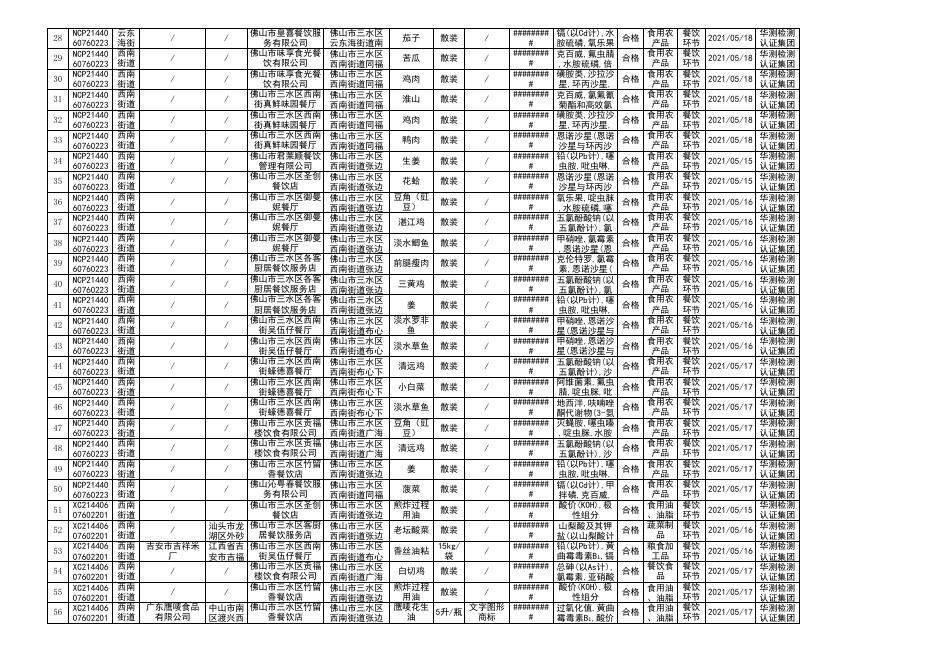
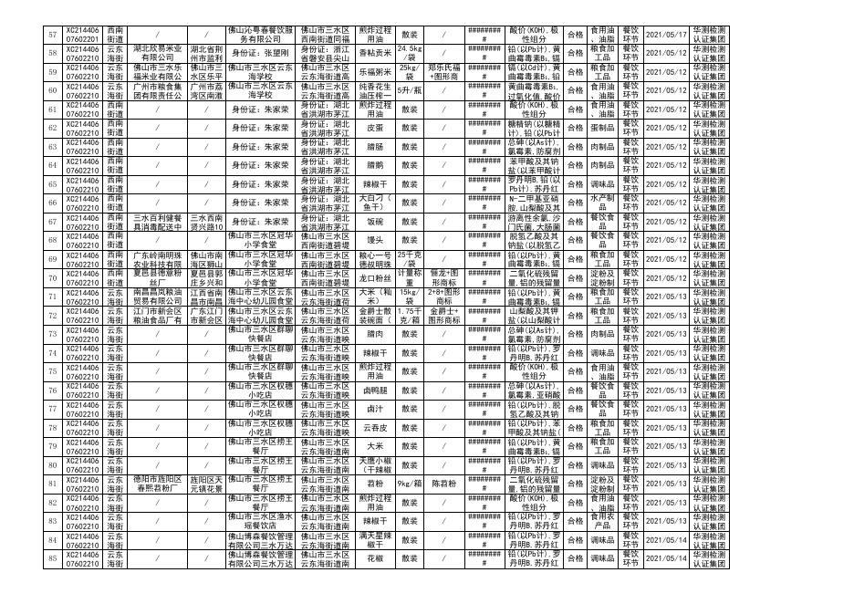
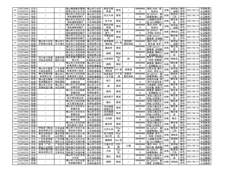
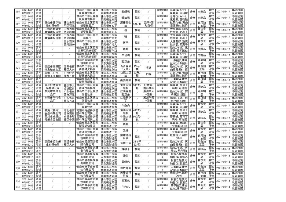
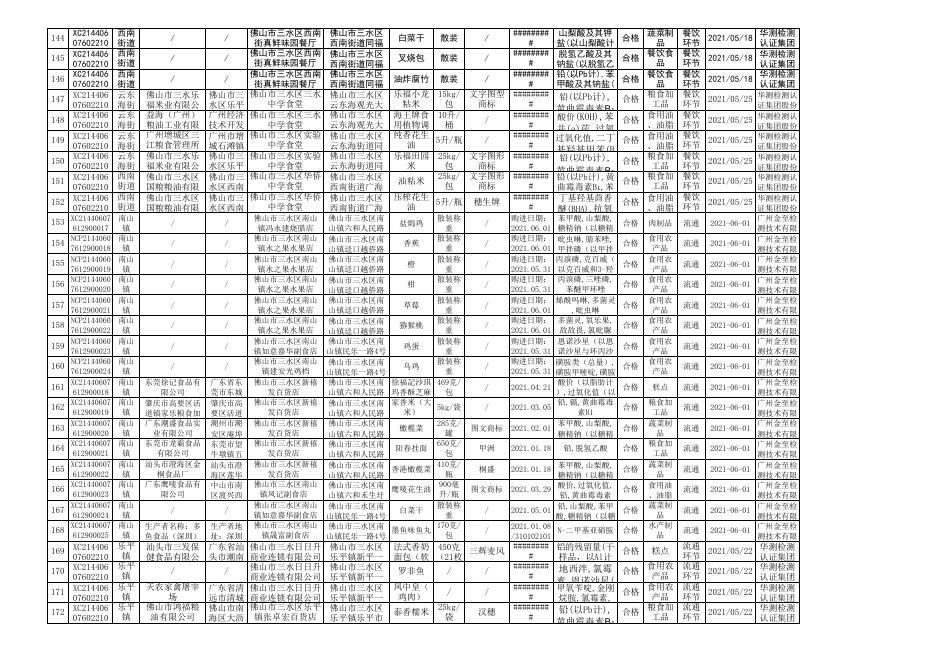
1、2021年第6期食品安全抽检产品合格信息.xls
2021年第6期食品安全抽检合格产品信息 序 号 1 2 3 4 5 6 7 8 9 10 11 12 13 14 15 16 17 18 19 20 21 22 23 24 25 26 27 抽样编号 XC214406 07602201 306 XC214406 07602210 257 XC214406 07602210 269 XC214406 07602210 300 XC214406 07602210 305 NCP21440 60760223 0001 NCP21440 60760223 0002 NCP21440 60760223 0003 NCP21440 60760223 0004 NCP21440 60760223 0005 NCP21440 60760223 0006 NCP21440 60760223 0007 NCP21440 60760223 0008 NCP21440 60760223 0009 NCP21440 60760223 0010 NCP21440 60760223 0012 NCP21440 60760223 0013 NCP21440 60760223 0014 NCP21440 60760223 0015 NCP21440 60760223 0016 NCP21440 60760223 0017 NCP21440 60760223 0018 NCP21440 60760223 0019 NCP21440 60760223 0020 NCP21440 60760223 0021 NCP21440 60760223 0023 NCP21440 60760223 0024 镇街 标称生产(供货 标称生产 被抽样单位地 被抽样单位名称 辖区 )单位名称 址 (供货)单 西南 临沂市鑫升食 山东省临 位地址 佛山市三水区圣创 佛山市三水区 街道 品有限责任公 沂市河东 餐饮店 西南街道张边 司 区汤头街 佛山市三水区渔水 路9号三水广场 山东省临 云东 临沂市鑫升食 佛山市三水区 瑶餐饮店 3座317之一、 沂市河东 海街 品有限责任公 道葛沟驻 云东海街道南 地 318号铺 西南 兰考华成食品 佛山市博川餐饮有 丰大道13号之1 区汤头街 道 司 兰考县产 佛山市三水区 街道 有限公司 限公司 道葛沟驻 佛山三水万达 业聚集区 西南街张边路9 地 广场室内步行 西南 河南华英樱桃 河南省潢 佛山市三水区西南 佛山市三水区 科技路南 号三水广场三 街四层4050号( 街道 谷食品有限公 川县何店 街傣妹火锅店 侧 座309之一 西南街道张边 住所申报) 西南 临沂市河东区 司 工业园区 佛山市君莱顺餐饮 路9号三水广场 山东省临 佛山市三水区 街道 华贵食品有限 沂市河东 管理有限公司 三座三层3608 西南街道张边 号铺 区汤头街 路9号“三水广 公司 云东 / / 身份证:张望刚 身份证:浙江 道葛沟前 场”三座3606 海街 省磐安县尖山 村 号铺 镇秧田坑村综 道 云东 / / 身份证:张望刚 身份证:浙江 合路29号 海街 省磐安县尖山 镇秧田坑村综 道 云东 / / 身份证:张望刚 身份证:浙江 合路29号 省磐安县尖山 海街 佛山市三水区云东 佛山市三水区 镇秧田坑村综 道 云东 / / 海学校 合路29号 海街 云东海街道高 西南 丰村委会“高 道 身份证:湖北 / / 身份证:朱家荣 街道 丰围” 省洪湖市茅江 西南 佛山市三水区冠华 佛山市三水区 街道南棚新村 / / 街道 小学食堂 36号附1号 西南街道碧堤 佛山市三水区云东 路8号雅居乐花 云东 佛山市三水区 / / 海中心幼儿园食堂 云东海街道荷 园食堂(2F) 海街 首层及二层 佛山市三水区群聊 湖南路2号融璟 道 云东 佛山市三水区 / / 快餐店 花园9座 海街 云东海街道映 佛山市三水区权穗 佛山市三水区 道 海路华远海蓝 云东 / / 小吃店 璟园3座 海街 云东海街道映 102.103.104( 佛山市三水区权穗 佛山市三水区 道 海路华远海蓝 云东 / / 住所申报) 小吃店 城111铺(住所 海街 云东海街道映 申报) 佛山市三水区渔水 佛山市三水区 海路华远海蓝 道 云东 / / 瑶餐饮店 城111铺(住所 海街 云东海街道南 申报) 道 云东 佛山博森餐饮管理 丰大道13号之1 佛山市三水区 / / 海街 有限公司三水万达 佛山三水万达 云东海街道南 广场室内步行 道 分公司 丰大道13号三 云东 佛山博森餐饮管理 佛山市三水区 / / 水万达广场二 海街 有限公司三水万达 街四层4050号( 云东海街道南 住所申报) 座1057、1058( 道 分公司 丰大道13号三 云东 佛山博森餐饮管理 佛山市三水区 / / 住所申报) 水万达广场二 海街 有限公司三水万达 云东海街道南 座1057、1058( 佛山市三水区云东 道 分公司 丰大道13号三 佛山市三水区 云东 / / 住所申报) 海街道陈丽餐厅 云东海街道南 水万达广场二 海街 座1057、1058( 佛山市三水区云东 丰大道13号之1 道 佛山市三水区 云东 / / 住所申报) 海街道陈丽餐厅 云东海街道南 佛山三水万达 海街 广场室内步行 佛山市三水区云东 丰大道13号之1 道 佛山市三水区 云东 / / 海街道陈丽餐厅 街4F层4006号( 佛山三水万达 云东海街道南 海街 住所申报) 广场室内步行 佛山市三水区云东 丰大道13号之1 道 云东 佛山市三水区 / / 海街道谢家班餐厅 街4F层4006号( 佛山三水万达 海街 云东海街道南 住所申报) 广场室内步行 佛山市三水区云东 丰大道13号之1 道 云东 佛山市三水区 / / 海街道谢家班餐厅 街4F层4006号( 佛山三水万达 海街 云东海街道南 住所申报) 广场室内步行 佛山市三水区云东 丰大道13号之1 道 云东 佛山市三水区 / / 海街道谢家班餐厅 街四层4029号 佛山三水万达 海街 云东海街道南 广场室内步行 佛山市迎捷酒店管 丰大道13号之1 道 云东 佛山市三水区 / / 街四层4029号 理有限公司 佛山三水万达 海街 云东海街道南 广场室内步行 佛山市迎捷酒店管 佛山市三水区 丰大道15号之 道 云东 / / 街四层4029号 理有限公司 一 海街 云东海街道南 丰大道15号之 道 一 规格型 号 300g/ 华锣鸭血 盒 300g/ 鑫升鸭血 盒 400g/ 鸭血 包 300g/ 鸭血 盒 即食血豆 300g/ 腐 盒 样品名称 西芹 散装 四季豆 散装 鸡蛋 散装 菜心 散装 猪肝 散装 黄白菜( 水白)大 白菜 土鸡蛋 散装 鲜鸡蛋 散装 包菜 散装 上海青 散装 生姜 散装 油麦菜 散装 鸡蛋 散装 猪肉 散装 猪肉 散装 绿豆芽 散装 四季豆 散装 包菜 散装 黄豆芽 散装 淡水皖鱼 (草鱼) 散装 香蕉 散装 青辣椒 散装 散装 生产日期 /批号 华锣+图 ######## 形商标 # 华锣+图 ######## 形商标 # 血状元+ ######## 图形商标 # 华英+图 ######## 形商标 # ######## / # ######## / # ######## / # ######## / # ######## / # ######## / # ######## / # ######## / # ######## / # ######## / # ######## / # ######## / # ######## / # ######## / # ######## / # ######## / # ######## / # ######## / # ######## / # ######## / # ######## / # ######## / # ######## / # 商标 检验项目 甲醛,苯甲酸及 其钠盐(以苯甲 酸计),山梨酸 甲醛,猪成分, 及其钾盐(以山 鸭成分,鸡成分 梨酸计),胭脂 ,新红,赤藓红, 甲醛,山梨酸及 红,鸡成分,鸭 胭脂红,铅(以 其钾盐(以山梨 成分,猪成分, Pb计),苏丹红 酸计),胭脂红, 甲醛,新红,脱 防腐剂混合使 ,防腐剂混合使 鸡成分,鸭成分 氢乙酸及其钠 用时各自用量 ,猪成分,防腐 盐(以脱氢乙酸 甲醛,鸡成分, 占其最大使用 剂混合使用时 计),苯甲酸及 鸭成分,猪成分 量的比例之和, 各自用量占其 其钠盐(以苯甲 ,防腐剂混合使 啶虫脒,克百威 苏丹红,红色着 红色着色剂混 最大使用量的 酸计),山梨酸 用时各自用量 ,氧乐果,氯氟 色剂混合使用 合使用时各自 比例之和,苏丹 及其钾盐(以山 占其最大使用 氰菊酯和高效 吡虫啉,氟虫腈 时各自用量占 用量占其最大 红,红色着色剂 梨酸计),胭脂 量的比例之和, 氯氟氰菊酯,氟 ,氧乐果,水胺 其最大使用量 使用量的比例 混合使用时各 红,鸡成分,鸭 苏丹红,红色着 虫腈,甲拌磷, 硫磷,灭蝇胺, 磺胺类,氟苯尼 的比例之和,铅 之和,脱氢乙酸 自用量占其最 成分,猪成分, 色剂混合使用 毒死蜱 克百威,甲胺磷 考,氯霉素,甲 (以Pb计),赤 及其钠盐(以脱 大使用量的比 防腐剂混合使 时各自用量占 ,多菌灵 硝唑,磺胺嘧啶 啶虫脒,克百威 藓红,新红,脱 氢乙酸计),山 例之和,铅(以 用时各自用量 其最大使用量 ,磺胺甲氧嗪( ,甲拌磷,氧乐 氢乙酸及其钠 梨酸及其钾盐( Pb计),赤藓红 占其最大使用 的比例之和,铅 磺胺甲氧哒嗪 果,联苯菊酯, 氯霉素,磺胺类 盐(以脱氢乙酸 以山梨酸计), ,新红,苯甲酸 量的比例之和, (以Pb计),赤 ),磺胺喹恶啉( 甲胺磷,氟虫腈 ,磺胺地索辛( 计) 苯甲酸及其钠 及其钠盐(以苯 苏丹红,红色着 藓红,新红,脱 磺胺喹沙啉/磺 磺胺间二甲氧 啶虫脒,克百威 盐(以苯甲酸计 甲酸计),脱氢 色剂混合使用 氢乙酸及其钠 胺喹噁啉),磺 嘧啶),磺胺喹 ,氟虫腈,甲拌 ) 乙酸及其钠盐( 时各自用量占 盐(以脱氢乙酸 胺间甲氧嘧啶, 沙啉(磺胺喹恶 磷,毒死蜱,甲 甲硝唑,氟苯尼 以脱氢乙酸计) 其最大使用量 计),苯甲酸及 磺胺间二甲氧 啉),磺胺嘧啶, 胺磷 考,氯霉素,金 的比例之和,铅 其钠盐(以苯甲 嘧啶(磺胺地 磺胺甲嘧啶(磺 刚烷胺,恩诺沙 甲硝唑,氟苯尼 (以Pb计),赤 酸计),山梨酸 索辛),磺胺二 胺甲基嘧啶), 星(恩诺沙星与 考,氯霉素,金 藓红 及其钾盐(以山 甲嘧啶,磺胺甲 磺胺甲鯻唑(磺 环丙沙星之和 刚烷胺,恩诺沙 氧乐果,涕灭威 梨酸计),胭脂 恶唑(磺胺甲基 胺甲恶唑),磺 ),磺胺类,环丙 星(恩诺沙星与 ,甲基异柳磷, 红 异噁唑/磺胺甲 胺二甲嘧啶,磺 沙星,恩诺沙星 环丙沙星之和 乙酰甲胺磷,甲 氟虫腈,氧乐果 鯻唑),磺胺甲 胺间甲氧嘧啶, ,磺胺间二甲氧 ),磺胺类,环丙 胺磷 ,啶虫脒,噻虫 基嘧啶(磺胺甲 莱克多巴胺,五 嘧啶(磺胺地 沙星,恩诺沙星 嗪,吡虫啉,毒 镉(以Cd计),噻 嘧啶),恩诺沙 氯酚酸钠(以五 索辛),磺胺喹 ,磺胺间二甲氧 死蜱,阿维菌素 虫胺,吡虫啉, 星,环丙沙星, 氯酚计),恩诺 恶啉(磺胺喹沙 嘧啶(磺胺地 噻虫嗪,铅(以 氟虫腈,甲拌磷 恩诺沙星(恩诺 沙星,环丙沙星 啉/磺胺喹噁啉 索辛),磺胺喹 Pb计) ,啶虫脒,水胺 沙星与环丙沙 ,恩诺沙星(恩 ),磺胺嘧啶,磺 恶啉(磺胺喹沙 硫磷,克百威, 甲硝唑,氟苯尼 星之和),金刚 诺沙星与环丙 胺甲基嘧啶(磺 啉/磺胺喹噁啉 氧乐果 考,氯霉素,金 烷胺 沙星之和),沙 胺甲嘧啶),磺 ),磺胺嘧啶,磺 刚烷胺,恩诺沙 恩诺沙星(恩诺 丁胺醇,克伦特 胺甲氧嗪(磺胺 胺甲基嘧啶(磺 星(恩诺沙星与 沙星与环丙沙 罗 甲氧哒嗪),磺 胺甲嘧啶),磺 环丙沙星之和 星之和),氯霉 克伦特罗,氯霉 胺甲恶唑(磺胺 胺甲氧嗪(磺胺 ),磺胺类,环丙 素,磺胺嘧啶, 素,恩诺沙星( 甲基异噁唑/磺 甲氧哒嗪),磺 沙星,磺胺喹恶 磺胺喹沙啉(磺 恩诺沙星与环 总汞(以Hg计), 胺甲鯻唑),磺 胺甲恶唑(磺胺 啉(磺胺喹沙啉 胺喹恶啉),磺 丙沙星之和), 6-苄基腺嘌呤( 胺二甲嘧啶,磺 甲基异噁唑/磺 /磺胺喹噁啉), 胺甲鯻唑(磺胺 磺胺类,环丙沙 6-BA),4-氯苯 甲胺磷,多菌灵 胺间甲氧嘧啶 胺甲鯻唑),磺 恩诺沙星,磺胺 甲恶唑),磺胺 星,恩诺沙星, 氧乙酸钠(以4,吡虫啉,水胺 胺二甲嘧啶,磺 间二甲氧嘧啶 甲嘧啶(磺胺甲 磺胺地索辛(磺 氯苯氧乙酸计) 硫磷,灭蝇胺, 甲胺磷,甲基异 胺间甲氧嘧啶 (磺胺地索辛 基嘧啶),磺胺 胺间二甲氧嘧 ,亚硫酸盐(以S 氧乐果,氟虫腈 柳磷,涕灭威, ),磺胺嘧啶, 间甲氧嘧啶,磺 啶),磺胺喹沙 O₂计),铬(以Cr ,克百威 氧乐果,乙酰甲 铅(以Pb计),亚 磺胺甲基嘧啶( 胺二甲嘧啶,沙 啉(磺胺喹恶啉 计),铅(以Pb计 胺磷 硫酸盐(以SO₂ 磺胺甲嘧啶), 丁胺醇,磺胺地 ),磺胺嘧啶,磺 ) 甲硝唑,氯霉素 计),6-苄基腺 磺胺甲氧嗪(磺 索辛(磺胺间二 胺甲嘧啶(磺胺 ,甲氧苄啶,地 嘌呤(6-BA),4胺甲氧哒嗪), 甲氧嘧啶),莱 甲基嘧啶),磺 西泮,环丙沙星 氯苯氧乙酸钠( 吡虫啉,苯醚甲 磺胺甲恶唑(磺 克多巴胺,磺胺 胺甲鯻唑(磺胺 ,恩诺沙星,恩 以4-氯苯氧乙 环唑,腈苯唑, 胺甲基异噁唑/ 类,克伦特罗, 甲恶唑),磺胺 诺沙星(恩诺沙 酸计),铬(以Cr 嘧菌酯,联苯菊 灭多威,甲拌磷 磺胺甲鯻唑), 恩诺沙星,环丙 二甲嘧啶,磺胺 星与环丙沙星 计),总汞(以Hg 酯,吡唑醚菌酯 ,氟虫腈,氧乐 磺胺二甲嘧啶, 沙星 间甲氧嘧啶,莱 之和),孔雀石 计) 果,甲胺磷,水 磺胺间甲氧嘧 克多巴胺,沙丁 绿,呋喃唑酮代 胺硫磷,多菌灵 啶 胺醇 谢物(3-氨基-2,镉(以Cd计), 恶唑酮) 抽检 大类 抽样 抽样时间 检验机构 环节 (格式要求 结果 餐饮 为yyyy-mm- 华测检测 (合 合格 肉制品 2021/05/15 环节 格/ dd) 认证集团 不合 餐饮 股份有限 合格 肉制品 2021/05/13 华测检测 格/ 环节 公司 认证集团 不判 餐饮 股份有限 华测检测 合格 定) 肉制品 环节 2021/05/15 认证集团 公司 餐饮 股份有限 合格 肉制品 2021/05/15 华测检测 环节 公司 认证集团 餐饮 股份有限 华测检测 合格 肉制品 2021/05/15 环节 公司 认证集团 食用农 餐饮 股份有限 华测检测 合格 2021/05/12 产品 环节 公司 认证集团 食用农 餐饮 股份有限 华测检测 合格 2021/05/12 产品 环节 公司 认证集团 食用农 餐饮 股份有限 华测检测 合格 2021/05/12 产品 环节 公司 认证集团 食用农 餐饮 股份有限 华测检测 合格 2021/05/12 产品 环节 公司 认证集团 食用农 餐饮 股份有限 华测检测 合格 2021/05/12 产品 环节 公司 认证集团 食用农 餐饮 股份有限 合格 2021/05/12 华测检测 产品 环节 公司 认证集团 食用农 餐饮 股份有限 华测检测 合格 2021/05/13 产品 环节 公司 认证集团 食用农 餐饮 股份有限 华测检测 合格 2021/05/13 产品 环节 公司 认证集团 食用农 餐饮 股份有限 华测检测 合格 2021/05/13 产品 环节 公司 认证集团 食用农 餐饮 股份有限 华测检测 合格 2021/05/13 产品 环节 公司 认证集团 食用农 餐饮 股份有限 华测检测 合格 2021/05/13 产品 环节 公司 认证集团 食用农 餐饮 股份有限 华测检测 合格 2021/05/14 产品 环节 公司 认证集团 食用农 餐饮 股份有限 华测检测 合格 2021/05/14 产品 环节 公司 认证集团 食用农 餐饮 股份有限 合格 2021/05/14 华测检测 产品 环节 公司 认证集团 食用农 餐饮 股份有限 华测检测 合格 2021/05/14 产品 环节 公司 认证集团 食用农 餐饮 股份有限 华测检测 合格 2021/05/14 产品 环节 公司 认证集团 食用农 餐饮 股份有限 华测检测 合格 2021/05/14 产品 环节 公司 认证集团 食用农 餐饮 股份有限 华测检测 合格 2021/05/14 产品 环节 公司 认证集团 食用农 餐饮 股份有限 华测检测 合格 2021/05/14 产品 环节 公司 认证集团 食用农 餐饮 股份有限 华测检测 合格 2021/05/14 产品 环节 公司 认证集团 食用农 餐饮 股份有限 合格 2021/05/18 华测检测 产品 环节 公司 认证集团 食用农 餐饮 股份有限 合格 2021/05/18 华测检测 产品 环节 公司 认证集团 股份有限 公司 28 29 30 31 32 33 34 35 36 37 38 39 40 41 42 43 44 45 46 47 48 49 50 51 52 53 54 55 56 NCP21440 60760223 0025 NCP21440 60760223 0026 NCP21440 60760223 0027 NCP21440 60760223 0028 NCP21440 60760223 0029 NCP21440 60760223 0030 NCP21440 60760223 0100 NCP21440 60760223 0103 NCP21440 60760223 0105 NCP21440 60760223 0106 NCP21440 60760223 0107 NCP21440 60760223 0109 NCP21440 60760223 0110 NCP21440 60760223 0111 NCP21440 60760223 0112 NCP21440 60760223 0113 NCP21440 60760223 0116 NCP21440 60760223 0117 NCP21440 60760223 0118 NCP21440 60760223 0120 NCP21440 60760223 0121 NCP21440 60760223 0123 NCP21440 60760223 0124 XC214406 07602201 307 XC214406 07602201 308 XC214406 07602201 309 XC214406 07602201 310 XC214406 07602201 311 XC214406 07602201 312 云东 海街 西南 道 街道 西南 街道 西南 街道 西南 街道 西南 街道 西南 街道 西南 街道 西南 街道 西南 街道 西南 街道 西南 街道 西南 街道 西南 街道 西南 街道 西南 街道 西南 街道 西南 街道 西南 街道 西南 街道 西南 街道 西南 街道 西南 街道 西南 街道 西南 街道 西南 街道 西南 街道 西南 街道 西南 街道 / / / / / / / / / / / / / / / / / / / / / / / / / 吉安市吉祥米 厂 / / 广东鹰唛食品 有限公司 佛山市皇喜餐饮服 佛山市三水区 务有限公司 云东海街道南 佛山市味享食光餐 佛山市三水区 丰大道高丰涡 / 饮有限公司 首层至三层 西南街道同福 佛山市味享食光餐 路11号(商业楼 佛山市三水区 / 饮有限公司 三首层2号商铺 西南街道同福 ) 佛山市三水区西南 路11号(商业楼 佛山市三水区 / 街真鲜味园餐厅 三首层2号商铺 西南街道同福 ) 佛山市三水区西南 路11号(商业楼 佛山市三水区 / 街真鲜味园餐厅 西南街道同福 四首层3号) 佛山市三水区西南 路11号(商业楼 佛山市三水区 / 街真鲜味园餐厅 西南街道同福 四首层3号) 佛山市君莱顺餐饮 路11号(商业楼 佛山市三水区 / 管理有限公司 四首层3号) 西南街道张边 佛山市三水区圣创 路9号“三水广 佛山市三水区 / 餐饮店 场”三座3606 西南街道张边 号铺 佛山市三水区御曼 路9号三水广场 佛山市三水区 / 妮餐厅 3座317之一、 西南街道张边 318号铺 佛山市三水区御曼 路9号“三水广 佛山市三水区 / 妮餐厅 场”三座2096西南街道张边 2、2097、2099 佛山市三水区御曼 路9号“三水广 佛山市三水区 / 、2099A 妮餐厅 场”三座2096西南街道张边 2、2097、2099 佛山市三水区各客 路9号“三水广 佛山市三水区 / 、2099A 厨居餐饮服务店 场”三座2096西南街道张边 2、2097、2099 佛山市三水区各客 路9号三水广场 佛山市三水区 / 、2099A 厨居餐饮服务店 第三座309自编 西南街道张边 之四号铺 佛山市三水区各客 路9号三水广场 佛山市三水区 / 厨居餐饮服务店 第三座309自编 西南街道张边 之四号铺 佛山市三水区西南 路9号三水广场 佛山市三水区 / 街吴伍仔餐厅 第三座309自编 西南街道布心 之四号铺 佛山市三水区西南 佛山市三水区 下涡开发区二 / 街吴伍仔餐厅 小区2-39号 西南街道布心 佛山市三水区西南 佛山市三水区 下涡开发区二 / 街蠔德喜餐厅 小区2-39号 西南街布心下 佛山市三水区西南 佛山市三水区 涡开发区二小 / 街蠔德喜餐厅 区2-42号 西南街布心下 佛山市三水区西南 佛山市三水区 涡开发区二小 / 街蠔德喜餐厅 区2-42号 西南街布心下 佛山市三水区贡福 佛山市三水区 涡开发区二小 / 楼饮食有限公司 西南街道广海 区2-42号 佛山市三水区贡福 佛山市三水区 大道西6号 / 楼饮食有限公司 西南街道广海 佛山市三水区竹留 佛山市三水区 大道西6号 / 香餐饮店 西南街道张边 佛山沁粤春餐饮服 路2号汇丰花园 佛山市三水区 / 务有限公司 首层东60-61号 西南街道同福 佛山市三水区圣创 佛山市三水区 路11号(商业 / 餐饮店 楼一首层16号 西南街道张边 商铺) 汕头市龙 佛山市三水区客厨 路9号三水广场 佛山市三水区 居餐饮服务店 3座317之一、 湖区外砂 西南街道张边 318号铺 南社工业 佛山市三水区西南 路9号三水广场 江西省吉 佛山市三水区 街吴伍仔餐厅 区 第三座309自编 安市吉福 西南街道布心 之四号铺 路2.5公 佛山市三水区贡福 佛山市三水区 下涡开发区二 / 里126号 楼饮食有限公司 西南街道广海 小区2-39号 佛山市三水区竹留 佛山市三水区 大道西6号 / 香餐饮店 西南街道张边 中山市南 佛山市三水区竹留 路2号汇丰花园 佛山市三水区 香餐饮店 首层东60-61号 区渡兴西 西南街道张边 路2号汇丰花园 路 首层东60-61号 / 茄子 苦瓜 鸡肉 淮山 鸡肉 鸭肉 生姜 花蛤 豆角(豇 豆) 湛江鸡 淡水鲫鱼 前腿瘦肉 三黄鸡 姜 淡水罗非 鱼 淡水草鱼 清远鸡 小白菜 淡水草鱼 豆角(豇 豆) 清远鸡 姜 菠菜 煎炸过程 用油 老坛酸菜 香丝油粘 白切鸡 煎炸过程 用油 鹰唛花生 油 ######## 镉(以Cd计),水 合格 # 胺硫磷,氧乐果 ######## 克百威,氟虫腈 ,甲拌磷,氟虫 散装 / 合格 # 腈,甲胺磷,克 ,水胺硫磷,倍 百威 ######## 磺胺类,沙拉沙 硫磷,对硫磷, 散装 / 合格 # 甲胺磷,灭多威 星,环丙沙星, ######## 克百威,氯氟氰 恩诺沙星,磺胺 散装 / 合格 # 地索辛(磺胺间 菊酯和高效氯 二甲氧嘧啶), ######## 磺胺类,沙拉沙 氟氰菊酯,铅( 散装 / 合格 磺胺喹沙啉(磺 # 以Pb计),涕灭 星,环丙沙星, 胺喹恶啉),磺 威 ######## 恩诺沙星(恩诺 恩诺沙星,磺胺 散装 / 合格 胺嘧啶,磺胺甲 # 地索辛(磺胺间 沙星与环丙沙 嘧啶(磺胺甲基 二甲氧嘧啶), ######## 铅(以Pb计),噻 星之和),氯霉 散装 / 嘧啶),磺胺甲 合格 磺胺喹沙啉(磺 # 素,恩诺沙星, 虫胺,吡虫啉, 鯻唑(磺胺甲恶 胺喹恶啉),磺 ######## 环丙沙星,金刚 噻虫嗪,镉(以 恩诺沙星(恩诺 散装 / 合格 唑),磺胺二甲 胺嘧啶,磺胺甲 烷胺 # Cd计) 沙星与环丙沙 嘧啶,磺胺间甲 嘧啶(磺胺甲基 ######## 氧乐果,啶虫脒 星之和),氯霉 散装 / 氧嘧啶,甲氧苄 嘧啶),磺胺甲 合格 # 素,孔雀石绿, ,水胺硫磷,噻 啶,氯霉素,五 鯻唑(磺胺甲恶 镉(以Cd计),环 ######## 五氯酚酸钠(以 虫嗪,克百威, 散装 / 合格 氯酚酸钠(以五 唑),磺胺二甲 丙沙星,恩诺沙 # 灭蝇胺 五氯酚计),氯 氯酚计),金刚 嘧啶,磺胺间甲 星 ######## 甲硝唑,氯霉素 霉素,金刚烷胺 散装 / 合格 烷胺,恩诺沙星 氧嘧啶,甲氧苄 # ,恩诺沙星(恩 (恩诺沙星与环 啶,氯霉素,五 ######## 克伦特罗,氯霉 诺沙星与环丙 散装 / 丙沙星之和) 合格 氯酚酸钠(以五 沙星之和),磺 # 沙星之和),孔 素,恩诺沙星( 氯酚计),金刚 胺类,沙拉沙星 雀石绿,环丙沙 ######## 五氯酚酸钠(以 恩诺沙星与环 散装 / 合格 烷胺,恩诺沙星 ,环丙沙星,恩 星,恩诺沙星, # 丙沙星之和), 五氯酚计),氯 (恩诺沙星与环 诺沙星,磺胺地 甲氧苄啶,地西 磺胺类,环丙沙 ######## 铅(以Pb计),噻 霉素,金刚烷胺 散装 / 丙沙星之和) 合格 索辛(磺胺间二 泮,呋喃唑酮代 星,恩诺沙星, # ,恩诺沙星(恩 虫胺,吡虫啉, 甲氧嘧啶),磺 磺胺地索辛(磺 诺沙星与环丙 ######## 谢物(3-氨基-2噻虫嗪,镉(以 甲硝唑,恩诺沙 合格 散装 / 胺喹沙啉(磺胺 恶唑酮) 胺间二甲氧嘧 沙星之和),磺 # Cd计) 星(恩诺沙星与 喹恶啉),磺胺 啶),磺胺喹沙 ######## 胺类,沙拉沙星 环丙沙星之和 甲硝唑,恩诺沙 散装 / 嘧啶,磺胺甲嘧 啉(磺胺喹恶啉 ,环丙沙星,恩 合格 # ),孔雀石绿,环 星(恩诺沙星与 啶(磺胺甲基嘧 ),磺胺嘧啶,磺 诺沙星,磺胺地 丙沙星,恩诺沙 ######## 五氯酚酸钠(以 环丙沙星之和 散装 / 啶),磺胺甲鯻 合格 胺甲嘧啶(磺胺 索辛(磺胺间二 星,甲氧苄啶, # ),孔雀石绿,环 五氯酚计),沙 唑(磺胺甲恶唑 甲基嘧啶),磺 甲氧嘧啶),磺 地西泮,氯霉素 丙沙星,恩诺沙 ######## 拉沙星,环丙沙 阿维菌素,氟虫 散装 / ),磺胺二甲嘧 合格 胺甲鯻唑(磺胺 胺喹沙啉(磺胺 ,呋喃唑酮代谢 星,甲氧苄啶, # 星,恩诺沙星, 腈,啶虫脒,吡 啶,磺胺间甲氧 甲恶唑),磺胺 喹恶啉),磺胺 物(3-氨基-2地西泮,氯霉素 磺胺地索辛(磺 ######## 地西泮,呋喃唑 虫啉,毒死蜱, 散装 / 合格 嘧啶,甲氧苄啶 二甲嘧啶,磺胺 嘧啶,磺胺甲嘧 恶唑酮) ,呋喃唑酮代谢 胺间二甲氧嘧 # 氧乐果,噻虫嗪 酮代谢物(3-氨 间甲氧嘧啶,莱 啶(磺胺甲基嘧 物(3-氨基-2啶),磺胺喹沙 ######## 灭蝇胺,噻虫嗪 基-2-恶唑酮), 散装 / 合格 克多巴胺,沙丁 啶),磺胺甲鯻 恶唑酮) 啉(磺胺喹恶啉 # 环丙沙星,恩诺 ,啶虫脒,水胺 胺醇 唑(磺胺甲恶唑 ),磺胺嘧啶,磺 沙星,甲氧苄啶 ######## 五氯酚酸钠(以 硫磷,氧乐果, 散装 / 合格 ),磺胺二甲嘧 胺甲嘧啶(磺胺 ,氯霉素,甲硝 # 克百威 五氯酚计),沙 啶,磺胺间甲氧 甲基嘧啶),磺 唑,恩诺沙星( ######## 铅(以Pb计),噻 拉沙星,环丙沙 散装 / 嘧啶,甲氧苄啶 胺甲鯻唑(磺胺 恩诺沙星与环 合格 # 星,恩诺沙星, 虫胺,吡虫啉, 甲恶唑),磺胺 丙沙星之和), ######## 磺胺地索辛(磺 噻虫嗪,镉(以 镉(以Cd计),甲 散装 / 合格 二甲嘧啶,磺胺 孔雀石绿 胺间二甲氧嘧 # Cd计) 拌磷,克百威, 间甲氧嘧啶,甲 啶),磺胺喹沙 ######## 氟虫腈,毒死蜱 酸价(KOH),极 散装 / 合格 氧苄啶,氯霉素 啉(磺胺喹恶啉 # 性组分 ,氧乐果,阿维 ,金刚烷胺,恩 ),磺胺嘧啶,磺 菌素 ######## 山梨酸及其钾 散装 / 诺沙星(恩诺沙 胺甲嘧啶(磺胺 合格 # 盐(以山梨酸计 星与环丙沙星 甲基嘧啶),磺 15kg/ ######## 铅(以Pb计),黄 ),纽甜,三氯蔗 / 之和),磺胺类 合格 胺甲鯻唑(磺胺 袋 # 糖,脱氢乙酸及 曲霉毒素B₁,镉 甲恶唑),磺胺 其钠盐(以脱氢 ######## 总砷(以As计), (以Cd计) 散装 / 合格 二甲嘧啶,磺胺 乙酸计),阿斯 # 氯霉素,亚硝酸 间甲氧嘧啶,甲 ######## 巴甜,苯甲酸及 酸价(KOH),极 盐(以亚硝酸 散装 / 合格 氧苄啶,氯霉素 其钠盐(以苯甲 # 性组分 钠计),铬(以 ,金刚烷胺,恩 酸计),铅(以Pb Cr计),酸性橙 文字图形 ######## 过氧化值,黄曲 5升/瓶 诺沙星(恩诺沙 计),防腐剂混 合格 Ⅱ,脱氢乙酸及 商标 # 霉毒素B₁,酸价 星与环丙沙星 合使用时各自 其钠盐(以脱氢 (KOH) 之和),磺胺类 用量占其最大 乙酸计),糖精 使用量的比例 钠(以糖精计), 之和,糖精钠( 苯甲酸及其钠 散装 / 食用农 产品 食用农 产品 食用农 产品 食用农 产品 食用农 产品 食用农 产品 食用农 产品 食用农 产品 食用农 产品 食用农 产品 食用农 产品 食用农 产品 食用农 产品 食用农 产品 食用农 产品 食用农 产品 食用农 产品 食用农 产品 食用农 产品 食用农 产品 食用农 产品 食用农 产品 食用农 产品 食用油 、油脂 蔬菜制 及其制 品 粮食加 工品 餐饮食 品 食用油 、油脂 及其制 食用油 品 、油脂 及其制 品 餐饮 环节 餐饮 环节 餐饮 环节 餐饮 环节 餐饮 环节 餐饮 环节 餐饮 环节 餐饮 环节 餐饮 环节 餐饮 环节 餐饮 环节 餐饮 环节 餐饮 环节 餐饮 环节 餐饮 环节 餐饮 环节 餐饮 环节 餐饮 环节 餐饮 环节 餐饮 环节 餐饮 环节 餐饮 环节 餐饮 环节 餐饮 环节 餐饮 环节 餐饮 环节 餐饮 环节 餐饮 环节 餐饮 环节 2021/05/18 华测检测 认证集团 股份有限 2021/05/18 华测检测 公司 认证集团 股份有限 华测检测 2021/05/18 公司 认证集团 股份有限 华测检测 2021/05/18 公司 认证集团 股份有限 华测检测 2021/05/18 公司 认证集团 股份有限 2021/05/18 华测检测 公司 认证集团 股份有限 华测检测 2021/05/15 公司 认证集团 股份有限 华测检测 2021/05/15 公司 认证集团 股份有限 华测检测 2021/05/16 公司 认证集团 股份有限 华测检测 2021/05/16 公司 认证集团 股份有限 华测检测 2021/05/16 公司 认证集团 股份有限 华测检测 2021/05/16 公司 认证集团 股份有限 2021/05/16 华测检测 公司 认证集团 股份有限 华测检测 2021/05/16 公司 认证集团 股份有限 华测检测 2021/05/16 公司 认证集团 股份有限 华测检测 2021/05/16 公司 认证集团 股份有限 华测检测 2021/05/17 公司 认证集团 股份有限 华测检测 2021/05/17 公司 认证集团 股份有限 华测检测 2021/05/17 公司 认证集团 股份有限 华测检测 2021/05/17 公司 认证集团 股份有限 2021/05/17 华测检测 公司 认证集团 股份有限 华测检测 2021/05/17 公司 认证集团 股份有限 华测检测 2021/05/17 公司 认证集团 股份有限 华测检测 2021/05/15 公司 认证集团 股份有限 华测检测 2021/05/16 公司 认证集团 股份有限 华测检测 2021/05/16 公司 认证集团 股份有限 华测检测 2021/05/17 公司 认证集团 股份有限 2021/05/17 华测检测 公司 认证集团 股份有限 2021/05/17 华测检测 公司 认证集团 股份有限 公司 57 58 59 60 61 62 63 64 65 66 67 68 69 70 71 72 73 74 75 76 77 78 79 80 81 82 83 84 85 XC214406 07602201 313 XC214406 07602210 230 XC214406 07602210 231 XC214406 07602210 232 XC214406 07602210 233 XC214406 07602210 234 XC214406 07602210 235 XC214406 07602210 236 XC214406 07602210 237 XC214406 07602210 238 XC214406 07602210 240 XC214406 07602210 241 XC214406 07602210 242 XC214406 07602210 243 XC214406 07602210 244 XC214406 07602210 245 XC214406 07602210 246 XC214406 07602210 247 XC214406 07602210 248 XC214406 07602210 249 XC214406 07602210 250 XC214406 07602210 251 XC214406 07602210 252 XC214406 07602210 253 XC214406 07602210 254 XC214406 07602210 255 XC214406 07602210 256 XC214406 07602210 258 XC214406 07602210 259 西南 街道 云东 海街 道 云东 海街 道 云东 海街 西南 道 街道 西南 街道 西南 街道 西南 街道 西南 街道 西南 街道 西南 街道 西南 街道 西南 街道 西南 街道 云东 海街 道 云东 海街 道 云东 海街 道 云东 海街 道 云东 海街 道 云东 海街 道 云东 海街 道 云东 海街 道 云东 海街 道 云东 海街 道 云东 海街 道 云东 海街 道 云东 海街 道 云东 海街 道 云东 海街 道 / 湖北欣易米业 有限公司 佛山市三水乐 福米业有限公 司 广州市粮食集 团有限责任公 司(分装商) / / / / / / 三水百利健餐 具消毒配送中 心 / 广东岭南明珠 农业科技有限 夏邑县德意粉 公司 丝厂 南昌昌岚粮油 贸易有限公司 江门市新会区 粮油食品厂有 限公司 / / / / / / / / 德阳市旌阳区 春熙苕粉厂 / / / / 佛山沁粤春餐饮服 佛山市三水区 务有限公司 西南街道同福 路11号(商业 湖北省荆 身份证:张望刚 身份证:浙江 楼一首层16号 州市监利 省磐安县尖山 商铺) 县汪桥镇 佛山市三水区云东 佛山市三水区 镇秧田坑村综 佛山市三 海学校 沙洪路 合路29号 水区乐平 云东海街道高 镇乐平大 佛山市三水区云东 佛山市三水区 丰村委会“高 广州市荔 海学校 道50号 丰围” 云东海街道高 湾区南漖 丰村委会“高 果园工业 身份证:湖北 / 身份证:朱家荣 丰围” 区100号 省洪湖市茅江 大院自编 街道南棚新村 / 身份证:朱家荣 身份证:湖北 1、3、5 36号附1号 省洪湖市茅江 栋 街道南棚新村 身份证:湖北 / 身份证:朱家荣 36号附1号 省洪湖市茅江 街道南棚新村 身份证:湖北 / 身份证:朱家荣 36号附1号 省洪湖市茅江 街道南棚新村 身份证:湖北 / 身份证:朱家荣 36号附1号 省洪湖市茅江 街道南棚新村 身份证:湖北 / 身份证:朱家荣 36号附1号 省洪湖市茅江 街道南棚新村 三水西南 身份证:朱家荣 身份证:湖北 36号附1号 贤兴路10 省洪湖市茅江 街道南棚新村 号1座1楼 佛山市三水区冠华 佛山市三水区 / 小学食堂 36号附1号 西南街道碧堤 佛山市南 佛山市三水区冠华 路8号雅居乐花 佛山市三水区 小学食堂 园食堂(2F) 海区狮山 西南街道碧堤 首层及二层 镇科技工 佛山市三水区冠华 路8号雅居乐花 夏邑县郭 佛山市三水区 小学食堂 业园C区 园食堂(2F) 庄乡兴和 西南街道碧堤 兴业路20 首层及二层 社区南门 江西省南 佛山市三水区云东 路8号雅居乐花 佛山市三水区 号二车间 海中心幼儿园食堂 云东海街道荷 东西街南 园食堂(2F) 昌市南昌 侧 首层及二层 佛山市三水区云东 湖南路2号融璟 县向塘镇 广东江门 佛山市三水区 高田村 海中心幼儿园食堂 云东海街道荷 花园9座 市新会区 会城三和 佛山市三水区群聊 湖南路2号融璟 佛山市三水区 / 快餐店 大道北 花园9座 云东海街道映 131号 佛山市三水区群聊 佛山市三水区 海路华远海蓝 / 快餐店 璟园3座 云东海街道映 102.103.104( 佛山市三水区群聊 佛山市三水区 海路华远海蓝 / 住所申报) 快餐店 璟园3座 云东海街道映 102.103.104( 佛山市三水区权穗 佛山市三水区 海路华远海蓝 / 住所申报) 小吃店 璟园3座 云东海街道映 102.103.104( 佛山市三水区权穗 佛山市三水区 海路华远海蓝 / 住所申报) 小吃店 城111铺(住所 云东海街道映 申报) 佛山市三水区权穗 佛山市三水区 海路华远海蓝 / 小吃店 城111铺(住所 云东海街道映 申报) 佛山市三水区捞王 海路华远海蓝 佛山市三水区 / 餐厅 城111铺(住所 云东海街道南 申报) 佛山市三水区捞王 佛山市三水区 丰大道13号之 / 餐厅 一佛山三水万 云东海街道南 达广场室内步 丰大道13号之 旌阳区天 佛山市三水区捞王 佛山市三水区 行街4层4019、 餐厅 一佛山三水万 元镇花景 云东海街道南 达广场室内步 村10组 佛山市三水区捞王 4020(住所申报 丰大道13号之 佛山市三水区 / ) 行街4层4019、 餐厅 一佛山三水万 云东海街道南 达广场室内步 佛山市三水区渔水 4020(住所申报 丰大道13号之 佛山市三水区 / ) 行街4层4019、 瑶餐饮店 一佛山三水万 云东海街道南 4020(住所申报 达广场室内步 丰大道13号之1 佛山市三水区 佛山博森餐饮管理 / ) 佛山三水万达 云东海街道南 有限公司三水万达 行街4层4019、 4020(住所申报 广场室内步行 丰大道13号三 分公司 佛山博森餐饮管理 佛山市三水区 / ) 水万达广场二 有限公司三水万达 街四层4050号( 云东海街道南 住所申报) 座1057、1058( 分公司 丰大道13号三 住所申报) 水万达广场二 座1057、1058( / 煎炸过程 用油 ######## # 24.5kg ######## 香粘贡米 / /袋 # 25kg/ 郑乐氏福 ######## 乐福粥米 袋 # +图形商 ######## 标 纯香花生 5升/瓶 / # 油压榨一 煎炸过程 ######## 级 散装 / 用油 # ######## 皮蛋 散装 / # ######## 腊肠 散装 / # ######## 腊鹅 散装 / # ######## 辣椒干 散装 / # 大白刁( ######## 散装 / 鱼干) # ######## 饭碗 散装 / # ######## 馒头 散装 / # ######## 粮心一号 25千克 / # 德叔明珠 /袋 香丝苗米 计量称 俪龙+图 ######## 龙口粉丝 重 形商标 # 大米(籼 15kg/ 2+8+图形 ######## 米) 袋 商标 # 金爵士散 1.75千 金爵士+ ######## # 装碗面( 克/箱 图形商标 ######## 干制面饼 腊肉 散装 / # ) ######## 辣椒干 散装 / # 煎炸过程 ######## 散装 / 用油 # ######## 卤鸭腿 散装 / # ######## 卤汁 散装 / # ######## 云吞皮 散装 / # ######## 大米 散装 / # ######## 天鹰小椒 散装 / # (干辣椒 ######## ) 苕粉 9kg/箱 陈苕粉 # 煎炸过程 ######## 散装 / 用油 # ######## 辣椒干 散装 / # 满天星辣 ######## 散装 / 椒干 # ######## 花椒 散装 / # 散装 / 酸价(KOH),极 性组分 铅(以Pb计),黄 曲霉毒素B₁,镉 镉(以Cd计),黄 (以Cd计) 曲霉毒素B₁,铅 黄曲霉毒素B₁, (以Pb计) 过氧化值,酸价 酸价(KOH),极 (KOH) 性组分 糖精钠(以糖精 计),铅(以Pb计 ),山梨酸及其 总砷(以As计), 钾盐(以山梨酸 氯霉素,防腐剂 计),苯甲酸及 混合使用时各 苯甲酸及其钠 其钠盐(以苯甲 自用量占其最 盐(以苯甲酸计 酸计),脱氢乙 大使用量的比 罗丹明B,铅(以 ),氯霉素,防腐 酸及其钠盐(以 例之和,亚硝酸 Pb计),苏丹红 剂混合使用时 脱氢乙酸计) 盐(以亚硝酸钠 各自用量占其 N-二甲基亚硝 计),镉(以Cd计 最大使用量的 胺,山梨酸及其 ),过氧化值(以 比例之和,糖精 钾盐(以山梨酸 游离性余氯,沙 脂肪计),脱氢 钠(以糖精计), 计),苯甲酸及 门氏菌,大肠菌 乙酸及其钠盐( 其钠盐(以苯甲 群,阴离子合成 脱氢乙酸及其 以脱氢乙酸计 钠盐(以脱氢乙 酸计),防腐剂 洗涤剂(以十二 ),糖精钠(以糖 混合使用时各 烷基苯磺酸钠 酸计),山梨酸 铅(以Pb计),黄 精计),苯甲酸 及其钾盐(以山 自用量占其最 计) 曲霉毒素B₁,镉 及其钠盐(以苯 梨酸计),亚硝 大使用量的比 梨酸计),苯甲 二氧化硫残留 (以Cd计) 甲酸计),山梨 酸盐(以亚硝酸 例之和,镉(以 酸及其钠盐(以 量,铝的残留量 酸及其钾盐(以 钠计),总砷(以 Cd计) 苯甲酸计),糖 (干样品,以Al 铅(以Pb计),黄 山梨酸计),胭 As计),镉(以Cd 精钠(以糖精计 计),山梨酸及 曲霉毒素B₁,镉 脂红 计),过氧化值( ) 其钾盐(以山梨 山梨酸及其钾 (以Cd计) 以脂肪计),胭 酸计),苯甲酸 盐(以山梨酸计 脂红 及其钠盐(以苯 ),糖精钠(以糖 总砷(以As计), 甲酸计),脱氢 精计),苯甲酸 氯霉素,防腐剂 乙酸及其钠盐( 及其钠盐(以苯 铅(以Pb计),罗 混合使用时各 以脱氢乙酸计 甲酸计),脱氢 丹明B,苏丹红 自用量占其最 ),铅(Pb) 乙酸及其钠盐( 大使用量的比 酸价(KOH),极 以脱氢乙酸计) 例之和,亚硝酸 性组分 盐(以亚硝酸钠 总砷(以As计), 计),镉(以Cd计 氯霉素,亚硝酸 ),过氧化值(以 盐(以亚硝酸 铅(以Pb计),脱 脂肪计),脱氢 钠计),铬(以 氢乙酸及其钠 乙酸及其钠盐( Cr计),酸性橙 盐(以脱氢乙酸 铅(以Pb计),苯 以脱氢乙酸计 Ⅱ,脱氢乙酸及 计),糖精钠(以 甲酸及其钠盐( ),糖精钠(以糖 其钠盐(以脱氢 糖精计),山梨 以苯甲酸计), 铅(以Pb计),黄 精计),苯甲酸 乙酸计),糖精 酸及其钾盐(以 脱氢乙酸及其 曲霉毒素B₁,镉 及其钠盐(以苯 钠(以糖精计), 山梨酸计),苯 钠盐(以脱氢乙 铅(以Pb计),罗 (以Cd计) 甲酸计),山梨 苯甲酸及其钠 甲酸及其钠盐( 酸计),山梨酸 丹明B,苏丹红 酸及其钾盐(以 盐(以苯甲酸计 以苯甲酸计) 及其钾盐(以山 二氧化硫残留 山梨酸计),胭 ),山梨酸及其 梨酸计) 量,铝的残留量 脂红 钾盐(以山梨酸 酸价(KOH),极 (干样品,以Al 计),胭脂红,镉 性组分 计),铅(以Pb计 (以Cd计),铅( ),脱氢乙酸及 铅(以Pb计),罗 以Pb计) 其钠盐(以脱氢 丹明B,苏丹红 乙酸计),苯甲 铅(以Pb计),罗 酸及其钠盐(以 丹明B,苏丹红 苯甲酸计),山 铅(以Pb计),罗 梨酸及其钾盐( 丹明B,苏丹红 以山梨酸计) 合格 食用油 、油脂 粮食加 及其制 合格 工品 品 粮食加 合格 工品 食用油 合格 、油脂 及其制 合格 食用油 品 、油脂 及其制 合格 蛋制品 品 合格 肉制品 合格 肉制品 合格 调味品 合格 合格 合格 合格 合格 合格 合格 水产制 品 餐饮食 品 餐饮食 品 粮食加 工品 淀粉及 淀粉制 粮食加 品 工品 粮食加 工品 合格 肉制品 合格 调味品 合格 食用油 、油脂 餐饮食 及其制 合格 品 餐饮食 合格 品 粮食加 合格 工品 粮食加 合格 工品 合格 调味品 合格 淀粉及 淀粉制 品 合格 食用油 、油脂 食用农 及其制 合格 产品 品 合格 调味品 合格 调味品 餐饮 环节 餐饮 环节 餐饮 环节 餐饮 环节 餐饮 环节 餐饮 环节 餐饮 环节 餐饮 环节 餐饮 环节 餐饮 环节 餐饮 环节 餐饮 环节 餐饮 环节 餐饮 环节 餐饮 环节 餐饮 环节 餐饮 环节 餐饮 环节 餐饮 环节 餐饮 环节 餐饮 环节 餐饮 环节 餐饮 环节 餐饮 环节 餐饮 环节 餐饮 环节 餐饮 环节 餐饮 环节 餐饮 环节 2021/05/17 华测检测 认证集团 股份有限 2021/05/12 华测检测 公司 认证集团 股份有限 华测检测 2021/05/12 公司 认证集团 股份有限 华测检测 2021/05/12 公司 认证集团 股份有限 华测检测 2021/05/12 公司 认证集团 股份有限 2021/05/12 华测检测 公司 认证集团 股份有限 华测检测 2021/05/12 公司 认证集团 股份有限 华测检测 2021/05/12 公司 认证集团 股份有限 华测检测 2021/05/12 公司 认证集团 股份有限 华测检测 2021/05/12 公司 认证集团 股份有限 华测检测 2021/05/12 公司 认证集团 股份有限 华测检测 2021/05/12 公司 认证集团 股份有限 2021/05/12 华测检测 公司 认证集团 股份有限 华测检测 2021/05/12 公司 认证集团 股份有限 华测检测 2021/05/13 公司 认证集团 股份有限 华测检测 2021/05/13 公司 认证集团 股份有限 华测检测 2021/05/13 公司 认证集团 股份有限 华测检测 2021/05/13 公司 认证集团 股份有限 华测检测 2021/05/13 公司 认证集团 股份有限 华测检测 2021/05/13 公司 认证集团 股份有限 2021/05/13 华测检测 公司 认证集团 股份有限 华测检测 2021/05/13 公司 认证集团 股份有限 华测检测 2021/05/13 公司 认证集团 股份有限 华测检测 2021/05/13 公司 认证集团 股份有限 华测检测 2021/05/13 公司 认证集团 股份有限 华测检测 2021/05/13 公司 认证集团 股份有限 华测检测 2021/05/13 公司 认证集团 股份有限 2021/05/14 华测检测 公司 认证集团 股份有限 2021/05/14 华测检测 公司 认证集团 股份有限 公司 86 87 88 89 90 91 92 93 94 95 96 97 98 99 100 101 102 103 104 105 106 107 108 109 110 111 112 113 114 XC214406 07602210 260 XC214406 07602210 261 XC214406 07602210 262 XC214406 07602210 263 XC214406 07602210 264 XC214406 07602210 265 XC214406 07602210 266 XC214406 07602210 267 XC214406 07602210 268 XC214406 07602210 270 XC214406 07602210 271 XC214406 07602210 272 XC214406 07602210 273 XC214406 07602210 274 XC214406 07602210 275 XC214406 07602210 276 XC214406 07602210 277 XC214406 07602210 278 XC214406 07602210 279 XC214406 07602210 280 XC214406 07602210 281 XC214406 07602210 282 XC214406 07602210 283 XC214406 07602210 284 XC214406 07602210 285 XC214406 07602210 286 XC214406 07602210 287 XC214406 07602210 288 XC214406 07602210 289 云东 海街 道 云东 海街 道 云东 海街 道 云东 海街 道 云东 海街 道 云东 海街 西南 道 街道 西南 街道 西南 街道 西南 街道 西南 街道 西南 街道 西南 街道 西南 街道 西南 街道 西南 街道 西南 街道 西南 街道 西南 街道 西南 街道 云东 海街 西南 道 街道 云东 海街 道 云东 海街 道 云东 海街 道 云东 海街 道 云东 海街 道 云东 海街 西南 道 街道 / / / / / / 佛山市三水区 芦苞镇大海食 品厂 / / 四川省川海晨 洋食品有限责 任公司 / 佛山市大富富 兴食品有限公 佛山市朝丰粮 司 油有限公司 佛山盈尔康餐 具消毒配送中 心 佛山市三水区 西南街盈尔康 消毒餐具配送 / 中心 / / / / / / 盱眙亚飞粮油 食品有限公司 重庆志联食品 有限公司 广州市首秀餐 饮管理有限公 司 益海(广州) 粮油工业有限 五常市福兴精 公司 制米有限公司 / / 佛山博森餐饮管理 佛山市三水区 有限公司三水万达 云东海街道南 佛山市三水区云东 丰大道13号三 分公司 佛山市三水区 / 海街道陈丽餐厅 云东海街道南 水万达广场二 座1057、1058( 佛山市三水区云东 丰大道13号之1 佛山市三水区 / 住所申报) 海街道陈丽餐厅 云东海街道南 佛山三水万达 广场室内步行 佛山市三水区云东 丰大道13号之1 佛山市三水区 / 海街道陈丽餐厅 街4F层4006号( 佛山三水万达 云东海街道南 住所申报) 广场室内步行 佛山市三水区云东 丰大道13号之1 佛山市三水区 / 海街道谢家班餐厅 街4F层4006号( 佛山三水万达 云东海街道南 住所申报) 广场室内步行 佛山市三水区云东 丰大道13号之1 佛山市三水区 / 海街道谢家班餐厅 街4F层4006号( 佛山三水万达 云东海街道南 住所申报) 广场室内步行 佛山市三 佛山市三水区西南 丰大道13号之1 佛山市三水区 街四层4029号 佛山三水万达 水大道北 街金宝九龙烧味快 西南街德兴路 广场室内步行 618号自 佛山市三水区西南 雅豪居西十座 餐店 佛山市三水区 / 街四层4029号 编A座 街金宝九龙烧味快 西南街德兴路 23号铺 餐店 雅豪居西十座 佛山市三水区西南 佛山市三水区 / 23号铺 街金宝九龙烧味快 西南街德兴路 雅豪居西十座 餐店 成都市郫 佛山市博川餐饮有 佛山市三水区 限公司 23号铺 都区中国 西南街张边路9 川菜产业 佛山市三水区西南 佛山市三水区 号三水广场三 / 化园区永 街真添美小食店 西南街道塘福 座309之一 兴东路69 佛山市三水区西南 佛山市三水区 路6号美尚轩 广东省佛 号 街真添美小食店 西南街道塘福 103铺位之一 山市禅城 区张槎街 佛山市三水区西南 佛山市三水区 路6号美尚轩 佛山市三 道大富联 街真添美小食店 西南街道塘福 103铺位之一 水区白坭 合路18号 佛山市三水区新御 佛山市三水区 路6号美尚轩 镇“国家 三水区西 综合楼首 品餐饮店 火炬计划 103铺位之一 南街道锦 西南街道布心 层之三 佛山市三水区新御 下涡开发区二 佛山电子 河三路10 佛山市三 佛山市三水区 电器产业 品餐饮店 号 小区30号 水区西南 西南街道布心 基地”南 街道锦河 佛山市三水区新御 佛山市三水区 下涡开发区二 / 区120号 品餐饮店 三路10号 小区30号 西南街道布心 佛山市三水区西南 佛山市三水区 下涡开发区二 / 街王想生糕点店 西南街道园林 小区30号 佛山市三水区西南 佛山市三水区 路19号103 / 街王想生糕点店 西南街道园林 佛山市三水区侨乡 佛山市三水区 路19号103 / 里餐饮店 西南街道康乐 佛山市三水区侨乡 佛山市三水区 路47号104 / 里餐饮店 西南街道康乐 佛山市三水区廖丙 佛山市三水区 路47号104 / 艳餐饮店 云东海街道南 佛山市三水区西南 佛山市三水区 丰大道13号三 / 街阮新英小食店 水万达广场2座 西南街道园林 路11号之二 佛山市三水区 江苏省淮 佛山市三水区火龙 1106(住所申 报) 卷自助火锅店 云东海街道南 安市盱眙 县管仲镇 佛山市三水区火龙 丰大道13号之1 重庆市璧 佛山市三水区 卷自助火锅店 佛山三水万达 工业集中 山区青杠 云东海街道南 广场室内步行 区 街道塘坊 佛山市三水区云东 丰大道13号之1 佛山市三水区 广州市番 片区统一 海街道江尚渔舟餐 街4F层4052b号 佛山三水万达 云东海街道南 禺区大龙 商铺(住所申报 路8号厂 佛山市三水区云东 广场室内步行 丰大道13号之1 厅 街石岗东 广州经济 佛山市三水区 ) 房 佛山三水万达 村石岗南 海街道江尚渔舟餐 街4F层4052b号 技术开发 云东海街道南 商铺(住所申报 广场室内步行 路46号 佛山市三水区云东 区东江大 厅 丰大道13号之1 哈尔滨市 佛山市三水区 ) 道2号 海街道江尚渔舟餐 街四层4051b( 佛山三水万达 五常市龙 云东海街道南 住所申报) 广场室内步行 厅 凤山镇民 佛山市三水区泽泽 丰大道13号之1 佛山市三水区 / 街四层4051b( 小吃店 利村 佛山三水万达 云东海街道南 住所申报) 广场室内步行 佛山市三水区容嘉 佛山市三水区 丰大道13号三 / 街四层4051b( 良烧腊快餐店 水万达广场3座 西南街道赤岗 住所申报) 158(住所申报) 路92号101之一 / 煎炸过程 用油 ######## # ######## 东北大米 散装 / # ######## 饺子皮 散装 / # 煎炸过程 ######## 散装 / 用油 # 切椒(辣 ######## 散装 / 椒干) # 手撕盐焗 ######## 散装 / 鸡 # 食用植物 唛丹郎+ ######## 5升/瓶 调和油 图形商标 # ######## 酱油鸡 散装 / # ######## 烧鸭 散装 / # 700g/ ######## 火锅底料 燚 包 # ######## 烧鸭 散装 / # 食用植物 ######## 5升/瓶 桃香源 调和油 # 味香铭府 15千克 铭朝丰+ ######## # --太子香 /袋 图形商标 ######## 米 筷子 散装 / # ######## 碗 散装 / # ######## 烧鸡 散装 / # ######## 咸肉粽子 散装 / # ######## 馒头 散装 / # ######## 花肉腊肠 散装 / # 咸蛋红豆 ######## 粽 花肉腊肠 散装 / # 咸蛋绿豆 ######## 粽 大肉粽 散装 / # ######## 碱水粽 散装 / # 25kg/ ######## 江苏大米 / 袋 # 老火锅底 250g/ ######## / 料33号 包 # ######## 酱腌菜 5kg/包 / # 口福大豆 22升/ ######## 口福 油 箱 # 10kg/ ######## 大米 / 包 # ######## 馒头 散装 / # ######## 烧鸭 散装 / # 散装 / 酸价(KOH),极 性组分 铅(以Pb计),黄 曲霉毒素B₁,镉 山梨酸及其钾 (以Cd计) 盐(以山梨酸计 酸价(KOH),极 ),铅(以Pb计), 性组分 脱氢乙酸及其 钠盐(以脱氢乙 铅(以Pb计),罗 酸计),苯甲酸 丹明B,苏丹红 及其钠盐(以苯 总砷(以As计), 甲酸计) 氯霉素,亚硝酸 盐(以亚硝酸 酸价(KOH),过 钠计),铬(以 氧化值,苯并 Cr计),酸性橙 (a)芘 总砷(以As计), Ⅱ,脱氢乙酸及 氯霉素,亚硝酸 其钠盐(以脱氢 盐(以亚硝酸 氯霉素,胭脂红 乙酸计),糖精 钠计),铬(以 ,亚硝酸盐(以 钠(以糖精计), Cr计),酸性橙 那可丁,可待因 亚硝酸钠计), 苯甲酸及其钠 Ⅱ,脱氢乙酸及 ,吗啡,罂粟碱 糖精钠(以糖精 盐(以苯甲酸计 其钠盐(以脱氢 计),山梨酸及 氯霉素,胭脂红 ),山梨酸及其 乙酸计),糖精 其钾盐(以山梨 ,亚硝酸盐(以 钾盐(以山梨酸 钠(以糖精计), 酸计),苯甲酸 亚硝酸钠计), 过氧化值,酸价 计),胭脂红,镉 苯甲酸及其钠 及其钠盐(以苯 糖精钠(以糖精 (KOH),苯并(a) (以Cd计),铅( 盐(以苯甲酸计 甲酸计),铅(以 计),山梨酸及 芘 铅(以Pb计),黄 以Pb计) ),山梨酸及其 Pb计),脱氢乙 其钾盐(以山梨 曲霉毒素B₁,镉 钾盐(以山梨酸 酸及其钠盐(以 酸计),苯甲酸 游离性余氯,阴 (以Cd计) 计),胭脂红,镉 脱氢乙酸计), 及其钠盐(以苯 离子合成洗涤 (以Cd计),铅( 苯并(a)芘 甲酸计),铅(以 剂(以十二烷基 大肠菌群,游离 以Pb计) Pb计),脱氢乙 苯磺酸钠计), 性余氯,阴离子 酸及其钠盐(以 沙门氏菌,大肠 合成洗涤剂(以 氯霉素,胭脂红 脱氢乙酸计), 菌群 十二烷基苯磺 ,亚硝酸盐(以 苯并(a)芘 酸钠计),沙门 亚硝酸钠计), 脱氢乙酸及其 氏菌 糖精钠(以糖精 钠盐(以脱氢乙 计),山梨酸及 酸计),硼酸,山 脱氢乙酸及其 其钾盐(以山梨 梨酸及其钾盐( 钠盐(以脱氢乙 酸计),苯甲酸 以山梨酸计), 酸计),山梨酸 脱氢乙酸及其 及其钠盐(以苯 苯甲酸及其钠 及其钾盐(以山 钠盐(以脱氢乙 甲酸计),铅(以 盐(以苯甲酸计 梨酸计),苯甲 酸计),硼酸,山 脱氢乙酸及其 Pb计),脱氢乙 ),乙酰磺胺酸 酸及其钠盐(以 梨酸及其钾盐( 钠盐(以脱氢乙 酸及其钠盐(以 钾(安赛蜜),三 苯甲酸计),糖 以山梨酸计), 酸计),硼酸,山 山梨酸及其钾 脱氢乙酸计), 氯蔗糖,糖精钠 精钠(以糖精计 苯甲酸及其钠 梨酸及其钾盐( 盐(以山梨酸计 苯并(a)芘 (以糖精计),铅 ) 盐(以苯甲酸计 以山梨酸计), ),硼酸,三氯蔗 脱氢乙酸及其 (以Pb计) ),乙酰磺胺酸 苯甲酸及其钠 糖,铅(以Pb计 钠盐(以脱氢乙 钾(安赛蜜),三 盐(以苯甲酸计 ),脱氢乙酸及 酸计),硼酸,山 铅(以Pb计),黄 氯蔗糖,糖精钠 ),乙酰磺胺酸 其钠盐(以脱氢 梨酸及其钾盐( 曲霉毒素B₁,镉 (以糖精计),铅 钾(安赛蜜),三 乙酸计),乙酰 以山梨酸计), 罂粟碱,那可丁 (以Cd计) (以Pb计) 氯蔗糖,糖精钠 磺胺酸钾(安赛 苯甲酸及其钠 ,吗啡,可待因 (以糖精计),铅 蜜),糖精钠(以 盐(以苯甲酸计 山梨酸及其钾 (以Pb计) 糖精计),苯甲 ),乙酰磺胺酸 盐(以山梨酸计 酸及其钠盐(以 钾(安赛蜜),三 ),纽甜,防腐剂 酸价(KOH),过 苯甲酸计) 氯蔗糖,糖精钠 混合使用时各 氧化值,黄曲霉 (以糖精计),铅 自用量占其最 毒素B₁ 铅(以Pb计),黄 (以Pb计) 大使用量的比 曲霉毒素B₁,镉 例之和,三氯蔗 脱氢乙酸及其 (以Cd计) 糖,阿斯巴甜, 钠盐(以脱氢乙 铅(以Pb计),脱 酸计),山梨酸 铅(以Pb计),氯 氢乙酸及其钠 及其钾盐(以山 霉素,亚硝酸盐 盐(以脱氢乙酸 梨酸计),苯甲 (以亚硝酸钠计 计),糖精钠(以 酸及其钠盐(以 ),防腐剂混合 糖精计),苯甲 苯甲酸计),糖 使用时各自用 酸及其钠盐(以 精钠(以糖精计 合格 食用油 、油脂 粮食加 及其制 合格 工品 品 餐饮食 合格 品 食用油 合格 、油脂 及其制 合格 调味品 品 餐饮食 合格 品 食用油 合格 、油脂 餐饮食 及其制 合格 品 餐饮食 合格 品 合格 调味品 合格 合格 合格 合格 合格 合格 合格 合格 合格 合格 合格 餐饮食 品 食用油 、油脂 粮食加 及其制 工品 品 餐饮食 品 餐饮食 品 餐饮食 品 餐饮食 品 餐饮食 品 餐饮食 品 餐饮食 品 糕点 餐饮食 品 粮食加 合格 工品 合格 合格 调味品 蔬菜制 品 食用油 合格 、油脂 粮食加 及其制 合格 工品 品 餐饮食 合格 品 合格 合格 肉制品 餐饮 环节 餐饮 环节 餐饮 环节 餐饮 环节 餐饮 环节 餐饮 环节 餐饮 环节 餐饮 环节 餐饮 环节 餐饮 环节 餐饮 环节 餐饮 环节 餐饮 环节 餐饮 环节 餐饮 环节 餐饮 环节 餐饮 环节 餐饮 环节 餐饮 环节 餐饮 环节 餐饮 环节 餐饮 环节 餐饮 环节 餐饮 环节 餐饮 环节 餐饮 环节 餐饮 环节 餐饮 环节 餐饮 环节 2021/05/14 华测检测 认证集团 股份有限 2021/05/14 华测检测 公司 认证集团 股份有限 华测检测 2021/05/14 公司 认证集团 股份有限 华测检测 2021/05/14 公司 认证集团 股份有限 华测检测 2021/05/14 公司 认证集团 股份有限 2021/05/14 华测检测 公司 认证集团 股份有限 华测检测 2021/05/15 公司 认证集团 股份有限 华测检测 2021/05/15 公司 认证集团 股份有限 华测检测 2021/05/15 公司 认证集团 股份有限 华测检测 2021/05/15 公司 认证集团 股份有限 华测检测 2021/05/15 公司 认证集团 股份有限 华测检测 2021/05/15 公司 认证集团 股份有限 2021/05/15 华测检测 公司 认证集团 股份有限 华测检测 2021/05/15 公司 认证集团 股份有限 华测检测 2021/05/15 公司 认证集团 股份有限 华测检测 2021/05/15 公司 认证集团 股份有限 华测检测 2021/05/16 公司 认证集团 股份有限 华测检测 2021/05/16 公司 认证集团 股份有限 华测检测 2021/05/16 公司 认证集团 股份有限 华测检测 2021/05/16 公司 认证集团 股份有限 2021/05/16 华测检测 公司 认证集团 股份有限 华测检测 2021/05/16 公司 认证集团 股份有限 华测检测 2021/05/16 公司 认证集团 股份有限 华测检测 2021/05/16 公司 认证集团 股份有限 华测检测 2021/05/16 公司 认证集团 股份有限 华测检测 2021/05/16 公司 认证集团 股份有限 华测检测 2021/05/16 公司 认证集团 股份有限 2021/05/17 华测检测 公司 认证集团 股份有限 2021/05/17 华测检测 公司 认证集团 股份有限 公司 115 XC214406 07602210 290 116 XC214406 07602210 291 117 XC214406 07602210 292 118 XC214406 07602210 294 119 XC214406 07602210 295 120 XC214406 07602210 296 121 XC214406 07602210 297 122 XC214406 07602210 298 123 XC214406 07602210 299 124 XC214406 07602210 301 125 XC214406 07602210 302 126 XC214406 07602210 303 127 XC214406 07602210 304 128 XC214406 07602210 320 129 XC214406 07602210 321 130 XC214406 07602210 322 131 XC214406 07602210 323 132 XC214406 07602210 324 133 XC214406 07602210 325 134 XC214406 07602210 326 135 XC214406 07602210 330 136 XC214406 07602210 331 137 XC214406 07602210 332 138 XC214406 07602210 333 139 XC214406 07602210 334 140 XC214406 07602210 335 141 XC214406 07602210 336 142 XC214406 07602210 337 143 XC214406 07602210 338 西南 街道 西南 街道 西南 街道 西南 街道 西南 街道 西南 街道 西南 街道 西南 街道 云东 海街 西南 道 街道 西南 街道 西南 街道 西南 街道 西南 街道 西南 街道 西南 街道 西南 街道 西南 街道 西南 街道 西南 街道 云东 海街 道 云东 海街 道 云东 海街 道 云东 海街 道 云东 海街 西南 道 街道 西南 街道 西南 街道 西南 街道 / / 佛山市健华粮 油有限公司 三水百利健餐 具消毒配送中 心 三水百利健餐 具消毒配送中 心 / / / / 宿迁市宿豫区 兴友粮食加工 厂 益海(广州) 粮油工业有限 公司 / 重庆好情意食 品有限公司 东莞市华伟食 品厂 东莞市华伟食 品厂 / 颐海(霸州) 食品有限公司 (代码:A) 四川省成都红 灯笼食品有限 公司 / / / 宿迁市运东米 业有限公司 / / / / / / / 佛山市三水区容嘉 佛山市三水区 良烧腊快餐店 西南街道赤岗 佛山市三水区容嘉 路92号101之一 佛山市三水区 / 良烧腊快餐店 西南街道赤岗 佛山市高 佛山市三水区西南 路92号101之一 佛山市三水区 街坚叔餐厅 明区荷城 西南街布心下 街道富湾 佛山市三水区西南 佛山市三水区 涡开发区二小 三水西南 街坚叔餐厅 工业区 区22号、26号 贤兴路10 西南街布心下 304号之 佛山市三水区全牛 佛山市三水区 、27号 号1座1楼 涡开发区二小 三水西南 四 宴餐厅 区22号、26号 贤兴路10 西南街广海大 、27号 号1座1楼 佛山市三水区全牛 道西二号自编2 三水西南 佛山市三水区 宴餐厅 号 贤兴路10 西南街广海大 号1座1楼 佛山市三水区西南 道西二号自编2 佛山市三水区 / 街乐茗烧味餐厅 西南街新华路 号 佛山市三水区西南 19号首层102铺 佛山市三水区 / 街乐茗烧味餐厅 西南街新华路 佛山市迎捷酒店管 19号首层102铺 佛山市三水区 / 理有限公司 云东海街道南 丰大道15号之 江苏省宿 佛山市三水区西南 佛山市三水区 街傣妹火锅店 一 豫区大兴 西南街道张边 镇大兴街 佛山市三水区西南 路9号三水广场 佛山市三水区 广州经济 街傣妹火锅店 三座三层3608 宿泗路 技术开发 西南街道张边 号铺 区东江大 佛山市三水区西南 路9号三水广场 佛山市三水区 / 街欣茂新餐馆 三座三层3608 道2号 西南街道张边 号铺 佛山市三水区 重庆市九 佛山市三水区西南 路9号“三水广 街欣茂新餐馆 场”三座316、 龙坡区白 西南街道张边 322A自编之一 市驿镇海 佛山市三水区颜加 路9号“三水广 广东省东 佛山市三水区 冬餐饮店 场”三座316、 龙村13社 莞市万江 西南街道西青 322A自编之一 街道拔蛟 广东省东 佛山市三水区颜加 大道8号三水新 佛山市三水区 冬餐饮店 窝西二横 动力广场4座 莞市万江 西南街道西青 路8号1栋 114 街道拔蛟 佛山市三水区国莲 大道8号三水新 佛山市三水区 / 101室 华餐饮店 窝西二横 动力广场4座 西南街道西青 路8号1栋 简阳市海捞餐饮管 大道8号三水新 114 河北省廊 佛山市三水区 101室 理有限公司佛山三 西南街道西青 动力广场5座 坊市霸州 104之一(住所 水西青大道分公司 大道8号三水新 市经济技 简阳市海捞餐饮管 佛山市三水区 成都市郫 申报) 术开发区 理有限公司佛山三 西南街道西青 动力广场二层 都区中国 泰山路西 佛山市三水区西南 201-204号商铺 水西青大道分公司 大道8号三水新 川菜产业 佛山市三水区 / 街泽钊快餐店 动力广场二层 化功能区 西南街道工业 工业园区 佛山市三水区西南 201-204号商铺 大道17号时代 佛山市三水区 / 蜀雅路 街泽钊快餐店 廊桥花园二十 西南街道工业 188号 佛山市迎捷酒店管 佛山市三水区 二座105 大道17号时代 / 理有限公司 廊桥花园二十 云东海街道南 二座105 丰大道15号之 宿迁市宿 佛山市迎捷酒店管 佛山市三水区 理有限公司 一 豫区大兴 云东海街道南 镇宿泗路 佛山市皇喜餐饮服 丰大道15号之 佛山市三水区 / 务有限公司 北侧 一 云东海街道南 佛山市皇喜餐饮服 佛山市三水区 丰大道高丰涡 / 务有限公司 首层至三层 云东海街道南 佛山市皇喜餐饮服 佛山市三水区 丰大道高丰涡 / 务有限公司 首层至三层 云东海街道南 佛山市味享食光餐 佛山市三水区 丰大道高丰涡 / 饮有限公司 首层至三层 西南街道同福 佛山市味享食光餐 路11号(商业楼 佛山市三水区 / 饮有限公司 三首层2号商铺 西南街道同福 ) 佛山市味享食光餐 路11号(商业楼 佛山市三水区 / 饮有限公司 三首层2号商铺 西南街道同福 ) 佛山市味享食光餐 路11号(商业楼 佛山市三水区 / 饮有限公司 三首层2号商铺 西南街道同福 ) 路11号(商业楼 三首层2号商铺 ) / ######## # ######## 酱油鸡 散装 / # 压榨花生 淼享+图 ######## 5升/瓶 油 形商标 # ######## 碗 散装 / # ######## 碗 散装 / # ######## 筷子 散装 / # ######## 烧鸭 散装 / # ######## 白切鸡 散装 / # ######## 酸豆角 散装 / # 百合香米 15kg/ ######## 贯通 (大米) 袋 # 口福大豆 22升/ ######## 口福 油 箱 # ######## 南姜酸菜 散装 / # 重庆火锅 500克/ 好情意+ ######## 底料 包 图形商标 # 红油香脆 湘川华天 ######## / 酸豆角 +图形 # 红油萝卜 湘川华天 ######## / 丁 +图形 # ######## 牛杂肉 / / # 清油火锅 400克/ ######## / 底料 包 # 牛油火锅 500克/ ######## / 底料 包 # ######## 烧鸭 / / # ######## 叉烧 / / # 煎炸过程 ######## 散装 / 用油 # 24.5千 ######## 仙桃王米 / 克/袋 # ######## 辣椒干 散装 / # ######## 馒头 散装 / # ######## 叉烧包 散装 / # ######## 湿竹升面 散装 / # 煎炸过程 ######## 散装 / 用油 # ######## 紫薯包 散装 / # ######## 牛肉丸 散装 / # 盐焗鸡 散装 / 总砷(以As计), 氯霉素,亚硝酸 盐(以亚硝酸 总砷(以As计), 钠计),酸性橙 氯霉素,亚硝酸 Ⅱ,防腐剂混合 盐(以亚硝酸 过氧化值,黄曲 使用时各自用 钠计),酸性橙 霉毒素B₁,酸价 量占其最大使 Ⅱ,防腐剂混合 大肠菌群,游离 (KOH) 用量的比例之 使用时各自用 性余氯,阴离子 和,脱氢乙酸及 量占其最大使 合成洗涤剂(以 大肠菌群,游离 其钠盐(以脱氢 用量的比例之 十二烷基苯磺 性余氯,阴离子 乙酸计),糖精 和,脱氢乙酸及 酸钠计),沙门 合成洗涤剂(以 大肠菌群,游离 钠(以糖精计), 其钠盐(以脱氢 氏菌 十二烷基苯磺 性余氯,阴离子 苯甲酸及其钠 乙酸计),糖精 酸钠计),沙门 合成洗涤剂(以 铅(以Pb计),氯 盐(以苯甲酸计 钠(以糖精计), 氏菌 十二烷基苯磺 霉素,亚硝酸盐 ),山梨酸及其 苯甲酸及其钠 酸钠计),沙门 (以亚硝酸钠计 总砷(以As计), 钾盐(以山梨酸 盐(以苯甲酸计 氏菌 ),防腐剂混合 氯霉素,亚硝酸 计),胭脂红,铬 ),山梨酸及其 使用时各自用 盐(以亚硝酸 山梨酸及其钾 (以Cr计),镉( 钾盐(以山梨酸 量占其最大使 钠计),酸性橙 盐(以山梨酸计 以Cd计),铅(以 计),胭脂红,铬 用量的比例之 Ⅱ,防腐剂混合 ),阿斯巴甜,纽 铅(以Pb计),黄 Pb计) (以Cr计),镉( 和,苯并(a)芘, 使用时各自用 甜,三氯蔗糖, 曲霉毒素B₁,镉 以Cd计),铅(以 脱氢乙酸及其 量占其最大使 防腐剂混合使 过氧化值,黄曲 (以Cd计) Pb计) 钠盐(以脱氢乙 用量的比例之 用时各自用量 霉毒素B₁,酸价 酸计),糖精钠( 和,脱氢乙酸及 占其最大使用 山梨酸及其钾 (KOH) 以糖精计),苯 其钠盐(以脱氢 量的比例之和, 盐(以山梨酸计 甲酸及其钠盐( 乙酸计),糖精 铅(以Pb计),脱 罂粟碱,那可丁 ),纽甜,防腐剂 以苯甲酸计), 钠(以糖精计), 氢乙酸及其钠 ,吗啡,可待因 混合使用时各 山梨酸及其钾 苯甲酸及其钠 盐(以脱氢乙酸 自用量占其最 铅(以Pb计),阿 盐(以山梨酸计 盐(以苯甲酸计 计),糖精钠(以 大使用量的比 斯巴甜,纽甜, ),胭脂红 ),山梨酸及其 糖精计),苯甲 例之和,三氯蔗 防腐剂混合使 铅(以Pb计),阿 钾盐(以山梨酸 酸及其钠盐(以 糖,阿斯巴甜, 用时各自用量 斯巴甜,纽甜, 计),胭脂红,铬 苯甲酸计) 铅(以Pb计),脱 占其最大使用 防腐剂混合使 总砷(以As计), (以Cr计),镉( 氢乙酸及其钠 量的比例之和, 用时各自用量 氯霉素,亚硝酸 以Cd计),铅(以 盐(以脱氢乙酸 三氯蔗糖,脱氢 占其最大使用 罂粟碱,那可丁 盐(以亚硝酸 Pb计) 计),糖精钠(以 乙酸及其钠盐( 量的比例之和, ,吗啡,可待因 钠计),铬(以 糖精计),苯甲 以脱氢乙酸计 三氯蔗糖,脱氢 Cr计),酸性橙 罂粟碱,那可丁 酸及其钠盐(以 ),糖精钠(以糖 乙酸及其钠盐( Ⅱ,脱氢乙酸及 ,吗啡,可待因 苯甲酸计) 精计),苯甲酸 以脱氢乙酸计 其钠盐(以脱氢 氯霉素,胭脂红 及其钠盐(以苯 ),糖精钠(以糖 乙酸计),糖精 ,亚硝酸盐(以 甲酸计),山梨 精计),苯甲酸 钠(以糖精计), 亚硝酸钠计), 氯霉素,胭脂红 酸及其钾盐(以 及其钠盐(以苯 苯甲酸及其钠 糖精钠(以糖精 ,亚硝酸盐(以 山梨酸计) 甲酸计),山梨 盐(以苯甲酸计 计),山梨酸及 极性组分,酸价 亚硝酸钠计), 酸及其钾盐(以 ),山梨酸及其 其钾盐(以山梨 (KOH) 糖精钠(以糖精 山梨酸计) 钾盐(以山梨酸 酸计),苯甲酸 计),山梨酸及 铅(以Pb计),黄 计),胭脂红,镉 及其钠盐(以苯 其钾盐(以山梨 曲霉毒素B₁,镉 (以Cd计),铅( 甲酸计),铅(以 酸计),苯甲酸 铅(以Pb计),苏 (以Cd计) 以Pb计) Pb计),脱氢乙 及其钠盐(以苯 丹红,罗丹明B 酸及其钠盐(以 甲酸计),铅(以 脱氢乙酸及其 脱氢乙酸计), Pb计),脱氢乙 钠盐(以脱氢乙 苯并(a)芘 酸及其钠盐(以 酸计),山梨酸 脱氢乙酸及其 脱氢乙酸计), 及其钾盐(以山 钠盐(以脱氢乙 苯并(a)芘 梨酸计),苯甲 酸计),山梨酸 山梨酸及其钾 酸及其钠盐(以 及其钾盐(以山 盐(以山梨酸计 苯甲酸计),糖 梨酸计),苯甲 极性组分,酸价 ),铅(以Pb计), 精钠(以糖精计 酸及其钠盐(以 (KOH) 脱氢乙酸及其 ) 苯甲酸计),糖 钠盐(以脱氢乙 脱氢乙酸及其 精钠(以糖精计 酸计),苯甲酸 钠盐(以脱氢乙 ) 及其钠盐(以苯 酸计),山梨酸 苯甲酸及其钠 甲酸计) 及其钾盐(以山 盐(以苯甲酸计 梨酸计),苯甲 ),氯霉素,亚硝 酸及其钠盐(以 酸盐(以亚硝酸 苯甲酸计),糖 钠计),糖精钠( 精钠(以糖精计 合格 肉制品 合格 肉制品 合格 食用油 、油脂 餐饮食 及其制 合格 品 餐饮食 合格 品 餐饮食 合格 品 合格 肉制品 合格 肉制品 蔬菜制 品 粮食加 合格 工品 食用油 合格 、油脂 蔬菜制 及其制 合格 品 合格 合格 调味品 蔬菜制 品 蔬菜制 合格 品 餐饮食 合格 品 合格 合格 调味品 合格 调味品 餐饮食 品 餐饮食 合格 品 合格 食用油 、油脂 粮食加 及其制 合格 工品 品 合格 合格 调味品 合格 合格 合格 合格 合格 合格 餐饮食 品 餐饮食 品 粮食加 工品 食用油 、油脂 餐饮食 及其制 品 其他食 品 餐饮 环节 餐饮 环节 餐饮 环节 餐饮 环节 餐饮 环节 餐饮 环节 餐饮 环节 餐饮 环节 餐饮 环节 餐饮 环节 餐饮 环节 餐饮 环节 餐饮 环节 餐饮 环节 餐饮 环节 餐饮 环节 餐饮 环节 餐饮 环节 餐饮 环节 餐饮 环节 餐饮 环节 餐饮 环节 餐饮 环节 餐饮 环节 餐饮 环节 餐饮 环节 餐饮 环节 餐饮 环节 餐饮 环节 2021/05/17 华测检测 认证集团 股份有限 2021/05/17 华测检测 公司 认证集团 股份有限 华测检测 2021/05/17 公司 认证集团 股份有限 华测检测 2021/05/17 公司 认证集团 股份有限 华测检测 2021/05/17 公司 认证集团 股份有限 2021/05/17 华测检测 公司 认证集团 股份有限 华测检测 2021/05/17 公司 认证集团 股份有限 华测检测 2021/05/17 公司 认证集团 股份有限 华测检测 2021/05/18 公司 认证集团 股份有限 华测检测 2021/05/15 公司 认证集团 股份有限 华测检测 2021/05/15 公司 认证集团 股份有限 华测检测 2021/05/15 公司 认证集团 股份有限 2021/05/15 华测检测 公司 认证集团 股份有限 华测检测 2021/05/17 公司 认证集团 股份有限 华测检测 2021/05/17 公司 认证集团 股份有限 华测检测 2021/05/17 公司 认证集团 股份有限 华测检测 2021/05/17 公司 认证集团 股份有限 华测检测 2021/05/17 公司 认证集团 股份有限 华测检测 2021/05/17 公司 认证集团 股份有限 华测检测 2021/05/17 公司 认证集团 股份有限 2021/05/18 华测检测 公司 认证集团 股份有限 华测检测 2021/05/18 公司 认证集团 股份有限 华测检测 2021/05/18 公司 认证集团 股份有限 华测检测 2021/05/18 公司 认证集团 股份有限 华测检测 2021/05/18 公司 认证集团 股份有限 华测检测 2021/05/18 公司 认证集团 股份有限 华测检测 2021/05/18 公司 认证集团 股份有限 2021/05/18 华测检测 公司 认证集团 股份有限 2021/05/18 华测检测 公司 认证集团 股份有限 公司 144 XC214406 07602210 339 145 XC214406 07602210 340 146 XC214406 07602210 341 147 XC214406 07602210 430 148 XC214406 07602210 431 149 XC214406 07602210 432 150 XC214406 07602210 433 151 XC214406 07602210 434 152 XC214406 07602210 XC21440607 435 153 154 155 156 157 158 159 160 161 162 163 164 165 166 167 168 612900017 NCP2144060 7612900018 NCP2144060 7612900019 NCP2144060 7612900020 NCP2144060 7612900021 NCP2144060 7612900022 NCP2144060 7612900023 NCP2144060 7612900024 XC21440607 612900018 XC21440607 612900019 XC21440607 612900020 XC21440607 612900021 XC21440607 612900022 XC21440607 612900023 XC21440607 612900024 XC21440607 612900025 169 XC214406 07602210 350 170 XC214406 07602210 351 171 XC214406 07602210 352 172 XC214406 07602210 354 西南 街道 西南 街道 西南 街道 云东 海街 道 云东 海街 道 云东 海街 道 云东 海街 西南 道 街道 西南 街道 南山 镇 南山 镇 南山 镇 南山 镇 南山 镇 南山 镇 南山 镇 南山 镇 南山 镇 南山 镇 南山 镇 南山 镇 南山 镇 南山 镇 南山 镇 南山 镇 乐平 镇 乐平 镇 乐平 镇 乐平 镇 / / / 佛山市三水乐 福米业有限公 司 益海(广州) 粮油工业有限 广州增城区三 公司 江粮食管理所 佛山市三水乐 福米业有限公 司 佛山市三水区 国粮粮油有限 公司 佛山市三水区 国粮粮油有限 公司 / / / / / / / / 东莞徐记食品有 限公司 肇庆市高要区活 道镇家乐粮食加 广东潮盛食品实 工厂(普通合伙 业有限公司 ) 东莞市龙霸食品 有限公司 汕头市澄海区金 桐食品厂 广东鹰唛食品有 限公司 / 生产者名称:多 鱼食品(深圳) 有限公司;监制 汕头市三发保 商名称:四海环 健食品有限公 球食品有限公司 司 / 天农家禽屠宰 场 佛山市鸿福粮 油有限公司 佛山市三水区西南 佛山市三水区 街真鲜味园餐厅 西南街道同福 佛山市三水区西南 路11号(商业楼 佛山市三水区 / 街真鲜味园餐厅 西南街道同福 四首层3号) 佛山市三水区西南 路11号(商业楼 佛山市三水区 / 街真鲜味园餐厅 西南街道同福 四首层3号) 佛山市三水区 佛山市三 佛山市三水区三水 路11号(商业楼 中学食堂 四首层3号) 云东海观光大 水区乐平 道 镇乐平大 佛山市三水区三水 佛山市三水区 广州经济 中学食堂 道50号 云东海观光大 技术开发 道 区东江大 佛山市三水区实验 佛山市三水区 广州市增 中学食堂 道2号 云东海街道同 城石滩镇 三江和平 佛山市三水区实验 佛山市三水区 福北路10号 佛山市三 中学食堂 路43号 云东海街道同 水区乐平 福北路10号 镇乐平大 佛山市三水区华侨 佛山市三水区 佛山市三 中学食堂 道50号 西南街道广海 水区西南 大道中路19号 街道对外 佛山市三水区华侨 佛山市三水区 佛山市三 中学食堂 经济开发 西南街道广海 水区西南 区西29区 佛山市三水区南山 佛山市三水区南 街道对外 大道中路19号 / 之一、之 镇冯永建烧腊店 经济开发 山镇六和人民路 二和西30 佛山市三水区南山 佛山市三水区南 区西29区 25号六和市场内 / 区 之一之二 镇水之果水果店 的TW区019号(住 山镇迳口越侨路 和西30区 佛山市三水区南山 19号之二(住所申 所申报) 佛山市三水区南 / ######## # ######## 叉烧包 散装 / # ######## 油炸腐竹 散装 / # 乐福小龙 15kg/ 文字图型 ######## 粘米 包 商标 # ######## 海王牌食 10升/ / 桶 # 用植物调 纯香花生 ######## 和油 5升/瓶 / 油 # 乐福田园 25kg/ 文字图形 ######## 米 包 商标 # 25kg/ 文字图形 ######## 油粘米 包 商标 # 压榨花生 ######## 5升/瓶 穗生牌 油 # 白菜干 散装 / 散装称 / 重 散装称 香蕉 / 重 散装称 / 橙 / 镇水之果水果店 重 报) 山镇迳口越侨路 佛山市三水区南山 19号之二(住所申 散装称 佛山市三水区南 / 柑 / 镇水之果水果店 重 报) 山镇迳口越侨路 佛山市三水区南山 19号之二(住所申 散装称 佛山市三水区南 / 草莓 / 镇水之果水果店 重 报) 山镇迳口越侨路 佛山市三水区南山 19号之二(住所申 散装称 佛山市三水区南 / 猕猴桃 / 镇水之果水果店 重 报) 山镇迳口越侨路 佛山市三水区南山 19号之二(住所申 散装称 佛山市三水区南 / 鸡蛋 / 镇如意嘉华副食店 山镇民乐一路4号 重 报) 佛山市三水区南山 双汇广场1座1068 散装称 佛山市三水区南 / 乌鸡 / 镇建安光鸡档 重 、1069 山镇民乐一路4号 广东省东 佛山市三水区新禧 双汇广场1座首层 佛山市三水区南 徐福記沙琪 469克/ / 发百货店 包 绿茵幸福双汇广 莞市东城 山镇六和人民路 玛香酥芝麻 场农贸市场内光 家香米(大 味 区周屋工 佛山市三水区新禧 42号首层(住所申 肇庆市高 佛山市三水区南 5kg/袋 / 鸡档4号 发百货店 米) 业区 报) 要区活道 山镇六和人民路 285克/ 镇沙尾村 佛山市三水区新禧 42号首层(住所申 潮州市潮 佛山市三水区南 橄榄菜 图文商标 发百货店 罐 报) 安区庵埠 山镇六和人民路 650克/ 梅龙工业 佛山市三水区新禧 42号首层(住所申 东莞市望 佛山市三水区南 阳春挂面 甲洲 发百货店 包 区 报) 牛墩镇五 山镇六和人民路 410克/ 涌村甲洲 汕头市澄 佛山市三水区新禧 42号首层(住所申 佛山市三水区南 香港橄榄菜 桐盛 发百货店 瓶 街11号 报) 海区莲华 山镇六和人民路 佛山市三水区南山 900毫 镇溪西村 42号首层(住所申 中山市南 佛山市三水区南 鹰唛花生油 图文商标 镇凤记副食店 升/瓶 工业区 报) 山镇六和禾生圩 区渡兴西 佛山市三水区南山 佛山市三水区南 散装称 路 人民路44号首、 / 白菜干 / 镇如意嘉华副食店 山镇民乐一路4号 重 二层东边 170克/ 生产者地 佛山市三水区南山 双汇广场1座1068 佛山市三水区南 墨鱼味鱼丸 / 镇晟富副食店 包 、1069 山镇民乐一路4号 址:深圳 市宝安区 佛山市三水日日升 双汇广场1座1层 佛山市三水区 法式香奶 450克 三辉麦风 广东省汕 福永街道 商业连锁有限公司 1073号(住所申报 乐平镇新平一 面包(软 (21枚 头市潮南 ) 怀德村翠 佛山市三水日日升 圆坊都荟分公司 街2号华盛圆坊 式面包) )/袋 区司马浦 佛山市三水区 / 罗非鱼 / / 岗东路翠 商业连锁有限公司 乐平镇新平一 都荟3座104、 牛奶味 司四工业 岗工业园 佛山市三水日日升 105、106、 区A1-2栋 凤中皇( 圆坊都荟分公司 街2号华盛圆坊 佛山市三水区 广东省清 / / ;监制商 商业连锁有限公司 107(住所申报) 鸡肉) 都荟3座104、 乐平镇新平一 远市清城 地址:香 佛山市三水区乐平 105、106、 25kg/ 区横荷荷 圆坊都荟分公司 街2号华盛圆坊 佛山市南 佛山市三水区 泰香糯米 汉穗 港黄竹坑 镇张卓宏百货店 107(住所申报) 袋 都荟3座104、 兴工业园 乐平镇乐平市 海区大沥 业勤街33 105、106、 场E3座3区(住 镇联安经 号金来工 107(住所申报) 济联合社 所申报) 业大厦2期 (土名)三 3楼H室 盐焗鸡 山梨酸及其钾 盐(以山梨酸计 ),二氧化硫残 脱氢乙酸及其 留量,苯甲酸及 钠盐(以脱氢乙 其钠盐(以苯甲 酸计),山梨酸 铅(以Pb计),苯 酸计),防腐剂 及其钾盐(以山 甲酸及其钠盐( 混合使用时各 梨酸计),苯甲 以苯甲酸计), 铅(以Pb计), 自用量占其最 酸及其钠盐(以 铝的残留量(干 黄曲霉毒素B₁ 大使用量的比 苯甲酸计),糖 样品,以Al计 酸价 (KOH),苯 ,苯并(a)芘,镉( 例之和,铅(以 精钠(以糖精计 ),脱氢乙酸及 并(a)芘,过氧 以Cd计) Pb计),糖精钠( ) 二丁 其钠盐(以脱氢 过氧化值, 化值,二丁基 以糖精计) 乙酸计),山梨 基羟基甲苯(B 羟基甲苯 酸及其钾盐(以 铅(以Pb计), HT),丁基羟基 山梨酸计) (BHT),丁基羟 黄曲霉毒素B₁ 茴香醚(BHA), 铅(以Pb计),黄 基茴香醚 ,苯并(a)芘,镉( 特丁基对苯二 曲霉毒素B₁,苯 (BHA),特丁基 以Cd计) 丁基羟基茴香 并(a)芘,镉(以 酚(TBHQ),黄 对苯二酚 Cd计)抗氧 醚(BHA), 曲霉毒素B₁, (TBHQ),抗氧 购进日期: 化剂混合使用 苯甲酸,山梨酸, 抗氧化剂混合 2021.06.01 化剂混合使用 糖精钠(以糖精 时各自用量占 使用时各自用 时各自用量占 购进日期: 计),亚硝酸盐( 吡虫啉,腈苯唑, 其最大使用量 量占其最大使 2021.06.01 以亚硝酸钠计), 甲拌磷(以甲拌 其最大使用量 的比例之和, 脱氢乙酸,胭脂红 购进日期: 丙溴磷,克百威( 磷及甲拌磷砜、 用量的比例之 的比例之和 2021.05.31 ,防腐剂各自用量 亚砜之和计),甲 以克百威和3-羟 酸价(KOH),黄 和,酸价(KOH) 占其最大使用量 拌磷,甲拌磷砜, 购进日期: 丙溴磷,三唑磷, 基克百威之和计 曲霉毒素B₁, 甲拌磷亚砜,吡唑 2021.05.31 的比例之和,氯霉 苯醚甲环唑 ),克百威,3-羟 二丁基羟基甲 素,菌落总数,沙 醚菌酯 基克百威,水胺硫 购进日期: 烯酰吗啉,多菌灵 苯(BHT),过氧 磷 2021.06.01 门氏菌,单核细胞 ,吡虫啉 化值,特丁基 购进日期: 增生李斯特氏菌, 多菌灵,氧乐果, 2021.06.01 金黄色葡萄球菌 敌敌畏,氯吡脲 对苯二酚(TB 购进日期: 恩诺沙星(以恩 HQ) 2021.05.31 诺沙星与环丙沙 购进日期: 磺胺类(总量), 星之和计),恩诺 2021.05.31 磺胺甲嘧啶,磺胺 沙星,环丙沙星, 氟甲砜霉素,磺胺 甲鯻唑,磺胺二甲 酸价(以脂肪计 2021.04.21 类(总量),磺胺 嘧啶,磺胺地索辛 ),过氧化值(以 甲基嘧啶,磺胺甲 ,磺胺间甲氧嘧啶 铅,镉,黄曲霉毒 脂肪计),苯甲酸 2021.03.05 氧哒嗪,磺胺二甲 ,磺胺喹沙啉,磺 素B1 ,山梨酸,糖精钠 嘧啶,磺胺喹恶啉 胺嘧啶,恩诺沙星 (以糖精计),铝 苯甲酸,山梨酸, 2021.02.01 ,磺胺嘧啶,磺胺 (以恩诺沙星与 的残留量(干样 糖精钠(以糖精 间甲氧嘧啶,磺胺 环丙沙星之和计 品,以Al计),丙 计),脱氢乙酸, 2021.01.18 甲恶唑,磺胺间二 铅,脱氢乙酸 ),恩诺沙星,环 酸,脱氢乙酸,甜 甜蜜素(以环己 甲氧嘧啶,氯霉素 丙沙星,甲氧苄啶 蜜素(以环己基 基氨基磺酸计), 苯甲酸,山梨酸, 2021.01.18 ,五氯酚酸钠(以 ,3-氨基-2-恶唑 氨基磺酸计),安 防腐剂各自用量 糖精钠(以糖精 酮,甲硝唑 五氯酚计),3-氨 赛蜜,防腐剂各自 占其最大使用量 计),脱氢乙酸, 酸价,过氧化值, 2021.03.29 基-2-恶唑酮,氯 用量占其最大使 的比例之和 甜蜜素(以环己 铅,黄曲霉毒素 霉素 用量的比例之和 基氨基磺酸计), B1,苯并(a)芘,溶 铅,山梨酸,苯甲 2021.05.01 防腐剂各自用量 剂残留,叔丁基对 酸,糖精钠(以糖 占其最大使用量 苯二酚(TBHQ) 2021.01.08 精计),二氧化硫 N-二甲基亚硝胺 的比例之和 残留量 /310102101 ######## 08 铝的残留量(干 # ######## # ######## # ######## # 合格 合格 合格 合格 合格 合格 合格 合格 合格 合格 合格 合格 合格 合格 合格 合格 合格 合格 合格 合格 合格 合格 合格 合格 合格 蔬菜制 品 餐饮食 品 餐饮食 品 粮食加 工品 食用油 、油脂 及其制 食用油 品 、油脂 粮食加 及其制 工品 品 粮食加 工品 食用油 、油脂 及其制 肉制品 品 食用农 产品 食用农 产品 食用农 产品 食用农 产品 食用农 产品 食用农 产品 食用农 产品 糕点 粮食加 工品 蔬菜制 品 粮食加 工品 蔬菜制 品 食用油 、油脂 蔬菜制 及其制 品 水产制 品 餐饮 环节 餐饮 环节 餐饮 环节 餐饮 环节 餐饮 环节 餐饮 环节 餐饮 环节 餐饮 环节 餐饮 环节 2021/05/18 华测检测 认证集团 股份有限 2021/05/18 华测检测 公司 认证集团 股份有限 华测检测 2021/05/18 公司 认证集团 股份有限 华测检测认 2021/05/25 公司 证集团股份 有限公司 证集团股份 有限公司 2021/05/25 华测检测认 证集团股份 有限公司 2021/05/25 华测检测认 证集团股份 有限公司 2021/05/25 华测检测认 证集团股份 有限公司 2021/05/25 华测检测认 证集团股份 有限公司 广州金至检 流通 2021-06-01 测技术有限 公司 广州金至检 流通 2021-06-01 测技术有限 公司 广州金至检 流通 2021-06-01 测技术有限 公司 广州金至检 流通 2021-06-01 测技术有限 公司 广州金至检 流通 2021-06-01 测技术有限 公司 广州金至检 流通 2021-06-01 测技术有限 公司 广州金至检 流通 2021-06-01 测技术有限 公司 广州金至检 流通 2021-06-01 测技术有限 公司 广州金至检 流通 2021-06-01 测技术有限 公司 广州金至检 流通 2021-06-01 测技术有限 公司 广州金至检 流通 2021-06-01 测技术有限 公司 广州金至检 流通 2021-06-01 测技术有限 公司 广州金至检 流通 2021-06-01 测技术有限 公司 广州金至检 流通 2021-06-01 测技术有限 公司 广州金至检 流通 2021-06-01 测技术有限 公司 广州金至检 流通 2021-06-01 测技术有限 流通 公司 华测检测 2021/05/25 华测检测认 合格 糕点 2021/05/22 环节 样品,以Al计 认证集团 ),甜蜜素(以环 股份有限 地西泮,氯霉 合格 食用农 流通 2021/05/22 华测检测 产品 环节 己基氨基磺酸 公司 认证集团 素,恩诺沙星( 计),糖精钠(以 食用农 流通 股份有限 甲氧苄啶,金刚 华测检测 合格 2021/05/22 恩诺沙星与环 糖精计),山梨 产品 环节 公司 烷胺,氯霉素, 认证集团 丙沙星之和), 酸及其钾盐(以 五氯酚酸钠(以 股份有限 铅(以Pb计), 合格 粮食加 流通 2021/05/22 华测检测 山梨酸计),苯 孔雀石绿 工品 环节 五氯酚计),恩 公司 认证集团 黄曲霉毒素B₁ 甲酸及其钠盐( 诺沙星(恩诺沙 股份有限 ,苯并(a)芘,镉( 以苯甲酸计), 星与环丙沙星 公司 以Cd计) 富马酸二甲酯, 之和),磺胺类 铅(以Pb计),三 173 XC214406 07602210 355 174 XC214406 07602210 359 175 XC214406 07602210 360 176 XC214406 07602210 361 177 XC214406 07602210 364 178 XC214406 07602210 365 179 XC214406 07602210 366 180 XC214406 07602210 367 181 XC214406 07602210 369 182 XC214406 07602210 370 183 XC214406 07602210 371 184 XC214406 07602210 372 185 XC214406 07602210 376 186 XC214406 07602210 377 187 XC214406 07602210 378 188 XC214406 07602210 379 189 XC214406 07602210 380 190 XC214406 07602210 381 191 XC214406 07602210 382 192 XC214406 07602210 386 193 XC214406 07602210 387 194 XC214406 07602210 388 195 XC214406 07602210 389 196 XC214406 07602210 390 197 XC214406 07602210 391 198 XC214406 07602210 392 199 XC214406 07602210 393 200 XC214406 07602210 394 201 XC214406 07602210 395 乐平 镇 乐平 镇 乐平 镇 乐平 镇 乐平 镇 乐平 镇 乐平 镇 芦苞 镇 芦苞 镇 芦苞 镇 芦苞 镇 芦苞 镇 白坭 镇 白坭 镇 白坭 镇 西南 街道 西南 街道 西南 街道 西南 街道 西南 街道 大塘 镇 大塘 镇 大塘 镇 大塘 镇 大塘 镇 大塘 镇 大塘 镇 大塘 镇 大塘 镇 黑龙江省建三 江北斗星粮油 工贸有限责任 / 公司 / / 樟树市鑫瑞特 保健品有限公 司 樟树市鑫瑞特 保健品有限公 司 / / / 东莞市粤酥园 食品有限公司 东莞市食滋源 食品有限公司 福建省泡吧食 品有限公司 / / 漳州福佑嘉食 品有限公司 浙江五芳斋实 业股份有限公 肇庆市裹香皇 司 食品有限公司 肇庆市裹香皇 食品有限公司 / / / / / / 湖北国肽健康 酒业有限公司 劲牌有限公司 / / / 黑龙江省 佛山市三水区易购 佛山市三水区 建三江农 万胜商业有限公司 乐平镇乐平大 垦铁南工 佛山市三水区乐平 佛山市三水区 道38号华盛广 / 镇梅河百货店 业园区 场1座首层B区 乐平镇三江市 、二层 佛山市三水区黄文 佛山市三水区 场西2号铺 / 飞鲜鱼档 乐平镇三江市 佛山市三水区黄文 佛山市三水区 场2号鱼档(住 / 飞鲜鱼档 所申报) 乐平镇三江市 场2号鱼档(住 樟树市城 佛山市加满家贸易 佛山市三水区 有限公司 所申报) 乐平镇中心科 北经济技 技工业园三江 术开发区 佛山市加满家贸易 佛山市三水区 江西樟树 有限公司 公路北侧宝盈 乐平镇中心科 市城北经 时代广场超市 技工业园三江 济开发区 佛山市加满家贸易 佛山市三水区 / 区一层、二层 有限公司 公路北侧宝盈 乐平镇中心科 佛山市三水区芦苞 时代广场超市 技工业园三江 佛山市三水区 / 区一层、二层 镇庆海万家鱼档 芦苞镇恒福兴 公路北侧宝盈 时代广场超市 佛山市三水区芦苞 盛物业服务部( 佛山市三水区 / 区一层、二层 镇潘国贤光鸡档 芦苞市场)内鱼 芦苞镇市场路 档(住所申报) 东莞市桥 佛山市三水区芦苞 30号首层自编2 佛山市三水区 镇亿客家超市 号铺(住所申报 头镇屋厦 芦苞镇环镇路 ) 村桥头桥 佛山市三水区芦苞 佛山市三水区 56号 东莞市茶 镇亿客家超市 东路北二 芦苞镇环镇路 山镇增埗 街31号1 佛山市三水区芦苞 佛山市三水区 56号 村卢屋鲤 福建省漳 栋301室 镇亿客家超市 鱼山工业 芦苞镇环镇路 州龙海市 区 佛山市新佳易百货 佛山市三水区 海澄镇海 56号 / 有限公司 新工业区 白坭镇黄金大 佛山市新佳易百货 佛山市三水区 道一小区之一 / 有限公司 白坭镇黄金大 佛山市三水区 福建省龙 佛山市新佳易百货 道一小区之一 有限公司 白坭镇黄金大 海市白水 道一小区之一 镇崎岎村 广东永旺天河城商 佛山市三水区 浙江省嘉 崎岎397 业有限公司佛山三 西南街道西青 兴市秀洲 号 水新动力广场分公 大道8号三水新 工业园区 佛山市三水区 广东永旺天河城商 肇庆市鼎 动力广场首层 中山西路 业有限公司佛山三 司 西南街道西青 湖区(坑 (1F)至第三 南侧;浙 广东永旺天河城商 水新动力广场分公 大道8号三水新 口)新城 佛山市三水区 肇庆市鼎 层(3F) 江省嘉兴 动力广场首层 司 38区( 业有限公司佛山三 西南街道西青 湖区(坑 市秀洲区 (1F)至第三 321国道 佛山市三水日日升 水新动力广场分公 大道8号三水新 口)新城 佛山市三水区 / 王店镇盛 层(3F) 边、区水 动力广场首层 38区( 商业连锁有限公司 司 西南街道口岸 安路901 佛山市三水日日升 电局对面 (1F)至第三 321国道 锦盈分店 大道26号锦盈 佛山市三水区 / 号1号、2 ) 层(3F) 边、区水 嘉园10座1层 商业连锁有限公司 西南街道口岸 号仓库 佛山市三水区大塘 电局对面 101一109号 锦盈分店 大道26号锦盈 佛山市三水区 / ) 镇实又惠购物中心 大塘镇大塘工 嘉园10座1层 101一109号 佛山市三水区大塘 佛山市三水区 业园黎木岗村 / 镇实又惠购物中心 商业街12号A铺 大塘镇大塘工 佛山市三水区大塘 业园黎木岗村 佛山市三水区 / 镇实又惠购物中心 商业街12号A铺 大塘镇大塘工 佛山加满家惠购商 佛山市三水区 业园黎木岗村 / 贸有限公司 商业街12号A铺 大塘镇乐高丰 商业中心之一 湖北省咸 佛山加满家惠购商 佛山市三水区 贸有限公司 第二层 宁市崇阳 大塘镇乐高丰 县经济开 佛山加满家惠购商 佛山市三水区 商业中心之一 湖北省黄 贸有限公司 发区天城 第二层 大塘镇乐高丰 石市阳新 工业园丰 佛山市三水区大塘 佛山市三水区 商业中心之一 县枫林镇 / 日大道北 枫林大道 镇(芦苞镇)潘氏凉 大塘镇建设路 第二层 侧9号 佛山市三水区大塘 999号 茶店建设路店 52号(自编号2 佛山市三水区 / 号) 镇(芦苞镇)潘氏凉 大塘镇建设路 茶店建设路店 52号(自编号2 佛山市三水区大塘 佛山市三水区 / 号) 镇(芦苞镇)潘氏凉 大塘镇建设路 茶店建设路店 52号(自编号2 号) 糯米 25kg/ 袋 / 糯米 散装 / 鲶鱼(淡 / 水鱼) 草鱼(淡 / 水鱼) 聚力人参 500mL/ 酒 瓶 聚力养身 500mL/ 酒 瓶 家多粮泰 散装 国糯米 草鱼(淡 / 水鱼) 乌鸡 / 千层酥饼 250g( (红豆味 12个) ) /盒 艾草糕团 散装 红豆蛋黄 味 泡吧小黄 散装 鸭蛋糕原味 糯米 散装 / / 聚力神 聚力神 / / / 珍不凡 食滋源 泡吧 / 黑糯米 散装 港发手工 蛋糕(原 味) 润香豆沙 粽(真空 传统裹蒸 包装) 粽 猪肉裹蒸 粽 鲩鱼(淡 水鱼) 120g/ 包 280克 (2只)/ 400克/ 包 包 200克/ 包 / / 竹丝鸡 / / 靓糯米 散装 / 乌鸡 / / 三黄鸡 / / 泰国糯米 散装 / 500ml/ 瓶 毛铺纯谷 500ml/ 酒精度 酒 :42% 瓶 酒 vol 精度: 凉茶王 散装 42% 化痰润肺 vol 散装 凉茶 / 苦荞酒 口腔凉茶 散装 / 港发 / 裹香皇 / 毛铺 / / / ######## # ######## # ######## # ######## # ######## # ######## # ######## # ######## # ######## # ######## # ######## # ######## # ######## # ######## # ######## # ######## # ######## # ######## # ######## # ######## # ######## # ######## # ######## # ######## # ######## # ######## # ######## # ######## # ######## # 铅(以Pb计), 合格 黄曲霉毒素B₁ 铅(以Pb计), 合格 ,苯并(a)芘,镉( 黄曲霉毒素B₁ 以Cd计) 氯霉素,恩诺 合格 ,苯并(a)芘,镉( 沙星(恩诺沙 以Cd计) 氯霉素,恩诺 合格 星与环丙沙星 沙星(恩诺沙 之和),孔雀石 甜蜜素(以环 合格 星与环丙沙星 绿,地西泮 己基氨基磺酸 之和),孔雀石 山梨酸及其钾 计),甲醇,氰 绿,地西泮 合格 盐(以山梨酸 化物(以HCN计 铅(以Pb计), 合格 计),甲醇,防 ),苯甲酸及其 黄曲霉毒素B₁ 腐剂混合使用 钠盐(以苯甲 合格 氯霉素,恩诺 ,苯并(a)芘,镉( 时各自用量占 酸计),防腐剂 沙星(恩诺沙 以Cd计) 其最大使用量 五氯酚酸钠( 混合使用时各 合格 星与环丙沙星 的比例之和, 以五氯酚计), 自用量占其最 之和),孔雀石 山梨酸及其钾 三氯蔗糖,阿 合格 金刚烷胺,恩 大使用量的比 绿,地西泮 盐(以山梨酸 斯巴甜,氰化 诺沙星(恩诺 例之和,铅(以 山梨酸及其钾 合格 计),富马酸二 物(以HCN计), 沙星与环丙沙 Pb计),阿斯巴 盐(以山梨酸 甲酯,三氯蔗 酒精度,铅(以 星之和),磺胺 山梨酸及其钾 甜,三氯蔗糖, 计),富马酸二 糖,铝的残留 合格 Pb计),糖精钠 类,甲氧苄啶, 盐(以山梨酸 酒精度,糖精 甲酯,三氯蔗 量(干样品, 铅(以Pb计), (以糖精计), 氯霉素 计),富马酸二 钠(以糖精计 糖,铝的残留 合格 以Al计),酸价 黄曲霉毒素B₁ 甜蜜素(以环 甲酯,三氯蔗 ),山梨酸及其 量(干样品, 铅(以Pb计), (以脂肪计 合格 ,苯并(a)芘,镉( 己基氨基磺酸 糖,铝的残留 钾盐(以山梨 以Al计),酸价 黄曲霉毒素B₁ )(KOH),过氧 以Cd计) 计),苯甲酸及 量(干样品, 酸计) 山梨酸及其钾 (以脂肪计 合格 ,苯并(a)芘,镉( 化值(以脂肪 其钠盐(以苯 以Al计),酸价 盐(以山梨酸 )(KOH),过氧 以Cd计) 计),铅(以Pb 甲酸计) 山梨酸及其钾 (以脂肪计 合格 计),富马酸二 化值(以脂肪 计),脱氢乙酸 盐(以山梨酸 )(KOH),过氧 甲酯,三氯蔗 计),铅(以Pb 山梨酸及其钾 及其钠盐(以 合格 计),乙酰磺胺 化值(以脂肪 糖,铝的残留 计),脱氢乙酸 盐(以山梨酸 脱氢乙酸计), 酸钾(安赛蜜 计),铅(以Pb 量(干样品, 山梨酸及其钾 及其钠盐(以 计),乙酰磺胺 糖精钠(以糖 ),糖精钠(以 合格 计),脱氢乙酸 以Al计),酸价 盐(以山梨酸 脱氢乙酸计), 酸钾(安赛蜜 精计),甜蜜素 糖精计),苯甲 氯霉素,恩诺 及其钠盐(以 (以脂肪计 合格 计),乙酰磺胺 糖精钠(以糖 ),糖精钠(以 (以环己基氨 酸及其钠盐( 沙星(恩诺沙 脱氢乙酸计), )(KOH),过氧 酸钾(安赛蜜 精计),甜蜜素 甲氧苄啶,金刚 糖精计),苯甲 基磺酸计),苯 以苯甲酸计) 合格 星与环丙沙星 糖精钠(以糖 化值(以脂肪 ),糖精钠(以 (以环己基氨 烷胺,氯霉素, 酸及其钠盐( 甲酸及其钠盐 之和),孔雀石 精计),甜蜜素 计),铅(以Pb 五氯酚酸钠(以 糖精计),苯甲 基磺酸计),苯 铅(以Pb计), 合格 以苯甲酸计) (以苯甲酸计) 绿,地西泮 五氯酚计),恩 (以环己基氨 计),脱氢乙酸 酸及其钠盐( 甲酸及其钠盐 黄曲霉毒素B₁ 诺沙星(恩诺沙 甲氧苄啶,金刚 基磺酸计),苯 及其钠盐(以 以苯甲酸计) 合格 (以苯甲酸计) ,苯并(a)芘,镉( 星与环丙沙星 烷胺,氯霉素, 甲酸及其钠盐 脱氢乙酸计), 以Cd计) 之和),磺胺类 五氯酚酸钠(以 甲氧苄啶,金刚 (以苯甲酸计) 糖精钠(以糖 合格 五氯酚计),恩 烷胺,氯霉素, 精计),甜蜜素 诺沙星(恩诺沙 五氯酚酸钠(以 铅(以Pb计), 合格 星与环丙沙星 五氯酚计),恩 (以环己基氨 黄曲霉毒素B₁ 之和),磺胺类 诺沙星(恩诺沙 基磺酸计),苯 山梨酸及其钾 合格 ,苯并(a)芘,镉( 星与环丙沙星 甲酸及其钠盐 盐(以山梨酸 以Cd计) 之和),磺胺类 山梨酸及其钾 (以苯甲酸计) 计),甲醇,三 合格 盐(以山梨酸 氯蔗糖,阿斯 地塞米松、氨 计),甲醇,三 合格 巴甜,氰化物( 基比林、对乙 氯蔗糖,阿斯 酰氨基酚、氯 地塞米松、氨 以HCN计),酒 合格 巴甜,氰化物( 苯那敏 基比林、对乙 精度,铅(以Pb 酰氨基酚、氯 地塞米松、氨 以HCN计),酒 计),糖精钠( 合格 苯那敏 基比林、对乙 精度,铅(以Pb 以糖精计),甜 酰氨基酚、氯 计),糖精钠( 蜜素(以环己 苯那敏 以糖精计),甜 基氨基磺酸计 蜜素(以环己 粮食加 工品 粮食加 工品 食用农 产品 食用农 产品 酒类 酒类 粮食加 工品 食用农 产品 食用农 产品 糕点 糕点 糕点 粮食加 工品 粮食加 工品 糕点 糕点 糕点 糕点 食用农 产品 食用农 产品 粮食加 工品 食用农 产品 食用农 产品 粮食加 工品 酒类 酒类 其他食 品 其他食 品 其他食 品 流通 环节 流通 环节 流通 环节 流通 环节 流通 环节 流通 环节 流通 环节 流通 环节 流通 环节 流通 环节 流通 环节 流通 环节 流通 环节 流通 环节 流通 环节 流通 环节 流通 环节 流通 环节 流通 环节 流通 环节 流通 环节 流通 环节 流通 环节 流通 环节 流通 环节 流通 环节 餐饮 环节 餐饮 环节 餐饮 环节 2021/05/22 华测检测 认证集团 股份有限 2021/05/23 华测检测 公司 认证集团 股份有限 华测检测 2021/05/23 公司 认证集团 股份有限 华测检测 2021/05/23 公司 认证集团 股份有限 华测检测 2021/05/23 公司 认证集团 股份有限 2021/05/23 华测检测 公司 认证集团 股份有限 华测检测 2021/05/23 公司 认证集团 股份有限 华测检测 2021/05/23 公司 认证集团 股份有限 华测检测 2021/05/23 公司 认证集团 股份有限 华测检测 2021/05/23 公司 认证集团 股份有限 华测检测 2021/05/23 公司 认证集团 股份有限 华测检测 2021/05/23 公司 认证集团 股份有限 2021/05/22 华测检测 公司 认证集团 股份有限 华测检测 2021/05/22 公司 认证集团 股份有限 华测检测 2021/05/22 公司 认证集团 股份有限 华测检测 2021/05/22 公司 认证集团 股份有限 华测检测 2021/05/22 公司 认证集团 股份有限 华测检测 2021/05/22 公司 认证集团 股份有限 华测检测 2021/05/22 公司 认证集团 股份有限 华测检测 2021/05/22 公司 认证集团 股份有限 2021/05/23 华测检测 公司 认证集团 股份有限 华测检测 2021/05/23 公司 认证集团 股份有限 华测检测 2021/05/23 公司 认证集团 股份有限 华测检测 2021/05/23 公司 认证集团 股份有限 华测检测 2021/05/23 公司 认证集团 股份有限 华测检测 2021/05/23 公司 认证集团 股份有限 华测检测 2021/05/23 公司 认证集团 股份有限 2021/05/23 华测检测 公司 认证集团 股份有限 2021/05/23 华测检测 公司 认证集团 股份有限 公司 大塘 202 XC214406 07602210 镇 大塘 396 203 XC214406 07602210 镇 大塘 397 204 XC214406 07602210 镇 西南 398 205 XC214406 07602210 街道 西南 401 206 XC214406 07602210 街道 西南 402 207 XC214406 07602210 街道 西南 405 208 XC214406 07602210 街道 西南 406 209 XC214406 07602210 街道 西南 407 210 XC214406 07602210 街道 西南 408 211 XC214406 07602210 街道 西南 409 212 XC214406 07602210 街道 410 213 XC214406 云东 07602210 海街 南山 411 道 214 XC214406 07602210 镇 南山 414 215 XC214406 07602210 镇 南山 415 216 XC214406 07602210 镇 南山 416 217 XC214406 07602210 镇 南山 417 218 XC214406 07602210 镇 南山 418 219 XC214406 07602210 镇 大塘 419 220 XC214406 07602210 镇 大塘 420 221 XC214406 07602210 镇 大塘 421 222 XC214406 07602210 镇 大塘 422 223 XC214406 07602210 镇 大塘 423 224 XC214406 07602210 镇 大塘 428 225 XC214406 07602210 镇 西南 429 226 NCP21440 60760800 街道 西南 0091 227 NCP21440 60760800 街道 西南 0092 228 NCP21440 60760800 街道 西南 0093 229 NCP21440 60760800 街道 西南 0094 230 NCP21440 60760800 街道 0095 / 福建惠家食品 有限公司 东莞市添康健 食品实业有限 公司 / / 郑州思念食品 有限公司 郑州思念食品 有限公司 济南金杨子食 品有限公司 肇庆市一鼎皇 食品有限公司 嘉兴市禾风食 品股份有限公 司 福建合口味食 品工业有限公 司 / / / / 台山市奇香食 品有限公司 福建万得福食 品有限公司 福建万得福食 品有限公司 / / / / / / / / / / / 佛山市尚诚汇聚商 佛山市三水区 ######## 铅(以Pb计), 粮食加 流通 糯米 散装 / 合格 业有限公司 # 工品 环节 大塘镇黎木岗 黄曲霉毒素B₁ ######## 山梨酸及其钾 流通 股份合作社综 惠家肉松 福建省泉 佛山市尚诚汇聚商 佛山市三水区 散装 惠家 ,苯并(a)芘,镉( 合格 糕点 环节 业有限公司 棒蛋糕 # 合楼2(一层( 州市晋江 大塘镇黎木岗 盐(以山梨酸 以Cd计) 盛起乐+ ######## 山梨酸及其钾 流通 市经济开 佛山市尚诚汇聚商 A12、A13、A14 股份合作社综 老婆饼( 佛山市三水区 广东省东 散装 计),富马酸二 合格 糕点 环节 ))、二层( 烘烤类糕 业有限公司 图形商标 # 发区(五 合楼2(一层( 莞市虎门 大塘镇黎木岗 盐(以山梨酸 整层)、三层 草鱼(淡 里园)金 佛山市三水区西南 A12、A13、A14 ######## 甲酯,三氯蔗 镇白沙路 点) 股份合作社综 佛山市三水区 氯霉素,恩诺 合格 食用农 流通 / / / 计),富马酸二 (整层) 糖,铝的残留 源路5号 ))、二层( 街海群水产品店 合楼2(一层( 水鱼) # 产品 环节 南17号 西南街道育才 沙星(恩诺沙 整层)、三层 佛山市三水区西南 A12、A13、A14 大头鱼( ######## 甲酯,三氯蔗 食用农 流通 路7号103 佛山市三水区 量(干样品, 氯霉素,恩诺 合格 / / / 星与环丙沙星 (整层) 糖,铝的残留 ))、二层( 街海群水产品店 西南街道育才 淡水鱼) # 产品 环节 以Al计),酸价 沙星(恩诺沙 整层)、三层 路7号103 郑州市惠 佛山市润国商业有 佛山市三水区 312克 思念+图 ######## 之和),孔雀石 量(干样品, 山梨酸及其钾 (以脂肪计 合格 糕点 流通 猪肉粽 星与环丙沙星 (整层) 绿,地西泮 限公司 形 # 环节 济区英才 (5只 西南街道文锋 以Al计),酸价 盐(以山梨酸 )(KOH),过氧 街15号 佛山市润国商业有 东路2号三水恒 )/包 思念+图 ######## 之和),孔雀石 郑州市惠 312克 佛山市三水区 山梨酸及其钾 (以脂肪计 合格 糕点 流通 豆沙粽 计),乙酰磺胺 化值(以脂肪 绿,地西泮 限公司 形 # 环节 福广场201-203 济区英才 (5只 西南街道文锋 盐(以山梨酸 )(KOH),过氧 酸钾(安赛蜜 、301-303 计),铅(以Pb ######## 山梨酸及其钾 流通 街15号 佛山市润国商业有 东路2号三水恒 )/包 蛋黄肉粽 130克/ 佛山市三水区 济南市历 楊博士 计),乙酰磺胺 化值(以脂肪 合格 糕点 环节 ),糖精钠(以 限公司 包 # 福广场201-203 城区仲宫 西南街道文锋 (真空包 计),脱氢乙酸 盐(以山梨酸 酸钾(安赛蜜 、301-303 计),铅(以Pb ######## 山梨酸及其钾 装) 镇北侯村 广东华南通商贸发 东路2号三水恒 肇庆市鼎 佛山市三水区 糖精计),苯甲 及其钠盐(以 合格 糕点 流通 五香肉粽 200克 利口福 计),乙酰磺胺 ),糖精钠(以 # 环节 1号 展有限公司三水分 福广场201-203 湖区桂城 西南街张边路 (100 计),脱氢乙酸 酸及其钠盐( 盐(以山梨酸 脱氢乙酸计), 酸钾(安赛蜜 、301-303 双蛋黄肉 克x2) 流通 新城十区 广东华南通商贸发 公司 九号三水广场( 浙江省嘉 佛山市三水区 280克 利口福 ######## 山梨酸及其钾 糖精计),苯甲 及其钠盐(以 以苯甲酸计) 合格 糕点 计),乙酰磺胺 糖精钠(以糖 ),糖精钠(以 粽 # 环节 四小区( 展有限公司三水分 西南街张边路 二座) /包 (140 兴市秀洲 酸及其钠盐( 盐(以山梨酸 脱氢乙酸计), 酸钾(安赛蜜 厂房A幢 广东华南通商贸发 流通 九号三水广场( 克×2 合口味+ ######## 精计),甜蜜素 公司 区油车港 福建省漳 佛山市三水区 红豆咸肉 200克 糖精计),苯甲 山梨酸及其钾 以苯甲酸计) 合格 糕点 计),乙酰磺胺 糖精钠(以糖 ),糖精钠(以 )鼎湖工 粽 图形 # 环节 镇北阳路 二座) )/包 (以环己基氨 (2只 州市诏安 展有限公司三水分 西南街张边路 酸及其钠盐( 盐(以山梨酸 酸钾(安赛蜜 精计),甜蜜素 业城内 55号 佛山市三水区广惠 ######## 糖精计),苯甲 粮食加 流通 九号三水广场( 公司 )/包 县深桥镇 佛山市三水区 基磺酸计),苯 铅(以Pb计), 合格 以苯甲酸计) / 靓糯米 散装 / 计),乙酰磺胺 ),糖精钠(以 源百货店 # 工品 环节 雨亭168 二座) (以环己基氨 云东海街道南 酸及其钠盐( 甲酸及其钠盐 黄曲霉毒素B₁ 酸钾(安赛蜜 号 佛山市三水区成成 佛山市三水区 ######## 糖精计),苯甲 食用农 流通 丰大道南28号 甲氧苄啶,金刚 基磺酸计),苯 以苯甲酸计) 合格 / 清远鸡 / / (以苯甲酸计) ,苯并(a)芘,镉( ),糖精钠(以 月珍光鸡档 # 产品 环节 首层之1(住所 烷胺,氯霉素, 南山镇民乐一 酸及其钠盐( 甲酸及其钠盐 以Cd计) 申报) 佛山市三水区成成 路4号双汇广场 ######## 糖精计),苯甲 食用农 流通 五氯酚酸钠(以 佛山市三水区 甲氧苄啶,金刚 以苯甲酸计) / 乌鸡 / / 合格 (以苯甲酸计) 月珍光鸡档 # 产品 环节 1座首层绿茵幸 五氯酚计),恩 烷胺,氯霉素, 南山镇民乐一 酸及其钠盐( 诺沙星(恩诺沙 福双汇广场农 佛山市三水区成成 路4号双汇广场 ######## 食用农 流通 五氯酚酸钠(以 佛山市三水区 甲氧苄啶,金刚 以苯甲酸计) 合格 / 文昌鸡 / / 星与环丙沙星 贸市场内光鸡4 月珍光鸡档 # 产品 环节 1座首层绿茵幸 五氯酚计),恩 烷胺,氯霉素, 南山镇民乐一 号档(住所申报 之和),磺胺类 诺沙星(恩诺沙 福双汇广场农 ######## 山梨酸及其钾 流通 五氯酚酸钠(以 佛山市三水区 冰爽绿豆 散装 台山市台 佛山市三水区南山 路4号双汇广场 侨香村 合格 糕点 ) 星与环丙沙星 贸市场内光鸡4 # 环节 五氯酚计),恩 南山镇民乐一 饼(烘烤 城北坑工 镇好好彩百货店 1座首层绿茵幸 盐(以山梨酸 之和),磺胺类 诺沙星(恩诺沙 福双汇广场农 类糕点) ######## 山梨酸及其钾 流通 路4号双汇广场 业大道23 佛山市三水区南山 号档(住所申报 莆田市城 佛山市三水区 老公饼 散装 WDF+图形 合格 糕点 计),富马酸二 ) 星与环丙沙星 贸市场内光鸡4 镇好好彩百货店 1座1132、1133 # 环节 号 厢区太湖 南山镇民乐一 盐(以山梨酸 甲酯,三氯蔗 号档(住所申报 之和),磺胺类 、1134、1135( 流通 工业园区 佛山市三水区南山 路4号双汇广场 莆田市城 佛山市三水区 榴莲风味 散装 WDF+图形 ######## 山梨酸及其钾 计),富马酸二 ) 糖,铝的残留 合格 糕点 环节 住所申报) 饼 # 厢区太湖 镇好好彩百货店 1座1132、1133 南山镇民乐一 盐(以山梨酸 甲酯,三氯蔗 、1134、1135( ######## 地塞米松、氨 工业园区 佛山市三水区籽唯 路4号双汇广场 佛山市三水区 凉茶药引 散装 量(干样品, 合格 其他食 餐饮 / / 计),富马酸二 糖,铝的残留 住所申报) 凉茶店 茶 # 品 环节 1座1132、1133 大塘镇建设路 基比林、对乙 以Al计),酸价 甲酯,三氯蔗 、1134、1135( 佛山市三水区大塘 88号之一(住所 凉茶药引 ######## 地塞米松、氨 其他食 餐饮 酰氨基酚、氯 佛山市三水区 量(干样品, (以脂肪计 合格 / 散装 / 糖,铝的残留 住所申报) 镇殷华轩凉茶店 大塘镇黎木岗 茶 # 品 环节 申报) 苯那敏 基比林、对乙 以Al计),酸价 )(KOH),过氧 佛山市三水区肖自 佛山市三水区 ######## 酰氨基酚、氯 食用农 流通 市场内B区1号 草鱼(淡 量(干样品, 氯霉素,恩诺 (以脂肪计 / / / 合格 化值(以脂肪 东鱼档 水鱼) # 产品 环节 铺 苯那敏 大塘镇梨木岗 以Al计),酸价 沙星(恩诺沙 计),铅(以Pb 佛山市三水区肖自 佛山市三水区 ######## )(KOH),过氧 食用农 流通 市场内鱼类区 罗非鱼( 氯霉素,恩诺 (以脂肪计 合格 / / / 星与环丙沙星 化值(以脂肪 东鱼档 # 产品 环节 第3号铺(住所 淡水鱼) 大塘镇梨木岗 计),脱氢乙酸 沙星(恩诺沙 )(KOH),过氧 之和),孔雀石 申报) 计),铅(以Pb 佛山市三水区大塘 市场内鱼类区 ######## 食用农 流通 佛山市三水区 甲氧苄啶,金刚 及其钠盐(以 / 清远鸡 / / 星与环丙沙星 化值(以脂肪 绿,地西泮 合格 产品 环节 镇莫建飞毛鸡档 大塘镇黎木岗 # 第3号铺(住所 烷胺,氯霉素, 计),脱氢乙酸 脱氢乙酸计), 之和),孔雀石 申报) 计),铅(以Pb 佛山市三水区大塘 佛山市三水区 ######## 甲氧苄啶,金刚 食用农 流通 市场内三鸟区 五氯酚酸钠(以 及其钠盐(以 / 黄麻鸡 / / 糖精钠(以糖 绿,地西泮 合格 产品 环节 镇莫建飞毛鸡档 大塘镇黎木岗 # 第2号铺 五氯酚计),恩 烷胺,氯霉素, 计),脱氢乙酸 脱氢乙酸计), 精计),甜蜜素 诺沙星(恩诺沙 2021-05- 氟虫腈、氧乐 食用农 流通 市场内三鸟区 五氯酚酸钠(以 佛山市三水日日升 佛山市三水区 及其钠盐(以 / 油麦菜 / / 合格 糖精钠(以糖 星与环丙沙星 09 产品 环节 第2号铺 五氯酚计),恩 (以环己基氨 果、甲胺磷、 商业连锁有限公司 西南街道西河 脱氢乙酸计), 精计),甜蜜素 之和),磺胺类 诺沙星(恩诺沙 2021-05- 氟虫腈、克百 食用农 流通 乙酰甲胺磷、 路1号北江明珠 北江明珠分店 佛山市三水区 佛山市三水日日升 基磺酸计),苯 / 菜心 / / 合格 糖精钠(以糖 星与环丙沙星 09 产品 环节 克百威、灭多 (以环己基氨 西南街道西河 商业连锁有限公司 花园5座101、 威、甲基异柳 甲酸及其钠盐 精计),甜蜜素 之和),磺胺类 威、 102、104-108 2021-05- 氧乐果、甲胺 食用农 流通 路1号北江明珠 北江明珠分店 磷、甲拌磷、 佛山市三水区 佛山市三水日日升 基磺酸计),苯 / 包菜 / / (以苯甲酸计) 合格 产品 09 环节 花园5座101、 (以环己基氨 西南街道西河 商业连锁有限公司 号 磷、乙酰甲胺 甲酸及其钠盐 102、104-108 2021-05- 苯醚甲环唑、 食用农 流通 路1号北江明珠 北江明珠分店 磷、克百威、 佛山市三水区 佛山市三水日日升 基磺酸计),苯 / 香蕉 / / (以苯甲酸计) 合格 产品 号 09 环节 花园5座101、 商业连锁有限公司 西南街道西河 吡唑醚菌酯、 甲酸及其钠盐 102、104-108 2021-05- 镉(以Cd计) 食用农 流通 路1号北江明珠 北江明珠分店 多菌灵、 佛山市三水区 佛山市三水日日升 / 金针菇 / / 合格 (以苯甲酸计) 号 09 产品 环节 花园5座101、 、二氧化硫残 商业连锁有限公司 西南街道西河 102、104-108 路1号北江明珠 留量、氯氰菊 北江明珠分店 号 花园5座101、 酯和高效氯氰 102、104-108 菊酯、氯氟氰 / 2021/05/23 华测检测 认证集团 股份有限 2021/05/23 华测检测 公司 认证集团 股份有限 华测检测 2021/05/23 公司 认证集团 股份有限 华测检测 2021/05/22 公司 认证集团 股份有限 华测检测 2021/05/22 公司 认证集团 股份有限 2021/05/22 华测检测 公司 认证集团 股份有限 华测检测 2021/05/22 公司 认证集团 股份有限 华测检测 2021/05/22 公司 认证集团 股份有限 华测检测 2021/05/22 公司 认证集团 股份有限 华测检测 2021/05/22 公司 认证集团 股份有限 华测检测 2021/05/22 公司 认证集团 股份有限 华测检测 2021/05/22 公司 认证集团 股份有限 2021/05/23 华测检测 公司 认证集团 股份有限 华测检测 2021/05/23 公司 认证集团 股份有限 华测检测 2021/05/23 公司 认证集团 股份有限 华测检测 2021/05/23 公司 认证集团 股份有限 华测检测 2021/05/23 公司 认证集团 股份有限 华测检测 2021/05/23 公司 认证集团 股份有限 华测检测 2021/05/23 公司 认证集团 股份有限 华测检测 2021/05/23 公司 认证集团 股份有限 2021/05/23 华测检测 公司 认证集团 股份有限 华测检测 2021/05/23 公司 认证集团 股份有限 华测检测 2021/05/23 公司 认证集团 股份有限 华测检测 2021/05/23 公司 认证集团 股份有限 精益和泰 2021-05-09 公司 质量检测 股份有限 精益和泰 2021-05-09 公司 质量检测 股份有限 2021-05-09 精益和泰 公司 质量检测 股份有限 2021-05-09 精益和泰 公司 质量检测 股份有限 2021-05-09 精益和泰 公司 质量检测 股份有限 公司 西南 231 NCP21440 60760800 街道 西南 0096 232 NCP21440 60760800 街道 西南 0097 233 NCP21440 60760800 街道 西南 0098 234 NCP21440 60760800 街道 西南 0099 235 NCP21440 60760800 街道 西南 0110 236 NCP21440 60760800 街道 西南 0111 237 NCP21440 60760800 街道 西南 0112 238 NCP21440 60760800 街道 西南 0113 239 NCP21440 60760800 街道 西南 0114 240 NCP21440 60760800 街道 西南 0115 241 NCP21440 60760800 街道 西南 0116 242 NCP21440 60760800 街道 西南 0117 243 NCP21440 60760800 街道 西南 0118 244 NCP21440 60760800 街道 西南 0119 245 NCP21440 60760800 街道 西南 0120 246 NCP21440 60760800 街道 西南 0121 247 NCP21440 60760800 街道 西南 0122 248 NCP21440 60760800 街道 西南 0123 249 NCP21440 60760800 街道 西南 0124 250 NCP21440 60760800 街道 西南 0125 251 NCP21440 60760800 街道 西南 0126 252 NCP21440 60760800 街道 西南 0127 253 NCP21440 60760800 街道 西南 0128 254 NCP21440 60760800 街道 西南 0129 255 NCP21440 60760800 街道 西南 0130 256 NCP21440 60760800 街道 西南 0131 257 NCP21440 60760800 街道 西南 0132 258 NCP21440 60760800 街道 西南 0133 259 NCP21440 60760800 街道 0134 / / / / / / / / / / / / / / / / / / / / / / / / / / / / / / / / / / / / / / / / / / / / / / / / / / / / / / / / / / 佛山市三水日日升 佛山市三水区 新奇士橙 / 商业连锁有限公司 西南街道西河 路1号北江明珠 北江明珠分店 佛山市三水区 佛山市三水日日升 绿豆芽菜 / 花园5座101、 商业连锁有限公司 西南街道西河 102、104-108 路1号北江明珠 北江明珠分店 佛山市三水区 佛山市三水日日升 牛肉 / 号 花园5座101、 商业连锁有限公司 西南街道西河 102、104-108 路1号北江明珠 北江明珠分店 佛山市三水区 佛山市三水日日升 清远鸡 / 号 西南街道西河 商业连锁有限公司 花园5座101、 102、104-108 路1号北江明珠 北江明珠分店 佛山市三水区 佛山市三水日日升 猪肉 / 号 花园5座101、 商业连锁有限公司 西南街道西河 102、104-108 路1号北江明珠 北江明珠分店 佛山市三水区 佛山市三水日日升 鸡蛋 / 号 花园5座101、 商业连锁有限公司 西南街道张边 102、104-108 路6号恒达花园 日日升恒达分店 佛山市三水区 佛山市三水日日升 青尖椒 / 号 南1068-1086、 商业连锁有限公司 西南街道张边 1124路6号恒达花园 日日升恒达分店 佛山市三水区 佛山市三水日日升 豆角 / 1142、1144南1068-1086、 商业连锁有限公司 西南街道张边 1153 1124路6号恒达花园 日日升恒达分店 佛山市三水区 佛山市三水日日升 韭菜 / 1142、1144南1068-1086、 商业连锁有限公司 西南街道张边 1153 1124路6号恒达花园 日日升恒达分店 佛山市三水区 佛山市三水日日升 上海青 / 1142、1144南1068-1086、 商业连锁有限公司 西南街道张边 1153 1124路6号恒达花园 日日升恒达分店 佛山市三水区 佛山市三水日日升 清远鸡 / 1142、1144西南街道张边 商业连锁有限公司 南1068-1086、 1153 1124路6号恒达花园 日日升恒达分店 佛山市三水区 佛山市三水日日升 牛肉 / 南1068-1086、 西南街道张边 商业连锁有限公司 1142、11441153 1124路6号恒达花园 日日升恒达分店 佛山市三水区 佛山市三水日日升 猪肾 / 1142、1144南1068-1086、 商业连锁有限公司 西南街道张边 1153 1124路6号恒达花园 日日升恒达分店 佛山市三水区 佛山市三水日日升 猪肉 / 1142、1144南1068-1086、 商业连锁有限公司 西南街道张边 1153 1124路6号恒达花园 日日升恒达分店 佛山市三水日日升 佛山市三水区 茂谷柑 / 1142、1144南1068-1086、 商业连锁有限公司 西南街道张边 1153 1124日日升恒达分店 佛山市三水区 佛山市三水日日升 路6号恒达花园 大白菜 1142、1144西南街道西河 商业连锁有限公司 南1068-1086、 1153 路1号北江明珠 北江明珠分店 1124佛山市三水区 佛山市三水日日升 小白菜 花园5座101、 西南街道西河 商业连锁有限公司 1142、1144102、104-108 路1号北江明珠 北江明珠分店 1153 佛山市三水区 佛山市三水日日升 菜心 号 花园5座101、 商业连锁有限公司 西南街道西河 102、104-108 路1号北江明珠 北江明珠分店 佛山市三水区 佛山市三水日日升 豇豆 号 西南街道西河 商业连锁有限公司 花园5座101、 102、104-108 路1号北江明珠 北江明珠分店 佛山市三水区 佛山市三水日日升 结球甘蓝 号 花园5座101、 商业连锁有限公司 西南街道西河 102、104-108 路1号北江明珠 北江明珠分店 佛山市三水区 佛山市三水日日升 海鲜菇 号 花园5座101、 商业连锁有限公司 西南街道西河 102、104-108 路1号北江明珠 北江明珠分店 佛山市三水区 佛山市三水日日升 香蕉 号 花园5座101、 商业连锁有限公司 西南街道西河 102、104-108 路1号北江明珠 北江明珠分店 佛山市三水日日升 佛山市三水区 夏橙 号 花园5座101、 商业连锁有限公司 西南街道西河 102、104-108 路1号北江明珠 北江明珠分店 佛山市三水区 佛山市三水日日升 牛肉 号 花园5座101、 商业连锁有限公司 西南街道西河 102、104-108 路1号北江明珠 北江明珠分店 佛山市三水区 佛山市三水日日升 猪肉 号 花园5座101、 商业连锁有限公司 西南街道西河 102、104-108 路1号北江明珠 北江明珠分店 佛山市三水区 佛山市三水日日升 杏鲍菇 号 西南街道张边 商业连锁有限公司 花园5座101、 102、104-108 日日升恒达分店 路6号恒达花园 佛山市三水区 佛山市三水日日升 金针菇 号 西南街道张边 商业连锁有限公司 南1068-1086、 1124日日升恒达分店 路6号恒达花园 佛山市三水区 佛山市三水日日升 上海青 1142、1144西南街道张边 商业连锁有限公司 南1068-1086、 1153 1124日日升恒达分店 路6号恒达花园 佛山市三水区 佛山市三水日日升 夏橙 1142、1144西南街道张边 商业连锁有限公司 南1068-1086、 1153 1124日日升恒达分店 路6号恒达花园 1142、1144南1068-1086、 1153 1124- / / / / / / / / / / / / / / / / / / / / / / / / / / / / / / / / / / / / / / / / / / / 2021-05- 丙溴磷、三唑 食用农 流通 合格 09 产品 环节 磷、克百威、 2021-05- 铅(以Pb计) 食用农 流通 多菌灵、水胺 合格 09 产品 环节 硫磷、 、亚硫酸盐( 2021-05- 克伦特罗、莱 食用农 流通 以SO^{2^}计) 合格 09 产品 环节 、6-苄基腺嘌 克多巴胺、沙 呤(6-BA)、42021-05- 恩诺沙星、氧 食用农 流通 丁胺醇、地塞 合格 氯苯氧乙酸钠 09 产品 环节 米松、呋喃唑 氟沙星、培氟 (以4-氯苯氧 酮代谢物、呋 2021-05- 克伦特罗、莱 食用农 流通 沙星、诺氟沙 合格 乙酸计)、 喃它酮代谢物 09 产品 环节 星、沙拉沙星 克多巴胺、沙 、呋喃西林代 、磺胺类(总 2021-05- 氯霉素、氟苯 食用农 流通 丁胺醇、氯霉 合格 谢物、呋喃妥 量)、金刚烷 09 产品 环节 素、呋喃唑酮 尼考、恩诺沙 因代谢物、 胺、 代谢物、呋喃 2021-05- 镉(以Cd计) 食用农 流通 星、氧氟沙星 合格 它酮代谢物、 09 产品 环节 、磺胺类(总 、氧乐果、克 呋喃西林代谢 2021-05- 量)、呋喃唑 食用农 流通 百威、灭多威 氧乐果、水胺 物、呋喃妥因 合格 产品 酮代谢物、呋 09 环节 、氟虫腈、甲 硫磷、甲胺磷 代谢物、 拌磷、甲胺磷 2021-05- 喃西林代谢物 食用农 流通 、克百威、灭 镉(以Cd计) 、呋喃它酮代 合格 产品 、 09 环节 蝇胺、氟虫腈 、毒死蜱、氧 、阿维菌素、 2021-05- 谢物、呋喃妥 食用农 流通 乐果、腐霉利 毒死蜱、氧乐 合格 因代谢物、 09 产品 环节 、克百威、甲 果、甲胺磷、 拌磷、阿维菌 2021-05- 恩诺沙星、氧 食用农 流通 克百威、氟虫 合格 素、 09 产品 环节 腈、啶虫脒、 氟沙星、培氟 2021-05- 克伦特罗、莱 食用农 流通 沙星、诺氟沙 合格 09 产品 环节 星、沙拉沙星 克多巴胺、沙 、磺胺类(总 2021-05- 呋喃唑酮代谢 食用农 流通 丁胺醇、地塞 合格 量)、金刚烷 09 产品 环节 米松、呋喃唑 物、呋喃西林 胺、 酮代谢物、呋 2021-05- 克伦特罗、莱 食用农 流通 代谢物、磺胺 合格 喃它酮代谢物 09 产品 环节 类(总量)、 克多巴胺、沙 、呋喃西林代 2021-05- 丁胺醇、氯霉 丙溴磷、三唑 合格 食用农 流通 谢物、呋喃妥 09 产品 环节 素、呋喃唑酮 磷、氧乐果、 因代谢物、 2021-06- 代谢物、呋喃 联苯菊酯、克 镉(以Cd计) 合格 食用农 流通 它酮代谢物、 24 产品 环节 百威、多菌灵 、氟虫腈、毒 、 2021-06- 呋喃西林代谢 食用农 流通 死蜱、氧乐果 毒死蜱、氧乐 合格 物、呋喃妥因 24 产品 环节 、克百威、阿 果、甲胺磷、 代谢物、 维菌素、甲胺 2021-06- 氟虫腈、克百 食用农 流通 克百威、氟虫 合格 磷、硫线磷、 24 产品 环节 腈、啶虫脒、 威、甲基异柳 2021-06- 氟虫腈、水胺 食用农 流通 磷、甲拌磷、 合格 24 产品 环节 硫磷、甲胺磷 2021-06- 氧乐果、甲胺 食用农 流通 、克百威、灭 合格 24 产品 环节 蝇胺、氧乐果 磷、乙酰甲胺 、阿维菌素、 2021-06- 镉(以Cd计) 食用农 流通 磷、克百威、 合格 24 产品 环节 、二氧化硫残 2021-06- 苯醚甲环唑、 食用农 流通 留量、氯氰菊 合格 23 产品 环节 酯和高效氯氰 吡唑醚菌酯、 2021-06- 菊酯、氯氟氰 多菌灵、 丙溴磷、三唑 合格 食用农 流通 菊酯和高效氯 23 产品 环节 磷、克百威、 氟氰菊酯、 2021-06- 克伦特罗、莱 食用农 流通 多菌灵、水胺 合格 24 产品 环节 硫磷、 克多巴胺、沙 2021-06- 克伦特罗、莱 食用农 流通 丁胺醇、地塞 合格 24 产品 环节 米松、呋喃唑 克多巴胺、沙 酮代谢物、呋 2021-06- 镉(以Cd计) 食用农 流通 丁胺醇、氯霉 合格 喃它酮代谢物 24 产品 环节 素、呋喃唑酮 、二氧化硫残 、呋喃西林代 代谢物、呋喃 2021-06- 镉(以Cd计) 食用农 流通 留量、氯氰菊 合格 谢物、呋喃妥 它酮代谢物、 24 产品 环节 酯和高效氯氰 、二氧化硫残 因代谢物、 呋喃西林代谢 菊酯、氯氟氰 2021-06- 毒死蜱、氧乐 食用农 流通 留量、氯氰菊 合格 物、呋喃妥因 菊酯和高效氯 24 产品 环节 酯和高效氯氰 果、甲胺磷、 代谢物、 氟氰菊酯、 菊酯、氯氟氰 2021-06- 丙溴磷、三唑 食用农 流通 克百威、氟虫 合格 菊酯和高效氯 23 产品 环节 腈、啶虫脒、 磷、克百威、 氟氰菊酯、 多菌灵、水胺 硫磷、 2021-05-09 精益和泰 质量检测 股份有限 2021-05-09 精益和泰 公司 质量检测 股份有限 2021-05-09 精益和泰 公司 质量检测 股份有限 2021-05-09 精益和泰 公司 质量检测 股份有限 2021-05-09 精益和泰 公司 质量检测 股份有限 2021-05-09 精益和泰 公司 质量检测 股份有限 2021-05-09 精益和泰 公司 质量检测 股份有限 2021-05-09 精益和泰 公司 质量检测 股份有限 2021-05-09 精益和泰 公司 质量检测 股份有限 2021-05-09 精益和泰 公司 质量检测 股份有限 2021-05-09 精益和泰 公司 质量检测 股份有限 2021-05-09 精益和泰 公司 质量检测 股份有限 2021-05-09 精益和泰 公司 质量检测 股份有限 2021-05-09 精益和泰 公司 质量检测 股份有限 2021-05-09 精益和泰 公司 质量检测 股份有限 2021-06-24 精益和泰 公司 质量检测 股份有限 2021-06-24 精益和泰 公司 质量检测 股份有限 精益和泰 2021-06-24 公司 质量检测 股份有限 精益和泰 2021-06-24 公司 质量检测 股份有限 精益和泰 2021-06-24 公司 质量检测 股份有限 2021-06-24 精益和泰 公司 质量检测 股份有限 精益和泰 2021-06-24 公司 质量检测 股份有限 精益和泰 2021-06-24 公司 质量检测 股份有限 精益和泰 2021-06-24 公司 质量检测 股份有限 精益和泰 2021-06-24 公司 质量检测 股份有限 精益和泰 2021-06-24 公司 质量检测 股份有限 精益和泰 2021-06-24 公司 质量检测 股份有限 2021-06-24 精益和泰 公司 质量检测 股份有限 2021-06-24 精益和泰 公司 质量检测 股份有限 公司 260 NCP21440 60760800 0135 261 NCP21440 60760800 0136 262 NCP21440 60760800 0137 263 NCP21440 60760800 0138 264 NCP21440 60760800 0139 265 NCP21440 60760800 GZ210421A0 0140 266 267 268 269 270 271 272 273 274 275 276 277 278 279 280 281 282 283 284 285 286 287 288 01 GZ210421A0 02 GZ210421A0 03 GZ210421A0 04 GZ210421A0 05 GZ210421A0 06 GZ210421A0 07 GZ210421A0 08 GZ210421A0 09 GZ210421A0 10 GZ210421A0 11 GZ210421A0 12 GZ210421A0 13 GZ210421A0 14 GZ210421A0 15 GZ210421A0 16 GZ210422A0 01 GZ210422A0 02 GZ210422A0 03 GZ210422A0 04 GZ210422A0 05 GZ210422A0 06 GZ210422A0 07 西南 街道 西南 街道 西南 街道 西南 街道 西南 街道 西南 街道 / / / / / / / / / / / / 佛山市三水区国 粮粮油有限公司 佛山市三水区国 大塘 粮粮油有限公司 中山市港口镇富 大塘 兴食品厂 大塘 大塘 / 佛山市三水乐福 米业有限公司 漳浦县中美食品 大塘 有限公司 广东鹰唛食品有 大塘 限公司 大塘 大塘 / 大塘 / 广州市粮食集团 有限责任公司( 佛山市三水乐福 分装商) 大塘 米业有限公司 大塘 大塘 / 广州市从化区街 口粮食管理所 广东冠华食品有 大塘 限公司 广州增城区新塘 大塘 粮食管理所 大塘 大塘 / 佛山市三水乐福 大塘 米业有限公司 佛山市三水区西 大塘 南街新大巷油厂 漳浦县中美食品 大塘 有限公司 大塘 / 宿迁市沐阳县双 丰粮食加工厂 广东鹰唛食品有 大塘 限公司 广州金司奇米面 大塘 制品有限公司 大塘 佛山市三 水区西南 街道对外 佛山市三 经济开发 水区西南 区西29区 街道对外 中山市港 之一之二 经济开发 口镇群富 和西30区 区西29区 业大道13 / 之一之二 号 和西30区 佛山市三 水区乐平 镇乐平大 福建省漳 道50号 浦县乡妥 安工业开 中山市南 发区乡妥 区渡兴西 安工业园 路 / (大亭北 路21号) / 佛山市三水日日升 佛山市三水区 香蕉 / / 商业连锁有限公司 西南街道张边 日日升恒达分店 路6号恒达花园 佛山市三水区 佛山市三水日日升 青尖椒 / / 西南街道张边 商业连锁有限公司 南1068-1086、 1124日日升恒达分店 路6号恒达花园 佛山市三水区 佛山市三水日日升 芹菜 / / 1142、1144西南街道张边 商业连锁有限公司 南1068-1086、 1153 1124日日升恒达分店 路6号恒达花园 佛山市三水区 佛山市三水日日升 菜心 / / 1142、1144西南街道张边 商业连锁有限公司 南1068-1086、 1153 1124日日升恒达分店 路6号恒达花园 佛山市三水区 佛山市三水日日升 猪肉 / / 1142、1144西南街道张边 商业连锁有限公司 南1068-1086、 1153 1124日日升恒达分店 路6号恒达花园 佛山市三水区 佛山市三水日日升 鸡胸肉 / / 1142、1144西南街道张边 商业连锁有限公司 南1068-1086、 1153 1124佛山市三水区大塘 25kg/ 路6号恒达花园 日日升恒达分店 佛山市三水区大 油粘米 图形商标 1142、1144镇中心幼儿园 塘镇大塘街20号 袋 南1068-1086、 1153 1124佛山市三水区大塘 佛山市三水区大 压榨花生油 5升/桶 穗生牌 1142、1144镇中心幼儿园 塘镇大塘街20号 1153 佛山市三水区大塘 佛山市三水区大 富兴牌超霸 4.39千 镇中心幼儿园 佛山市三水区大塘 镇中心幼儿园 佛山市三水区大塘 春苗幼儿园 佛山市三水区大塘 春苗幼儿园 佛山市三水区大塘 春苗幼儿园 佛山市三水区大塘 春苗幼儿园 佛山市三水区大塘 镇中心小学 广州市荔 佛山市三水区大塘 湾区南涍 镇中心小学 文果园工 佛山市三水区大塘 佛山市三 业区100号 镇中心小学 水区乐平 大院自编1 佛山市三水区大塘 镇乐平大 / 、3、5栋 镇中心小学 道50号 广州市从 佛山市三水区第三 化区城郊 中学 街横江路 佛山市三水区第三 乳源瑶族 新庄自编 中学 自治园乳 30号 佛山市三水区第三 城镇乐华 广州市增 中学 路 城区新塘 镇建设路 佛山市三水区第三 / 中学 146号 佛山市三 佛山市三水区大塘 水区乐平 镇振华学校 镇乐平大 佛山市三水区大塘 广东省佛 镇振华学校 道50号 山市三水 区西南街 佛山市三水区大塘 福建省漳 董Ying村 镇振华学校 浦县绥安 塘口地之 佛山市三水区大塘 工业开发 / 二 镇振华学校 区绥安工 业园(大 佛山市三水区大塘 宿迁市沐 亭北路21 阳县马厂 实验幼儿园 号) 佛山市三水区大塘 镇杨桥村 中山市南 实验幼儿园 李庄组 区渡兴西 佛山市三水区大塘 路 广东市南 沙区黄阁 实验幼儿园 镇沙会堡 村三沙路 407号 塘镇大塘街20号 佛山市三水区大 塘镇大塘街20号 佛山市三水区大 塘镇建设路32号 佛山市三水区大 塘镇建设路32号 佛山市三水区大 塘镇建设路32号 佛山市三水区大 塘镇建设路32号 佛山市三水区大 塘镇育才街17号 佛山市三水区大 塘镇育才街17号 佛山市三水区大 塘镇育才街17号 佛山市三水区大 塘镇育才街17号 佛山市三水区大 塘镇建设路117号 佛山市三水区大 塘镇建设路117号 佛山市三水区大 塘镇建设路117号 佛山市三水区大 塘镇建设路117号 佛山市三水区大 塘镇永平村(原 望岗小学) 佛山市三水区大 塘镇永平村(原 望岗小学) 佛山市三水区大 塘镇永平村(原 望岗小学) 佛山市三水区大 塘镇永平村(原 望岗小学) 佛山市三水区大 塘大布沙半岛西 路6号 佛山市三水区大 塘大布沙半岛西 路6号 佛山市三水区大 塘大布沙半岛西 路6号 大碗面(非 克/箱 油炸风干面 姜 / ) 25kg/ 乐福农夫米 袋 源源特级排 8公斤/ 粉 袋 鹰唛®花生 5升/桶 油 富兴 / 图形商标 图形商标 鹰唛 姜 / / 生姜 / / 乐福纯香花 5升/桶 / 生油 乐福经典丝 15kg/ 图形商标 苗米 袋 芋头 / / 马坝香粘米 25千克 流溪河畔 (大米) /袋 9千克/ 排米粉 冠益 袋 花生油 5升/桶 图形商标 番茄 / 25kg/ 乐福田园米 袋 / 郑氏乐福 压榨花生油 20L/桶 粤名香 特级排粉 9kg/袋 图形商标 生姜 / / 丝苗米 25kg/ 袋 图形商标 鹰唛花生油 5L/桶 图形商标 金斯奇排粉 8kg/袋 金斯奇 2021-0624 2021-0624 2021-0624 2021-0624 2021-0624 2021-0624 苯醚甲环唑、 合格 食用农 流通 产品 环节 吡唑醚菌酯、 食用农 流通 多菌灵、 镉(以Cd计) 合格 产品 环节 、氧乐果、克 食用农 流通 百威、灭多威 毒死蜱、氟虫 合格 产品 环节 、氟虫腈、甲 腈、克百威、 拌磷、甲胺磷 食用农 流通 甲胺磷、甲基 氟虫腈、克百 合格 、 产品 环节 异柳磷、二甲 威、甲基异柳 戊灵、氧乐果 食用农 流通 磷、甲拌磷、 克伦特罗、莱 合格 、阿维菌素、 产品 环节 克多巴胺、沙 食用农 流通 丁胺醇、氯霉 恩诺沙星、沙 合格 产品 环节 素、呋喃唑酮 拉沙星、磺胺 代谢物、呋喃 2021-04-12 镉(以Cd计)、 粮食加 类(总量)、 合格 餐饮 它酮代谢物、 (生产日期) 黄曲霉毒素 工品 金刚烷胺、氧 B₁、 呋喃西林代谢 氟沙星、培氟 2021-03-16 苯并[a]芘、过氧 食用油 铅(以Pb计) 物、呋喃妥因 合格 、油脂 餐饮 沙星、诺氟沙 (生产日期) 化值、黄曲霉毒 代谢物、 星、 2021-03-08 素 B₁、铅(以Pb 方便食 及其制 水分 合格 (生产日期) 计)、溶剂残留 2021-04-19 吡虫啉、镉(以 量、酸价(KOH)、 合格 (购进日期) Cd计)、甲胺磷 特丁基对苯二酚 2021-04-05 镉(以Cd计)、 (TBHQ) 、克百威、铅( 合格 (生产日期) 以Pb计)、噻虫 黄曲霉毒素 B₁、 嗪、氧乐果 2021-03-10 苯甲酸及其钠盐 铅(以Pb计) 合格 (生产日期) (以苯甲酸计) 2021-03-12 苯并[a]芘、过氧 、二氧化硫残留 合格 (生产日期) 化值、黄曲霉毒 量、山梨酸及其 钾盐(以山梨酸 2021-04-15 吡虫啉、镉(以 素 B₁、铅(以Pb 合格 计)、脱氢乙酸 (购进日期) Cd计)、甲胺磷 计)、溶剂残留 及其钠盐(以脱 2021-04-21 、克百威、铅( 量、酸价(KOH)、 吡虫啉、镉(以 合格 氢乙酸计) (购进日期) Cd计)、甲胺磷 以Pb计)、噻虫 特丁基对苯二酚 嗪、氧乐果 2020-11-18 苯并[a]芘、过氧 (TBHQ) 、克百威、铅( 合格 (生产日期) 化值、黄曲霉毒 以Pb计)、噻虫 嗪、氧乐果 2021-04-16 镉(以Cd计)、 素 B₁、铅(以Pb 合格 (生产日期) 黄曲霉毒素 B₁、 计)、溶剂残留 2021-04-21 倍硫磷、氟虫腈 量、酸价(KOH)、 铅(以Pb计) 合格 (购进日期) 、甲胺磷、马拉 特丁基对苯二酚 2021-04-13 镉(以Cd计)、 (TBHQ) 硫磷、灭线磷、 合格 (生产日期) 黄曲霉毒素 杀螟硫磷、杀扑 B₁、 磷、乙酰甲胺磷 2021-02-25 苯甲酸及其钠盐 铅(以Pb计) 合格 (生产日期) (以苯甲酸计) 2021-03-05 苯并[a]芘、过氧 、二氧化硫残留 合格 (生产日期) 化值、黄曲霉毒 量、山梨酸及其 钾盐(以山梨酸 2021-04-21 素 B₁、铅(以Pb 敌敌畏、毒死蜱 合格 计)、脱氢乙酸 (购进日期) 、甲胺磷、克百 计)、溶剂残留 2021-04-12 及其钠盐(以脱 威、氯氟氰菊酯 量、酸价(KOH)、 镉(以Cd计)、 合格 氢乙酸计) B₁、 (生产日期) 黄曲霉毒素 和高效氯氟氰菊 特丁基对苯二酚 酯、烯酰吗啉、 2021-01-03 苯并[a]芘、过氧 (TBHQ) 铅(以Pb计) 合格 氧乐果 (生产日期) 化值、黄曲霉毒 2021-03-24 苯甲酸及其钠盐 素 B₁、铅(以Pb 合格 (生产日期) (以苯甲酸计) 计)、溶剂残留 2021-04-17 吡虫啉、镉(以 、二氧化硫残留 量、酸价(KOH)、 合格 (购进日期) 量、山梨酸及其 特丁基对苯二酚 Cd计)、甲胺磷 钾盐(以山梨酸 2021-01-09 镉(以Cd计)、 (TBHQ) 、甲拌磷、克百 合格 (生产日期) 计)、脱氢乙酸 威、铅(以Pb计 黄曲霉毒素 B₁、 及其钠盐(以脱 )、氧乐果 2021-02-01 苯并[a]芘、过氧 铅(以Pb计) 合格 (生产日期) 氢乙酸计) 化值、黄曲霉毒 2021-03-08 苯甲酸及其钠盐 素 B₁、铅(以Pb 合格 (生产日期) (以苯甲酸计) 计)、溶剂残留 、二氧化硫残留 量、酸价(KOH)、 量、山梨酸及其 特丁基对苯二酚 钾盐(以山梨酸 (TBHQ) 品 食用农 产品 粮食加 工品 粮食加 工品 食用油 、油脂 食用农 及其制 产品 品 食用农 产品 食用油 、油脂 粮食加 及其制 工品 品 食用农 产品 粮食加 工品 粮食加 工品 食用油 、油脂 食用农 及其制 产品 品 粮食加 工品 食用油 、油脂 粮食加 及其制 工品 品 食用农 产品 粮食加 工品 食用油 、油脂 粮食加 及其制 工品 品 2021-06-24 精益和泰 质量检测 股份有限 2021-06-24 精益和泰 公司 质量检测 股份有限 精益和泰 2021-06-24 公司 质量检测 股份有限 精益和泰 2021-06-24 公司 质量检测 股份有限 精益和泰 2021-06-24 公司 质量检测 股份有限 2021-06-24 精益和泰 公司 质量检测 股份有限 广州广电计 2021-04-21 公司 量检测股份 2021-04-21 餐饮 2021-04-21 餐饮 2021-04-21 餐饮 2021-04-21 餐饮 2021-04-21 餐饮 2021-04-21 餐饮 2021-04-21 餐饮 2021-04-21 餐饮 2021-04-21 餐饮 2021-04-21 餐饮 2021-04-21 餐饮 2021-04-21 餐饮 2021-04-21 餐饮 2021-04-21 餐饮 2021-04-21 餐饮 2021-04-22 餐饮 2021-04-22 餐饮环 2021-04-22 节 餐饮环 2021-04-22 节 餐饮环 2021-04-22 节 餐饮环 2021-04-22 节 餐饮环 2021-04-22 节 有限公司 广州广电计 量检测股份 有限公司 广州广电计 量检测股份 有限公司 广州广电计 量检测股份 有限公司 广州广电计 量检测股份 有限公司 广州广电计 量检测股份 有限公司 广州广电计 量检测股份 有限公司 广州广电计 量检测股份 有限公司 广州广电计 量检测股份 有限公司 广州广电计 量检测股份 有限公司 广州广电计 量检测股份 有限公司 广州广电计 量检测股份 有限公司 广州广电计 量检测股份 有限公司 广州广电计 量检测股份 有限公司 广州广电计 量检测股份 有限公司 广州广电计 量检测股份 有限公司 广州广电计 量检测股份 有限公司 广州广电计 量检测股份 有限公司 广州广电计 量检测股份 有限公司 广州广电计 量检测股份 有限公司 广州广电计 量检测股份 有限公司 广州广电计 量检测股份 有限公司 广州广电计 量检测股份 有限公司 289 290 291 292 293 294 295 296 297 298 299 300 301 302 303 304 305 306 307 308 309 310 311 312 313 314 315 316 317 GZ210422A0 08 GZ210422A0 09 GZ210422A0 10 GZ210422A0 11 GZ210422A0 12 GZ210422A0 13 GZ210422A0 14 GZ210422A0 15 GZ210422A0 16 XC21440607 613333857 XC21440607 613333866 XC21440607 613333907 XC21440607 613333908 XC21440607 613333946 XC21440607 613333947 XC21440607 613333873 XC21440607 613333878 XC21440607 613333884 XC21440607 613333885 XC21440607 613333886 XC21440607 613333887 XC21440607 613333917 XC21440607 613333918 XC21440607 613333944 XC21440607 613333945 XC21440607 613333953 XC21440607 613333954 XC21440607 613333956 XC21440607 613333858 大塘 / 佛山市三水乐福 米业有限公司 佛山市三水区国 大塘 粮粮油有限公司 晋江市永和勤青 大塘 食品厂 大塘 大塘 / 佛山市三水区大 塘镇吴志强粮食 广东鹰唛食品有 加工厂 大塘 限公司 广东省河源市紫 大塘 金县金霸食品有 限公司 大塘 / 大塘 白坭 镇 白坭 镇 白坭 镇 白坭 镇 白坭 镇 白坭 镇 白坭 镇 白坭 镇 白坭 镇 白坭 镇 白坭 镇 白坭 镇 白坭 镇 白坭 镇 白坭 镇 白坭 镇 白坭 镇 白坭 镇 白坭 镇 白坭 镇 贵港市三禾米业 有限公司 益海(广州)粮 油工业有限公司 (代码:GZH) 淮坊金河新时代 食品有限公司肥 辽宁仁泰食品集 城分公司 团有限公司 江门市蓬江区东 云食品有限公司 沂南县花山食品 有限责任公司 四川彭州广乐食 品有限公司 武汉乡味佳食品 科技有限公司 佛山市南海久歌 食品有限公司 佛山市南海久歌 食品有限公司 佛山市南海戴麦 食品厂 安徽真湛食品科 技有限公司 辽宁奕农畜牧集 团有限公司 菏泽市定陶区鲁 昕双和食品有限 广东陈村食品有 公司 限公司 广东陈村食品有 限公司 佛山市南海浩江 冷冻食品有限公 司 佛山市南海浩江 冷冻食品有限公 司 好丽友食品(广 州)有限公司 佛山市泰五丰粮 油有限公司 佛山市三水区大塘 实验幼儿园 佛山市三 佛山市三水区大塘 水区乐平 镇永平小学 镇乐平大 佛山市三水区大塘 佛山市三 道50号 水区西南 镇永平小学 街道对外 佛山市三水区大塘 晋江市永 经济开发 镇永平小学 和镇力争 区西29区 佛山市三水区大塘 工业区14 / 之一之二 镇永平小学 号 和西30区 佛山市三水区大塘 佛山市三 水区大塘 镇蓓蕾幼儿园 镇连坳村 中山市南 佛山市三水区大塘 区渡兴西 镇蓓蕾幼儿园 佛山市三水区大塘 路 河源市紫 金县临江 镇蓓蕾幼儿园 镇桂林村 佛山市三水区大塘 / 镇蓓蕾幼儿园 临古路 广西贵港 佛山市三水区白坭 镇鲜富喜来餐厅 市木格镇 佛山市三水区白坭 西郊 广州经济 镇鲜富喜来餐厅 技术开发 区东江大 佛山市三水区白坭 肥城市王 镇胡兵百货店 道2号 瓜店街道 办事处王 佛山市三水区白坭 台安县胜 镇胡兵百货店 西村 利西路108 佛山市三水区富兴 号 江门市蓬 批发冰鲜店 江区杜阮 北三路7号 山东省临 佛山市三水区富兴 批发冰鲜店 1幢2层、2 沂市沂南 幢,9号1 县铜井驻 佛山市新佳易百货 成都市彭 幢 有限公司 地 州市濛阳 镇工业园 佛山市新佳易百货 湖北省仙 有限公司 区濛兴西 桃市郭河 路255号 镇工业园 佛山市南 佛山市三水区白坭 海区狮山 镇金凯旋糕先生蛋 镇罗村联 佛山市三水区白坭 糕店 佛山市南 和大道9号 海区狮山 镇金凯旋糕先生蛋 镇罗村联 佛山市三水区白坭 糕店 佛山市南 镇顺嘉轩面包店 和大道9号 海区丹灶 镇大涡鲤 佛山市三水区白坭 安徽长丰 镇顺嘉轩面包店 鱼工业B区 双凤经济 9号二楼 佛山市三水区白坭 开发区凤 辽阳市灯 镇顺兴冻肉店 麟路67号 塔市西马 顿胜产业 峰镇前方 佛山市三水区白坭 菏泽市定 园3号楼4 镇顺兴冻肉店 千堡村( 陶区黄店 层整层 辽官线13 佛山市新佳易百货 镇工业开 肇庆市高 公里处) 有限公司 发区 要区蛟塘 镇沙田工 佛山市新佳易百货 肇庆市高 有限公司 业园 要区蛟塘 镇沙田工 佛山市三水区白坭 佛山市南 镇启仁冰鲜档 业园 海区丹灶 镇南沙村 佛山市三水区白坭 佛山市南 镇启仁冰鲜档 工业开发 海区丹灶 区A区A14 佛山市新佳易百货 镇南沙村 广州市花 之一厂房A 有限公司 工业开发 都区花东 之一的厂 佛山市泰五丰粮油 区A区A14 镇金谷南 佛山市三 房 之一厂房A 有限公司 路15号 水区白坭 之一的厂 镇聚金路 房 12号 / 2021-04-22 甲胺磷、甲拌磷 佛山市三水区大 节瓜 / / 合格 (购进日期) 、克百威、水胺 塘大布沙半岛西 乐福小龙粘 15kg/ 2021-04-06 镉(以Cd计)、 路6号 硫磷、氧乐果 佛山市三水区大 图形商标 合格 袋 (生产日期) 黄曲霉毒素 B₁、 塘镇永平墟永花 米 2021-03-31 苯并[a]芘、过氧 路 佛山市三水区大 铅(以Pb计) 压榨花生油 5L/桶 图形商标 合格 (生产日期) 化值、黄曲霉毒 塘镇永平墟永花 4.75kg 2020-12-24 苯甲酸及其钠盐 素 B₁、铅(以Pb 路 佛山市三水区大 勤青碗面 勤青 合格 /箱 (生产日期) (以苯甲酸计) 塘镇永平墟永花 计)、溶剂残留 2021-04-21 吡虫啉、镉(以 、山梨酸及其钾 路 量、酸价(KOH)、 佛山市三水区大 生姜 / / 合格 (购进日期) Cd计)、甲胺磷 盐(以山梨酸计 特丁基对苯二酚 塘镇永平墟永花 )、水分 25kg/ 2021-04-15 镉(以Cd计)、 (TBHQ) 、甲拌磷、克百 路 佛山市三水区大 九0三米 / 合格 袋 (生产日期) 黄曲霉毒素 威、铅(以Pb计 B₁、 塘镇连滘念塘小 2021-01-28 )、氧乐果 学旧址 苯并[a]芘、过氧 佛山市三水区大 铅(以Pb计) 鹰唛花生油 5L/桶 图形商标 合格 (生产日期) 化值、黄曲霉毒 塘镇连滘念塘小 6.5kg/ 2021-01-27 素 B₁、铅(以Pb 学旧址 苯甲酸及其钠盐 佛山市三水区大 米粉 金霸 合格 袋 (生产日期) (以苯甲酸计) 塘镇连滘念塘小 计)、溶剂残留 2021-04-20 甲胺磷、甲拌磷 、铅(以Pb计) 学旧址 量、酸价(KOH)、 佛山市三水区大 土豆 / / 合格 (购进日期) 、克百威、水胺 、山梨酸及其钾 特丁基对苯二酚 塘镇连滘念塘小 盐(以山梨酸计 15kg/ 满田乐及图 生产日期: 硫磷、氧乐果 (TBHQ) 学旧址 佛山市三水区白 镉(以Cd计):GB 小农香米 合格 袋 形 2021/4/25 )、糖精钠(以 坭镇周村村委会 5009.15-2014、 金龙鱼及图 生产日期: 糖精计) 黄曲霉毒素B₁:G5 邓坑进村大道北 金龙鱼浓香 佛山市三水区白 酸值(KOH):GB 5升/瓶 合格 花生油 形 2020-08-30 B009.229-2016( 鱼塘边 坭镇周村村委会 5009.22-2016( 计量销 生产日期: 五氯酚酸钠(以五 邓坑进村大道北 第一法)、过氧 第二法) 、铅( 佛山市三水区白 鸭边腿 / 合格 售 2021-04-16 以Pb计):GB 鱼塘边 化值 : 500 坭镇塘九路223号 氯酚计): 按实重 生产日期: GB 9.12-2017(第二 A地块B2GB5009.227-201 23200.92佛山市三水区白 尼卡巴嗪:GB 边腿 / 合格 量称重 2021-05-06 6(第一法)、铅 法) 2座第102-106号 2016、氯霉素: 坭镇塘九路223号 29690-2013、甲 GB/T 22338-50 A地块B2氧苄啶:GB/T 佛山市三水区白 生产日期: (以Pb计):GB 胭脂红:GB/T 鸡中翅(速 1kg/包 龙榜 合格 09.12-2017(第 2008(液相色谱2座第102-106号 冻畜禽肉制 21316-2007、恩 坭镇黄金大道33 2021-03- 9695.6-2008(第 二法)、黄曲霉 质谱/质谱法)、 诺沙星:SN/T 10kg/ 生产日期: 号综合市场二座 15/批号: 一法)、过氧化 品) 佛山市三水区白 胭脂红:GB/T 精制猪耳片 / 毒素B₁:GB 5009 合格 氟苯尼考:GB/T 箱 2021-03-06 南C20号 20210315 1751.2-2007、五 值(以脂肪计): 坭镇黄金大道33 9695.6-2008(第 22338-2008(液相 .22-2016(第二 氯酚酸钠(以五氯 GB 5009.227号综合市场二座 油焖大虾调 200克/ 龙泉山及图 生产日期: 苯甲酸及其钠盐( 一法)、过氧化 佛山市三水区白 合格 色谱-质谱/质谱 法)、苯并[a]芘 酚计):GB 2016(第一法)、 袋 形 2021-03-15 以苯甲酸计):GB 南C20号 值(以脂肪计): 坭镇黄金大道一 料(半固态 法) :GB 5009.27-20 23200.92-2016、 GB 5009.2275009.28-2016( 小区之一 调味料) 328g/ 好瑞友及图 生产日期: 铅(以Pb计):GB 菌落总数:GB 佛山市三水区白 手撕鸭排 合格 16 氯霉素:GB/T 5009.12-2017(第 2016(第一法)、 包 形 2021-01-14 4789.2-2016、大 第一法)、山梨 坭镇黄金大道一 22338-2008(液相 二法)、氯霉素 铅(以Pb计):GB 生产日期: 酸及其钾盐(以山 肠菌群:GB 小区之一 大肠菌群:GB 佛山市三水区白 蛋奶福饼( 168克/ / 合格 色谱-质谱/质谱 GB/T 22338梨酸计):GB 袋 2021-03-22 5009.12-2017(第 坭镇黄金大道19 烘烤类糕点 4789.3-2016(第 法)、磺胺类(总 2008(液相色谱二法)、氯霉素 5009.28-2016( 二法)、苯甲酸 80克/ 生产日期: 二法)、山梨酸 号9座首层101号 沙琪玛(甜 ) 大肠菌群:GB 佛山市三水区白 / 合格 量):GB/T 质谱/质谱法)、 GB/T 22338第一法)、脱氢 味) 包 2021-03-18 及其钠盐(以苯甲 及其钾盐(以山梨 铺 坭镇黄金大道19 4789.3-2016(第 21316-2007 铬(以Cr计)GB 2008(液相色谱乙酸及其钠盐(以 酸计):GB 生产日期: 二法)、酸价(以 号9座首层101号 合桃酥(烘 40克/ 佛山市三水区白 大肠菌群:GB / 合格 5009.123-2014 质谱/质谱法)、 脱氢乙酸计):GB 烤类糕点) 包 2021-05-10 5009.28-2016(第 脂肪计):GB 铺 坭镇黄金大道19 4789.3-2016(第 铬(以Cr计)GB 5009.121-2016( 一法)、山梨酸 一法)、铝的残 5009.229-2016( 生产日期: 二法)、酸价(以 号宏达华庭27号 手工松塔( 158克/ 大肠菌群:GB 佛山市三水区白 / 合格 5009.123-2014 第二法)、糖精 留量(干样品,以 第二法)、过氧 蔓越莓味) 盒 2021-04-26 及其钾盐(以山梨 首层 脂肪计):GB 坭镇黄金大道19 4789.3-2016(第 钠(以糖精计): 5009.28Al计):GB 化值(以脂肪计) 5009.229-2016( 称重销 生产日期: 酸计)GB 二法)、酸价(以 号宏达华庭27号 佛山市三水区白 尼卡巴嗪:GB 边腿 图形凤鸣嘉 合格 GB 5009.285009.268-2016( :GB 5009.227第二法)、过氧 售 2021-04-17 2016(第一法)、 脂肪计):GB 首层 坭镇黄金大道33 29690-2013、甲 2016( 第一法) 氯霉素:GB/T 第一法) 2016(第一法)、 化值(以脂肪计) 5009.229-2016( 计量销 生产日期: 号综合市场一座 氧苄啶:GB/T 佛山市三水区白 五氯酚酸钠(以五 边腿 / 合格 、甜蜜素(以环己 山梨酸及其钾盐( :GB 5009.227第二法)、过氧 售 2021-04-29 22338-2008(液相 东南3号 21316-2007、恩 坭镇黄金大道33 氯酚计): 基氨基磺酸计): 色谱-质谱/质谱 以山梨酸计):GB 2016(第一法)、 化值(以脂肪计) 诺沙星:SN/T 号综合市场一座 非油炸方便 (粉饼 陈村及图形 生产日期: 酸价(以脂肪计) GB 23200.92佛山市三水区白 合格 GB 5009.975009.28-2016(第 山梨酸及其钾盐( 5009.2271751.2-2007、五 商标 2021-01-03 法)、沙门氏菌: 东南3号 2016、氯霉素: 坭镇黄金大道一 米线(酸辣 +配料 :GB 5009.2292016(第一法) GB 4789.4-2016 一法)、铝的残 以山梨酸计):GB 2016(第一法)、 氯酚酸钠(以五氯 GB/T 22338生产日期: 2016(第二法)、 )100 小区之一 牛肉味) (粉块 佛山市三水区白 非油炸方便 酸价(以脂肪计) 陈村及图形 合格 留量(干样品,以 5009.28-2016(第 山梨酸及其钾盐( 酚计):GB 2008(液相色谱2021-03-16 糖精钠(以糖精计 克 粉 :GB 5009.229坭镇黄金大道一 米粉(红烧 +配料 Al计):GB 一法)、铝的残 以山梨酸计):GB 23200.92-2016、 质谱/质谱法)、 饼75克 昌浩江食品 生产日期: 2016(第二法)、 ):GB 5009.28)85克 小区之一 排骨味) 500克/ 佛山市三水区白 胭脂红:GB/T 蒜香骨 合格 5009.268-2016( 留量(干样品,以 5009.28-2016(第 氯霉素:GB/T 氟苯尼考:GB/T /袋 2016( 第一法) 袋 及图形 2021-04-18 糖精钠(以糖精计 粉块70 坭镇黄金大道33 9695.6-2008(第 第一法) Al计):GB 一法)、铝的残 22338-2008(液相 克/袋 昌浩江食品 生产日期: 、过氧化值(以脂 ):GB 5009.28400克/ 号综合市场内东 一法)、过氧化 佛山市三水区白 胭脂红:GB/T 脆皮骨 合格 5009.268-2016( 色谱-质谱/质谱 肪计):GB 2016( 第一法) 袋 及图形 2021-03-02 留量(干样品,以 区冰鲜档1—3号 值(以脂肪计): 坭镇黄金大道33 9695.6-2008(第 第一法) 法)、磺胺类(总 法)5009.35009.227-2016( 、过氧化值(以脂 铺 GBAl计):GB 5009.227生产日期: 水分:GB 号综合市场内东 一法)、过氧化 薯愿焙烤型 97克/ 佛山市三水区白 好丽友 合格 5009.268-2016( 量):GB/T 第一法)、苯甲 肪计):GB 条 2021-03-12 2016(第一法)、 区冰鲜档1—3号 马铃薯膨化 值(以脂肪计): 坭镇黄金大道一 第一法) 5009.227-2016( 铅(以Pb计):GB 铺 GB21316-2007 5009.227生产日期: 酸及其钠盐(以苯 食品清新黄 25千克 酸价(以脂肪计) 小区之一 佛山市三水区白 镉(以Cd计):GB 桂朝米 金玉球 合格 甲酸计):GB 第一法)、苯甲 5009.12-2017(第 /袋 2021-04-25 2016(第一法)、 瓜味 :GB 5009.229坭镇“国家火炬 5009.15-2014、 5009.28-2016( 酸及其钠盐(以苯 二法)、氯霉素 铅(以Pb计):GB 2016(第二法) 黄曲霉毒素B₁:G 计划佛山电子电 第一法)、菌落 甲酸计):GB GB/T 223385009.12-2017(第 器产业基地”南 B、过氧化值(以脂 5009.22-2016( 总数:GB 4789.25009.28-2016( 2008(液相色谱二法)、氯霉素 肪计)(第一法) 区175号F1首层之 第二法) 、铅( 第一法)、菌落 质谱/质谱法)、 GB/T2016 22338:GB 5009.227- 食用农 产品 粮食加 工品 食用油 、油脂 方便食 及其制 品 食用农 产品 粮食加 工品 食用油 、油脂 粮食加 及其制 工品 品 食用农 产品 粮食加 工品 食用油 、油脂 食用农 及其制 产品 品 食用农 产品 速冻食 品 速冻食 品 餐饮 2021-04-22 餐饮环 2021-04-22 节 餐饮环 2021-04-22 节 餐饮环 2021-04-22 节 餐饮环 2021-04-22 节 餐饮环 2021-04-22 节 餐饮环 2021-04-22 节 餐饮环 2021-04-22 节 餐饮环 2021-04-22 节 餐饮 2021-05-12 餐饮 2021-05-12 流通 2021-05-12 流通 2021-05-12 流通 2021-05-12 流通 2021-05-12 调味品 流通 2021-05-13 肉制品 流通 2021-05-13 糕点 流通 2021-05-13 糕点 流通 2021-05-13 糕点 流通 2021-05-13 糕点 流通 2021-05-13 流通 2021-05-13 流通 2021-05-13 流通 2021-05-13 流通 2021-05-13 流通 2021-05-13 流通 2021-05-13 流通 2021-05-13 生产 2021-05-14 食用农 产品 食用农 产品 方便食 品 方便食 品 速冻食 品 速冻食 品 薯类和 膨化食 粮食加 品 工品 广州广电计 量检测股份 有限公司 广州广电计 量检测股份 有限公司 广州广电计 量检测股份 有限公司 广州广电计 量检测股份 有限公司 广州广电计 量检测股份 有限公司 广州广电计 量检测股份 有限公司 广州广电计 量检测股份 有限公司 广州广电计 量检测股份 有限公司 广州广电计 量检测股份 有限公司 广东中检达 元检测技术 有限公司 广东中检达 元检测技术 有限公司 广东中检达 元检测技术 有限公司 广东中检达 元检测技术 有限公司 广东中检达 元检测技术 有限公司 广东中检达 元检测技术 有限公司 广东中检达 元检测技术 有限公司 广东中检达 元检测技术 有限公司 广东中检达 元检测技术 有限公司 广东中检达 元检测技术 有限公司 广东中检达 元检测技术 有限公司 广东中检达 元检测技术 有限公司 广东中检达 元检测技术 有限公司 广东中检达 元检测技术 有限公司 广东中检达 元检测技术 有限公司 广东中检达 元检测技术 有限公司 广东中检达 元检测技术 有限公司 广东中检达 元检测技术 有限公司 广东中检达 元检测技术 有限公司 广东中检达 元检测技术 有限公司 318 319 320 321 322 323 324 325 326 327 328 329 330 331 332 333 334 335 336 337 338 339 340 341 342 343 344 345 346 XC21440607 613333859 XC21440607 613333860 XC21440607 613333861 XC21440607 613333871 XC21440607 613333872 XC21440607 613333879 XC21440607 613333880 XC21440607 613333919 XC21440607 613333920 XC21440607 613333921 XC21440607 613333922 XC21440607 613333925 XC21440607 613333926 XC21440607 613333951 XC21440607 613333952 XC21440607 613333870 XC21440607 613333881 XC21440607 613333882 XC21440607 613333883 XC21440607 613333889 XC21440607 613333890 XC21440607 613333895 XC21440607 613333896 XC21440607 613333898 XC21440607 613333899 XC21440607 613333903 XC21440607 613333943 XC21440607 613333949 XC21440607 613333950 白坭 镇 白坭 镇 白坭 镇 白坭 镇 白坭 镇 白坭 镇 白坭 镇 白坭 镇 白坭 镇 白坭 镇 白坭 镇 白坭 镇 白坭 镇 白坭 镇 白坭 镇 白坭 镇 白坭 镇 白坭 镇 白坭 镇 白坭 镇 白坭 镇 白坭 镇 白坭 镇 白坭 镇 白坭 镇 白坭 镇 白坭 镇 白坭 镇 白坭 镇 佛山市泰五丰粮 佛山市三 油有限公司 水区白坭 佛山市朝丰粮油 佛山市三 镇“国家 有限公司 火炬计划 水区白坭 佛山电子 佛山市朝丰粮油 佛山市三 镇“国家 电器产业 有限公司 火炬计划 水区白坭 基地”南 佛山电子 广东金泰食品股 佛山市三 镇“国家 区175号 电器产业 份有限公司 火炬计划 水区白坭 基地”南 佛山电子 广东金泰食品股 镇聚金路3 佛山市三 区120号 电器产业 份有限公司 号F4首层 水区白坭 基地”南 广东君源泉食品 镇聚金路3 佛山市三 区120号 有限公司 号F4首层 水区白坭 广东君源泉食品 镇三水大 佛山市三 有限公司 道南130号 水区白坭 F5之三 镇三水大 / / 道南130号 F5之三 / / / / / / / / / / 广东海辉食品有 深圳市深 限公司[隶属香 汕特别合 港骏丰集团控股 广东海辉食品有 作区鹅埠 深圳市深 有限公司] 镇深汕大 限公司[隶属香 汕特别合 港骏丰集团控股 道海崇工 作区鹅埠 深圳市南 南海油脂工业( 业园北侧 有限公司] 镇深汕大 山区蛇口 赤湾)有限公司 道海崇工 赤湾右炮 (代码:SZO) 中山市新力食品 中山市黄 业园北侧 台路15号 饮料有限公司( 圃镇新明 泉州粗粮王饮品 代码:X) 南路161号 福建省泉 开发有限公司 州市惠安 县螺阳镇 广东太古可口可 广州市黄 迎宾西路 乐有限公司(GD 埔大道东 21号 廊北金麦食品有 ) 998号 河北省廊 限公司 坊市大城 漳州市高麦食品 福建省漳 县王裴庄 有限公司 州市芗城 佛山市汇鑫德酒 区金塘路 佛山市三 厂有限公司 28号二号 水区白坭 楼第3层 佛山市汇鑫德酒 佛山市三 镇“国家 厂有限公司 火炬计划 水区白坭 佛山电子 烟台三嘉粉丝有 山东省烟 镇“国家 电器产业 限公司 火炬计划 台市招远 基地”南 佛山电子 龙口龙须粉丝有 龙口市海 市张星镇 区37号 电器产业 限公司 张西村北 岱工业园 (F2) 基地”南 市场路 / / 区37号 (F2) 广东陈村食品有 肇庆市高 限公司 要区蛟塘 镇沙田工 佛山市三水区盛 广东省佛 业园 三鲜水产科技有 山市三水 区白坭镇 限公司 广东省佛 佛山市三水区盛 国家火炬 三鲜水产科技有 山市三水 计划佛山 区白坭镇 限公司 电子电器 国家火炬 产业基地 计划佛山 北区72号 佛山市泰五丰粮油 有限公司 佛山市朝丰粮油有 限公司 佛山市朝丰粮油有 限公司 广东金泰食品股份 有限公司 广东金泰食品股份 有限公司 广东君源泉食品有 限公司 广东君源泉食品有 限公司 佛山市三水区农耕 岁月餐饮服务有限 公司 佛山市三水区农耕 岁月餐饮服务有限 公司 佛山市三水区白坭 镇亨得乐炸鸡汉堡 店 佛山市三水区白坭 镇亨得乐炸鸡汉堡 佛山市三水区白坭 店 镇甜尚坊甜品店 佛山市三水区白坭 镇甜尚坊甜品店 佛山市三水区白坭 镇杰发冰鲜店 佛山市三水区白坭 镇杰发冰鲜店 广东省顺客隆商业 连锁有限公司白坭 商场 广东省顺客隆商业 连锁有限公司白坭 商场 广东省顺客隆商业 连锁有限公司白坭 商场 广东省顺客隆商业 连锁有限公司白坭 佛山市三水区白坭 商场 镇得冠西饼屋 佛山市三水区白坭 镇得冠西饼屋 佛山市汇鑫德酒厂 有限公司 佛山市汇鑫德酒厂 有限公司 广东省顺客隆商业 连锁有限公司白坭 商场 广东省顺客隆商业 连锁有限公司白坭 商场 广东省顺客隆商业 连锁有限公司白坭 商场 广东省顺客隆商业 连锁有限公司白坭 商场 佛山市三水区盛三 鲜水产科技有限公 司 佛山市三水区盛三 鲜水产科技有限公 司 佛山市三水区白 多运多福牌 香软米 坭镇“国家火炬 计划佛山电子电 佛山市三水区白 幸福米 器产业基地”南 坭镇“国家火炬 区175号F1首层之 计划佛山电子电 佛山市三水区白 发财米 一、F2(住所申 器产业基地”南 坭镇“国家火炬 报) 区120号(自编号 沙拉酱(烘 计划佛山电子电 佛山市三水区白 之一) 焙专用) 器产业基地”南 坭镇聚金路3号F4 区120号(自编号 首层(住所申报 沙拉酱(清 佛山市三水区白 之一) 甜型) ) 坭镇聚金路3号F4 首层(住所申报 楠星®鲜椰 佛山市三水区白 ) 坭镇三水大道南 榨汁(植物 130号F5之三(住 佛山市三水区白 蛋白饮料) 泰式鲜榨椰 所申报) 坭镇三水大道南 子汁(植物 130号F5之三(住 佛山市三水区白 蛋白饮料) 捞菜猪脚 所申报) 坭镇工业大道175 号之一 佛山市三水区白 凉拌黄瓜 坭镇工业大道175 号之一 佛山市三水区白 煎炸起酥油 坭镇工业大道120 号(自编号之一 佛山市三水区白 辣翅 ) 坭镇工业大道120 号(自编号之一 佛山市三水区白 陈醋鸡脚 ) 坭镇工业大道89 号之10 佛山市三水区白 咖喱鱼蛋 坭镇工业大道89 号之10 佛山市三水区白 牛筋丸 坭镇黄金大道33 号综合市场一座 佛山市三水区白 墨鱼丸 东南1号 坭镇黄金大道33 佛山市三水区白 号综合市场一座 金龙鱼稻米 坭镇人民路63号 油 东南1号 佛山市三水区白 红萝卜马蹄 坭镇人民路63号 汁饮料 佛山市三水区白 椰子汁 坭镇人民路63号 佛山市三水区白 纯悦包装饮 坭镇人民路63号 用水 佛山市三水区白 巧克力涂饰 蛋糕 坭镇黄金大道33 号综合市场一座 原味糯米糍 佛山市三水区白 (花生馅) 东南25号 坭镇黄金大道33 号综合市场一座 佛山市三水区白 积利丰白兰 地 东南25号 坭镇“国家火炬 计划佛山电子电 珀爵白兰地 佛山市三水区白 XO 器产业基地”南 坭镇“国家火炬 区37号(F2) 佛山市三水区白 计划佛山电子电 龙口粉丝 坭镇人民路63号 器产业基地”南 区37号(F2) 佛山市三水区白 龙口粉丝 坭镇人民路63号 佛山市三水区白 三边腐竹 坭镇人民路63号 佛山市三水区白 非油炸方便 坭镇人民路63号 米线(猪骨 佛山市三水区白 浓汤味) 苏丹鱼 坭镇国家火炬计 划佛山电子电器 佛山市三水区白 马头鱼 产业基地北区72 坭镇国家火炬计 号(F2)首层16 划佛山电子电器 号 产业基地北区72 号(F2)首层16 15千克 生产日期: 镉(以Cd计):GB 多运多福 合格 /袋 2021-05-14 5009.15-2014、 24.5kg 生产日期: 黄曲霉毒素B₁:G 镉(以Cd计):GB / 合格 /袋 2021-05-13 B5009.15-2014、 5009.22-2016( 24.5千 铭朝丰及图 生产日期: 黄曲霉毒素B₁:G 第二法) 、铅( 镉(以Cd计):GB 合格 克/袋 形 2021-05-13 以Pb计):GB 500 B5009.15-2014、 5009.22-2016( 生产日期: 苯甲酸及其钠盐( 9.12-2017(第二 黄曲霉毒素B₁:G 第二法) 、铅( 900克 康盛 合格 2021-05-07 以苯甲酸计):GB 法) 500 (g)/ B以Pb计):GB 5009.22-2016( 生产日期: 苯甲酸及其钠盐( 9.12-2017(第二 5009.28-2016( 袋 第二法) 、铅( 900克 康盛 合格 2021-05-05 以苯甲酸计):GB 法) 500 第一法)、山梨 以Pb计):GB (g)/ 1.25升 生产日期: 酸及其钾盐(以山 9.12-2017(第二 5009.28-2016( 袋 蛋白质: 楠星及图形 合格 梨酸计):GB /瓶 2021-05-08 GB 法) 第一法)、山梨 5009.5-2016( 5009.28-2016( 1.25L/ 椰贵人及图 生产日期: 酸及其钾盐(以山 第一法)、苯甲 蛋白质: 合格 第一法)、脱氢 梨酸计):GB 瓶 形 2021-05-02 GB 酸及其钠盐(以苯 5009.5-2016( 5009.28-2016( 甲酸计):GB 加工日期: 乙酸及其钠盐(以 第一法)、苯甲 沙门氏菌:GB / / 合格 脱氢乙酸计):GB 第一法)、脱氢 5009.28-2016(第 2021-05-14 4789.4-2016、单 酸及其钠盐(以苯 5009.121-2016( 乙酸及其钠盐(以 一法)、山梨酸 甲酸计):GB 加工日期: 核细胞增生李斯 沙门氏菌:GB / / 合格 第二法)、金黄 脱氢乙酸计):GB 及其钾盐(以山梨 5009.28-2016(第 2021-05-14 4789.4-2016、金 特氏菌:GB 色葡萄球菌:GB 5009.121-2016( 酸计):GB 一法)、山梨酸 加工日期: 4789.30-2016(第 黄色葡萄球菌: 酸价(KOH):GB / / 合格 4789.10-2016(第 第二法)、金黄 5009.28-2016(第 2021-05-16 及其钾盐(以山梨 GB 一法) 4789.105009.229-2016( 二法)、沙门氏 色葡萄球菌:GB 一法)、脱氢乙 酸计):GB 2016(第二法) 加工日期: 第一法)、极性 沙门氏菌:GB / / 菌:GB 4789.4- 合格 4789.10-2016(第 酸及其钠盐(以脱 2021-05-17 5009.28-2016(第 组分:GB 4789.4-2016、单 2016 二法)、沙门氏 氢乙酸计):GB 一法)、脱氢乙 5009.202-2016( 加工日期: 核细胞增生李斯 沙门氏菌:GB / / 菌:GB 4789.4- 合格 5009.121-2016( 第二法)、苯并 2021-05-16 酸及其钠盐(以脱 特氏菌:GB 4789.4-2016、单 2016 第二法)、糖精 氢乙酸计):GB [a]芘:GB 加工日期: 4789.30-2016(第 核细胞增生李斯 N-二甲基亚硝胺 / / 合格 钠(以糖精计): 5009.27-2016 一法) 2021-05-17 5009.121-2016( 特氏菌:GB :GB 5009.26GB 5009.28第二法)、糖精 500g/ 加工日期: 4789.30-2016(第 2016(第一法)、 胭脂红:GB/T 喜得佳 合格 钠(以糖精计): 一法) 袋 2021-01-07 2016(第一法)、 铅(以Pb计):GB 9695.6-2008(第 甜蜜素(以环己基 GB 5009.28500g/ 生产日期: 5009.12-2017(第 一法)、过氧化 过氧化值(以脂肪 HK及图形 合格 氨基磺酸计):GB 二法)、苯甲酸及 袋 2021-01-03 2016(第一法)、 值(以脂肪计): 计):GB 5009.97-2016(第 甜蜜素(以环己基 其钠盐(以苯甲酸 GB 5009.227700毫 金龙鱼及图 生产日期: 5009.227-2016( 酸值(KOH):GB 合格 一法5009.28) 氨基磺酸计):GB 2016(第一法)、 升/瓶 形 2021-03-17 计):GB 第一法)、N-二甲 5009.229-2016( 5009.97-2016(第 2016(第一法)、 铅(以Pb计):GB 基亚硝胺:GB 250毫 生产日期: 苯甲酸及其钠盐( 第一法)、过氧 霞光 合格 一法 ) 山梨酸及其钾盐( 5009.12-2017(第 5009.26-2016 升/支 2021-02-23 以苯甲酸计):GB 化值 : ( 以山梨酸计):GB 二法)、氯霉素 GB蛋白质: 5009.227250毫 生产日期: 第一法)、山梨酸 5009.28-2016( / 合格 5009.28-2016(第 GB/T 22338及其钾盐(以山梨 2016(第一法) 升/支 2020-08-01 GB 第一法)、安赛 5009.5-2016( 一法) 2008(液相色谱酸计):GB 、溶剂残留量: 蜜:GB/T 47 350ml/ 生产日期: 大肠菌群:GB 第一法)、苯甲 / 合格 质谱/质谱法)、 5009.28-2016(第 GB 5009.262瓶 2020-10-26 5009.140-2003、 酸及其钠盐(以苯 89.3-2016(第二 铬(以Cr计)GB 2016 、铅(以Pb 苋菜红:GB 甲酸计):GB 散装称 生产日期: 一法)、苯甲酸及 法)、铜绿假单 酸价(以脂肪计) 惠宾 合格 5009.123-2014 其钠盐(以苯甲酸 5009.125009.35-2016、 5009.28-2016(第 重 2021-05-02 计):GB 胞菌:GB 8538-2 :GB 5009.2295009.282017(第二法) 胭脂红:GB 一法)、山梨酸 250g/ 生产日期: 计):GB 2016(第二法)、 016、耗氧量(以O 大肠菌群:GB 欣鸿 合格 2016(第一法) 5009.35-2016、 及其钾盐(以山梨 包 2021-04-29 、苯并[a]芘:GB 过氧化值(以脂肪 ₂计):GB/T 5750 4789.3-2016(第 5009.27-2016 柠檬黄:GB 酸计):GB 计):GB 700ml/ 生产日期: 二法)、酸价(以 三氯蔗糖: .7-2006(酸性高 / 合格 5009.35-2016、 5009.28-2016(第 5009.227-2016( 瓶 2021-05-17 GB 脂肪计):GB 22255-2014、 锰酸钾滴定法)、 日落黄:GB 一法)、脱氢乙 第一法)、山梨 5009.229-2016( 700ml/ 生产日期: 亚硝酸盐(以NO₂⁻ 酒精度:GB 三氯蔗糖: / 合格 5009.35-2016、 酸及其钠盐(以脱 酸及其钾盐(以山 第二法)、过氧 瓶 2021-03-28 GB 5009.225-2016( 22255-2014、 计):GB 8538-20 亮蓝:GB 氢乙酸计):GB 梨酸计):GB 化值(以脂肪计) 500g/ 生产日期: 密度瓶法)、甲醇 酒精度:GB 16、余氯(游离氯 铅(以Pb计):GB / 合格 5009.35-2016、 5009.121-2016( 5009.28-2016(第 5009.227:GB 5009.266袋 2020/12/15 5009.12-2017(第 5009.225-2016( ):GB/T 5750.11 大肠菌群:B 第二法)、糖精 一法)、铝的残 2016(第一法)、 2016、氰化物(以 密度瓶法)、糖精 500克/ 生产日期: 二法)、二氧化硫 -2006 1.1、溴酸 铅(以Pb计):GB 龙须+图形 合格 4789.3-2016(第 钠(以糖精计): 留量(干样品,以 山梨酸及其钾盐( HCN计):GB 钠(以糖精计): 袋 2020-09-01 5009.12-2017(第 盐:GB/T 5750.1 残留量:GB 二法)、菌落总 GB 5009.28Al计):GB 以山梨酸计):GB 5009.36-2016(第 GB 5009.280-2006(离子色谱 5009.34-2016、 购进日期: 二法)、二氧化硫 铅(以Pb计):GB / / 数:GB 4789.2- 合格 2016(第一法)、 5009.268-2016( 5009.28-2016(第 一法)、糖精钠( 2016(第一法)、 法-氢氧根系统淋 2021-05-09 苯甲酸及其钠盐( 残留量:GB 5009.12-2017(第 2016 甜蜜素(以环己基 第一法) 一法)、铝的残 以糖精计):GB 甲醇:GB 洗液) 以苯甲酸计):GB 5009.34-2016、 生产日期: 糖精钠(以糖精计 二法)、苯甲酸及 (粉饼 陈村 合格 氨基磺酸计):GB 留量(干样品,以 5009.266-2016、 5009.28-2016(第 2021-04-25 苯甲酸及其钠盐( 其钠盐(以苯甲酸 +配料 ):GB 5009.285009.97-2016(第 Al计):GB 一法)、甜蜜素( 氰化物(以HCN计) 一法)、山梨酸及 以苯甲酸计):GB 5009.28复秤销 生产日期: 计):GB )100 2016( 第一法) 过氧化值(以脂肪 / 合格 一法 ) 5009.268-2016( 以环己基氨基磺 :GB计):GB 5009.36其钾盐(以山梨酸 2016(第一法)、 2020-06-06 5009.28-2016(第 克售粉 、苯甲酸及其钠 第一法) 酸计):GB 2016(第一法) 5009.28一法)、山梨酸及 山梨酸及其钾盐( 饼80克 盐(以苯甲酸计) 复秤销 生产日期: 计):GB 5009.227-2016( 过氧化值(以脂肪 / 合格 5009.97-2016(第 2016(第一法)、 以山梨酸计):GB /袋 :GB计):GB 5009.28售 2021-01-07 其钾盐(以山梨酸 第一法)、N-二甲 三法) 铝的残留量(干样 计):GB 5009.285009.28-2016(第 2016( 第一法) 基亚硝胺:GB 5009.227-2016( 品,以Al计):GB 2016(第一法)、( 一法)、脱氢乙酸 、菌落总数:GB 5009.26-2016 第一法)、N-二甲 5009.268-2016( 铝的残留量(干样 及其钠盐(以脱氢 4789.2-2016 第一法)、山梨酸 基亚硝胺:GB 第一法) 品,以Al计):GB 乙酸计):GB 及其钾盐(以山梨 粮食加 工品 粮食加 工品 粮食加 工品 生产 2021-05-14 生产 2021-05-14 生产 2021-05-14 调味品 生产 2021-05-14 调味品 生产 2021-05-14 饮料 生产 2021-05-14 饮料 生产 2021-05-14 餐饮 2021-05-14 餐饮 2021-05-14 餐饮 2021-05-17 餐饮 2021-05-17 餐饮 2021-05-17 餐饮 2021-05-17 流通 2021-05-17 流通 2021-05-17 流通 2021-05-18 流通 2021-05-18 饮料 流通 2021-05-18 饮料 流通 2021-05-18 糕点 流通 2021-05-18 糕点 流通 2021-05-18 酒类 生产 2021-05-18 酒类 生产 2021-05-18 流通 2021-05-18 流通 2021-05-18 流通 2021-05-18 流通 2021-05-18 生产 2021-05-18 生产 2021-05-18 餐饮食 品 餐饮食 品 餐饮食 品 餐饮食 品 餐饮食 品 餐饮食 品 速冻食 品 速冻食 品 食用油 、油脂 及其制 饮料 品 淀粉及 淀粉制 品 淀粉及 淀粉制 品 豆制品 方便食 品 速冻食 品 速冻食 品 广东中检达 元检测技术 有限公司 广东中检达 元检测技术 有限公司 广东中检达 元检测技术 有限公司 广东中检达 元检测技术 有限公司 广东中检达 元检测技术 有限公司 广东中检达 元检测技术 有限公司 广东中检达 元检测技术 有限公司 广东中检达 元检测技术 有限公司 广东中检达 元检测技术 有限公司 广东中检达 元检测技术 有限公司 广东中检达 元检测技术 有限公司 广东中检达 元检测技术 有限公司 广东中检达 元检测技术 有限公司 广东中检达 元检测技术 有限公司 广东中检达 元检测技术 有限公司 广东中检达 元检测技术 有限公司 广东中检达 元检测技术 有限公司 广东中检达 元检测技术 有限公司 广东中检达 元检测技术 有限公司 广东中检达 元检测技术 有限公司 广东中检达 元检测技术 有限公司 广东中检达 元检测技术 有限公司 广东中检达 元检测技术 有限公司 广东中检达 元检测技术 有限公司 广东中检达 元检测技术 有限公司 广东中检达 元检测技术 有限公司 广东中检达 元检测技术 有限公司 广东中检达 元检测技术 有限公司 广东中检达 元检测技术 有限公司 347 348 349 350 351 352 353 354 355 356 357 358 359 360 361 362 363 364 365 366 367 368 369 370 371 372 373 374 375 XC21440607 613333862 XC21440607 613333863 XC21440607 613333864 XC21440607 613333865 XC21440607 613333867 XC21440607 613333868 XC21440607 613333869 XC21440607 613333891 XC21440607 613333892 XC21440607 613333893 XC21440607 613333894 XC21440607 613333897 XC21440607 613333905 XC21440607 613333906 XC21440607 613333955 XC21440607 613333874 XC21440607 613333875 XC21440607 613333876 XC21440607 613333877 XC21440607 613333888 XC21440607 613333900 XC21440607 613333901 XC21440607 613333902 XC21440607 613333904 XC21440607 613333948 XC21440607 613334080 XC21440607 613334081 XC21440607 613334082 XC21440607 613334083 白坭 镇 白坭 镇 白坭 镇 白坭 镇 白坭 镇 白坭 镇 白坭 镇 白坭 镇 白坭 镇 白坭 镇 白坭 镇 白坭 镇 白坭 镇 白坭 镇 白坭 镇 白坭 镇 白坭 镇 白坭 镇 白坭 镇 白坭 镇 白坭 镇 白坭 镇 白坭 镇 白坭 镇 白坭 镇 白坭 镇 白坭 镇 白坭 镇 白坭 镇 洪湖市吉佳米业 股份有限公司 佛山市鸿福粮油 有限公司 广东岭南明珠农 业科技有限公司 江西众粮实业有 (MZ) 限公司 益海(广州)粮 油工业有限公司 佛山市海南区冠 粮食品有限公司 广州市康泰食品 有限公司 德阳市绵圣曲酒 厂 肇庆蓝带啤酒有 限公司 北京顺鑫农业股 份有限公司牛栏 广州南沙珠江啤 山酒厂 酒有限公司 夏邑县德意粉丝 厂 揭阳市侨园食品 有限公司(分装 ) 揭阳市侨园食品 有限公司(分装 广东达利食品有 ) 限公司 漯河双汇肉业有 限公司(代码RY 清远双汇食品有 ) 限公司 / / 韶关市永青食品 有限公司 桂平市社坡镇绿 天然食品厂 开平广合腐乳有 限公司 / 湖北省洪 湖市峰口 镇白庙街 佛山市南 道 海区大沥 镇联安经 佛山市南 济联合社( 海区狮山 土名)三中 镇科技工 江西省南 东地段的 业园C区兴 昌县塘南 厂房A栋 业路20号 镇渡口村 广州经济 二车间 技术开发 区东江大 佛山市南 道2号 海区狮山 镇罗村下 广州市增 柏第二工 城永宁街 业区前进 宁西太新 德阳市孝 路10号(2 路90号 泉镇阳安 ) 路居委会 广东省肇 五组 庆市端州 八路 北京市顺 义区牛栏 山镇(牛 广州市南 山地区办 沙区万倾 事处东侧 沙镇同发 夏邑县郭 ) 路3号 庄乡兴和 揭阳市普 社区南门 侨工业区 东西街南 侧 揭阳市普 侨工业区 肇庆市高 新技术产 业开发区 漯河市召 将军大街 陵区双汇 东一号 路1号 清远市清 新区太和 镇107国道 / 清新路段 602号 / 韶关市曲 江区马坝 镇小坑村 广西桂平 委官陂塘 市社坡镇 村滩头岭 桂油路 开平市水 口镇东埠 路6号 / 不二家(杭州)食 杭州市萧 品有限公司 山区瓜沥 鹤山市亿润食品 鹤山市址 镇瓜港三 有限公司 路489号 山镇东溪 山东兴盛面粉有 阳谷县闫 开发B区 限公司 楼镇驻地 怀远县天雪面粉 安徽省蚌 有限责任公司 埠市怀远 东莞市恒远调味 东莞市中 县东庙工 食品有限公司 业园区 堂镇江南 农批市场 佛山市海天(高 广东省佛 斗朗仓库 明)调味食品有 山市高明 第二栋A区 区沧江工 限公司 业园东园 佛山市三水区白坭 镇好佳佳商场 佛山市三水区白坭 镇好佳佳商场 佛山市三水区白坭 镇鑫惠佳百货商店 佛山市三水区白坭 镇鑫惠佳百货商店 佛山市三水区白坭 镇好佳佳商场 佛山市三水区白坭 镇鑫惠佳百货商店 佛山市三水区幸福 裕强日用百货店 佛山市三水区白坭 镇好佳佳商场 佛山市三水区白坭 镇好佳佳商场 佛山市三水区幸福 裕强日用百货店 佛山市三水区幸福 裕强日用百货店 佛山市三水区白坭 镇鑫惠佳百货商店 佛山市三水区幸福 裕强日用百货店 佛山市三水区幸福 裕强日用百货店 佛山市三水区白坭 镇鑫惠佳百货商店 佛山市三水区白坭 镇锦程佳超市 佛山市三水区白坭 镇锦程佳超市 佛山市易盛优品商 贸有限公司 佛山市易盛优品商 贸有限公司 佛山市易盛优品商 贸有限公司 佛山市三水区白坭 镇锦程佳超市 佛山市三水区白坭 镇佳好佳商场 佛山市易盛优品商 贸有限公司 佛山市易盛优品商 贸有限公司 佛山市易盛优品商 贸有限公司 佛山市三水区白坭 镇佳好佳商场 佛山市三水区白坭 镇佳好佳商场 佛山市三水区白坭 镇佳好佳商场 佛山市三水区白坭 镇佳好佳商场 佛山市三水区白 吉佳好利来 坭镇国家火炬计 特制香米 划佛山电子电器 福满香聚能 佛山市三水区白 产业基地南区81 量香粘米( 坭镇国家火炬计 号之一104—105 粮心一号小 划佛山电子电器 大米) 佛山市三水区白 铺 农粘米 产业基地南区81 坭镇岗头村委会 号之一104—105 新生路口(原农 佛山市三水区白 南国香丝米 铺 工商楼)主楼首 坭镇岗头村委会 层A区2-7号 金龙鱼食用 新生路口(原农 佛山市三水区白 工商楼)主楼首 植物调和油 坭镇国家火炬计 层A区2-7号 食用植物调 划佛山电子电器 佛山市三水区白 和油 产业基地南区81 坭镇岗头村委会 号之一104—105 新生路口(原农 佛山市三水区白 花生油 铺 工商楼)主楼首 坭镇人民一路47 层A区2-7号 号 佛山市三水区白 十全大补酒 坭镇国家火炬计 划佛山电子电器 佛山市三水区白 蓝带啤酒 产业基地南区81 坭镇国家火炬计 号之一104—105 牛栏山二锅 划佛山电子电器 佛山市三水区白 铺 头白酒 产业基地南区81 坭镇人民一路47 号之一104—105 珠江0度精 号 佛山市三水区白 铺 品啤酒 坭镇人民一路47 号 佛山市三水区白 龙口粉丝 坭镇岗头村委会 新生路口(原农 吸管糖(混 佛山市三水区白 工商楼)主楼首 合口味) 坭镇人民一路47 层A区2-7号 号 佛山市三水区白 多彩糖 坭镇人民一路47 可比克番茄 号 佛山市三水区白 味薯片 坭镇岗头村委会 新生路口(原农 双汇王中王 佛山市三水区白 工商楼)主楼首 优级火腿肠 坭镇金竹路1号之 层A区2-7号 双汇爆炒王 二 佛山市三水区白 坭镇金竹路1号之 优级火腿肠 二 佛山市三水区白 餐粒肠 坭镇周村村委会 周村“细塱“( 佛山市三水区白 一级腊肠 土名)B区综合楼 坭镇周村村委会 首层B7至B18商铺 周村“细塱“( 佛山市三水区白 绿豆饼 土名)B区综合楼 坭镇周村村委会 首层B7至B18商铺 周村“细塱“( 腐竹(豆制 佛山市三水区白 品) 土名)B区综合楼 坭镇金竹路1号之 首层B7至B18商铺 二 佛山市三水区白 廣合腐乳 坭镇“国家火炬 计划佛山电子电 佛山市三水区白 腐竹 器产业基地”南 坭镇周村村委会 区138号综合楼A 不二家清爽 周村“细塱“( 佛山市三水区白 楼一层4号铺 土名)B区综合楼 坭镇周村村委会 型棒棒糖( 首层B7至B18商铺 周村“细塱“( 可乐味+柠 佛山市三水区白 深海鱼丸 土名)B区综合楼 坭镇周村村委会 檬soda味+ 首层B7至B18商铺 周村“细塱“( 香橙soda味 佛山市三水区白 原味挂面 +哈密瓜 土名)B区综合楼 坭镇“国家火炬 首层B7至B18商铺 计划佛山电子电 soda味) 佛山市三水区白 玉带挂面 器产业基地”南 坭镇“国家火炬 区138号综合楼A 计划佛山电子电 佛山市三水区白 酸性调味液 楼一层4号铺 器产业基地”南 坭镇“国家火炬 区138号综合楼A 海天古道料 计划佛山电子电 佛山市三水区白 楼一层4号铺 器产业基地”南 坭镇“国家火炬 酒(调味料 区138号综合楼A 计划佛山电子电 酒) 楼一层4号铺 器产业基地”南 区138号综合楼A 15kg/ 生产日期: 镉(以Cd计):GB / 合格 袋 2021-03-30 5009.15-2014、 15千克 生产日期: 黄曲霉毒素B₁:G 镉(以Cd计):GB / 合格 /袋 2021-01-06 B5009.15-2014、 5009.22-2016( 15千克 生产日期: 黄曲霉毒素B₁:G 第二法) 、铅( 镉(以Cd计):GB / 合格 /袋 2021-04-06 以Pb计):GB 500 B5009.15-2014、 5009.22-2016( 15kg/ 生产日期: 黄曲霉毒素B₁:G 9.12-2017(第二 第二法) 、铅( 镉(以Cd计):GB 壽花及图形 合格 袋 2021-05-15 以Pb计):GB 法) 500 B5009.15-2014、 5009.22-2016( 900毫 生产日期: 黄曲霉毒素B₁:G 9.12-2017(第二 第二法) 、铅( 溶剂残留量:GB 金龙鱼 合格 升/瓶 2021-03-15 B以Pb计):GB 法) 500 5009.262-2016 5009.22-2016( 530ml/ 生产日期: 、酸价(KOH):GB 9.12-2017(第二 第二法) 、铅( 溶剂残留量:GB 欧宝 合格 瓶 2020-12-07 5009.229-2016( 法) 500 以Pb计):GB 5009.262-2016 第一法)、过氧 500ML/ 生产日期: 、酸值(KOH):GB 9.12-2017(第二5 酸值(KOH):GB 惠唛 合格 化值 瓶 2019-12-11 5009.229-2016( 法): 009.229-2016( GB三氯蔗糖: 5009.227500ml/ 生产日期: 第一法)、过氧 绵聖 合格 2016(第一法) 瓶 2020-11-15 GB 化值 : 22255-2014、 、苯并[a]芘:GB GB 5009.2275009.227-201 500ml/ 生产日期: GB 酒精度:GB Pabst 5009.27-2016、 合格 2016(第一法) 罐 2021-04-25 6(第一法)、铅 5009.225-2016( Blue 特丁基对苯二酚 (以Pb计):GB 密度瓶法)、甲醇 500ml/ 密度瓶法)、甲醛 Ribbon 生产日期: 、苯并[a]芘:GB 三氯蔗糖: 50 牛栏山 合格 (TBHQ):GB 5009.27-2016、 09.12-2017(第 :GB 5009.266瓶 :GB/T 5009.492020-02- GB 22255-2014、 5009.32-2016 ( 特丁基对苯二酚 二法)、黄曲霉 2008 500mL/ 28/批号: 2016、氰化物(以 生产日期: 酒精度:GB / 第一法)5009 合格 (TBHQ):GB HCN计):GB 瓶 20200228 5009.225-2016( 2020-07- 毒素B₁:GB 5009.32-2016 ( 5009.36-2016(第 .22-2016(第二 密度瓶法)、甲醇 计量称 生产日期: 08/批号: 密度瓶法)、甲醛 铅(以Pb计):GB 俪龙 合格 第一法) 一法)、糖精钠( :GB 5009.266重 2021-03-16 20200708 法)、苯并[a]芘 :GB/T 5009.495009.12-2017(第 以糖精计):GB :GB 5009.27-20 2016、氰化物(以 2008 138克/ 生产日期: 糖精钠(以糖精计 二法)、二氧化硫 侨园及图形 合格 16 HCN计):GB 包 2020-10-02 5009.28-2016(第 残留量:GB ):GB 5009.28一法)、甜蜜素( 5009.36-2016(第 5009.34-2016、 118克/ 生产日期: 糖精钠(以糖精计 2016( 第一法) 千纸鹤 合格 以环己基氨基磺 一法)、糖精钠( 包 2020-09-01 苯甲酸及其钠盐( 、日落黄:SN/T ):GB 5009.28酸计):GB 以糖精计):GB 以苯甲酸计):GB 1743-2006、铅( 105克 生产日期: 水分:GB 2016( 第一法)、 5009.3/ 合格 5009.28-2016(第 以Pb计):GB /罐 2021-04-19 5009.97-2016(第 柠檬黄:GB 2016(第一法)、 三法) 一法)、甜蜜素( 一法)、山梨酸及 5009.12-2017 ( 5009.35-2016、 240g/ 生产日期: 总砷(以As计): 酸价(以脂肪计) 双汇 合格 以环己基氨基磺 第二法) 苋菜红:GB 根 2021-01-21 其钾盐(以山梨酸 :GB 5009.229GB 5009.11酸计):GB 计):GB 5009.285009.35-2016、 2016(第二法) 200g/ 生产日期: 总砷(以As计): 2014(第一篇 第 双汇 合格 5009.97-2016(第 2016(第一法)、 胭脂红:GB 条 2021-03-13 、过氧化值(以脂 一法)、N-二甲 GB 5009.11三法) 铝的残留量(干样 5009.35-2016、 肪计)(第一法) 基亚硝胺:GB第 购进日期: 过氧化值(以脂肪 2014(第一篇 / / 合格 品,以Al计):GB 日落黄:GB :GB 5009.2272021-05-10 5009.26-2016(第 一法)、N-二甲 计):GB 5009.268-2016( 5009.35-2016、 2016、糖精钠(以 一法)、亚硝酸盐 基亚硝胺:GB 购进日期: 过氧化值(以脂肪 5009.227-2016( / / 合格 第一法) 铅(以Pb计):GB 糖精计):GB (以亚硝酸钠计) 2021-05-20 5009.26-2016(第 第一法)、总砷( 计):GB 5009.12-2017(第 5009.28-2016(第 :GB 5009.33以As计):GB 生产日期: 一法)、亚硝酸盐 5009.227-2016( 大肠菌群:GB 称重 碧青坊 合格 二法) 一法)、苯甲酸 2016(第二法)、 (以亚硝酸钠计) 2021-05-11 5009.11-2014(第 第一法)、总砷( 4789.3-2016(第 及其钠盐(以苯甲 胭脂红:GB/T :GB 5009.33一篇 第一法)、 以As计):GB 生产日期: 二法)、酸价(以 铅(以Pb计):GB / / 合格 酸计):GB 9695.6-2008(第 2016(第二法)、 亚硝酸盐(以亚硝 5009.11-2014(第 2021-05-06 5009.12-2017(第 脂肪计):GB 5009.28-2016(第 一法) 胭脂红:GB/T 酸钠计):GB 一篇 第一法)、 5009.229-2016( 335克/ 生产日期: 二法)、苯甲酸及 苯甲酸及其钠盐( 廣合 合格 一法) 9695.6-2008(第 5009.33-2016(第 亚硝酸盐(以亚硝 第二法)、过氧 瓶 2021-01-21 以苯甲酸计):GB 其钠盐(以苯甲酸 一法) 二法)、胭脂红: 酸钠计):GB 化值(以脂肪计) 5009.28购进日期: 计):GB 5009.28-2016( 铅(以Pb计):GB / / 合格 GB/T5009.2279695.65009.33-2016(第 :GB 2016(第一法)、 2021-05-10 5009.12-2017(第 第一法)、山梨 2008(第一法)、 二法)、胭脂红: 2016(第一法)、 山梨酸及其钾盐( 酸及其钾盐(以山 125克/ 生产日期: 糖精钠(以糖精计 二法)、苯甲酸及 图形商标 合格 铅(以Pb计):GB GB/T 9695.6山梨酸及其钾盐( 以山梨酸计):GB 梨酸计):GB 包 2021-01-05 其钠盐(以苯甲酸 ):GB 5009.285009.12-2017(第 2008(第一法)、 以山梨酸计):GB 5009.28-2016(第 5009.28-2016( 5009.28生产日期: 计):GB 2016( 第一法)、 过氧化值(以脂肪 450g( 润溪及图形 合格 二法) 铅(以Pb计):GB 5009.28-2016(第 第一法)、脱氢 2016(第一法)、 2020-11-10 一法)、脱氢乙酸 柠檬黄:GB 计):GB 土10g 5009.12-2017(第 一法)、铝的残 及其钠盐(以脱氢 乙酸及其钠盐(以 5009.35-2016、 1千克/ 生产日期: 山梨酸及其钾盐( 5009.227-2016( )/袋 脱氢乙酸及其钠 添添见 合格 二法) 留量(干样品,以 乙酸计):GB 脱氢乙酸计):GB 以山梨酸计):GB 苋菜红:GB 袋 2021-03-06 第一法)、N-二甲 盐(以脱氢乙酸计 Al计):GB 5009.121-2016( 5009.28-2016(第 5009.35-2016、 基亚硝胺:GB 1千克/ 生产日期: ):GB 5009.121脱氢乙酸及其钠 添添见 合格 5009.268-2016( 第二法)、丙酸及 第二法)、糖精 胭脂红:GB ( 5009.26-2016 筒 2021-01-28 一法)、脱氢乙酸 2016(第二法)、 盐(以脱氢乙酸计 第一法) 其钠盐、钙盐(以 钠(以糖精计): 及其钠盐(以脱氢 5009.35-2016、 第一法)、山梨酸 铅(以Pb计):GB 420ml/ 生产日期: 苯甲酸及其钠盐( ):GB 5009.121乡泉及图案 合格 丙酸计):GB GB 5009.28乙酸计):GB 日落黄:GB 5009.12-2017(第 瓶 2021-02-20 及其钾盐(以山梨 2016(第二法)、 以苯甲酸计):GB 5009.120-2016( 2016( 第一法) 5009.121-2016( 5009.35-2016、 酸计):GB 二法) 铅(以Pb计):GB 450mL/ 生产日期: 苯甲酸及其钠盐( 5009.28-2016( / 合格 第二法) 、甜蜜素(以环己 第二法)、丙酸及 铅(以Pb计):GB 5009.12-2017(第 瓶 2020-12-16 5009.28-2016(第 第一法)、山梨 以苯甲酸计):GB 基氨基磺酸计): 其钠盐、钙盐(以 5009.12-2017(第 一法)、苯甲酸及 二法) 酸及其钾盐(以山 5009.28-2016( GB 5009.97丙酸计):GB 二法) 其钠盐(以苯甲酸 梨酸计):GB 第一法)、山梨 2016(第一法) 5009.120-2016( 计):GB 5009.285009.28-2016( 酸及其钾盐(以山 第二法) 2016(第一法) 第一法)、脱氢 粮食加 工品 粮食加 工品 粮食加 工品 粮食加 工品 食用油 、油脂 及其制 食用油 品 、油脂 及其制 食用油 品 、油脂 及其制 酒类 品 流通 2021-05-19 流通 2021-05-19 流通 2021-05-19 流通 2021-05-19 流通 2021-05-19 流通 2021-05-19 流通 2021-05-19 流通 2021-05-19 酒类 流通 2021-05-19 酒类 流通 2021-05-19 酒类 流通 2021-05-19 流通 2021-05-19 流通 2021-05-19 流通 2021-05-19 流通 2021-05-19 流通 2021-05-20 肉制品 流通 2021-05-20 肉制品 流通 2021-05-20 肉制品 流通 2021-05-20 糕点 流通 2021-05-20 豆制品 流通 2021-05-20 豆制品 流通 2021-05-20 豆制品 流通 2021-05-20 流通 2021-05-20 流通 2021-05-20 流通 2021-05-20 流通 2021-05-20 调味品 流通 2021-05-20 调味品 流通 2021-05-20 淀粉及 淀粉制 糖果制 品 品 糖果制 品 薯类和 膨化食 品 肉制品 糖果制 品 速冻食 品 粮食加 工品 粮食加 工品 广东中检达 元检测技术 有限公司 广东中检达 元检测技术 有限公司 广东中检达 元检测技术 有限公司 广东中检达 元检测技术 有限公司 广东中检达 元检测技术 有限公司 广东中检达 元检测技术 有限公司 广东中检达 元检测技术 有限公司 广东中检达 元检测技术 有限公司 广东中检达 元检测技术 有限公司 广东中检达 元检测技术 有限公司 广东中检达 元检测技术 有限公司 广东中检达 元检测技术 有限公司 广东中检达 元检测技术 有限公司 广东中检达 元检测技术 有限公司 广东中检达 元检测技术 有限公司 广东中检达 元检测技术 有限公司 广东中检达 元检测技术 有限公司 广东中检达 元检测技术 有限公司 广东中检达 元检测技术 有限公司 广东中检达 元检测技术 有限公司 广东中检达 元检测技术 有限公司 广东中检达 元检测技术 有限公司 广东中检达 元检测技术 有限公司 广东中检达 元检测技术 有限公司 广东中检达 元检测技术 有限公司 广东中检达 元检测技术 有限公司 广东中检达 元检测技术 有限公司 广东中检达 元检测技术 有限公司 广东中检达 元检测技术 有限公司 376 377 378 379 380 381 382 383 384 385 386 387 388 389 390 391 392 393 394 395 396 397 XC21440607 613334086 XC21440607 613334087 XC21440607 613334403 XC21440607 613334404 XC21440607 613334405 XC21440607 613334406 XC21440607 613334407 XC21440607 613334408 XC21440607 613334409 XC21440607 613334410 XC21440607 613334411 XC21440607 613334412 XC21440607 613334413 XC21440607 613334414 XC21440607 613334075 XC21440607 613334074 XC21440607 613333934 XC21440607 613333929 XC21440607 613333941 XC21440607 613334085 XC21440607 613334084 XC21440607 613333938 398 NCP21440 60761333 4457 399 NCP21440 60761333 4458 400 NCP21440 60761333 4459 401 NCP21440 60761333 4460 402 NCP21440 60761333 4461 403 NCP21440 60761333 4462 404 NCP21440 60761333 4463 白坭 镇 白坭 镇 白坭 镇 白坭 镇 白坭 镇 白坭 镇 白坭 镇 白坭 镇 白坭 镇 白坭 镇 白坭 镇 白坭 镇 白坭 镇 白坭 镇 白坭 镇 白坭 镇 白坭 镇 白坭 镇 白坭 镇 白坭 镇 白坭 镇 白坭 镇 云东 海街 道 云东 海街 道 云东 海街 道 云东 海街 道 云东 海街 道 云东 海街 道 云东 海街 道 广州市东鹏食品 饮料有限公司 四会市百森食品 饮料有限公司 广州市增 城石滩镇 三江荔三 广东省四 路750号 会市南江 工业园南 / 江大道10 号 / 佛山市三水区白坭 镇锦程佳超市 佛山市三水区白坭 镇佳好佳商场 佛山市三水区乐乐 启航奶茶店 佛山市三水区乐乐 启航奶茶店 佛山市三水区遇转 角笑脸奶茶店 佛山市三水区遇转 角笑脸奶茶店 佛山市三水区瞿佳 奶茶店 佛山市三水区瞿佳 奶茶店 佛山市三水区白坭 镇千才冷热饮品店 佛山市三水区白坭 镇千才冷热饮品店 佛山市三水区龙悦 湖奶茶店 佛山市三水区龙悦 湖奶茶店 佛山市三水区谢雪 华奶茶店 佛山市三水区谢雪 华奶茶店 佛山市三水区白坭 镇华美饼店 佛山市三水区白坭 镇华美饼店 佛山市三水区白坭 镇千才冷热饮品店 佛山市三水区龙悦 湖奶茶店 佛山市三水区遇转 角笑脸奶茶店 佛山市三水区白坭 镇华美饼店 佛山市三水区白坭 镇华美饼店 佛山市三水区乐乐 启航奶茶店 佛山市三水区白 由柑柠檬茶 坭镇金竹路1号之 (果味茶饮 华雄经典奶 二 料) 佛山市三水区白 坭镇“国家火炬 茶风味饮品 计划佛山电子电 佛山市三水区白 / 益茶烤奶 器产业基地”南 坭镇工业大道104 区138号综合楼A 芋泥啵啵奶 号(住所申报) 佛山市三水区白 / 楼一层4号铺 绿 坭镇工业大道104 号(住所申报) 佛山市三水区白 / / 日照红茶 坭镇工业大道142 号 佛山市三水区白 / / 益禾烤奶 坭镇工业大道142 号 佛山市三水区白 / / 珍珠奶茶 坭镇金竹路10号 之7(住所申报) 佛山市三水区白 / / 桂花乌龙 坭镇金竹路10号 之7(住所申报) 佛山市三水区白 / / 日照红茶 坭镇黄金大道33 号综合市场二座 佛山市三水区白 / / 招牌烤奶 南C21号 坭镇黄金大道33 号综合市场二座 佛山市三水区白 / / 益禾烤奶 南C21号 坭镇黄金大道33 号综合市场一座 佛山市三水区白 / / 招牌奶茶 东北26号之1 坭镇黄金大道33 号综合市场一座 佛山市三水区白 / / 禾风奶绿 东北26号之1 坭镇黄金大道33 号综合市场一座 佛山市三水区白 / / 益禾烤奶 东北25号之2(住 坭镇黄金大道33 所申报) 黑米白桃奶 号综合市场一座 佛山市三水区白 / / 茶 东北25号之2(住 坭镇人民一路94 所申报) 号首层 佛山市三水区白 / / 经典奶茶 坭镇人民一路94 号首层 佛山市三水区白 / / 幽兰四季青 坭镇黄金大道33 号综合市场二座 佛山市三水区白 / / 冻柠蜜 南C21号 坭镇黄金大道33 号综合市场一座 佛山市三水区白 / / 冻柠檬 东北26号之1 坭镇工业大道142 佛山市华美食品 佛山市三 并蒂莲椰蓉 号 佛山市三水区白 有限公司 酥饼 水区西南 坭镇人民一路94 佛山市华美食品 佛山市三 科技工业 号首层 佛山市三水区白 罐装鸡仔饼 有限公司 园南丰大 水区西南 坭镇人民一路94 道南6号 科技工业 号首层 佛山市三水区白 / / 原味奶茶 园南丰大 坭镇工业大道104 道南6号 国宏肉联 佛山市三水区 佛山市三水区 佛山市三水区云东 号(住所申报) 国宏肉类加工 有限公司 / 佛山市三水区 国宏肉类加工 广州市雅瑶屠 有限公司 宰场有限公司 佛山市南海区 大沥棉丰肉联 食品有限公司 佛山市南海区 大沥棉丰肉联 食品有限公司 佛山市三水区 国宏肉类加工 有限公司 厂 海街道谢桂友猪肉 云东海街道南 丰大道1号一座 档 佛山市三水区 佛山市三水区云东 / 105自编16号 海街道陈建军猪肉 云东海街道南 国宏肉联 佛山市三水区云东 丰大道1号一座 档 佛山市三水区 厂 105自编12号 海街道李世雄猪肉 云东海街道百 档 旺城市场内 佛山市三水区 广东省广 佛山市三水区云东 州市花都 海街道冯碧云猪肉 云东海街道南 丰大道1号二座 区雅瑶镇 佛山市三水区云东 档 佛山市三水区 / 102内猪肉档 广州市花 海街道梁生牛肉档 云东海街道南 都区新雅 佛山市三水区云东 丰大道1号百旺 佛山市三水区 / 街雅神路 海街道百旺城何巧 城二座101号档 云东海街道南 第三经济 佛山市三水区云东 国宏肉联 丰大道1号二座 珍牛肉档 佛山市三水区 社 厂 105铺H14档 海街道成泽飞猪肉 云东海街道南 丰大道1号四座 档 102(自编号 B—7号档) 250ml/ 支 250ml/ 支 / 华雄 / / / / / / / / / / / / / / / / / / / / / / / / / / / / / / / / / / 200g/ 罐 200g/ 罐 / / / / 瘦肉 / / 瘦肉 / / 瘦肉 / / 瘦肉 / / 牛肉 / / 牛肉 / / 瘦肉 / / 生产日期: 茶多酚:GB/T 2021-02-05 21733-2008(附录 生产日期: 甜蜜素(以环己基 A)、咖啡因:GB 2021-03-08 氨基磺酸计):GB 5009.139-2014、 甜蜜素(以环己基 加工日期: 糖精钠(以糖精计 5009.97-2016(第 2021-05-24 氨基磺酸计):GB ):GB一法) 5009.285009.97-2016(第 加工日期: 糖精钠(以糖精计 2016( 第一法) 一法) 2021-05-24 ):GB 、铅(以Pb计): 5009.28GB 5009.12-2017 加工日期: 糖精钠(以糖精计 2016( 第一法) 《食品安全国家 2021-05-24 ):GB 、铅(以Pb计): 5009.28标准 食品中铅的 GB 5009.12-2017 加工日期: 糖精钠(以糖精计 2016( 第一法) 《食品安全国家 2021-05-24 测定》(第二法) 、铅(以Pb计): ):GB 5009.28、苯甲酸及其钠 标准 食品中铅的 5009.12-2017 加工日期: GB 2016( 第一法) 糖精钠(以糖精计 盐(以苯甲酸计) 《食品安全国家 2021-05-24 测定》(第二法) 、铅(以Pb计): ):GB 5009.28:GB 5009.28、苯甲酸及其钠 标准 食品中铅的 5009.12-2017 加工日期: GB 2016( 第一法) 糖精钠(以糖精计 2016( 5009.28第一法) 盐(以苯甲酸计) 《食品安全国家 2021-05-24 测定》(第二法) 、铅(以Pb计): ):GB 、山梨酸及其钾 :GB 5009.28、苯甲酸及其钠 食品中铅的 GB 5009.12-2017 加工日期: 标准 2016( 第一法) 糖精钠(以糖精计 盐(以山梨酸计) 2016( 第一法) 盐(以苯甲酸计) 《食品安全国家 2021-05-24 测定》(第二法) 、铅(以Pb计): ):GB 5009.28、山梨酸及其钾 :GB 5009.28、苯甲酸及其钠 标准 食品中铅的 GB 5009.12-2017 加工日期: 糖精钠(以糖精计 2016( 第一法) 盐(以山梨酸计) 2016( 第一法) 盐(以苯甲酸计) 《食品安全国家 2021-05-24 测定》(第二法) 、铅(以Pb计): ):GB 5009.28、山梨酸及其钾 :GB 5009.28、苯甲酸及其钠 标准 食品中铅的 GB 5009.12-2017 加工日期: 糖精钠(以糖精计 2016( 第一法) 盐(以山梨酸计) 2016( 盐(以苯甲酸计) 《食品安全国家 2021-05-24 测定》(第二法) 、铅(以Pb计): ):GB 第一法) 5009.28:GB 5009.28、山梨酸及其钾 、苯甲酸及其钠 标准 食品中铅的 GB 5009.12-2017 加工日期: 糖精钠(以糖精计 2016( 第一法) 盐(以山梨酸计) 2016( 第一法) 盐(以苯甲酸计) 《食品安全国家 2021-05-24 测定》(第二法) 、铅(以Pb计): ):GB 5009.28、山梨酸及其钾 :GB 5009.28、苯甲酸及其钠 标准 食品中铅的 GB 5009.12-2017 加工日期: 糖精钠(以糖精计 2016( 第一法) 盐(以山梨酸计) 2016( 第一法) 盐(以苯甲酸计) 《食品安全国家 2021-05-24 测定》(第二法) 、铅(以Pb计): ):GB 5009.28、山梨酸及其钾 :GB 5009.28、苯甲酸及其钠 标准 食品中铅的 GB 5009.12-2017 加工日期: 糖精钠(以糖精计 2016( 第一法) 盐(以山梨酸计) 2016( 第一法) 盐(以苯甲酸计) 《食品安全国家 2021-05-24 测定》(第二法) 、铅(以Pb计): ):GB 5009.28、山梨酸及其钾 :GB 5009.28、苯甲酸及其钠 标准 食品中铅的 5009.12-2017 加工日期: GB 2016( 第一法) 糖精钠(以糖精计 2016( 第一法) 盐(以山梨酸计) 盐(以苯甲酸计) 《食品安全国家 2021-05-21 测定》(第二法) 、铅(以Pb计): ):GB 5009.28、山梨酸及其钾 :GB 5009.28、苯甲酸及其钠 标准 食品中铅的 GB 5009.12-2017 加工日期: 糖精钠(以糖精计 2016( 第一法) 2016( 第一法) 盐(以山梨酸计) 盐(以苯甲酸计) 《食品安全国家 2021-05-21 测定》(第二法) 、铅(以Pb计): ):GB 5009.28、山梨酸及其钾 :GB 5009.28、苯甲酸及其钠 标准 食品中铅的 GB 5009.12-2017 加工日期: 糖精钠(以糖精计 2016( 第一法) 盐(以山梨酸计) 2016( 第一法) 盐(以苯甲酸计) 《食品安全国家 2021-05-21 测定》(第二法) 、铅(以Pb计): ):GB 5009.28、山梨酸及其钾 :GB 5009.28、苯甲酸及其钠 标准 食品中铅的 GB 5009.12-2017 加工日期: 糖精钠(以糖精计 2016( 第一法) 盐(以山梨酸计) 2016( 第一法) 盐(以苯甲酸计) 《食品安全国家 2021-05-21 测定》(第二法) 、铅(以Pb计): ):GB 5009.28:GB 5009.28、山梨酸及其钾 、苯甲酸及其钠 标准 食品中铅的 GB 5009.12-2017 加工日期: 糖精钠(以糖精计 2016( 第一法) 盐(以山梨酸计) 2016( 盐(以苯甲酸计) 《食品安全国家 2021-05-21 测定》(第二法) 、铅(以Pb计): ):GB 第一法) 5009.28:GB 5009.28、山梨酸及其钾 、苯甲酸及其钠 标准 食品中铅的 5009.12-2017 生产日期: GB 2016( 第一法) 大肠菌群:GB 盐(以山梨酸计) 2016( 第一法) 盐(以苯甲酸计) 《食品安全国家 2021-05-20 测定》(第二法) 、铅(以Pb计): 4789.3-2016(第 、山梨酸及其钾 :GB 5009.28、苯甲酸及其钠 标准 食品中铅的 GB 5009.12-2017 生产日期: 二法)、酸价(以 大肠菌群:GB 盐(以山梨酸计) 2016( 第一法) 盐(以苯甲酸计) 《食品安全国家 2021-05-20 测定》(第二法) 脂肪计):GB 4789.3-2016(第 、山梨酸及其钾 :GB 5009.28、苯甲酸及其钠 标准 食品中铅的 5009.229-2016( 加工日期: 二法)、酸价(以 糖精钠(以糖精计 盐(以山梨酸计) 2016( 第一法) 盐(以苯甲酸计) 第二法)、过氧 2021-05-21 测定》(第二法) 脂肪计):GB ):GB 5009.28、山梨酸及其钾 :GB 5009.28、苯甲酸及其钠 化值(以脂肪计) 5009.229-2016( 第一法) 检疫日期 2016( 恩诺沙星: 2016( 第一法) 盐(以山梨酸计) 盐(以苯甲酸计) :GB 第二法)、过氧 、铅(以Pb计): : GB/T5009.22721312、山梨酸及其钾 :GB 5009.282016(第一法)、 化值(以脂肪计) 5009.12-2017 2021/5/2 GB 2007、氯霉素 检疫日期 恩诺沙星: 2016( 第一法) 盐(以山梨酸计) 山梨酸及其钾盐( :GB 《食品安全国家 6 :GB/T 22338:2021GB/T5009.22721312:GB 5009.28、山梨酸及其钾 以山梨酸计):GB 2016(第一法)、 食品中铅的 2008(液相色谱 05-26 标准 2007、氯霉素 恩诺沙星: 检疫日期 2016( 盐(以山梨酸计) 5009.28-2016(第 山梨酸及其钾盐( -质谱/质谱法) :GB/T 22338:2021- 测定》(第二法) GB/T 第一法) 21312:GB 5009.28一法)、铝的残 、苯甲酸及其钠 、沙丁胺醇: 2008(液相色谱 2007、氯霉素 05-26 以山梨酸计):GB 恩诺沙星: 检疫日期 2016( 留量(干样品,以 盐(以苯甲酸计) GB/T 第一法) 22286-质谱/质谱法) :GB/T 22338:2021- 5009.28-2016(第 21312Al计):GB 一法)、铝的残 :GB 5009.282008、磺胺类( 、沙丁胺醇: 2008(液相色谱 2007、氯霉素 05-26 五氯酚酸钠(以 生产日期 5009.268-2016( 2016( 第一法) 总量):GB/T GB/T 22286-质谱/质谱法) :GB/T 22338五氯酚计):GB :2021- 留量(干样品,以 第一法) Al计):GB 、山梨酸及其钾 21316-2007、 2008、磺胺类( 、沙丁胺醇: 2008(液相色谱 23200.92-2016 05-26 五氯酚酸钠(以 生产日期 5009.268-2016( 盐(以山梨酸计) 克伦特罗: 总量):GB/T GB/T 22286-质谱/质谱法) 、克伦特罗: :2021- 五氯酚计):GB 第一法) :GB 5009.2821316-2007、 2008、磺胺类( 、沙丁胺醇: GB/T 2228623200.92-2016 05-26 恩诺沙星: 检疫日期 第一法) 2008、莱克多 克伦特罗: 总量):GB/T 222862008、地塞米 、克伦特罗: :2021- 2016( GB/T 21312- 05-26 巴胺:GB/T 21316-2007、 2008、磺胺类( 松:农业部 GB/T 222862007、氯霉素 22286-2008 2008、莱克多 克伦特罗: 总量):GB/T 1031号公告-22008、地塞米 :GB/T 22338巴胺:GB/T GB/T 2228621316-2007、 2008、莱克多 松:农业部 2008(液相色谱 22286-2008 2008、莱克多 克伦特罗: 巴胺:GB/T 1031号公告-2- 合格 饮料 流通 2021-05-20 合格 饮料 流通 2021-05-20 餐饮 2021-05-24 餐饮 2021-05-24 餐饮 2021-05-24 餐饮 2021-05-24 餐饮 2021-05-24 餐饮 2021-05-24 餐饮 2021-05-24 餐饮 2021-05-24 餐饮 2021-05-24 餐饮 2021-05-24 餐饮 2021-05-24 餐饮 2021-05-24 餐饮 2021-05-21 餐饮 2021-05-21 餐饮 2021-05-21 餐饮 2021-05-21 餐饮 2021-05-21 合格 合格 合格 合格 合格 合格 合格 合格 合格 合格 合格 合格 合格 合格 合格 合格 合格 餐饮食 品 餐饮食 品 餐饮食 品 餐饮食 品 餐饮食 品 餐饮食 品 餐饮食 品 餐饮食 品 餐饮食 品 餐饮食 品 餐饮食 品 餐饮食 品 餐饮食 品 餐饮食 品 餐饮食 品 餐饮食 品 餐饮食 品 合格 糕点 餐饮 2021-05-21 合格 糕点 餐饮 2021-05-21 合格 餐饮食 品 餐饮 2021-05-21 合格 合格 合格 合格 合格 合格 合格 食用农 产品 食用农 产品 食用农 产品 食用农 产品 食用农 产品 食用农 产品 食用农 产品 流通 2021-05-26 流通 2021-05-26 流通 2021-05-26 流通 2021-05-26 流通 2021-05-26 流通 2021-05-26 流通 2021-05-26 广东中检达 元检测技术 有限公司 广东中检达 元检测技术 有限公司 广东中检达 元检测技术 有限公司 广东中检达 元检测技术 有限公司 广东中检达 元检测技术 有限公司 广东中检达 元检测技术 有限公司 广东中检达 元检测技术 有限公司 广东中检达 元检测技术 有限公司 广东中检达 元检测技术 有限公司 广东中检达 元检测技术 有限公司 广东中检达 元检测技术 有限公司 广东中检达 元检测技术 有限公司 广东中检达 元检测技术 有限公司 广东中检达 元检测技术 有限公司 广东中检达 元检测技术 有限公司 广东中检达 元检测技术 有限公司 广东中检达 元检测技术 有限公司 广东中检达 元检测技术 有限公司 广东中检达 元检测技术 有限公司 广东中检达 元检测技术 有限公司 广东中检达 元检测技术 有限公司 广东中检达 元检测技术 有限公司 广东中检 达元检测 技术有限 广东中检 公司 达元检测 技术有限 广东中检 公司 达元检测 技术有限 广东中检 公司 达元检测 技术有限 广东中检 公司 达元检测 技术有限 广东中检 公司 达元检测 技术有限 广东中检 公司 达元检测 技术有限 公司 405 NCP21440 60761333 4464 406 NCP21440 60761333 4465 407 NCP21440 60761333 4466 408 NCP21440 60761333 4467 409 NCP21440 60761333 4468 410 NCP21440 60761333 4469 411 NCP21440 60761333 4470 412 NCP21440 60761333 4471 413 NCP21440 60761333 4472 414 NCP21440 60761333 4473 415 NCP21440 60761333 4475 416 NCP21440 60761333 4476 417 XC214406 07613334 427 418 XC214406 07613334 428 419 XC214406 07613334 429 420 XC214406 07613334 430 421 XC214406 07613334 431 422 XC214406 07613334 432 423 XC214406 07613334 433 424 XC214406 07613334 434 425 XC214406 07613334 435 426 XC214406 07613334 436 427 XC214406 07613334 437 428 XC214406 07613334 438 429 XC214406 07613334 439 430 XC214406 07613334 440 431 XC214406 07613334 441 432 XC214406 07613334 442 433 XC214406 07613334 443 云东 海街 道 云东 海街 道 云东 海街 道 云东 海街 道 云东 海街 道 云东 海街 道 云东 海街 道 云东 海街 道 云东 海街 道 云东 海街 道 云东 海街 道 云东 海街 道 云东 海街 道 云东 海街 道 云东 海街 道 云东 海街 道 云东 海街 道 云东 海街 道 云东 海街 道 云东 海街 道 云东 海街 道 云东 海街 道 云东 海街 道 云东 海街 道 云东 海街 道 云东 海街 道 云东 海街 道 云东 海街 道 云东 海街 道 佛山市南海区 大沥棉丰肉联 食品有限公司 佛山市三水区 国宏肉类加工 有限公司 佛山市三水区 国宏肉类加工 有限公司 / 清远双汇食品 有限公司 / / / / / / / / / / / / / / / / / / / / / / / / 佛山市三水区华记 佛山市三水区 洁梅猪肉档 云东海街道南 国宏肉联 佛山市三水区谭燕 丰大道1号二座 佛山市三水区 厂 玲猪肉档 102铺221档( 云东海街道南 住所申报) 国宏肉联 佛山市三水区云东 丰大道1号二座 佛山市三水区 厂 101铺213档( 海街道陈金如猪肉 云东海街道南 住所申报) 佛山市三水区兴飞 丰大道1号二座 档 佛山市三水区 / 猪肉档 101铺211档( 云东海街道鲁 住所申报) 村李沙村南丰 太和镇 佛山市三水区云东 佛山市三水区 海学校 路边卡6铺位( 107国道 云东海街道高 住所申报) 清新路段 佛山市三水日日升 佛山市三水区 丰村委会“高 / 602号 商业连锁有限公司 云东海街道德 丰围” 恒福新里程分店 兴北路1号恒福 佛山市三水区 佛山市三水日日升 / 新里程花园二 商业连锁有限公司 云东海街道德 区1座101-106 恒福新里程分店 兴北路1号恒福 佛山市三水区 佛山市三水日日升 / (住所申报) 新里程花园二 商业连锁有限公司 云东海街道德 区1座101-106 恒福新里程分店 兴北路1号恒福 佛山市三水区 佛山市三水日日升 / (住所申报) 新里程花园二 商业连锁有限公司 云东海街道德 区1座101-106 佛山市三水区高育 恒福新里程分店 兴北路1号恒福 佛山市三水区 / (住所申报) 波农副产品店 新里程花园二 云东海街道南 区1座101-106 佛山市三水区云东 佛山市三水区 丰大道66号保 / (住所申报) 海学校 利中景花园16 云东海街道高 佛山市三水区洪民 座102(住所申 丰村委会“高 佛山市三水区 / 报) 巨蔬菜档 丰围” 云东海街道鲁 佛山市三水区俊健 佛山市三水区 村李沙村南丰 / 仔的饮品店 路边卡3铺位( 云东海街道防 住所申报) 佛山市三水区俊健 佛山市三水区 汛路(广东财 / 仔的饮品店 经学院西门对 云东海街道防 佛山市三水区俊健 面)荣创产业1 汛路(广东财 佛山市三水区 / 栋106铺位(住 仔的饮品店 经学院西门对 云东海街道防 所申报) 佛山市三水区俊健 面)荣创产业 汛路(广东财 佛山市三水区 / 园1栋106铺位 仔的饮品店 经学院西门对 云东海街道防 面)荣创产业 佛山市三水区俊健 (住所申报) 汛路(广东财 佛山市三水区 / 园1栋106铺位 仔的饮品店 经学院西门对 云东海街道防 (住所申报) 面)荣创产业 佛山市三水区广财 广东省佛山市 汛路(广东财 / 园1栋106铺位 益禾堂奶茶店 经学院西门对 三水区云东海 (住所申报) 佛山市三水区广财 面)荣创产业1 街道防汛路( 广东省佛山市 / 栋106铺位(住 益禾堂奶茶店 广东财经学院 三水区云东海 所申报) 西门对面)荣 佛山市三水区广财 广东省佛山市 街道防汛路( / 创产业园1栋 益禾堂奶茶店 广东财经学院 三水区云东海 西门对面)荣 佛山市三水区广财 110铺位(住所 街道防汛路( 广东省佛山市 / 申报) 创产业园1栋 益禾堂奶茶店 广东财经学院 三水区云东海 西门对面)荣 佛山市三水区蜜雪 110铺位(住所 街道防汛路( 佛山市三水区 / 申报) 创产业园1栋 甜馨餐饮店 广东财经学院 云东海街道防 西门对面)荣 佛山市三水区蜜雪 110铺位(住所 汛路(广东财 佛山市三水区 / 申报) 创产业园1栋 甜馨餐饮店 经学院西门对 云东海街道防 面)荣创产业 佛山市三水区云东 110铺位(住所 汛路(广东财 佛山市三水区 / 申报) 园2栋116铺( 海街道李义餐厅 云东海街道南 经学院西门对 住所申报) 面)荣创产业 佛山市三水区云东 佛山市三水区 丰大道13号三 / 园2栋116铺( 海街道李义餐厅 水万达广场1座 云东海街道南 住所申报) 234、235(住 佛山市三水区云东 佛山市三水区 丰大道13号三 / 所申报) 海街道李义餐厅 水万达广场1座 云东海街道南 234、235(住 佛山市三水区芒心 佛山市三水区 丰大道13号三 / 所申报) 奶茶店 水万达广场1座 云东海街道南 234、235(住 佛山市三水区芒心 佛山市三水区 丰大道13号三 / 所申报) 奶茶店 水万达广场二 云东海街道南 座1034号铺( 佛山市三水区芒心 佛山市三水区 丰大道13号三 / 住所申报) 奶茶店 水万达广场二 云东海街道南 座1034号铺( 丰大道13号三 住所申报) 水万达广场二 座1034号铺( / 猪肉 / / 猪肉 / / 猪肉 / / 猪肉 / / 猪肉 / / 黄心菜 / / 农超西芹 / / 线椒 / / 豆芽 / / 青椒 / / 菜心 / / 大白菜 / / 满杯百香 果 / / 桃气撞奶 / / 大红袍奶 茶 / / 黄金奶茶 / / 桃园四季 春 / / 禾风奶绿 / / 金桔柠檬 / / 日照红茶 / / 益禾烤奶 / / 棒打鲜橙 / / 黑糖珍珠 奶茶 / / 红薯粉 / / 大宽粉 / / 五谷米粉 / / 元气葡萄 / / 金桔柠檬 / / 蜂蜜柚子 茶 / / 恩诺沙星: 生产日期 合格 :2021GB/T 213122007、氯霉素 05-27 恩诺沙星: 检疫日期 合格 22338:2021- :GB/T GB/T 213122008(液相色谱 2007、氯霉素 05-27 恩诺沙星: 检疫日期 合格 -质谱/质谱法) 22338:2021- :GB/T GB/T 21312、沙丁胺醇: 2008(液相色谱 2007、氯霉素 05-27 恩诺沙星: 检疫日期 合格 GB/T 22286-质谱/质谱法) 22338:2021- :GB/T 213122008、磺胺类( 、沙丁胺醇: 2008(液相色谱 2007、氯霉素 05-27 恩诺沙星: 检疫日期 合格 总量):GB/T GB/T 22286-质谱/质谱法) 2233821312:2021- :GB/T 21316-2007、 2008、磺胺类( 、沙丁胺醇: 2008(液相色谱 2007、氯霉素 05-27 毒死蜱:NY/T 购进日期 合格 克伦特罗: 总量):GB/T GB/T 22286-质谱/质谱法) 22338761-2008(第1 :2021- :GB/T GB/T方法二) 2228621316-2007、 2008、磺胺类( 、沙丁胺醇: 2008(液相色谱 部分 05-26 氯氟氰菊酯和 购进日期 2008、莱克多 克伦特罗: 总量):GB/T GB/T 22286- 合格 、氧乐果: :2021- -质谱/质谱法) 高效氯氟氰菊 巴胺:GB/T GB/T 2228621316-2007、 2008、磺胺类( 、沙丁胺醇: NY/T 761酯:GB 05-26 镉(以Cd计): 购进日期 22286-2008 克伦特罗: 总量):GB/T GB/T 22286- 合格 2008(第1部分 23200.113GB 5009.15:2021- 2008、莱克多 巴胺:GB/T GB/T 2228621316-2007、 2008、磺胺类( 方法二)、甲 2018、毒死蜱 2014、氧乐果 05-26 铅(以Pb计):G 购进日期 合格 22286-2008 克伦特罗: 总量):GB/T 胺磷:NY/T :GB761:NY/T 5009.12-201 :2021- B2008、莱克多 巴胺:GB/T GB/T 2228621316-2007、 761-2008(第1 23200.1132008(第1部分 7(第二法)、亚 05-26 镉(以Cd计): 购进日期 22286-2008 2008、莱克多 克伦特罗: 方法二) 合格 2018、氧乐果 方法二)、克 硫酸盐(以SO₂ GB 5009.15:2021- 部分 巴胺:GB/T GB/T 22286、阿维菌素: :GB 百威:NY/T 2014、氧乐果 05-25 计):GB 5009. 水胺硫磷: 购进日期 合格 22286-2008 2008、莱克多 GB 23200.1923200.113761-2008(第3 :NY/T 76134-2016、4-氯 NY/T 761:2021巴胺:GB/T 2016 2018、克百威 部分)、铅(以 苯氧乙酸钠(以 2008(第1部分 05-27 毒死蜱:NY/T 购进日期 22286-2008 :NY/T 761- 合格 Pb计):GB 4-氯苯氧乙酸 方法二)、敌 761-2008(第1 :2021- 方法二)、克 2008(第3部分 5009.12-2017( 百威:NY/T 计):SN/T 372 敌畏:NY/T 部分 方法二) 05-26 甜蜜素(以环己 加工日期 合格 )、敌敌畏: 第二法)、甲 761-2008(第3 5-2013、6-苄 761-2008(第1 、氧乐果: :2021- 基氨基磺酸计) GB胺磷:NY/T 23200.113部分)、铅(以 基腺嘌呤(6-BA 部分 方法二) NY/T :76105-25 甜蜜素(以环己 加工日期 2018、水胺硫 761-2008(第1 Pb计):GB ):BJS 201703 合格 、甲胺磷: 2008(第1部分 GB 5009.97:2021- 基氨基磺酸计) 磷:GB 部分 方法二) 5009.12-2017( NY/T 761方法二)、甲 2016(第一法) : 05-25 加工日期 甜蜜素(以环己 合格 23200.113第二法)、甲 2008(第1部分 胺磷:NY/T 、安赛蜜: GB 5009.97:2021- 基氨基磺酸计) 2018、甲拌磷 胺磷:NY/T 方法二)、氧 761-2008(第1 GB/T 5009.1402016(第一法) : 05-25 甜蜜素(以环己 加工日期 :GB 761-2008(第1 乐果:NY/T 部分 方法二) 合格 2003、糖精钠( 、安赛蜜: GB 5009.97:2021- 基氨基磺酸计) 23200.113部分 方法二) 761-2008(第1 、阿维菌素: 以糖精计):GB 5009.1402016(第一法) : 05-25 GB/T 甜蜜素(以环己 加工日期 2018 部分 方法二) 合格 GB 23200.195009.28-2016( 2003、糖精钠( 、安赛蜜: GB 5009.97:2021- 基氨基磺酸计) 2016 第一法)、胭脂 以糖精计):GB 5009.1402016(第一法) : 05-25 GB/T 甜蜜素(以环己 加工日期 合格 红:GB 5009.28-2016( 2003、糖精钠( 、安赛蜜: GB 5009.97:2021- 基氨基磺酸计) 5009.35-2016 第一法)、胭脂 以糖精计):GB 5009.1402016(第一法) : 05-25 GB/T 甜蜜素(以环己 加工日期 合格 、柠檬黄:GB 红:GB 5009.28-2016( 、安赛蜜: GB 5009.97基氨基磺酸计) :2021- 2003、糖精钠( 5009.35-2016 第一法)、胭脂 以糖精计):GB 5009.1402016(第一法) : 05-25 GB/T 甜蜜素(以环己 加工日期 合格 、日落黄:GB 、柠檬黄:GB 红:GB 5009.28-2016( 、安赛蜜: GB 5009.97基氨基磺酸计) :2021- 2003、糖精钠( 5009.35-2016 第一法)、胭脂 以糖精计):GB 5009.1402016(第一法) : 05-25 GB/T 甜蜜素(以环己 加工日期 合格 、铅(以Pb计) 、日落黄:GB 、柠檬黄:GB 红:GB 2003、糖精钠( 、安赛蜜: GB 5009.97基氨基磺酸计) :2021- 5009.28-2016( :GB 5009.125009.35-2016 第一法)、胭脂 以糖精计):GB 5009.1402016(第一法) : 05-25 GB/T 甜蜜素(以环己 加工日期 合格 2017(第二法) 、铅(以Pb计) 、日落黄:GB 、柠檬黄:GB 红:GB 5009.28-2016( 2003、糖精钠( 、安赛蜜: GB 5009.97:2021- 基氨基磺酸计) 、苯甲酸及其 :GB 5009.125009.35-2016 第一法)、胭脂 以糖精计):GB GB/T 5009.1402016(第一法) : 05-25 加工日期 甜蜜素(以环己 合格 2017(第二法) 、铅(以Pb计) 、日落黄:GB 、柠檬黄:GB 红:GB 5009.28-2016( 2003、糖精钠( 、安赛蜜: GB 5009.97基氨基磺酸计) :2021- 钠盐(以苯甲酸 计):GB 、苯甲酸及其 :GB 5009.125009.35-2016 第一法)、胭脂 以糖精计):GB GB/T 5009.1402016(第一法) : 05-25 铅(以Pb计): 加工日期 合格 5009.28-2016( 2017(第二法) 、铅(以Pb计) 、日落黄:GB 、柠檬黄:GB 红:GB 5009.28-2016( 2003、糖精钠( 、安赛蜜: 5009.97GB 5009.12:2021- 钠盐(以苯甲酸 第一法) 计):GB 、苯甲酸及其 :GB 5009.125009.35-2016 第一法)、胭脂 以糖精计):GB 5009.1402016(第一法) 2017(第二法) 05-28 GB/T 铅(以Pb计): 加工日期 合格 5009.28-2016( 2017(第二法) 、铅(以Pb计) 、日落黄:GB 、柠檬黄:GB 红:GB 5009.28-2016( 2003、糖精钠( 、安赛蜜: 、甲醛次硫酸 GB 5009.12:2021- 钠盐(以苯甲酸 第一法) 计):GB 、苯甲酸及其 :GB 5009.125009.35-2016 第一法)、胭脂 以糖精计):GB 5009.140氢钠(以甲醛计 2017(第二法) 05-28 GB/T 二氧化硫残留 加工日期 合格 5009.28-2016( 钠盐(以苯甲酸 2017(第二法) 、铅(以Pb计) 、日落黄:GB 、柠檬黄:GB 红:GB 5009.28-2016( 2003、糖精钠( 21126、甲醛次硫酸 量:GB :2021- ):GB/T 第一法) 计):GB 、苯甲酸及其 :GB 5009.125009.35-2016 第一法)、胭脂 以糖精计):GB 2007、硼酸: 氢钠(以甲醛计 5009.34-2016 05-28 甜蜜素(以环己 加工日期 合格 5009.28-2016( 钠盐(以苯甲酸 2017(第二法) 、铅(以Pb计) 、日落黄:GB 、柠檬黄:GB 红:GB 5009.28-2016( GB 5009.27521126、铅(以Pb计) 基氨基磺酸计) :2021- ):GB/T 第一法) 计):GB 、苯甲酸及其 :GB 5009.125009.35-2016 第一法)、胭脂 2016、二氧化 2007、硼酸: : 05-27 甜蜜素(以环己 加工日期 合格 5009.28-2016( 2017(第二法) 、铅(以Pb计) 、日落黄:GB 、柠檬黄:GB 红:GB 硫残留量:GB GB 5009.12GB 5009.2755009.97基氨基磺酸计) :2021- 钠盐(以苯甲酸 第一法) 计):GB 、苯甲酸及其 :GB 5009.125009.35-2016 5009.34-2016 2016、二氧化 2017(第二法) 2016(第一法) : 05-27 甜蜜素(以环己 加工日期 合格 5009.28-2016( 2017(第二法) 、铅(以Pb计) 、日落黄:GB 、柠檬黄:GB 硫残留量:GB 、苯甲酸及其 、安赛蜜: GB 5009.97基氨基磺酸计) :2021- 钠盐(以苯甲酸 第一法) 计):GB 、苯甲酸及其 :GB 5009.125009.35-2016 5009.34-2016 钠盐(以苯甲酸 5009.1402016(第一法) : 05-27 GB/T 5009.28-2016( 钠盐(以苯甲酸 2017(第二法) 、铅(以Pb计) 、日落黄:GB 计):GB 2003、糖精钠( 、安赛蜜: GB 5009.97第一法) 计):GB 、苯甲酸及其 :GB 5009.125009.35-2016 5009.28-2016( 以糖精计):GB GB/T 5009.1402016(第一法) 5009.28-2016( 钠盐(以苯甲酸 2017(第二法) 、铅(以Pb计) 第一法)、山梨 5009.28-2016( 2003、糖精钠( 食用农 产品 食用农 产品 食用农 产品 食用农 产品 食用农 产品 食用农 产品 食用农 产品 食用农 产品 食用农 产品 食用农 产品 食用农 产品 食用农 产品 餐饮食 品 餐饮食 品 餐饮食 品 餐饮食 品 餐饮食 品 餐饮食 品 餐饮食 品 餐饮食 品 餐饮食 品 餐饮食 品 餐饮食 品 餐饮食 品 餐饮食 品 餐饮食 品 餐饮食 品 餐饮食 品 餐饮食 品 流通 2021-05-27 广东中检 达元检测 技术有限 流通 2021-05-27 广东中检 公司 达元检测 技术有限 广东中检 流通 2021-05-27 公司 达元检测 技术有限 广东中检 流通 2021-05-27 公司 达元检测 技术有限 广东中检 餐饮 2021-05-27 公司 达元检测 技术有限 流通 2021-05-26 广东中检 公司 达元检测 技术有限 广东中检 流通 2021-05-26 公司 达元检测 技术有限 广东中检 流通 2021-05-26 公司 达元检测 技术有限 广东中检 流通 2021-05-26 公司 达元检测 技术有限 广东中检 流通 2021-05-26 公司 达元检测 技术有限 广东中检 餐饮 2021-05-27 公司 达元检测 技术有限 广东中检 流通 2021-05-27 公司 达元检测 技术有限 餐饮 2021-05-25 广东中检 公司 达元检测 技术有限 广东中检 餐饮 2021-05-25 公司 达元检测 技术有限 广东中检 餐饮 2021-05-25 公司 达元检测 技术有限 广东中检 餐饮 2021-05-25 公司 达元检测 技术有限 广东中检 餐饮 2021-05-25 公司 达元检测 技术有限 广东中检 餐饮 2021-05-25 公司 达元检测 技术有限 广东中检 餐饮 2021-05-25 公司 达元检测 技术有限 广东中检 餐饮 2021-05-25 公司 达元检测 技术有限 餐饮 2021-05-25 广东中检 公司 达元检测 技术有限 广东中检 餐饮 2021-05-25 公司 达元检测 技术有限 广东中检 餐饮 2021-05-25 公司 达元检测 技术有限 广东中检 餐饮 2021-05-28 公司 达元检测 技术有限 广东中检 餐饮 2021-05-28 公司 达元检测 技术有限 广东中检 餐饮 2021-05-28 公司 达元检测 技术有限 广东中检 餐饮 2021-05-27 公司 达元检测 技术有限 餐饮 2021-05-27 广东中检 公司 达元检测 技术有限 餐饮 2021-05-27 广东中检 公司 达元检测 技术有限 公司 434 XC214406 07613334 444 435 XC214406 07613334 445 436 XC214406 07613334 446 437 XC214406 07613334 447 438 XC214406 07613334 448 439 XC214406 07613334 449 440 XC214406 07613334 450 441 XC214406 07613334 452 442 XC214406 07613334 453 443 XC214406 07613334 454 444 XC214406 07613334 XC21440607 451 445 446 447 448 449 450 451 452 453 454 455 456 457 458 459 460 461 462 613332800 XC21440607 613332801 XC21440607 613332820 XC21440607 613332831 XC21440607 613332802 XC21440607 613332804 XC21440607 613332822 XC21440607 613332821 XC21440607 613332847 XC21440607 613332803 XC21440607 613332805 XC21440607 613332839 XC21440607 613332832 XC21440607 613332828 XC21440607 613332829 XC21440607 613332807 XC21440607 613332808 XC21440607 613332806 云东 海街 道 云东 海街 道 云东 海街 道 云东 海街 道 云东 海街 道 云东 海街 道 云东 海街 道 云东 海街 道 云东 海街 道 云东 海街 道 云东 海街 乐平 道 镇 乐平 镇 乐平 镇 乐平 镇 乐平 镇 乐平 镇 乐平 镇 乐平 镇 乐平 镇 乐平 镇 乐平 镇 乐平 镇 乐平 镇 乐平 镇 乐平 镇 乐平 镇 乐平 镇 乐平 镇 / / / / / / / / / / / 佛山市三水区芒心 佛山市三水区 奶茶店 云东海街道南 佛山市三水区芒心 佛山市三水区 丰大道13号三 / 奶茶店 水万达广场二 云东海街道南 座1034号铺( 佛山市三水区云东 佛山市三水区 丰大道13号三 / 住所申报) 海街道懒猪奶茶店 云东海街道南 水万达广场二 座1034号铺( 佛山市三水区云东 佛山市三水区 丰大道13号三 / 住所申报) 海街道懒猪奶茶店 水万达广场2座 云东海街道南 1025(住所申 佛山市三水区云东 佛山市三水区 丰大道13号三 / 报) 海街道懒猪奶茶店 水万达广场2座 云东海街道南 1025(住所申 佛山市三水区云东 佛山市三水区 丰大道13号三 / 报) 海街道懒猪奶茶店 水万达广场2座 云东海街道南 1025(住所申 佛山市三水区云东 佛山市三水区 丰大道13号三 / 报) 海街道懒猪奶茶店 水万达广场2座 云东海街道南 佛山市三水区盛浩 1025(住所申 丰大道13号三 佛山市三水区 / 报) 楷餐饮店 水万达广场2座 云东海街道南 1025(住所申 丰大道1号7座 佛山市三水区云东 佛山市三水区 / 报) 海街道胡荣灶小食 101(住所申报 云东海街道南 ) 店 丰大道1号七座 佛山市三水区云东 佛山市三水区 / 102 海街道胡荣灶小食 云东海街道南 佛山市三水区盛浩 丰大道1号七座 店 佛山市三水区 / 楷餐饮店 102 云东海街道南 丰大道1号7座 佛山市三 佛山市三水区乐平 佛山市三水区乐 平镇盘龙中路 水区西南 小星星英语实验幼 101(住所申报 ) 佛山市三水区乐 街道对外 佛山市三水区乐平 儿园 佛山市三 / 佛山市三水区国 粮粮油有限公司 佛山市三水区范 经济开发 湖粮食储备有限 水区乐平 区西29区 佛山市三水区国 公司 镇范湖金 佛山市三 之一、之 粮粮油有限公司 水区西南 缸路25号 二和西30 佛山市海天(高 街道对外 广东省佛 区 经济开发 明)调味食品有 山市高明 区西29区 限公司 区沧江工 固始县胡 固始县李民富米 之一之二 业园东园 业有限责任公司 族铺镇三 和西30区 角店 (原民富精米厂 广州市从 【代码JK】广州 ) 市从化区街口粮 化区城郊 广州增城区新塘 食管理所 街横江路 广州市增 粮食管理所 新庄自编 城新塘镇 30号 佛山市九兴植物 建设路146 佛山市南 食用油有限公司 海区狮山 号 镇科技工 / / 业园C区恒 佛山市南海区恒 兴北路1号 佛山市南 运大米加工厂 (一号车间 海区大沥 )之一 佛山市南海区嘉 镇盐步河 佛山市南 粮精米加工厂 西兴隆工 海区大沥 东莞市全家福调 业区内自 镇盐步河 东莞市中 编2号 味品有限公司 东建和村 堂镇蕉利 金珠三角 南坊管理 佛山市海天(高 广东省佛 粮油物流 区 明)调味食品有 山市高明 中心西边 限公司 区沧江工 中储粮油脂工业 东莞市麻 业园东园 东莞有限公司 货场自编1 涌镇新沙 号 佛山市伟达粮油 广东省佛 港后工业 食品有限公司 园 山市南海 佛山市三水乐福 佛山市三 区九江龙 米业有限公司 高路工业 水区乐平 园(敦根 肇庆高新区金福 肇庆市大 镇乐平大 段) 源粮食加工厂 道50号 旺区迎宾 佛山市三水乐福 佛山市三 大道鑫旺 米业有限公司 电子有限 水区乐平 公司新厂 镇乐平大 房自编30 道50号 号(邮政 银行斜对 小星星英语实验幼 儿园 佛山市三水区乐平 小星星英语实验幼 佛山市三水区乐平 儿园 中学(新校区) 佛山市三水区乐平 镇蓝贝贝幼儿园食 佛山市三水区乐平 堂 中学(新校区) 佛山市三水区乐平 中学(新校区) 佛山市三水区乐平 海豚音伟才幼儿园 托幼食堂 佛山市三水区乐平 镇蓝贝贝幼儿园食 堂 佛山市三水区乐平 海豚音伟才幼儿园 广州工商学院(三 托幼食堂 水校区)第三食堂 广州工商学院(三 水校区)第三食堂 佛山市三水区乐平 镇保安小学学校食 堂 广州工商学院(三 水校区)第二食堂 佛山市三水区南边 学校食堂 小英杰幼儿园食堂 佛山市三水区乐平 镇南边小学饭堂 广州工商学院(三 水校区)第四食堂 学校食堂 佛山市三水区乐平 黄塘幼儿园托幼机 构食堂 珍珠奶茶 / 益禾烤奶 / 百香益力 多 / 葡萄果茶 / 芋圆奶茶 / 鲜柠檬红 茶 / 招牌奶茶 / 细米粉 / 桂林米粉 / 细米粉 / 河粉 / 软米 / 大米 平镇盘龙中路 佛山市三水区乐 穗生食用植 平镇盘龙中路 物调和油 佛山市三水区乐 海天酱油金 平镇孜学路 标生抽 佛山市三水区乐 民富仙软米 平镇乐源路11号 佛山市三水区乐 七桂早米 平镇孜学路 佛山市三水区乐 花生油 平镇孜学路 佛山市三水区乐 花生油 平镇华盛广场3号 佛山市三水区乐 楼 油麦菜 平镇乐源路11号 佛山市三水区乐 恒运—仙桃 平镇华盛广场3号 王米(大米 佛山市三水区乐 楼 ) 农科软米 平镇范湖开发区 佛山市三水区乐 红油豆瓣 平镇范湖开发区 佛山市三水区乐 柱侯酱(酿 平镇保安村委会 造酱) 佛山市三水中心 食用植物调 和油 科技工业区范湖 开发区西区A-9号 佛山市三水区南 压榨花生油 边宾馆路二座31 乐福小龙粘 号 佛山市三水区乐 米 平镇南边工业大 道54号 佛山市三水中心 聚福软香米 科技工业区范湖 小区西区A-9号( 佛山市三水区乐 乐福粥米 F8) 平镇保安村委黄 塘圩 / / / / / / / / / / / / / / / / / 加工日期 甜蜜素(以环己 合格 :2021- 基氨基磺酸计) : 05-27 甜蜜素(以环己 加工日期 / 合格 GB 5009.97:2021- 基氨基磺酸计) 2016(第一法) : 05-27 甜蜜素(以环己 加工日期 / 合格 、安赛蜜: GB 5009.97:2021- 基氨基磺酸计) 5009.1402016(第一法) : 05-27 GB/T 甜蜜素(以环己 加工日期 / 合格 、安赛蜜: GB 5009.97基氨基磺酸计) :2021- 2003、糖精钠( 以糖精计):GB 5009.1402016(第一法) : 05-27 GB/T 甜蜜素(以环己 加工日期 / 合格 5009.28-2016( 、安赛蜜: GB 5009.97基氨基磺酸计) :2021- 2003、糖精钠( 第一法)、胭脂 以糖精计):GB 5009.1402016(第一法) : 05-27 GB/T 甜蜜素(以环己 加工日期 / 合格 红:GB 2003、糖精钠( 、安赛蜜: GB 5009.97基氨基磺酸计) :2021- 5009.28-2016( 5009.35-2016 第一法)、胭脂 以糖精计):GB 5009.1402016(第一法) : 05-27 GB/T 甜蜜素(以环己 加工日期 / 合格 、柠檬黄:GB 红:GB 5009.28-2016( 2003、糖精钠( 、安赛蜜: GB 5009.97:2021- 基氨基磺酸计) 5009.35-2016 第一法)、胭脂 以糖精计):GB GB/T 5009.1402016(第一法) : 05-27 二氧化硫残留 加工日期 / 合格 、日落黄:GB 、柠檬黄:GB 红:GB 5009.28-2016( 、安赛蜜: GB 5009.97量:GB :2021- 2003、糖精钠( 5009.35-2016 第一法)、胭脂 以糖精计):GB GB/T 5009.1402016(第一法) 5009.34-2016 05-27 二氧化硫残留 加工日期 / 合格 、铅(以Pb计) 、日落黄:GB 、柠檬黄:GB 红:GB 5009.28-2016( 、安赛蜜: 、铅(以Pb计) 量:GB :2021- 2003、糖精钠( :GB 5009.125009.35-2016 第一法)、胭脂 以糖精计):GB 5009.140: 5009.34-2016 05-27 GB/T 二氧化硫残留 加工日期 / 合格 2017(第二法) 、铅(以Pb计) 、日落黄:GB 、柠檬黄:GB 红:GB 5009.28-2016( GB 量:GB 5009.12、铅(以Pb计) :2021- 2003、糖精钠( 、苯甲酸及其 :GB 5009.125009.35-2016 第一法)、胭脂 以糖精计):GB 2017(第二法) : 5009.34-2016 05-27 铅(以Pb计): 加工日期 / 合格 2017(第二法) 、铅(以Pb计) 、日落黄:GB 、柠檬黄:GB 5009.28-2016( 、苯甲酸及其 GB 红:GB 5009.12、铅(以Pb计) :2021- 钠盐(以苯甲酸 计):GB 、苯甲酸及其 :GB 5009.125009.35-2016 第一法)、胭脂 钠盐(以苯甲酸 : 禾雀花及图 生产日期 2017(第二法) 05-27 镉(以Cd计)、黄 合格 5009.28-2016( 钠盐(以苯甲酸 2017(第二法) 、铅(以Pb计) 、日落黄:GB 、柠檬黄:GB 红:GB 、苯甲酸及其 GB计):GB 5009.12形 2021/4/21 曲霉毒素B₁、铅( 、甲醛次硫酸 第一法) 计):GB 、苯甲酸及其 :GB 5009.125009.35-2016 5009.28-2016( 钠盐(以苯甲酸 2017(第二法) 禾雀花及图 生产日期 氢钠(以甲醛计 镉(以Cd计)、黄 以Pb计) 合格 5009.28-2016( 钠盐(以苯甲酸 2017(第二法) 、铅(以Pb计) 、日落黄:GB 、柠檬黄:GB 第一法)、山梨 计):GB 、苯甲酸及其 21126形 2021-04-16 ):GB/T 曲霉毒素B₁、铅( 第一法) 计):GB 、苯甲酸及其 :GB 5009.125009.35-2016 酸及其钾盐(以 5009.28-2016( 2007、硼酸: 穗生牌及图 生产日期 钠盐(以苯甲酸 溶剂残留量、酸 以Pb计) 5009.28-2016( 钠盐(以苯甲酸 2017(第二法) 、铅(以Pb计) 、日落黄:GB 山梨酸计):GB 第一法)、山梨 GB 计):GB 5009.275- 合格 形 2021-03-17 价(KOH)、过氧化 第一法) 计):GB 、苯甲酸及其 :GB 5009.125009.35-2016 酸及其钾盐(以 5009.28-2016( 2016、二氧化 生产日期 氨基酸态氮(以氮 值、特丁基对苯 / 5009.28-2016( 钠盐(以苯甲酸 2017(第二法) 、铅(以Pb计) 第一法)、脱氢 山梨酸计):GB 第一法)、山梨 硫残留量:GB 合格 2021-01-22 计)、大肠菌群、 二酚(TBHQ)、铅( 第一法) 计):GB 、苯甲酸及其 :GB 5009.12乙酸及其钠盐( 5009.28-2016( 酸及其钾盐(以 5009.34-2016 以Pb计)、苯并 生产日期 对羟基苯甲酸酯 镉(以Cd计)、黄 民富仙 合格 5009.28-2016( 钠盐(以苯甲酸 2017(第二法) 以脱氢乙酸计) 第一法)、脱氢 山梨酸计):GB [a]芘 2021-04-07 类及其钠盐(以对 曲霉毒素B₁、铅( 第一法) 计):GB 、苯甲酸及其 :GB 5009.121乙酸及其钠盐( 5009.28-2016( 羟基苯甲酸计)、 生产日期 镉(以Cd计)、黄 以Pb计) 金谷粮友 5009.28-2016( 钠盐(以苯甲酸 2016(第二法) 合格 以脱氢乙酸计) 第一法)、脱氢 苯甲酸及其钠盐 2021-04-06 曲霉毒素B₁、铅( 第一法) 计):GB 5009.121乙酸及其钠盐( (以苯甲酸计) 生产日期 :GB 酸价(KOH)、过氧 以Pb计) 新穗及图形 5009.28-2016( 2016(第二法) 合格 以脱氢乙酸计) 2021-03-05 、山梨酸及其钾 化值、铅(以Pb计 第一法) 5009.121盐(以山梨酸计) 生产日期 :GB )、黄曲霉毒素B₁ 酸值/酸价、过氧 家乐厨 合格 2016(第二法) 2021-03-16 、脱氢乙酸及其 化值、铅(以Pb计 、苯并[a]芘、特 / 购进日期 钠盐(以脱氢乙酸 )、黄曲霉毒素B₁ 丁基对苯二酚(TB 啶虫脒、氯氟氰 2021-04-27 计) HQ) 菊酯和高效氯氟 、苯并[a]芘、特 生产日期 丁基对苯二酚(TB 氰菊酯、阿维菌 镉(以Cd计)、黄 / 2021-03-26 曲霉毒素B₁、铅( 素、氟虫腈、甲 HQ) 生产日期 拌磷、克百威、 镉(以Cd计)、黄 以Pb计) 偉福及图形 氧乐果 2021-04-10 曲霉毒素B₁、铅( 生产日期 黄曲霉毒素B₁、 以Pb计) 好巴食 2021-01-25 苯甲酸及其钠盐( 生产日期 以苯甲酸计)、山 黄曲霉毒素B₁、 / 2020-11-17 苯甲酸及其钠盐( 梨酸及其钾盐(以 生产日期 以苯甲酸计)、山 山梨酸计)、脱氢 溶剂残留量、酸 淳香及图案 2021-04-12 价(KOH)、过氧化 乙酸及其钠盐(以 梨酸及其钾盐(以 脱氢乙酸计) 生产日期 酸价(KOH)、过氧 值、特丁基对苯 山梨酸计)、脱氢 粮源 2021-01-08 二酚(TBHQ)、铅( 乙酸及其钠盐(以 化值、铅(以Pb计 以Pb计)、苯并 脱氢乙酸计) 郑乐氏福及 生产日期 )、黄曲霉毒素B₁ 镉(以Cd计)、黄 [a]芘 图形 2021-04-15 、苯并[a]芘、特 曲霉毒素B₁、铅( 生产日期 丁基对苯二酚(TB 镉(以Cd计)、黄 以Pb计) / 2021-04-05 曲霉毒素B₁、铅( HQ) 郑乐氏福及 生产日期 镉(以Cd计)、黄 以Pb计) 图形 2021-03-26 曲霉毒素B₁、铅( 以Pb计) / 合格 合格 合格 餐饮食 品 餐饮食 品 餐饮食 品 餐饮食 品 餐饮食 品 餐饮食 品 餐饮食 品 餐饮食 品 餐饮食 品 餐饮食 品 餐饮食 品 粮食加 工品 粮食加 工品 食用油 、油脂 及其制 调味品 品 粮食加 工品 粮食加 工品 食用油 、油脂 及其制 食用油 品 、油脂 食用农 及其制 产品 品 粮食加 工品 粮食加 工品 餐饮 2021-05-27 广东中检 达元检测 技术有限 餐饮 2021-05-27 广东中检 公司 达元检测 技术有限 广东中检 餐饮 2021-05-27 公司 达元检测 技术有限 广东中检 餐饮 2021-05-27 公司 达元检测 技术有限 广东中检 餐饮 2021-05-27 公司 达元检测 技术有限 餐饮 2021-05-27 广东中检 公司 达元检测 技术有限 广东中检 餐饮 2021-05-27 公司 达元检测 技术有限 广东中检 餐饮 2021-05-27 公司 达元检测 技术有限 广东中检 餐饮 2021-05-27 公司 达元检测 技术有限 广东中检 餐饮 2021-05-27 公司 达元检测 技术有限 广东中检 餐饮 2021-05-27 公司 达元检测 技术有限 广东中检达 餐饮 2021-04-26 公司 元检测技术 餐饮 2021-04-26 餐饮 2021-04-26 餐饮 2021-04-27 餐饮 2021-04-27 餐饮 2021-04-27 餐饮 2021-04-27 餐饮 2021-04-27 餐饮 2021-04-27 餐饮 2021-04-27 餐饮 2021-04-28 合格 调味品 餐饮 2021-04-28 合格 调味品 餐饮 2021-04-29 餐饮 2021-04-29 餐饮 2021-04-29 餐饮 2021-04-29 餐饮 2021-04-29 餐饮 2021-04-29 合格 合格 合格 合格 合格 食用油 、油脂 及其制 食用油 品 、油脂 粮食加 及其制 工品 品 粮食加 工品 粮食加 工品 有限公司 广东中检达 元检测技术 有限公司 广东中检达 元检测技术 有限公司 广东中检达 元检测技术 有限公司 广东中检达 元检测技术 有限公司 广东中检达 元检测技术 有限公司 广东中检达 元检测技术 有限公司 广东中检达 元检测技术 有限公司 广东中检达 元检测技术 有限公司 广东中检达 元检测技术 有限公司 广东中检达 元检测技术 有限公司 广东中检达 元检测技术 有限公司 广东中检达 元检测技术 有限公司 广东中检达 元检测技术 有限公司 广东中检达 元检测技术 有限公司 广东中检达 元检测技术 有限公司 广东中检达 元检测技术 有限公司 广东中检达 元检测技术 有限公司 463 464 465 466 467 468 469 470 471 472 473 474 475 476 477 478 479 480 481 482 483 484 485 486 487 488 489 490 491 XC21440607 613332833 XC21440607 613332809 XC21440607 613332824 XC21440607 613332827 XC21440607 613332823 XC21440607 613332810 XC21440607 613332818 XC21440607 613332819 XC21440607 613332816 XC21440607 613332838 XC21440607 613332870 XC21440607 613332817 XC21440607 613332837 XC21440607 613332826 XC21440607 613332812 XC21440607 613332834 XC21440607 613332815 XC21440607 613332825 XC21440607 613332835 XC21440607 613332813 XC21440607 613332814 XC21440607 613332836 XC21440607 613332811 NCP2144060 7613332855 NCP2144060 7613332857 NCP2144060 7613332856 NCP2144060 7613332854 NCP2144060 7613332864 NCP2144060 7613332863 乐平 镇 乐平 镇 乐平 镇 乐平 镇 乐平 镇 乐平 镇 乐平 镇 乐平 镇 乐平 镇 乐平 镇 乐平 镇 乐平 镇 乐平 镇 乐平 镇 乐平 镇 乐平 镇 乐平 镇 乐平 镇 乐平 镇 乐平 镇 乐平 镇 乐平 镇 乐平 镇 乐平 镇 乐平 镇 乐平 镇 乐平 镇 乐平 镇 乐平 镇 佛山市海天(高明 广东省佛 )调味食品有限 山市高明 监利县鑫星米业 公司 区沧江工 湖北监利 有限公司 业园东园 县大垸农 广东鹰唛食品有 中山市南 场西湖分 限公司 场 区渡兴西 广州增城区三江 广州市增 路 粮食管理所 城石滩镇 广东鹰唛食品有 中山市南 三江和平 限公司 路43号 区渡兴西 佛山市三水乐福 佛山市三 路 米业有限公司 水区乐平 佛山市三水乐福 镇乐平大 佛山市三 米业有限公司 道50号 水区乐平 佛山市南海恒运 佛山市南 镇乐平大 大米加工厂 道50号 海区大沥 湖南生平米业股 湖南省郴 镇盐步河 份有限公司 西兴隆工 州市安仁 业区内自 佛山市广古调味 县灵官镇 广东省佛 编2号 品有限公司 双牌山 山市三水 佛山市广古调味 广东省佛 中心科技 品有限公司 工业区芦 山市三水 佛山市三水乐福 苞园C区12中心科技 佛山市三 9号 米业有限公司 工业区芦 水区乐平 镇乐平大 佛山市海天(高 苞园C区12广东省佛 9号 道50号 明)调味食品有 山市高明 限公司 区沧江工 益海(广州)粮 广州经济 业园东园 油工业有限公司 技术开发 区东江大 沭阳县七 沭阳县金宝米厂 道2号 雄镇工业 园 佛山市海天(高 广东省佛 明)调味食品有 山市高明 佛山市三水区国 限公司 区沧江工 佛山市三 粮粮油有限公司 水区西南 业园东园 中粮(东莞)粮 广东省东 街道对外 油工业有限公司 莞市麻涌 经济开发 区西29区 镇新沙公 佛山市海天(高 广东省佛 园路11号 明)调味食品有 之一、之 山市高明 二和西30 限公司 区沧江工 固始县胡 固始县李民富米 区 业园东园 业有限责任公司 族铺镇三 佛山市三水区国 角店 (原民富精米厂 佛山市三 粮粮油有限公司 ) 水区西南 成都川友调味品 街道对外 成都市郫 有限公司 经济开发 都区德源 区西29区 佛山市南海区聚 镇永光村6 佛山市南 之一、之 福源米业加工厂 海区大沥 组301号 二和西30 镇联安经 / / 区 济合作社 (土名) / / “三中东 ”地段的 / / 厂房C栋 / / / / / / 佛山市三水区睿星 实验幼儿园 佛山市三水区卡卓 儿托育有限公司 佛山市三水区睿星 实验幼儿园 佛山市三水区乐平 时代幼儿园托幼食 佛山市三水区卡卓 堂 儿托育有限公司 佛山市三水区乐平 时代幼儿园托幼食 堂 佛山市三水区乐平 镇三江小学学校食 佛山市三水区乐平 堂 镇海佳幼儿园食堂 佛山市三水区乐平 镇海佳文武学校 佛山市三水区乐平 镇海佳文武学校 佛山市三水区乐平 镇海佳幼儿园食堂 佛山市三水区乐平 镇三江小学学校食 堂 佛山市三水区翰苑 实验幼儿园有限公 佛山职业技术学院 司托幼食堂 第一食堂学校食堂 佛山职业技术学院 第一食堂学校食堂 佛山市三水区乐平 镇中心幼儿园 佛山市三水区翰苑 实验幼儿园有限公 佛山职业技术学院 司托幼食堂 第二食堂学校食堂 佛山市三水区理工 (技工)学校学校 佛山市三水区乐平 食堂 镇中心幼儿园 佛山市三水区理工 (技工)学校学校 食堂 佛山市三水区理工 (技工)学校学校 佛山职业技术学院 食堂 第二食堂学校食堂 佛山市三水区乐平 镇范湖小学学校食 佛山市三水区乐平 堂 中学学校食堂 佛山市三水区乐平 镇华星中英文学校 学校食堂 佛山市三水区乐平 镇湖湾幼儿园托幼 食堂 佛山市三水区乐平 镇源潭小学学校食 堂 佛山市三水区乐平 镇中心小学学校食 堂 佛山市三水区乐 柱侯酱(酿 造酱) 平镇三溪智信大 红桃软香米 道 佛山市三水区乐 平镇三江公路23 (籼米) 号百合嘉园百兴 佛山市三水区乐 鹰唛花生油 阁102 平镇三溪智信大 佛山市三水区乐 道 乐福纯香花 平宝盈时代广场 生油压榨一 级 佛山市三水区乐 鹰唛玉米油 平镇三江公路23 佛山市三水区乐 号百合嘉园百兴 乐福阿娇靓 平宝盈时代广场 米 阁102 佛山市三水区乐 乐福农家鲜 平镇三江村 米 佛山市三水区三 恒运-仙桃 江高岗村原高岗 王米(大米 小学 ) 佛山市三水区乐 江西大米 平镇三江村委海 甘和味草菇 洲村 佛山市三水区乐 老抽 平镇三江村委海 洲村 佛山市三水区三 金标生抽 江高岗村原高岗 佛山市三水区乐 乐福鼠牙软 小学 平镇三江村 粘米 佛山市三水区乐 海天酱油金 标生抽 平镇南边城区A区 佛山市三水区乐 3号 龍旗棕榈油 平镇职教路3号 佛山市三水区乐 大米 平镇职教路3号 佛山市三水区乐 海天酱油金 标生抽 平镇齐力大道北2 号玖玥花园14座 佛山市三水区乐 软米 平镇南边城区A区 佛山市三水区乐 大烹食用植 3号 平镇学院路1号 物调和油 佛山市三水区乐 海鲜酱(酿 造酱) 平镇小迳村西南 面 佛山市三水区乐 民富仙软米 平镇齐力大道北2 号玖玥花园14座 佛山市三水区乐 金雀丝苗米 平镇小迳村西南 鹃蕊红油郫 面 佛山市三水区乐 县豆瓣 平镇小迳村西南 佛山市三水区乐 星源马坝油 面 平镇学院路1号 粘米 佛山市三水区乐 猪肉 平镇范湖育才路1 号 佛山市三水区乐 猪肉 平镇乐平大道23 号 佛山市三水区乐 猪肉 平镇范湖龙眼园 村 佛山市三水区乐 猪肉 平镇范湖新政路 佛山市三水区乐 12号御澳湾豪庭7 生姜 平镇源潭圩1号 号楼 佛山市三水区乐 生姜 平镇新乐南路口 / / / / / / / / / / / / / / / / / / / / / / / / / / / / / 生产日期 黄曲霉毒素B₁、 2021-01-31 苯甲酸及其钠盐( 湖鑫星及图 生产日期 以苯甲酸计)、山 镉(以Cd计)、黄 形 2021-04-30 梨酸及其钾盐(以 曲霉毒素B₁、铅( 生产日期 酸价(KOH)、过氧 山梨酸计)、脱氢 以Pb计) 鹰唛及图形 2021-01-06 乙酸及其钠盐(以 化值、铅(以Pb计 脱氢乙酸计) 郑乐氏福及 生产日期 酸价(KOH)、过氧 )、黄曲霉毒素B₁ 图形 2021-04-10 化值、铅(以Pb计 、苯并[a]芘、特 生产日期 酸价(以KOH计)、 )、黄曲霉毒素B₁ 丁基对苯二酚(TB 鹰唛及图形 2021-01-12 过氧化值、铅(以 HQ) 、苯并[a]芘、特 郑乐氏福及 生产日期 Pb计)、黄曲霉毒 丁基对苯二酚(TB 镉(以Cd计)、黄 图形 2021-04-21 曲霉毒素B₁、铅( 素B₁、苯并[a]芘 HQ) 郑乐氏福及 生产日期 、特丁基对苯二 镉(以Cd计)、黄 以Pb计) 图形 2021-04-21 曲霉毒素B₁、铅( 酚(TBHQ) 生产日期 镉(以Cd计)、黄 以Pb计) / 2021-04-10 曲霉毒素B₁、铅( 生产日期 镉(以Cd计)、黄 以Pb计) 湘皇及图形 2021-01-24 曲霉毒素B₁、铅( 甘和味及图 生产日期 苯甲酸及其钠盐( 以Pb计) 形 2021-03-28 以苯甲酸计)、山 甘和味及图 生产日期 苯甲酸及其钠盐( 梨酸及其钾盐(以 形 2021-03-01 山梨酸计)、脱氢 以苯甲酸计)、山 乙酸及其钠盐(以 郑乐氏福及 生产日期 梨酸及其钾盐(以 镉(以Cd计)、黄 图形 2021-04-23 脱氢乙酸计)、糖 山梨酸计)、脱氢 曲霉毒素B₁、铅( 精钠(以糖精计) 乙酸及其钠盐(以 生产日期 氨基酸态氮、对 以Pb计) / 、甜蜜素(以环己 脱氢乙酸计)、糖 2020-11-16 羟基苯甲酸酯类 基氨基磺酸计) 精钠(以糖精计) 生产日期 及其钠盐(以对羟 过氧化值、溶剂 / 、甜蜜素(以环己 2021-04-26 基苯甲酸计)、苯 残留量、铅(以Pb 基氨基磺酸计) 生产日期 甲酸及其钠盐( 计)、苯并[a]芘 镉(以Cd计)、黄 / 2021-02-02 以苯甲酸计) 、特丁基对苯二 曲霉毒素B₁、铅( 酚(TBHQ)、酸价 生产日期 、山梨酸及其钾 氨基酸态氮、对 以Pb计) / 2021-01-26 盐(以山梨酸计) 羟基苯甲酸酯类 禾雀花及图 生产日期 、脱氢乙酸及其 及其钠盐(以对羟 镉(以Cd计)、黄 形 2021-03-31 钠盐(以脱氢乙酸 基苯甲酸计) 曲霉毒素B₁、铅( 、苯甲酸及其钠 生产日期 计) 溶剂残留量、酸 以Pb计) 大烹 盐(以苯甲酸计 2021-04-07 价(KOH)、过氧化 )、山梨酸及其 生产日期 黄曲霉毒素B₁、 值、特丁基对苯 / 钾盐(以山梨酸计 2020-11-10 苯甲酸及其钠盐( 二酚(TBHQ)、铅( )、脱氢乙酸及其 以Pb计)、苯并 民富仙加图 生产日期 以苯甲酸计)、山 镉(以Cd计)、黄 钠盐(以脱氢乙酸 [a]芘 形 2021-04-03 梨酸及其钾盐(以 曲霉毒素B₁、铅( 计) 禾雀花及图 生产日期 山梨酸计)、脱氢 镉(以Cd计)、黄 以Pb计) 形 2021-04-22 乙酸及其钠盐(以 曲霉毒素B₁、铅( 生产日期 脱氢乙酸计) 黄曲霉毒素B₁、 以Pb计) 鹃蕊及图形 2021-02-01 苯甲酸及其钠盐( 老友聚福源 生产日期 以苯甲酸计)、山 镉(以Cd计)、黄 及图形 2021-04-16 梨酸及其钾盐(以 曲霉毒素B₁、铅( 购进日期 山梨酸计)、脱氢 恩诺沙星、氯霉 以Pb计) / 2021-04-28 乙酸及其钠盐(以 素、沙丁胺醇、 脱氢乙酸计) 购进日期 恩诺沙星、氯霉 磺胺类(总量)、 / 2021-04-28 素、沙丁胺醇、 呋喃西林代谢物 、呋喃妥因代谢 购进日期 恩诺沙星、氯霉 磺胺类(总量)、 / 物、甲砜霉素 2021-04-28 呋喃西林代谢物 素、沙丁胺醇、 、呋喃妥因代谢 购进日期 恩诺沙星、氯霉 磺胺类(总量)、 / 物、甲砜霉素 2021-04-28 素、沙丁胺醇、 呋喃西林代谢物 、呋喃妥因代谢 购进日期 氯氟氰菊酯和高 磺胺类(总量)、 / 物、甲砜霉素 2021-04-25 效氯氟氰菊酯、 呋喃西林代谢物 、呋喃妥因代谢 购进日期 铅(以Pb计)、镉( 氯氟氰菊酯和高 / 物、甲砜霉素 2021-04-26 以Cd计)、吡虫啉 效氯氟氰菊酯、 、噻虫嗪、联苯 铅(以Pb计)、镉( 菊酯 以Cd计)、吡虫啉 、噻虫嗪、联苯 / 合格 合格 合格 合格 合格 合格 合格 合格 合格 调味品 粮食加 工品 食用油 、油脂 及其制 食用油 品 、油脂 及其制 食用油 品 、油脂 粮食加 及其制 工品 品 粮食加 工品 粮食加 工品 粮食加 工品 餐饮 2021-04-30 餐饮 2021-04-30 餐饮 2021-04-30 餐饮 2021-04-30 餐饮 2021-04-30 餐饮 2021-04-30 餐饮 2021-05-06 餐饮 2021-05-06 餐饮 2021-05-06 合格 调味品 餐饮 2021-05-06 合格 调味品 餐饮 2021-05-06 合格 粮食加 工品 餐饮 2021-05-06 合格 调味品 餐饮 2021-05-07 餐饮 2021-05-07 餐饮 2021-05-07 餐饮 2021-05-07 餐饮 2021-05-07 餐饮 2021-05-07 餐饮 2021-05-07 餐饮 2021-05-07 餐饮 2021-05-07 餐饮 2021-05-07 餐饮 2021-05-07 餐饮 2021-04-28 餐饮 2021-04-28 餐饮 2021-04-28 餐饮 2021-04-28 餐饮 2021-04-27 餐饮 2021-04-27 合格 合格 合格 合格 合格 合格 合格 合格 合格 合格 合格 合格 合格 合格 合格 合格 食用油 、油脂 粮食加 及其制 工品 品 调味品 粮食加 工品 食用油 、油脂 及其制 调味品 品 粮食加 工品 粮食加 工品 调味品 粮食加 工品 食用农 产品 食用农 产品 食用农 产品 食用农 产品 食用农 产品 食用农 产品 广东中检达 元检测技术 有限公司 广东中检达 元检测技术 有限公司 广东中检达 元检测技术 有限公司 广东中检达 元检测技术 有限公司 广东中检达 元检测技术 有限公司 广东中检达 元检测技术 有限公司 广东中检达 元检测技术 有限公司 广东中检达 元检测技术 有限公司 广东中检达 元检测技术 有限公司 广东中检达 元检测技术 有限公司 广东中检达 元检测技术 有限公司 广东中检达 元检测技术 有限公司 广东中检达 元检测技术 有限公司 广东中检达 元检测技术 有限公司 广东中检达 元检测技术 有限公司 广东中检达 元检测技术 有限公司 广东中检达 元检测技术 有限公司 广东中检达 元检测技术 有限公司 广东中检达 元检测技术 有限公司 广东中检达 元检测技术 有限公司 广东中检达 元检测技术 有限公司 广东中检达 元检测技术 有限公司 广东中检达 元检测技术 有限公司 广东中检达 元检测技术 有限公司 广东中检达 元检测技术 有限公司 广东中检达 元检测技术 有限公司 广东中检达 元检测技术 有限公司 广东中检达 元检测技术 有限公司 广东中检达 元检测技术 有限公司 492 493 494 495 496 497 498 499 500 501 502 503 504 505 506 507 508 509 510 511 512 513 514 515 516 517 518 519 520 NCP2144060 7613332852 NCP2144060 7613332853 NCP2144060 7613332849 NCP2144060 7613332851 NCP2144060 7613332848 NCP2144060 7613332850 NCP2144060 7613332861 NCP2144060 7613332862 XC21440607 613332846 XC21440607 613332840 XC21440607 613332843 XC21440607 613332844 XC21440607 613332842 NCP2144060 7613332858 NCP2144060 7613332859 NCP2144060 7613332860 XC21440607 613332841 XC21440607 613332845 乐平 镇 乐平 镇 乐平 镇 乐平 镇 乐平 镇 乐平 镇 乐平 镇 乐平 镇 乐平 镇 乐平 镇 乐平 镇 乐平 镇 乐平 镇 乐平 镇 乐平 镇 乐平 镇 乐平 镇 乐平 镇 D21DA0009 D21DA0010 D21DA0013 D21DA0015 D21DA0018 D21DA0019 D21DA0023 D21DA0025 D21DA0028 D21DA0031 D21DA0033 西南 街道 西南 街道 西南 街道 西南 街道 西南 街道 西南 街道 西南 街道 西南 街道 西南 街道 西南 街道 西南 街道 / / / / / / / / / / / / / / / / / / / / / / / / / / / / / / / / / / / / ------- ------ ------- ------ ------- ------- ------- ------- ------- ------- ------- ------- ------ ------- ------ ------- ------ ------- ------ ------- ------ ------- 佛山市三水区乐平 佛山市三水区乐 镇保安小学学校食 平镇保安村委会 堂 佛山市三水区乐平 佛山市三水区乐 黄塘幼儿园托幼机 平镇保安村委黄 构食堂 塘圩 广州工商学院(三 佛山市三水中心 水校区)第二食堂 科技工业区范湖 佛山市三水区南边 学校食堂 开发区西区A-9号 佛山市三水区南 小英杰幼儿园食堂 边宾馆路二座31 号 广州工商学院(三 佛山市三水中心 水校区)第四食堂 科技工业区范湖 佛山市三水区乐平 学校食堂 小区西区A-9号( 佛山市三水区乐 镇南边小学饭堂 F8) 平镇南边工业大 道54号 佛山市三水区乐平 佛山市三水区乐 镇中心小学学校食 平镇新乐南路口 佛山市三水区乐 堂 佛山市三水区乐平 平镇源潭圩1号 镇源潭小学学校食 佛山市三水区乐平 堂 佛山市三水区乐 中学学校食堂 平镇乐平大道23 号 广州工商学院(三 佛山市三水区乐 水校区)第一食堂 平镇范湖开发区 学校食堂 三花公路23号 佛山市三水区乐平 佛山市三水区乐 镇范湖小学学校食 平镇范湖育才路1 堂 号 佛山市三水区乐平 佛山市三水区乐 镇华星中英文学校 平镇范湖龙眼园 佛山市三水区乐平 学校食堂 村 佛山市三水区乐 镇花蕾幼儿园 平镇范湖社区育 才路13号 广州工商学院(三 佛山市三水区乐 水校区)第一食堂 平镇范湖开发区 学校食堂 三花公路23号 佛山市三水区乐平 佛山市三水区乐 镇范湖小学学校食 平镇范湖育才路1 堂 号 佛山市三水区乐平 佛山市三水区乐 镇华星中英文学校 平镇范湖龙眼园 学校食堂 村 佛山市三水区乐平 佛山市三水区乐 镇湖湾幼儿园托幼 平镇范湖新政路 食堂 12号御澳湾豪庭7 佛山市三水区乐平 佛山市三水区乐 号楼 镇华星中英文学校 平镇范湖龙眼园 佛山市三水区全喜 学校食堂 村 佛山市三水区 猪肉 / / 猪肉 / / 猪肉 / / 猪肉 / / 猪肉 / / 猪肉 / / 鸡蛋 / / 鸡蛋 / / 白菜心 / / 韭菜 / / 奶白菜心 / / 胡萝卜 / / 生菜 / / 鸡蛋 / / 鸡蛋 / / 鸡蛋 / / 菜心 / / 油麦菜 / / 生菜 ------- ------宴餐厅 西南街道同福 佛山市三水区全喜 佛山市三水区 路11号(商业 油麦菜 ------- ------宴餐厅 楼一首层3号商 西南街道同福 铺)(住所申 佛山市三水区西南 佛山市三水区 路11号(商业 菜心 ------- ------报) 街双叶楼餐厅 楼一首层3号商 西南街道同福 铺)(住所申 佛山市味享食光餐 路11号(商业楼 佛山市三水区 水东芥菜 ------- ------报) 饮有限公司 二首层13号商 西南街道同福 铺) 佛山市三水区西南 路11号(商业 佛山市三水区 通菜 ------- ------街银都酒家 路三首层2号商 西南街同福路 铺) 佛山市三水区西南 11号(商业楼二 佛山市三水区 菜心 ------- ------街银都酒家 首层9号、二层 西南街同福路 9号商铺) 佛山市三水区新动 11号(商业楼二 佛山市三水区 通菜 ------ -----力餐饮服务有限公 首层9号、二层 西南街道西青 9号商铺) 司 大道8号新动力 佛山市三水区西南 佛山市三水区 菜心 ------ -----广场2座四层 街南朋餐厅时代城 西南街道西青 D01 佛山市三水区西南 店 大道7号101、 佛山市三水区 生菜 ------ -----街点哥餐厅 102、103、104 西南街道西青 、105、162、 大道23号鸿安 佛山市三水中旅集 佛山市三水区 通菜 ------ -----163 花园3座305、 团有限公司华厦酒 西南新华路42 306、307、308 佛山市三水区恒福 店 号 佛山市三水区 生菜 ------ -----星际酒店有限公司 西南街道新华 路13号 购进日期 恩诺沙星、氯霉 2021-04-29 素、沙丁胺醇、 购进日期 恩诺沙星、氯霉 磺胺类(总量)、 2021-04-29 素、沙丁胺醇、 呋喃西林代谢物 、呋喃妥因代谢 购进日期 恩诺沙星、氯霉 磺胺类(总量)、 物、甲砜霉素 2021-04-29 呋喃西林代谢物 素、沙丁胺醇、 、呋喃妥因代谢 购进日期 恩诺沙星、氯霉 磺胺类(总量)、 物、甲砜霉素 2021-04-29 素、沙丁胺醇、 呋喃西林代谢物 、呋喃妥因代谢 购进日期 恩诺沙星、氯霉 磺胺类(总量)、 物、甲砜霉素 2021-04-29 素、沙丁胺醇、 呋喃西林代谢物 、呋喃妥因代谢 购进日期 恩诺沙星、氯霉 磺胺类(总量)、 物、甲砜霉素 2021-04-29 素、沙丁胺醇、 呋喃西林代谢物 、呋喃妥因代谢 购进日期 磺胺类(总量)、 氯霉素、氟苯尼 物、甲砜霉素 2021-04-27 考、恩诺沙星、 呋喃西林代谢物 购进日期 、呋喃妥因代谢 金刚烷胺、甲硝 氯霉素、氟苯尼 物、甲砜霉素 2021-04-25 唑、磺胺类(总量 考、恩诺沙星、 )、氟虫腈 购进日期 阿维菌素、啶虫 金刚烷胺、甲硝 2021-04-28 唑、磺胺类(总量 脒、氯氟氰菊酯 )、氟虫腈 购进日期 啶虫脒、阿维菌 和高效氯氟氰菊 2021-04-28 素、毒死蜱、氟 酯、氟虫腈、甲 拌磷、克百威、 购进日期 阿维菌素、啶虫 虫腈、甲拌磷、 氧乐果 2021-04-28 克百威、氯氟氰 脒、氯氟氰菊酯 菊酯和高效氯氟 购进日期 氟虫腈、毒死蜱 和高效氯氟氰菊 2021-04-27 氰菊酯、氧乐果 酯、氟虫腈、甲 、甲拌磷、氧乐 拌磷、克百威、 购进日期 毒死蜱、甲拌磷 果、铅(以Pb计) 氧乐果 2021-04-28 、氧乐果、克百 、镉(以Cd计)、 敌敌畏、乐果 购进日期 氯霉素、氟苯尼 威、氯氟氰菊酯 2021-04-18 考、恩诺沙星、 和高效氯氟氰菊 酯、阿维菌素、 购进日期 金刚烷胺、甲硝 氯霉素、氟苯尼 啶虫脒、氟虫腈 2021-04-26 唑、磺胺类(总量 考、恩诺沙星、 )、氟虫腈 购进日期 氯霉素、氟苯尼 金刚烷胺、甲硝 2021-04-27 唑、磺胺类(总量 考、恩诺沙星、 )、氟虫腈 购进日期 阿维菌素、啶虫 金刚烷胺、甲硝 2021-04-28 唑、磺胺类(总量 脒、氯氟氰菊酯 )、氟虫腈 购进日期 啶虫脒、氯氟氰 和高效氯氟氰菊 2021-04-28 菊酯和高效氯氟 酯、氟虫腈、甲 拌磷、克百威、 2021/3/2 氰菊酯、阿维菌 氧乐果 2 素、氟虫腈、甲 2021/3/2 拌磷、克百威、 氧乐果 2 2021/3/2 2 2021/3/2 3 2021/3/2 3 2021/3/2 3 2021/3/2 2 2021/3/2 2 2021/3/2 2 2021/3/2 3 2021/3/2 3 敌敌畏、乐果 、敌百虫、对 硫磷、甲胺磷 敌敌畏、乐果 、六六六、滴 、敌百虫、对 滴涕、铅、镉 硫磷、甲胺磷 敌敌畏、乐果 、六六六、滴 、敌百虫、对 滴涕、铅、镉 硫磷、甲胺磷 敌敌畏、乐果 、六六六、滴 、敌百虫、对 滴涕、铅、镉 硫磷、甲胺磷 敌敌畏、乐果 、六六六、滴 、敌百虫、对 滴涕、铅、镉 硫磷、甲胺磷 敌敌畏、乐果 、六六六、滴 、敌百虫、对 滴涕、铅、镉 硫磷、甲胺磷 敌敌畏、乐果 、六六六、滴 、敌百虫、对 滴涕、铅、镉 硫磷、甲胺磷 敌敌畏、乐果 、六六六、滴 、敌百虫、对 滴涕、铅、镉 硫磷、甲胺磷 敌敌畏、乐果 、六六六、滴 、敌百虫、对 滴涕、铅、镉 硫磷、甲胺磷 、六六六、滴 滴涕、铅、镉 合格 合格 合格 合格 合格 合格 合格 合格 合格 合格 合格 合格 合格 合格 合格 合格 合格 合格 合格 合格 合格 合格 合格 合格 合格 合格 合格 合格 合格 食用农 产品 食用农 产品 食用农 产品 食用农 产品 食用农 产品 食用农 产品 食用农 产品 食用农 产品 食用农 产品 食用农 产品 食用农 产品 食用农 产品 食用农 产品 食用农 产品 食用农 产品 食用农 产品 食用农 产品 食用农 产品 食用农 产品 食用农 产品 食用农 产品 食用农 产品 食用农 产品 食用农 产品 食用农 产品 食用农 产品 食用农 产品 食用农 产品 食用农 产品 餐饮 2021-04-29 餐饮 2021-04-29 餐饮 2021-04-29 餐饮 2021-04-29 餐饮 2021-04-29 餐饮 2021-04-29 餐饮 2021-04-27 餐饮 2021-04-27 餐饮 2021-04-28 餐饮 2021-04-28 餐饮 2021-04-28 餐饮 2021-04-28 餐饮 2021-04-28 餐饮 2021-04-28 餐饮 2021-04-28 餐饮 2021-04-28 餐饮 2021-04-28 餐饮 2021-04-28 餐饮 2021/3/22 餐饮 2021/3/22 餐饮 2021/3/22 餐饮 2021/3/23 餐饮 2021/3/23 餐饮 2021/3/23 餐饮 2021/3/22 餐饮 2021/3/22 餐饮 2021/3/22 餐饮 2021/3/23 餐饮 2021/3/23 广东中检达 元检测技术 有限公司 广东中检达 元检测技术 有限公司 广东中检达 元检测技术 有限公司 广东中检达 元检测技术 有限公司 广东中检达 元检测技术 有限公司 广东中检达 元检测技术 有限公司 广东中检达 元检测技术 有限公司 广东中检达 元检测技术 有限公司 广东中检达 元检测技术 有限公司 广东中检达 元检测技术 有限公司 广东中检达 元检测技术 有限公司 广东中检达 元检测技术 有限公司 广东中检达 元检测技术 有限公司 广东中检达 元检测技术 有限公司 广东中检达 元检测技术 有限公司 广东中检达 元检测技术 有限公司 广东中检达 元检测技术 有限公司 广东中检达 元检测技术 有限公司 佛山市质 量计量监 督检测中 佛山市质 心 量计量监 督检测中 佛山市质 心 量计量监 督检测中 佛山市质 心 量计量监 督检测中 佛山市质 心 量计量监 督检测中 佛山市质 心 量计量监 督检测中 佛山市质 心 量计量监 督检测中 佛山市质 心 量计量监 督检测中 佛山市质 心 量计量监 督检测中 佛山市质 心 量计量监 督检测中 佛山市质 心 量计量监 督检测中 心 521 522 523 524 525 526 527 528 529 530 531 532 533 534 535 536 537 538 539 540 541 542 543 544 545 546 547 548 549 D21DA0038 D21DA0039 D21DA0040 D21DA0041 D21DA0044 D21DA0047 D21DA0049 D21DA0051 D21DA0053 D21DA0056 D21DA0059 D21DA0065 D21DA0068 D21DA0069 D21DA0071 D21DA0072 D21DA0074 D21DA0075 D21DA0076 D21DA0077 D21DA0080 D21DA0081 D21DA0082 D21DA0083 D21DA0086 D21DA0087 D21DA0089 D21DA0090 D21DA0096 西南 街道 西南 街道 西南 街道 西南 街道 西南 街道 西南 街道 西南 街道 西南 街道 西南 街道 西南 街道 西南 街道 西南 街道 西南 街道 西南 街道 西南 街道 西南 街道 西南 街道 西南 街道 西南 街道 西南 街道 西南 街道 西南 街道 西南 街道 西南 街道 西南 街道 西南 街道 西南 街道 西南 街道 西南 街道 --------------------------------------------------------佛山市金大巷 食品有限公司 广东鹰唛食品 有限公司 佛山市朝丰粮 油有限公司 佛山市三水区 国粮粮油有限 公司 佛山市三水区 国粮粮油有限 公司 佛山市三水区 粮食管理储备 中心西南油厂 佛山市三水区 国粮粮油有限 公司 佛山市三水区 粮食管理储备 中心西南油厂 佛山市三水区 国粮粮油有限 公司 益海(广州) 粮油工业有限 公司 广东岭南明珠 农业科技有限 江西省富饶米 公司 业有限公司 广东鹰唛食品 有限公司 佛山市中源泰 富粮油食品有 限公司 佛山市三水乐 福米业有限公 司 佛山市三水乐 福米业有限公 广东鹰唛食品 司 有限公司 东莞市太粮米 业有限公司厚 街分公司 佛山市三水区贡福 佛山市三水区 楼饮食有限公司 西南街道广海 大道西6号 佛山市三水御翔大 佛山市三水区 ------观园餐饮服务有限 西南街道三达 路10号恒福丽 公司 ------- 佛山市三水御翔大 佛山市三水区 铂公馆3座101 观园餐饮服务有限 西南街道三达 佛山市三水丰华酒 路10号恒福丽 公司 佛山市三水区 ------店有限公司 铂公馆3座101 西南街道人民 佛山市喜冠来餐饮 佛山市三水区 二路96号、新 ------服务有限公司 华路新华三巷 西南街道广海 一座二至三层 佛山市三水区西南 佛山市三水区 大道西24号之 ------街开鲜餐厅 1(5-3)号商铺( 西南街道广海 住所申报) 佛山市大鸿图海鲜 佛山市三水区 大道西24号之 ------酒楼有限公司 1(自编5-5) 西南街道广海 佛山市三水咏泉酒 佛山市三水区 大道西24号之 ------家有限公司 1(自编5-2) 西南街园林路 佛山市三水区西南 佛山市三水区 33号之三、之 ------街正哥餐厅 八及二层 西南街道同福 佛山市有礼故事餐 佛山市三水区 路11号(商业 ------饮管理有限公司 楼六首层2号) 西南街道新华 佛山市三水区西南 佛山市三水区 路13号恒福星 ------街雄鹰西餐厅 际酒店2401 西南街文锋中 佛山市三水区杨鲜 路3号二、三层 佛山市三水区 生农副产品店 西南街道文锋 西路59号颐澳 中山市南 佛山市三水区环城 佛山市三水区 区渡兴西 实验幼儿园有限公 湾园北地下155 西南街道环城 路 司 路73号F1、F3 佛山市三 佛山市三水区环城 佛山市三水区 、F4(住所申 水区白坭 实验幼儿园有限公 西南街道环城 报) 镇“国家 司 路73号F1、F3 佛山市三 佛山市三水区西南 佛山市三水区 街道中心小学 火炬计划 、F4(住所申 水区西南 西南街道环城 佛山电子 报) 街道对外 佛山市三水区西南 佛山市三水区 路18号 佛山市三 电器产业 街道中心小学 经济开发 水区西南 西南街道环城 基地”南 区西29区 佛山市三水区西南 佛山市三水区 街道对外 路18号 佛山市三 区120号 之一之二 街道第九小学 经济开发 西南街道健力 水区西南 和西30区 佛山市三水区西南 佛山市三水区 区西29区 宝北路海兴街 街道站前 佛山市三 之一之二 街道第九小学 街6号之 水区西南 西南街道健力 和西30区 一 佛山市三水区西南 佛山市三水区 街道对外 宝北路海兴街 佛山市三 经济开发 水区西南 街道第八小学食堂 西南街道环城 区西29区 佛山市三水区西南 佛山市三水区 路79号 街道站前 佛山市三 之一、之 街6号之 街道第八小学食堂 西南街道环城 水区西南 二和西30 一 佛山市三水区冠华 佛山市三水区 街道对外 路79号 广州经济 区 小学 经济开发 技术开发 西南街道碧堤 区西29区 佛山市三水区冠华 路8号雅居乐花 区东江大 佛山市三水区 佛山市南 之一、之 小学 道2号 园 西南街道碧堤 海区狮山 二和西30 镇科技工 江西省贵 佛山市三水区恒达 路8号雅居乐花 广东省佛山市 区 幼儿园 园 业园C区 溪市工业 三水区西南街 兴业路20 佛山市三水区恒达 道张边路6号恒 园 中山市南 广东省佛山市 二车间 幼儿园 达花园37座 区渡兴西 三水区西南街 佛山市三水区半江 道张边路6号恒 路 佛山市三水区 佛山市南 幼儿园 达花园37座 西南街道沙头 海区狮山 永丰路5号123 镇罗村中 佛山市三水区半江 佛山市三水区 佛山市三 幼儿园 环路4号A 西南街道沙头 水区乐平 栋首层1 佛山市三水区小天 三水区西南街 镇乐平大 永丰路5号123 佛山市三 号 使幼儿园 道50号 道新华北路27 水区乐平 镇乐平大 佛山市三水区小天 三水区西南街 号二楼 中山市南 使幼儿园 道50号 区渡兴西 道新华北路27 佛山市润国商业有 佛山市三水区 路 号二楼 广东省东 限公司 莞市厚街 西南街道文锋 科技工业 东路2号三水恒 城太粮路 福广场201-203 、301-303 ------- 菜心 ------ ------ 通菜 ------ ------ 菜心 ------ ------ 生菜 ------ ------ 生菜 ------ ------ 油麦菜 ------ ------ 西兰花 ------ ------ 菜心 ------ ------ 卷心菜 ------- ------菜心 ------ ------ 油麦菜 ------ ------ 压榨花生 油 鹰唛花生 油 富贵人家 香米(大 压榨花生 米) 油 500毫 大巷 升/瓶 800mL/ Yingma 瓶 500g/ ------包 500mL/ 穗生 瓶 500g/ 油粘米 禾花雀 包 食用植物 500mL/ 穗生 调和油 瓶 500g/ 软米 ------包 花生油 5升/瓶 穗生牌 金雀丝苗 米 纯正花生 油 粮心一号 德叔明珠 香丝苗米 大米 15kg/ 袋 ------- 5L/瓶 金龙鱼 25k/包 ------15kg/ 鑫泰阳光 袋 花生油 5升/瓶 食用植物 调和油 乐福乡下 米 乐福田园 米 食用植物 调和油 曼哈浓香 糯米 500mL/ 厨威 瓶 25kg/ 郑氏乐福 包 25kg/ 郑氏乐福 袋 5升/瓶 鹰唛 鹰唛 2千克/ 曼哈浓香 袋 2021/3/2 敌敌畏、乐果 食用农 合格 餐饮 2 产品 、敌百虫、对 2021/3/2 敌敌畏、乐果 食用农 硫磷、甲胺磷 合格 餐饮 2 产品 、六六六、滴 、敌百虫、对 滴涕、铅、镉 2021/3/2 敌敌畏、乐果 食用农 硫磷、甲胺磷 合格 餐饮 2 产品 、六六六、滴 、敌百虫、对 滴涕、铅、镉 2021/3/2 敌敌畏、乐果 食用农 硫磷、甲胺磷 合格 餐饮 2 产品 、六六六、滴 、敌百虫、对 滴涕、铅、镉 2021/3/2 敌敌畏、乐果 食用农 硫磷、甲胺磷 合格 餐饮 3 产品 、六六六、滴 、敌百虫、对 滴涕、铅、镉 2021/3/2 敌敌畏、乐果 食用农 硫磷、甲胺磷 合格 餐饮 3 产品 、六六六、滴 、敌百虫、对 滴涕、铅、镉 2021/3/2 敌敌畏、乐果 食用农 硫磷、甲胺磷 合格 餐饮 3 产品 、六六六、滴 、敌百虫、对 2021/3/2 滴涕、铅、镉 食用农 硫磷、甲胺磷 敌敌畏、乐果 合格 餐饮 3 产品 、六六六、滴 、敌百虫、对 滴涕、铅、镉 2021/3/2 敌敌畏、乐果 食用农 硫磷、甲胺磷 合格 餐饮 3 产品 、六六六、滴 、敌百虫、对 滴涕、铅、镉 2021/3/2 敌敌畏、乐果 食用农 硫磷、甲胺磷 合格 餐饮 3 产品 、六六六、滴 、敌百虫、对 滴涕、铅、镉 2021/3/2 敌敌畏、乐果 食用农 硫磷、甲胺磷 合格 餐饮 3 产品 、六六六、滴 、敌百虫、对 滴涕、铅、镉 2021/1/1 酸价、过氧化 硫磷、甲胺磷 合格 食用油 市场 7 、六六六、滴 值、黄曲霉毒 、油脂 滴涕、铅、镉 ######## 素B1、苯并(a 及其制 酸价、过氧化 合格 食用油 餐饮 # )芘,塑化剂 品 值、黄曲霉毒 、油脂 ( 2021/1/2 素B1、苯并(a 粮食加 及其制 铅、镉、铬、 合格 餐饮 DBP,DEHP,DIBP 4 工品 )芘,塑化剂 品 总汞、无机砷 ) ( 、黄曲霉毒素 2021/2/5 酸价、过氧化 合格 食用油 餐饮 DBP,DEHP,DIBP B1、六六六、 值、黄曲霉毒 、油脂 ) 滴滴涕、马拉 2021/3/1 素B1、苯并(a 粮食加 及其制 铅、镉、铬、 合格 餐饮 硫磷、杀螟硫 6 工品 )芘,塑化剂 品 总汞、无机砷 磷、喹硫磷、 ( 2021/3/1 酸价、过氧化 、黄曲霉毒素 食用油 赭曲霉毒素A 合格 、油脂 餐饮 DBP,DEHP,DIBP 1 B1、六六六、 值、黄曲霉毒 ) 滴滴涕、马拉 粮食加 素B1、苯并(a 及其制 2021/3/4 铅、镉、铬、 合格 餐饮 硫磷、杀螟硫 工品 )芘,塑化剂 品 总汞、无机砷 磷、喹硫磷、 ( 2021/3/1 酸价、过氧化 、黄曲霉毒素 食用油 赭曲霉毒素A 合格 、油脂 餐饮 DBP,DEHP,DIBP 6 B1、六六六、 值、黄曲霉毒 ) 滴滴涕、马拉 粮食加 素B1、苯并(a 及其制 2021/3/9 铅、镉、铬、 合格 餐饮 硫磷、杀螟硫 工品 )芘,塑化剂 品 总汞、无机砷 磷、喹硫磷、 ( ######## 酸价、过氧化 、黄曲霉毒素 食用油 赭曲霉毒素A 合格 、油脂 餐饮 DBP,DEHP,DIBP # B1、六六六、 值、黄曲霉毒 ) 滴滴涕、马拉 2021/2/2 素B1、苯并(a 粮食加 及其制 铅、镉、铬、 合格 餐饮 硫磷、杀螟硫 1 工品 )芘,塑化剂 品 总汞、无机砷 磷、喹硫磷、 ( 2021/2/2 、黄曲霉毒素 粮食加 铅、镉、铬、 合格 餐饮 赭曲霉毒素A DBP,DEHP,DIBP 3 工品 B1、六六六、 总汞、无机砷 ) 滴滴涕、马拉 2020/11/ 酸价、过氧化 、黄曲霉毒素 合格 食用油 餐饮 硫磷、杀螟硫 4 B1、六六六、 值、黄曲霉毒 、油脂 磷、喹硫磷、 滴滴涕、马拉 2021/3/1 素B1、苯并(a 及其制 酸价、过氧化 食用油 餐饮 赭曲霉毒素A 合格 、油脂 硫磷、杀螟硫 9 )芘,塑化剂 品 值、黄曲霉毒 磷、喹硫磷、 ( 2021/3/1 素B1、苯并(a 粮食加 及其制 铅、镉、铬、 餐饮 赭曲霉毒素A 合格 工品 DBP,DEHP,DIBP 2 )芘,塑化剂 品 总汞、无机砷 ) ( 2021/3/1 铅、镉、铬、 粮食加 、黄曲霉毒素 合格 餐饮 DBP,DEHP,DIBP 2 工品 B1、六六六、 总汞、无机砷 ) 滴滴涕、马拉 2021/1/2 酸价、过氧化 、黄曲霉毒素 合格 食用油 餐饮 硫磷、杀螟硫 1 B1、六六六、 值、黄曲霉毒 、油脂 磷、喹硫磷、 滴滴涕、马拉 2021/1/2 素B1、苯并(a 粮食加 及其制 铅、镉、铬、 合格 市场 赭曲霉毒素A 硫磷、杀螟硫 6 工品 )芘,塑化剂 品 总汞、无机砷 磷、喹硫磷、 ( 、黄曲霉毒素 赭曲霉毒素A DBP,DEHP,DIBP B1、六六六、 ) 滴滴涕、马拉 2021/3/22 2021/3/22 2021/3/22 2021/3/22 2021/3/23 2021/3/23 2021/3/23 2021/3/23 2021/3/23 2021/3/23 2021/3/23 2021/3/24 2021/3/25 2021/3/25 2021/3/25 2021/3/25 2021/3/25 2021/3/25 2021/3/26 2021/3/26 2021/3/26 2021/3/26 2021/3/26 2021/3/26 2021/3/26 2021/3/26 2021/3/26 2021/3/26 2021/5/7 佛山市质 量计量监 督检测中 佛山市质 心 量计量监 督检测中 佛山市质 心 量计量监 督检测中 佛山市质 心 量计量监 督检测中 佛山市质 心 量计量监 督检测中 佛山市质 心 量计量监 督检测中 佛山市质 心 量计量监 督检测中 佛山市质 心 量计量监 督检测中 佛山市质 心 量计量监 督检测中 佛山市质 心 量计量监 督检测中 佛山市质 心 量计量监 督检测中 佛山市质 心 量计量监 督检测中 佛山市质 心 量计量监 督检测中 佛山市质 心 量计量监 督检测中 佛山市质 心 量计量监 督检测中 佛山市质 心 量计量监 督检测中 佛山市质 心 量计量监 督检测中 佛山市质 心 量计量监 督检测中 佛山市质 心 量计量监 督检测中 佛山市质 心 量计量监 督检测中 佛山市质 心 量计量监 督检测中 佛山市质 心 量计量监 督检测中 佛山市质 心 量计量监 督检测中 佛山市质 心 量计量监 督检测中 佛山市质 心 量计量监 督检测中 佛山市质 心 量计量监 督检测中 佛山市质 心 量计量监 督检测中 佛山市质 心 量计量监 督检测中 佛山市质 心 量计量监 督检测中 心 550 551 552 553 554 555 556 557 558 559 560 561 562 563 564 565 566 567 568 569 570 571 572 573 574 575 576 577 578 D21DA0097 D21DA0098 D21DA0099 D21DA0100 D21DA0101 D21DA0102 D21DA0103 D21DA0104 D21DA0105 D21DA0106 D21DA0107 D21DA0108 D21DA0109 D21DA0110 D21DA0111 D21DA0112 D21DA0113 D21DA0114 D21DA0115 D21DA0116 D21DA0117 D21DA0118 D21DA0119 D21DA0120 D21DA0121 D21DA0122 D21DA0123 D21DA0124 D21DA0125 西南 街道 西南 街道 西南 街道 西南 街道 西南 街道 西南 街道 西南 街道 西南 街道 西南 街道 西南 街道 西南 街道 西南 街道 西南 街道 西南 街道 西南 街道 西南 街道 西南 街道 西南 街道 西南 街道 西南 街道 西南 街道 西南 街道 西南 街道 西南 街道 西南 街道 西南 街道 西南 街道 西南 街道 西南 街道 广东绿丰食品 有限公司 益海(广州) 粮油工业有限 济南金杨子食 公司 品有限公司 郑州思念食品 有限公司 河南全惠食品 有限公司 浙江粮午斋食 品有限公司 武汉阿卜沃德 食品有限公司 ------------东莞市万好食 品有限公司 广州市奔裕食 品有限公司 广州市奔裕食 品有限公司 河南年客食品 有限公司 广州市奔裕食 品有限公司 东莞万好食品 有限公司 广东成泰米业 有限公司 深圳市精工坊 粮食有限责任 公司 深圳成武金石 农业开发有限 广州东升有机 公司第一食品 种植有限公司 厂 佛山市南海区 聚福源米业加 佛山市三水区 工厂 金品源油厂 ------台山市国有粮 食集团有限公 司珍香大米加 ------工厂 ------广东远良米业 有限公司 ------------苍南县长旺食 品有限公司 东莞市寮 佛山市润国商业有 佛山市三水区 限公司 步镇竹园 西南街道文锋 社区莲塘 佛山市润国商业有 东路2号三水恒 佛山市三水区 广州经济 限公司 工业区 福广场201-203 技术开发 西南街道文锋 、301-303 区东江大 佛山市润国商业有 东路2号三水恒 佛山市三水区 济南市历 限公司 福广场201-203 道2号 城区仲宫 西南街道文锋 、301-303 镇北侯村 佛山市润国商业有 东路2号三水恒 郑州市惠 佛山市三水区 限公司 福广场201-203 1号 济区英才 西南街道文锋 、301-303 街15号 佛山市润国商业有 东路2号三水恒 郑州市惠 佛山市三水区 限公司 福广场201-203 济区天河 西南街道文锋 、301-303 路中段 佛山市润国商业有 东路2号三水恒 佛山市三水区 浙江省嘉 限公司 福广场201-203 西南街道文锋 兴市秀洲 、301-303 区油车港 佛山市润国商业有 东路2号三水恒 佛山市三水区 湖北省武 限公司 福广场201-203 镇正原北 汉市汉南 西南街道文锋 、301-303 路81号、 区协子河 佛山市润国商业有 东路2号三水恒 佛山市三水区 ------107号 限公司 福广场201-203 18号 西南街道文锋 、301-303 佛山市润国商业有 东路2号三水恒 佛山市三水区 ------限公司 福广场201-203 西南街道文锋 、301-303 佛山市三水区 东莞市横 广东永旺天河城商 东路2号三水恒 西南街道西青 沥镇西城 业有限公司佛山三 福广场201-203 、301-303 水新动力广场分公 大道8号三水新 科技园 广东永旺天河城商 佛山市三水区 广州市番 动力广场首层 司 西南街道西青 禺区沙湾 业有限公司佛山三 (1F)至第三层 水新动力广场分公 大道8号三水新 镇福涌村 广东永旺天河城商 佛山市三水区 广州市番 (3F)(住所申报 动力广场首层 沙渡公路 业有限公司佛山三 司 西南街道西青 禺区沙湾 ) (1F)至第三层 17号101 广东永旺天河城商 水新动力广场分公 大道8号三水新 镇福涌村 佛山市三水区 原阳县太 (3F)(住所申报 动力广场首层 沙渡公路 业有限公司佛山三 司 西南街道西青 平镇梁寨 ) (1F)至第三层 17号101 水新动力广场分公 大道8号三水新 村 佛山市三水区 广州市番 广东永旺天河城商 (3F)(住所申报 动力广场首层 司 西南街道西青 禺区沙湾 业有限公司佛山三 ) (1F)至第三层 镇福涌村 佛山市三水区 东莞市横 水新动力广场分公 广东永旺天河城商 大道8号三水新 (3F)(住所申报 动力广场首层 沙渡公路 业有限公司佛山三 司 西南街道西青 沥镇西城 ) (1F)至第三层 17号101 水新动力广场分公 大道8号三水新 科技园 广东永旺天河城商 佛山市三水区 广东省佛 (3F)(住所申报 动力广场首层 司 西南街道西青 山市南海 业有限公司佛山三 ) (1F)至第三层 水新动力广场分公 大道8号三水新 区狮山镇 广东永旺天河城商 佛山市三水区 深圳市龙 (3F)(住所申报 动力广场首层 司 官窑禅炭 业有限公司佛山三 西南街道西青 华区观澜 ) (1F)至第三层 路238号 广东永旺天河城商 水新动力广场分公 大道8号三水新 街道牛湖 深圳市光 佛山市三水区 (3F)(住所申报 动力广场首层 司 社区石一 业有限公司佛山三 西南街道西青 明新区光 ) (1F)至第三层 村南区58 广东永旺天河城商 明街道凤 水新动力广场分公 大道8号三水新 佛山市三水区 广东省广 (3F)(住所申报 号101 业有限公司佛山三 新公路东 动力广场首层 司 西南街道西青 州市从化 ) (1F)至第三层 侧光明高 佛山市禾苑餐饮服 区吕田镇 水新动力广场分公 大道8号三水新 佛山市南 佛山市三水区 (3F)(住所申报 科技农业 务有限公司 动力广场首层 司 海区大沥 西南街道兴达 产业园综 佛山市禾苑餐饮服 路9号澳盈商务 ) (1F)至第三层 镇盐步联 佛山市三 佛山市三水区 合楼 (3F)(住所申报 务有限公司 安经济联 中心5座102 西南街道兴达 水区西南 ) 合社土名 佛山市禾苑餐饮服 路9号澳盈商务 街道洲边 佛山市三水区 ------三中东地 务有限公司 二村上坑 中心5座102 西南街道兴达 段的厂房 坡1号 佛山市三水区西南 路9号澳盈商务 广东省江 佛山市三水区 C栋 街点哥餐厅 中心5座102 门市台山 西南街道西青 市端芬镇 佛山市三水区西南 佛山市三水区 大道23号鸿安 ------街点哥餐厅 中粮路18 花园3座305、 西南街道西青 号 306、307、 佛山市三水区西南 佛山市三水区 大道23号鸿安 ------308(住所申报) 街点哥餐厅 花园3座305、 西南街道西青 306、307、 大道23号鸿安 广东省清 佛山市三水区新动 佛山市三水区 花园3座305、 远市清城 力餐饮服务有限公 308(住所申报) 西南街道西青 306、307、 区源潭镇 佛山市三水区新动 司 大道8号新动力 佛山市三水区 ------银英公路 力餐饮服务有限公 308(住所申报) 广场2座四层 西南街道西青 清远市粮 佛山市三水区新动 D01 司 大道8号新动力 佛山市三水区 ------食储备库 力餐饮服务有限公 西南街道西青 广场2座四层 (自编号 佛山市三水日日升 D01 司 大道8号新动力 佛山市三水区 苍南县卤 B栋) 商业连锁有限公司 西南街道西青 广场2座四层 制品工业 D01 大道23号鸿安 鸿安花园分店 园区1栋B 花园4座首层 区 103-104、116- 泰国香糯 500g/ ------米 包 900毫 玉米油 金龙鱼 升/瓶 130克/ 蛋黄肉粽 楊博士 包 蜜枣粽 200克 思念 (2只 200克/ )/包 八宝粽 三全 包 五芳猪肉 200克 ------粽 (2只 72克/ )/包 酱香鸭脖 阿卜 包 500g/ 卷心菜 ------包 ------2021/4/3 2021/4/2 0 2021/4/1 4 2021/3/3 0 2021/4/4 2021/2/1 9 2021/5/7 油麦菜 ------- ------- 2021/5/7 冬叶咸肉 260克/ ------粽 包 猪肉红豆 150克/ 奔裕 粽 个 150克/ 咸肉粽 奔裕 只 750克/ 叉烧粽 ------袋 猪肉蛋黄 150克/ 奔裕 粽 个 香菇板栗 260克/ ------咸肉粽 包 大米(泰 1kg/包 雪公主 国水晶糯 口口牌泰 米) 1kg/包 ------国糯米 宁夏有机 ------- ------菜心 有机菜心 250g ------苗 吉祥马坝 15kg/ 老友聚福 油粘米 包 源 压榨花生 10升/ ------油 瓶 2021/4/1 9 2020/4/2 6 2020/4/2 6 宁夏菜心 ------- ------“珍香” 15kg/ 珍香 包 丝苗米四星(大 咸肉粽 ------- ------米) 2021/4/2 2021/4/2 6 2021/4/1 9 2021/3/1 1 2021/1/7 2021/5/7 ------2021/3/2 9 2021/4/9 2021/5/1 0 2021/5/2 2021/5/8 乡下米- 15千克 ------农家香米 /包 2021/5/1 0 2021/3/1 8 裹蒸粽 ------- ------- 2021/5/3 红烧乳鸽 ------- ------- 叉烧 ------- ------- 鸭翅根( 70克/ 酱卤味) 包 南北特 2021/5/1 0 2021/1/2 5 铅、镉、铬、 总汞、无机砷 、黄曲霉毒素 酸价、过氧化 B1、六六六、 值、黄曲霉毒 滴滴涕、马拉 素B1、苯并(a 苯甲酸、山梨 硫磷、杀螟硫 )芘,塑化剂 酸、糖精钠、 磷、喹硫磷、 ( 丙酸钙、脱氢 苯甲酸、山梨 赭曲霉毒素A DBP,DEHP,DIBP 乙酸、铅、砷 酸、糖精钠、 ) 、铝、商业无 丙酸钙、脱氢 苯甲酸、山梨 菌 乙酸、铅、砷 酸、糖精钠、 、铝、商业无 丙酸钙、脱氢 苯甲酸、山梨 菌 乙酸、铅、砷 酸、糖精钠、 、铝、商业无 丙酸钙、脱氢 铅、镉、铬、 菌 乙酸、铅、砷 总砷、亚硝酸 、铝、商业无 盐、苯甲酸、 敌敌畏、乐果 菌 山梨酸、脱氢 、敌百虫、对 乙酸、胭脂红 硫磷、甲胺磷 敌敌畏、乐果 、糖精钠、氯 、六六六、滴 、敌百虫、对 霉素、罂粟碱 滴涕、铅、镉 硫磷、甲胺磷 苯甲酸、山梨 、防腐剂混合 、六六六、滴 酸、糖精钠、 使用量的比例 滴涕、铅、镉 丙酸钙、脱氢 苯甲酸、山梨 之和、菌落总 乙酸、铅、砷 酸、糖精钠、 数、大肠菌群 、铝、菌落总 丙酸钙、脱氢 苯甲酸、山梨 、沙门氏菌、 数、霉菌、大 乙酸、铅、砷 酸、糖精钠、 金黄色葡萄球 肠菌群、沙门 、铝 丙酸钙、脱氢 苯甲酸、山梨 菌、单核细胞 氏菌、金黄色 乙酸、铅、砷 酸、糖精钠、 增生李斯特氏 葡萄球菌 、铝 丙酸钙、脱氢 苯甲酸、山梨 菌 乙酸、铅、砷 酸、糖精钠、 、铝、菌落总 丙酸钙、脱氢 苯甲酸、山梨 数、霉菌、大 乙酸、铅、砷 酸、糖精钠、 肠菌群、沙门 、铝 丙酸钙、脱氢 铅、镉、铬、 氏菌、金黄色 乙酸、铅、砷 总汞、无机砷 葡萄球菌 、铝、菌落总 、黄曲霉毒素 铅、镉、铬、 数、霉菌、大 B1、六六六、 总汞、无机砷 肠菌群、沙门 滴滴涕、马拉 、黄曲霉毒素 敌敌畏、乐果 氏菌、金黄色 硫磷、杀螟硫 B1、六六六、 、敌百虫、对 葡萄球菌 磷、喹硫磷、 滴滴涕、马拉 硫磷、甲胺磷 敌敌畏、乐果 赭曲霉毒素A 硫磷、杀螟硫 、六六六、滴 、敌百虫、对 磷、喹硫磷、 滴涕、铅、镉 硫磷、甲胺磷 铅、镉、铬、 赭曲霉毒素A 、六六六、滴 总汞、无机砷 滴涕、铅、镉 、黄曲霉毒素 酸价、过氧化 B1、六六六、 值、黄曲霉毒 滴滴涕、马拉 素B1、苯并(a 敌敌畏、乐果 硫磷、杀螟硫 )芘,塑化剂 、敌百虫、对 磷、喹硫磷、 ( 硫磷、甲胺磷 铅、镉、铬、 赭曲霉毒素A DBP,DEHP,DIBP 、六六六、滴 总汞、无机砷 ) 滴涕、铅、镉 、黄曲霉毒素 苯甲酸、山梨 B1、六六六、 酸、糖精钠、 滴滴涕、马拉 丙酸钙、脱氢 铅、镉、铬、 硫磷、杀螟硫 乙酸、铅、砷 总砷、亚硝酸 磷、喹硫磷、 、铝 盐、苯甲酸、 铅、镉、铬、 赭曲霉毒素A 山梨酸、脱氢 总汞、无机砷 乙酸、胭脂红 、黄曲霉毒素 苯甲酸、山梨 、糖精钠、土 B1、六六六、 酸、糖精钠、 霉素、金霉素 滴滴涕、马拉 丙酸钙、脱氢 铅、镉、铬、 、四环素、氯 硫磷、杀螟硫 乙酸、铅、砷 总砷、亚硝酸 霉素、甲砜霉 磷、喹硫磷、 、铝 盐、苯甲酸、 铅、镉、铬、 素、罂粟碱、 赭曲霉毒素A 山梨酸、脱氢 总砷、亚硝酸 防腐剂混合使 乙酸、胭脂红 盐、苯甲酸、 用量的比例之 、糖精钠、土 山梨酸、脱氢 和 霉素、金霉素 乙酸、胭脂红 、四环素、氯 粮食加 市场 工品 合格 食用油 市场 、油脂 及其制 合格 糕点 市场 品 合格 2021/5/7 2021/5/7 2021/5/7 合格 糕点 市场 2021/5/7 合格 糕点 市场 2021/5/7 合格 糕点 市场 2021/5/7 合格 肉制品 市场 2021/5/7 食用农 合格 市场 产品 食用农 合格 市场 产品 2021/5/7 2021/5/7 合格 糕点 市场 2021/5/8 合格 糕点 市场 2021/5/8 合格 糕点 市场 2021/5/8 合格 糕点 市场 2021/5/8 合格 糕点 市场 2021/5/8 合格 糕点 市场 2021/5/8 市场 2021/5/8 市场 2021/5/8 市场 2021/5/8 市场 2021/5/8 餐饮 2021/5/10 餐饮 2021/5/10 餐饮 2021/5/10 餐饮 2021/5/10 餐饮 2021/5/10 合格 肉制品 餐饮 2021/5/10 合格 粮食加 餐饮 工品 2021/5/10 合格 糕点 餐饮 2021/5/10 合格 肉制品 餐饮 2021/5/10 合格 肉制品 市场 2021/5/11 合格 合格 合格 合格 合格 合格 合格 合格 合格 粮食加 工品 粮食加 工品 食用农 产品 食用农 产品 粮食加 工品 食用油 、油脂 食用农 及其制 产品 品 粮食加 工品 糕点 佛山市质 量计量监 督检测中 佛山市质 心 量计量监 督检测中 佛山市质 心 量计量监 督检测中 佛山市质 心 量计量监 督检测中 佛山市质 心 量计量监 督检测中 佛山市质 心 量计量监 督检测中 佛山市质 心 量计量监 督检测中 佛山市质 心 量计量监 督检测中 佛山市质 心 量计量监 督检测中 佛山市质 心 量计量监 督检测中 佛山市质 心 量计量监 督检测中 佛山市质 心 量计量监 督检测中 佛山市质 心 量计量监 督检测中 佛山市质 心 量计量监 督检测中 佛山市质 心 量计量监 督检测中 佛山市质 心 量计量监 督检测中 佛山市质 心 量计量监 督检测中 佛山市质 心 量计量监 督检测中 佛山市质 心 量计量监 督检测中 佛山市质 心 量计量监 督检测中 佛山市质 心 量计量监 督检测中 佛山市质 心 量计量监 督检测中 佛山市质 心 量计量监 督检测中 佛山市质 心 量计量监 督检测中 佛山市质 心 量计量监 督检测中 佛山市质 心 量计量监 督检测中 佛山市质 心 量计量监 督检测中 佛山市质 心 量计量监 督检测中 佛山市质 心 量计量监 督检测中 心 579 580 581 582 583 584 585 586 587 588 589 590 591 592 593 594 595 596 597 598 599 600 601 602 603 604 605 606 607 D21DA0126 D21DA0127 D21DA0128 D21DA0129 D21DA0130 D21DA0131 D21DA0132 D21DA0133 D21DA0134 D21DA0135 D21DA0136 D21DA0137 D21DA0138 D21DA0139 D21DA0140 D21DA0141 D21DA0142 D21DA0143 D21DA0144 D21DA0145 D21DA0146 D21DA0147 D21DA0148 D21DA0149 D21DA0150 D21DA0151 D21DA0152 D21DA0153 D21DA0154 西南 街道 西南 街道 西南 街道 西南 街道 西南 街道 西南 街道 西南 街道 西南 街道 西南 街道 西南 街道 西南 街道 西南 街道 西南 街道 西南 街道 西南 街道 西南 街道 西南 街道 西南 街道 西南 街道 西南 街道 西南 街道 西南 街道 西南 街道 西南 街道 西南 街道 西南 街道 西南 街道 西南 街道 西南 街道 龙岩市永定区 聚香轩食品厂 ------佛山市南海区 聚福源米业加 工厂 ------------东莞市虎门粮 食有限公司 佛山市三水区 国粮粮油有限 公司 ------------------佛山市三水乐 福米业有限公 司 ------佛山市南海大 拇指精米厂 佛山市润安米 业有限公司 佛山市亿健食 品有限公司 中粮油脂(钦 州)有限公司 肇庆市华发食 品有限公司 河南全惠食品 有限公司 肇庆市一鼎皇 食品有限公司 河南年客食品 有限公司 福建合口味食 品工业有限公 司 江苏味巴哥食 品股份有限公 司 广州市沧州肉 食制品有限公 潮州市华祖食 司 品有限公司 深圳市喜多乐 食品有限公司 五常市乔府大 院农业股份有 限公司 ------------------- 永定区坎 佛山市三水日日升 佛山市三水区 市镇田心 商业连锁有限公司 西南街道西青 大道23号鸿安 路316-1 佛山市三水日日升 鸿安花园分店 佛山市三水区 ------花园4座首层 号 商业连锁有限公司 西南街道西青 103-104、116大道23号鸿安 鸿安花园分店 佛山市南 佛山市三水区西南 佛山市三水区 127、138-139( 街顺丰餐厅 花园4座首层 海区大沥 西南街广海大 住所申报) 镇盐步联 佛山市三水区西南 103-104、116道西布心道班 佛山市三水区 ------127、138-139( 街顺丰餐厅 安经济联 东侧 西南街广海大 住所申报) 合社土名 佛山市三水区西南 佛山市三水区 道西布心道班 ------三中东地 街顺丰餐厅 东侧 西南街广海大 段的厂房 佛山市三水区西南 佛山市三水区 道西布心道班 广东省东 C栋 街开鲜餐厅 东侧 莞市虎门 西南街道广海 镇解放路 佛山市三水区西南 佛山市三水区 大道西24号之 佛山市三 街开鲜餐厅 78号 1(自编5-5) 水区西南 西南街道广海 街道对外 佛山市三水区西南 佛山市三水区 大道西24号之 ------街开鲜餐厅 经济开发 1(自编5-5) 西南街道广海 区西29区 佛山市三水区西南 佛山市三水区 大道西24号之 ------之一之二 街开鲜餐厅 1(自编5-5) 西南街道广海 和西30区 佛山市喜冠来餐饮 佛山市三水区 大道西24号之 ------服务有限公司 1(自编5-5) 西南街道广海 大道西24号之 佛山市三 佛山市喜冠来餐饮 佛山市三水区 服务有限公司 1(5-3)号商铺( 水区乐平 西南街道广海 住所申报) 镇乐平大 佛山市大鸿图海鲜 佛山市三水区 大道西24号之 ------酒楼有限公司 1(5-3)号商铺( 道50号 西南街道广海 住所申报) 大道西24号之 佛山市南 佛山市大鸿图海鲜 佛山市三水区 酒楼有限公司 1(自编5-2) 海区大沥 西南街道广海 镇盐步联 佛山市三水区西南 佛山市三水区 大道西24号之 佛山市南 安汇龙铁 街佳佰利百货店 西南街道园林 1(自编5-2) 海区大沥 路南第一 镇盐步环 佛山市三水区 广东省佛 佛山市三水区西南 路7号一座首层 间一环路 街佳佰利百货店 西南街道园林 镇东路自 山市南海 西 编4号之 佛山市三水区西南 路7号一座首层 区九江镇 佛山市三水区 钦州港经 二 街佳佰利百货店 西南街道园林 大伸工业 济技术开 区 发区建港 四会市大 广东华南通商贸发 路7号一座首层 佛山市三水区 路39号 展有限公司三水分 西南街张边路 沙镇富溪 工业园侧 广东华南通商贸发 公司 九号三水广场( 郑州市惠 佛山市三水区 二座) 济区天河 展有限公司三水分 西南街张边路 路中段 广东华南通商贸发 公司 九号三水广场( 肇庆市鼎 佛山市三水区 二座) 湖区桂城 展有限公司三水分 西南街张边路 新城十区 广东华南通商贸发 九号三水广场( 公司 原阳县太 佛山市三水区 四小区( 展有限公司三水分 西南街张边路 二座) 平镇梁寨 厂房A幢) 九号三水广场( 村 公司 广东华南通商贸发 福建省漳 佛山市三水区 鼎湖工业 展有限公司三水分 西南街张边路 二座) 州市诏安 城内 公司 九号三水广场( 县深桥镇 广东华南通商贸发 佛山市三水区 靖江市经 雨亭168 展有限公司三水分 西南街张边路 二座) 济开发区 号 九号三水广场( 公司 城北园区 广东从化 广东华南通商贸发 佛山市三水区 二座) 纬二路88 展有限公司三水分 西南街张边路 经济开发 号 区高技术 公司 九号三水广场( 广东华南通商贸发 潮州市潮 佛山市三水区 产业园创 展有限公司三水分 西南街张边路 二座) 安区江东 业路39号 广东华南通商贸发 镇中横路 九号三水广场( 公司 深圳市龙 佛山市三水区 (厂房A 北6号 展有限公司三水分 西南街张边路 二座) 岗区园山 ) 佛山市三水区贡福 街道大康 公司 九号三水广场( 五常市杜 佛山市三水区 社区山子 二座) 家镇半截 楼饮食有限公司 西南街道广海 下路2号 河子村 佛山市三水区贡福 佛山市三水区 大道西6号 ------东海科技 楼饮食有限公司 西南街道广海 工业园管 佛山市三水日日升 佛山市三水区 大道西6号 ------理楼一层 商业连锁有限公司 西南街人民二 路94号南座首 新华分店 ------- 佛山市三水日日升 佛山市三水区 层铺位 商业连锁有限公司 西南街人民二 新华分店 路94号南座首 层铺位 裕品香酱 140克/ 裕品香 包 卤鸭掌( 黑叶小白 清香味) ------- ------菜 15千克 油粘米 ------/包 2021/1/2 2 2021/5/1 1 2021/5/4 2021/5/1 1 2021/5/1 烧肉 ------- ------1 金百合经 25千克 图形商标 2021/4/2 5 典茉莉香 /包 压榨花生 米(籼米 5升/瓶 穗生牌 2021/2/2 油 ) 烧鹅 ------- ------- 生菜 ------- ------- 2021/5/7 烧鹅 ------- ------- 2021/5/7 叉烧 ------- ------- 2021/5/7 乐福百合 15kg/ 2021/4/1 郑氏乐福 香粘米 包 6 烧鹅 曼谷丝苗 米(大米 ) 广糯园泰 香糯米( 籼糯米) 特浓花生 香食用植 食用植物 物调和油 调和油 栗子肉粽 金丝蜜枣 粽 肇庆裹蒸 粽(咸肉 粽) 猪肉粽 豆沙枧水 粽 精制猪肉 脯 香辣味鸡 肉脯 牛肉脯( 黑椒味) 自然派香 辣卤鸭脖 ------- ------- 2021/5/7 15kg/ 包 25千克 /包 550毫 升/瓶 1.8升/ 瓶 200克 (100 400克/ 克×2 盒 )/包 400克 (200 440克/ 克×2 包 )/包 600克 (5只 120克/ )/包 包 70克/ 包 60克/ 包 108克/ 包 25kg/ 包 2021/4/2 0 ######## # 图形商标 广糯园 福喜 ------利口福 三全 利口福 思念 合口味 华味享 沧洲 2021/2/2 2020/11/ 8 2021/4/2 5 2021/3/1 3 2021/4/2 2 2021/3/1 1 2020/3/3 0 2021/3/1 1 2021/2/1 2021/1/1 2 2021/3/2 ------3 金福乔府 2021/4/2 大米 大院 8 2021/5/1 叉烧 ------- ------0 2021/5/1 上海青心 ------- ------0 AS散装福 2021/5/1 ------- ------洋糯米 0 秋之风 铅、镉、铬、 总砷、亚硝酸 盐、苯甲酸、 敌敌畏、乐果 山梨酸、脱氢 、敌百虫、对 乙酸、胭脂红 硫磷、甲胺磷 铅、镉、铬、 、糖精钠、氯 、六六六、滴 总汞、无机砷 霉素、罂粟碱 滴涕、铅、镉 、黄曲霉毒素 铅、镉、铬、 、防腐剂混合 B1、六六六、 总砷、亚硝酸 使用量的比例 滴滴涕、马拉 盐、苯甲酸、 铅、镉、铬、 之和、菌落总 硫磷、杀螟硫 山梨酸、脱氢 总砷、亚硝酸 数、大肠菌群 磷、喹硫磷、 乙酸、胭脂红 盐、苯甲酸、 铅、镉、铬、 、沙门氏菌、 赭曲霉毒素A 、糖精钠、土 山梨酸、脱氢 总汞、无机砷 金黄色葡萄球 霉素、金霉素 乙酸、胭脂红 、黄曲霉毒素 酸价、过氧化 菌、单核细胞 、四环素、氯 、糖精钠、土 B1、六六六、 值、黄曲霉毒 增生李斯特氏 霉素、甲砜霉 霉素、金霉素 滴滴涕、马拉 素B1、苯并(a 敌敌畏、乐果 菌 素、罂粟碱、 、四环素、氯 硫磷、杀螟硫 )芘,塑化剂 、敌百虫、对 防腐剂混合使 霉素、甲砜霉 磷、喹硫磷、 ( 硫磷、甲胺磷 铅、镉、铬、 用量的比例之 素、罂粟碱、 赭曲霉毒素A DBP,DEHP,DIBP 、六六六、滴 总砷、亚硝酸 和 防腐剂混合使 ) 滴涕、铅、镉 盐、苯甲酸、 铅、镉、铬、 用量的比例之 山梨酸、脱氢 总砷、亚硝酸 和 乙酸、胭脂红 盐、苯甲酸、 铅、镉、铬、 、糖精钠、土 山梨酸、脱氢 总汞、无机砷 霉素、金霉素 乙酸、胭脂红 、黄曲霉毒素 铅、镉、铬、 、四环素、氯 、糖精钠、土 B1、六六六、 总砷、亚硝酸 霉素、甲砜霉 霉素、金霉素 滴滴涕、马拉 盐、苯甲酸、 铅、镉、铬、 素、罂粟碱、 、四环素、氯 硫磷、杀螟硫 山梨酸、脱氢 总汞、无机砷 防腐剂混合使 霉素、甲砜霉 磷、喹硫磷、 乙酸、胭脂红 、黄曲霉毒素 铅、镉、铬、 用量的比例之 素、罂粟碱、 赭曲霉毒素A 、糖精钠、土 B1、六六六、 总汞、无机砷 和 防腐剂混合使 霉素、金霉素 滴滴涕、马拉 、黄曲霉毒素 酸价、过氧化 用量的比例之 、四环素、氯 硫磷、杀螟硫 B1、六六六、 值、黄曲霉毒 和 霉素、甲砜霉 磷、喹硫磷、 滴滴涕、马拉 素B1、苯并(a 酸价、过氧化 素、罂粟碱、 赭曲霉毒素A 硫磷、杀螟硫 )芘,塑化剂 值、黄曲霉毒 防腐剂混合使 磷、喹硫磷、 ( 素B1、苯并(a 苯甲酸、山梨 用量的比例之 赭曲霉毒素A DBP,DEHP,DIBP )芘,塑化剂 酸、糖精钠、 和 ) ( 丙酸钙、脱氢 苯甲酸、山梨 DBP,DEHP,DIBP 乙酸、铅、砷 酸、糖精钠、 ) 、铝、商业无 丙酸钙、脱氢 苯甲酸、山梨 菌 乙酸、铅、砷 酸、糖精钠、 、铝、菌落总 丙酸钙、脱氢 苯甲酸、山梨 数、霉菌、大 乙酸、铅、砷 酸、糖精钠、 肠菌群、沙门 、铝、商业无 丙酸钙、脱氢 苯甲酸、山梨 氏菌、金黄色 菌 乙酸、铅、砷 酸、糖精钠、 葡萄球菌 、铝、菌落总 丙酸钙、脱氢 铅、镉、铬、 数、霉菌、大 乙酸、铅、砷 总砷、亚硝酸 肠菌群、沙门 、铝、菌落总 盐、苯甲酸、 铅、镉、铬、 氏菌、金黄色 数、霉菌、大 山梨酸、脱氢 总砷、亚硝酸 葡萄球菌 肠菌群、沙门 乙酸、胭脂红 盐、苯甲酸、 铅、镉、铬、 氏菌、金黄色 、糖精钠、氯 山梨酸、脱氢 总砷、亚硝酸 葡萄球菌 霉素、罂粟碱 乙酸、胭脂红 盐、苯甲酸、 铅、镉、铬、 、防腐剂混合 、糖精钠、氯 山梨酸、脱氢 总砷、亚硝酸 使用量的比例 霉素、罂粟碱 乙酸、胭脂红 盐、苯甲酸、 铅、镉、铬、 之和、菌落总 、防腐剂混合 、糖精钠、氯 山梨酸、脱氢 总汞、无机砷 数、大肠菌群 使用量的比例 霉素、罂粟碱 乙酸、胭脂红 、黄曲霉毒素 铅、镉、铬、 、沙门氏菌、 之和、菌落总 、防腐剂混合 、糖精钠、氯 B1、六六六、 总砷、亚硝酸 金黄色葡萄球 数、大肠菌群 使用量的比例 霉素、罂粟碱 滴滴涕、马拉 盐、苯甲酸、 敌敌畏、乐果 菌、单核细胞 、沙门氏菌、 之和、菌落总 、防腐剂混合 硫磷、杀螟硫 山梨酸、脱氢 、敌百虫、对 增生李斯特氏 金黄色葡萄球 数、大肠菌群 使用量的比例 磷、喹硫磷、 乙酸、胭脂红 硫磷、甲胺磷 铅、镉、铬、 菌 菌、单核细胞 、沙门氏菌、 之和、菌落总 赭曲霉毒素A 、糖精钠、土 、六六六、滴 总汞、无机砷 增生李斯特氏 金黄色葡萄球 数、大肠菌群 霉素、金霉素 滴涕、铅、镉 、黄曲霉毒素 菌 菌、单核细胞 、沙门氏菌、 、四环素、氯 B1、六六六、 增生李斯特氏 金黄色葡萄球 霉素、甲砜霉 滴滴涕、马拉 菌 菌、单核细胞 素、罂粟碱、 合格 肉制品 市场 食用农 市场 产品 粮食加 合格 餐饮 工品 合格 2021/5/11 2021/5/11 2021/5/11 合格 肉制品 餐饮 2021/5/11 合格 肉制品 餐饮 2021/5/11 粮食加 餐饮 工品 合格 食用油 餐饮 、油脂 食用农 及其制 合格 餐饮 产品 品 合格 2021/5/7 2021/5/7 2021/5/7 合格 肉制品 餐饮 2021/5/7 合格 肉制品 餐饮 2021/5/7 粮食加 餐饮 工品 2021/5/7 合格 肉制品 餐饮 2021/5/7 合格 合格 合格 合格 合格 合格 粮食加 工品 粮食加 工品 食用油 、油脂 及其制 食用油 品 、油脂 及其制 糕点 品 餐饮 2021/5/7 市场 2021/5/8 市场 2021/5/8 市场 2021/5/8 市场 2021/5/8 合格 糕点 市场 2021/5/8 合格 糕点 市场 2021/5/8 合格 糕点 市场 2021/5/8 合格 糕点 市场 2021/5/8 合格 肉制品 市场 2021/5/8 合格 肉制品 市场 2021/5/8 合格 肉制品 市场 2021/5/8 合格 肉制品 市场 2021/5/8 粮食加 餐饮 工品 2021/5/10 合格 肉制品 餐饮 2021/5/10 合格 食用农 市场 产品 粮食加 合格 市场 工品 合格 2021/5/10 2021/5/10 佛山市质 量计量监 督检测中 佛山市质 心 量计量监 督检测中 佛山市质 心 量计量监 督检测中 佛山市质 心 量计量监 督检测中 佛山市质 心 量计量监 督检测中 佛山市质 心 量计量监 督检测中 佛山市质 心 量计量监 督检测中 佛山市质 心 量计量监 督检测中 佛山市质 心 量计量监 督检测中 佛山市质 心 量计量监 督检测中 佛山市质 心 量计量监 督检测中 佛山市质 心 量计量监 督检测中 佛山市质 心 量计量监 督检测中 佛山市质 心 量计量监 督检测中 佛山市质 心 量计量监 督检测中 佛山市质 心 量计量监 督检测中 佛山市质 心 量计量监 督检测中 佛山市质 心 量计量监 督检测中 佛山市质 心 量计量监 督检测中 佛山市质 心 量计量监 督检测中 佛山市质 心 量计量监 督检测中 佛山市质 心 量计量监 督检测中 佛山市质 心 量计量监 督检测中 佛山市质 心 量计量监 督检测中 佛山市质 心 量计量监 督检测中 佛山市质 心 量计量监 督检测中 佛山市质 心 量计量监 督检测中 佛山市质 心 量计量监 督检测中 佛山市质 心 量计量监 督检测中 心 608 609 610 611 612 613 614 615 616 617 618 619 620 621 622 623 624 625 626 627 628 629 630 631 632 633 634 635 636 D21DA0155 D21DA0156 D21DA0157 D21DA0158 D21DA0159 D21DA0160 D21DA0161 D21DA0162 D21DA0163 D21DA0164 D21DA0165 D21DA0166 D21DA0167 D21DA0168 D21DA0169 D21DA0170 D21DA0171 D21DA0172 D21DA0173 D21DA0174 D21DA0175 D21DA0176 D21DA0177 D21DA0178 D21DA0179 D21DA0180 D21DA0181 D21DA0182 D21DA0183 西南 街道 西南 街道 西南 街道 西南 街道 西南 街道 西南 街道 西南 街道 西南 街道 西南 街道 西南 街道 西南 街道 西南 街道 西南 街道 西南 街道 西南 街道 西南 街道 西南 街道 西南 街道 西南 街道 西南 街道 西南 街道 西南 街道 西南 街道 西南 街道 西南 街道 西南 街道 西南 街道 西南 街道 西南 街道 ------------------------------------东莞市永丰源 食品有限公司 东莞市永丰源 食品有限公司 东莞市永丰源 食品有限公司 肇庆市皇中皇 裹蒸粽有限公 司 肇庆市皇中皇 裹蒸粽有限公 司 肇庆市皇中皇 裹蒸粽有限公 司 广州岭南穗粮 谷物股份有限 公司 ------------------东莞市立弘食 品有限公司 ------------广东鹰唛食品 有限公司 无穷食品制造 (广东)有限 靖江市第二食 公司 品厂 无穷食品有限 公司 ------------------------------江西新海集团 粮油有限公司 ------- 佛山市三水日日升 佛山市三水区 商业连锁有限公司 西南街人民二 路94号南座首 新华分店 ------- 佛山市三水日日升 佛山市三水区 层铺位 商业连锁有限公司 西南街人民二 路94号南座首 新华分店 佛山市三水日日升 佛山市三水区 ------层铺位 商业连锁有限公司 西南街人民二 路94号南座首 新华分店 佛山市三水日日升 佛山市三水区 ------层铺位 商业连锁有限公司 西南街人民二 新华分店 路94号南座首 佛山市三水日日升 佛山市三水区 ------层铺位 商业连锁有限公司 西南街人民二 新华分店 路94号南座首 ------- 佛山市三水日日升 佛山市三水区 层铺位 商业连锁有限公司 西南街人民二 新华分店 路94号南座首 东莞市长 佛山市三水区西南 佛山市三水区 层铺位 安镇咸西 街华德屋面包店 西南街道新华 工业区振 佛山市三水区西南 路一座首层104 东莞市长 佛山市三水区 兴五街五 街华德屋面包店 西南街道新华 、105(住所申 安镇咸西 号 报) 佛山市三水区西南 路一座首层104 工业区振 东莞市长 佛山市三水区 兴五街五 街华德屋面包店 西南街道新华 、105(住所申 安镇咸西 号 报) 肇庆市鼎 佛山市西酒饮食有 路一座首层104 工业区振 佛山市三水区 湖区院主 限公司 兴五街五 、105(住所申 西南街新华路 号 报) 肇庆市鼎 佛山市西酒饮食有 佛山市三水区 11号西南酒店 湖区院主 限公司 (F1) 西南街新华路 肇庆市鼎 佛山市西酒饮食有 佛山市三水区 11号西南酒店 湖区院主 限公司 (F1) 西南街新华路 11号西南酒店 广州市南 点心公馆(佛山) 佛山市三水区 (F1) 沙区横沥 餐饮管理有限公司 西南街道广海 工业园冯 点心公馆(佛山) 大道中39号201 佛山市三水区 ------马路6号 餐饮管理有限公司 之二(住所申报 西南街道广海 ) 点心公馆(佛山) 大道中39号201 佛山市三水区 ------餐饮管理有限公司 之二(住所申报 西南街道广海 ) 点心公馆(佛山) 大道中39号201 佛山市三水区 ------餐饮管理有限公司 之二(住所申报 西南街道广海 ) 东莞市信 佛山万企百货有限 大道中39号201 佛山市三水区 公司 之二(住所申报 立国际贸 西南街道广海 ) 易城横八 佛山万企百货有限 佛山市三水区 大道中27号三 ------公司 路C型仓 区108号(住所 西南街道广海 库 申报) 佛山万企百货有限 佛山市三水区 大道中27号三 ------公司 区108号(住所 西南街道广海 申报) 大道中27号三 中山市南 佛山万企百货有限 佛山市三水区 公司 区108号(住所 区渡兴西 西南街道广海 申报) 佛山万企百货有限 佛山市三水区 路 大道中27号三 饶平县钱 公司 区108号(住所 东镇上浮 西南街道广海 申报) 山村高堂 佛山万企百货有限 佛山市三水区 大道中27号三 江苏省泰 公司 大道东侧 区108号(住所 州市靖江 西南街道广海 埔心片 佛山万企百货有限 大道中27号三 申报) 市靖城东 饶平县钱 佛山市三水区 公司 区108号(住所 郊工业园 东镇上浮 西南街道广海 区纺织路 佛山市合信百货连 佛山市三水区 申报) 山村沙园 大道中27号三 ------8号 区108号(住所 锁有限公司三水教 西南街道教育 申报) 西路4号首层( 育西路分公司 ------- 佛山市合信百货连 佛山市三水区 住所申报) 锁有限公司三水教 西南街道教育 育西路分公司 西路4号首层( ------- 佛山市合信百货连 佛山市三水区 住所申报) 锁有限公司三水教 西南街道教育 育西路分公司 西路4号首层( 佛山市合信百货连 佛山市三水区 ------住所申报) 锁有限公司三水教 西南街道教育 佛山市三水区淼悦 西路4号首层( 育西路分公司 佛山市三水区 ------饮食服务有限公司 西南街道同福 住所申报) 吉安市永 佛山市三水区淼悦 路11号(商业楼 佛山市三水区 二首层12号、 丰县工业 饮食服务有限公司 西南街道同福 二层12号)(住 园南区 路11号(商业楼 所申报) 二首层12号、 二层12号)(住 黑叶小白 ------- ------菜 箱装生菜 ------- ------农超潺菜 ------- ------箱装油麦 ------- ------菜 芥兰苗 ------- ------学斗白 ------- ------豆沙枧水 200g/ ------粽 只 广式叉烧 200g/ ------粽 只 200g/ 黑米粽 ------只 迷你栗子 200克/ 皇中皇 粽 只 迷你裹蒸 200克/ 皇中皇 粽 只 2021/5/1 0 2021/5/1 0 2021/5/1 0 2021/5/1 0 2021/5/1 0 2021/5/1 0 2021/5/2 2021/5/3 2021/5/3 2021/5/5 2021/5/5 枧水粽 ------- 皇中皇 2021/5/5 岭南美香 15kg/ 粘米 袋 ------- 2021/4/2 0 菜心 ------- ------- 2021/5/7 烧肉 ------- ------- 2021/5/7 凤爪 ------- ------- 2021/5/7 糯米 ------- ------- 2021/4/1 9 黄白菜 ------- ------- 2021/5/8 迟菜心 ------- ------- 2021/5/8 食用植物 900毫 鹰唛 调和油 升/瓶 盐焗鸡翅 60克 4 无穷 小包/ 香烤猪肉 原味 袋 沙发猫 脯 65克/ 酱卤鸭翅 90克 袋 3 无穷 根 小包/ 袋 青瓜 ------- ------- 2021/3/3 2021/3/1 6 2021/4/1 2021/2/2 0 2021/5/8 京包菜 ------- ------- 2021/5/8 奶白菜 ------- ------- 2021/5/8 糯米 ------- ------- 牛腩 ------- ------- 喜鹤油粘 15kg/ 米 袋 ------- 2021/4/1 2 2021/5/1 0 2021/4/2 1 敌敌畏、乐果 、敌百虫、对 硫磷、甲胺磷 敌敌畏、乐果 、六六六、滴 、敌百虫、对 滴涕、铅、镉 硫磷、甲胺磷 敌敌畏、乐果 、六六六、滴 、敌百虫、对 滴涕、铅、镉 硫磷、甲胺磷 敌敌畏、乐果 、六六六、滴 、敌百虫、对 滴涕、铅、镉 硫磷、甲胺磷 敌敌畏、乐果 、六六六、滴 、敌百虫、对 滴涕、铅、镉 硫磷、甲胺磷 敌敌畏、乐果 、六六六、滴 、敌百虫、对 滴涕、铅、镉 硫磷、甲胺磷 苯甲酸、山梨 、六六六、滴 酸、糖精钠、 滴涕、铅、镉 丙酸钙、脱氢 苯甲酸、山梨 乙酸、铅、砷 酸、糖精钠、 、铝、商业无 丙酸钙、脱氢 苯甲酸、山梨 菌 乙酸、铅、砷 酸、糖精钠、 、铝、商业无 丙酸钙、脱氢 苯甲酸、山梨 菌 乙酸、铅、砷 酸、糖精钠、 、铝、商业无 丙酸钙、脱氢 苯甲酸、山梨 菌 乙酸、铅、砷 酸、糖精钠、 、铝、商业无 丙酸钙、脱氢 苯甲酸、山梨 菌 乙酸、铅、砷 酸、糖精钠、 、铝、商业无 丙酸钙、脱氢 铅、镉、铬、 菌 乙酸、铅、砷 总汞、无机砷 、铝、商业无 、黄曲霉毒素 敌敌畏、乐果 菌 B1、六六六、 、敌百虫、对 滴滴涕、马拉 硫磷、甲胺磷 铅、镉、铬、 硫磷、杀螟硫 、六六六、滴 总砷、亚硝酸 磷、喹硫磷、 滴涕、铅、镉 盐、苯甲酸、 罂粟碱、吗啡 赭曲霉毒素A 山梨酸、脱氢 、可待因、那 乙酸、胭脂红 可丁、蒂巴因 铅、镉、铬、 、糖精钠、土 总汞、无机砷 霉素、金霉素 、黄曲霉毒素 敌敌畏、乐果 、四环素、氯 B1、六六六、 、敌百虫、对 霉素、甲砜霉 滴滴涕、马拉 硫磷、甲胺磷 敌敌畏、乐果 素、罂粟碱、 硫磷、杀螟硫 、六六六、滴 、敌百虫、对 防腐剂混合使 磷、喹硫磷、 滴涕、铅、镉 硫磷、甲胺磷 酸价、过氧化 用量的比例之 赭曲霉毒素A 、六六六、滴 值、黄曲霉毒 和 滴涕、铅、镉 素B1、苯并(a 铅、镉、铬、 )芘,塑化剂 总砷、亚硝酸 ( 盐、苯甲酸、 铅、镉、铬、 DBP,DEHP,DIBP 山梨酸、脱氢 总砷、亚硝酸 ) 乙酸、胭脂红 盐、苯甲酸、 铅、镉、铬、 、糖精钠、氯 山梨酸、脱氢 总砷、亚硝酸 霉素、罂粟碱 乙酸、胭脂红 盐、苯甲酸、 敌敌畏、乐果 、防腐剂混合 、糖精钠、氯 山梨酸、脱氢 、敌百虫、对 使用量的比例 霉素、罂粟碱 乙酸、胭脂红 硫磷、甲胺磷 敌敌畏、乐果 之和、菌落总 、防腐剂混合 、糖精钠、氯 、六六六、滴 、敌百虫、对 数、大肠菌群 使用量的比例 霉素、罂粟碱 滴涕、铅、镉 硫磷、甲胺磷 敌敌畏、乐果 、沙门氏菌、 之和、菌落总 、防腐剂混合 、六六六、滴 、敌百虫、对 金黄色葡萄球 数、大肠菌群 使用量的比例 滴涕、铅、镉 硫磷、甲胺磷 铅、镉、铬、 菌、单核细胞 、沙门氏菌、 之和、菌落总 、六六六、滴 总汞、无机砷 增生李斯特氏 金黄色葡萄球 数、大肠菌群 滴涕、铅、镉 、黄曲霉毒素 罂粟碱、吗啡 菌 菌、单核细胞 、沙门氏菌、 B1、六六六、 、可待因、那 增生李斯特氏 金黄色葡萄球 滴滴涕、马拉 可丁、蒂巴因 铅、镉、铬、 菌 菌、单核细胞 硫磷、杀螟硫 总汞、无机砷 增生李斯特氏 磷、喹硫磷、 、黄曲霉毒素 菌 赭曲霉毒素A B1、六六六、 滴滴涕、马拉 合格 合格 合格 合格 合格 合格 食用农 产品 食用农 产品 食用农 产品 食用农 产品 食用农 产品 食用农 产品 市场 2021/5/10 市场 2021/5/10 市场 2021/5/10 市场 2021/5/10 市场 2021/5/10 市场 2021/5/10 合格 糕点 餐饮 2021/5/11 合格 糕点 餐饮 2021/5/11 合格 糕点 餐饮 2021/5/11 合格 糕点 餐饮 2021/5/11 合格 糕点 餐饮 2021/5/11 合格 糕点 餐饮 2021/5/11 粮食加 餐饮 工品 食用农 合格 餐饮 产品 合格 2021/5/7 2021/5/7 合格 肉制品 餐饮 2021/5/7 合格 肉制品 餐饮 2021/5/7 合格 粮食加 工品 食用农 产品 食用农 产品 食用油 、油脂 及其制 肉制品 品 市场 2021/5/8 市场 2021/5/8 市场 2021/5/8 市场 2021/5/8 市场 2021/5/8 合格 肉制品 市场 2021/5/8 合格 肉制品 市场 2021/5/8 合格 合格 合格 合格 食用农 产品 食用农 合格 产品 食用农 合格 产品 粮食加 合格 工品 合格 市场 2021/5/8 市场 2021/5/8 市场 2021/5/8 市场 2021/5/8 合格 肉制品 餐饮 2021/5/10 粮食加 餐饮 工品 2021/5/10 合格 佛山市质 量计量监 督检测中 佛山市质 心 量计量监 督检测中 佛山市质 心 量计量监 督检测中 佛山市质 心 量计量监 督检测中 佛山市质 心 量计量监 督检测中 佛山市质 心 量计量监 督检测中 佛山市质 心 量计量监 督检测中 佛山市质 心 量计量监 督检测中 佛山市质 心 量计量监 督检测中 佛山市质 心 量计量监 督检测中 佛山市质 心 量计量监 督检测中 佛山市质 心 量计量监 督检测中 佛山市质 心 量计量监 督检测中 佛山市质 心 量计量监 督检测中 佛山市质 心 量计量监 督检测中 佛山市质 心 量计量监 督检测中 佛山市质 心 量计量监 督检测中 佛山市质 心 量计量监 督检测中 佛山市质 心 量计量监 督检测中 佛山市质 心 量计量监 督检测中 佛山市质 心 量计量监 督检测中 佛山市质 心 量计量监 督检测中 佛山市质 心 量计量监 督检测中 佛山市质 心 量计量监 督检测中 佛山市质 心 量计量监 督检测中 佛山市质 心 量计量监 督检测中 佛山市质 心 量计量监 督检测中 佛山市质 心 量计量监 督检测中 佛山市质 心 量计量监 督检测中 心 637 638 639 640 641 642 643 644 645 646 647 648 649 650 651 652 653 654 655 656 657 658 659 660 661 662 663 664 665 D21DA0184 D21DA0185 D21DA0186 D21DA0187 D21DA0188 D21DA0189 D21DA0190 D21DA0191 D21DA0192 D21DA0193 D21DA0194 D21DA0195 D21DA0196 D21DA0197 D21DA0198 D21DA0199 D21DA0200 D21DA0201 西南 街道 西南 街道 西南 街道 西南 街道 西南 街道 西南 街道 西南 街道 西南 街道 西南 街道 西南 街道 西南 街道 西南 街道 西南 街道 西南 街道 西南 街道 西南 街道 西南 街道 西南 街道 NCP2144060 7608090001 NCP2144060 7608090002 NCP2144060 7608090003 NCP2144060 7608090004 NCP2144060 7608090005 NCP2144060 7608090006 NCP2144060 7608090007 NCP2144060 7608090008 NCP2144060 7608090009 NCP2144060 7608090010 NCP2144060 7608090011 芦苞 镇 芦苞 镇 芦苞 镇 芦苞 镇 芦苞 镇 芦苞 镇 芦苞 镇 芦苞 镇 芦苞 镇 芦苞 镇 芦苞 镇 佛山市泰迷人 粮油有限公司 佛山市禅城区 招氏好利来百 货商行 ------佛山市三水区 国粮粮油有限 公司 ------------------------------------佛山市南海区 盐步农家宝米 业加工厂 肇庆市皇中皇 裹蒸粽有限公 司 肇庆市皇中皇 裹蒸粽有限公 司 肇庆市皇中皇 裹蒸粽有限公 司 肇庆市皇中皇 裹蒸粽有限公 司 肇庆市皇中皇 裹蒸粽有限公 东莞市永丰源 司 食品有限公司 东莞市永丰源 食品有限公司 / / 广东省佛 佛山市三水日日升 佛山市三水区 山市南海 商业连锁有限公司 西南街道张边 区盐步金 佛山市三水日日升 路6号恒达花园 恒达分店 佛山市三水区 佛山市汾 珠三角粮 商业连锁有限公司 南1068-1086、 西南街道张边 江北路84 油物流中 佛山市三水日日升 1124路6号恒达花园 恒达分店 号佛山综 佛山市三水区 ------心6栋12- 商业连锁有限公司 南1068-1086、 1142、1144合批发市 西南街道张边 17号 1153 1124场东侧铺 路6号恒达花园 恒达分店 佛山市三 佛山市三水中旅集 佛山市三水区 1142、1144位32048 团有限公司华厦酒 南1068-1086、 水区西南 西南新华路42 1153 1124街道对外 佛山市三水中旅集 店 号 佛山市三水区 ------1142、1144经济开发 团有限公司华厦酒 西南新华路42 1153 区西29区 佛山市三水中旅集 店 号 佛山市三水区 ------之一、之 团有限公司华厦酒 西南新华路42 二和西30 佛山市三水中旅集 店 号 佛山市三水区 ------区 团有限公司华厦酒 西南新华路42 店 号 ------- 佛山市三水日日升 佛山市三水区 商业连锁有限公司 西南街道张边 路6号恒达花园 恒达分店 ------- 佛山市三水日日升 佛山市三水区 西南街道张边 商业连锁有限公司 南1068-1086、 1124佛山市三水区西南 路6号恒达花园 恒达分店 佛山市三水区 ------1142、1144街一茶一点餐厅 南1068-1086、 西南街道张边 1153 1124佛山市南 佛山市三水区西南 路9号“三水广 佛山市三水区 1142、1144海区盐步 街一茶一点餐厅 场”一座第三 西南街道张边 1153 层(住所申报) 肇庆市鼎 河东三眼 佛山市三水中旅集 路9号“三水广 佛山市三水区 湖区院主 桥铁路南 团有限公司华厦酒 西南新华路42 场”一座第三 食品货运 佛山市三水中旅集 层(住所申报) 肇庆市鼎 店 号 佛山市三水区 综合楼B 团有限公司华厦酒 西南新华路42 湖区院主 座首层6- 佛山市三水中旅集 肇庆市鼎 店 号 佛山市三水区 10号 湖区院主 团有限公司华厦酒 西南新华路42 肇庆市鼎 佛山市三水中旅集 店 号 佛山市三水区 湖区院主 团有限公司华厦酒 西南新华路42 肇庆市鼎 佛山市三水中旅集 店 号 佛山市三水区 湖区院主 团有限公司华厦酒 西南新华路42 店 号 佛山市三水区 东莞市长 佛山市三水区华之 屋面包店 安镇咸西 西南街道德兴 工业区振 佛山市三水区华之 佛山市三水区 路雅豪居西三 东莞市长 屋面包店 座15(住所申报 兴五号 安镇咸西 西南街道德兴 ) 工业区振 佛山市三水区芦苞 佛山市三水区芦 路雅豪居西三 / 镇广健鲜肉档 苞镇芦苞市场 兴五号 座15(住所申报 ) 佛山市三水区芦苞 佛山市三水区芦 / / / / / / / / / / / / / / / / / / / 镇永顺嘉俊猪肉档 佛山市三水区芦苞 镇优鲜点猪肉档 佛山市三水区芦苞 镇家良猪肉档 佛山市三水区芦苞 镇林桂银猪肉档 佛山市三水区芦苞 镇东媚猪肉档 佛山市三水区芦苞 镇胡守桥菜档 佛山市三水区芦苞 镇胡守桥菜档 佛山市三水区芦苞 镇胡守桥菜档 佛山市三水区芦苞 镇胡守桥菜档 佛山市三水区芦苞 镇胡守桥菜档 苞镇恒福兴盛物 业服务部芦苞市 佛山市三水区芦 场内猪肉档(住 苞镇市场路芦苞 所申报) 市场内猪肉档位3 佛山市三水区芦 号(住所申报) 苞镇芦苞市场内 猪肉档16号铺 佛山市三水区恒 福兴盛物业服务 部芦苞市场内猪 佛山市三水区恒 肉档9号铺 福兴盛物业服务 部芦苞市场内猪 佛山市三水区芦 肉档12号铺 苞镇市场路恒福 兴盛市场菜档12 佛山市三水区芦 号铺 苞镇市场路恒福 兴盛市场菜档12 佛山市三水区芦 号铺 苞镇市场路恒福 兴盛市场菜档12 佛山市三水区芦 号铺 苞镇市场路恒福 兴盛市场菜档12 佛山市三水区芦 号铺 苞镇市场路恒福 兴盛市场菜档12 号铺 散装福洋 ------糯米 散装黑糯 ------米 农超水东 ------芥 金雀丝苗 15kg/ 米 袋 ------- 2021/4/3 ------- ------- ------禾花雀 牛腩 ------- ------- 凤爪 ------- ------- 烧肉 ------- ------- 农超通菜 ------- ------迟菜心 ------- ------豉油皇凤 ------爪 15kg/ 百搭香米 袋 黑糯米裹 400克/ 蒸粽 只 传统裹蒸 400克/ 粽 只 板栗鲜肉 400克/ 粽 只 蛋黄鲜肉 400克/ 粽 只 都市四宝 200克/ 粽 只 200克/ 栗子肉粽 只 传统蛋黄 200克/ 鲜肉粽 只 ------农家宝 2021/5/1 0 2021/4/2 2 2021/5/1 0 2021/5/1 0 2021/5/1 0 2021/5/1 0 2021/5/1 0 2021/5/1 1 2021/4/2 0 ------- 2020/5/8 ------- 2021/5/8 ------- 2021/5/8 ------- 2021/5/8 ------- 2021/5/8 ------------- 2021/5/1 8 2021/5/1 8 猪肉 / / 2021-06-07 猪肉 / / 2021-06-07 猪肉 / / 2021-06-07 猪肉 / / 2021-06-07 猪肉 / / 2021-06-07 猪肉 / / 2021-06-07 上海青 / / 2021-06-07 油麦菜 / / 2021-06-07 小白菜 / / 2021-06-07 通菜 / / 2021-06-07 芥菜 / / 2021-06-07 铅、镉、铬、 总汞、无机砷 、黄曲霉毒素 铅、镉、铬、 B1、六六六、 总汞、无机砷 滴滴涕、马拉 、黄曲霉毒素 敌敌畏、乐果 硫磷、杀螟硫 B1、六六六、 、敌百虫、对 磷、喹硫磷、 滴滴涕、马拉 硫磷、甲胺磷 铅、镉、铬、 赭曲霉毒素A 硫磷、杀螟硫 、六六六、滴 总汞、无机砷 磷、喹硫磷、 滴涕、铅、镉 、黄曲霉毒素 罂粟碱、吗啡 赭曲霉毒素A B1、六六六、 、可待因、那 滴滴涕、马拉 可丁、蒂巴因 罂粟碱、吗啡 硫磷、杀螟硫 、可待因、那 磷、喹硫磷、 可丁、蒂巴因 铅、镉、铬、 赭曲霉毒素A 总砷、亚硝酸 盐、苯甲酸、 敌敌畏、乐果 山梨酸、脱氢 、敌百虫、对 乙酸、胭脂红 硫磷、甲胺磷 敌敌畏、乐果 、糖精钠、土 、六六六、滴 、敌百虫、对 霉素、金霉素 滴涕、铅、镉 硫磷、甲胺磷 罂粟碱、吗啡 、四环素、氯 、六六六、滴 、可待因、那 霉素、甲砜霉 滴涕、铅、镉 可丁、蒂巴因 铅、镉、铬、 素、罂粟碱、 总汞、无机砷 防腐剂混合使 、黄曲霉毒素 苯甲酸、山梨 用量的比例之 B1、六六六、 酸、糖精钠、 和 滴滴涕、马拉 丙酸钙、脱氢 苯甲酸、山梨 硫磷、杀螟硫 乙酸、铅、砷 酸、糖精钠、 磷、喹硫磷、 、铝、菌落总 丙酸钙、脱氢 苯甲酸、山梨 赭曲霉毒素A 数、霉菌、大 乙酸、铅、砷 酸、糖精钠、 肠菌群、沙门 、铝、菌落总 丙酸钙、脱氢 苯甲酸、山梨 氏菌、金黄色 数、霉菌、大 乙酸、铅、砷 酸、糖精钠、 葡萄球菌 肠菌群、沙门 、铝、菌落总 丙酸钙、脱氢 苯甲酸、山梨 氏菌、金黄色 数、霉菌、大 乙酸、铅、砷 酸、糖精钠、 葡萄球菌 肠菌群、沙门 、铝、菌落总 丙酸钙、脱氢 苯甲酸、山梨 氏菌、金黄色 数、霉菌、大 乙酸、铅、砷 酸、糖精钠、 葡萄球菌 肠菌群、沙门 、铝、菌落总 丙酸钙、脱氢 苯甲酸、山梨 氏菌、金黄色 数、霉菌、大 乙酸、铅、砷 酸、糖精钠、 葡萄球菌 肠菌群、沙门 、铝、菌落总 丙酸钙、脱氢 磺胺类(总量) 氏菌、金黄色 数、霉菌、大 乙酸、铅、砷 、恩诺沙星、氯 葡萄球菌 肠菌群、沙门 、铝、商业无 霉素、沙丁胺醇 磺胺类(总量) 氏菌、金黄色 菌 、克伦特罗、莱 、恩诺沙星、氯 葡萄球菌 克多巴胺、呋喃 霉素、沙丁胺醇 磺胺类(总量) 唑酮代谢物、 、克伦特罗、莱 、恩诺沙星、氯 克多巴胺、呋喃 霉素、沙丁胺醇 磺胺类(总量) 唑酮代谢物、 、克伦特罗、莱 、恩诺沙星、氯 克多巴胺、呋喃 霉素、沙丁胺醇 磺胺类(总量) 唑酮代谢物、 、克伦特罗、莱 、恩诺沙星、氯 克多巴胺、呋喃 霉素、沙丁胺醇 磺胺类(总量) 唑酮代谢物、 、克伦特罗、莱 、恩诺沙星、氯 克多巴胺、呋喃 霉素、沙丁胺醇 毒死蜱、啶虫脒 唑酮代谢物、 、克伦特罗、莱 、氟虫腈、阿维 克多巴胺、呋喃 菌素、氧乐果、 氟虫腈、氧乐果 唑酮代谢物、 甲拌磷、甲基异 、甲胺磷、克百 柳磷、灭多威、 威、阿维菌素、 毒死蜱、啶虫脒 啶虫脒、水胺硫 、氟虫腈、阿维 磷、 菌素、氧乐果、 啶虫脒、氟虫腈 甲拌磷、甲基异 、阿维菌素、氧 柳磷、灭多威、 乐果、甲拌磷、 阿维菌素、氟虫 甲基异柳磷、灭 腈、甲拌磷、氧 多威、 乐果、吡虫啉、 敌敌畏、 粮食加 工品 粮食加 合格 工品 食用农 合格 产品 粮食加 合格 工品 合格 市场 2021/5/10 市场 2021/5/10 市场 2021/5/10 餐饮 2021/5/10 合格 肉制品 餐饮 2021/5/10 合格 肉制品 餐饮 2021/5/10 合格 肉制品 餐饮 2021/5/10 食用农 合格 市场 产品 食用农 合格 市场 产品 2021/5/10 2021/5/10 合格 肉制品 餐饮 2021/5/11 合格 粮食加 餐饮 工品 2021/5/11 合格 糕点 餐饮 2021/5/25 合格 糕点 餐饮 2021/5/25 合格 糕点 餐饮 2021/5/25 合格 糕点 餐饮 2021/5/25 合格 糕点 餐饮 2021/5/25 合格 糕点 餐饮 2021/5/25 合格 糕点 餐饮 2021/5/25 食用农 产品 食用农 产品 食用农 产品 食用农 产品 食用农 产品 食用农 产品 食用农 产品 食用农 产品 食用农 产品 食用农 产品 食用农 产品 流通环 节 流通环 节 流通环 节 流通环 节 流通环 节 流通环 节 流通环 节 流通环 节 流通环 节 流通环 节 流通环 节 合格 合格 合格 合格 合格 合格 合格 合格 合格 合格 合格 2021-06-07 2021-06-07 2021-06-07 2021-06-07 2021-06-07 2021-06-07 2021-06-07 2021-06-07 2021-06-07 2021-06-07 2021-06-07 佛山市质 量计量监 督检测中 佛山市质 心 量计量监 督检测中 佛山市质 心 量计量监 督检测中 佛山市质 心 量计量监 督检测中 佛山市质 心 量计量监 督检测中 佛山市质 心 量计量监 督检测中 佛山市质 心 量计量监 督检测中 佛山市质 心 量计量监 督检测中 佛山市质 心 量计量监 督检测中 佛山市质 心 量计量监 督检测中 佛山市质 心 量计量监 督检测中 佛山市质 心 量计量监 督检测中 佛山市质 心 量计量监 督检测中 佛山市质 心 量计量监 督检测中 佛山市质 心 量计量监 督检测中 佛山市质 心 量计量监 督检测中 佛山市质 心 量计量监 督检测中 佛山市质 心 量计量监 督检测中 精益和泰质 心 量检测股份 有限公司 精益和泰质 量检测股份 有限公司 精益和泰质 量检测股份 有限公司 精益和泰质 量检测股份 有限公司 精益和泰质 量检测股份 有限公司 精益和泰质 量检测股份 有限公司 精益和泰质 量检测股份 有限公司 精益和泰质 量检测股份 有限公司 精益和泰质 量检测股份 有限公司 精益和泰质 量检测股份 有限公司 精益和泰质 量检测股份 有限公司 666 667 668 669 670 671 672 673 674 675 676 677 678 679 680 681 682 683 684 685 686 687 688 689 690 691 692 693 694 NCP2144060 7608090012 NCP2144060 7608090013 NCP2144060 7608090014 NCP2144060 7608090015 NCP2144060 7608090016 NCP2144060 7608090017 NCP2144060 7608090018 NCP2144060 7608090019 NCP2144060 7608090020 XC21440607 608090001 XC21440607 608090002 XC21440607 608090003 XC21440607 608090004 XC21440607 608090005 XC21440607 608090006 XC21440607 608090007 XC21440607 608090008 XC21440607 608090009 XC21440607 608090010 XC21440607 608090011 XC21440607 608090012 XC21440607 608090013 XC21440607 608090014 XC21440607 608090015 XC21440607 608090016 XC21440607 608090017 XC21440607 608090018 XC21440607 608090019 XC21440607 608090020 芦苞 镇 芦苞 镇 芦苞 镇 芦苞 镇 芦苞 镇 芦苞 镇 芦苞 镇 芦苞 镇 芦苞 镇 芦苞 镇 芦苞 镇 芦苞 镇 芦苞 镇 芦苞 镇 芦苞 镇 芦苞 镇 芦苞 镇 芦苞 镇 芦苞 镇 芦苞 镇 芦苞 镇 芦苞 镇 芦苞 镇 芦苞 镇 芦苞 镇 芦苞 镇 芦苞 镇 芦苞 镇 芦苞 镇 / / / / / / / / / / / / / / / / / / 黑龙江省老村長 黑龙江省 酒业有限公司 哈尔滨市 黑龙江省老村長 黑龙江省 双城区西 酒业有限公司 直路75号 哈尔滨市 双城区西 北京顺鑫农业股 香河新兴 直路75号 份有限公司牛栏 产业示范 广东石湾酒厂集 区纬二路 山酒厂香河生产 广东省佛 团有限公司 基地 南侧河香 山市石湾 道西侧 广东鹰唛食品有 中山市南 镇太平街 限公司 106号 区渡兴西 江苏洋河酒厂股 江苏省宿 路 份有限公司 迁市洋河 北京顺鑫农业股 中大街118 成都市蒲 号 份有限公司牛栏 江县大塘 山酒厂成都生产 镇西街158 北京顺鑫农业股 北京市顺 基地 号 份有限公司牛栏 义区牛栏 广东省九江酒厂 山酒厂 山镇(牛 广东省佛 有限公司 山地区办 山市南海 事处东侧 广东顺德酒厂有 佛山市顺 区九江镇 ) 限公司 沙口 德区大良 吴川市梅泉酒业 吴川市覃 街道办事 有限公司 处五沙社 巴镇高岭 区居民委 地段 北京红星股份有 天津市宁 员会顺昌 限公司第一分公 河区芦台 路22号 广东顺德酒厂有 司 镇芦汉路 佛山市顺 限公司 40号 德区大良 武城龙赢天下酒 武城县德 街道办事 业有限公司 武新区 处五沙社 区居民委 中国·泸州老窖 四川泸州 员会顺昌 股份有限公司 国窖广场 路22号 广州市大臻鸿茶 广州市荔 业有限公司 湾区东联 勐海郎河茶业有 路62号4楼 勐海县八 限公司 公里工业 深圳南顺油脂有 深圳市南 园区 限公司 山区招商 益海(广州)粮 广州经济 街道蛇口 油工业有限公司 技术开发 港湾大道 南康路28 东莞鲁花食用油 东莞市麻 区东江大 号 有限公司 道2号 涌镇漳澎 村新沙工 业园内 佛山市三水区芦苞 镇鲜明菜档 佛山市三水区芦苞 镇鲜明菜档 佛山市三水区芦苞 镇鲜明菜档 佛山市三水区芦苞 镇鲜明菜档 佛山市三水区芦苞 镇鲜明菜档 佛山市三水区芦苞 镇陈连娇鱼档 佛山市三水区芦苞 镇陈连娇鱼档 佛山市三水区芦苞 镇志东光鸡档 佛山市三水区芦苞 镇志东光鸡档 佛山市三水区芦苞 镇乐儿多副食店 佛山市三水区芦苞 镇乐儿多副食店 佛山市三水区芦苞 镇乐儿多副食店 佛山市三水区芦苞 镇乐儿多副食店 佛山市三水区芦苞 镇乐儿多副食店 佛山市三水区芦苞 镇世良利民便利店 佛山市三水区芦苞 镇世良利民便利店 佛山市三水区芦苞 镇世良利民便利店 佛山市三水区芦苞 镇世良利民便利店 佛山市三水区芦苞 镇世良利民便利店 佛山市三水区芦苞 镇人人乐日杂店 佛山市三水区芦苞 镇人人乐日杂店 佛山市三水区芦苞 镇人人乐日杂店 佛山市三水区芦苞 镇人人乐日杂店 佛山市三水区芦苞 镇人人乐日杂店 佛山市三水区芦苞 镇惠多惠百货店 佛山市三水区芦苞 镇惠多惠百货店 佛山市三水区芦苞 镇惠多惠百货店 佛山市三水区芦苞 镇惠多惠百货店 佛山市三水区芦苞 镇惠多惠百货店 佛山市三水区芦 上海青 苞镇芦苞市场内 菜档6号档 佛山市三水区芦 油麦菜 苞镇芦苞市场内 菜档6号档 佛山市三水区芦 芥菜 苞镇芦苞市场内 菜档6号档 佛山市三水区芦 迟菜心 苞镇芦苞市场内 菜档6号档 佛山市三水区芦 通菜 苞镇芦苞市场内 鲩鱼(淡水 菜档6号档 佛山市三水区恒 ) 福兴盛物业服务 部芦苞市场内鱼 佛山市三水区恒 梭鱼(淡水 ) 档3号铺 福兴盛物业服务 部芦苞市场内鱼 佛山市三水区恒 鸡肉 档3号铺 福兴盛物业服务 部芦苞市场内光 佛山市三水区恒 鸭肉 鸡档7号铺 福兴盛物业服务 部芦苞市场内光 白酒(酒精 佛山市三水区芦 鸡档7号铺 苞镇公园北路逸 度:40% 翠花园B区101 白酒(酒精 vol) 佛山市三水区芦 苞镇公园北路逸 度:38% 翠花园B区101 牛栏山陈酿 vol) 佛山市三水区芦 苞镇公园北路逸 白酒(酒精 翠花园B区101 玉冰烧豉香 度:43% 佛山市三水区芦 vol) 苞镇公园北路逸 型白酒(酒 翠花园B区101 精度:29% 佛山市三水区芦 鹰唛花生油 vol) 苞镇公园北路逸 翠花园B区101 佛山市三水区芦 洋河大曲敦 苞镇工业南路1号 煌酒(酒精 前座105、106号 牛栏山陈酿 度:42% 佛山市三水区芦 (住所申报) 白酒(酒精 vol) 苞镇工业南路1号 前座105、106号 牛栏山百年 度:42% 佛山市三水区芦 (住所申报) 白酒(酒精 vol) 苞镇工业南路1号 前座105、106号 九江双蒸酒 度:52% 佛山市三水区芦 (住所申报) (酒精度: vol) 苞镇工业南路1号 前座105、106号 红米酒(酒 29.5%vol 佛山市三水区芦 (住所申报) 精度:30% ) 苞镇工业南路1号 vol) 前座105、106号 广东米酒( 佛山市三水区芦 (住所申报) 酒精度:18 苞镇东海路名雅 苑首层1 %vol) 佛山市三水区芦 红星二锅头 苞镇东海路名雅 酒(酒精度 苑首层1 :55%vol 佛山市三水区芦 红米酒清雅 ) 苞镇东海路名雅 白酒(酒精 苑首层1 度:30% 佛山市三水区芦 绵柔老白干 vol) 苞镇东海路名雅 (酒精度: 苑首层1 42%vol) 佛山市三水区芦 泸州老窖二 苞镇东海路名雅 曲白酒(绿 佛山市三水区芦 春秋·醇和 苑首层1 瓶装)(酒 苞镇市场路5号 精度:40.9 普洱黑茶 %vol) 佛山市三水区芦 普洱茶 苞镇市场路5号 佛山市三水区芦 压榨花生油 苞镇市场路5号 佛山市三水区芦 特香花生油 苞镇市场路5号 佛山市三水区芦 5S压榨一级 苞镇市场路5号 花生油 / / / / / / / / / / / / / / / / / / 450ml/ 瓶 450ml/ 瓶 500ml/ 瓶 500ml/ 瓶 900毫 升/瓶 500mL/ 瓶 500ml/ 瓶 500mL/ 瓶 610ml/ 瓶 610mL/ 瓶 620ml/ 瓶 500mL/ 瓶 500mL/ 瓶 450ml/ 瓶 500ml/ 瓶 200克/ 罐 357克/ 盒 900毫 升/瓶 900毫 升/瓶 1升/瓶 老村長 老村長 牛栏山 石湾 鹰唛 洋河 牛栏山 牛栏山 远航九江 / 图文商标 红星 红荔牌 图文商标 瀘洲老窖 合大福 华方苑 刀嘜 金龙鱼 鲁花 毒死蜱、啶虫脒 、氟虫腈、阿维 菌素、氧乐果、 氟虫腈、氧乐果 2021-06-07 甲拌磷、甲基异 、甲胺磷、克百 柳磷、灭多威、 威、阿维菌素、 阿维菌素、氟虫 2021-06-07 啶虫脒、水胺硫 腈、甲拌磷、氧 磷、 乐果、吡虫啉、 氟虫腈、甲胺磷 2021-06-07 敌敌畏、 、甲拌磷、克百 威、氧乐果、啶 啶虫脒、氟虫腈 2021-06-07 虫脒、阿维菌素 、阿维菌素、氧 、 乐果、甲拌磷、 恩诺沙星、孔雀 2021-06-07 甲基异柳磷、灭 石绿、地西泮、 多威、 呋喃唑酮代谢物 恩诺沙星、孔雀 2021-06-07 、氯霉素、挥发 石绿、地西泮、 性盐基氮、镉( 呋喃唑酮代谢物 甲氧苄啶、磺胺 2021-06-05 以Cd计)、氟苯 、氯霉素、挥发 类(总量)、恩 尼考、呋喃西林 性盐基氮、镉( 诺沙星、五氯酚 呋喃唑酮代谢物 2021-06-05 代谢物、 以Cd计)、氟苯 酸钠(以五氯酚 、氯霉素、氟苯 尼考、呋喃西林 计)、土霉素、 尼考、土霉素、 酒精度、甜蜜素 2020-10-20 代谢物、 金霉素、呋喃唑 金霉素、恩诺沙 (以环己基氨基 酮代谢物、 星、氧氟沙星、 磺酸计)、甲醇 酒精度、甜蜜素 2018-08-25 五氯酚酸钠(以 、氰化物(以HCN (以环己基氨基 五氯酚计)、 计)、铅(以Pb 磺酸计)、甲醇 酒精度、甜蜜素 2020-04-01 计)、糖精钠( 、氰化物(以HCN (以环己基氨基 以糖精计)、 计)、铅(以Pb 磺酸计)、甲醇 酒精度、甜蜜素 2020-09-08 计)、糖精钠( 、氰化物(以HCN (以环己基氨基 以糖精计)、 计)、铅(以Pb 磺酸计)、甲醇 酸价、过氧化值 2021-04-06 计)、糖精钠( 、氰化物(以HCN 、铅(以Pb计) 以糖精计)、 计)、铅(以Pb 、黄曲霉毒素 酒精度、甜蜜素 2020-06-11 计)、糖精钠( B^{1^}、 (以环己基氨基 以糖精计)、 磺酸计)、甲醇 酒精度、甜蜜素 2021-04-14 、氰化物(以HCN (以环己基氨基 计)、铅(以Pb 磺酸计)、甲醇 酒精度、甜蜜素 2020-06-15 计)、糖精钠( 、氰化物(以HCN (以环己基氨基 以糖精计)、 计)、铅(以Pb 磺酸计)、甲醇 酒精度、甜蜜素 2021-01-05 计)、糖精钠( 、氰化物(以HCN (以环己基氨基 以糖精计)、 计)、铅(以Pb 磺酸计)、甲醇 酒精度、甜蜜素 2021-01-09 计)、糖精钠( 、氰化物(以HCN (以环己基氨基 以糖精计)、 计)、铅(以Pb 磺酸计)、甲醇 酒精度、甜蜜素 2020-12-09 计)、糖精钠( 、氰化物(以HCN (以环己基氨基 以糖精计)、 计)、铅(以Pb 磺酸计)、甲醇 酒精度、甜蜜素 2020-06-17 计)、糖精钠( 、氰化物(以HCN (以环己基氨基 以糖精计)、 计)、铅(以Pb 磺酸计)、甲醇 酒精度、甜蜜素 2020-12-01 计)、糖精钠( 、氰化物(以HCN (以环己基氨基 以糖精计)、 计)、铅(以Pb 磺酸计)、甲醇 酒精度、甜蜜素 2020-05-07 计)、糖精钠( 、氰化物(以HCN (以环己基氨基 以糖精计)、 计)、铅(以Pb 磺酸计)、甲醇 酒精度、甜蜜素 2019-04-25 计)、糖精钠( 、氰化物(以HCN (以环己基氨基 以糖精计)、 计)、铅(以Pb 磺酸计)、甲醇 铅(以Pb计)、 2021-04-06 计)、糖精钠( 、氰化物(以HCN 六六六、滴滴涕 以糖精计)、 计)、铅(以Pb 、联苯菊酯、草 铅(以Pb计)、 2020-10-30 计)、糖精钠( 甘膦、乙酰甲胺 六六六、滴滴涕 以糖精计)、 磷、灭多威、氯 、联苯菊酯、草 酸价、过氧化值 2020-07-23 氰菊酯和高效氯 甘膦、乙酰甲胺 、铅(以Pb计) 氰菊酯、 磷、灭多威、氯 、黄曲霉毒素 酸价、过氧化值 2021-03-15 氰菊酯和高效氯 B^{1^}、 、铅(以Pb计) 氰菊酯、 、黄曲霉毒素 酸价、过氧化值 2021-03-11 B^{1^}、 、铅(以Pb计) 、黄曲霉毒素 B^{1^}、 2021-06-07 合格 合格 合格 合格 合格 合格 合格 合格 合格 食用农 产品 食用农 产品 食用农 产品 食用农 产品 食用农 产品 食用农 产品 食用农 产品 食用农 产品 食用农 产品 合格 酒类 合格 酒类 合格 酒类 合格 酒类 合格 合格 食用油 、油脂 及其制 酒类 品 合格 酒类 合格 酒类 合格 酒类 合格 酒类 合格 酒类 合格 酒类 合格 酒类 合格 酒类 合格 酒类 合格 合格 合格 合格 合格 茶叶及 相关制 品 茶叶及 相关制 品 食用油 、油脂 及其制 食用油 品 、油脂 及其制 食用油 品 、油脂 及其制 品 流通环 节 流通环 节 流通环 节 流通环 节 流通环 节 流通环 节 流通环 节 流通环 节 流通环 节 流通环 节 流通环 节 流通环 节 流通环 节 流通环 节 流通环 节 流通环 节 流通环 节 流通环 节 流通环 节 流通环 节 流通环 节 流通环 节 流通环 节 流通环 节 流通环 节 流通环 节 流通环 节 流通环 节 流通环 节 2021-06-07 2021-06-07 2021-06-07 2021-06-07 2021-06-07 2021-06-07 2021-06-07 2021-06-07 2021-06-07 2021-06-05 2021-06-05 2021-06-05 2021-06-05 2021-06-05 2021-06-05 2021-06-05 2021-06-05 2021-06-05 2021-06-05 2021-06-05 2021-06-05 2021-06-05 2021-06-05 2021-06-05 2021-06-05 2021-06-05 2021-06-05 2021-06-05 2021-06-05 精益和泰质 量检测股份 有限公司 精益和泰质 量检测股份 有限公司 精益和泰质 量检测股份 有限公司 精益和泰质 量检测股份 有限公司 精益和泰质 量检测股份 有限公司 精益和泰质 量检测股份 有限公司 精益和泰质 量检测股份 有限公司 精益和泰质 量检测股份 有限公司 精益和泰质 量检测股份 有限公司 精益和泰质 量检测股份 有限公司 精益和泰质 量检测股份 有限公司 精益和泰质 量检测股份 有限公司 精益和泰质 量检测股份 有限公司 精益和泰质 量检测股份 有限公司 精益和泰质 量检测股份 有限公司 精益和泰质 量检测股份 有限公司 精益和泰质 量检测股份 有限公司 精益和泰质 量检测股份 有限公司 精益和泰质 量检测股份 有限公司 精益和泰质 量检测股份 有限公司 精益和泰质 量检测股份 有限公司 精益和泰质 量检测股份 有限公司 精益和泰质 量检测股份 有限公司 精益和泰质 量检测股份 有限公司 精益和泰质 量检测股份 有限公司 精益和泰质 量检测股份 有限公司 精益和泰质 量检测股份 有限公司 精益和泰质 量检测股份 有限公司 精益和泰质 量检测股份 有限公司 695 696 697 698 699 700 701 702 703 704 705 706 707 708 709 710 711 712 713 714 715 716 717 718 719 720 721 722 723 XC21440607 608090021 XC21440607 608090022 XC21440607 608090023 XC21440607 608090024 XC21440607 608090025 XC21440607 608090026 XC21440607 608090027 XC21440607 608090028 XC21440607 608090029 XC21440607 608090030 XC21440607 608090031 XC21440607 608090032 XC21440607 608090033 XC21440607 608090034 XC21440607 608090035 XC21440607 608090036 XC21440607 608090037 XC21440607 608090038 XC21440607 608090039 XC21440607 608090040 XC21440607 608090041 XC21440607 608090042 XC21440607 608090043 XC21440607 608090044 XC21440607 608090045 XC21440607 608090046 XC21440607 608090047 XC21440607 608090048 XC21440607 608090049 芦苞 镇 芦苞 镇 芦苞 镇 芦苞 镇 芦苞 镇 芦苞 镇 芦苞 镇 芦苞 镇 芦苞 镇 芦苞 镇 芦苞 镇 芦苞 镇 芦苞 镇 芦苞 镇 芦苞 镇 芦苞 镇 芦苞 镇 芦苞 镇 芦苞 镇 芦苞 镇 芦苞 镇 芦苞 镇 芦苞 镇 芦苞 镇 芦苞 镇 芦苞 镇 芦苞 镇 芦苞 镇 芦苞 镇 / / / / / / / / / / / / / / / / / / / / / / 益海(广州)粮 油工业有限公司 广东鹰唛食品有 限公司 益海(广州)粮 油工业有限公司 佛山市御福园米 业有限公司 佛山市三水乐福 米业有限公司 广州经济 技术开发 区东江大 中山市南 道2号 区渡兴西 路 广州经济 技术开发 区东江大 佛山市顺 道2号 德区陈村 镇石洲村 佛山市三 委会岗北 水区乐平 工业区建 镇乐平大 / 业四路3号 道50号 首层厂房 / / / 广州市红球米业 广州市花 有限公司 都区秀全 佛山市冠香米业 佛山市南 街迎宾大 有限公司 道自编153 海区大沥 广州市红球米业 号全部之2 镇盐部河 广州市花 厂房 有限公司 东建和村 都区迎宾 广东金珠 广州市红球米业 大道自编 广州市花 三角粮油 有限公司 153号南头 都区秀全 物流中心 工业园 街迎宾大 / / 内B栋首层 道自编153 16、17、 号全部之2 / / 18、19、 厂房 20号商铺 / / / / / / / / / / 佛山市三水区芦苞 镇中合美烧腊店 佛山市三水区芦苞 镇中合美烧腊店 佛山市三水区芦苞 镇中合美烧腊店 佛山市三水区芦苞 镇姐妹烧腊店 佛山市三水区芦苞 镇姐妹烧腊店 佛山市三水区芦苞 镇姐妹烧腊店 佛山市三水区芦苞 镇淼兴鑫烧腊店 佛山市三水区芦苞 镇淼兴鑫烧腊店 佛山市三水区芦苞 镇淼兴鑫烧腊店 佛山市三水区芦苞 镇淼兴鑫烧腊店 佛山市三水区芦苞 镇喜悦悦副食店 佛山市三水区芦苞 镇刘太勇副食店 佛山市三水区芦苞 镇刘太勇副食店 佛山市三水区芦苞 镇刘太勇副食店 佛山市三水区芦苞 镇刘太勇副食店 佛山市三水区芦苞 镇刘太勇副食店 佛山市三水区芦苞 镇荣钧粮油店 佛山市三水区芦苞 镇永永花生油店 佛山市三水区芦苞 镇谢伟坚副食店 佛山市三水区芦苞 镇谢伟坚副食店 佛山市三水区芦苞 镇毅升源粮油店 佛山市三水区芦苞 镇毅升源粮油店 佛山市三水区芦苞 镇风味轩熟食店 佛山市三水区芦苞 镇风味轩熟食店 佛山市三水区芦苞 镇风味轩熟食店 佛山市三水区芦苞 镇风味轩熟食店 佛山市三水区芦苞 镇刘能文豆腐店 佛山市三水区芦苞 镇刘能文豆腐店 佛山市三水区芦苞 镇刘能文豆腐店 佛山市三水区恒 烧鸭 福兴盛物业服务 部芦苞市场内烧 佛山市三水区恒 烧肉 腊档1号铺 福兴盛物业服务 部芦苞市场内烧 佛山市三水区恒 豉油鸡 腊档1号铺 福兴盛物业服务 部芦苞市场内烧 佛山市三水区芦 烧鸭 腊档1号铺 苞镇恒福兴盛物 业服务部芦苞市 佛山市三水区芦 叉烧 场内烧腊档3号 苞镇恒福兴盛物 业服务部芦苞市 佛山市三水区芦 烧肉 场内烧腊档3号 苞镇恒福兴盛物 业服务部芦苞市 佛山市三水区芦 叉烧 场内烧腊档3号 苞镇市场路24号 首层(住所申报 佛山市三水区芦 烧鸭 ) 苞镇市场路24号 首层(住所申报 佛山市三水区芦 盐焗鸡 ) 苞镇市场路24号 首层(住所申报 佛山市三水区芦 卤水鸭 ) 苞镇市场路24号 首层(住所申报 佛山市三水区芦 花生油 ) 苞镇公园南路10 号首层10之二( 佛山市三水区芦 纯正花生油 住所申报) 苞镇市场内付食 区3号档 佛山市三水区芦 鹰唛花生油 苞镇市场内付食 胡姬花古法 区3号档 佛山市三水区芦 花生油 苞镇市场内付食 区3号档 佛山市三水区芦 御品佳穗® 苞镇市场内付食 一快乐家园 乐福鼠牙软 区3号档 米 佛山市三水区芦 粘米 苞镇市场内付食 佛山市三水区芦 区3号档 花生油 苞镇市场路22号 佛山市三水区芦 花生油 苞镇市场路C座13 号商铺 佛山市三水区恒 爵马油粘米 福兴盛物业服务 部芦苞镇市场内 外婆桥宫廷 佛山市三水区恒 副食档1号铺 贡米(大米 福兴盛物业服务 ) 部芦苞镇市场内 佛山市三水区芦 金犁香米 副食档1号铺 苞镇市场路新市 场15号(住所申 佛山市三水区芦 味稻香米 报) 苞镇市场路新市 场15号(住所申 佛山市三水区芦 盐焗鸡 报) 苞镇市场路19号 首层02 佛山市三水区芦 烧肉 苞镇市场路19号 首层02 佛山市三水区芦 叉烧 苞镇市场路19号 首层02 佛山市三水区芦 烧鸭 苞镇市场路19号 首层02 佛山市三水区芦 卤香豆干 苞镇市场路20号 首层自编2号(住 佛山市三水区芦 烟熏豆干 所申报) 苞镇市场路20号 首层自编2号(住 佛山市三水区芦 炸豆腐 所申报) 苞镇市场路20号 首层自编2号(住 所申报) / / / / / / / / / / / 1.8升/ 瓶 1.38升 /瓶 400毫 升/瓶 5千克/ 包 5kg/包 / / 5kg/包 5kg/包 5kg/包 5kg/包 / / / / / / / 铅(以Pb计)、 镉(以Cd计)、 铬(以Cr计)、 铅(以Pb计)、 / 2021-06-06 柠檬黄、日落黄 镉(以Cd计)、 、胭脂红、诱惑 铬(以Cr计)、 铅(以Pb计)、 / 2021-06-06 红、亚硝酸盐( 柠檬黄、日落黄 镉(以Cd计)、 以NaNO^{2^}计) 、胭脂红、诱惑 铬(以Cr计)、 铅(以Pb计)、 / 2021-06-06 、苯甲酸及其钠 红、亚硝酸盐( 柠檬黄、日落黄 镉(以Cd计)、 盐(以苯甲酸计 以NaNO^{2^}计) 、胭脂红、诱惑 铬(以Cr计)、 铅(以Pb计)、 / 2021-06-06 )、 、苯甲酸及其钠 红、亚硝酸盐( 柠檬黄、日落黄 镉(以Cd计)、 盐(以苯甲酸计 以NaNO^{2^}计) 、胭脂红、诱惑 铬(以Cr计)、 铅(以Pb计)、 / 2021-06-06 )、 、苯甲酸及其钠 红、亚硝酸盐( 柠檬黄、日落黄 镉(以Cd计)、 盐(以苯甲酸计 以NaNO^{2^}计) 、胭脂红、诱惑 铬(以Cr计)、 铅(以Pb计)、 / 2021-06-06 )、 、苯甲酸及其钠 红、亚硝酸盐( 柠檬黄、日落黄 镉(以Cd计)、 盐(以苯甲酸计 以NaNO^{2^}计) 、胭脂红、诱惑 铬(以Cr计)、 铅(以Pb计)、 / 2021-06-06 )、 、苯甲酸及其钠 红、亚硝酸盐( 柠檬黄、日落黄 镉(以Cd计)、 盐(以苯甲酸计 以NaNO^{2^}计) 、胭脂红、诱惑 铬(以Cr计)、 铅(以Pb计)、 / 2021-06-06 )、 、苯甲酸及其钠 红、亚硝酸盐( 柠檬黄、日落黄 镉(以Cd计)、 盐(以苯甲酸计 以NaNO^{2^}计) 、胭脂红、诱惑 铬(以Cr计)、 铅(以Pb计)、 / 2021-06-06 )、 、苯甲酸及其钠 红、亚硝酸盐( 柠檬黄、日落黄 镉(以Cd计)、 盐(以苯甲酸计 以NaNO^{2^}计) 、胭脂红、诱惑 铬(以Cr计)、 酸价、过氧化值 / 2021-05-31 )、 、苯甲酸及其钠 红、亚硝酸盐( 柠檬黄、日落黄 、铅(以Pb计) 盐(以苯甲酸计 以NaNO^{2^}计) 、胭脂红、诱惑 、黄曲霉毒素 酸价、过氧化值 金龙鱼 2020-11-19 )、 、苯甲酸及其钠 红、亚硝酸盐( B^{1^}、 、铅(以Pb计) 盐(以苯甲酸计 以NaNO^{2^}计) 、黄曲霉毒素 酸价、过氧化值 鹰唛 2021-03-22 )、 、苯甲酸及其钠 B^{1^}、 、铅(以Pb计) 盐(以苯甲酸计 、黄曲霉毒素 酸价、过氧化值 古法花生油 2021-03-19 )、 B^{1^}、 、铅(以Pb计) 、黄曲霉毒素 铅(以Pb计)、 御品佳穗 2021-03-15 B^{1^}、 镉(以Cd计)、 黄曲霉毒素 铅(以Pb计)、 郑氏乐福 2021-05-08 B^{1^}、六六六 镉(以Cd计)、 、滴滴涕、 黄曲霉毒素 酸价、过氧化值 / 2021-05-10 B^{1^}、六六六 、铅(以Pb计) 、滴滴涕、 、黄曲霉毒素 酸价、过氧化值 / 2021-05-20 B^{1^}、 、铅(以Pb计) 、黄曲霉毒素 铅(以Pb计)、 德珠 2021-05-18 B^{1^}、 镉(以Cd计)、 黄曲霉毒素 铅(以Pb计)、 / 2021-05-16 B^{1^}、六六六 镉(以Cd计)、 、滴滴涕、 黄曲霉毒素 铅(以Pb计)、 / 2021-05-18 B^{1^}、六六六 镉(以Cd计)、 、滴滴涕、 黄曲霉毒素 铅(以Pb计)、 / 2021-05-31 B^{1^}、六六六 镉(以Cd计)、 、滴滴涕、 黄曲霉毒素 铅(以Pb计)、 / 2021-06-08 B^{1^}、六六六 镉(以Cd计)、 、滴滴涕、 铬(以Cr计)、 铅(以Pb计)、 / 2021-06-08 柠檬黄、日落黄 镉(以Cd计)、 、胭脂红、诱惑 铬(以Cr计)、 铅(以Pb计)、 / 2021-06-08 红、亚硝酸盐( 柠檬黄、日落黄 镉(以Cd计)、 以NaNO^{2^}计) 、胭脂红、诱惑 铬(以Cr计)、 铅(以Pb计)、 / 2021-06-08 、苯甲酸及其钠 红、亚硝酸盐( 柠檬黄、日落黄 镉(以Cd计)、 盐(以苯甲酸计 以NaNO^{2^}计) 、胭脂红、诱惑 铬(以Cr计)、 二氧化硫残留量 / 2021-06-08 )、 、苯甲酸及其钠 红、亚硝酸盐( 柠檬黄、日落黄 、山梨酸及其钾 盐(以苯甲酸计 以NaNO^{2^}计) 、胭脂红、诱惑 盐(以山梨酸计 二氧化硫残留量 / 2021-06-08 )、 、苯甲酸及其钠 红、亚硝酸盐( )、苯甲酸及其 、山梨酸及其钾 盐(以苯甲酸计 以NaNO^{2^}计) 钠盐(以苯甲酸 盐(以山梨酸计 二氧化硫残留量 / 2021-06-08 )、 、苯甲酸及其钠 计)、脱氢乙酸 )、苯甲酸及其 、山梨酸及其钾 盐(以苯甲酸计 及其钠盐(以脱 钠盐(以苯甲酸 盐(以山梨酸计 )、 氢乙酸计)、甲 计)、脱氢乙酸 )、苯甲酸及其 醛次硫酸氢钠( 及其钠盐(以脱 钠盐(以苯甲酸 以甲醛计)、 氢乙酸计)、甲 / 2021-06-06 合格 肉制品 合格 肉制品 合格 肉制品 合格 肉制品 合格 肉制品 合格 肉制品 合格 肉制品 合格 肉制品 合格 肉制品 合格 肉制品 合格 合格 合格 合格 合格 合格 合格 合格 合格 合格 合格 合格 食用油 、油脂 及其制 食用油 品 、油脂 及其制 食用油 品 、油脂 及其制 食用油 品 、油脂 粮食加 及其制 工品 品 粮食加 工品 食用油 、油脂 及其制 食用油 品 、油脂 粮食加 及其制 工品 品 粮食加 工品 粮食加 工品 粮食加 工品 合格 肉制品 合格 肉制品 合格 肉制品 合格 肉制品 合格 豆制品 合格 豆制品 合格 豆制品 流通环 节 流通环 节 流通环 节 流通环 节 流通环 节 流通环 节 流通环 节 流通环 节 流通环 节 流通环 节 流通环 节 流通环 节 流通环 节 流通环 节 流通环 节 流通环 节 流通环 节 流通环 节 流通环 节 流通环 节 流通环 节 流通环 节 流通环 节 流通环 节 流通环 节 流通环 节 流通环 节 流通环 节 流通环 节 2021-06-06 2021-06-06 2021-06-06 2021-06-06 2021-06-06 2021-06-06 2021-06-06 2021-06-06 2021-06-06 2021-06-06 2021-06-06 2021-06-06 2021-06-06 2021-06-06 2021-06-06 2021-06-06 2021-06-06 2021-06-06 2021-06-06 2021-06-06 2021-06-07 2021-06-07 2021-06-08 2021-06-08 2021-06-08 2021-06-08 2021-06-08 2021-06-08 2021-06-08 精益和泰质 量检测股份 有限公司 精益和泰质 量检测股份 有限公司 精益和泰质 量检测股份 有限公司 精益和泰质 量检测股份 有限公司 精益和泰质 量检测股份 有限公司 精益和泰质 量检测股份 有限公司 精益和泰质 量检测股份 有限公司 精益和泰质 量检测股份 有限公司 精益和泰质 量检测股份 有限公司 精益和泰质 量检测股份 有限公司 精益和泰质 量检测股份 有限公司 精益和泰质 量检测股份 有限公司 精益和泰质 量检测股份 有限公司 精益和泰质 量检测股份 有限公司 精益和泰质 量检测股份 有限公司 精益和泰质 量检测股份 有限公司 精益和泰质 量检测股份 有限公司 精益和泰质 量检测股份 有限公司 精益和泰质 量检测股份 有限公司 精益和泰质 量检测股份 有限公司 精益和泰质 量检测股份 有限公司 精益和泰质 量检测股份 有限公司 精益和泰质 量检测股份 有限公司 精益和泰质 量检测股份 有限公司 精益和泰质 量检测股份 有限公司 精益和泰质 量检测股份 有限公司 精益和泰质 量检测股份 有限公司 精益和泰质 量检测股份 有限公司 精益和泰质 量检测股份 有限公司 724 725 726 727 728 729 730 731 732 733 734 735 736 XC21440607 608090050 XC21440607 608090051 XC21440607 608090052 XC21440607 608090053 XC21440607 608090054 XC21440607 608090055 XC21440607 608090056 XC21440607 608090057 XC21440607 608090058 XC21440607 608090059 XC21440607 608090060 XC21440607 608090061 XC21440607 608090062 芦苞 镇 芦苞 镇 芦苞 镇 芦苞 镇 芦苞 镇 芦苞 镇 芦苞 镇 芦苞 镇 芦苞 镇 芦苞 镇 芦苞 镇 芦苞 镇 芦苞 镇 / / / / / / / / / / / / / / / / 佛山市御福园米 佛山市顺 业有限公司 德区陈村 佛山市稻金香米 佛山市禅 镇石洲村 业有限公司 委会岗北 城区张槎 工业区建 佛山市御福园米 佛山市顺 街道大富 业四路3号 业有限公司 村南工业 德区陈村 首层厂房 佛山市三水区国 区联合路9 镇石洲村 佛山市三 号首层 粮粮油有限公司 水区西南 委会岗北 工业区建 佛山市三水区乐 佛山市三 街道对外 福米业有限公司 业四路3号 经济开发 水区乐平 首层厂房 区西29区 镇乐平大 之一、之 道50号 二和西30 区 佛山市三水区芦苞 镇刘能文豆腐店 佛山市三水区芦苞 镇卢智常点心店 佛山市三水区芦苞 镇卢智常点心店 佛山市三水区芦苞 镇邓邦河粉档 佛山市三水区芦苞 镇邓邦河粉档 佛山市三水区芦苞 镇邓建仪河粉店 佛山市三水区芦苞 镇邓建仪河粉店 佛山市三水区芦苞 镇邓建仪河粉店 佛山市三水区薪生 日日鲜速冻食品商 店 佛山市三水区薪生 日日鲜速冻食品商 店 佛山市三水区薪生 日日鲜速冻食品商 佛山市三水区芦苞 店 镇文丰烟酒店 佛山市三水区芦苞 镇文丰烟酒店 佛山市三水区芦 豆皮 苞镇市场路20号 首层自编2号(住 佛山市三水区芦 蛋糕(糕点 ) 所申报) 苞镇市场路21号 首层 佛山市三水区芦 菠萝包 苞镇市场路21号 首层 佛山市三水区芦 河粉 苞镇恒福兴盛物 业服务部芦苞市 佛山市三水区芦 濑粉 场内早点档4号 苞镇恒福兴盛物 业服务部芦苞市 佛山市三水区芦 陈村粉 场内早点档4号 苞镇新街市新市 场早点档 佛山市三水区芦 河粉 苞镇新街市新市 场早点档 佛山市三水区芦 芝麻肠粉 苞镇新街市新市 御福园®-白 场早点档 佛山市三水区芦 玉粘米 苞镇人民东路七 号之一(住所申 大米(经典 佛山市三水区芦 报) 苞镇人民东路七 泰国茉莉香 米) 号之一(住所申 御福园®-月 佛山市三水区芦 芽粘米 报) 苞镇人民东路七 号之一(住所申 佛山市三水区芦 金雀丝苗米 报) 苞镇新市场C座 22号铺 佛山市三水区芦 乐福贡品米 苞镇新市场C座 22号铺 / / 2021-06-08 / / 2021-06-08 / / 2021-06-08 / / 2021-06-08 / / 2021-06-08 / / 2021-06-08 / / 2021-06-08 / / 2021-06-08 御福园 2021-04-27 稻金鄉 2021-06-03 御福园 2021-03-09 5kg/包 图文商标 2021-01-12 5千克/ 包 郑氏乐福 2021-01-22 5千克/ 包 5千克/ 包 5千克/ 包 二氧化硫残留量 、山梨酸及其钾 盐(以山梨酸计 酸价(以脂肪计 )、苯甲酸及其 )、过氧化值( 钠盐(以苯甲酸 以脂肪计)、铅 酸价(以脂肪计 计)、脱氢乙酸 (以Pb计)、铝 )、过氧化值( 及其钠盐(以脱 的残留量(干样 以脂肪计)、铅 硼砂(以硼酸计 氢乙酸计)、甲 品,以Al计)、 (以Pb计)、铝 )、富马酸二甲 醛次硫酸氢钠( 苯甲酸及其钠盐 的残留量(干样 酯、二氧化硫残 硼砂(以硼酸计 以甲醛计)、 (以苯甲酸计) 品,以Al计)、 留量、甲醛次硫 )、富马酸二甲 、山梨酸及其钾 苯甲酸及其钠盐 酸氢钠(以甲醛 酯、二氧化硫残 硼砂(以硼酸计 盐(以山梨酸计 (以苯甲酸计) 计)、 留量、甲醛次硫 )、富马酸二甲 )、脱氢乙酸及 、山梨酸及其钾 酸氢钠(以甲醛 酯、二氧化硫残 硼砂(以硼酸计 其钠盐(以脱氢 盐(以山梨酸计 计)、 留量、甲醛次硫 )、富马酸二甲 乙酸计)、糖精 )、脱氢乙酸及 酸氢钠(以甲醛 酯、二氧化硫残 硼砂(以硼酸计 钠(以糖精计) 其钠盐(以脱氢 计)、 留量、甲醛次硫 )、富马酸二甲 、 乙酸计)、糖精 酸氢钠(以甲醛 酯、二氧化硫残 铅(以Pb计)、 钠(以糖精计) 计)、 留量、甲醛次硫 镉(以Cd计)、 、 酸氢钠(以甲醛 黄曲霉毒素 铅(以Pb计)、 计)、 B^{1^}、六六六 镉(以Cd计)、 、滴滴涕、 黄曲霉毒素 铅(以Pb计)、 B^{1^}、六六六 镉(以Cd计)、 、滴滴涕、 黄曲霉毒素 铅(以Pb计)、 B^{1^}、六六六 镉(以Cd计)、 、滴滴涕、 黄曲霉毒素 铅(以Pb计)、 B^{1^}、六六六 镉(以Cd计)、 、滴滴涕、 黄曲霉毒素 B^{1^}、六六六 、滴滴涕、 合格 合格 合格 合格 合格 合格 合格 合格 合格 合格 合格 合格 合格 豆制品 餐饮食 品 餐饮食 品 淀粉及 淀粉制 品 淀粉及 淀粉制 品 淀粉及 淀粉制 品 淀粉及 淀粉制 品 淀粉及 淀粉制 粮食加 品 工品 粮食加 工品 粮食加 工品 粮食加 工品 粮食加 工品 流通环 节 餐饮环 节 餐饮环 节 流通环 节 流通环 节 流通环 节 流通环 节 流通环 节 流通环 节 流通环 节 流通环 节 流通环 节 流通环 节 2021-06-08 2021-06-08 2021-06-08 2021-06-08 2021-06-08 2021-06-08 2021-06-08 2021-06-08 2021-06-08 2021-06-08 2021-06-08 2021-06-08 2021-06-08 精益和泰质 量检测股份 有限公司 精益和泰质 量检测股份 有限公司 精益和泰质 量检测股份 有限公司 精益和泰质 量检测股份 有限公司 精益和泰质 量检测股份 有限公司 精益和泰质 量检测股份 有限公司 精益和泰质 量检测股份 有限公司 精益和泰质 量检测股份 有限公司 精益和泰质 量检测股份 有限公司 精益和泰质 量检测股份 有限公司 精益和泰质 量检测股份 有限公司 精益和泰质 量检测股份 有限公司 精益和泰质 量检测股份 有限公司

1、2021年第6期食品安全抽检产品合格信息.xls




