分别 区发展改革局、区经 济信息化局、区国土 资源局、区环境保护 局、区住房城乡建设 局、区水务局、区农 业局、区国资委、区 市场监督管理局、区 质监局、区安全监管 局、区食品药品监督 管理局、区城乡规划 局、广东电网公司肇 庆高要供电局等分别 52 高要 区 53 高要 区 54 高要 区 55 高要 区 大湾 肇庆市高要区 92441283M 高要区大湾镇 大湾镇二期开 A4W05RF1J 祥艺红木厂 发区 E112°23′33. N23°02′43.22 家具制造 44″ ″ 业 大湾 肇庆市高要区 4412836002 高要区新宏达 大湾镇新开发 01907 红木厂 区 E112°23′51. N23°02′47.86 家具制造 52″ ″ 业 大湾 4412836003 高要区大湾镇 83507 扬艺红木厂 肇庆市高要区 大湾镇龙冲村 委会冲里村 (李家杏宅首 层) E112°23′33. 家具制造 23°03′12.13″ 35″ 业 大湾 肇庆市高要区 高要区大湾镇 大湾镇二期开 92441283L6 艺龙红木厂 发区二区(陈 0215698E 国楚宅) E112°23′31. N23°02′42.82 家具制造 38″ ″ 业 2110 2110 2110 2110 木质家具 未能提供 排污许可 证 要求办理 相关证 照,引导 入园经营 2019.6.30 否 木质家具 未能提供 排污许可 证 要求办理 相关证 照,引导 入园经营 2019.6.30 否 木质家具 未能提供 排污许可 证 要求办理 相关证 照,引导 入园经营 2019.6.30 否 木质家具 未能提供 排污许可 证 要求办理 相关证 照,引导 入园经营 2019.6.30 否 区发展改革局、区经 济信息化局、区国土 资源局、区环境保护 局、区住房城乡建设 局、区水务局、区农 业局、区国资委、区 市场监督管理局、区 质监局、区安全监管 局、区食品药品监督 管理局、区城乡规划 局、广东电网公司肇 庆高要供电局等分别 区发展改革局、区经 济信息化局、区国土 资源局、区环境保护 局、区住房城乡建设 局、区水务局、区农 业局、区国资委、区 市场监督管理局、区 质监局、区安全监管 局、区食品药品监督 管理局、区城乡规划 局、广东电网公司肇 庆高要供电局等分别 区发展改革局、区经 济信息化局、区国土 资源局、区环境保护 局、区住房城乡建设 局、区水务局、区农 业局、区国资委、区 市场监督管理局、区 质监局、区安全监管 局、区食品药品监督 管理局、区城乡规划 局、广东电网公司肇 庆高要供电局等分别 区发展改革局、区经 济信息化局、区国土 资源局、区环境保护 局、区住房城乡建设 局、区水务局、区农 业局、区国资委、区 市场监督管理局、区 质监局、区安全监管 局、区食品药品监督 管理局、区城乡规划 局、广东电网公司肇 庆高要供电局等分别 56 57 高要 区 高要 区 58 高要 区 59 高要 区 大湾 肇庆市高要区 高要区大湾镇 大湾镇龙冲下 92441283L8 张三红木厂 岸村11队(张 2053634P 玉彩宅) E112°23′48. 家具制造 N23°03′2.73″ 93″ 业 大湾 肇庆市高要区 92441283M 大湾镇二期开 高要区大湾镇 A4W85NW9 发区二区环镇 中艺红木厂 M 路(梁坤成厂 房) E112°23′49. N23°02′48.31 家具制造 20″ ″ 业 大湾 肇庆市高要区 高要区大湾镇 大湾镇龙冲村 92441283M E112°23′49. 家具制造 N23°03′1.4″ 紫檀宫红木家 委会下岸村11 A4WM5LB0 6″ 业 队126号(梁建 具厂 H 滔宅首层) 大湾 92441283M 高要区富发工 肇庆市高要区 A50PARG2 艺厂 大湾镇豆头街 T E112°23′59. N23°02′58.19 家具制造 33″ ″ 业 2110 2110 2110 2110 木质家具 未能提供 排污许可 证 要求办理 相关证 照,引导 入园经营 2019.6.30 否 木质家具 未能提供 排污许可 证 要求办理 相关证 照,引导 入园经营 2019.6.30 否 木质家具 未能提供 排污许可 证 要求办理 相关证 照,引导 入园经营 2019.6.30 否 木质家具 未能提供 排污许可 证 要求办理 相关证 照,引导 入园经营 2019.6.30 否 区发展改革局、区经 济信息化局、区国土 资源局、区环境保护 局、区住房城乡建设 局、区水务局、区农 业局、区国资委、区 市场监督管理局、区 质监局、区安全监管 局、区食品药品监督 管理局、区城乡规划 局、广东电网公司肇 庆高要供电局等分别 区发展改革局、区经 济信息化局、区国土 资源局、区环境保护 局、区住房城乡建设 局、区水务局、区农 业局、区国资委、区 市场监督管理局、区 质监局、区安全监管 局、区食品药品监督 管理局、区城乡规划 局、广东电网公司肇 庆高要供电局等分别 区发展改革局、区经 济信息化局、区国土 资源局、区环境保护 局、区住房城乡建设 局、区水务局、区农 业局、区国资委、区 市场监督管理局、区 质监局、区安全监管 局、区食品药品监督 管理局、区城乡规划 局、广东电网公司肇 庆高要供电局等分别 区发展改革局、区经 济信息化局、区国土 资源局、区环境保护 局、区住房城乡建设 局、区水务局、区农 业局、区国资委、区 市场监督管理局、区 质监局、区安全监管 局、区食品药品监督 管理局、区城乡规划 局、广东电网公司肇 庆高要供电局等分别 肇庆市高要区 92441283M 高要区大湾镇 大湾镇小塘槎 A4WM9PA9 祥源木业制品 航村口东侧 A 厂 (梁艺英厂房 第三卡) E112°22′46. N23°03′19.74 家具制造 10″ ″ 业 2110 112.39.39 木质家具 未能提供 排污许可 证 要求办理 相关证 照,引导 入园经营 区发展改革局、区经 济信息化局、区国土 资源局、区环境保护 局、区住房城乡建设 局、区水务局、区农 业局、区国资委、区 市场监督管理局、区 质监局、区安全监管 局、区食品药品监督 管理局、区城乡规划 局、广东电网公司肇 庆高要供电局等分别 区发展改革局、区经 济信息化局、区国土 资源局、区环境保护 局、区住房城乡建设 局、区水务局、区农 业局、区国资委、区 市场监督管理局、区 质监局、区安全监管 局、区食品药品监督 管理局、区城乡规划 局、广东电网公司肇 庆高要供电局等分别 区发展改革局、区经 济信息化局、区国土 资源局、区环境保护 局、区住房城乡建设 局、区水务局、区农 业局、区国资委、区 市场监督管理局、区 质监局、区安全监管 局、区食品药品监督 管理局、区城乡规划 局、广东电网公司肇 庆高要供电局等分别 区发展改革局、区经 济信息化局、区国土 资源局、区环境保护 局、区住房城乡建设 局、区水务局、区农 业局、区国资委、区 市场监督管理局、区 质监局、区安全监管 局、区食品药品监督 管理局、区城乡规划 局、广东电网公司肇 庆高要供电局等分别 60 高要 区 61 高要 蚬岗镇 区 饲料加工 1080 占地面积 3100平方 米 饲料 生物质 饲料 未能提供 相关证照 已整改完 成 62 肇庆市高要区 92441283M 高要区新桥镇 新桥镇324线国 22°57′42.63″ 112°24′28.84 高要 新桥镇 A4XDC8X9 龙发钢制家具 办公用品 ″ 区 道边湾边大沙 3 厂 工业园 2130 规模以下 钢材 / 钢制文件 柜 无办理相 关环保手 续 办理环评 2019.5.30 否 63 木材加工 和木、竹 4412836001 高要区新桥镇 高要区新桥镇 高要 22°56′53.63″ 112°23′50.08 、藤、棕 新桥镇 80645 区 永华音箱厂 田螺村 、草制品 业 3984 规模以下 木板 / 音箱 无办理相 关环保手 续 搬迁 2019.5.30 否 整合搬迁 43830 否 广宁县南街镇人民政 府 64 65 66 大湾 肇庆市高要区 隆达饲料有限 公司 广东省广宁 县船用水泵 91441223632 广宁 南街镇 843671C 制造有限公 司 肇庆市大旺 91441200744 高新 荔园街 世纪金属实 494509B 区 业有限公司 肇庆市大旺 44120040000 高新 景泰路 东凌皮具有 9521 区 限公司 蚬岗工业园 23.3.42 2019.6.30 否 是 112°26′17.38 23°38′16. 金属工具 新宁北路63号 ″ 04″ 制造 3429 规上企业 废铁 炭 水泵铸件 企业反映 市场行情 不好,考 虑是否关 肇庆高新区大 旺园区荔园街 五号 112°48′14″ 23°18′10″ C3351 小型 金属配 件 电 门窗把手 、五金件 无 搬迁 43435 是 肇庆高新区环保局 ######### 肇庆市大旺区 工业小区 112°48′58″ 23°17′28″ C1922 小型 皮革 电 背包 无 搬迁 43436 是 肇庆高新区环保局 ######### 建筑、家 具用金属 配件制造 皮箱、包 (袋)制 造 67 68 69 70 71 72 73 74 肇庆市大旺 高新 东姿美丽容 73144044800 建设路 区 产品有限公 司 肇庆市天福 高新 兴园街 金属实业有 区 限公司 高新 文德四 肇庆天霖纸 区 街 业有限公司 肇庆市标新 高新 迎宾大 自粘胶贴产 区 道 品有限公司 肇庆大旺世 高新 迎宾大 华电子有限 区 道 公司 91441200744 47708XB 91441200698 198468M 91441200698 198468M 91441200617 842080H 肇庆始兴旺 91441200791 高新 迎宾大 反光材料有 1791653 区 道 限公司 肇庆大旺凯 91441200728 高新 迎宾大 量塑胶工艺 749161U 区 道 有限公司 肇庆市大旺 91441200732 高新 文德七 宏大织带有 158188H 区 街 限公司 广东肇庆市大 旺经济开发区 112°51′42″ 23°28′43″ 化妆品制 造 肇庆高新区大 其他未列 112°48′3″ 23°17′32″ 明金属制 旺园区兴园街 南 品制造 肇庆市大旺高 加工纸制 112°48′27″ 23°15′56″ 新区文德四街 造 北面 肇庆市高新区 纸制品制 112°48′32.51 23°17′33.97″ 城区迎宾大道 造 ″ 电子元件 肇庆市高新区 112°48′38.72 23°17′39.41″ 及组件制 城区迎宾大道 ″ 造 交通安全 肇庆市大旺经 112°48′19.09 、管制及 23°15′35.01″ 济开发区沙沥 ″ 类似专用 工业园南面 设备制造 肇庆高新技术 112°48′21.57 其他塑料 23°15′40.81″ 产业开发区华 ″ 制品制造 盛工业园 纺织带和 肇庆市大旺丰 112°48′31.66 23°15′55.82″ 帘子布制 ″ 盈工业园 造 75 肇庆市雄业 91441200748 高新 迎宾大 金属制品有 015093D 区 道 限公司 76 肇庆大旺颖 91441200746 高新 迎宾大 泰皮包厂有 278658P 区 道 限公司 77 肇庆市桌艺 91441200073 高新 创业路 家具有限公 452681K 区 司 肇庆市高新技 术产业开发区 112°48′23.12 皮包制造 23°16′19.25″ ″ 丰盈工业园6 业 号 肇庆大旺高新 112°48′38.96 木制家具 区创业路9号 23°16′49.09″ ″ 制造 (柏力车辆配 78 肇庆冠飞精 91441200791 高新 工业大 密铸造有限 1868080 区 街 公司 肇庆高新技术 产业开发区临 江工业园 79 奥斯玛电梯 91441200781 高新 工业大 股份有限公 164306D 区 街 司 三、拟升级改造类企业 肇庆市泰华 端州 1 睦岗 再生塑料有 区 限公司 肇庆市富迪 端州 2 睦岗 化纤原料有 区 限公司 / / 肇庆市大旺丰 112°48′23.01 23°16′17.59″ 五金加工 ″ 盈工业园 肇庆高新区工 业大街25号 112°5′50″ 112°5′60″ C2682 小型 化工原 料 电 塑胶原料 、化妆品 、 包装容 器 、 手袋 辅料 、 模 具 C3399 小型 金属配 件 电 五金配件 无 搬迁 43438 是 肇庆高新区环保局 ######### C2223 小型 原纸 电 加工纸 无 搬迁 43439 是 肇庆高新区环保局 ######### C223 小型 离型纸 电 PVC自粘 胶纸 无 搬迁 43440 是 肇庆高新区环保局 ######### C3971 小型 元器件 电 电解电容 器及各类 电子元件 无 搬迁 43441 是 肇庆高新区环保局 ######### C3596 小型 PVC片 电 反光材料 无 搬迁 43442 是 肇庆高新区环保局 ######### C2929 小型 塑料 电 塑料花 无 搬迁 43443 是 肇庆高新区环保局 ######### C1783 小型 布料 电 布料织带 无 搬迁 43444 是 肇庆高新区环保局 ######### 电 各类五金 件 无 搬迁 43445 是 肇庆高新区环保局 ######### 电 各类皮包 无 搬迁 43446 是 肇庆高新区环保局 ######### 电、轻 质柴油 家具 无 搬迁 43447 是 肇庆高新区环保局 ######### 电 机械零配 件、装饰 零配件、 五金件 无 搬迁 43448 是 肇庆高新区环保局 ######### 电 电梯 无 搬迁 43449 是 肇庆高新区环保局 ######### 否 经信局 否 环保局 C3311 小型 C1922 小型 C2110 小型 镍、铬 、金、 银、铜 、锌、 铁、铝 棉布、 人造革 、麻布 、尼龙 木板、 铝型材 、钢板 不锈钢 、氟塞 蜡、耐 火材料 、浓硫 无 搬迁 43437 是 肇庆高新区环保局 ######### 23°20′5″ 建筑机械 制造业 23°17′4″ 电梯、 自动扶 梯及升 C3435 降机制 造 小型 板材、 不锈钢 板、电 机 加工 3082 小规模 塑胶 / 塑胶再生 品 废气、噪 声 加工 1772 小规模 纤化 / 纤化品 废水 肇庆市端州区 东经 北纬 22区太和路东 112.4337617 23.07220269 、羚羊粉末集 604 27 团南 东经 北纬 肇庆市太和路 112.433201 23.07253269 西俊富工业园 27 7604 C2824 小型 改进处理 2018年11月 设备,加 前 强监管 改进处理 2018年11月 设备,加 前 强监管 3 端州 区 睦岗 肇庆市端州 区东华洗涤 服务部 / 4 端州 区 睦岗 端州区全泰 银金加工部 / 5 端州 区 睦岗 6 端州 区 睦岗 7 端州 区 睦岗 8 端州 区 睦岗 肇庆市东航 汽车维修服 务有限公司 / 9 端州 区 睦岗 肇庆市万顺 汽车贸易有 限公司 / 10 端州 区 睦岗 端州区闪亮 汽车喷漆部 / 11 端州 区 睦岗 端州区益通 汽车维修中 心 / 12 端州 区 睦岗 端州区信联 汽车维修部 / 13 端州 区 睦岗 14 端州 区 睦岗 15 端州 区 睦岗 端州区华顺 汽车维修服 务中心 / 16 端州 区 睦岗 端州区美捷 特汽车维修 经营部 / 17 端州 区 睦岗 端州区永誉 汽车电气维 修厂 / 肇庆市智联 广告材料公 司 肇庆市富益 塑胶制品有 限公司 肇庆市德荣 再生资源有 限公司 端州区文雄 汽车喷漆维 修厂 端州区宝捷 汽车维修中 心 / / / / / 东经 北纬 肇庆市端州区 纺织路边(土 112.4941246 23.06023450 03 032 名)朗路场地 东经 北纬 端州七路火车 112.4254751 23.03625175 桥往西 08 104 东经 北纬 端州七路北下 112.435215 23.05967939 三村南段 77 1115 东经 北纬 端州八路西侧 112.4254751 23.03625175 棠美村 08 106 东经 北纬 端州西郊兰龙 村蛇尾石场路 E112°26′40. N23°08′20.07 ″ 97″ 厂房 肇庆市端州区 过境公路北侧 东经 (现时新涵洞 E112°27′5.8 北纬 西侧、土名“塱 9″ N23°05′4.42″ 心”)的润鑫汽 车有限公司西 侧汽车维修车 东经 肇庆市过境公 北纬 路北侧(加油 E112°27′2.4 N23°05′3.82″ 0″ 站)西侧 肇庆市端州区 东经 北纬 玑东路西侧肇 庆英华机电工 E112°26′1.0 N23°04′42.44 9″ ″ 业有限公司商 铺第西1-5卡 肇庆市端州区 东经 北纬 睦岗镇太和南 E112°25′19. N23°03′43.92 路西侧 60″ ″ (20区)睦岗 肇庆市端州区 东经 北纬 睦岗街道三村 E112°25′25. N23°03′43.99 卫村、太和南 82″ ″ 路东侧 东经 北纬 端州区头村商 E112°25′36. N23°03′49.17 贸城东侧 08″ ″ 东经 北纬 端州区头村商 E112°25′41. N23°03′54.20 贸城北侧 02″ ″ 肇庆市端州区 东经 北纬 24区端州七路 E112°25′41. N23°03′54.50 北侧(土名: 12″ ″ 肚排南)厂房 第6卡 肇庆市端州区 东经 (19区)太和 E112°25′26. 北纬 路西侧科威 18″ N23°04′3.99″ (肇庆)半导 体有限公司厂 肇庆市端州区 东经 风华路南侧、 北纬 E112°25′34. 太和路东侧24 N23°04′5.45″ 74″ 区三角仔商铺 第10卡 洗涤 8230 小规模 水 / 洗涤品 废水 加工 4212 小规模 金属 / 金属合成 品 固体废物 装潢 4900 小规模 塑纸 / 广告制成 品 固体废物 加工 3082 小规模 塑料 / 塑胶合成 品 废气 加工 4310 小规模 / / 再生资源 废气 汽修 3726 小规模 油漆 / 汽车外漆 废气、噪 声 汽修 3726 小规模 油漆 / 汽车外漆 汽修 3726 小规模 油漆 / 汽修 3726 小规模 油漆 汽修 3726 小规模 汽修 3726 汽修 改进处理 2018年11月 设备,加 前 强监管 改进处理 2018年10月 设备,加 20日前 强监管 改进处理 2018年10月 设备,加 15日前 强监管 改进处理 2018年11 设备,加 月前 强监管 改进处理 2018年11 设备,加 月前 强监管 否 环保局 否 环保局 否 环保局 否 经信局 否 环保局 改进处理 2018年11月 设备,加 15日前 强监管 否 交通局 废气、噪 声 改进处理 2018年11月 设备,加 16日前 强监管 否 交通局 汽车外漆 废气、噪 声 改进处理 2018年11月 设备,加 17日前 强监管 否 交通局 / 汽车外漆 废气、噪 声 改进处理 2018年11月 设备,加 18日前 强监管 否 交通局 油漆 / 汽车外漆 废气、噪 声 改进处理 2018年11月 设备,加 19日前 强监管 否 交通局 小规模 油漆 / 汽车外漆 废气、噪 声 否 交通局 3726 小规模 油漆 / 汽车外漆 废气、噪 声 否 交通局 汽修 3726 小规模 油漆 / 汽车外漆 废气、噪 声 改进处理 2018年11月 设备,加 22日前 强监管 否 交通局 汽修 3726 小规模 油漆 / 汽车外漆 废气、噪 声 改进处理 2018年11月 设备,加 23日前 强监管 否 交通局 汽修 3726 小规模 油漆 / 汽车外漆 废气、噪 声 改进处理 2018年11月 设备,加 24日前 强监管 否 交通局 改进处理 2018年11月 设备,加 20日前 强监管 改进处理 2018年11月 设备,加 21日前 强监管 18 端州 区 睦岗 端州区同创 汽车维修厂 / 19 端州 区 睦岗 端州区图色 汽车养护中 心 / 20 端州 区 睦岗 权威汽修厂 / 21 端州 区 睦岗 端州区文聪 汽车供油系 统维修部 / 22 端州 区 睦岗 端州区六六 八汽修厂 / 23 端州 区 睦岗 端州区奋达 汽车喷漆店 / 24 端州 区 睦岗 迅捷汽修厂 / 25 端州 区 睦岗 嘉顺汽修厂 / 26 端州 区 睦岗 端州区安驰 汽车维修厂 / 27 端州 区 睦岗 端州区达安 汽车修理厂 / 28 端州 区 睦岗 端州区福克 斯供油系统 维修厂 / 29 端州 区 睦岗 端州区宝驰 汽车喷漆维 修部 / 肇庆市端州区 (24区)太和 东经 北纬 北路东侧格布 E112°25′39. N23°04′3.11″ 工业区东北角 94″ 区域东起第一 幢厂房第一卡 肇庆市端州区 (24区)太和 东经 北路东侧格布 北纬 E112°25′39. N23°04′3.34″ 工业区有东北 43″ 角区域东起第 二幢北起第一 肇庆市端州区 东经 智慧路格布工 北纬 E112°25′30. N23°04′2.70″ 业区东北区城 86″ 东起第一幢厂 肇庆市端州区 东经 北纬 七路与睦洲路 E112°24′35. N23°04′24.12 交汇处西南角 57″ ″ (10区)26至27 肇庆市端州八 卡 路西侧6区棠美 东经 北纬 村“圣堂前”工业 E112°24′34. N23°04′28.01 49″ ″ 区内厂房第二 排由南向北第 肇庆市端州区 东经 北纬 睦岗镇肇庆蓝 带啤酒厂南侧 E112°24′20. N23°04′48.41 81″ ″ 商铺由东向西 数起第4、5卡 肇庆市端州区 东经 北纬 睦岗镇肇庆蓝 E112°24′19. N23°04′48.95 带啤酒厂南侧 62″ ″ 商铺由东向西 东经 北纬 肇庆市端州区 E112°24′40. N23°04′41.68 嘉湖物流园内 22″ ″ 肇庆市端州区 过境公路北侧 (即原中国城 东经 北纬 西侧约200米) E112°24′50. N23°04′39.75 89″ ″ 综合楼一楼北 侧部分面积及 综合楼北侧铁 肇庆市过境公 东经 北纬 路南侧(肇庆 E112°24′51. N23°04′38.09 化学纤维厂对 09″ ″ 面)东侧第五 东经 北纬 肇庆市端州区 睦岗镇外坑村 E112°25′39. N23°04′39.76 90″ ″ 南边 肇庆市端州区 东经 北纬 站前西路南侧 E112°26′20. N23°04′52.73 理工学校大门 62″ ″ 口西侧厂房第 汽修 3726 小规模 油漆 / 汽车外漆 废气、噪 声 改进处理 2018年11月 设备,加 25日前 强监管 否 交通局 汽修 3726 小规模 油漆 / 汽车外漆 废气、噪 声 改进处理 2018年11月 设备,加 26日前 强监管 否 交通局 汽修 3726 小规模 油漆 / 汽车外漆 废气、噪 声 改进处理 2018年11月 设备,加 27日前 强监管 否 交通局 汽修 3726 小规模 油漆 / 汽车外漆 废气、噪 声 改进处理 2018年11月 设备,加 28日前 强监管 否 交通局 汽修 3726 小规模 油漆 / 汽车外漆 废气、噪 声 改进处理 2018年11月 设备,加 29日前 强监管 否 交通局 汽修 3726 小规模 油漆 / 汽车外漆 废气、噪 声 改进处理 2018年11月 设备,加 30日前 强监管 否 交通局 汽修 3726 小规模 油漆 / 汽车外漆 废气、噪 声 改进处理 2018年12月 设备,加 1日前 强监管 否 交通局 汽修 3726 小规模 油漆 / 汽车外漆 废气、噪 声 改进处理 2018年12月 设备,加 2日前 强监管 否 交通局 汽修 3726 小规模 油漆 / 汽车外漆 废气、噪 声 改进处理 2018年12月 设备,加 3日前 强监管 否 交通局 汽修 3726 小规模 油漆 / 汽车外漆 废气、噪 声 改进处理 2018年12月 设备,加 4日前 强监管 否 交通局 汽修 3726 小规模 油漆 / 汽车外漆 废气、噪 声 改进处理 2018年12月 设备,加 5日前 强监管 否 交通局 汽修 3726 小规模 油漆 / 汽车外漆 废气、噪 声 改进处理 2018年12月 设备,加 6日前 强监管 否 交通局 / 肇庆市端州区 玑东路西侧三 茂铁路以东 (水和田酒楼 北面,东山羊 东经 北纬 E112°30′47. N23°07′6.62″ 09″ 汽修 3726 小规模 油漆 / 汽车外漆 废气、噪 声 改进处理 2018年12月 设备,加 7日前 强监管 否 交通局 / 肇庆市西江北 路蕉园南岗湾 东经 北纬 E112°26′32. N23°04′47.35 24″ ″ 汽修 3726 小规模 油漆 / 汽车外漆 废气、噪 声 改进处理 2018年12月 设备,加 8日前 强监管 否 交通局 东经 北纬 E112°26′35. N23°04′39.25 90″ ″ 汽修 3726 小规模 油漆 / 汽车外漆 废气、噪 声 改进处理 2018年12月 设备,加 9日前 强监管 否 交通局 东经 北纬 E112°26′34. N23°04′19.07 70″ ″ 汽修 3726 小规模 油漆 / 汽车外漆 废气、噪 声 改进处理 2018年12月 设备,加 10日前 强监管 否 交通局 东经 北纬 E112°25′54. N23°03′46.91 27″ ″ 汽修 3726 小规模 油漆 / 汽车外漆 废气、噪 声 改进处理 2018年12月 设备,加 11日前 强监管 否 交通局 东经 北纬 E112°26′20. N23°03′43.60 77″ ″ 汽修 3726 小规模 油漆 / 汽车外漆 废气、噪 声 改进处理 2018年12月 设备,加 12日前 强监管 否 交通局 汽修 3726 小规模 油漆 / 汽车外漆 废气、噪 声 否 交通局 汽修 3726 小规模 油漆 / 汽车外漆 废气、噪 声 否 交通局 东经 北纬 E112°27′3.2 N23°05′2.99″ 0″ 汽修 3726 小规模 油漆 / 汽车外漆 废气、噪 声 改进处理 2018年12月 设备,加 15日前 强监管 否 交通局 东经 北纬 E112°25′32. N23°03′42.69 ″ 38″ 汽修 3726 小规模 油漆 / 汽车外漆 废气、噪 声 改进处理 2018年12月 设备,加 16日前 强监管 否 交通局 东经 北纬 E112°25′34. N23°04′5.45″ 74″ 汽修 3726 小规模 油漆 / 汽车外漆 废气、噪 声 改进处理 2018年12月 设备,加 17日前 强监管 否 交通局 东经 北纬 E112°25′35. N23°04′40.04 50″ ″ 汽修 3726 小规模 油漆 / 汽车外漆 废气、噪 声 改进处理 2018年12月 设备,加 18日前 强监管 否 交通局 东经 北纬 E112°26′10. N23°03′34.06 87″ ″ 汽修 3726 小规模 油漆 / 汽车外漆 废气、噪 声 改进处理 2018年12月 设备,加 19日前 强监管 否 交通局 东经 北纬 E112°25′42. N23°03′43.88 10″ ″ 汽修 3726 小规模 油漆 / 汽车外漆 废气、噪 声 改进处理 2018年12月 设备,加 20日前 强监管 否 交通局 30 端州 区 睦岗 端州区利达 通汽车修理 厂 31 端州 区 睦岗 肇庆市府机 关汽车维修 中心 32 端州 区 睦岗 端州区澳强 汽车喷漆厂 / 肇庆市端州区 40区西江北路 蕉园岗北侧商 铺第17卡 33 端州 区 睦岗 汽车喷漆供 油修理厂 / 肇庆市端州区 西江北路 34 端州 区 睦岗 端州区明盛 汽修厂 / 35 端州 区 睦岗 端州区成达 汽车维修行 / 36 端州 区 睦岗 端州区凯越 汽车养护服 务部 / 37 端州 区 睦岗 端州区劲亮 汽车修理厂 / 38 端州 区 睦岗 端州区晟骏 汽车维修服 务部 / 39 端州 区 睦岗 端州区建兴 汽车喷漆维 修部 / 40 端州 区 睦岗 肇庆市端州 区信成汽车 专项修配厂 / 41 端州 区 睦岗 端州区众成 供油喷油修 理厂 / 42 端州 区 睦岗 端州区恒达 汽车喷漆维 修厂 / 43 端州 区 睦岗 端州区众志 汽车喷漆修 理厂 / 肇庆市端州七 路岗边第一、 二股份合作经 济社岗咀厂房 肇庆市端州区 (24区)太和 北路东侧格布 工业区内第九 肇庆市端州区 太和北路东侧 格布村口第四 肇庆市端州区 玑东西路轻化 楼A幢第四卡 肇庆市端州区 过境公路北侧 (加油站)西 侧第二卡 肇庆市端州区 睦岗镇下三村 南路三村小学 北侧围墙外边 商铺第三卡 肇庆市端州区 24区端州七路 北侧(土名) 村前门口塘铺 位第4-8卡 肇庆市端州区 16区过境公路 北侧外坑三村 南边(端州区 福克斯供油系 统维护厂西 肇庆市端州区 24区端州七路 北侧厂房12卡 肇庆市端州七 路南头村三村 五金城西入口 左边厂房(木 东经 北纬 E112°25′29. N23°03′59.11 76″ ″ 东经 北纬 E112°26′1.7 N23°04′17.84 8″ ″ 改进处理 2018年12月 设备,加 13日前 强监管 改进处理 2018年12月 设备,加 14日前 强监管 44 45 46 47 48 端州区年丰 端州 城西街 汽车电气修 区 道 配行 肇庆市端州 端州 城西街 区鸿盛汽车 区 道 车身修理厂 端州区合盈 端州 城西街 汽车车身喷 区 道 漆专项修理 厂 端州区顺保 端州 城西街 沙板喷漆维 区 道 修部 肇庆市肇田 端州 城西街 汽车服务有 区 道 限公司城西 服务站 / / / / / 49 端州 城西街 端州区富诚 区 道 汽车维修部 / 50 端州区车道 端州 城西街 汽车喷漆供 区 道 油系统修理 厂 / 51 端州 城西街 端州区睿智 区 道 汽车维修部 / 52 端州 区 城东 肇庆市端州 区创新汽车 车身维修厂 / 53 端州 区 城东 端州区新概 念汽车车身 空调涂漆修 理厂 / 端州区圣威 廉汽车喷漆 修理厂 54 端州 区 城东 55 端州 区 城东 56 鼎湖 凤凰 57 鼎湖 凤凰 肇庆市端州区 东经 北纬 黄塘西路黄塘 E112°26′36. N23°03′34.19 花园第六十二 06″ ″ 至六十四卡商 东经 北纬 肇庆市端州区 梅庵岗尾路 F幢 E112°26′33. N23°03′10.28 13-17卡 17″ ″ 肇庆市端州区 东经 北纬 梅庵岗尾路 E112°26′33. N23°03′10.28 (端州七路货 17″ ″ 运站场)F幢 29-30卡 肇庆市端州区 东经 北纬 端州七路梅庵 E112°26′33. N23°03′10.28 岗尾路 C幢1317″ ″ 肇庆市端州区 东经 北纬 西江北路黄塘 E112°26′54. N23°03′47.20 路体育中心西 60″ ″ 北角第22-27卡 东经 北纬 肇庆市西江北 路怡景城10-11 E112°26′43. N23°03′31.64 69″ ″ 号铺位 肇庆市端州区 东经 北纬 西江北路西侧 E112°26′35. N23°04′19.24 怡景城第 14号 91″ ″ 商铺 肇庆市端州区 东经 绿荷路山水晴 北纬 天花苑 6、7、8 E112°26′51. N23°04′9.03″ 98″ 、9、10幢6号 楼023商铺 肇庆市端州区 东经 北纬 建设二路 11号 E112°29′22. N23°03′17.29 第一幢(办公 99″ ″ 楼)首层东侧 第6-9卡 东经 北纬 肇庆市端州三 路与二塔路口 E112°29′24. N23°03′40.49 05″ ″ 交汇处 汽修 3726 小规模 油漆 / 汽车外漆 废气、噪 声 改进处理 2018年12月 设备,加 20日前 强监管 否 交通局 汽修 3726 小规模 油漆 / 汽车外漆 废气、噪 声 改进处理 2018年12月 设备,加 20日前 强监管 否 交通局 汽修 3726 小规模 油漆 / 汽车外漆 废气、噪 声 改进处理 2018年12月 设备,加 20日前 强监管 否 交通局 汽修 3726 小规模 油漆 / 汽车外漆 废气、噪 声 改进处理 2018年12月 设备,加 20日前 强监管 否 交通局 汽修 3726 小规模 油漆 / 汽车外漆 废气、噪 声 改进处理 2018年12月 设备,加 20日前 强监管 否 交通局 汽修 3726 小规模 油漆 / 汽车外漆 废气、噪 声 改进处理 2018年12月 设备,加 20日前 强监管 否 交通局 汽修 3726 小规模 油漆 / 汽车外漆 废气、噪 声 改进处理 2018年12月 设备,加 27日前 强监管 否 交通局 汽修 3726 小规模 油漆 / 汽车外漆 废气、噪 声 改进处理 2018年12月 设备,加 20日前 强监管 否 交通局 汽修 3726 小规模 油漆 / 汽车外漆 废气、噪 声 改进处理 2018年12月 设备,加 20日前 强监管 否 交通局 汽修 3726 小规模 油漆 / 汽车外漆 废气、噪 声 改进处理 2018年12月 设备,加 20日前 强监管 否 交通局 3726 小规模 油漆 / 汽车外漆 废气、噪 声 改进处理 2018年12月 设备,加 20日前 强监管 否 交通局 3726 小规模 油漆 / 汽车外漆 废气、噪 声 改进处理 2018年12月 设备,加 20日前 强监管 否 交通局 3311 规下 金属制 品 电 五金品 环保手续 不完善 完善手续 2019.9 否 环保 2018.3.21 8219 规下 衣物 电 衣物 环保手续 不完善 完善手续 2019.9 否 环保 2017.7.25 肇庆市端州区 建设二路八号 东经 北纬 / 经济综合楼首 E112°29′26. N23°03′17.18 汽修 95″ ″ 层第十一卡商 铺及后面钢结 肇庆市端州三 东经 北纬 端州区智雄 路北侧翠雍华 E112°29′21. N23°03′46.22 / 汽车电气系 汽修 A 119 庭 幢 、 51″ ″ 统修理厂 120、121、 122卡 肇庆市鼎湖区 肇庆市鼎湖 结构性 凤凰镇新城西 区肇盟金属 91441203MA 1123432 23°11'55" 金属制品 高鹤村委会厂 制品有限公 4W9A384Q 房(鼎湖区凤 制造 司 凰工艺有限公 肇庆市 鼎湖区 鼎湖区心诚 92441203MA 凤凰镇南广铁 1123404 23°12'9" 清洁服务 4W56C89C 路南侧(旧平 洗涤中心 湖)1-5卡 肇庆市鼎湖 区四象贸易 有限公司 鼎湖区森辉 木制品厂 肇庆市鼎湖 区金圣庭工 艺厂 肇庆市鼎宴 餐具洗涤服 务有限公司 肇庆市鼎湖区 9.14412E+17 桂城321国道边 山田村 92441203MA 肇庆市鼎湖区 4X1F8YXY 凤凰镇凤凰大 道侧 肇庆市鼎湖区 92441203L43 桂城新城第十 5044551 区(鼎湖工业 广东省肇庆市 91441203325 鼎湖区新城北 031390Y 三区桂兰街4号 肇庆市鼎湖区 91441200MA 桂城新城六区1 4UM71QXL 号楼(柏丽斯 商务酒店后 肇庆市鼎湖区 91441203595 新城六区水坑 8521728 一工业区 肇庆市鼎湖区 44120360011 水坑二居委会 0739 德寿二队地堂 肇庆市鼎湖区 44120360004 广海公路东侧 7415 马家塱(市农 科所对面) 58 鼎湖 桂城 59 鼎湖 桂城 60 鼎湖 桂城 61 鼎湖 桂城 62 鼎湖 桂城 63 鼎湖 桂城 64 鼎湖 桂城 65 鼎湖 桂城 肇庆大富华 货架厂 66 鼎湖 桂城 肇庆市鼎湖 92441203X17 区南顺塑料 802026C 五金制品厂 肇庆宏磁科 91441203MA 技有限公司 4UUX7L1L 67 鼎湖 68 鼎湖 69 鼎湖 70 鼎湖 71 鼎湖 72 鼎湖 73 鼎湖 坑口 坑口 坑口 坑口 坑口 坑口 坑口 肇庆市金至 尊酒业有限 公司 肇庆市荣盛 五金有限公 司 鼎湖区和平 豆制品加工 厂 结构性 金属制品 制造 木质家 具制造 3311 规下 金属制 品 电 五金件 环保手续 不完善 完善手续 2019.9 否 环保 2017.11.6 2110 规下 木材 电 木制品 环保手续 不完善 完善手续 2019.9 否 环保 2017.12.7 木质家 具制造 2110 规下 木材 电 工艺品 环保手续 不完善 完善手续 2019.9 否 环保 2017.12.1 3 23°11'26" 清洁服务 8219 规下 木材 液化气 餐具 环保手续 不完善 完善手续 2019.9 否 环保 2018.9.4 1123417 23°11'22" 酒的制 造 1519 规下 桶装洋 酒 电 瓶装洋酒 环保手续 不完善 完善手续 2019.9 否 环保、食药监 2017.9.4 1123414 23°11'13" 结构性 金属制品 制造 3311 规下 金属 电 五金制品 环保手续 不完善 完善手续 2019.9 否 环保 2017.12.1 1123424 23°11'41" 豆制品制 造 1392 规下 豆 电、液 化气 豆制品 环保手续 不完善 完善手续 2019.9 否 环保、食药监 2017.11.6 1123414 231011 结构性 金属制品 制造 3311 规下 金属 电 货架 环保手续 不完善 完善手续 2019.9 否 环保 2017.12.1 肇庆市鼎湖区 桂城北三区 1123502 231125 塑料包装 箱及容器 制造 2926 规下 塑料粒 塑料管 塑料罐 环保手续 不完善 完善手续 2019.9 否 环保 2017.12.7 肇庆市鼎湖区 坑口苏村村口 南边(丰泰工 艺品厂内左侧 1123146 231215 有色金属 冶炼和压 延加工业 3140 规下 磁材 电 铁氧体磁 芯、磁环 环保手续 不完善 完善手续 2019.9 否 环保、安监、消防 1125303 230717 金属结构 制造 3311 规下 金属 电 五金制品 环保手续 不完善 完善手续 2019.9 否 环保、安监、消防 1123202 230714 雕塑工艺 品制造 2431 规下 石材 电 雕刻工艺 品 环保手续 不完善 完善手续 2019.9 否 环保、安监、消防 1123222 230812 棉印染精 加工 1713 规下 化学原 料 电 鞋材印花 环保手续 不完善 完善手续 2019.9 否 环保、安监、消防 1123222 230812 木质家 具制造 2110 规下 木材 电 家具 环保手续 不完善 完善手续 2019.9 否 环保、安监、消防 1123222 230811 木质家 具制造 2110 规下 金属/木 材 电 家具 环保手续 不完善 完善手续 2019.9 否 环保、安监、消防 1123434 230940 金属结构 制造 3311 规下 金属 电 机械 环保手续 不完善 完善手续 2019.9 否 环保、安监、消防 肇庆市鼎湖 区隆兴机械 91441203562 肇庆市鼎湖区 621087N 五金有限公 苏村村口南侧 司 肇庆市鼎湖区 肇庆市鼎湖 坑口苏村321国 区万福临紫 91441203MA 道东侧(上 袍玉石工艺 4WQNCR5B 坑)第四经济 雕刻有限公 合作社第1卡厂 司 肇庆市鼎湖区 苏村321国道旁 鼎湖区长远 92441203L42 新塘西北角石 鞋材印花加 642960U 俊钊厂房(大 工厂 德利端砚后 鼎湖区久尔 92441203L59 肇庆市鼎湖区 久家具装饰 1716596 苏村新塘 有限公司 肇庆市鼎湖区 鼎湖区桦森 92441203MA 坑口苏村新塘 不锈钢加工 4W3L3KX8 厂房(厂房 场 肇庆市鼎湖区 肇庆市鼎湖 91441203MA 坑口42区新园 区双辉机械 4UR2PM34 东街22号 有限公司 1123405 23°11'52" 1123428 23°11'58" 1123501 23°11'5" 1123502 2018.9 74 鼎湖 75 鼎湖 76 鼎湖 77 鼎湖 78 鼎湖 79 鼎湖 80 鼎湖 81 鼎湖 82 鼎湖 83 鼎湖 84 鼎湖 85 鼎湖 86 鼎湖 87 鼎湖 坑口 坑口 坑口 坑口 坑口 坑口 坑口 坑口 坑口 坑口 坑口 坑口 坑口 坑口 鼎湖区和兴 92441203MA 顺五金加工 4WQG244B 厂 鼎湖区光头 44120360011 华工艺品加 5487 工店 鼎湖区丰恒 92441203MA 塑胶工艺加 4WX1GU3R 工厂 鼎湖区联双 92441203L39 572770F 日用品厂 肇庆市鼎湖区 坑口新园东街 21号 (42区3小区 肇庆市鼎湖区 坑口49区二期 135、136号华 鼎二街(山水 居对面40米 肇庆市鼎湖区 坑口新城42区 404号(新园一 街南11号首 肇庆市鼎湖区 新城42区406号 之二、407号 (新园一街南9 号) 肇庆市鼎湖区 坑口罗隐大道 46区南侧 (憩庵对面) 肇庆市鼎湖 区金和力五 91441203551 73668X3 金电热有限 公司 肇庆市鼎湖 92441203MA 肇庆市鼎湖区 区伟琼服饰 4WNE5P3Y 坑口文昌街1号 加工场 肇庆市鼎湖区 祥兴五金加 坑口育龙北路 工厂 (鼎一饮用水 肇庆市鼎湖区 鼎湖区永兴 92441203MA 坑口新城39区 服装加工店 4WUJA88Y 明政街5号第1 卡 肇庆市鼎湖区 鼎湖区建好 92441203MA 坑口新园三街 五金加工店 51RQ7A1N 17号一楼大厅 肇庆市鼎湖区 坑口蕉园村鼎 鼎湖区仲记 92441203MA 湖火车站下 机械零件加 4W053M6F (土名:兵 工厂 房,和谐家园 肇庆市鼎湖区 鼎湖区新达 44120360011 新城42区434号 服装 9490 之一万福路12 加工店 肇庆市鼎湖区 号二楼 坑口新城63区 肇庆市鼎湖 91441203065 旧国道东侧 区鼎胜食品 194715R (曾自烈第二 有限公司 幢)(经营地 肇庆市鼎湖区 坑口工业村321 肇庆市立洋 国道北侧新国 91441203MA 不锈钢有限 泰(肇庆)化 4W6P7E39 公司 工机械制造有 限公司厂房首 层(富邦欧美 肇庆市鼎湖区 肇庆远东工 业电镀设备 91441283560 坑口鼎盛路冠 8455627 鼎水厂后面 科技有限公 (红岭第一经 司 1123433 230940 金属结构 制造 3311 规下 金属 电 五金制品 环保手续 不完善 完善手续 2019.9 否 环保、安监、消防 1123423 230930 金属结构 制造 3311 规下 金属 电 工艺品 环保手续 不完善 完善手续 2019.9 否 环保、安监、消防 1123433 230933 日用塑料 制品制造 2927 规下 塑料 电 工艺品 环保手续 不完善 完善手续 2019.9 否 环保、安监、消防 1123431 230936 金属结构 制造 3311 规下 金属 电 日用品 环保手续 不完善 完善手续 2019.9 否 环保、安监、消防 1123429 230915 金属结构 制造 3311 规下 金属 电、液 化气 五金制品 环保手续 不完善 完善手续 2019.9 否 环保、安监、消防 1123435 230848 其他机织 服装制造 1819 规下 衣物 电 服饰 环保手续 不完善 完善手续 2019.9 否 环保、安监、消防 1123408 230936 金属结构 制造 3311 规下 金属 电 五金制品 环保手续 不完善 完善手续 2019.9 否 环保、安监、消防 1123433 230952 其他机织 服装制造 1819 规下 衣物 电 服饰 环保手续 不完善 完善手续 2019.9 否 环保、安监、消防 1123431 230941 金属结构 制造 3311 规下 金属 电 五金制品 环保手续 不完善 完善手续 2019.9 否 环保、安监、消防 1123310 230903 金属结构 制造 3311 规下 金属 电 机械零件 环保手续 不完善 完善手续 2019.9 否 环保、安监、消防 1123433 230935 其他机织 服装制造 1819 规下 衣物 电 服饰 环保手续 不完善 完善手续 2019.9 否 环保、安监、消防 1123249 230925 豆制品制 造 1392 规下 食品 电 腐竹制品 环保手续 不完善 完善手续 2019.9 否 环保、安监、消防 1123449 230940 金属结构 制造 3311 规下 金属 电 不锈钢管 环保手续 不完善 完善手续 2019.9 否 环保、安监、消防 1123338 230857 金属表面 处理及热 处理加工 3360 规下 金属/塑 料 电 电镀设备 环保手续 不完善 完善手续 2019.9 否 环保、安监、消防 88 鼎湖 89 鼎湖 90 鼎湖 91 鼎湖 坑口 坑口 坑口 坑口 鼎湖区再丰 肇庆市鼎湖区 五金硅胶包 92441203MA 坑口蕉园旧321 装材料加工 4WRP5J6B 国道边 店 肇庆市鼎湖区 肇庆市华一 91441203594 坑口新城46区 电子有限公 003865X 司 罗隐大道厂房 肇庆市鼎湖区 肇庆市宏创 91441203MA 坑口苏村门口 兴电机配件 4UM0YK16 塱水圳以北 有限公司 (土名:乪 肇庆市鼎湖区 坑口新城六十 三区蕉园鼎盛 鼎湖区百美 92441203MA 路边(蕉园社 汇家具加工 4WNKPW4H 区居民委员会 厂 会斜对面约50 米处谢志成厂 肇庆市鼎湖区 广利镇新广路 金和力塑料 龙塘桥边33号 加工厂 一幢 肇庆市鼎湖区 92441203MA 鼎湖区金苹 新城四区8小区 4WPME765 果鞋厂 163号 肇庆市鼎湖区 鼎湖区益扬 92441203MA 广利创业路龙 包装材料加 4WEUP86Y 二商铺首层10 工经营部 肇庆市鼎湖区 肇庆市创润 91441203082 广利办事处统 印花有限公 621600 一路86 司 鼎湖区海风 家具加工店 92441203MA 鼎湖区广利街 (欧阳定 4WR0XU6N 道办 海) 肇庆市鼎湖区 广利花园路新 肇庆市裕美 91441200759 国泰(肇庆) 软管有限公 229150P 化工机械制造 司 有限公司第8、 2929 规下 塑料 电 塑料 环保手续 不完善 完善手续 2019.9 否 环保、安监、消防 3311 规下 金属 电 电线/五金 环保手续 不完善 完善手续 2019.9 否 环保、安监、消防 结构性 金属制品 制造 3311 规下 金属 电 电机配件 环保手续 不完善 完善手续 2019.9 否 环保、安监、消防 230858 木质家 具制造 2110 规下 木材 电 家具 环保手续 不完善 完善手续 2019.9 否 环保、安监、消防 1123612 231059 塑料零件 及其他塑 料制品制 造 2929 规下 塑料 电 塑料 环保手续 不完善 完善手续 2019.9 否 环保 1123631 231105 塑料鞋制 造 1953 规下 塑料 电 鞋 环保手续 不完善 完善手续 2019.9 否 环保 1123613 231057 泡沫塑料 制造 2924 规下 塑料 电 塑料制品 环保手续 不完善 完善手续 2019.9 否 环保 1123732 231112 印刷业和 记录媒介 的复制 2642 规下 薄膜、 油墨 电 薄膜 环保手续 不完善 完善手续 2019.9 否 环保 1123630 231058 木质家 具制造 2110 规下 木材 电 家具 环保手续 不完善 完善手续 2019.9 否 环保 1123715 231106 塑料家 具制造 2140 规下 塑料粒 电 塑料软管 环保手续 不完善 完善手续 2019.9 否 环保 4220 规下 废品 电 废品 消防隐患 大 整治提升 2019.9 否 消防、科工商、环保 4220 规下 废品 电 废品 消防隐患 大 整治提升 2019.9 否 消防、科工商、环保 4220 规下 废品 电 废品 消防隐患 大 整治提升 2019.9 否 消防、科工商、环保 2542 规下 木材 电、液 化气 生物质颗 粒燃料 环保手续 不完善 完善手续 2019.9 否 环保、安监 1123108 230849 1123444 230945 1123217 230809 1123340 92 鼎湖 广利 93 鼎湖 广利 94 鼎湖 广利 95 鼎湖 广利 96 鼎湖 广利 97 鼎湖 广利 98 鼎湖 莲花 廖超建废品 回收站 莲塘321国道边 112°42'11" 23°16'19" 99 鼎湖 莲花 张丽废品回 收站 莲塘大寨村边 112°42'12" 23°16'19" 100 鼎湖 莲花 李家庆废品 回收站 依坑321国道边 112°42'13" 23°16'19" 肇庆市鼎湖 91441203091 汇森能源有 7666000 限公司 肇庆市鼎湖区 莲花镇四莲公 路边新城民营 工业区第二工 业园东侧(即 原肇庆市正通 林化产品有限 1124122 231602 101 鼎湖 莲花 塑料零件 及其他塑 料制品制 造 结构性 金属制品 制造 非金属废 料和碎屑 加工处理 非金属废 料和碎屑 加工处理 非金属废 料和碎屑 加工处理 生物质燃 料加工 2018.5.22 2017.9.29 102 鼎湖 莲花 103 鼎湖 莲花 104 鼎湖 莲花 105 鼎湖 莲花 106 鼎湖 莲花 107 鼎湖 沙浦 108 鼎湖 沙浦 109 鼎湖 沙浦 110 鼎湖 沙浦 肇庆市鼎湖区 鼎湖区莲花 镇诚信玩具 4.41204E+14 莲花镇第十六 小区(谢佐田厂 厂 肇庆市鼎湖区 广东新福气 91441203MA 莲花镇321国道 模有限公司 4ULD3Q3E 侧布基村小学 肇庆市龙勤 肇庆市工商行 91441203MA 风机有限公 政管理局鼎湖 4UT7E16H 司 分局 肇庆市鼎湖区 肇庆市玛斯 91441203566 莲花镇第一工 特服饰制造 665773M 业园(世为服 有限公司 饰厂房A2) 肇庆市万威 91441200787 鼎湖区莲花镇 塑料制品抛 988373H 四莲公路侧 光车间 肇庆市鼎湖区 肇庆市新宝 91441203324 沙浦镇苏三村 金属制品有 94610X1 委会下古球村 限公司 (原古球小学 鼎湖区沙浦 44120360009 肇庆市鼎湖区 0394 镇佳期五金 沙浦镇同福路 L6612643-4 厂 肇庆市鼎湖区 鼎湖区裕联 44120360010 沙浦镇承前路 1272 五金加工厂 以北(何友霞 肇庆市鼎湖 44120360002 肇庆市鼎湖区 区沙浦镇焕 1779 沙浦镇同福路 发五金厂 规下 塑料 电 玩具 环保手续 不完善 完善手续 2019.9 否 环保 2461 规下 防水布 电 游乐场充 气设备 环保手续 不完善 完善手续 2019.9 否 环保 3311 规下 金属 电 风机 环保手续 不完善 完善手续 2019.9 否 环保 2018.8.9 服装制 造 1830 规上 纺织物 电 服饰 环保手续 不完善 完善手续 2019.9 否 环保 2017.9.13 231616 结构性 金属制品 制造 3311 规下 五金材 料 电 金属制品 环保手续 不完善 完善手续 2019.9 否 环保 1124018 230825 结构性 金属制品 制造 3311 规下 五金材 料 电 五金件 环保手续 不完善 完善手续 2019.9 否 环保、安监 112°41'00" 23°09'47" 3311 小型 五金材 料 电 五金件 环保手续 不完善 升级改造 2019.9 否 环保 112°40'54" 23°09'40" 3311 小型 五金材 料 电 五金件 环保手续 不完善 升级改造 2019.9 否 环保 112°41'02" 23°09'47" 3311 小型 五金材 料 电 五金件 环保手续 不完善 升级改造 2019.9 否 环保 231602 1123823 231430 1124058 231416 1124052 231539 1124124 日用塑料 制品制造 露天游乐 场所游乐 设备制造 结构性 金属制品 制造 结构性 金属制品 制造 结构性 金属制品 制造 结构性 金属制品 制造 肇庆市高要区 生产、铸 金渡镇大坑村 造、销 委土名鹤咀 112.6099327 23.03869332 售:机械 (平布工业 设备。 园) 3429 金属 电 机械设备 升级改造 43435 否 肇庆市高要区 金渡镇平布工 生产、加 92441283L6 高要区金渡镇 业园大坑村委 高要 工、销 112 112.6104987 23.03897232 金渡镇 0979030T 区 众红机械厂 会第12组李炳 售:五金 洪租地北面厂 机械设备 房 3429 金属 电 机械设备 升级改造 43436 否 9144128355 高要区华善机 高要 111 金渡镇 7340563X 械有限公司 区 2017.12.1 8 2927 1124113 2017.12.1 区发展改革局、区经 济信息化局、区国土 资源局、区环境保护 局、区住房城乡建设 局、区水务局、区农 业局、区国资委、区 ######## 是市场监督管理局、 区质监局、区安全监 管局、区食品药品监 督管理局、区城乡规 划局等分别按职能负 区发展改革局、区经 济信息化局、区国土 资源局、区环境保护 局、区住房城乡建设 局、区水务局、区农 业局、区国资委、区 ######## 是市场监督管理局、 区质监局、区安全监 管局、区食品药品监 督管理局、区城乡规 划局等分别按职能负 生产、销 售:五金 肇庆市高要区 92441283L0 高要区焯诚机 高要 113 金渡镇 金渡镇南金公 112.5190288 23.03424203 机械、建 82031981 区 器厂 筑机械。 路侧 3429 金属 电 五金机械 、建筑机 械 升级改造 43437 否 肇庆市高要区 高要区金渡镇 加工、销 92441283L5 高要 金渡镇平布村 114 112.6102747 23.03631132 售:金属 金渡镇 高立五金制品 0831390L 区 (邓广贤用 厂 制品 地) 3361 金属 电 金属制品 升级改造 43438 否 加工、销 肇庆市高要区 肇庆市高要区 91441283M 售:生铁 金渡镇平布村 高要 115 112.6096007 23.03655632 金渡镇 金渡镇顺鹏铸 铸件。 A4UJGDF43 委会岗头(土 区 造厂 名) 3392 金属 电 生铁铸件 升级改造 43439 否 无 没有取得 相关环保 证件,清 洗玻璃瓶 后的废水 没有进行 环保处理 排放 完善手续 、完善设 施 2019.3.31 否 无 没有取得 相关环保 证件,洗 涤污水排 放不符合 环保标准 完善手续 、完善设 施 2019.3.31 否 116 117 高要 区 高要 区 南岸 高要市南岸联 肇庆市高要区 4412836002 翔玻璃瓶回收 南岸街道下岸 35016 场 石场内 南岸 肇庆市高要区 4412836002 高要区南岸新 下岸村旧石场 70157 飘洁洗衣店 内 洗涤服务 洗涤服务 3830 2681 小规模 小规模 废玻璃 瓶 台布、 床单 区发展改革局、区经 济信息化局、区国土 资源局、区环境保护 局、区住房城乡建设 局、区水务局、区农 业局、区国资委、区 ######## 是市场监督管理局、 区质监局、区安全监 管局、区食品药品监 督管理局、区城乡规 划局等分别按职能负 区发展改革局、区经 济信息化局、区国土 资源局、区环境保护 局、区住房城乡建设 局、区水务局、区农 业局、区国资委、区 ######## 是市场监督管理局、 区质监局、区安全监 管局、区食品药品监 督管理局、区城乡规 划局等分别按职能负 区发展改革局、区经 济信息化局、区国土 资源局、区环境保护 局、区住房城乡建设 局、区水务局、区农 业局、区国资委、区 ######## 是市场监督管理局、 区质监局、区安全监 管局、区食品药品监 督管理局、区城乡规 划局等分别按职能负 区发展改革局、区经 济信息化局、区国土 资源局、区环境保护 局、区住房城乡建设 局、区水务局、区农 业局、区国资委、区 是市场监督管理局、 区质监局、区安全监 管局、区食品药品监 督管理局、区城乡规 划局等分别按职能负 区发展改革局、区经 济信息化局、区国土 资源局、区环境保护 局、区住房城乡建设 局、区水务局、区农 业局、区国资委、区 是市场监督管理局、 区质监局、区安全监 管局、区食品药品监 督管理局、区城乡规 划局等分别按职能负 118 高要 区 南岸 高要区南岸新 高要区南岸振 城路60号(原 兴干洗店 高要鸿图厂饭 堂) 119 高要 区 蛟塘 肇庆市高要区 9144128369 蛟塘镇产业集 新源力机械有 8102120X 聚基地 限公司 112°35' 120 高要 区 蛟塘 肇庆市高要区 9144128356 蛟塘镇产业集 力达机械有限 456635XH 聚基地 公司 121 高要 区 蛟塘 122 高要 区 蛟塘 无 没有取得 相关环保 证件,废 水没有进 行环保处 理排放 完善手续 、完善设 施 2019.3.31 否 洗涤服务 9601 小规模 清洗台 布 22°54' 铸造业 3391 - 生铁、 钢板 焦炭 机械配件 淘汰冲天 炉 拆除冲天 炉 2019.5.30 是 112°35' 22°54' 铸造业 3391 - 生铁 焦炭 机械配件 淘汰冲天 炉 拆除冲天 炉,安装 电炉 2019.5.30 是 肇庆市高要区 9144128368 蛟塘镇沙田工 宏丰五金铸造 86163043 业园 有限公司 112°35' 22°54' 铸造业 3391 - 生铁 焦炭 机械配件 淘汰冲天 炉 拆除冲天 炉,安装 电炉 2019.5.30 是 肇庆市高要区 9144128356 蛟塘镇沙田工 弘新金属铸造 4566288X 业园 有限公司 112°35' 22°54' 铸造业 3391 - 生铁 焦炭 机械配件 淘汰冲天 炉 拆除冲天 炉,安装 电炉 2019.5.30 是 区发展改革局、区经 济信息化局、区国土 资源局、区环境保护 局、区住房城乡建设 局、区水务局、区农 业局、区国资委、区 是市场监督管理局、 区质监局、区安全监 管局、区食品药品监 督管理局、区城乡规 划局等分别按职能负 区发展改革局、区经 济信息化局、区国土 资源局、区环境保护 局、区住房城乡建设 局、区水务局、区农 业局、区国资委、区 是市场监督管理局、 区质监局、区安全监 管局、区食品药品监 督管理局、区城乡规 划局等分别按职能负 区发展改革局、区经 济信息化局、区国土 资源局、区环境保护 局、区住房城乡建设 局、区水务局、区农 业局、区国资委、区 是市场监督管理局、 区质监局、区安全监 管局、区食品药品监 督管理局、区城乡规 划局等分别按职能负 区发展改革局、区经 济信息化局、区国土 资源局、区环境保护 局、区住房城乡建设 局、区水务局、区农 业局、区国资委、区 是市场监督管理局、 区质监局、区安全监 管局、区食品药品监 督管理局、区城乡规 划局等分别按职能负 区发展改革局、区经 济信息化局、区国土 资源局、区环境保护 局、区住房城乡建设 局、区水务局、区农 业局、区国资委、区 是市场监督管理局、 区质监局、区安全监 管局、区食品药品监 督管理局、区城乡规 划局等分别按职能负 123 高要 区 高要 124 区 蛟塘 91441283M 肇庆市高要区 A4UP5HC8 诚一五金塑料 A 制品有限公司 蛟塘 91441283M 肇庆市高要区 蛟塘镇蛟塘村 A4URE7M1 奋斗塑料五金 旧宅园地段第 M 制品有限公司 二厂 蛟塘镇良村 112°35' 22°54' 五金加工 3429 - 塑胶粒 电 五金塑料 制品 112°35' 22°54' 五金塑料 2929 - 胶粒 电 五金塑料 制品 未批先建 安装环保 治理设 施,申请 排污证 43439 是 未批先建 安装环保 治理设 施,申请 排污证 43440 是 125 MA4ULG62 蚬岗镇正午铸 高要 蚬岗镇 4 区 造有限公司 蚬岗工业园 112。39.44 20.3.27 金属制品 3392 占地面积 6000平方 米 生铁 生铁 铸件 无 已完成 43441 是 126 蚬岗镇宏泰金 MA4XPCL 高要 蚬岗镇 属制品有限公 OX 区 司 蚬岗工业园 112.39.41 20.3.41 金属制品 3392 占地面积 1800平方 米 生铁 生铁 铸件 无 已完成 43442 是 127 高要 蚬岗镇 区 蚬岗古迳 112.63.80 23.04.19 建筑砖 3031 占地面积 建筑渣 52000平 土 方米 生物质 环保空心 砖 停产整改 已完成 43443 否 671584094 肇庆福创环保 建材有限公司 区发展改革局、区经 济信息化局、区国土 资源局、区环境保护 局、区住房城乡建设 局、区水务局、区农 业局、区国资委、区 是市场监督管理局、 区质监局、区安全监 管局、区食品药品监 督管理局、区城乡规 划局等分别按职能负 区发展改革局、区经 济信息化局、区国土 资源局、区环境保护 局、区住房城乡建设 局、区水务局、区农 业局、区国资委、区 是市场监督管理局、 区质监局、区安全监 管局、区食品药品监 督管理局、区城乡规 划局等分别按职能负 区发展改革局、区经 济信息化局、区国土 资源局、区环境保护 局、区住房城乡建设 局、区水务局、区农 业局、区国资委、区 是市场监督管理局、 区质监局、区安全监 管局、区食品药品监 督管理局、区城乡规 划局等分别按职能负 区发展改革局、区经 济信息化局、区国土 资源局、区环境保护 局、区住房城乡建设 局、区水务局、区农 业局、区国资委、区 是市场监督管理局、 区质监局、区安全监 管局、区食品药品监 督管理局、区城乡规 划局等分别按职能负 区发展改革局、区经 济信息化局、区国土 资源局、区环境保护 局、区住房城乡建设 局、区水务局、区农 业局、区国资委、区 是市场监督管理局、 区质监局、区安全监 管局、区食品药品监 督管理局、区城乡规 划局等分别按职能负 ######## ######## 2018.12.1 0 2018.12.1 0 2018.12.1 0 128 高要 蚬岗镇 区 蚬岗镇汇佳顺 不锈钢加工部 蚬岗沙坳岗 112.40.33 20.2.45 不锈钢加 工 3130 占地面积 2500平方 不锈钢 米 129 MA51H7JX 肇庆市洁净美 高要 蚬岗镇 X 区 洁具有限公司 蚬岗工业园 112.66.12 23.0.60 卫浴洁具 2681 占地面积 2000平方 米 130 肇庆市华悦钢 MA51NYW 高要 蚬岗镇 琴乐器有限公 76D 区 司 蚬岗工业园 112.65.46 23.06.19 乐器钢琴 131 肇庆市高要区 MA51MW8 高要 蚬岗镇 众森家具有限 F8 区 公司 蚬岗工业园 112.66.38 23.06.01 生物质 不锈钢洗 手盘 停产整改 准备升级 改造中 2019.5.30 否 石材 无 卫生洁具 未办理相 关环保手 续 办理相关 证件 2019.7.1 是 2429 占地面积 5000平方 木制品 米 无 乐器钢琴 未办理相 关环保手 续 办理相关 证件 2019.7.1 是 家具制造 业 2110 占地面积 1000平方 木制品 米 无 五金家具 未办理相 关环保手 续 办理相关 证件 2019.7.1 是 木材加工 112°23′21.78 和木、竹 9144128370 高要区新桥镇 高要区新桥镇 高要 132 ″ 22°57′8.11″ 、藤、棕 新桥镇 7982490B 永强木制品厂 田螺岗开发区 区 、草制品 业 2039 规模以下 木头 木板 无办理相 关环保手 续 转型升级 为光伏发 电项目 43363 否 木材 区发展改革局、区经 济信息化局、区国土 资源局、区环境保护 局、区住房城乡建设 局、区水务局、区农 业局、区国资委、区 是市场监督管理局、 区质监局、区安全监 管局、区食品药品监 督管理局、区城乡规 划局等分别按职能负 区发展改革局、区经 济信息化局、区国土 资源局、区环境保护 局、区住房城乡建设 局、区水务局、区农 业局、区国资委、区 是市场监督管理局、 区质监局、区安全监 管局、区食品药品监 督管理局、区城乡规 划局等分别按职能负 区发展改革局、区经 济信息化局、区国土 资源局、区环境保护 局、区住房城乡建设 局、区水务局、区农 业局、区国资委、区 是市场监督管理局、 区质监局、区安全监 管局、区食品药品监 督管理局、区城乡规 划局等分别按职能负 区发展改革局、区经 济信息化局、区国土 资源局、区环境保护 局、区住房城乡建设 局、区水务局、区农 业局、区国资委、区 是市场监督管理局、 区质监局、区安全监 管局、区食品药品监 督管理局、区城乡规 划局等分别按职能负 区发展改革局、区经 济信息化局、区国土 资源局、区环境保护 局、区住房城乡建设 局、区水务局、区农 业局、区国资委、区 2018.9.20 是市场监督管理局、 区质监局、区安全监 管局、区食品药品监 督管理局、区城乡规 划局等分别按职能负 133 高要 新桥镇 区 高要区新桥镇 高要区活跃三 广塘村委会广 鸟市场 塘村“骏马山” 批发、零 售家禽 5116 批发、零 售家禽 未批先建 完善相关 环保手续 2019.7.1 是 134 高要 新桥镇 区 肇庆市高要区 高要区新桥镇 得辉工艺饰品 银江社区庙前 厂 村罗圈脚 漆器工艺 品制造 2433 漆器工艺 品 无办理相 关环保手 续 完善相关 环保手续 2019.7.1 是 135 高要 白诸镇 区 肇庆市高要区 白诸镇松云村 复混肥料 557298561 芭隆有机生物 112゜18ˊ44" 22゜54ˊ11.1" 委会松咀村 制造 肥料有限公司 2624 中小 禽畜粪 便 生物质 复混肥料 未办理相 关环保手 续 办理相关 证件 2019.7.1 否 136 高要市白诸镇 高要 未办理三证 白诸镇庙村村 白诸镇 明新禽类屠宰 区 合一 委会富楼村 厂 112゜ 17ˊ52.5" 22゜56ˊ43.7" 禽畜屠宰 1352 中小 活禽 生物质 禽畜 未办理相 关环保手 续 办理相关 证件 2019.7.1 否 137 高要 白诸镇 区 肇庆市高要区 白诸镇湾头村 694700625 禾生源肥业有 委会谭河村 限公司 112゜ 20ˊ0.6" 22゜54ˊ24.8" 有机肥料 制造 2624 中小 禽畜粪 便 生物质 有机肥料 及微生物 肥料 未办理相 关环保手 续 办理相关 证件 2019.7.1 否 区发展改革局、区经 济信息化局、区国土 资源局、区环境保护 局、区住房城乡建设 局、区水务局、区农 业局、区国资委、区 是市场监督管理局、 区质监局、区安全监 管局、区食品药品监 督管理局、区城乡规 划局等分别按职能负 区发展改革局、区经 济信息化局、区国土 资源局、区环境保护 局、区住房城乡建设 局、区水务局、区农 业局、区国资委、区 是市场监督管理局、 区质监局、区安全监 管局、区食品药品监 督管理局、区城乡规 划局等分别按职能负 区发展改革局、区经 济信息化局、区国土 资源局、区环境保护 局、区住房城乡建设 局、区水务局、区农 业局、区国资委、区 是市场监督管理局、 区质监局、区安全监 管局、区食品药品监 督管理局、区城乡规 划局等分别按职能负 区发展改革局、区经 济信息化局、区国土 资源局、区环境保护 局、区住房城乡建设 局、区水务局、区农 业局、区国资委、区 是市场监督管理局、 区质监局、区安全监 管局、区食品药品监 督管理局、区城乡规 划局等分别按职能负 区发展改革局、区经 济信息化局、区国土 资源局、区环境保护 局、区住房城乡建设 局、区水务局、区农 业局、区国资委、区 是市场监督管理局、 区质监局、区安全监 管局、区食品药品监 督管理局、区城乡规 划局等分别按职能负 138 高要 白诸镇 区 690476144 肇庆市高要区 奥德龙有机生 白诸镇稳裕村 物肥料有限公 委会石迳石场 司 112゜ 20ˊ29.4" 有机肥料 22゜55ˊ27.2" 及微生物 肥料制造 2624 中小 禽畜粪 便 生物质 有机肥料 及微生物 肥料 未办理相 关环保手 续 办理相关 证件 2019.7.1 否 139 高要 白诸镇 区 557261785 肇庆市力坚建 白诸镇工业园 材有限公司 土名“廖甘大坑” 112゜ 20ˊ57.8" 22゜56ˊ22.6" 其他建筑 材料制造 5165 中小 沙土、 水泥 电源 建材 未办理相 关环保手 续 办理相关 证件 2019.7.1 是 下坡村委会福 高要区白诸镇 高要 未办理三证 元村泥蛇坑 140 白诸镇 富隆金属制品 区 合一 (土名)鱼塘 厂 山 112゜ 19ˊ33.3" 22゜56ˊ52.4" 金属制造 3360 中小 五金 生物质 五金制品 未办理相 关环保手 续 办理相关 证件 2019.7.1 否 制造业 2542 中小 木屑 生物质 环保炭 未办理相 关环保手 续 办理相关 证件 2019.7.1 否 包装材料 制造 2924 中小 泡沫 电源 泡沫包装 未办理相 关环保手 续 办理相关 证件 2019.7.1 否 141 高要 白诸镇 区 924412830 白诸镇庙村村 高要区白诸镇 委会原明新学 112゜17ˊ53" 22゜56ˊ39.5" 顶峰环保炭厂 校 肇庆市高要区 白诸镇廖甘村 91441283M 肇庆市高要区 委会荷木园村 高要 142 白诸镇 A4WX3JA4 高升包装材料 (土名:廖甘 区 4 有限公司 大坑)(荷木 园经济合作社 厂房之一) 112゜ 20ˊ57.8" 22゜56ˊ22.6" 区发展改革局、区经 济信息化局、区国土 资源局、区环境保护 局、区住房城乡建设 局、区水务局、区农 业局、区国资委、区 是市场监督管理局、 区质监局、区安全监 管局、区食品药品监 督管理局、区城乡规 划局等分别按职能负 区发展改革局、区经 济信息化局、区国土 资源局、区环境保护 局、区住房城乡建设 局、区水务局、区农 业局、区国资委、区 是市场监督管理局、 区质监局、区安全监 管局、区食品药品监 督管理局、区城乡规 划局等分别按职能负 区发展改革局、区经 济信息化局、区国土 资源局、区环境保护 局、区住房城乡建设 局、区水务局、区农 业局、区国资委、区 是市场监督管理局、 区质监局、区安全监 管局、区食品药品监 督管理局、区城乡规 划局等分别按职能负 区发展改革局、区经 济信息化局、区国土 资源局、区环境保护 局、区住房城乡建设 局、区水务局、区农 业局、区国资委、区 是市场监督管理局、 区质监局、区安全监 管局、区食品药品监 督管理局、区城乡规 划局等分别按职能负 区发展改革局、区经 济信息化局、区国土 资源局、区环境保护 局、区住房城乡建设 局、区水务局、区农 业局、区国资委、区 是市场监督管理局、 区质监局、区安全监 管局、区食品药品监 督管理局、区城乡规 划局等分别按职能负 未办理相 关环保手 续、产能 低效,治 理设施落 后 整改 2019.7.1 否 区发展改革局、区经 济信息化局、区国土 资源局、区环境保护 局、区住房城乡建设 局、区水务局、区农 业局、区国资委、区 是市场监督管理局、 区质监局、区安全监 管局、区食品药品监 督管理局、区城乡规 划局等分别按职能负 区发展改革局、区经 济信息化局、区国土 资源局、区环境保护 局、区住房城乡建设 局、区水务局、区农 业局、区国资委、区 是市场监督管理局、 区质监局、区安全监 管局、区食品药品监 督管理局、区城乡规 划局等分别按职能负 区发展改革局、区经 济信息化局、区国土 资源局、区环境保护 局、区住房城乡建设 局、区水务局、区农 业局、区国资委、区 是市场监督管理局、 区质监局、区安全监 管局、区食品药品监 督管理局、区城乡规 划局等分别按职能负 广宁县古水镇人民政 府 143 高要 白诸镇 区 高要同丰乐养 大基头村委会“ 田沉山” 殖场 养殖业 o32 144 高要 莲塘镇 区 高要区安盈乐 高要区莲塘莲 器 江公路旁 乐器生产 2429 乐器 未办理有 关环保手 续 正在办理 相关证件 2019.7.1 否 145 高要 莲塘镇 区 高要区莲塘镇 高要区莲塘镇 沥青厂 蚌岗工业园 沥青生产 2521 沥青 未办理有 关环保手 续 已发停工 通知书 2019.7.1 否 造纸 2239 沥青纸 无 转型(只 售不产) 2016年 否 关闭 2018年 否 广宁县古水镇人民政 ######## 府 已关闭 2018年6月 30日 否 广宁县潭布镇人民政 府 否 广宁县南街镇人民政 府 否 广宁县南街镇人民政 ######## 府 是 广宁县南街镇人民政 府 否 广宁县南街镇人民政 府 否 广宁县南街镇人民政 府 146 广宁 古水镇 古水镇大联 44122360012 0867 沥青纸厂 E112°19′22. N23°40′15.23 31″ ″ 小作坊 沥青 木材 洲区中堂村摩 天岭 E112°17′47. 生物质制 N23°45′6.66″ 造 69″ 2012 小作坊 木糠 电 环保颗粒 该企业老 板反映投 入整改资 金大,企 业难以承 4.41224E+14 社岗村委会 112°32′19.58 23°39′19.63″ 塑料加工 ″ 309 小 成品塑 料粒 无 塑料玩具 没有办理 环评手续 91441223617 87957XT 南街镇东乡街 113号 通用设备 制造业 3589 规上企业 91441223564 504132N 官步一巷52号 112°24′59.30 23°33′49. 通用设备 ″ 49″ 制造业 3589 规下企业 铁 无 环保设备 91441200688 南东四路东200 112°23′45.37 23°36′34. 石油加工 621138K ″ 米 59″ 业 25 规上企业 油 无 润滑油 91441223668 183660G 巷口开发区 112°25′3.96″ 3632 饮料、 规上企业 蔬菜干 制品 91441223314 9889126 环城东路65号 112°26′10.98 23°38′20.71″ ″ 232 规下企业 古水镇姐妹 44122360016 147 广宁 古水镇 生物质颗粒 9454 厂 广宁县潭布 148 广宁 潭布镇 镇昌达塑料 加工厂 广宁县亚达 149 广宁 南街镇 实业有限公 司 广宁县华一 150 广宁 南街镇 环保节能科 技有限公司 肇庆迈科润 151 广宁 南街镇 滑油品有限 公司 广东天康青 152 广宁 南街镇 竹生物食品 有限公司 广宁县粤西 153 广宁 南街镇 装璜印刷厂 古水镇大联村 s263线旁 微小 23°35′6.2 饮料制造 7″ 业 印刷业 已搬迁, 已备案 印刷 完善手 续,已备 案 完善手 续,已备 案 停产3年 无 印刷品 关闭 43252 2016年 154 广宁 南街镇 新的洗衣服 4.41224E+14 务部 广宁县添源 155 广宁 螺岗镇 五金厂 156 广宁 石涧镇 157 广宁 石涧镇 158 广宁 石涧镇 159 广宁 横山镇 160 广宁 横山镇 161 广宁 南街镇 162 广宁 南街镇 广宁县石涧 镇横迳邓标 然石灰加工 场 广宁县石涧 镇志清养殖 场 广宁县石涧 镇协承机电 设备厂 广宁县绿源 环保燃料有 限公司 广宁县横山 镇荣业陶器 竹子工艺厂 广宁县中保 鞋业有限公 司 广宁县建昌 实业砖厂 其他 823 规下企业 碗筷 广宁县南街镇人民政 ######## 府 无 清洗碗筷 已关闭 手表带清 洗后污水 处理未有 环评手续 已停产 2017.10. 否 广宁县螺岗镇人民政 2017.10. 府 3129 小规模 不锈钢 无 其他 311 2人 石灰 无 灰油 制灰油时 产生较大 扬尘 增加扬尘 围蔽遮盖 措施 43070 否 广宁县石涧镇人民政 2017/9/1 府 养殖 31 2人 猪 无 猪 猪场臭味 影响周边 居民 已经停止 养殖生猪 43252 否 广宁县石涧镇人民政 2018/6/1 府 N23°30′33.7 E112°27′1.19 机械加工 4″ ″ 3429 10人 铁 无 铁制件 边角料收 集不完善 完善边角 料收集利 用 43070 否 广宁县石涧镇人民政 ######## 府 55918631X 生物质制 厚溪村委会欧 112°23′4.23″ 23°35′27.31″ 造 坑村 2012 规下企业 木槺 生物质 生物质 升级改造 费用大 已关闭 2019.12 否 广宁县横山镇人民政 府 2017 92441223MA 4WJELT6G 厚溪丰崀村 陶瓷烧制 112°22′40.00 23°35′41.78″ 、竹制品 ″ 加工 3129 竹子 生物质 竹制品、 陶器 升级改造 费用大 已注销 2019.12 否 广宁县横山镇人民政 府 2017/3/9 91441223097 526518U 小迳村委会二 112°24′22.17 队四连线公路 23°37′20.23″ ″ 小迳路段(崀 制鞋业 296 规上企业 皮革 无 鞋子 改造升级 43830 否 广宁县南街镇人民政 ######## 府 92441223MA 4WTFYU49 赛洞村委会 112°40′6.6″ 建材 3139 规下企业 水泥、 沙 无 水泥砖 改造升级 43830 否 广宁县南街镇人民政 ######## 府 改造升级 43830 是 广宁县南街镇人民政 府 广宁县南街镇人民政 府 东方红村委 30°51′57.2" 44122360007 2978 横迳社区太平 村路口 E112°26′28. N23°33′1.59″ 74″ 无注册 石涧社区楼仔 村 N23°30′40.0 E112°27′25.0 8″ 8″ 石涧社区新城 路135号 92441223MA 4W4AFAXH 广宁县凯利 91441200762 164 广宁 南街镇 微电路有限 929123N 公司 广宁县和信 91441223056 165 广宁 南街镇 8049481 机电厂 金成木器加 91441223768 166 广宁 南街镇 404491P 工厂 江屯镇至信 167 广宁 江屯镇 木业有限公 398156581 司 翔福骨制品 92441223MA 4WWML28X 加工厂 169 广宁 南街镇 志宁工艺厂 4.41224E+14 170 广宁 南街镇 112°27′50.50 23°39′25.43″ ″ 不锈钢手 表带 广宁县通达 91441223751 163 广宁 南街镇 实业有限公 074457L 司 168 广宁 木格镇 黄盆新桥头 南街镇美霖 4.41224E+14 木器厂 23°43′51.1" 五金加工 23°40′6.6″ 该企业老 板反映投 入整改资 金大,企 业难以承 本策工业园 112°23′45.19 23°36′44. 纺织服装 ″ 31″ 制造业 1769 规上企业 布料 无 衣服 南街镇人民路 112°25′17.21 23°37′45. 电子设备 ″ 37″ 制造业 3662 规上企业 电子元 件 无 电子元件 改造升级 43830 否 3589 规上企业 风扇元 件 无 风扇 改造升级 43830 是 2032 规下企业 木头 无 货物垫架 改造升级 43830 否 整改 43466 否 广宁县江屯镇人民政 府 否 广宁县木格镇人民政 府 23°37′6.1 通用设备 6″ 制造业 广宁县南街镇 112°25′29.67 23°35′53. 木制品加 ″ 仁安 28″ 工 本策工业园 112°24′7.07″ 江合村委会江 112°36'1.116 23°45'5.48" " 合中学旧址 木制品加 工 2032 规下 竹木 用电 竹木制品 112°8'14” 骨制品加 工 3632 个人经营 牛骨、 牛油 电力 牛骨粉、 工业牛油 112°24′16.40 木制品加 23°37′7.13″ ″ 工 2032 规下企业 木头 无 木产品 广宁县南街镇 木制品加 红太阳村委会 112°28′13.6″ 23°40′39.07″ 工 风迳村 2032 规下企业 木头 无 货物垫架 南婆坑 南街镇小迳 (原小迳道 班) 23°31'54” 无环保合 法手续 现场存在 臭味、污 水废水直 该企业老 板反映投 入整改资 金大,企 业难以承 该企业老 板反映投 入整改资 金大,企 业难以承 用电代替 木材作为 加工过程 广宁县南街镇人民政 府 广宁县南街镇人民政 府 改造升级 43830 否 广宁县南街镇人民政 府 改造升级 43830 否 广宁县南街镇人民政 府 171 广宁 南街镇 祝全平木厂 红太阳村委会 112°28′20.35 木制品加 23°40′56.49″ ″ 六京咀 工 2032 规下企业 木头 无 夹板刨片 172 广宁 南街镇 广宁县汇丰 92441223MA 4W62NK1H 木器厂 红太阳村委会 112°28′20.35 木制品加 23°40′56.49″ ″ 六京咀 工 2032 规下企业 木头 无 夹板刨片 173 广宁 南街镇 森茂木业有 91441223551 7120556 限公司 红太阳村委会 木制品加 112°28′16.8″ 23°40′25.8″ 乌石村大坑洲 工 2032 规下企业 木头 无 木产品 174 广宁 南街镇 富溪群力木 92441223MA 4WJGY90K 厂 富溪村委会大 112°29′38.10 23°42′1.4 木制品加 ″ 江围村连塘口 ″ 工 2032 规下企业 木材 无 夹板刨片 175 广宁 南街镇 群民木材加 4.41224E+14 工厂 仁安上头洞 112°25′46.01 23°35′58. 木制品加 ″ 41″ 工 2032 规下企业 木材 无 夹板刨片 176 广宁 南街镇 腾达轩画框 4.41224E+14 工艺品厂 本策江头村 112°23′18.48 23°36′35. 木制品加 ″ 31″ 工 2032 规下企业 木板 无 画框 星坪村委会下 112°25′57.03 23°39′8.5 木制品加 ″ 山村背 3″ 工 2032 规下企业 木头 无 木板 112°25′55.12 23°39′24. 木制品加 ″ 55″ 工 2032 规下企业 木头 无 木板 177 广宁 南街镇 鸿运木器厂 92441223L34 957639G 178 广宁 南街镇 星平木器加 4.41224E+14 工厂 179 广宁 南街镇 华杰木材加 4.41224E+14 工厂 本策村委会竹 23°36′33. 木制品加 海牌坊往竹海 112°23′15.6″ 53″ 工 大观方向150米 2032 规下企业 木头 无 木板 180 广宁 南街镇 经典红木家 44122360017 6164 私厂 首约村委会官 112°24′36.48 23°32′27. 家具制造 步 ″ 38″ 业 211 规下企业 木头 无 家私 东乡星平村 181 广宁 南街镇 广宁县金鹏 91441223675 163940F 艺术陶瓷厂 182 广宁 南街镇 广宁县宁盛 91441223617 南东一路49号5 112°25′49.24 23°37′47. 5933526 ″ 印刷厂 22″ 幢 本策工业园 112°23′47.28 23°36′46. 非金属矿 ″ 8″ 物制品业 印刷业 3199 规上企业 陶瓷 煤气 陶瓷土 232 规下企业 纸张 无 印刷 该企业老 板反映投 入整改资 金大,企 业难以承 该企业老 板反映投 入整改资 金大,企 业难以承 该企业老 板反映投 入整改资 金大,企 业难以承 该企业老 板反映投 入整改资 金大,企 业难以承 该企业老 板反映投 入整改资 金大,企 业难以承 该企业老 板反映投 入整改资 金大,企 业难以承 该企业老 板反映投 入整改资 金大,企 业难以承 该企业老 板反映投 入整改资 金大,企 业难以承 该企业老 板反映投 入整改资 金大,企 业难以承 该企业老 板反映投 入整改资 金大,企 业难以承 该企业老 板反映投 入整改资 金大,企 业难以承 改造升级 43830 否 广宁县南街镇人民政 府 改造升级 43830 否 广宁县南街镇人民政 府 改造升级 43830 否 广宁县南街镇人民政 府 改造升级 43830 否 广宁县南街镇人民政 府 改造升级 43830 否 广宁县南街镇人民政 府 改造升级 43830 否 广宁县南街镇人民政 府 改造升级 43830 否 广宁县南街镇人民政 府 改造升级 43830 否 广宁县南街镇人民政 府 改造升级 43830 否 广宁县南街镇人民政 府 改造升级 43830 否 广宁县南街镇人民政 府 改造升级 43830 是 广宁县南街镇人民政 府 改造升级 43830 否 广宁县南街镇人民政 府 洁美餐具消 91441223562 183 广宁 南街镇 毒配送有限 608536W 公司 人民路53号 184 广宁 南街镇 辉宏环保炭 4.41224E+14 广宁县南街镇 红星社区禾村 七队独石头 广宁县富艺 185 广宁 石涧镇 灯饰厂 92441223L79 7142195 横迳社区白石 村与南街交界 处 112°26′51.25 23°39′10.99″ ″ 其他 112°27′2.02. 生物质制 23°39′2.15″ 造 6″ N23°33′33.5 E112°25′13.9 灯饰加工 8″ 5″ 广宁县横山镇 广宁县横山 GF441223112 112°23'19.86 186 广宁 横山镇 镇龙兴达家 23°35'22.96" 厚溪村村委会 家具 2020030 " 大江村 私加工店 广宁县横山 GF441223112 112°23'20.17 187 广宁 横山镇 镇锦绣花盆 23°36'09.12" 陶瓷烧制 厚溪欧岗村 2020026 " 厂 823 2012 规下企业 规下企业 碗筷 木糠 无 生物质 清洗碗筷 炭 该企业老 板反映投 入整改资 金大,企 业难以承 改造升级 43830 否 广宁县南街镇人民政 府 改造升级 43830 否 广宁县南街镇人民政 府 1、县环保 局已经查 封该厂生 产存在污 染物排放 的车间,2 、该厂正 在寻找有 资质的公 司完善环 评手续和 43435 否 广宁县石涧镇人民政 府 整改中 灯饰配 件 无 灯饰 环保整改 投入资金 大,企业 资金不足 21 木材 无烘炉 家具 升级改造 费用大 升级工具 2019.12 否 广宁县横山镇人民政 府 2019.12 3159 瓷泥 生物质 花盆、陶 器 升级改造 费用大 联系第三 方升级改 造锅炉 2019.12 否 广宁县横山镇人民政 府 2019.12 3429 23人

肇庆市“散乱污”工业企业(场所)综合整治清单.pdf




