秦岭文库(kunmingchi.com)你想要的内容这里独有!

十一月月份超标黑烟车明细表.xls

Carzy丶约锭8 页 54.5 KB下载文档
十一月月份超标黑烟车明细表.xls十一月月份超标黑烟车明细表.xls十一月月份超标黑烟车明细表.xls十一月月份超标黑烟车明细表.xls十一月月份超标黑烟车明细表.xls十一月月份超标黑烟车明细表.xls
当前文档共8页 下载后继续阅读

十一月月份超标黑烟车明细表.xls

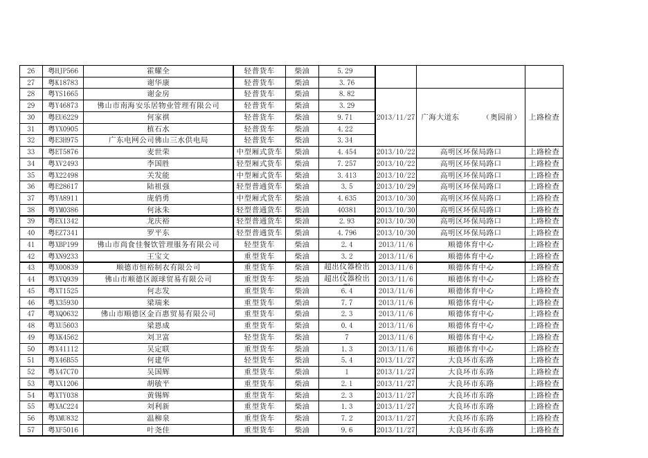
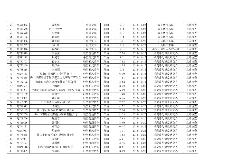
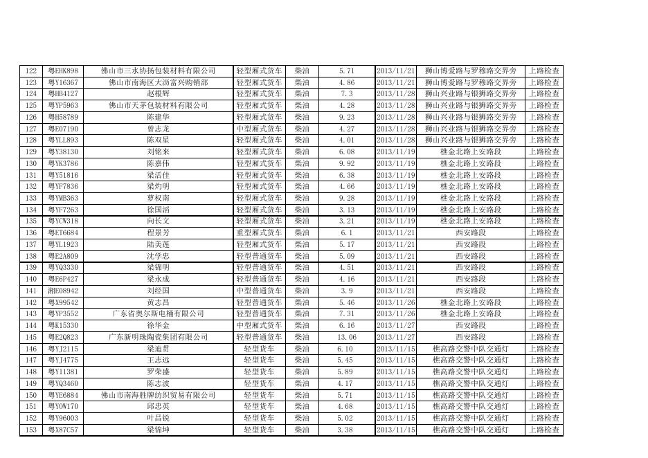
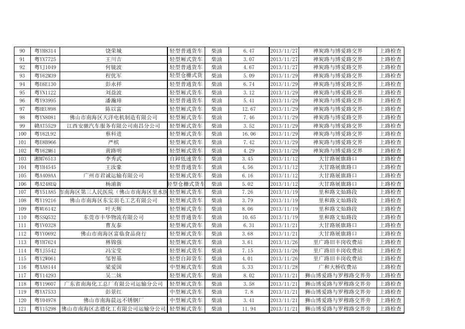
附表 十一月份整治黑烟车专项行动超标车辆公告(2013) 按照《佛山市开展整治黑烟车专项行动工作方案》,环保局联合公安交警、交通等部门在全市对黑烟车进行查处。现依法将不符合污染物排放标准的机动车 予以公告。请车主在规定限期内完成车辆的维修治理并取得排气合格证明。若第二次抽查仍不合格的,将依法进行处理。 光吸收系数 轻普货车 燃料类 型 柴油 张信普 轻普货车 柴油 2.99 粤YTV987 佛山市南海和合高新材料有限公司 轻普货车 柴油 7.47 4 粤AM5M83 罗甘洪 轻普货车 柴油 8.44 5 粤YG5440 伍健全 轻普货车 柴油 6.28 6 粤Y194772 郭锦华 轻普货车 柴油 7.10 7 粤R85209 刘家友 轻普货车 柴油 2.57 8 粤RK6855 孟金潮 轻普货车 柴油 3.92 9 粤E4J491 赖道来 轻普货车 柴油 3.89 10 豫SB6801 代敦梅 轻普货车 柴油 3.98 11 粤EF7580 许福荣 轻普货车 柴油 13.48 12 粤TR9539 佛山市南海添海运输有限公司 轻普货车 柴油 2.67 13 湘M79489 何三毛 轻普货车 柴油 3.37 14 粤Y56102 广东新劲刚超硬材料有限公司 轻普货车 柴油 7.56 15 粤EKM003 佛山市禅城区科明五金厂 轻普货车 柴油 5.43 16 湘H55037 高领军 轻普货车 柴油 5.41 17 桂AUY558 蒙绍团 轻普货车 柴油 5.53 18 粤ES2738 阙国南 中型货车 柴油 2.70 19 粤EE4117 佛山市冬生五金机电经营部 轻普货车 柴油 6.49 20 粤HD4033 吴杰松 轻普货车 柴油 4.52 21 粤YQ6508 李杰华 轻普货车 柴油 2.60 22 粤E1H936 佛山市三水华生纸品厂 轻普货车 柴油 8.50 23 粤H02502 肇庆中宇电子科技有限公司 轻普货车 柴油 3.38 24 粤HPH733 廖金明 轻普货车 柴油 8.55 25 粤H15149 贺常武 轻普货车 柴油 4.93 序号 车牌号码 车主姓名 车辆类型 1 粤HH5326 林乐生 2 粤E4J933 3 2.84 检测日期 检测地点 检测形式 2013/11/4 碧云路 上路检查 2013/11/7 大塘大南路S269线永平路口 上路检查 2013/11/12 广海大道东 (奥园前) 上路检查 2013/11/15 南丰大道 (石湖洲路段 2013/11/20 广海大道东 ) 2013/11/25 (奥园前) 碧云路 上路检查 上路检查 上路检查 2013/11/25 碧云路 上路检查 26 粤HJP566 霍耀全 轻普货车 柴油 5.29 27 粤K18783 谢华康 轻普货车 柴油 3.76 28 粤YS1665 谢金房 轻普货车 柴油 8.82 29 粤Y46873 佛山市南海安乐居物业管理有限公司 轻普货车 柴油 3.29 30 粤EU6229 何家祺 轻普货车 柴油 9.71 31 粤YX0905 植石水 轻普货车 柴油 4.22 32 粤E3H975 广东电网公司佛山三水供电局 轻普货车 柴油 3.34 33 粤ET5876 麦世荣 中型厢式货车 柴油 4.454 2013/10/22 高明区环保局路口 上路检查 34 粤XV2493 李国胜 轻型厢式货车 柴油 7.257 2013/10/22 高明区环保局路口 上路检查 35 粤X22498 关发能 中型厢式货车 柴油 3.413 2013/10/22 高明区环保局路口 上路检查 36 粤E28617 陆祖强 轻型普通货车 柴油 3.5 2013/10/29 高明区环保局路口 上路检查 37 粤YA8911 庞俏勇 中型厢式货车 柴油 4.635 2013/10/30 高明区环保局路口 上路检查 38 粤YM0386 何泳朱 轻型普通货车 柴油 40381 2013/10/30 高明区环保局路口 上路检查 39 粤EX1342 龙庆裕 轻型普通货车 柴油 2.93 2013/10/30 高明区环保局路口 上路检查 40 粤EZ7341 罗平东 轻型普通货车 柴油 4.796 2013/10/30 高明区环保局路口 上路检查 41 粤XBP199 佛山市尚食佳餐饮管理服务有限公司 轻型货车 柴油 2.4 2013/11/6 顺德体育中心 上路检查 42 粤XN9233 王宝文 重型货车 柴油 2013/11/6 顺德体育中心 上路检查 43 粤X00839 顺德市恒裕制衣有限公司 重型货车 柴油 2013/11/6 顺德体育中心 上路检查 44 粤XYQ939 佛山市顺德区源球贸易有限公司 重型货车 柴油 3.2 超出仪器检出 限 超出仪器检出 2013/11/6 顺德体育中心 上路检查 2013/11/6 顺德体育中心 上路检查 2013/11/27 广海大道东 (奥园前) 上路检查 45 粤XT1525 何志发 重型货车 柴油 限 6.4 46 粤X35930 梁瑞来 重型货车 柴油 7.7 2013/11/6 顺德体育中心 上路检查 47 粤XQ0632 佛山市顺德区金百惠贸易有限公司 重型货车 柴油 2.3 2013/11/6 顺德体育中心 上路检查 48 粤XU5603 梁恩成 重型货车 柴油 0.4 2013/11/6 顺德体育中心 上路检查 49 粤XK4562 刘卫富 轻型货车 柴油 7 2013/11/6 顺德体育中心 上路检查 50 粤X41112 吴定联 重型货车 柴油 1.3 2013/11/6 顺德体育中心 上路检查 51 粤X46B55 何建华 轻型货车 柴油 5.4 2013/11/27 大良环市东路 上路检查 52 粤X47C70 吴国辉 重型货车 柴油 1 2013/11/27 大良环市东路 上路检查 53 粤XX1206 胡敏平 重型货车 柴油 2.1 2013/11/27 大良环市东路 上路检查 54 粤XTY038 黄锡辉 重型货车 柴油 2.3 2013/11/27 大良环市东路 上路检查 55 粤XAC224 刘利新 重型货车 柴油 1.3 2013/11/27 大良环市东路 上路检查 56 粤XMU832 温柳泉 重型货车 柴油 7.2 2013/11/27 大良环市东路 上路检查 57 粤XF5016 叶尧佳 重型货车 柴油 9.6 2013/11/27 大良环市东路 上路检查 58 粤XY2063 苏维绮 重型货车 柴油 7.8 2013/11/27 大良环市东路 上路检查 59 粤XT9542 顺泰行食品 重型货车 柴油 0.4 2013/11/27 大良环市东路 上路检查 60 粤XYW578 沈近新 重型货车 柴油 1.2 2013/11/27 大良环市东路 上路检查 61 粤XT1193 张贵贤 重型货车 柴油 8.4 2013/11/27 大良环市东路 上路检查 62 粤XW9630 刘永刚 重型货车 柴油 4 2013/11/27 大良环市东路 上路检查 63 粤XS2707 林 洪 重型货车 柴油 8.8 2013/11/27 大良环市东路 上路检查 64 粤X13B40 陈春红 轻型货车 柴油 4.8 2013/11/12 南海大道兴业新村路段 上路检查 65 粤YJ2819 李活棠 轻型普通货车 柴油 7.74 2013/11/15 禅炭路与博爱路交界 上路检查 66 湘M82215 张尚忠 中型箱式货车 柴油 5.31 2013/11/15 禅炭路与博爱路交界 上路检查 67 粤YW1701 孔梦文 轻型厢式货车 柴油 7.82 2013/11/15 禅炭路与博爱路交界 上路检查 68 粤Y7Y269 陆邦必 轻型厢式货车 柴油 8.55 2013/11/15 禅炭路与博爱路交界 上路检查 69 粤Y78418 谢玉颜 轻型厢式货车 柴油 3.5 2013/11/15 禅炭路与博爱路交界 上路检查 70 粤EF4163 柴油 6.19 2013/11/15 禅炭路与博爱路交界 上路检查 柴油 7.91 2013/11/15 禅炭路与博爱路交界 上路检查 72 佛山市禅城区尚乐贸易商行 轻型厢式货车 粤YN0485 佛山市南海恒泰源废旧五金无聊加工有限公 轻型厢式货车 司 粤YB2702 佛山市南海大沥鸿亚轧延有限公司 轻型厢式货车 柴油 3.62 2013/11/15 禅炭路与博爱路交界 上路检查 73 粤HA9627 何海清 轻型厢式货车 柴油 3.72 2013/11/20 禅炭路与博爱路交界 上路检查 74 粤Y14264 佛山市南海区大沥水头顺诚铝门窗配件部 轻型厢式货车 柴油 5.59 2013/11/20 禅炭路与博爱路交界 上路检查 75 粤YL8139 黄启容 轻型厢式货车 柴油 4.38 2013/11/20 禅炭路与博爱路交界 上路检查 76 粤YGF937 曾庆超 轻型厢式货车 柴油 5.45 2013/11/20 禅炭路与博爱路交界 上路检查 77 粤AL3V19 广州市腾宇运输有限公司 轻型厢式货车 柴油 7.32 2013/11/20 禅炭路与博爱路交界 上路检查 78 粤Y89912 谭榕坚 轻型厢式货车 柴油 4.72 2013/11/20 禅炭路与博爱路交界 上路检查 79 粤YR7193 佛山市南海新星热镀锌有限公司 轻型普通货车 柴油 7.56 2013/11/20 禅炭路与博爱路交界 上路检查 80 粤Y43259 佛山市南海宏佳铝材不锈钢有限公司 轻型普通货车 柴油 4.33 2013/11/20 禅炭路与博爱路交界 上路检查 81 粤XC9766 陈焕容 轻型普通货车 柴油 7.68 2013/11/20 禅炭路与博爱路交界 上路检查 82 粤Y16C76 黄锡恒 轻型普通货车 柴油 8.09 2013/11/20 禅炭路与博爱路交界 上路检查 83 粤YV4171 姚青会 轻型普通货车 柴油 6.47 2013/11/22 禅炭路与博爱路交界 上路检查 84 粤EV7951 胡健全 轻型厢式货车 柴油 4.11 2013/11/22 禅炭路与博爱路交界 上路检查 85 粤YN8865 佛山市南海区正东照明有限公司 轻型厢式货车 柴油 4.03 2013/11/22 禅炭路与博爱路交界 上路检查 86 粤YY4931 周雪峰 轻型厢式货车 柴油 5.51 2013/11/22 禅炭路与博爱路交界 上路检查 87 粤YL4127 梁国彬 轻型自卸货车 柴油 3.45 2013/11/27 禅炭路与博爱路交界 上路检查 88 粤HAD116 四会市鸿达金属材料有限公司 轻型厢式货车 柴油 8.21 2013/11/27 禅炭路与博爱路交界 上路检查 89 粤YT5809 植瑞信 轻型箱式货车 柴油 3.59 2013/11/27 禅炭路与博爱路交界 上路检查 71 90 粤YH8314 饶荣城 轻型普通货车 柴油 6.47 2013/11/27 禅炭路与博爱路交界 上路检查 91 粤YX7725 王川吉 轻型厢式货车 柴油 3.07 2013/11/27 禅炭路与博爱路交界 上路检查 92 粤YJ1049 何镜波 柴油 4.67 2013/11/27 禅炭路与博爱路交界 上路检查 93 粤Y62M39 程优军 柴油 5.09 2013/11/29 禅炭路与博爱路交界 上路检查 94 粤E6E130 彭永祥 轻型普通货车 轻型仓栅式货 车 轻型普通货车 柴油 6.74 2013/11/29 禅炭路与博爱路交界 上路检查 95 粤YN1122 刘益波 轻型厢式货车 柴油 3.12 2013/11/29 禅炭路与博爱路交界 上路检查 96 粤Y93995 潘瀚璋 轻型普通货车 柴油 5.41 2013/11/29 禅炭路与博爱路交界 上路检查 97 粤HEU898 陈以富 轻型厢式货车 柴油 12.67 2013/11/29 禅炭路与博爱路交界 上路检查 98 粤YN8081 佛山市南海区天洋电机制造有限公司 轻型厢式货车 柴油 7.46 2013/11/29 禅炭路与博爱路交界 上路检查 99 赣AT5529 江西安驰汽车服务有限公司南昌分公司 轻型厢式货车 柴油 3.52 2013/11/29 禅炭路与博爱路交界 上路检查 100 粤Y62L92 蔡科进 轻型厢式货车 柴油 16.06 2013/11/29 禅炭路与博爱路交界 上路检查 101 粤E8B966 严槟 轻型厢式货车 柴油 7.42 2013/11/29 禅炭路与博爱路交界 上路检查 102 粤Y62M61 黄路明 轻型厢式货车 柴油 4.29 2013/11/29 禅炭路与博爱路交界 上路检查 103 湘M76513 李秀武 自卸低速货车 柴油 3.45 2013/11/12 大甘路展旗路口 上路检查 104 粤YH4545 王汝豪 轻型普通货车 柴油 4.56 2013/11/12 大甘路展旗路口 上路检查 105 粤A409AA 广州市君诚运输有限公司 轻型厢式货车 柴油 6.16 2013/11/12 大甘路展旗路口 上路检查 106 粤A248EQ 杨浦新 轻型仓栅式货车 柴油 5.02 2013/11/12 大甘路展旗路口 上路检查 107 粤Y51A85 佛山市南海区第三人民医院(佛山市南海区里水医院) 轻型厢式货车 柴油 7.26 2013/11/19 里和路文灿路段 上路检查 108 粤Y19216 佛山市南海区东宝羽毛工艺有限公司 轻型厢式货车 柴油 3.79 2013/11/19 里和路文灿路段 上路检查 109 粤WU6142 叶天辉 轻型厢式货车 柴油 8.06 2013/11/19 里和路文灿路段 上路检查 110 粤SSQ532 东莞市丰华物流有限公司 轻型普通货车 柴油 10.65 2013/11/19 里和路文灿路段 上路检查 111 粤YV0328 曹友泰 轻型厢式货车 柴油 6.31 2013/11/21 大甘路展旗路口 上路检查 112 粤YY0692 佛山市南海区富临食品商行 轻型厢式货车 柴油 3.68 2013/11/21 大甘路展旗路口 上路检查 113 粤YH7624 林锦强 轻型厢式货车 柴油 3.61 2013/11/26 里广路旧丰岗收费站 上路检查 114 粤YJ5542 冯宝莹 轻型厢式货车 柴油 7.15 2013/11/26 里广路旧丰岗收费站 上路检查 115 粤Y2W061 邹智基 轻型自卸货车 柴油 4.01 2013/11/26 里广路旧丰岗收费站 上路检查 116 粤XA8144 梁爱国 中型厢式货车 柴油 5.33 2013/11/28 广和大桥收费站 上路检查 117 粤Y14293 吴二妹 轻型厢式货车 柴油 8.02 2013/11/21 狮山博爱路与罗穆路交界旁 上路检查 118 粤Y19607 广东省南海化工总厂有限公司运输分公司 轻型厢式货车 柴油 3.58 2013/11/21 狮山博爱路与罗穆路交界旁 上路检查 119 粤YA7533 彭景红 中型厢式货车 柴油 7.8 2013/11/21 狮山博爱路与罗穆路交界旁 上路检查 120 粤Y04978 佛山市南海晨远不锈钢厂 中型厢式货车 柴油 3.41 2013/11/21 狮山博爱路与罗穆路交界旁 上路检查 121 粤Y15298 佛山市南海区志德化工有限公司运输分公司 轻型厢式货车 柴油 11.94 2013/11/21 狮山博爱路与罗穆路交界旁 上路检查 122 粤EHK898 佛山市三水协扬包装材料有限公司 轻型厢式货车 柴油 5.71 2013/11/21 狮山博爱路与罗穆路交界旁 上路检查 123 粤Y16367 佛山市南海区大沥富兴购销部 轻型厢式货车 柴油 4.86 2013/11/21 狮山博爱路与罗穆路交界旁 上路检查 124 粤HB4127 赵根辉 轻型厢式货车 柴油 7.3 2013/11/28 狮山兴业路与银狮路交界旁 上路检查 125 粤YP5963 佛山市天茅包装材料有限公司 轻型厢式货车 柴油 4.28 2013/11/28 狮山兴业路与银狮路交界旁 上路检查 126 粤H58789 陈建华 轻型厢式货车 柴油 9.23 2013/11/28 狮山兴业路与银狮路交界旁 上路检查 127 粤E07190 曾志龙 中型厢式货车 柴油 4.27 2013/11/28 狮山兴业路与银狮路交界旁 上路检查 128 粤YLL893 陈双星 轻型厢式货车 柴油 4.01 2013/11/28 狮山兴业路与银狮路交界旁 上路检查 129 粤Y38130 刘铭来 轻型厢式货车 柴油 6.08 2013/11/19 樵金北路上安路段 上路检查 130 粤YK3786 陈嘉伟 轻型厢式货车 柴油 9.92 2013/11/19 樵金北路上安路段 上路检查 131 粤Y51816 梁活佳 轻型厢式货车 柴油 6.38 2013/11/19 樵金北路上安路段 上路检查 132 粤YF7836 梁灼明 轻型厢式货车 柴油 4.66 2013/11/19 樵金北路上安路段 上路检查 133 粤YMB363 萝权南 轻型厢式货车 柴油 9.28 2013/11/19 樵金北路上安路段 上路检查 134 粤YF7263 徐国滔 轻型厢式货车 柴油 3.13 2013/11/19 樵金北路上安路段 上路检查 135 粤YCW318 向长文 轻型厢式货车 柴油 3.21 2013/11/19 樵金北路上安路段 上路检查 136 粤ET6684 程景芳 重型厢式货车 柴油 6.1 2013/11/21 西安路段 上路检查 137 粤YL1923 陆美莲 轻型厢式货车 柴油 5.17 2013/11/21 西安路段 上路检查 138 粤E2A809 沈学忠 轻型普通货车 柴油 5.09 2013/11/21 西安路段 上路检查 139 粤YQ3330 梁锦明 轻型普通货车 柴油 4.51 2013/11/21 西安路段 上路检查 140 粤E6P427 梁永成 轻型普通货车 柴油 4.16 2013/11/21 西安路段 上路检查 141 湘E08942 刘经国 中型普通货车 柴油 3.9 2013/11/21 西安路段 上路检查 142 粤X99542 黄志昌 轻型普通货车 柴油 5.46 2013/11/26 樵金北路上安路段 上路检查 143 粤YP3552 广东省奥尔斯电桶有限公司 轻型普通货车 柴油 7.31 2013/11/26 樵金北路上安路段 上路检查 144 粤K15330 徐华金 中型厢式货车 柴油 6.16 2013/11/27 西安路段 上路检查 145 粤E2Q823 广东新明珠陶瓷集团有限公司 轻型普通货车 柴油 13.06 2013/11/27 西安路段 上路检查 146 粤YJ2115 梁迪贯 轻型货车 柴油 6.10 2013/11/15 樵高路交警中队交通灯 上路检查 147 粤YJ4775 王志远 轻型货车 柴油 5.45 2013/11/15 樵高路交警中队交通灯 上路检查 148 粤Y11381 罗荣盛 轻型货车 柴油 5.89 2013/11/15 樵高路交警中队交通灯 上路检查 149 粤YQ3460 陈志波 轻型货车 柴油 4.17 2013/11/15 樵高路交警中队交通灯 上路检查 150 粤YE6884 佛山市南海胜牌纺织贸易有限公司 轻型货车 柴油 5.71 2013/11/15 樵高路交警中队交通灯 上路检查 151 粤YOW170 邱忠英 轻型货车 柴油 4.68 2013/11/15 樵高路交警中队交通灯 上路检查 152 粤Y96003 叶昌锐 轻型货车 柴油 5.02 2013/11/15 樵高路交警中队交通灯 上路检查 153 粤X87C57 梁锦坤 轻型货车 柴油 3.38 2013/11/15 樵高路交警中队交通灯 上路检查 154 粤YR3230 陈耀初 轻型货车 柴油 3.71 2013/11/15 樵高路交警中队交通灯 上路检查 155 粤Y46887 杨健明 轻型厢式货车 柴油 4.73 2013/11/20 樵高路交警中队交通灯 上路检查 156 粤Y61H70 夏细 轻型厢式货车 柴油 5.14 2013/11/20 樵高路交警中队交通灯 上路检查 157 粤Y13829 梁细妹 中型厢式货车 柴油 12.63 2013/11/20 樵高路交警中队交通灯 上路检查 158 粤YM2042 谭锦才 轻型普通货车 柴油 3.72 2013/11/20 樵高路交警中队交通灯 上路检查 159 粤YM5557 潘记昌 轻型厢式货车 柴油 3.79 2013/11/22 樵高路交警中队交通灯 上路检查 160 粤Y75A46 黎淑珍 轻型厢式货车 柴油 4.92 2013/11/22 樵高路交警中队交通灯 上路检查 161 粤E07593 陈亚林 轻型普通货车 柴油 5.84 2013/11/27 樵高路交警中队交通灯 上路检查 162 粤YP0925 区健海 轻型厢式货车 柴油 3.72 2013/11/27 樵高路交警中队交通灯 上路检查 163 粤YHS238 何顺怡 轻型厢式货车 柴油 5.99 2013/11/27 樵高路交警中队交通灯 上路检查 164 粤Y01960 中国电信股份有限公司佛山南海区分公司 轻型厢式货车 柴油 4.54 2013/11/27 樵高路交警中队交通灯 上路检查 165 粤YGA233 陆国章 轻型普通货车 柴油 4.49 2013/11/29 樵高路交警中队交通灯 上路检查 166 粤YY1091 庞辉洪 轻型厢式货车 柴油 5.23 2013/11/29 樵高路交警中队交通灯 上路检查 167 粤YW0557 陈兆丰 轻型厢式货车 柴油 10.59 2013/11/29 樵高路交警中队交通灯 上路检查 168 粤YB1363 佛山市南海区盛星五金拉丝厂 中型普通货车 柴油 4.24 2013/11/29 樵高路交警中队交通灯 上路检查 169 粤Y18463 崔其著 中型普通货车 柴油 8.83 2013/11/29 樵高路交警中队交通灯 上路检查 170 粤YV4989 苏伯醒 轻型普通货车 柴油 3.66 2013/11/29 樵高路交警中队交通灯 上路检查 171 粤YD8204 柴油 5.02 2013/11/29 樵高路交警中队交通灯 上路检查 柴油 7.8 2013/11/15 九江镇大正路 上路检查 173 潘顺照 轻型普通货车 粤YN3541 佛山市南海华林电力电器安装有限公司九江 轻型普通货车 分公司 粤YX1212 佛山市南海区九江镇水利排灌养护站 轻型普通货车 柴油 7.3 2013/11/15 九江镇大正路 上路检查 174 粤Y32773 欧铨林 轻型厢式货车 柴油 10.34 2013/11/15 九江镇大正路 上路检查 175 粤JXD600 林苑想 轻型厢式货车 柴油 3.02 2013/11/15 九江镇大正路 上路检查 176 粤Y48A23 甘月珍 轻型厢式货车 柴油 4.53 2013/11/19 九江镇洛浦路 上路检查 177 粤YV4738 陶申强 轻型厢式货车 柴油 14.28 2013/11/19 九江镇洛浦路 上路检查 178 粤YZU331 钟达贤 轻型厢式货车 柴油 3.38 2013/11/19 九江镇洛浦路 上路检查 179 粤JZ6419 左汉军 轻型普通货车 柴油 3.71 2013/11/19 九江镇洛浦路 上路检查 180 粤YL4690 黄学强 轻型厢式货车 柴油 5.35 2013/11/21 九江镇下北大道 上路检查 181 粤Y77K21 陈永发 轻型厢式货车 柴油 6.65 2013/11/21 九江镇下北大道 上路检查 182 粤YM6862 郑俊华 轻型自卸货车 柴油 4.92 2013/11/21 九江镇下北大道 上路检查 183 湘D33572 胡新会 轻型普通货车 柴油 4.42 2013/11/25 九江镇洛浦路 上路检查 184 粤Y39739 佛山市承能电力安装有限公司 轻型普通货车 柴油 5.28 2013/11/25 九江镇洛浦路 上路检查 185 粤Y14C21 吴兆林 轻型厢式货车 柴油 6.9 2013/11/25 九江镇洛浦路 上路检查 172 186 粤Y77572 陈敏光 轻型厢式货车 柴油 3.49 2013/11/25 九江镇洛浦路 上路检查 187 粤XG6089 王喜洋 轻型普通货车 柴油 4.7 2013/11/26 九江镇大正路 上路检查 188 粤AQX185 吴友青 轻型普通货车 柴油 5.3 2013/11/26 九江镇大正路 上路检查 189 粤JY4301 黄枝洪 轻型厢式货车 柴油 5.22 2013/11/26 九江镇大正路 上路检查 190 粤Y19512 张范珠 轻型厢式货车 柴油 5.31 2013/11/26 九江镇大正路 上路检查 191 粤JN4289 江门市新会区大泽镇勤利织造厂 轻型厢式货车 柴油 5.35 2013/11/26 九江镇大正路 上路检查 192 粤Y10593 佛山市南海佛广公共汽车有限公司 大型普通客车 柴油 3.25 2013/11/29 广佛车站 停放地抽检 193 粤Y07988 佛山市南海佛广公共汽车有限公司 大型普通客车 柴油 5.51 2013/11/29 广佛车站 停放地抽检 194 粤Y08165 佛山市南海佛广公共汽车有限公司 大型普通客车 柴油 3.09 2013/11/29 广佛车站 停放地抽检 195 粤ES3997 广州床上用品厂三水市广南联营厂 轻型载货车 柴油 2.64 2013/11/5 汾江北路 上路检查 196 粤E9D059 佛山市中正化玻有限公司 轻型载货车 柴油 3.52 2013/11/5 汾江北路 上路检查 197 粤E5E942 廖伟坚 轻型载货车 柴油 3.52 2013/11/7 魁奇路与汾江北路交界 上路检查 198 粤YX3060 廖育云 轻型载货车 柴油 6.34 2013/11/7 魁奇路与汾江北路交界 上路检查 199 粤EEF139 苏仙德 轻型载货车 柴油 4.57 2013/11/7 魁奇路与汾江北路交界 上路检查 200 粤YP4537 曾育长 轻型载货车 柴油 3.18 2013/11/7 魁奇路与汾江北路交界 上路检查 201 粤YW7633 伦耀斌 轻型载货车 柴油 4.48 2013/11/11 汾江北路 上路检查 202 粤YEK918 佛山市南海区稻草生活用品有限公司 轻型载货车 柴油 4.75 2013/11/13 南庄大道绿岛明珠旁 上路检查 203 粤E50444 霍慧青 轻型载货车 柴油 3.43 2013/11/13 南庄大道绿岛明珠旁 上路检查 204 粤Y0W995 佛山市同丰汽车配件有限公司 轻型载货车 柴油 4.89 2013/11/18 汾江北路 上路检查 205 粤E80679 粱浩灿 轻型载货车 柴油 3.07 2013/11/18 汾江北路 上路检查 206 粤YT3397 杨镜荣 轻型载货车 柴油 4.65 2013/11/18 汾江北路 上路检查 207 粤EPF799 戴文泉 轻型载货车 柴油 5.56 2013/11/19 东平桥桥底 上路检查 208 粤XK4349 周惠贤 轻型载货车 柴油 3.06 2013/11/19 东平桥桥底 上路检查 209 粤EKN777 罗秀兵 轻型载货车 柴油 3.19 2013/11/19 桂澜路南延线 上路检查 210 粤E7K247 刘祥宝 轻型载货车 柴油 3.49 2013/11/20 南庄大道绿岛明珠旁 上路检查 211 粤YMM117 吴汉裕 轻型载货车 柴油 4.24 2013/11/20 南庄大道绿岛明珠旁 上路检查 212 粤EB6536 罗文庆 轻型载货车 柴油 3.41 2013/11/20 南庄大道绿岛明珠旁 上路检查 213 粤E5J748 詹亮 轻型载货车 柴油 3.84 2013/11/20 季华路南庄段 上路检查 214 粤YJG636 刘红军 轻型载货车 柴油 3.95 2013/11/20 季华路南庄段 上路检查 215 粤E27587 佛山市富诚针织定型有限公司 轻型载货车 柴油 4.45 2013/11/21 朗沙路张槎分局门口 上路检查 216 粤XC3350 冼辉成 轻型载货车 柴油 4.65 2013/11/21 朗沙路张槎分局门口 上路检查 217 粤YK9135 黎浩昌 轻型载货车 柴油 2.78 2013/11/21 轻工路张槎中心小学 上路检查 218 粤E4L696 关小琼 轻型载货车 柴油 3.77 2013/11/21 轻工路张槎中心小学 上路检查 219 粤YZ7440 佛山市瑞鹏机械修复厂 轻型载货车 柴油 2.87 2013/11/21 轻工路张槎中心小学 上路检查 220 粤E0G280 招祖标 轻型载货车 柴油 5.54 2013/11/21 轻工路张槎中心小学 上路检查 221 粤EE6429 佛山市天兴消防器材有限公司 轻型载货车 柴油 2.94 2013/11/21 汾江北路 上路检查 222 粤YYE950 佛山市汇元建材有限公司 轻型载货车 柴油 3.35 2013/11/21 汾江北路 上路检查 223 粤YN9913 黎景冲 轻型载货车 柴油 5.53 2013/11/21 汾江北路 上路检查 224 粤YW4016 佛山市南海区粤南电线电缆有限公司 轻型载货车 柴油 3.65 2013/11/21 汾江北路 上路检查 225 粤YCM858 张芳飞 轻型载货车 柴油 5.16 2013/11/26 桂澜路南延线 上路检查 226 粤E8B935 黄勤妍 轻型载货车 柴油 5.63 2013/11/26 桂澜路南延线 上路检查 227 粤Y00E03 杨小保 轻型载货车 柴油 4.12 2013/11/26 桂澜路南延线 上路检查 228 粤E2D786 佛山市耀龙金属公司 轻型载货车 柴油 5.45 2013/11/26 桂澜路南延线 上路检查 229 粤E48094 凌远飞 轻型载货车 柴油 5.25 2013/11/26 东平桥桥底 上路检查 230 粤YDE250 周炽坚 轻型载货车 柴油 6.81 2013/11/26 东平桥桥底 上路检查 231 粤YX2962 陈霈聪 轻型载货车 柴油 5.09 2013/11/26 东平桥桥底 上路检查 232 粤E3N479 罗志佳 轻型载货车 柴油 11.85 2013/11/27 南庄大道绿岛明珠旁 上路检查 233 粤E21975 邓启斌 轻型载货车 柴油 3.88 2013/11/27 南庄大道绿岛明珠旁 上路检查 234 粤E52923 陈永煜 轻型载货车 柴油 4.69 2013/11/28 朗沙路张槎分局门口 上路检查 235 粤EA3427 佛山市伟志纺织有限公司 轻型载货车 柴油 2.85 2013/11/28 朗沙路张槎分局门口 上路检查 236 粤E2R472 佛山市粤华隆纺织科技有限公司 轻型载货车 柴油 4.43 2013/11/28 轻工路张槎中心小学 上路检查 237 粤E17966 佛山市荣基本贸易中心(无行驶证) 轻型载货车 柴油 12.84 2013/11/28 轻工路张槎中心小学 上路检查 238 粤E6N836 余志华 轻型载货车 柴油 5.87 2013/11/28 轻工路张槎中心小学 上路检查 239 粤E4E123 佛山市仁辉机械设备安装有限公司 轻型载货车 柴油 8.11 2013/11/28 轻工路张槎中心小学 上路检查 240 粤YXH686 李少开 轻型载货车 柴油 6.58 2013/11/29 汾江北路 上路检查 241 粤EC4167 佛山永盛达机械有限公司 轻型载货车 柴油 12.29 2013/11/29 汾江北路 上路检查 242 粤E7G377 谭兆东 轻型载货车 柴油 4.1 2013/11/29 汾江北路 上路检查 243 粤YGY448 南海区桂城冠裕金属制品厂 轻型载货车 柴油 4.92 2013/11/29 汾江北路 上路检查 244 粤XV1128 李忠 轻型载货车 柴油 4.46 2013/11/29 汾江北路 上路检查

相关文章